В соответствии с подпунктом 48) абзаца второго части второй пункта 19 Положения о Национальном Банке Республики Казахстан, утвержденного Указом Президента Республики Казахстан от 31 декабря 2003 года № 1271 «Об утверждении Положения и структуры Национального Банка Республики Казахстан» и подпунктом 2) пункта 3 статьи 16 Закона Республики Казахстан «О государственной статистике» Правление Национального Банка Республики Казахстан ПОСТАНОВЛЯЕТ:
1. Утвердить прилагаемые Правила представления отчетности организацией, осуществляющей микрофинансовую деятельность.
2. Признать утратившими силу некоторые постановления Правления Национального Банка Республики Казахстан, а также структурный элемент постановления Правления Национального Банка Республики Казахстан по перечню согласно приложению к настоящему постановлению.
3. Департаменту статистики финансового рынка Национального Банка Республики Казахстан в установленном законодательством Республики Казахстан порядке обеспечить:
1) совместно с Юридическим департаментом Национального Банка Республики Казахстан государственную регистрацию настоящего постановления в Министерстве юстиции Республики Казахстан;
2) размещение настоящего постановления на официальном интернет-ресурсе Национального Банка Республики Казахстан после его официального опубликования;
3) в течение десяти рабочих дней после государственной регистрации настоящего постановления представление в Юридический департамент Национального Банка Республики Казахстан сведений об исполнении мероприятия, предусмотренного подпунктом 2) настоящего пункта.
4. Контроль за исполнением настоящего постановления возложить на курирующего заместителя Председателя Национального Банка Республики Казахстан.
5. Настоящее постановление вводится в действие по истечении десяти календарных дней после дня его первого официального опубликования.
| Председатель Национального Банка Республики Казахстан |
Т. Сулейменов |
СОГЛАСОВАНО
Бюро национальной статистики
Агентства по стратегическому
планированию и реформам
Республики Казахстан
СОГЛАСОВАНО
Агентство Республики Казахстан
по регулированию и развитию
финансового рынка
| Утверждены постановлением Председатель Национального Банка Республики Казахстан от 24 ноября 2025 года № 80 |
Правила представления отчетности организацией, осуществляющей микрофинансовую деятельность
Глава 1. Общие положения
1. Правила представления отчетности организацией, осуществляющей микрофинансовую деятельность (далее – Правила), разработаны в соответствии c подпунктом 48) абзаца второго части второй пункта 19 Положения о Национальном Банке Республики Казахстан, утвержденного Указом Президента Республики Казахстан от 31 декабря 2003 года № 1271 «Об утверждении Положения и структуры Национального Банка Республики Казахстан» и подпунктом 2) пункта 3 статьи 16 Закона Республики Казахстан «О государственной статистике» и определяют порядок представления отчетности организацией, осуществляющей микрофинансовую деятельность, в Национальный Банк Республики Казахстан (далее – Национальный Банк), включая формы, предназначенные для сбора административных данных, перечень, периодичность и срок ее представления.
2. Отчетность представляется в территориальный филиал Национального Банка (по месту нахождения организации, осуществляющей микрофинансовую деятельность) в электронном виде посредством использования информационной системы «Веб-портал Национального Банка Республики Казахстан», представляющей собой единое окно доступа к сервисам представления отчетности в Национальный Банк.
3. При загрузке отчетности в информационной системе «Веб-портал Национального Банка Республики Казахстан» осуществляется внутриформенный и межформенный контроль. В случае обнаружения ошибок при осуществлении внутриформенного и межформенного контроля отчетность информационной системой не принимается.
4. В целях формирования отчетности активы и обязательства в иностранной валюте указываются в пересчете по рыночному курсу обмена валют, определенному в порядке, предусмотренном пунктом 2 постановления Правления Национального Банка Республики Казахстан от 25 января 2013 года № 15 и приказа Министра финансов Республики Казахстан от 22 февраля 2013 года № 99 «О порядке определения рыночного курса обмена валюты» (зарегистрировано в Реестре государственной регистрации нормативных правовых актов под № 8378), на отчетную дату.
5. Резидентство клиента и (или) контрагента организации, осуществляющей микрофинансовую деятельность, определяется в соответствии с Законом Республики Казахстан «О валютном регулировании и валютном контроле».
6. Данные в отчетности указываются в национальной валюте Республики Казахстан – тенге.
7. Единица измерения, используемая при составлении отчетности, устанавливается в тысячах тенге. Сумма менее 500 (пятисот) тенге в отчете округляется до 0 (нуля), а сумма, равная 500 (пятистам) тенге и выше, округляется до 1000 (тысячи) тенге.
При отрицательных суммах применяется арифметическое округление по модулю; агрегирование выполняется до первого знака тысяч с последующим суммированием, при расчете средних и долей применяется вычисление в тенге с последующим округлением до тысяч.
8. Полнота и достоверность данных в отчетности обеспечивается руководителем организации, осуществляющей микрофинансовую деятельность, или лицом, на которое возложена функция по подписанию отчета.
9. Отчетность, подписанная руководителем организации, осуществляющей микрофинансовую деятельность, или лицом, на которое возложена функция по подписанию отчета, и исполнителем посредством электронной цифровой подписи, хранится в электронном формате.
10. В случае отсутствия сведений отчетность представляется с нулевыми значениями.
Глава 2. Порядок представления отчетности микрофинансовыми организациями
11. Микрофинансовая организация ежемесячно, до 25 (двадцать пятого) числа (включительно) месяца, следующего за отчетным месяцем, представляет в территориальный филиал Национального Банка (по месту своего нахождения):
1) отчет о микрокредитах, предоставленных электронным способом (онлайн микрокредитах), и выявленных фактах мошенничества по ним по форме согласно приложению 1 к Правилам;
2) отчет об изменениях по предоставленным займам (микрокредитам), в том числе в региональном и отраслевом разрезе, по форме согласно приложению 2 к Правилам;
3) отчет о микрокредитах, выданных микрофинансовой организацией, в том числе по которым имеется просроченная задолженность, по форме согласно приложению 3 к Правилам;
4) отчет о выполнении пруденциальных нормативов и иных обязательных к соблюдению норм и лимитов по форме согласно приложению 4 к Правилам;
5) отчет о расшифровке активов, взвешенных с учетом кредитного риска, по форме согласно приложению 5 к Правилам;
6) отчет о расшифровке максимального размера риска на одного заемщика по форме согласно приложению 6 к Правилам.
12. Микрофинансовая организация ежеквартально, до 25 (двадцать пятого) числа (включительно) месяца, следующего за отчетным кварталом, представляет в территориальный филиал Национального Банка (по месту своего нахождения):
1) отчет о результатах осуществления дополнительных видов деятельности по форме согласно приложению 7 к Правилам;
2) отчет о структуре инвестиций в капитал юридических лиц по форме согласно приложению 8 к Правилам;
3) отчет об основных источниках привлеченных денег по форме согласно приложению 9 к Правилам;
4) отчет о классификации активов по микрокредитам, предоставленным физическим и юридическим лицам, по форме согласно приложению 10 к Правилам;
5) отчет о классификации условных обязательств по предоставленным микрокредитам по форме согласно приложению 11 к Правилам.
Глава 3. Порядок представления отчетности кредитными товариществами
13. Кредитное товарищество ежеквартально, до 25 (двадцать пятого) числа (включительно) месяца, следующего за отчетным кварталом, представляет в территориальный филиал Национального Банка (по месту своего нахождения):
1) отчет об изменениях по предоставленным займам (микрокредитам), в том числе в региональном и отраслевом разрезе, по форме согласно приложению 2 к Правилам;
2) отчет о структуре инвестиций в капитал юридических лиц по форме согласно приложению 8 к Правилам;
3) отчет об основных источниках привлеченных денег по форме согласно приложению 9 к Правилам;
4) отчет о микрокредитах, выданных физическим и юридическим лицам кредитным товариществом, в том числе по которым имеется просроченная задолженность, по форме согласно приложению 12 к Правилам;
5) отчет об уставном и собственном капиталах, а также о коэффициенте левереджа по форме согласно приложению 13 к Правилам.
Глава 4. Порядок представления отчетности ломбардами
14. Ломбард ежеквартально, до 25 (двадцать пятого) числа (включительно) месяца, следующего за отчетным кварталом, представляет в территориальный филиал Национального Банка (по месту своего нахождения):
1) отчет о структуре инвестиций в капитал юридических лиц по форме согласно приложению 8 к Правилам;
2) отчет об основных источниках привлеченных денег по форме согласно приложению 9 к Правилам;
3) отчет о микрокредитах ломбардов, в том числе по которым имеется просроченная задолженность, по форме согласно приложению 14 к Правилам.
| Приложение 1 к Правилам представления отчетности организацией, осуществляющей микрофинансовую деятельность |
|
| Форма, предназначенная для сбора административных данных |
Представляется: в территориальный филиал Национального Банка Республики Казахстан
Форма, предназначенная для сбора административных данных на безвозмездной основе размещена на интернет-ресурсе: www.nationalbank.kz
Наименование административной формы: отчет о микрокредитах, предоставленных электронным способом (онлайн микрокредитах), и выявленных фактах мошенничества по ним
Индекс формы, предназначенной для сбора административных данных на безвозмездной основе: FRD_MFO_1
Периодичность: ежемесячная
Отчетный период: по состоянию на «___» __________ 20__года
Круг лиц, представляющих форму, предназначенную для сбора административных данных на безвозмездной основе: микрофинансовая организация
Срок представления формы, предназначенной для сбора административных данных на безвозмездной основе: ежемесячно, до 25 (двадцать пятого) числа (включительно) месяца, следующего за отчетным месяцем
Бизнес — идентификационный номер: ________________________
Метод сбора: в электронном виде
| (в тысячах тенге, единиц) |
|
Код показателя |
Наименование показателя |
Объем выданных микрокредитов с начала отчетного года с нарастающим итогом, тысяч тенге |
|
1 |
2 |
3 |
|
1 |
Микрокредиты, выданные электронным способом (далее — онлайн микрокредиты), в том числе: |
|
|
1.1 |
физическим лицам (за исключением индивидуальных предпринимателей), в том числе: |
|
|
1.1.1 |
на цели, связанные с осуществлением предпринимательской деятельности, в том числе: |
|
|
1.1.1.1 |
с просроченной задолженностью более 90 дней |
х |
|
1.1.2 |
на цели, не связанные с осуществлением предпринимательской деятельности, в том числе: |
|
|
1.1.2.1 |
с просроченной задолженностью более 90 дней |
х |
|
1.2 |
индивидуальным предпринимателям |
|
|
1.2.1 |
с просроченной задолженностью более 90 дней |
х |
|
1.3 |
юридическим лицам |
|
|
1.3.1 |
с просроченной задолженностью более 90 дней |
х |
|
2 |
Онлайн микрокредиты, по которым выявлены факты мошенничества, в том числе: |
|
|
2.1 |
самостоятельно микрофинансовой организацией |
|
|
2.2 |
по обращениям физических лиц |
|
|
2.3 |
по информации от правоохранительных органов |
|
|
2.4 |
по решению суда |
|
|
2.5 |
иным способом |
|
|
3 |
Онлайн микрокредиты, по которым выявлены факты мошенничества, по которым: |
|
|
3.1 |
проведены мероприятия, в том числе: |
|
|
3.1.1 |
приостановлено начисление вознаграждения |
|
|
3.1.2 |
приостановлена претензионно-исковая работа |
|
|
3.1.3 |
приостановлено начисление вознаграждения и приостановлена претензионно-исковая работа |
|
|
3.1.4 |
проведена корректировка кредитной истории |
|
|
3.1.5 |
списана в полном или частичном объеме задолженность клиента |
|
|
3.1.6 |
проведена корректировка кредитной истории и списана в полном или частичном объеме задолженность клиента |
|
|
3.1.7 |
проведены иные мероприятия |
|
|
3.2 |
не проведены мероприятия |
|
|
3.3 |
возобновлено взыскание в связи с отменой представления либо постановлением правоохранительных органов |
продолжение таблицы:
|
Количество договоров о предоставлении микрокредита с начала года с нарастающим итогом, единиц |
Остаток задолженности (основной долг) на отчетную дату, тысяч тенге |
Количество договоров о предоставлении микрокредита на отчетную дату, единиц |
|
4 |
5 |
6 |
|
х |
||
|
х |
||
|
х |
||
|
х |
||
Наименование ___________________________________________________
Адрес___________________________________________________________
Телефон ________________________________________________________
Адрес электронной почты _________________________________________
Исполнитель____________________________ _________________________
фамилия, имя и отчество (при его наличии) подпись, телефон
Руководитель или лицо, на которое возложена функция по подписанию отчета
_____________________________________ ___________________________
фамилия, имя и отчество (при его наличии) подпись
Дата «____» ______________ 20__ года
Примечание: форма заполняется в соответствии с пояснением по
заполнению формы, предназначенной для сбора административных данных
на безвозмездной основе «Отчет о микрокредитах, предоставленных электронным
способом (онлайн микрокредитах), и выявленных фактах мошенничества по ним».
| Приложение к форме, предназначенной для сбора административных данных на безвозмездной основе «Отчет о микрокредитах, предоставленных электронным способом (онлайн микрокредитах), и выявленных фактах мошенничества по ним» |
Пояснение по заполнению формы, предназначенной для сбора административных данных на безвозмездной основе
Отчет о микрокредитах, предоставленных электронным способом (онлайн микрокредитах), и выявленных фактах мошенничества по ним (индекс – FRD_MFO_1, периодичность – ежемесячная)
Глава 1. Общие положения
1. Настоящее пояснение определяет единые требования по заполнению формы, предназначенной для сбора административных данных на безвозмездной основе «Отчет о микрокредитах, предоставленных электронным способом (онлайн микрокредитах), и выявленных фактах мошенничества по ним» (далее – Форма).
2. Форма заполняется микрофинансовой организацией ежемесячно. Данные в Форме заполняются в тысячах тенге. Сумма менее 500 (пятисот) тенге округляется до 0 (нуля), а сумма, равная 500 (пятистам) тенге и выше, округляется до 1000 (тысячи) тенге.
3. Форму подписывают руководитель или лицо, на которое возложена функция по подписанию отчета, и исполнитель.
4. Сведения по микрокредитам, предоставленным электронным способом (онлайн микрокредитах) (далее – онлайн микрокредиты), указываются в соответствии с Правилами предоставления микрокредитов электронным способом, утвержденными постановлением Правления Национального Банка Республики Казахстан от 28 ноября 2019 № 217 «Об утверждении Правил предоставления микрокредитов электронным способом» (зарегистрировано в Реестре государственной регистрации нормативных правовых актов под № 19714) (далее – Правила № 217).
5. Форма, подписанная руководителем микрофинансовой организации или лицом, на которое возложена функция по подписанию отчета, и исполнителем посредством электронной цифровой подписи, хранится в электронном формате.
Глава 2. Пояснение по заполнению Формы
6. В разделе 1 отчета (строки 1, 1.1, 1.1.1, 1.1.1.1, 1.1.2, 1.1.2.1, 1.2, 1.2.1, 1.3, 1.3.1) отражаются данные обо всех мирокредитах, выданных электронным способом, в соответствии с Правилами №217, в том числе по которым выявлены факты мошенничества.
7. В графе 5 «Остаток задолженности (основной долг) на отчетную дату» отражается остаток задолженности по основному долгу по онлайн микрокредитам по состоянию на конец отчетного периода.
8. Раздел 2 (строки 2, 2.1, 2.2, 2.3, 2.4, 2.5) и раздел 3 отчета (строки 3, 3.1, 3.1.1, 3.1.2, 3.1.3, 3.1.4, 3.1.5, 3.1.6, 3.2, 3.3) содержат сведения по онлайн микрокредитам, по которым выявлены факты мошенничества в разрезе способов выявления фактов мошенничества и принятых мер, в связи с чем строка 2 должна быть равна строке 3.
В строке 2.1 «онлайн микрокредиты, по которым выявлены факты мошенничества, в том числе: самостоятельно микрофинансовой организацией» отражаются сведения о случаях мошенничества, подтвержденные актами внутренних служб безопасности или решениями компетентных органов организации.
9. На каждую отчетную дату статус проведенных мероприятий в рамках выявленных фактов мошенничества необходимо обновлять, исходя из фактически имеющейся информации или проведенных мер на отчетную дату.
10. В строке 1 отражается сумма строк 1.1, 1.2 и 1.3.
11. В строке 1.1 отражается сумма строк 1.1.1 и 1.1.2.
12. В строке 2 отражается сумма строк 2.1, 2.2, 2.3, 2.4, 2.5.
13. В строке 3 отражается сумма строк 3.1, 3.2 и 3.3.
14. В строке 3.1 отражается сумма строк 3.1.1, 3.1.2, 3.1.3, 3.1.4, 3.1.5, 3.1.6 и 3.1.7.
15. В строках 3.1.1, 3.1.2, 3.1.3 не требуется отражение сведений по онлайн микрокредитам, по которым проведены мероприятия, указанные в строках 3.1.4, 3.1.5, 3.1.6.
16. В случае отсутствия сведений Форма представляется с нулевыми значениями.
| Приложение 2 к Правилам представления отчетности организацией, осуществляющей микрофинансовую деятельность Форма, предназначенная для сбора административных данных |
Представляется: в территориальный филиал Национального Банка Республики Казахстан
Форма, предназначенная для сбора административных данных на безвозмездной основе размещена на интернет-ресурсе: www.nationalbank.kz
Наименование административной формы: отчет об изменениях по предоставленным займам (микрокредитам), в том числе в региональном и отраслевом разрезе
Индекс формы, предназначенной для сбора административных данных на безвозмездной основе: PMM_MFO_KT_1
Периодичность: ежемесячная, ежеквартальная
Отчетный период: по состоянию на «___» __________ 20__года
Круг лиц, представляющих форму, предназначенную для сбора административных данных на безвозмездной основе: микрофинансовая организация, кредитное товарищество
Срок представления формы, предназначенной для сбора административных данных на безвозмездной основе:
микрофинансовая организация – ежемесячно, до 25 (двадцать пятого) числа (включительно) месяца, следующего за отчетным месяцем;
кредитное товарищество – ежеквартально, до 25 (двадцать пятого) числа (включительно) месяца, следующего за отчетным кварталом
Бизнес — идентификационный номер: ________________________
Метод сбора: в электронном виде
(в тысячах тенге)
|
Код строки |
Наименование |
Кредитный портфель на начало отчетного периода (основной долг) |
Кредиты, выданные в отчетном периоде |
||
|
Объем выданных микрокредитов |
Средневзвешенная ставка (номинальная), в процентах |
Средневзвешенная ставка (эффективная), в процентах |
|||
|
1 |
2 |
3 |
4 |
5 |
6 |
|
1. |
Всего микрокредитов |
||||
|
1.1. |
Микрокредиты юридическим лицам, из них |
||||
|
1.1.1. |
г. Алматы (регион согласно Национальному Классификатору административно-территориальных объектов (КАТО)) |
||||
|
1.1.1.1 |
Вид экономической деятельности заемщиков согласно Национальному Общему классификатору видов экономической деятельности (ОКЭД) |
||||
|
1.1.1.2 |
Вид экономической деятельности заемщиков согласно Национальному Общему классификатору видов экономической деятельности (ОКЭД) |
||||
|
1.1.1.n |
……. |
||||
|
1.1.2. |
г. Астана (регион согласно Национальному Классификатору административно-территориальных объектов (КАТО)) |
||||
|
1.1.2.1 |
вид экономической деятельности заемщиков согласно Национальному Общему классификатору видов экономической деятельности (ОКЭД) |
||||
|
1.1.2.2 |
вид экономической деятельности заемщиков согласно Национальному Общему классификатору видов экономической деятельности (ОКЭД) |
||||
|
1.1.2.n |
……. |
||||
|
1.1.n. |
г. N (Регион согласно Национальному Классификатору административно-территориальных объектов (КАТО)) |
||||
|
1.1.n.1 |
вид экономической деятельности заемщиков согласно Национальному Общему классификатору видов экономической деятельности (ОКЭД) |
||||
|
1.1.n.2 |
вид экономической деятельности заемщиков согласно Национальному Общему классификатору видов экономической деятельности (ОКЭД) |
||||
|
1.1.n.n |
……. |
||||
|
1.2. |
Микрокредиты индивидуальным предпринимателям, из них |
||||
|
1.2.1. |
г. Алматы (регион согласно Национальному Классификатору административно-территориальных объектов (КАТО)) |
||||
|
1.2.1.1 |
вид экономической деятельности заемщиков согласно Национальному Общему классификатору видов экономической деятельности (ОКЭД) |
||||
|
1.2.1.2 |
вид экономической деятельности заемщиков согласно Национальному Общему классификатору видов экономической деятельности (ОКЭД) |
||||
|
1.2.1.n |
……. |
||||
|
1.2.2. |
г. Астана (регион согласно Национальному Классификатору административно-территориальных объектов (КАТО)) |
||||
|
1.2.2.1 |
вид экономической деятельности заемщиков согласно Национальному Общему классификатору видов экономической деятельности (ОКЭД) |
||||
|
1.2.2.2 |
вид экономической деятельности заемщиков согласно Национальному Общему классификатору видов экономической деятельности (ОКЭД) |
||||
|
1.2.2.n |
……. |
||||
|
1.2.n. |
г. N (Регион согласно Национальному Классификатору административно-территориальных объектов (КАТО)) |
||||
|
1.2.n.1 |
вид экономической деятельности заемщиков согласно Национальному Общему классификатору видов экономической деятельности (ОКЭД) |
||||
|
1.2.n.2 |
вид экономической деятельности заемщиков согласно Национальному Общему классификатору видов экономической деятельности (ОКЭД) |
||||
|
1.2.n.n |
……. |
||||
|
1.3. |
Микрокредиты физическим лицам (за исключением индивидуальных предпринимателей), на цели, связанные с осуществлением предпринимательской деятельности, из них |
||||
|
1.3.1. |
г. Алматы (регион согласно Национальному Классификатору административно-территориальных объектов (КАТО)) |
||||
|
1.3.1.1 |
вид экономической деятельности заемщиков согласно Национальному Общему классификатору видов экономической деятельности (ОКЭД) |
||||
|
1.3.1.2 |
вид экономической деятельности заемщиков согласно Национальному Общему классификатору видов экономической деятельности (ОКЭД) |
||||
|
1.3.1.n |
……. |
||||
|
1.3.2. |
г. Астана (регион согласно Национальному Классификатору административно-территориальных объектов (КАТО)) |
||||
|
1.3.2.1 |
вид экономической деятельности заемщиков согласно Национальному Общему классификатору видов экономической деятельности (ОКЭД) |
||||
|
1.3.2.2 |
вид экономической деятельности заемщиков согласно Национальному Общему классификатору видов экономической деятельности (ОКЭД) |
||||
|
1.3.2.n |
……. |
||||
|
1.3.n. |
г. N (Регион согласно Национальному Классификатору административно-территориальных объектов (КАТО)) |
||||
|
1.3.n.1 |
вид экономической деятельности заемщиков согласно Национальному Общему классификатору видов экономической деятельности (ОКЭД) |
||||
|
1.3.n.2 |
вид экономической деятельности заемщиков согласно Национальному Общему классификатору видов экономической деятельности (ОКЭД) |
||||
|
1.3.n.n |
……. |
||||
|
1.4. |
Микрокредиты физическим лицам (за исключением индивидуальных предпринимателей) на цели, не связанные с осуществлением предпринимательской деятельности, из них |
||||
|
1.4.1. |
на приобретение автомобильного транспорта |
||||
|
1.4.2. |
на приобретение жилой недвижимости |
||||
|
1.4.3. |
на приобретение земли/земельных участков |
||||
|
1.4.4. |
для целей рефинансирования задолженности |
||||
|
1.4.5. |
выданные без обеспечения на срок до 45 дней и в размере до 45 МРП |
||||
|
1.4.6. |
на прочие цели |
||||
продолжение таблицы:
|
Погашение кредитного портфеля (основного долга) в отчетном периоде |
Операции, повлиявшие на изменение кредитного портфеля |
Кредитный портфель на конец периода (основной долг) |
|
7 |
8 |
9 |
Наименование __________________________________________________
Адрес__________________________________________________________
Телефон ________________________________________________________
Адрес электронной почты _________________________________________
Исполнитель____________________________ ____________________
фамилия, имя и отчество (при его наличии) подпись, телефон
Руководитель или лицо, на которое возложена функция по подписанию отчета
_____________________________________ _____________________
фамилия, имя и отчество (при его наличии) подпись
Дата «____» ______________ 20__ года
Примечание: форма заполняется в соответствии с пояснением по
заполнению формы, предназначенной для сбора административных данных на
безвозмездной основе «Отчет об изменениях по предоставленным займам
(микрокредитам), в том числе в региональном и отраслевом разрезе».
| Приложение к форме, предназначенной для сбора административных данных на безвозмездной основе «Отчет об изменениях по предоставленным займам (микрокредитам), в том числе в региональном и отраслевом разрезе» |
Пояснение по заполнению формы, предназначенной для сбора административных данных на безвозмездной основе
Отчет об изменениях по предоставленным займам (микрокредитам), в том числе в региональном и отраслевом разрезе (индекс – PMM_MFO_KT_1, периодичность – ежемесячная, ежеквартальная)
Глава 1. Общие положения
1. Настоящее пояснение определяет единые требования по заполнению формы, предназначенной для сбора административных данных на безвозмездной основе «Отчет об изменениях по предоставленным займам (микрокредитам), в том числе в региональном и отраслевом разрезе» (далее – Форма).
2. Форма заполняется микрофинансовой организацией ежемесячно, кредитным товариществом – ежеквартально. Данные в Форме заполняются в тысячах тенге. Сумма менее 500 (пятисот) тенге округляется до 0 (нуля), а сумма, равная 500 (пятистам) тенге и выше, округляется до 1000 (тысячи) тенге.
3. Форму подписывают руководитель или лицо, на которое возложена функция по подписанию отчета, и исполнитель.
4. Форма, подписанная руководителем микрофинансовой организации, кредитного товарищества или лицом, на которое возложена функция по подписанию отчета, и исполнителем посредством электронной цифровой подписи, хранится в электронном формате.
Глава 2. Пояснение по заполнению Формы
5. Форма предназначена для предоставления сведений по основному долгу по договорам о предоставлении микрокредита, заключенным в отчетном периоде, и (или) действовавшим, и (или) прекратившим действие в отчетном периоде, включая сведения о займах, переданных/уступленных коллекторским агентствам.
6. В Форме отражаются данные по кредитному портфелю (основному долгу), в разрезе объема выданных микрокредитов, средневзвешенных ставок вознаграждения по ним (номинальная и эффективная), объемов погашения основного долга в отчетном периоде, операций, повлиявших на изменение кредитного портфеля, заемщиков микрофинансовых организаций и кредитных товариществ – юридических лиц, физических лиц, зарегистрированных в качестве индивидуальных предпринимателей, и физических лиц, не зарегистрированных в качестве индивидуальных предпринимателей, в региональном и отраслевом разрезе.
7. Основной долг – сумма непогашенного долга, подлежащая уплате заемщиком микрофинансовой организации, кредитному товариществу на определенный момент периода кредитования без учета вознаграждения, просроченной задолженности по вознаграждению, дисконта (премии), резерва на обесценение, неустойки (штрафа, пени) по микрокредиту.
8. Кредитный портфель включает в себя все виды ссуд клиентам (юридическим и физическим лицам) и аналогичные им операции.
9. По микрокредитам, выданным юридическим лицам, а также физическим лицам на цели, связанные с предпринимательской деятельностью, в том числе зарегистрированным в качестве индивидуальных предпринимателей, вид экономической деятельности заемщиков указывается в соответствии с национальным классификатором Республики Казахстан НК РК 03-2019 «Общий классификатор видов экономической деятельности», утвержденным приказом Комитета технического регулирования и метрологии Министерства индустрии и инфраструктурного развития Республики Казахстан от 22 февраля 2019 года № 68-од «О некоторых вопросах стандартизации».
10. В Форме заемщики группируются по местонахождению; в графе 2 регион местонахождения заемщиков указывается в соответствии с национальным классификатором Республики Казахстан НК РК 11 «Классификатор административно-территориальных объектов», утвержденным приказом Комитета технического регулирования и метрологии Министерства торговли и интеграции Республики Казахстан от 16 января 2025 года № 2-НҚ «О некоторых вопросах стандартизации».
11. В графах 3 и 9 указываются сведения по сумме остатков основного долга на начало и конец отчетного периода, соответственно.
12. В графе 4 указываются сведения о выданных микрокредитах в отчетном периоде, которые заполняются на основании договоров о предоставлении микрокредита.
13. В графах 5 и 6 средневзвешенная ставка – это ставка, взвешенная по объему выданных микрокредитов за отчетный период.
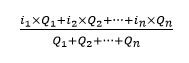
14. Графа 5 предназначена для отражения средневзвешенной годовой номинальной ставки вознаграждения по выданным микрокредитам, которая определяется отношением суммы произведений годовых процентных ставок, установленных в договорах о предоставлении микрокредита (номинальная ставка), на задолженность по основному долгу к общей сумме задолженности по основному долгу.
Средневзвешенная ставка рассчитывается по следующей формуле:
Средневзвешенная процентная ставка =
,
где:
i1….in – годовая процентная ставка (номинальная ставка), установленная в договоре о предоставлении микрокредита по n-ому кредиту (n –общее количество микрокредитов, по которым имеется задолженность по основному долгу);
Q1…Qn – задолженность по основному долгу (без учета вознаграждений, комиссий и неустойки (штрафа, пени)), установленная в договоре о предоставлении микрокредита по n-ому кредиту.
15. Графа 6 предназначена для отражения средневзвешенной годовой эффективной ставки вознаграждения по выданным микрокредитам.
В расчет годовой эффективной ставки вознаграждения по договору о предоставлении микрокредита включаются все платежи заемщика по основному долгу и вознаграждению, а также комиссии и иные платежи за весь период действия договора о предоставлении микрокредита.
Годовая эффективная ставка вознаграждения по договору займа рассчитывается по следующей формуле:
где:
n — порядковый номер последней выплаты заемщику;
j — порядковый номер выплаты заемщику;
Sj — сумма j-той выплаты заемщику;
APR — годовая эффективная ставка вознаграждения;
tj — период времени со дня предоставления займа до момента j-той выплаты заемщику (в днях);
m — порядковый номер последнего платежа заемщика;
і — порядковый номер платежа заемщика;
Pi — сумма і-того платежа заемщика;
ti — период времени со дня предоставления займа до момента і-того платежа заемщика (в днях).
16. В графе 7 указывается совокупная сумма фактически поступивших платежей, направленная на погашение задолженности по основному долгу, в отчетном периоде.
17. В графе 8 указываются сведения, не учтенные в графах 4 и 7, повлиявшие на изменение остатка задолженности по основному долгу, и предназначенные для отражения сумм, в том числе, проданной (обратно выкупленной) и (или) прощенной задолженности по основному долгу, произведенных в течение отчетного периода.
Проданная (обратно выкупленная) задолженность представляет собой задолженность по основному долгу, права требования по которым уступлены третьему лицу (указывается с минусом) и (или) обратно выкуплены у третьего лица по договору уступки прав требований (указывается с плюсом).
Прощенная задолженность представляет собой накопленную по микрокредиту сумму задолженности по основному долгу, прощенной кредитором за весь период действия договора (указывается с минусом).
Показатель в графе 8 является обязательным к заполнению для всех микрокредитов, права требования по которым переданы (проданы) или приняты (куплены). Допускается отражение отрицательного значения по остатку основного долга.
18. В строке 1 (за исключением граф 5 и 6) указывается сумма значений строк 1.1, 1.2, 1.3 и 1.4.
19. В строке 1.1 (за исключением граф 5 и 6) указывается сумма значений строк 1.1.1, 1.1.2, 1.1.3 и так далее, в которых показатели основного долга, объемов выдач и погашения микрокредитов, а также операций, повлиявших на изменение кредитного портфеля, группируются в разрезе городов республиканского значения и областных центров по месту нахождения заемщиков.
20. В строке 1.1.1 (за исключением граф 5 и 6) указывается сумма значений строк 1.1.1.1, 1.1.1.2, 1.1.1.3 и так далее, в которых показатели основного долга, объемов выдач и погашения микрокредитов, а также операций, повлиявших на изменение кредитного портфеля, группируются в разрезе видов экономической деятельности заемщиков.
Аналогично в строках 1.1.2, 1.1.3 и так далее.
21. В строке 1.2 (за исключением граф 5 и 6) указывается сумма значений строк 1.2.1, 1.2.2, 1.2.3 и так далее, в которых показатели основного долга, объемов выдач и погашения микрокредитов, а также операций, повлиявших на изменение кредитного портфеля, группируются в разрезе городов республиканского значения и областных центров по месту нахождения заемщиков.
22. В строке 1.2.1 (за исключением граф 5 и 6) указывается сумма значений строк 1.2.1.1, 1.2.1.2, 1.2.1.3 и так далее, в которых показатели основного долга, объемов выдач и погашения микрокредитов, а также операций, повлиявших на изменение кредитного портфеля, группируются в разрезе видов экономической деятельности заемщиков.
Аналогично в строках 1.2.2, 1.2.3 и так далее.
23. В строке 1.3 (за исключением граф 5 и 6) указывается сумма значений строк 1.3.1, 1.3.2, 1.3.3 и так далее, в которых показатели основного долга, объемов выдач и погашения микрокредитов, а также операций, повлиявших на изменение кредитного портфеля, группируются в разрезе городов республиканского значения и областных центров по месту нахождения заемщиков.
24. В строке 1.3.1 (за исключением граф 5 и 6) указывается сумма значений строк 1.3.1.1, 1.3.1.2, 1.3.1.3 и так далее, в которых показатели основного долга, объемов выдач и погашения микрокредитов, а также операций, повлиявших на изменение кредитного портфеля, группируются в разрезе видов экономической деятельности заемщиков.
Аналогично в строках 1.3.2, 1.3.3 и так далее.
25. В строке 1.4 (за исключением граф 5 и 6) указывается сумма значений строк 1.4.1, 1.4.2, 1.4.3, 1.4.4, 1.4.5, 1.4.6.
26. В строке 1.4.5 отражается информация по микрокредитам, соответствующим абзацу 4 части 1 пункта 1 Совместного постановления Правления Агентства Республики Казахстан по регулированию и развитию финансового рынка от 16 августа 2024 года № 62 и постановления Правления Национального Банка Республики Казахстан от 19 августа 2024 года № 45 «Об определении предельных размеров годовой эффективной ставки вознаграждения» (зарегистрировано в Реестре государственной регистрации нормативных правовых актов под № 34960), то есть по микрокредитам без обеспечения, на цели, не связанные с осуществлением предпринимательской деятельности, предоставляемым на срок до сорока пяти календарных дней, в размере, не превышающем сорокапятикратного размера месячного расчетного показателя, установленного на соответствующий финансовый год законом о республиканском бюджете.
27. В случае отсутствия сведений Форма представляется с нулевыми значениями.
| Приложение 3 к Правилам представления отчетности организацией, осуществляющей микрофинансовую деятельность Форма, предназначенная для сбора административных данных |
Представляется: в территориальный филиал Национального Банка Республики Казахстан
Форма, предназначенная для сбора административных данных на безвозмездной основе размещена на интернет-ресурсе: www.nationalbank.kz
Наименование административной формы: отчет о микрокредитах, выданных микрофинансовой организацией, в том числе по которым имеется просроченная задолженность
Индекс формы, предназначенной для сбора административных данных на безвозмездной основе: MP_MFO_1
Периодичность: ежемесячная
Отчетный период: по состоянию на «___» __________ 20__года
Круг лиц, представляющих форму, предназначенную для сбора административных данных на безвозмездной основе: микрофинансовая организация
Срок представления формы, предназначенной для сбора административных данных на безвозмездной основе: ежемесячно, до 25 (двадцать пятого) числа (включительно) месяца, следующего за отчетным месяцем
Бизнес — идентификационный номер: _________________________
Метод сбора: в электронном виде
| (в тысячах тенге) |
|
№ п/п |
Наименование |
Балансовая стоимость, всего |
|
1 |
2 |
3 |
|
1 |
Микрокредиты физическим лицам, не зарегистрированным в качестве индивидуального предпринимателя, всего |
|
|
1.1. |
на цели, связанные с осуществлением предпринимательской деятельности, в том числе: |
|
|
1.1.1. |
с обеспечением исполнения обязательств, в том числе |
|
|
1.1.1.1 |
под залог авто, в том числе по которым: |
|
|
1.1.1.1.1 |
отсутствует просроченная задолженность по основному долгу и (или) начисленному вознаграждению |
|
|
1.1.1.1.2 |
имеется просроченная задолженность по основному долгу и (или) начисленному вознаграждению, в том числе: |
|
|
1.1.1.1.2.1 |
от 1 до 30 дней |
|
|
1.1.1.1.2.2 |
от 31 до 60 дней |
|
|
1.1.1.1.2.3 |
от 61 до 90 дней |
|
|
1.1.1.1.2.4 |
более 90 дней |
|
|
1.1.1.2 |
под залог недвижимости, в том числе по которым: |
|
|
1.1.1.2.1 |
отсутствует просроченная задолженность по основному долгу и (или) начисленному вознаграждению |
|
|
1.1.1.2.2 |
имеется просроченная задолженность по основному долгу и (или) начисленному вознаграждению, в том числе: |
|
|
1.1.1.2.2.1 |
от 1 до 30 дней |
|
|
1.1.1.2.2.2 |
от 31 до 60 дней |
|
|
1.1.1.2.2.3 |
от 61 до 90 дней |
|
|
1.1.1.2.2.4 |
более 90 дней |
|
|
1.1.1.3 |
прочие микрокредиты, в том числе по которым: |
|
|
1.1.1.3.1 |
отсутствует просроченная задолженность по основному долгу и (или) начисленному вознаграждению |
|
|
1.1.1.3.2 |
имеется просроченная задолженность по основному долгу и (или) начисленному вознаграждению, в том числе: |
|
|
1.1.1.3.2.1 |
от 1 до 30 дней |
|
|
1.1.1.3.2.2 |
от 31 до 60 дней |
|
|
1.1.1.3.2.3 |
от 61 до 90 дней |
|
|
1.1.1.3.2.4 |
более 90 дней |
|
|
1.1.2. |
без обеспечения исполнения обязательств, в том числе по которым: |
|
|
1.1.2.1 |
отсутствует просроченная задолженность по основному долгу и (или) начисленному вознаграждению |
|
|
1.1.2.2 |
имеется просроченная задолженность по основному долгу и (или) начисленному вознаграждению, в том числе: |
|
|
1.1.2.2.1 |
от 1 до 30 дней |
|
|
1.1.2.2.2 |
от 31 до 60 дней |
|
|
1.1.2.2.3 |
от 61 до 90 дней |
|
|
1.1.2.2.4 |
более 90 дней |
|
|
1.2. |
на цели, не связанные с осуществлением предпринимательской деятельности, в том числе: |
|
|
1.2.1. |
с обеспечением исполнения обязательств, в том числе |
|
|
1.2.1.1 |
под залог авто, в том числе по которым: |
|
|
1.2.1.1.1 |
отсутствует просроченная задолженность по основному долгу и (или) начисленному вознаграждению |
|
|
1.2.1.1.2 |
имеется просроченная задолженность по основному долгу и (или) начисленному вознаграждению, в том числе: |
|
|
1.2.1.1.2.1 |
от 1 до 30 дней |
|
|
1.2.1.1.2.2 |
от 31 до 60 дней |
|
|
1.2.1.1.2.3 |
от 61 до 90 дней |
|
|
1.2.1.1.2.4 |
более 90 дней |
|
|
1.2.1.2 |
под залог недвижимости, в том числе по которым: |
|
|
1.2.1.2.1 |
отсутствует просроченная задолженность по основному долгу и (или) начисленному вознаграждению |
|
|
1.2.1.2.2 |
имеется просроченная задолженность по основному долгу и (или) начисленному вознаграждению, в том числе: |
|
|
1.2.1.2.2.1 |
от 1 до 30 дней |
|
|
1.2.1.2.2.2 |
от 31 до 60 дней |
|
|
1.2.1.2.2.3 |
от 61 до 90 дней |
|
|
1.2.1.2.2.4 |
более 90 дней |
|
|
1.2.1.3 |
прочие микрокредиты, в том числе по которым: |
|
|
1.2.1.3.1 |
отсутствует просроченная задолженность по основному долгу и (или) начисленному вознаграждению |
|
|
1.2.1.3.2 |
имеется просроченная задолженность по основному долгу и (или) начисленному вознаграждению, в том числе: |
|
|
1.2.1.3.2.1 |
от 1 до 30 дней |
|
|
1.2.1.3.2.2 |
от 31 до 60 дней |
|
|
1.2.1.3.2.3 |
от 61 до 90 дней |
|
|
1.2.1.3.2.4 |
более 90 дней |
|
|
1.2.2. |
без обеспечения исполнения обязательств, в том числе по которым: |
|
|
1.2.2.1 |
отсутствует просроченная задолженность по основному долгу и (или) начисленному вознаграждению |
|
|
1.2.2.2 |
имеется просроченная задолженность по основному долгу и (или) начисленному вознаграждению, в том числе: |
|
|
1.2.2.2.1 |
от 1 до 30 дней |
|
|
1.2.2.2.2 |
от 31 до 60 дней |
|
|
1.2.2.2.3 |
от 61 до 90 дней |
|
|
1.2.2.2.4 |
более 90 дней |
|
|
1.3. |
Справочно: микрокредиты, не связанные с осуществлением предпринимательской деятельности, на срок до сорока пяти календарных дней, в размере, не превышающем сорокапятикратного размера месячного расчетного показателя, установленного на соответствующий финансовый год законом о республиканском бюджете, в том числе по которым: |
|
|
1.3.1 |
отсутствует просроченная задолженность по основному долгу и (или) начисленному вознаграждению |
|
|
1.3.2 |
имеется просроченная задолженность по основному долгу и (или) начисленному вознаграждению, в том числе: |
|
|
1.3.2.1 |
от 1 до 30 дней |
|
|
1.3.2.2 |
от 31 до 60 дней |
|
|
1.3.2.3 |
от 61 до 90 дней |
|
|
1.3.2.4 |
более 90 дней |
|
|
1.4. |
Справочно: микрокредиты на цели, не связанные с осуществлением предпринимательской деятельности, из них |
|
|
1.4.1. |
на приобретение автомобильного транспорта |
|
|
1.4.1.1 |
с просроченной задолженностью более 90 дней |
|
|
1.4.2. |
на приобретение жилой недвижимости |
|
|
1.4.2.1 |
с просроченной задолженностью более 90 дней |
|
|
1.4.3. |
на приобретение земли/земельных участков |
|
|
1.4.3.1 |
с просроченной задолженностью более 90 дней |
|
|
1.4.4. |
для целей рефинансирования задолженности |
|
|
1.4.4.1 |
с просроченной задолженностью более 90 дней |
|
|
1.4.5. |
выданные без обеспечения на срок до 45 дней и в размере до 45 МРП |
|
|
1.4.5.1 |
с просроченной задолженностью более 90 дней |
|
|
1.4.6. |
на прочие цели |
|
|
1.4.6.1 |
с просроченной задолженностью более 90 дней |
|
|
2 |
Микрокредиты индивидуальным предпринимателям, в том числе: |
|
|
2.1. |
выданные с обеспечением исполнения обязательств, в том числе по которым: |
|
|
2.1.1 |
отсутствует просроченная задолженность по основному долгу и (или) начисленному вознаграждению |
|
|
2.1.2 |
имеется просроченная задолженность по основному долгу и (или) начисленному вознаграждению, в том числе: |
|
|
2.1.2.1 |
от 1 до 30 дней |
|
|
2.1.2.2 |
от 31 до 60 дней |
|
|
2.1.2.3 |
от 61 до 90 дней |
|
|
2.1.2.4 |
более 90 дней |
|
|
2.2 |
выданные без обеспечения исполнения обязательств, в том числе по которым: |
|
|
2.2.1 |
отсутствует просроченная задолженность по основному долгу и (или) начисленному вознаграждению |
|
|
2.2.2 |
имеется просроченная задолженность по основному долгу и (или) начисленному вознаграждению, в том числе: |
|
|
2.2.2.1 |
от 1 до 30 дней |
|
|
2.2.2.2 |
от 31 до 60 дней |
|
|
2.2.2.3 |
от 61 до 90 дней |
|
|
2.2.2.4 |
более 90 дней |
|
|
3 |
Микрокредиты юридическим лицам, в том числе |
|
|
3.1. |
выданные с обеспечением исполнения обязательств, в том числе по которым: |
|
|
3.1.1 |
отсутствует просроченная задолженность по основному долгу и (или) начисленному вознаграждению |
|
|
3.1.2 |
имеется просроченная задолженность по основному долгу и (или) начисленному вознаграждению, в том числе: |
|
|
3.1.2.1 |
от 1 до 30 дней |
|
|
3.1.2.2 |
от 31 до 60 дней |
|
|
3.1.2.3 |
от 61 до 90 дней |
|
|
3.1.2.4 |
более 90 дней |
|
|
3.2. |
выданные без обеспечения исполнения обязательств, в том числе по которым: |
|
|
3.2.1 |
отсутствует просроченная задолженность по основному долгу и (или) начисленному вознаграждению |
|
|
3.2.2 |
имеется просроченная задолженность по основному долгу и (или) начисленному вознаграждению, в том числе: |
|
|
3.2.2.1 |
от 1 до 30 дней |
|
|
3.2.2.2 |
от 31 до 60 дней |
|
|
3.2.2.3 |
от 61 до 90 дней |
|
|
3.2.2.4 |
более 90 дней |
|
|
3.3 |
Справочно: микрокредиты юридическим лицам в разрезе категорий субъектов предпринимательства |
|
|
3.3.1 |
субъектам малого предпринимательства |
|
|
3.3.1.1 |
отсутствует просроченная задолженность по основному долгу и (или) начисленному вознаграждению |
|
|
3.3.1.2 |
имеется просроченная задолженность по основному долгу и (или) начисленному вознаграждению, в том числе: |
|
|
3.3.1.2.1 |
от 1 до 30 дней |
|
|
3.3.1.2.2 |
от 31 до 60 дней |
|
|
3.3.1.2.3 |
от 61 до 90 дней |
|
|
3.3.1.2.4 |
более 90 дней |
|
|
3.3.2 |
субъектам среднего предпринимательства |
|
|
3.3.2.1 |
отсутствует просроченная задолженность по основному долгу и (или) начисленному вознаграждению |
|
|
3.3.2.2 |
имеется просроченная задолженность по основному долгу и (или) начисленному вознаграждению, в том числе: |
|
|
3.3.2.2.1 |
от 1 до 30 дней |
|
|
3.3.2.2.2 |
от 31 до 60 дней |
|
|
3.3.2.2.3 |
от 61 до 90 дней |
|
|
3.3.2.2.4 |
более 90 дней |
|
|
3.3.3 |
субъектам крупного предпринимательства |
|
|
3.3.3.1 |
отсутствует просроченная задолженность по основному долгу и (или) начисленному вознаграждению |
|
|
3.3.3.2 |
имеется просроченная задолженность по основному долгу и (или) начисленному вознаграждению, в том числе: |
|
|
3.3.3.2.1 |
от 1 до 30 дней |
|
|
3.3.3.2.2 |
от 31 до 60 дней |
|
|
3.3.3.2.3 |
от 61 до 90 дней |
|
|
3.3.3.2.4 |
более 90 дней |
|
|
4 |
Операции «обратное репо» |
|
|
5 |
Итого кредитный портфель, в том числе: |
|
|
5.1 |
отсутствует просроченная задолженность по основному долгу и (или) начисленному вознаграждению |
|
|
5.2 |
имеется просроченная задолженность по основному долгу и (или) начисленному вознаграждению, в том числе: |
|
|
5.2.1 |
от 1 до 30 дней |
|
|
5.2.2 |
от 31 до 60 дней |
|
|
5.2.3 |
от 61 до 90 дней |
|
|
5.2.4 |
более 90 дней |
продолжение таблицы:
|
в том числе |
|||||
|
Основной долг |
Дисконт, премия |
Начисленное вознаграждение |
Положительная или отрицательная корректировка |
Неустойка (штраф, пеня), учитываемая(ые) при расчете балансовой стоимости |
Резервы (провизии) |
|
4 |
5 |
6 |
7 |
8 |
9 |
продолжение таблицы:
|
Количество договоров о предоставлении микрокредита, единиц |
Количество уникальных заемщиков, единиц |
|
10 |
11 |
Наименование _________________________________________________
Адрес_________________________________________________________
Телефон ______________________________________________________
Адрес электронной почты _______________________________________
Исполнитель___________________________________________________
фамилия, имя и отчество (при его наличии) подпись, телефон
Руководитель или лицо, на которое возложена функция по подписанию отчета
_____________________________________ _____________________________
фамилия, имя и отчество (при его наличии) подпись
Дата «____» ______________ 20__ года
Примечание: форма заполняется в соответствии с пояснением по
заполнению формы, предназначенной для сбора административных данных на
безвозмездной основе «Отчет о микрокредитах, выданных микрофинансовой
организациией, в том числе по которым имеется просроченная задолженность».
| Приложение к форме, предназначенной для сбора административных данных на безвозмездной основе «Отчет о микрокредитах, выданных микрофинансовой организацией, в том числе по которым имеется просроченная задолженность» |
Пояснение по заполнению формы, предназначенной для сбора административных данных на безвозмездной основе
Отчет о микрокредитах, выданных микрофинансовой организацией, в том числе по которым имеется просроченная задолженность (индекс – MP_MFO_1, периодичность – ежемесячная)
Глава 1. Общие положения
1. Настоящее пояснение определяет единые требования по заполнению формы, предназначенной для сбора административных данных на безвозмездной основе «Отчет о микрокредитах, выданных микрофинансовой организацией, в том числе по которым имеется просроченная задолженность» (далее – Форма).
2. Форма заполняется микрофинансовой организацией ежемесячно. Данные в Форме заполняются в тысячах тенге. Сумма менее 500 (пятисот) тенге округляется до 0 (нуля), а сумма, равная 500 (пятистам) тенге и выше, округляется до 1000 (тысячи) тенге.
3. Форму подписывают руководитель или лицо, на которое возложена функция по подписанию отчета, и исполнитель.
4. Форма, подписанная руководителем микрофинансовой организации или лицом, на которое возложена функция по подписанию отчета, и исполнителем посредством электронной цифровой подписи, хранится в электронном формате.
Глава 2. Пояснение по заполнению Формы
5. В Форме указываются сведения о микрокредитах, по которым имеется просроченная задолженность по основному долгу и (или) начисленному вознаграждению, а также о микрокредитах, по которым отсутствует просроченная задолженность по основному долгу и (или) начисленному вознаграждению, по целям кредитования. При заполнении Формы сведения необходимо отражать с учетом соблюдения следующей детализации:
всего микрокредиты по типу субъекта (микрокредиты физическим лицам, не зарегистрированным в качестве индивидуального предпринимателя, индивидуальным предпринимателям, юридическим лицам);
микрокредиты с просроченной задолженностью (в том числе в разбивке дней просрочки) и без просроченной задолженности;
микрокредиты, выданные на цели, связанные и не связанные с осуществлением предпринимательской деятельности;
с учетом отражения наличия или отсутствия обеспечения исполнения обязательств;
микрокредиты без обеспечения на цели, не связанные с осуществлением предпринимательской деятельности на срок до сорока пяти календарных дней, в размере, не превышающем сорока пятикратного размера месячного расчетного показателя, установленного на соответствующий финансовый год законом о республиканском бюджете (МРП).
6. Данные по микрокредитам указываются в зависимости от количества дней просроченной задолженности по основному долгу и (или) начисленному вознаграждению по состоянию на отчетную дату. В Форме отражается весь остаток основного долга и начисленного вознаграждения по выданным микрокредитам до отчетной даты, в том числе с учетом просроченной задолженности.
7. В графе 3 отражается сумма граф 4, 5, 6, 7, 8 с учетом знаков в графе 5 и 7 и за вычетом графы 9.
8. В графе 5 дисконт указывается со знаком минус.
9. В графе 7 отрицательная корректировка указывается со знаком минус.
10. В графе 8 отражается сумма начисленной неустойки (штрафа, пени), учитываемая при расчете балансовой стоимости.
11. В графе 9 сумма резервов (провизий) указывается в абсолютном значении и со знаком плюс.
12. В графе 10 отражается количество договоров о предоставлении микрокредита.
13. В графе 11 отражается количество уникальных заемщиков, то есть фактическое количество заемщиков по каждому наименованию строки отчета без дублирования заемщиков при наличии у одного и того же заемщика нескольких договоров о предоставлении микрокредита.
14. В строках 1, 2, 3 микрокредиты учитываются без учета операции «обратное репо», сумма операций «обратное репо» указывается в строке 4.
15. В строке 1, за исключением графы 11, отражается сумма значений строк 1.1 и 1.2.
16. В строке 1.1, за исключением графы 11, отражается сумма значений строк 1.1.1 и 1.1.2.
17. В строке 1.1.1, за исключением графы 11, отражается сумма значений строк 1.1.1.1, 1.1.1.2 и 1.1.1.3.
18. В строке 1.1.1.1, за исключением графы 11, отражается сумма значений строк 1.1.1.1.1, 1.1.1.1.2.
19. В строке 1.1.1.1.2, за исключением графы 11, отражается сумма значений строк 1.1.1.1.2.1, 1.1.1.1.2.2, 1.1.1.1.2.3, .1.1.1.1.2.4.
20. В строке 1.1.1.2, за исключением графы 11, отражается сумма значений строк 1.1.1.2.1, 1.1.1.2.2.
21. В строке 1.1.1.2.2, за исключением графы 11, отражается сумма значений строк 1.1.1.2.2.1, 1.1.1.2.2.2, 1.1.1.2.2.3, 1.1.1.2.2.4.
22. В строке 1.1.1.3, за исключением графы 11, отражается сумма значений строк 1.1.1.3.1, 1.1.1.3.2.
23. В строке 1.1.1.3.2, за исключением графы 11, отражается сумма значений строк 1.1.1.3.2.1, 1.1.1.3.2.2, 1.1.1.3.2.3, 1.1.1.3.2.4.
24. В строке 1.1.2, за исключением графы 11, отражается сумма значений строк 1.1.2.1, 1.1.2.2.
25. В строке 1.1.2.2, за исключением графы 11, отражается сумма значений строк 1.1.2.2.1, 1.1.2.2.2, 1.1.2.2.3, 1.1.2.2.4
26. В строке 1.2, за исключением графы 11, отражается сумма значений строк 1.2.1 и 1.2.2.
27. В строке 1.2.1, за исключением графы 11, отражается сумма значений строк 1.2.1.1, 1.2.1.2 и 1.2.1.3.
28. В строке 1.2.1.1, за исключением графы 11, отражается сумма значений строк 1.2.1.1.1, 1.2.1.1.2.
29. В строке 1.2.1.1.2, за исключением графы 11, отражается сумма значений строк 1.2.1.1.2.1, 1.2.1.1.2.2, 1.2.1.1.2.3, 1.2.1.1.2.4.
30. В строке 1.2.1.2, за исключением графы 11, отражается сумма значений строк 1.2.1.2.1, 1.2.1.2.2.
31. В строке 1.2.1.2.2, за исключением графы 11, отражается сумма значений строк 1.2.1.2.2.1, 1.2.1.2.2.2, 1.2.1.2.2.3, 1.2.1.2.2.4.
32. В строке 1.2.1.3, за исключением графы 11, отражается сумма значений строк 1.2.1.3.1, 1.2.1.3.2.
33. В строке 1.2.1.3.2, за исключением графы 11, отражается сумма значений строк 1.2.1.3.2.1, 1.2.1.3.2.2, 1.2.1.3.2.3, 1.2.1.3.2.4.
34. В строке 1.2.2, за исключением графы 11, отражается сумма значений строк 1.2.2.1, 1.2.2.2.
35. В строке 1.2.2.2, за исключением графы 11, отражается сумма значений строк 1.2.2.2.1, 1.2.2.2.2, 1.2.2.2.3, 1.2.2.2.4.
36. В строке 1.3 отражается справочная информация по микрокредитам без обеспечения, на цели, не связанные с осуществлением предпринимательской деятельности, соответствующим абзацу 4 части 1 пункта 1 Совместного постановления Правления Агентства Республики Казахстан по регулированию и развитию финансового рынка от 16 августа 2024 года № 62 и постановления Правления Национального Банка Республики Казахстан от 19 августа 2024 года № 45 «Об определении предельных размеров годовой эффективной ставки вознаграждения» (зарегистрировано в Реестре государственной регистрации нормативных правовых актов под № 34960), то есть по микрокредитам, предоставляемым на срок до сорока пяти календарных дней, в размере, не превышающем сорокапятикратного размера месячного расчетного показателя, установленного на соответствующий финансовый год законом о республиканском бюджете, и равна, за исключением графы 11, сумме значений строк 1.3.1, 1.3.2.
Значения в строке 1.3 не должны превышать значения в строке 1.2.2.
Значения в строке 1.3.1 не должны превышать значения в строке 1.2.2.1.
Значения в строке 1.3.2 не должны превышать значения в строке 1.2.2.2.
У микрофинансовой организации, выдающей микрокредиты только электронным способом (онлайн микрокредиты), значения строки 1.3 должны быть равны строке 5 «Итого кредитный портфель».
37. В строке 1.3.2, за исключением графы 11, отражается сумма значений строк 1.3.2.1, 1.3.2.2, 1.3.2.3, 1.3.2.4.
38. Значения в строке 1.3.2.1 не должны превышать значения в строке 1.2.2.2.1.
39. Значения в строке 1.3.2.2 не должны превышать значения в строке 1.2.2.2.2.
40. Значения в строке 1.3.2.3 не должны превышать значения в строке 1.2.2.2.3.
41. Значения в строке 1.3.2.4 не должны превышать значения в строке 1.2.2.2.4.
42. В строке 1.4 отражается справочная информация по микрокредитам физических лиц на цели, не связанные с осуществлением предпринимательской деятельности, в разрезе целевого использования и равна, за исключением графы 11, сумме значений строк 1.4.1, 1.4.2, 1.4.3, 1.4.4, 1.4.5, 1.4.6.
Значения в строке 1.4 должны совпадать со значениями в строке 1.2 и не суммируются в строке 5 «Итого кредитный портфель».
43. В строке 2, за исключением графы 11, отражается сумма значений строк 2.1 и 2.2.
44. В строке 2.1, за исключением графы 11, отражается сумма значений строк 2.1.1, 2.1.2
45. В строке 2.1.2, за исключением графы 11, отражается сумма значений строк 2.1.2.1, 2.1.2.2, 2.1.2.3, 2.1.2.4.
46. В строке 2.2, за исключением графы 11, отражается сумма значений строк 2.2.1, 2.2.2.
47. В строке 2.2.2, за исключением графы 11, отражается сумма значений строк 2.2.2.1, 2.2.2.2, 2.2.2.3, 2.2.2.4.
48. В строке 3, за исключением графы 11, отражается сумма значений строк 3.1 и 3.2.
49. В строке 3.1, за исключением графы 11, отражается сумма значений строк 3.1.1, 3.1.2,
50. В строке 3.1.2, за исключением графы 11, отражается сумма значений строк 3.1.2.1, 3.1.2.2, 3.1.2.3, 3.1.2.4.
51. В строке 3.2, за исключением графы 11, отражается сумма значений строк 3.2.1, 3.2.2,
52. В строке 3.2.2, за исключением графы 11, отражается сумма значений строк 3.2.2.1, 3.2.2.2, 3.2.2.3, 3.2.2.4.
53. В строке 3.3 отражается справочная информация по микрокредитам юридическим лицам в разрезе категорий субъектов предпринимательства и равна, за исключением графы 11, сумме значений строк 3.3.1, 3.3.2, 3.3.3.
Значения в строке 3.3 должны совпадать со значениями в строке 3 и не суммируются в строке 5 «Итого кредитный портфель».
54. В строке 5, за исключением графы 11, отражается сумма значений строк 4, 5.1 и 5.2.
В графе 11 строки 5 отражается сумма значений строк 1, 2 и 3 графы 11.
55. В строке 5.1, за исключением графы 11, отражается сумма значений строк 1.1.1.1.1, 1.1.1.2.1, 1.1.1.3.1, 1.1.2.1, 1.2.1.1.1, 1.2.1.2.1, 1.2.1.3.1, 1.2.2.1, 2.1.1, 2.2.1, 3.1.1, 3.2.1.
56. В строке 5.2, за исключением графы 11, отражается сумма значений строк 5.2.1, 5.2.2, 5.2.3, 5.2.4.
57. В строке 5.2.1, за исключением графы 11, отражается сумма значений строк 1.1.1.1.2.1, 1.1.1.2.2.1, 1.1.1.3.2.1, 1.1.2.2.1, 1.2.1.1.2.1, 1.2.1.2.2.1, 1.2.1.3.2.1, 1.2.2.2.1, 2.1.2.1, 2.2.2.1, 3.1.2.1, 3.2.2.1.
58. В строке 5.2.2, за исключением графы 11, отражается сумма значений строк 1.1.1.1.2.2, 1.1.1.2.2.2, 1.1.1.3.2.2, 1.1.2.2.2, 1.2.1.1.2.2, 1.2.1.2.2.2, 1.2.1.3.2.2, 1.2.2.2.2, 2.1.2.2, 2.2.2.2, 3.1.2.2, 3.2.2.2.
59. В строке 5.2.3, за исключением графы 11, отражается сумма значений строк 1.1.1.1.2.3, 1.1.1.2.2.3, 1.1.1.3.2.3, 1.1.2.2.3, 1.2.1.1.2.3, 1.2.1.2.2.3, 1.2.1.3.2.3, 1.2.2.2.3, 2.1.2.3, 2.2.2.3, 3.1.2.3, 3.2.2.3.
60. В строке 5.2.4, за исключением графы 11, отражается сумма значений строк 1.1.1.1.2.4, 1.1.1.2.2.4, 1.1.1.3.2.4, 1.1.2.2.4, 1.2.1.1.2.4, 1.2.1.2.2.4, 1.2.1.3.2.4, 1.2.2.2.4, 2.1.2.4, 2.2.2.4, 3.1.2.4, 3.2.2.4.
61. Сумма строк 1, 2, и 3, за исключением графы 11, равна разнице значений строк 5 и 4.
62. В случае отсутствия сведений Форма представляется с нулевыми значениями.
| Приложение 4 к Правилам представления отчетности организацией, осуществляющей микрофинансовую деятельность Форма, предназначенная для сбора административных данных |
Представляется: в территориальный филиал Национального Банка Республики Казахстан
Форма, предназначенная для сбора административных данных на безвозмездной основе, размещена на интернет-ресурсе: www.nationalbank.kz
Наименование административной формы: отчет о выполнении пруденциальных нормативов и иных обязательных к соблюдению норм и лимитов
Индекс формы, предназначенной для сбора административных данных на безвозмездной основе: PN-1
Периодичность: ежемесячная
Отчетный период: по состоянию на __________ 20__года
Круг лиц, представляющих форму, предназначенную для сбора административных данных на безвозмездной основе: микрофинансовая организация
Срок представления формы, предназначенной для сбора административных данных на безвозмездной основе: ежемесячно, до 25 (двадцать пятого) числа (включительно) месяца, следующего за отчетным месяцем
Бизнес — идентификационный номер: _________________________
Метод сбора: в электронном виде
| (в тысячах тенге) |
|
№ |
Наименование статей |
Сумма |
|
1 |
2 |
3 |
|
1. |
Оплаченный уставный капитал |
|
|
2. |
Дополнительный капитал |
|
|
3. |
Нераспределенная чистая прибыль (убыток) прошлых лет |
|
|
4. |
Фонды, резервы, сформированные за счет чистого дохода прошлых лет |
|
|
5. |
Нераспределенная чистая прибыль (убыток) отчетного периода |
|
|
6. |
Переоценка основных средств |
|
|
7. |
Субординированный долг в виде необеспеченного обязательства микрофинансовой организации перед юридическими лицами-резидентами и нерезидентами Республики Казахстан (за исключением юридических лиц, зарегистрированных на территории государств, отнесенных Организацией экономического сотрудничества и развития к перечню офшорных территорий, не принявших обязательства по информационному обмену) |
|
|
8. |
Нематериальные активы, за исключением лицензионного программного обеспечения, приобретенного для целей основной деятельности микрофинансовой организации |
|
|
9. |
Инвестиции в акции или доли участия в уставные капиталы юридических лиц |
|
|
10. |
Расчетный собственный капитал микрофинансовой организации |
|
|
11. |
Активы, взвешенные по степени кредитного риска |
|
|
12. |
Коэффициент достаточности собственного капитала k1 |
|
|
12.1 |
Микрокредиты с просроченной задолженностью по основному долгу, начисленному вознаграждению свыше 90 (девяносто) календарных дней, учитываемые микрофинансовой организацией на балансовых счетах |
|
|
12.2 |
Микрокредиты, списанные на внебалансовый учет |
|
|
12.3 |
Ссудный портфель микрофинансовой организации |
|
|
12.4 |
Лимит на долю просроченной задолженности по основному долгу, начисленному вознаграждению свыше 90 (девяноста) календарных дней в общей сумме ссудного портфеля микрофинансовой организации |
|
|
13. |
Совокупная задолженность одного заемщика перед микрофинансовой организацией (включая задолженность, списанную с баланса микрофинансовой организации) |
|
|
14. |
Коэффициент максимального размера риска на одного заемщика k2 |
|
|
15. |
Совокупные обязательства микрофинансовой организации |
|
|
16. |
Коэффициент левереджа k3 |
Наименование __________________________________________________
Адрес__________________________________________________________
Телефон _______________________________________________________
Адрес электронной почты ________________________________________
Исполнитель_________________________________ __________________
фамилия, имя и отчество (при его наличии) подпись, телефон
Руководитель или лицо, на которое возложена функция по подписанию
отчета _____________________________________ ________________________
фамилия, имя и отчество (при его наличии) подпись
Дата «____» ______________ 20__ года
Примечание: форма заполняется в соответствии с пояснением по заполнению формы, предназначенной для сбора административных данных на безвозмездной основе «Отчет о выполнении пруденциальных нормативов и иных обязательных к соблюдению норм и лимитов».
| Приложение к форме, предназначенной для сбора административных данных на безвозмездной основе «Отчет о выполнении пруденциальных нормативов и иных обязательных к соблюдению норм и лимитов» |
Пояснение по заполнению формы, предназначенной для сбора административных данных на безвозмездной основе
Отчет о выполнении пруденциальных нормативов и иных обязательных к соблюдению норм и лимитов (индекс – PN-1, периодичность – ежемесячная)
Глава 1. Общие положения
1. Настоящее пояснение определяет единые требования по заполнению формы, предназначенной для сбора административных данных на безвозмездной основе, «Отчет о выполнении пруденциальных нормативов и иных обязательных к соблюдению норм и лимитов» (далее – Форма).
2. Форма заполняется ежемесячно микрофинансовой организацией. Данные в Форме заполняются в тысячах тенге. Сумма менее 500 (пятисот) тенге округляется до 0 (нуля), а сумма, равная 500 (пятистам) тенге и выше, округляется до 1000 (тысячи) тенге.
3. Форму подписывают руководитель или лицо, на которое возложена функция по подписанию отчета, и исполнитель.
Глава 2. Пояснение по заполнению Формы
4. В строке 11 отражается сумма, соответствующая сумме в графе 6 строки «Итого активы, взвешенные по степени кредитного риска» отчета о расшифровке активов, взвешенных с учетом кредитного риска.
5. В строке 12.1 отражается сумма основного долга и начисленного вознаграждения по микрокредитам с просроченной задолженностью по основному долгу, начисленному вознаграждению свыше 90 (девяноста) календарных дней.
6. В строке 12.2 отражается сумма основного долга и начисленного вознаграждения по микрокредитам, списанным на внебалансовый учет.
7. В строке 12.3 отражается ссудный портфель микрофинансовой организации (без учета операций «Обратное репо»), который включает в себя сумму основного долга и начисленного вознаграждения, учитываемых микрофинансовой организацией на балансовых счетах.
8. В строке 12.4 указывается значение в процентном выражении с тремя знаками после запятой.
9. В строке 13 отражается сумма, соответствующая сумме в графе 18 отчета о расшифровке максимального размера риска на одного заемщика.
11. В строках 12, 14 и 16 указываются значения с тремя знаками после запятой.
| Приложение 5 к Правилам представления отчетности организацией, осуществляющей микрофинансовую деятельность Форма, предназначенная для сбора административных данных |
Представляется: в территориальный филиал Национального Банка Республики Казахстан
Форма, предназначенная для сбора административных данных на безвозмездной основе, размещена на интернет-ресурсе: www.nationalbank.kz
Наименование административной формы: отчет о расшифровке активов, взвешенных с учетом кредитного риска
Индекс формы, предназначенной для сбора административных данных на безвозмездной основе: PN-2
Периодичность: ежемесячная
Отчетный период: по состоянию на __________ 20__года
Круг лиц, представляющих форму, предназначенную для сбора административных данных на безвозмездной основе: микрофинансовая организация
Срок представления формы, предназначенной для сбора административных данных на безвозмездной основе: ежемесячно, до 25 (двадцать пятого) числа (включительно) месяца, следующего за отчетным месяцем
Бизнес — идентификационный номер: _________________________
Метод сбора: в электронном виде
| (в тысячах тенге) |
|
№ |
|
Наименование статей |
Сумма |
Степень риска в процентах |
Сумма к расчету |
|
1 |
2 |
3 |
4 |
5 |
6 |
|
1. |
Справочник группы |
Вид актива, подлежащего взвешиванию по степени кредитного риска (справочник) |
|||
|
Итого активы, взвешенные по степени кредитного риска: |
Х |
Наименование ________________________________________________
Адрес________________________________________________________
Телефон ______________________________________________________
Адрес электронной почты _______________________________________
Исполнитель___________________________________________________
фамилия, имя и отчество (при его наличии) подпись, телефон
Руководитель или лицо, на которое возложена функция по подписанию отчета
_____________________________________________ _____________ фамилия,
имя и отчество (при его наличии) подпись
Дата «____» ______________ 20__ года
Примечание: форма заполняется в соответствии с пояснением по
заполнению формы, предназначенной для сбора административных данных
на безвозмездной основе «Отчет о расшифровке активов, взвешенных с учетом
кредитного риска».
| Приложение к форме, предназначенной для сбора административных данных на безвозмездной основе «Отчет о расшифровке активов, взвешенных с учетом кредитного риска» |
Пояснение по заполнению формы, предназначенной для сбора административных данных на безвозмездной основе
Отчет о расшифровке активов, взвешенных с учетом кредитного риска (индекс – PN-2, периодичность – ежемесячная)
Глава 1. Общие положения
1. Настоящее пояснение определяет единые требования по заполнению формы, предназначенной для сбора административных данных на безвозмездной основе «Отчет о расшифровке активов, взвешенных с учетом кредитного риска» (далее – Форма).
2. Форма заполняется ежемесячно микрофинансовой организацией. Данные в Форме заполняются в тысячах тенге. Сумма менее 500 (пятисот) тенге округляется до 0 (нуля), а сумма, равная 500 (пятистам) тенге и выше, округляется до 1000 (тысячи) тенге.
3. Форму подписывают руководитель или лицо, на которое возложена функция по подписанию отчета, и исполнитель.
Глава 2. Пояснение по заполнению Формы
4. При заполнении Формы указываются сведения, рассчитанные в соответствии с пруденциальными нормативами и иными обязательными к соблюдению организацией, осуществляющей микрофинансовую деятельность, нормами и лимитами, методикой их расчетов, утвержденными постановлением Правления Национального Банка Республики Казахстан от 14 ноября 2019 года № 192 «Об утверждении пруденциальных нормативов и иных обязательных к соблюдению организацией, осуществляющей микрофинансовую деятельность, норм и лимитов, методики их расчетов» (зарегистрировано в Реестре государственной регистрации нормативных правовых актов под № 19629) (далее – Пруденциальные нормативы).
5. В графе 2 значения вида группы выбираются из справочника «Справочник группы», размещенного в информационной системе, посредством которой представляется Форма.
6. В графе 3 значения выбираются из справочника «Вид актива, подлежащего взвешиванию по степени кредитного риска», размещенного в информационной системе, посредством которой представляется Форма.
7. В графе 4 указывается сумма активов по балансовой стоимости за вычетом провизий (резервов), сформированных в соответствии с Правилами осуществления классификации активов и условных обязательств по предоставленным микрокредитам, отнесения активов по предоставленным микрокредитам к сомнительным и безнадежным, а также создания провизий (резервов) против них, утвержденными постановлением Правления Национального Банка Республики Казахстан от 27 марта 2018 года № 62 «Об утверждении Правил осуществления классификации активов и условных обязательств по предоставленным микрокредитам, отнесения активов по предоставленным микрокредитам к сомнительным и безнадежным, а также создания провизий (резервов) против них» (зарегистрировано в Реестре государственной регистрации нормативных правовых актов под № 16858), подлежащих взвешиванию по степени кредитного риска.
8. В графе 5 указывается степень риска в процентах для каждой группы активов, согласно Пруденциальным нормативам. Значения степени риска в процентах выбираются из справочников, размещенных в информационной системе, посредством которой представляется Форма.
9. В графе 6 указывается сумма активов, указанная в графе 4, умноженная на степень риска в процентах (графа 5).
10. В случае отсутствия сведений Форма представляется без заполнения.
| Приложение 6 к Правилам представления отчетности организацией, осуществляющей микрофинансовую деятельность Форма, предназначенная для сбора административных данных |
Представляется: в территориальный филиал Национального Банка Республики Казахстан
Форма, предназначенная для сбора административных данных на безвозмездной основе, размещена на интернет-ресурсе: www.nationalbank.kz
Наименование административной формы: отчет о расшифровке максимального размера риска на одного заемщика
Индекс формы, предназначенной для сбора административных данных на безвозмездной основе: R_MRZ_1
Периодичность: ежемесячная
Отчетный период: по состоянию на __________ 20__года
Круг лиц, представляющих форму, предназначенную для сбора административных данных на безвозмездной основе: микрофинансовая организация
Срок представления формы, предназначенной для сбора административных данных на безвозмездной основе: ежемесячно, до 25 (двадцать пятого) числа (включительно) месяца, следующего за отчетным месяцем
Бизнес — идентификационный номер: _________________________
Метод сбора: в электронном виде
| (в тысячах тенге) |
|
№ |
Наименование заемщика |
Индивидуальный идентификационный номер, бизнес-идентификационный номер |
Сумма требований по займу (микрокредиту) |
Всего сумма фактически созданных провизий |
Балансовая стоимость |
Обеспечение исполнения обязательств |
||||
|
Основной долг |
Начисленное вознаграждение |
Неустойка (штраф, пеня) в случае соответствия критериям признания актива |
Дисконт (премия) |
аффинированные драгоценные металлы, соответствующие международным стандартам качества, принятые Лондонской ассоциацией рынка драгоценных металлов (London billion market association) и обозначенные в документах данной ассоциации как стандарт «Лондонская качественная поставка» («London good delivery») |
гарантии банков, имеющих долгосрочный долговой рейтинг не ниже «А» рейтингового агентства Стандард энд Пурс (Standard & Poor’s) или рейтинг аналогичного уровня одного из других рейтинговых агентств |
|||||
|
1 |
2 |
3 |
4 |
5 |
6 |
7 |
8 |
9 |
10 |
11 |
|
Итого: |
||||||||||
продолжение таблицы:
|
Списания с баланса в отчетном периоде по займу (микрокредиту) |
Сумма требований по дебиторской задолженности |
Совокупная задолженность одного заемщика перед микрофинансовой организацией (включая задолженность, списанную с баланса микрофинансовой организации) |
||||
|
Основной долг |
Начисленное вознаграждение |
Неустойка (штрафы, пени) в случае соответствия критериям признания актива |
Дебиторская задолженность |
Всего сумма фактически созданных провизий |
Балансовая стоимость |
|
|
12 |
13 |
14 |
15 |
16 |
17 |
18 |
Наименование ________________________________________________________
Адрес________________________________________________________________
Телефон _____________________________________________________________
Адрес электронной почты ______________________________________________
Исполнитель________________________________________ ________________
фамилия, имя и отчество (при его наличии) подпись, телефон
Руководитель или лицо, на которое возложена функция по подписанию отчета
________________________________________________________ _________________
фамилия, имя и отчество (при его наличии) подпись
Дата «____» ______________ 20__ года
Примечание: форма заполняется в соответствии с пояснением по заполнению
формы, предназначенной для сбора административных данных на безвозмездной основе
«Отчет о расшифровке максимального размера риска на одного заемщика».
| Приложение к форме, предназначенной для сбора административных данных на безвозмездной основе «Отчет о расшифровке максимального размера риска на одного заемщика» |
Пояснение по заполнению формы, предназначенной для сбора административных данных на безвозмездной основе
Отчет о расшифровке максимального размера риска на одного заемщика (индекс – R_MRZ_1, периодичность – ежемесячная)
Глава 1. Общие положения
1. Настоящее пояснение определяет единые требования по заполнению формы, предназначенной для сбора административных данных на безвозмездной основе, «Отчет о расшифровке максимального размера риска на одного заемщика» (далее – Форма).
2. Форма заполняется ежемесячно микрофинансовой организацией. Данные в Форме заполняются в тысячах тенге. Сумма менее 500 (пятисот) тенге округляется до 0 (нуля), а сумма, равная 500 (пятистам) тенге и выше, округляется до 1000 (тысячи) тенге.
3. Форму подписывают руководитель или лицо, на которое возложена функция по подписанию отчета, и исполнитель.
Глава 2. Пояснение по заполнению Формы
4. В Форме отражаются данные по одному заемщику микрофинансовой организации, у которого на отчетную дату имеется максимальная совокупная задолженность по сравнению с остальными заемщиками.
5. Если на отчетную дату максимальная совокупная задолженность составила одинаковую величину по нескольким заемщикам, то в Форме отражаются данные только по одному (любому) из этих заемщиков.
6. При заполнении Формы указываются сведения, рассчитанные в соответствии с пруденциальными нормативами и иными обязательными к соблюдению организацией, осуществляющей микрофинансовую деятельность, нормами и лимитами, методикой их расчетов, утвержденными постановлением Правления Национального Банка Республики Казахстан от 14 ноября 2019 года № 192 «Об утверждении пруденциальных нормативов и иных обязательных к соблюдению организацией, осуществляющей микрофинансовую деятельность, норм и лимитов, методики их расчетов» (зарегистрировано в Реестре государственной регистрации нормативных правовых актов под № 19629).
7. В графах 5 и 13 Формы указывается сумма начисленного, но не погашенного (не полученного) вознаграждения.
8. В случае отсутствия сведений Форма представляется без заполнения.
| Приложение 7 к Правилам представления отчетности организацией, осуществляющей микрофинансовую деятельность |
|
| Форма, предназначенная для сбора административных данных |
Представляется: в территориальный филиал Национального Банка Республики Казахстан
Форма, предназначенная для сбора административных данных на безвозмездной основе размещена на интернет-ресурсе: www.nationalbank.kz
Наименование административной формы: отчет о результатах осуществления дополнительных видов деятельности
Индекс формы, предназначенной для сбора административных данных на безвозмездной основе: DVD_MFO_1
Периодичность: ежеквартальная
Отчетный период: по состоянию на «___» __________ 20__года
Круг лиц, представляющих форму, предназначенную для сбора административных данных на безвозмездной основе: микрофинансовая организация
Срок представления формы, предназначенной для сбора административных данных на безвозмездной основе: ежеквартально, до 25 (двадцать пятого) числа (включительно) месяца, следующего за отчетным кварталом
Бизнес — идентификационный номер: ___________________________
Метод сбора: в электронном виде
| (в тысячах тенге, единиц) |
|
Код показателя |
Наименование дополнительного вида деятельности |
Количество договоров на конец отчетного периода, единиц |
в том числе, количество договоров, заключенных в отчетном периоде, единиц |
Количество контрагентов на конец отчетного периода, единиц |
Количество клиентов на конец отчетного периода, единиц |
Чистая (ый) прибыль (убыток), полученная (ый) от дополнительного (ых) вида (ов) деятельности, тысяч тенге |
|
1 |
2 |
3 |
4 |
5 |
6 |
7 |
|
1 |
инвестирование собственных активов в ценные бумаги и иные финансовые инструменты |
|||||
|
2 |
оказание консультационных услуг по вопросам, связанным с деятельностью по предоставлению микрокредитов |
|||||
|
3 |
сдача в имущественный наем (аренду) собственного имущества |
|||||
|
4 |
реализация собственного имущества |
|||||
|
5 |
осуществление лизинговой деятельности |
|||||
|
6 |
реализация специальной литературы по вопросам деятельности микрофинансовых организаций на любых видах носителей информации |
|||||
|
7 |
осуществление функций платежного агента и платежного субагента |
|||||
|
8 |
заключение договоров страхования от имени и по поручению страховых организаций-резидентов Республики Казахстан в качестве страхового агента |
|||||
|
9 |
осуществление функций агента системы электронных денег в соответствии с законодательством Республики Казахстан |
|||||
|
10 |
факторинговые операции: приобретение прав требования платежа с покупателя товаров (работ, услуг) с принятием риска неплатежа |
|||||
|
11 |
форфейтинговые операции (форфейтирование): оплата долгового обязательства покупателя товаров (работ, услуг) путем покупки векселя без оборота на продавца |
|||||
|
12 |
выдача гарантий, поручительств и иных обязательств, предусматривающих исполнение в денежной форме |
|||||
|
13 |
Всего по дополнительным видам деятельности |
Наименование ________________________________________________
Адрес________________________________________________________
Телефон ______________________________________________________
Адрес электронной почты _______________________________________
Исполнитель_________________________________ _________________
фамилия, имя и отчество (при его наличии) подпись, телефон
Руководитель или лицо, на которое возложена функция по подписанию
отчета _____________________________________ ______________________
фамилия, имя и отчество (при его наличии) подпись
Дата «____» ______________ 20__ года
Примечание: форма заполняется в соответствии с пояснением по
заполнению формы, предназначенной для сбора административных данных на
безвозмездной основе «Отчет о результатах осуществления дополнительных
видов деятельности».
| Приложение к форме, предназначенной для сбора административных данных на безвозмездной основе «Отчет о результатах осуществления дополнительных видов деятельности» |
Пояснение по заполнению формы, предназначенной для сбора административных данных на безвозмездной основе
Отчет о результатах осуществления дополнительных видов деятельности (индекс – DVD_MFO_1, периодичность – ежеквартальная)
Глава 1. Общие положения
1. Настоящее пояснение определяет единые требования по заполнению формы, предназначенной для сбора административных данных на безвозмездной основе «Отчет о результатах осуществления дополнительных видов деятельности» (далее – Форма).
2. Форма заполняется микрофинансовой организацией ежеквартально. Данные в Форме заполняются в тысячах тенге. Сумма менее 500 (пятисот) тенге округляется до 0 (нуля), а сумма, равная 500 (пятистам) тенге и выше, округляется до 1000 (тысячи) тенге.
3. Форму подписывают руководитель или лицо, на которое возложена функция по подписанию отчета, и исполнитель.
4. Форма, подписанная руководителем микрофинансовой организации или лицом, на которое возложена функция по подписанию отчета, и исполнителем посредством электронной цифровой подписи, хранится в электронном формате.
Глава 2. Пояснение по заполнению Формы
5. В графе 2 отражены наименования дополнительных видов деятельности, предусмотренных пунктом 1-2 статьи 3 Закона Республики Казахстан «О микрофинансовой деятельности».
6. Графа 3 предназначена для отражения сведений по количеству договоров (в единицах), действующих на конец отчетного периода.
7. Графа 4 предназначена для отражения сведений по количеству договоров (в единицах), заключенных в отчетном периоде.
8. Графа 5 предназначена для отражения сведений по количеству контрагентов (в единицах), действующих на конец отчетного периода.
9. Графа 6 предназначена для отражения сведений по количеству клиентов (в единицах), действующих на конец отчетного периода.
10. Графа 7 предназначена для отражения сведений о чистой прибыли (убытке), полученной от дополнительного (-ых) вида (ов) деятельности в отчетном периоде.
11. В случае отсутствия сведений Форма представляется с нулевыми значениями.
| Приложение 8 к Правилам представления отчетности организацией, осуществляющей микрофинансовую деятельность Форма, предназначенная для сбора административных данных |
Представляется: в территориальный филиал Национального Банка Республики Казахстан
Форма, предназначенная для сбора административных данных на безвозмездной основе размещена на интернет-ресурсе: www.nationalbank.kz
Наименование административной формы: отчет о структуре инвестиций в капитал юридических лиц
Индекс формы, предназначенной для сбора административных данных на безвозмездной основе: IKUL_MFO_KT_L_1
Периодичность: ежеквартальная
Отчетный период: по состоянию на «___» __________ 20__года
Круг лиц, представляющих форму, предназначенную для сбора административных данных на безвозмездной основе: микрофинансовая организация, кредитное товарищество, ломбард
Срок представления формы, предназначенной для сбора административных данных на безвозмездной основе: ежеквартально, до 25 (двадцать пятого) числа (включительно) месяца, следующего за отчетным кварталом
Бизнес — идентификационный номер: _______________________________
Метод сбора: в электронном виде
|
Код показателя |
Наименование показателя |
БИН юридического лица |
Наименование юридического лица |
Балансовая стоимость |
|
1 |
2 |
3 |
4 |
5 |
|
10 |
Простые акции, всего |
|||
|
11 |
||||
|
… |
||||
|
20 |
Привилегированные акции, всего |
|||
|
21 |
||||
|
… |
||||
|
30 |
Вклады и паи, всего |
|||
|
31 |
||||
|
… |
||||
|
40 |
Облигации, всего |
|||
|
41 |
||||
|
… |
||||
|
50 |
Всего инвестиций в капитал юридических лиц |
продолжение таблицы:
|
Количество (штук) |
Доля участия в уставном капитале юридического лица (в %) |
Дата приобретения |
Примечание |
|
6 |
7 |
8 |
9 |
Наименование __________________________________________________
Адрес__________________________________________________________
Телефон ________________________________________________________
Адрес электронной почты _________________________________________
Исполнитель____________________________ ________________________
фамилия, имя и отчество (при его наличии) подпись, телефон
Руководитель или лицо, на которое возложена функция по подписанию
отчета _____________________________________ ________________________
фамилия, имя и отчество (при его наличии) подпись
Дата «____» ______________ 20__ года
Примечание: форма заполняется в соответствии с пояснением по
заполнению формы, предназначенной для сбора административных данных на
безвозмездной основе «Отчет о структуре инвестиций в капитал юридических лиц».
| Приложение к форме, предназначенной для сбора административных данных на безвозмездной основе «Отчет о структуре инвестиций в капитал юридических лиц» |
Пояснение по заполнению формы, предназначенной для сбора административных данных на безвозмездной основе
Отчет о структуре инвестиций в капитал юридических лиц (индекс – IKUL_MFO_KT_L_1, периодичность – ежеквартальная)
Глава 1. Общие положения
1. Настоящее пояснение определяет единые требования по заполнению формы, предназначенной для сбора административных данных на безвозмездной основе «Отчет о структуре инвестиций в капитал юридических лиц» (далее – Форма).
2. Форма заполняется микрофинансовой организацией, кредитным товариществом и ломбардом ежеквартально. Данные в Форме заполняются в тысячах тенге. Сумма менее 500 (пятисот) тенге округляется до 0 (нуля), а сумма, равная 500 (пятистам) тенге и выше, округляется до 1000 (тысячи) тенге.
3. Форму подписывают руководитель или лицо, на которое возложена функция по подписанию отчета, и исполнитель.
4. Форма, подписанная руководителем микрофинансовой организации или лицом, на которое возложена функция по подписанию отчета, и исполнителем посредством электронной цифровой подписи, хранится в электронном формате
Глава 2. Пояснение по заполнению Формы
5. Все данные Формы представляются в разрезе простых и привилегированных акций, вкладов и паев, а также облигаций юридических лиц, в капитале которых участвует микрофинансовая организация, кредитное товарищество или ломбард.
6. В строке 40 указываются облигации юридических лиц, выпущенные для целей их размещения на организованном рынке ценных бумаг Республики Казахстан и (или) допуска к торгам на фондовой бирже, функционирующей на территории Международного финансового центра «Астана».
7. В графе 5 указывается сумма балансовой стоимости, по которой финансовый актив признается на балансе с учетом начисленных доходов, после вычета сформированных по ним резервов (провизий).
8. В графе 6 указывается количество (штук) простых акций, привилегированных акций и облигаций юридических лиц, в капитале которых участвует микрофинансовая организация, кредитное товарищество или ломбард.
9. В графе 7 указывается значение доли участия в уставном капитале юридического лица в процентах с двумя знаками после запятой.
10. В графе 8 указывается дата регистрации сделки с эмиссионными ценными бумагами в системе реестров держателей ценных бумаг. По иным сделкам указывается дата (момент) возникновения права собственности в соответствии с законодательством Республики Казахстан.
11. В случае отсутствия сведений Форма представляется с нулевыми значениями.
| Приложение 9 к Правилам представления отчетности организацией, осуществляющей микрофинансовую деятельность Форма, предназначенная для сбора административных данных |
Представляется: в территориальный филиал Национального Банка Республики Казахстан
Форма, предназначенная для сбора административных данных на безвозмездной основе размещена на интернет-ресурсе: www.nationalbank.kz
Наименование административной формы: отчет об основных источниках привлеченных денег
Индекс формы, предназначенной для сбора административных данных на безвозмездной основе: OI_MFO_KT_L_1
Периодичность: ежеквартальная
Отчетный период: по состоянию на «___» __________ 20__года
Круг лиц, представляющих форму, предназначенную для сбора административных данных на безвозмездной основе: микрофинансовая организация, кредитное товарищество, ломбард
Срок представления формы, предназначенной для сбора административных данных на безвозмездной основе: ежеквартально, до 25 (двадцать пятого) числа (включительно) месяца, следующего за отчетным кварталом
Бизнес — идентификационный номер: ________________________
Метод сбора: в электронном виде
(в тысячах тенге)
|
№ п/п |
Наименование юридического лица или фамилия, имя и отчество (при наличии) физического лица — кредитора |
Идентификационный номер кредитора |
Страна регистрации кредитора |
|
1 |
2 |
3 |
4 |
|
1 |
|||
|
… |
|||
|
10 |
|||
|
11 |
Итого |
продолжение таблицы:
|
Займы полученные |
|||||||
|
долгосрочные |
краткосрочные |
||||||
|
всего |
из них в иностранной валюте |
код валюты |
cредневзвешенная ставка (номинальная), в процентах |
всего |
из них в иностранной валюте |
код валюты |
средневзвешенная ставка (номинальная), в процентах |
|
5 |
6 |
7 |
8 |
9 |
10 |
11 |
12 |
продолжение таблицы:
|
Выпущенные в обращение ценные бумаги |
Субординированный долг |
||||||
|
всего |
из них в иностранной валюте |
код валюты |
cредневзвешенная ставка (номинальная), в процентах |
всего |
из них в иностранной валюте |
код валюты |
средневзвешенная ставка (номинальная), в процентах |
|
13 |
14 |
15 |
16 |
17 |
18 |
19 |
20 |
продолжение таблицы:
|
Кредиторская задолженность |
|||||||
|
долгосрочная |
краткосрочная |
||||||
|
всего |
из них в иностранной валюте |
код валюты |
cредневзвешенная ставка (номинальная), в процентах |
всего |
из них в иностранной валюте |
код валюты |
средневзвешенная ставка (номинальная), в процентах |
|
21 |
22 |
23 |
24 |
25 |
26 |
27 |
28 |
продолжение таблицы:
|
Прочие источники |
Всего |
||||
|
всего |
из них в иностранной валюте |
код валюты |
cредневзвешенная ставка (номинальная), в процентах |
примечание |
|
|
29 |
30 |
31 |
32 |
33 |
34 |
Наименование __________________________________________________
Адрес__________________________________________________________
Телефон ________________________________________________________
Адрес электронной почты _________________________________________
Исполнитель____________________________ _________________________
фамилия, имя и отчество (при его наличии) подпись, телефон
Руководитель или лицо, на которое возложена функция по подписанию
отчета ______________________________________ _________________________
фамилия, имя и отчество (при его наличии) подпись
Дата «____» ______________ 20__ года
Примечание: форма заполняется в соответствии с пояснением по
заполнению формы, предназначенной для сбора административных данных на
безвозмездной основе «Отчет об основных источниках привлеченных денег».
| Приложение к форме, предназначенной для сбора административных данных на безвозмездной основе «Отчет об основных источниках привлеченных денег |
Пояснение по заполнению формы, предназначенной для сбора административных данных на безвозмездной основе
Отчет об основных источниках привлеченных денег (индекс – OI_MFO_KT_L_1, периодичность – ежеквартальная)
Глава 1. Общие положения
1. Настоящее пояснение определяет единые требования по заполнению формы, предназначенной для сбора административных данных на безвозмездной основе «Отчет об основных источниках привлеченных денег» (далее – Форма).
2. Форма заполняется микрофинансовой организацией, кредитным товариществом и ломбардом ежеквартально. Данные в Форме заполняются в тысячах тенге. Сумма менее 500 (пятисот) тенге округляется до 0 (нуля), а сумма, равная 500 (пятистам) тенге и выше, округляется до 1000 (тысячи) тенге.
3. Форму подписывают руководитель или лицо, на которое возложена функция по подписанию отчета, и исполнитель.
4. Форма, подписанная руководителем микрофинансовой организации, кредитного товарищества, ломбарда, или лицом, на которое возложена функция по подписанию отчета, и исполнителем посредством электронной цифровой подписи, хранится в электронном формате.
Глава 2. Пояснение по заполнению Формы
5. При заполнении Формы микрофинансовая организация, кредитное товарищество, ломбард раскрывают 10 (десять) крупнейших кредиторов – физических и (или) юридических лиц, от которых в совокупности имеется наибольшая сумма привлеченных денег. Сведения указываются в порядке убывания по совокупной сумме привлеченных денег (по балансовой стоимости привлеченных денег микрофинансовой организации, кредитного товарищества или ломбарда) от каждого кредитора.
6. В графе 3 указывается идентификационный номер основного кредитора: Бизнес — идентификационный номер для юридического лица, индивидуальный идентификационный номер для физического лица (в том числе индивидуального предпринимателя при наличии) или иной идентификационный номер для нерезидентов Республики Казахстан (при наличии).
7. В графах 5, 9, 13, 17, 21, 25 и 29 указываются суммы балансовой стоимости привлеченных денег микрофинансовой организацией, кредитным товариществом или ломбардом.
8. В графах 13 и 14 указывается информация из проспекта эмиссии ценных бумаг.
9. В графах 17 и 18 понятие субординированного долга применяется в значении, определенном в пунктах 6 и 7 пруденциальных нормативов и иных обязательных к соблюдению организацией, осуществляющей микрофинансовую деятельность, норм и лимитов, методики их расчетов, утвержденных постановлением Правления Национального Банка Республики Казахстан от 14 ноября 2019 года № 192 «Об утверждении пруденциальных нормативов и иных обязательных к соблюдению организацией, осуществляющей микрофинансовую деятельность, норм и лимитов, методики их расчетов» (зарегистрировано в Реестре государственной регистрации нормативных правовых актов под № 19629).
10. В графах 7, 11, 15, 19, 23, 27, 31 указываются коды валют в соответствии с национальным классификатором Республики Казахстан НК РК 07 ISO 4217 «Коды для представления валют и фондов».
11. В графе 33 указываются наименования прочих источников.
12. В графе 34 указывается суммарное значение граф 5, 9, 13, 17, 21, 25 и 29.
13. В графах 8, 12, 16, 20, 24, 28, 32 указываются средневзвешенные годовые номинальные ставки вознаграждения по совокупной сумме обязательств по тем кредиторам, к кому это применимо.
14. В случае отсутствия сведений Форма представляется с нулевыми значениями.
| Приложение 10 к Правилам представления отчетности организацией, осуществляющей микрофинансовую деятельность |
|
| Форма, предназначенная для сбора административных данных |
Представляется: в территориальный филиал Национального Банка Республики Казахстан
Форма, предназначенная для сбора административных данных на безвозмездной основе размещена на интернет-ресурсе: www.nationalbank.kz
Наименование административной формы: отчет о классификации активов по микрокредитам, предоставленным физическим и юридическим лицам
Индекс формы, предназначенной для сбора административных данных на безвозмездной основе: M_MFO_1
Периодичность: ежеквартальная
Отчетный период: по состоянию на «___» __________ 20__года
Круг лиц, представляющих форму, предназначенную для сбора административных данных на безвозмездной основе: микрофинансовая организация
Срок представления формы, предназначенной для сбора административных данных на безвозмездной основе: ежеквартально, до 25 (двадцать пятого) числа (включительно) месяца, следующего за отчетным кварталом
Бизнес — идентификационный номер: _________________________
Метод сбора: в электронном виде
(в тысячах тенге)
|
Код показателя |
Группа активов по микрокредитам, предоставленным физическим и юридическим лицам, согласно классификации |
Размер провизий, в процентах |
Основной долг |
Начисленное вознаграждение |
|
1 |
2 |
3 |
4 |
5 |
|
100 |
Стандартные |
0 |
||
|
200 |
Сомнительные, всего |
х |
||
|
300 |
Сомнительные 1 категории |
0,01-5 |
||
|
400 |
Сомнительные 2 категории |
5,01-10 |
||
|
500 |
Сомнительные 3 категории |
10,01-20 |
||
|
600 |
Сомнительные 4 категории |
20,01-25 |
||
|
700 |
Сомнительные 5 категории |
25,01-50 |
||
|
800 |
Безнадежные |
50,01-100 |
||
|
900 |
Итого: |
х |
продолжение таблицы:
|
Дисконт (премия) |
Неустойка (штраф, пеня) за несвоевременное погашение |
Сумма фактически созданных провизий, всего |
Стоимость обеспечения исполнения обязательств |
|
6 |
7 |
8 |
9 |
Наименование __________________________________________________
Адрес__________________________________________________________
Телефон ________________________________________________________
Адрес электронной почты _________________________________________
Исполнитель____________________________ ________________________
фамилия, имя и отчество (при его наличии) подпись, телефон
Руководитель или лицо, на которое возложена функция по подписанию
отчета _____________________________________ ________________________
фамилия, имя и отчество (при его наличии) подпись
Дата «____» ______________ 20__ года
Примечание: форма заполняется в соответствии с пояснением по заполнению
формы, предназначенной для сбора административных данных на безвозмездной
основе «Отчет о классификации активов по микрокредитам, предоставленным
физическим и юридическим лицам».
| Приложение к форме, предназначенной для сбора административных данных на безвозмездной основе «Отчет о классификации активов по микрокредитам, предоставленным физическим и юридическим лицам» |
Пояснение по заполнению формы, предназначенной для сбора административных данных на безвозмездной основе
Отчет о классификации активов по микрокредитам, предоставленным физическим и юридическим лицам (индекс – M_MFO_1, периодичность – ежеквартальная)
Глава 1. Общие положения
1. Настоящее пояснение определяет единые требования по заполнению формы, предназначенной для сбора административных данных на безвозмездной основе «Отчет о классификации активов по микрокредитам, предоставленным физическим и юридическим лицам» (далее – Форма).
2. Форма заполняется микрофинансовой организацией ежеквартально. Данные в Форме заполняются в тысячах тенге. Сумма менее 500 (пятисот) тенге округляется до 0 (нуля), а сумма, равная 500 (пятистам) тенге и выше, округляется до 1000 (тысячи) тенге.
3. Форму подписывают руководитель или лицо, на которое возложена функция по подписанию отчета, и исполнитель.
4. Форма, подписанная руководителем микрофинансовой организации или лицом, на которое возложена функция по подписанию отчета, и исполнителем посредством электронной цифровой подписи, хранится в электронном формате.
Глава 2. Пояснение по заполнению Формы
5. Классификация активов по микрокредитам, предоставленным физическим и юридическим лицам, осуществляется в соответствии с Правилами осуществления классификации активов и условных обязательств по предоставленным микрокредитам, отнесения активов по предоставленным микрокредитам к сомнительным и безнадежным, а также создания провизий (резервов) против них, утвержденными постановлением Правления Национального Банка Республики Казахстан от 27 марта 2018 года № 62 «Об утверждении Правил осуществления классификации активов и условных обязательств по предоставленным микрокредитам, отнесения активов по предоставленным микрокредитам к сомнительным и безнадежным, а также создания провизий (резервов) против них» (зарегистрировано в Реестре государственной регистрации нормативных правовых актов под № 16858).
6. Отнесение к группе активов по микрокредитам, предоставленным физическим и юридическим лицам, согласно классификации, определяется в зависимости от валовой балансовой стоимости актива.
7. В графе 4 указывается остаток задолженности по основному долгу по состоянию на отчетную дату.
8. В графе 5 учитывается сумма остатков начисленного, но не погашенного (не полученного) вознаграждения, по состоянию на отчетную дату.
9. В графе 6 указывается сумма дисконта (с минусом) или премии.
10. В графе 7 указывается сумма остатков начисленной неустойки (штрафа, пени) за несвоевременное погашение, учитываемая на балансе, по состоянию на отчетную дату. По показателю в графе 7 не допускается отражение отрицательного значения.
11. В графе 8 указывается сумма фактически созданных провизий – сумма оценочного резерва под ожидаемые и имеющиеся кредитные убытки по активам по микрокредитам, предоставленным физическим и юридическим лицам, учитываемым по амортизированной стоимости актива по микрокредиту, предоставленному физическим и юридическим лицам, и по справедливой стоимости через прочий совокупный доход, а также оценочное обязательство в отношении ожидаемых кредитных убытков по условным обязательствам по микрокредитам, предоставленным физическим и юридическим лицам, по состоянию на отчетную дату.
12. В графе 9 указывается стоимость залогового обеспечения на отчетную дату, определяемая от рыночной (справедливой) стоимости с учетом возможности ее реализации (продажи) по состоянию на отчетную дату.
13. В строке 900 подводятся итоги по стандартным, сомнительным и безнадежным активам по микрокредитам, предоставленным физическим и юридическим лицам.
14. В случае отсутствия сведений Форма представляется с нулевыми значениями.
| Приложение 11 к Правилам представления отчетности организацией, осуществляющей микрофинансовую деятельность Форма, предназначенная для сбора административных данных Представляется: в территориальный филиал Национального Банка Республики Казахстан |
Форма, предназначенная для сбора административных данных на безвозмездной основе размещена на интернет-ресурсе: www.nationalbank.kz
Наименование административной формы: отчет о классификации условных обязательств по предоставленным микрокредитам
Индекс формы, предназначенной для сбора административных данных на безвозмездной основе: UVO_MFO_1
Периодичность: ежеквартальная
Отчетный период: по состоянию на «___» __________ 20__года
Круг лиц, представляющих форму, предназначенную для сбора административных данных на безвозмездной основе: микрофинансовая организация
Срок представления формы, предназначенной для сбора административных данных на безвозмездной основе: ежеквартально, до 25 (двадцать пятого) числа (включительно) месяца, следующего за отчетным кварталом
Бизнес — идентификационный номер: ___________________________
Метод сбора: в электронном виде
(в тысячах тенге)
|
№ п/п |
Группа условных обязательств по предоставленным микрокредитам согласно классификации |
Всего сумма условных обязательств по предоставленным микрокредитам |
Размер провизий (в процентах) |
Всего сумма фактически созданных провизий |
|
1 |
2 |
3 |
4 |
5 |
|
1 |
Стандартные |
0 |
||
|
2 |
Сомнительные |
|||
|
3 |
сомнительные 1 категории |
0,01-5 |
||
|
4 |
сомнительные 2 категории |
5,01-10 |
||
|
5 |
сомнительные 3 категории |
10,01-20 |
||
|
6 |
сомнительные 4 категории |
20,01-25 |
||
|
7 |
сомнительные 5 категории |
25,01-50 |
||
|
8 |
Безнадежные |
50,01-100 |
||
|
9 |
Итого |
Наименование __________________________________________________
Адрес__________________________________________________________
Телефон ________________________________________________________
Адрес электронной почты _________________________________________
Исполнитель____________________________ ____________________
фамилия, имя и отчество (при его наличии) подпись, телефон
Руководитель или лицо, на которое возложена функция по подписанию
отчета _____________________________________ _____________________
фамилия, имя и отчество (при его наличии) подпись
Дата «____» ______________ 20__ года
Примечание: форма заполняется в соответствии с пояснением по
заполнению формы, предназначенной для сбора административных данных на
безвозмездной основе «Отчет о классификации условных обязательств по
предоставленным микрокредитам».
| Приложение к форме, предназначенной для сбора административных данных на безвозмездной основе «Отчет о классификации условных обязательств по предоставленным микрокредитам» |
Пояснение по заполнению формы, предназначенной для сбора административных данных на безвозмездной основе
Отчет о классификации условных обязательств по предоставленным микрокредитам (индекс – UVO_MFO_1, периодичность – ежеквартальная)
Глава 1. Общие положения
1. Настоящее пояснение определяет единые требования по заполнению формы, предназначенной для сбора административных данных на безвозмездной основе «Отчет о классификации условных обязательств по предоставленным микрокредитам» (далее – Форма).
2. Форма заполняется ежеквартально микрофинансовой организацией. Данные в Форме заполняются в тысячах тенге. Сумма менее 500 (пятисот) тенге округляется до 0 (нуля), а сумма, равная 500 (пятистам) тенге и выше, округляется до 1000 (тысячи) тенге.
3. Форму подписывают руководитель или лицо, на которое возложена функция по подписанию отчета, и исполнитель.
4. Форма, подписанная руководителем микрофинансовой организации или лицом, на которое возложена функция по подписанию отчета, и исполнителем посредством электронной цифровой подписи, хранится в электронном формате
Глава 2. Пояснение по заполнению Формы
5. Классификация условных обязательств по предоставленным микрокредитам осуществляется в соответствии с Правилами осуществления классификации активов и условных обязательств по предоставленным микрокредитам, отнесения активов по предоставленным микрокредитам к сомнительным и безнадежным, а также создания провизий (резервов) против них, утвержденными постановлением Правления Национального Банка Республики Казахстан от 27 марта 2018 года № 62 «Об утверждении Правил осуществления классификации активов и условных обязательств по предоставленным микрокредитам, отнесения активов по предоставленным микрокредитам к сомнительным и безнадежным, а также создания провизий (резервов) против них» (зарегистрировано в Реестре государственной регистрации нормативных правовых актов под № 16858).
6. Отнесение к группе условных обязательств по предоставленным микрокредитам согласно классификации определяется в зависимости от уровня созданных провизий к совокупной задолженности перед микрофинансовой организацией.
7. В строке 9 подводятся итоги по стандартным, сомнительным и безнадежным условным обязательствам по предоставленным микрокредитам.
8. В случае отсутствия сведений Форма представляется с нулевыми значениями.
| Приложение 12 к Правилам представления отчетности организацией, осуществляющей микрофинансовую деятельность Форма, предназначенная для сбора административных данных |
Представляется: в территориальный филиал Национального Банка Республики Казахстан
Форма, предназначенная для сбора административных данных на безвозмездной основе размещена на интернет-ресурсе: www.nationalbank.kz
Наименование административной формы: отчет о микрокредитах, выданных физическим и юридическим лицам кредитным товариществом, в том числе по которым имеется просроченная задолженность
Индекс формы, предназначенной для сбора административных данных на безвозмездной основе: MP_KT_1
Периодичность: ежеквартальная
Отчетный период: по состоянию на «___» __________ 20__года
Круг лиц, представляющих форму, предназначенную для сбора административных данных на безвозмездной основе: кредитное товарищество
Срок представления формы, предназначенной для сбора административных данных на безвозмездной основе: ежеквартально, до 25 (двадцать пятого) числа (включительно) месяца, следующего за отчетным кварталом
Бизнес — идентификационный номер: ___________________________
Метод сбора: в электронном виде
(в тысячах тенге)
|
№ п/п |
Наименование |
Балансовая стоимость, всего |
|
1 |
2 |
3 |
|
1 |
Микрокредиты физическим лицам, в том числе |
|
|
1.1 |
на цели, связанные с осуществлением предпринимательской деятельности, в том числе: |
|
|
1.1.1. |
с обеспечением исполнения обязательств, в том числе по которым: |
|
|
1.1.1.1 |
отсутствует просроченная задолженность по основному долгу и (или) начисленному вознаграждению |
|
|
1.1.1.2 |
имеется просроченная задолженность по основному долгу и (или) начисленному вознаграждению, в том числе: |
|
|
1.1.1.2.1 |
от 1 до 30 дней |
|
|
1.1.1.2.2 |
от 31 до 60 дней |
|
|
1.1.1.2.3 |
от 61 до 90 дней |
|
|
1.1.1.2.4 |
более 90 дней |
|
|
1.1.2 |
без обеспечения исполнения обязательств, в том числе по которым: |
|
|
1.1.2.1 |
отсутствует просроченная задолженность по основному долгу и (или) начисленному вознаграждению |
|
|
1.1.2.2 |
имеется просроченная задолженность по основному долгу и (или) начисленному вознаграждению, в том числе: |
|
|
1.1.2.2.1 |
от 1 до 30 дней |
|
|
1.1.2.2.2 |
от 31 до 60 дней |
|
|
1.1.2.2.3 |
от 61 до 90 дней |
|
|
1.1.2.2.4 |
более 90 дней |
|
|
1.2 |
на цели, не связанные с осуществлением предпринимательской деятельности, в том числе: |
|
|
1.2.1 |
с обеспечением исполнения обязательств, в том числе по которым: |
|
|
1.2.1.1 |
отсутствует просроченная задолженность по основному долгу и (или) начисленному вознаграждению |
|
|
1.2.1.2 |
имеется просроченная задолженность по основному долгу и (или) начисленному вознаграждению, в том числе: |
|
|
1.2.1.2.1 |
от 1 до 30 дней |
|
|
1.2.1.2.2 |
от 31 до 60 дней |
|
|
1.2.1.2.3 |
от 61 до 90 дней |
|
|
1.2.1.2.4 |
более 90 дней |
|
|
1.2.2 |
без обеспечения исполнения обязательств, в том числе по которым: |
|
|
1.2.2.1 |
отсутствует просроченная задолженность по основному долгу и (или) начисленному вознаграждению |
|
|
1.2.2.2 |
имеется просроченная задолженность по основному долгу и (или) начисленному вознаграждению, в том числе: |
|
|
1.2.2.2.1 |
от 1 до 30 дней |
|
|
1.2.2.2.2 |
от 31 до 60 дней |
|
|
1.2.2.2.3 |
от 61 до 90 дней |
|
|
1.2.2.2.4 |
более 90 дней |
|
|
2 |
индивидуальным предпринимателям, в том числе: |
|
|
2.1 |
с обеспечением исполнения обязательств, в том числе по которым: |
|
|
2.1.1 |
отсутствует просроченная задолженность по основному долгу и (или) начисленному вознаграждению |
|
|
2.1.2 |
имеется просроченная задолженность по основному долгу и (или) начисленному вознаграждению, в том числе: |
|
|
2.1.2.1 |
от 1 до 30 дней |
|
|
2.1.2.2 |
от 31 до 60 дней |
|
|
2.1.2.3 |
от 61 до 90 дней |
|
|
2.1.2.4 |
более 90 дней |
|
|
2.2 |
без обеспечения исполнения обязательств, в том числе по которым: |
|
|
2.2.1 |
отсутствует просроченная задолженность по основному долгу и (или) начисленному вознаграждению |
|
|
2.2.2 |
имеется просроченная задолженность по основному долгу и (или) начисленному вознаграждению, в том числе: |
|
|
2.2.2.1 |
от 1 до 30 дней |
|
|
2.2.2.2 |
от 31 до 60 дней |
|
|
2.2.2.3 |
от 61 до 90 дней |
|
|
2.2.2.4 |
более 90 дней |
|
|
3 |
Микрокредиты юридическим лицам, в том числе: |
|
|
3.1 |
с обеспечением исполнения обязательств, в том числе по которым: |
|
|
3.1.1 |
отсутствует просроченная задолженность по основному долгу и (или) начисленному вознаграждению |
|
|
3.1.2 |
имеется просроченная задолженность по основному долгу и (или) начисленному вознаграждению, в том числе: |
|
|
3.1.2.1 |
от 1 до 30 дней |
|
|
3.1.2.2 |
от 31 до 60 дней |
|
|
3.1.2.3 |
от 61 до 90 дней |
|
|
3.1.2.4 |
более 90 дней |
|
|
3.2 |
без обеспечения исполнения обязательств, в том числе по которым: |
|
|
3.2.1 |
отсутствует просроченная задолженность по основному долгу и (или) начисленному вознаграждению |
|
|
3.2.2 |
имеется просроченная задолженность по основному долгу и (или) начисленному вознаграждению, в том числе: |
|
|
3.2.2.1 |
от 1 до 30 дней |
|
|
3.2.2.2 |
от 31 до 60 дней |
|
|
3.2.2.3 |
от 61 до 90 дней |
|
|
3.2.2.4 |
более 90 дней |
|
|
3.3 |
Справочно: микрокредиты юридических лиц в разрезе категорий субъектов предпринимательства |
|
|
3.3.1 |
субъектам малого предпринимательства |
|
|
3.3.2 |
субъектам среднего предпринимательства |
|
|
3.3.3 |
субъектам крупного предпринимательства |
|
|
4 |
Операции «обратное репо» |
|
|
5 |
Итого кредитный портфель, в том числе по которым: |
|
|
5.1 |
отсутствует просроченная задолженность по основному долгу и (или) начисленному вознаграждению |
|
|
5.2 |
имеется просроченная задолженность по основному долгу и (или) начисленному вознаграждению, в том числе: |
|
|
5.3 |
от 1 до 30 дней |
|
|
5.4 |
от 31 до 60 дней |
|
|
5.5 |
от 61 до 90 дней |
|
|
5.6 |
более 90 дней |
продолжение таблицы:
|
в том числе |
|||||
|
Основной долг |
Дисконт, премия |
Начисленное вознаграждение |
Положительная или отрицательная корректировка |
Неустойка (штраф, пеня), учитываемая(ые) при расчете балансовой стоимости |
Резервы (провизии) |
|
4 |
5 |
6 |
7 |
8 |
9 |
продолжение таблицы:
|
Стоимость обеспечения исполнения обязательства |
Количество договоров о предоставлении микрокредита, единиц |
Количество уникальных заемщиков, единиц |
|
|
Всего |
из них стоимость обеспечения исполнения обязательства, включаемая при расчете резервов (провизий) |
||
|
10 |
11 |
12 |
13 |
Наименование __________________________________________________
Адрес__________________________________________________________
Телефон ________________________________________________________
Адрес электронной почты _________________________________________
Исполнитель____________________________ _________________________
фамилия, имя и отчество (при его наличии) подпись, телефон
Руководитель или
лицо, на которое возложена функция по подписанию отчета
_____________________________________ ________________________________
фамилия, имя и отчество (при его наличии) подпись
Дата «____» ______________ 20__ года
Примечание: форма заполняется в соответствии с пояснением по заполнению
формы, предназначенной для сбора административных данных на безвозмездной
основе «Отчет о микрокредитах, выданных физическим и юридическим лицам
кредитным товариществом, в том числе по которым имеется просроченная задолженность».
| Приложение к форме, предназначенной для сбора административных данных на безвозмездной основе «Отчет о микрокредитах, выданных физическим и юридическим лицам кредитным товариществом, в том числе по которым имеется просроченная задолженность» |
Пояснение по заполнению формы, предназначенной для сбора административных данных на безвозмездной основе
Отчет о микрокредитах, выданных физическим и юридическим лицам кредитным товариществом, в том числе по которым имеется просроченная задолженность (индекс – MP_KT_1, периодичность – ежеквартальная)
Глава 1. Общие положения
1. Настоящее пояснение определяет единые требования по заполнению формы, предназначенной для сбора административных данных на безвозмездной основе «Отчет о микрокредитах, выданных физическим и юридическим лицам кредитным товариществом, в том числе по которым имеется просроченная задолженность» (далее – Форма).
2. Форма заполняется кредитным товариществом ежеквартально. Данные в Форме заполняются в тысячах тенге. Сумма менее 500 (пятисот) тенге округляется до 0 (нуля), а сумма, равная 500 (пятистам) тенге и выше, округляется до 1000 (тысячи) тенге.
3. Форму подписывают руководитель или лицо, на которое возложена функция по подписанию отчета, и исполнитель.
4. Форма, подписанная руководителем кредитного товарищества или лицом, на которое возложена функция по подписанию отчета, и исполнителем посредством электронной цифровой подписи, хранится в электронном формате.
Глава 2. Пояснение по заполнению Формы
5. В Форме указываются сведения о микрокредитах, выданных физическим и юридическим лицам кредитным товариществом, по которым имеется просроченная задолженность по основному долгу и (или) начисленному вознаграждению, а также микрокредиты, по которым отсутствует просроченная задолженность по основному долгу и (или) начисленному вознаграждению, по целям кредитования.
6. Данные по микрокредитам указываются в зависимости от количества дней просроченной задолженности по основному долгу и (или) начисленному вознаграждению по состоянию на отчетную дату. В Форме отражается весь остаток основного долга и начисленного вознаграждения по выданным микрокредитам до отчетной даты, в том числе с учетом просроченной задолженности.
7. В строке 1 указываются микрокредиты, выданные физическим лицам.
8. В строке 1, за исключением графы 13, отражается сумма значений строк 1.1 и 1.2.
9. В строках 1.1. и 1.2. отражаются сведения по микрокредитам, выданным физическим лицам, не зарегистрированным в качестве индивидуального предпринимателя.
10. В строке 1.1, за исключением графы 13, отражается сумма значений строк 1.1.1 и 1.1.2.
11. В строке 1.1.1, за исключением графы 13, отражается сумма значений строк 1.1.1.1 и 1.1.1.2.
12. В строке 1.1.1.2, за исключением графы 13, отражается сумма значений строк 1.1.1.2.1, 1.1.1.2.2, 1.1.1.2.3 и 1.1.1.2.4.
13. В строке 1.1.2, за исключением графы 13, отражается сумма значений 1.1.2.1 и 1.1.2.2
14. В строке 1.1.2.2, за исключением графы 13, отражается сумма значений 1.1.2.2.1, 1.1.2.2.2, 1.1.2.2.3 и 1.1.2.2.4.
15. В строке 1.2, за исключением графы 13, отражается сумма значений строк 1.2.1 и 1.2.2.
16. В строке 1.2.1, за исключением графы 13, отражается сумма значений строк 1.2.1.1 и 1.2.1.2.
17. В строке 1.2.1.2, за исключением графы 13, отражается сумма значений строк 1.2.1.2.1, 1.2.1.2.2, 1.2.1.2.3 и 1.2.1.2.4
18. В строке 1.2.2, за исключением графы 13, отражается сумма значений строк 1.2.2.1 и 1.2.2.2.
19. В строке 1.2.2.2, за исключением графы 13, отражается сумма значений строк 1.2.2.2.1, 1.2.2.2.2, 1.2.2.2.3 и 1.2.2.2.4
20. В строке 2, за исключением графы 13, указываются микрокредиты выданные индивидуальным предпринимателям.
21. В строке 2, за исключением графы 13, отражается сумма значений строк 2.1 и 2.2.
22. В строке 2.1, за исключением графы 13, отражается сумма значений строк 2.1.1 и 2.1.2.
23. В строке 2.1.2, за исключением графы 13, отражается сумма значений строк 2.1.2.1, 2.1.2.2, 2.1.2.3 и 2.1.2.4.
24. В строке 2.2, за исключением графы 13, отражается сумма значений строк 2.2.1 и 2.2.2.
25. В строке 2.2.2, за исключением графы 13, отражается сумма значений 2.2.2.1, 2.2.2.2, 2.2.2.3 и 2.2.2.4
26. В строке 3 указываются микрокредиты, выданные юридическим лицам.
27. В строке 3, за исключением графы 13, отражается сумма значений строк 3.1 и 3.2.
28. В строке 3.1, за исключением графы 13, отражается сумма значений строк 3.1.1 и 3.1.2.
29. В строке 3.1.2, за исключением графы 13, отражается сумма значений строк 3.1.2.1, 3.1.2.2, 3.1.2.3 и 3.1.2.4.
30. В строке 3.2, за исключением графы 13, отражается сумма значений строк 3.2.1 и 3.2.2.
31. В строке 3.2.2, за исключением графы 13, отражается сумма значений строк 3.2.2.1, 3.2.2.2, 3.2.2.3 и 3.2.2.4.
32. В строке 3.3 указываются микрокредиты юридических лиц в разрезе категорий субъектов предпринимательства.
33. В строке 3.3, за исключением графы 13, отражается сумма значений строк 3.3.1, 3.3.2 и 3.3.3.
34. В строках 1, 2 и 3 микрокредиты указываются без учета операции «обратное репо», сумма операций «обратное репо» указывается в строке 4.
35. В строке 5, за исключением графы 13, отражается сумма значений строк 5.1 и 5.2
36. В строке 5.1, за исключением графы 13, отражается сумм зачений 1.1.1.1, 1.1.2.1, 1.2.1.1, 1.2.2.1, 2.1.1, 2.2.1, 3.1.1 и 3.2.1.
37. В строке 5.2, за исключением графы 13, отражается сумма значений строк 5.3, 5.4, 5.5 и 5.6.
38. В строке 5.3, за исключением графы 13, отражается сумма значений строк 1.1.1.2.1, 1.1.2.2.1, 1.2.1.2.1, 1.2.2.2.1, 2.1.2.1, 2.2.2.1, 3.1.2.1 и 3.2.2.1.
39. В строке 5.4, за исключением графы 13, отражается сумма значений строк 1.1.1.2.2, 1.1.2.2.2, 1.2.1.2.2, 1.2.2.2.2, 2.1.2.2, 2.2.2.2, 3.1.2.2 и 3.2.2.2.
40. В строке 5.5, за исключением графы 13, отражается сумма значений строк 1.1.1.2.3, 1.1.2.2.3, 1.2.1.2.3, 1.2.2.2.3, 2.1.2.3, 2.2.2.3, 3.1.2.3 и 3.2.2.3.
41. В строке 5.6, за исключением графы 13, отражается сумма значений строк 1.1.1.2.4, 1.1.2.2.4, 1.2.1.2.4, 1.2.2.2.4, 2.1.2.4, 2.2.2.4, 3.1.2.4 и 3.2.2.4.
42. В графе 3 отражается сумма граф 4, 5, 6, 7, 8 с учетом знаков в графе 5 и 7 и за вычетом значения графы 9.
43. В графе 5 дисконт указывается со знаком минус.
44. В графе 7 отрицательная корректировка указывается со знаком минус.
45. В графе 9 сумма резервов (провизий) указывается в абсолютном значении и со знаком плюс.
46. В графах 10, 11 указывается стоимость залогового обеспечения на отчетную дату, определяемая от рыночной (справедливой) стоимости с учетом возможности ее реализации (продажи) по состоянию на отчетную дату.
47. В графе 12 отражается количество договоров о предоставлении микрокредита.
48. В графе 13 отражается фактическое количество заемщиков без дублирования заемщиков при наличии у одного заемщика нескольких договоров о предоставлении микрокредита.
49. В случае отсутствия сведений Форма представляется с нулевыми значениями.
| Приложение 13 к Правилам представления отчетности организацией, осуществляющей микрофинансовую деятельность Форма, предназначенная для сбора административных данных |
Представляется: в территориальный филиал Национального Банка Республики Казахстан
Форма, предназначенная для сбора административных данных на безвозмездной основе, размещена на интернет-ресурсе: www.nationalbank.kz
Наименование административной формы: отчет об уставном и собственном капиталах, а также о коэффициенте левереджа
Индекс формы, предназначенной для сбора административных данных на безвозмездной основе: USK-K3
Периодичность: ежеквартальная
Отчетный период: по состоянию на __________ 20__года
Круг лиц, представляющих форму, предназначенную для сбора административных данных на безвозмездной основе: кредитное товарищество
Срок представления формы, предназначенной для сбора административных данных на безвозмездной основе: ежеквартально, не позднее 25 (двадцать пятого) числа месяца, следующего за отчетным кварталом
Бизнес — идентификационный номер: _________________________
Метод сбора: в электронном виде
| (в тысячах тенге) |
|
№ |
Наименование статей |
Сумма |
|
1 |
2 |
3 |
|
1. |
Оплаченный уставный капитал |
|
|
2. |
Дополнительный капитал |
|
|
3. |
Нераспределенная чистая прибыль (убыток) прошлых лет |
|
|
4. |
Фонды, резервы, сформированные за счет чистого дохода прошлых лет |
|
|
5. |
Нераспределенная чистая прибыль (убыток) отчетного периода |
|
|
6. |
Переоценка основных средств |
|
|
7. |
Субординированный долг в виде необеспеченного обязательства перед юридическими лицами-резидентами и нерезидентами Республики Казахстан (за исключением юридических лиц, зарегистрированных на территории государств, отнесенных Организацией экономического сотрудничества и развития к перечню офшорных территорий, не принявших обязательства по информационному обмену) |
|
|
8. |
Нематериальные активы, за исключением лицензионного программного обеспечения, приобретенного для целей основной деятельности |
|
|
9. |
Инвестиции в акции или доли участия в уставные капиталы юридических лиц |
|
|
10. |
Расчетный собственный капитал |
|
|
11. |
Совокупные обязательства |
|
|
12. |
Обязательства кредитного товарищества перед национальными управляющими холдингами и дочерними организациями национального управляющего холдинга в сфере агропромышленного комплекса |
|
|
13. |
Коэффициент левереджа k3 |
Наименование ________________________________________________
Адрес________________________________________________________
Телефон ______________________________________________________
Адрес электронной почты _______________________________________
Исполнитель__________________________________ _______________
фамилия, имя и отчество (при его наличии) подпись, телефон Руководитель
или лицо, на которое возложена функция по подписанию отчета
____________________________________ ____________________
фамилия, имя и отчество (при его наличии) подпись
Дата «____» ______________ 20__ года
Примечание: форма заполняется в соответствии с пояснением по заполнению
формы, предназначенной для сбора административных данных на безвозмездной
основе «Отчет об уставном и собственном капиталах, а также о коэффициенте левереджа».
| Приложение к форме, предназначенной для сбора административных данных на безвозмездной основе «Отчет об уставном и собственном капиталах, а также о коэффициенте левереджа» |
Пояснение по заполнению формы, предназначенной для сбора административных данных на безвозмездной основе
Отчет об уставном и собственном капиталах, а также о коэффициенте левереджа (индекс — USK-K3, периодичность — ежеквартальная)
Глава 1. Общие положения
1. Настоящее пояснение определяет единые требования по заполнению формы, предназначенной для сбора административных данных на безвозмездной основе, «Отчет об уставном и собственном капиталах, а также о коэффициенте левереджа» (далее – Форма).
2. Форма заполняется ежеквартально кредитным товариществом. Данные в Форме заполняются в тысячах тенге. Сумма менее 500 (пятисот) тенге округляется до 0 (нуля), а сумма, равная 500 (пятистам) тенге и выше, округляется до 1000 (тысячи) тенге.
3. Форму подписывают руководитель или лицо, на которое возложена функция по подписанию отчета, и исполнитель.
Глава 2. Пояснение по заполнению Формы
5. В строке 13 Формы указывается значение с тремя знаками после запятой.
| Приложение 14 к Правилам представления отчетности организацией, осуществляющей микрофинансовую деятельность Форма, предназначенная для сбора административных данных |
Представляется: в территориальный филиал Национального Банка Республики Казахстан
Форма, предназначенная для сбора административных данных на безвозмездной основе размещена на интернет-ресурсе: www.nationalbank.kz
Наименование административной формы: отчет о микрокредитах ломбардов, в том числе по которым имеется просроченная задолженность
Индекс формы, предназначенной для сбора административных данных на безвозмездной основе: PM_L_1
Периодичность: ежеквартальная
Отчетный период: по состоянию на __________ 20__года
Круг лиц, представляющих форму, предназначенную для сбора административных данных на безвозмездной основе: ломбард
Срок представления формы, предназначенной для сбора административных данных на безвозмездной основе: ежеквартально, до 25 (двадцать пятого) числа (включительно) месяца, следующего за отчетным кварталом
Бизнес — идентификационный номер: _________________________
Метод сбора: в электронном виде
| (в тысячах тенге) |
|
№ п/п |
Наименование |
Кредитный портфель (основной долг) на начало отчетного периода |
|
1 |
2 |
3 |
|
1 |
Микрокредиты физических лиц, в том числе под залог: |
|
|
1.1 |
транспортных средств, из них по которым: |
|
|
1.1.1 |
просроченная задолженность отсутствует |
|
|
1.1.2 |
просроченная задолженность по основному долгу и (или) начисленному вознаграждению, в том числе: |
|
|
1.1.2.1 |
от 1 до 30 дней |
|
|
1.1.2.2 |
от 31 до 60 дней |
|
|
1.1.2.3 |
от 61 до 90 дней |
|
|
1.1.2.4 |
более 90 дней |
|
|
1.2 |
ювелирных изделий, по которым: |
|
|
1.2.1 |
просроченная задолженность отсутствует |
|
|
1.2.2 |
просроченная задолженность по основному долгу и (или) начисленному вознаграждению, в том числе: |
|
|
1.2.2.1 |
от 1 до 30 дней |
|
|
1.2.2.2 |
от 31 до 60 дней |
|
|
1.2.2.3 |
от 61 до 90 дней |
|
|
1.2.2.4 |
более 90 дней |
|
|
1.3 |
аудио, видео и бытовой техники, по которым: |
|
|
1.3.1 |
просроченная задолженность отсутствует |
|
|
1.3.2 |
просроченная задолженность по основному долгу и (или) начисленному вознаграждению, в том числе: |
|
|
1.3.2.1 |
от 1 до 30 дней |
|
|
1.3.2.2 |
от 31 до 60 дней |
|
|
1.3.2.3 |
от 61 до 90 дней |
|
|
1.3.2.4 |
более 90 дней |
|
|
1.4 |
иное, по которым: |
|
|
1.4.1 |
просроченная задолженность отсутствует |
|
|
1.4.2 |
просроченная задолженность по основному долгу и (или) начисленному вознаграждению, в том числе: |
|
|
1.4.2.1 |
от 1 до 30 дней |
|
|
1.4.2.2 |
от 31 до 60 дней |
|
|
1.4.2.3 |
от 61 до 90 дней |
|
|
1.4.2.4 |
более 90 дней |
|
|
2 |
Итого кредитный портфель, в том числе по которым:: |
|
|
2.1 |
просроченная задолженность отсутствует |
|
|
2.2 |
просроченная задолженность по основному долгу и (или) начисленному вознаграждению, в том числе: |
|
|
2.2.1 |
от 1 до 30 дней |
|
|
2.2.2 |
от 31 до 60 дней |
|
|
2.2.3 |
от 61 до 90 дней |
|
|
2.2.4 |
более 90 дней |
продолжение таблицы:
|
Кредиты выданные в отчетном периоде |
Погашение кредитного портфеля (основного долга) в отчетном периоде |
Операции, повлиявшие на изменение кредитного портфеля |
||
|
Объем, выданных микрокредитов |
Средневзвешенная ставка (номинальная), в процентах |
Средневзвешенная ставка (эффективная), в процентах |
||
|
4 |
5 |
6 |
7 |
8 |
|
x |
x |
x |
x |
x |
|
x |
x |
x |
x |
x |
|
x |
x |
x |
x |
x |
|
x |
x |
x |
x |
x |
|
x |
x |
x |
x |
x |
|
x |
x |
x |
x |
x |
|
x |
x |
x |
x |
x |
|
x |
x |
x |
x |
x |
|
x |
x |
x |
x |
x |
|
x |
x |
x |
x |
x |
|
x |
x |
x |
x |
x |
|
x |
x |
x |
x |
x |
|
x |
x |
x |
x |
x |
|
x |
x |
x |
x |
x |
|
x |
x |
x |
x |
x |
|
x |
x |
x |
x |
x |
|
x |
x |
x |
x |
x |
|
x |
x |
x |
x |
x |
|
x |
x |
x |
x |
x |
|
x |
x |
x |
x |
x |
|
x |
x |
x |
x |
x |
|
x |
x |
x |
x |
x |
|
x |
x |
x |
x |
x |
|
x |
x |
x |
x |
x |
|
x |
x |
x |
x |
x |
|
x |
x |
x |
x |
x |
|
x |
x |
x |
x |
x |
|
x |
x |
x |
x |
x |
|
x |
x |
x |
x |
x |
|
x |
x |
x |
x |
x |
продолжение таблицы:
|
Кредитный портфель на отчетную дату |
|||
|
Балансовая стоимость, всего |
в том числе |
||
|
Основной долг |
Дисконт, премия |
Начисленное вознаграждение |
|
|
9 |
10 |
11 |
12 |
продолжение таблицы:
|
Кредитный портфель на отчетную дату |
||||
|
в том числе |
Количество договоров о предоставлении микрокредита, единиц |
Количество уникальных заемщиков, единиц |
||
|
Положительная или отрицательная корректировка |
Неустойка (штраф, пеня), учитываемая (ые) при расчете балансовой стоимости |
Резервы (провизии) |
||
|
13 |
14 |
15 |
16 |
17 |
Наименование_________________________________________________
Адрес________________________________________________________
Телефон ______________________________________________________
Адрес электронной почты _______________________________________
Исполнитель_____________________________________ ______________
фамилия, имя и отчество (при его наличии) телефон
Руководитель или лицо, на которое возложена функция по подписанию отчета
____________________________________________ ________________________
фамилия, имя и отчество (при его наличии) подпись, телефон
Дата «____» ______________ 20__ года
Примечание: форма заполняется в соответствии с пояснением по заполнению
формы, предназначенной для сбора административных данных на безвозмездной основе
«Отчет о микрокредитах ломбардов, в том числе по которым имеется просроченная задолженность».
| Приложение к форме, предназначенной для сбора административных данных на безвозмездной основе «Отчет о микрокредитах ломбардов, в том числе по которым имеется просроченная задолженность» |
Пояснение по заполнению формы, предназначенной для сбора административных данных на безвозмездной основе
Отчет о микрокредитах ломбардов, в том числе по которым имеется просроченная задолженность (индекс – PM_L_1, периодичность – ежеквартальная)
Глава 1. Общие положения
1. Настоящее пояснение определяет единые требования по заполнению формы, предназначенной для сбора административных данных на безвозмездной основе «Отчет о микрокредитах ломбардов, в том числе по которым имеется просроченная задолженность» (далее – Форма).
2. Форма заполняется ломбардом ежеквартально. Данные в Форме заполняются в тысячах тенге. Сумма менее 500 (пятисот) тенге округляется до 0 (нуля), а сумма, равная 500 (пятистам) тенге и выше, округляется до 1000 (тысячи) тенге.
3. Форму подписывают руководитель или лицо, на которое возложена функция по подписанию отчета, и исполнитель.
4. Форма, подписанная руководителем ломбарда или лицом, на которое возложена функция по подписанию отчета, и исполнителем посредством электронной цифровой подписи, хранится в электронном формате.
Глава 2. Пояснение по заполнению Формы
5. В Форме указываются сведения о микрокредитах, по которым имеется просроченная задолженность по основному долгу и (или) начисленному вознаграждению, а также о микрокредитах, по которым отсутствует просроченная задолженность по основному долгу и (или) начисленному вознаграждению.
6. Кредитный портфель включает в себя все виды ссуд клиентам и аналогичные им операции.
7. В графе 4 указываются сведения о выданных микрокредитах в отчетном периоде, которые заполняются на основании договоров о предоставлении микрокредита.
8. В графе 5 указываются данные по средневзвешенной ставки, которая определяется отношением суммы произведений годовых процентных ставок, установленных в договорах о предоставлении микрокредита, (номинальная ставка) на задолженность по основному долгу к общей сумме задолженности по основному долгу.
Средневзвешенная ставка рассчитывается по следующей формуле:
Средневзвешенная процентная ставка =
где:
i1….in – годовая процентная ставка (номинальная ставка), установленная в договоре о предоставлении микрокредита по n-ому кредиту (n –общее количество микрокредитов, по которым имеется задолженность по основному долгу);
Q1…Qn – задолженность по основному долгу (без учета вознаграждений, комиссий и неустойки (штрафа, пени)), установленная в договоре о предоставлении микрокредита по n-ому кредиту.
9. В графе 6 указываются данные по средневзвешенной годовой эффективной ставки вознаграждения. В расчет годовой эффективной ставки вознаграждения по договору о предоставлении микрокредита включаются все платежи заемщика по основному долгу и вознаграждению, а также комиссии и иные платежи за весь период действия договора о предоставлении микрокредита.
Годовая эффективная ставка вознаграждения по договору займа рассчитывается по следующей формуле:
где:
n — порядковый номер последней выплаты заемщику;
j — порядковый номер выплаты заемщику;
Sj — сумма j-той выплаты заемщику;
APR — годовая эффективная ставка вознаграждения;
tj — период времени со дня предоставления займа до момента j-той выплаты заемщику (в днях);
m — порядковый номер последнего платежа заемщика;
і — порядковый номер платежа заемщика;
Pi — сумма і-того платежа заемщика;
ti — период времени со дня предоставления займа до момента і-того платежа заемщика (в днях).
10. В графе 7 указывается совокупная сумма фактически поступивших платежей, направленная на погашение задолженности по основному долгу, в отчетном периоде.
11. В графе 8 указываются сведения, не учтенные в графах 4 и 7, повлиявшие на изменение остатка задолженности по основному долгу, и предназначенные для отражения сумм, в том числе, проданной (обратно выкупленной) и (или) прощенной задолженности по основному долгу, произведенных в течение отчетного периода.
Проданная (обратно выкупленная) задолженность представляет собой задолженность по основному долгу, права требования по которым уступлены третьему лицу (указывается с минусом) и (или) обратно выкуплены у третьего лица по договору уступки прав требований (указывается с плюсом).
Прощенная задолженность представляет собой накопленную по микрокредиту сумму задолженности по основному долгу, прощенной кредитором за весь период действия договора (указывается с минусом).
Показатель в графе 8 является обязательным к заполнению для всех микрокредитов, права требования по которым переданы (проданы) или приняты (куплены). Допускается отражение отрицательного значения по остатку основного долга.
12. В графе 9 отражается сумма граф 10, 11, 12, 13, 14 с учетом знаков в графе 11 и 13 и за вычетом графы 15.
13. В графе 10 указывается остаток основного долга по микрокредиту на отчетную дату.
Основной долг – сумма непогашенного долга, подлежащая уплате заемщиком ломбарду, на определенный момент периода кредитования без учета вознаграждения, просроченной задолженности по вознаграждению, дисконта (премии), резерва на обесценение, пени и штрафа по микрокредиту.
14. В графе 11 дисконт указывается со знаком минус.
15. В графе 12 учитывается сумма начисленного, но не погашенного (не полученного) вознаграждения.
16. В графе 13 отрицательная корректировка указывается со знаком минус.
17. В графе 14 отражается неустойка (штраф, пеня), учитываемая(ые) при расчете балансовой стоимости.
18. В графе 15 сумма резервов (провизий) указывается в абсолютном значении и со знаком плюс.
19. В графе 16 отражается количество договоров о предоставлении микрокредита.
20. В графе 17 отражается фактическое количество заемщиков без дублирования заемщиков при наличии у одного заемщика нескольких договоров о предоставлении микрокредита.
21. В случае отсутствия сведений Форма представляется с нулевыми значениями.
| Приложение к постановлению Председатель Национального Банка Республики Казахстан от 24 ноября 2025 года № 80 |
Перечень утративших силу некоторых постановлений Правления Национального Банка Республики Казахстан, а также структурного элемента постановления Правления Национального Банка Республики Казахстан
1. Постановление Правления Национального Банка Республики Казахстан от 28 ноября 2019 года № 222 «Об утверждении перечня, форм, сроков представления отчетности организацией, осуществляющей микрофинансовую деятельность, и Правил ее представления» (зарегистрировано в Реестре государственной регистрации нормативных правовых актов под № 19710).
2. Постановление Правления Национального Банка Республики Казахстан от 28 ноября 2019 года № 224 «Об утверждении перечня, форм, сроков представления отчетности о выполнении пруденциальных нормативов и иных обязательных к соблюдению норм и лимитов организацией, осуществляющей микрофинансовую деятельность, и Правил ее представления» (зарегистрировано в Реестре государственной регистрации нормативных правовых актов под № 19671).
3. Постановление Правления Национального Банка Республики Казахстан от 20 декабря 2021 года № 112 «О внесении изменений и дополнений в постановление Правления Национального Банка Республики Казахстан от 28 ноября 2019 года № 222 «Об утверждении перечня, форм, сроков представления отчетности организацией, осуществляющей микрофинансовую деятельность, и Правил ее представления» (зарегистрировано в Реестре государственной регистрации нормативных правовых актов под № 26133).
4. Постановление Правления Национального Банка Республики Казахстан от 22 мая 2023 года № 35 «О внесении изменений и дополнений в постановление Правления Национального Банка Республики Казахстан от 28 ноября 2019 года № 222 «Об утверждении перечня, форм, сроков представления отчетности организацией, осуществляющей микрофинансовую деятельность, и Правил ее представления» (зарегистрировано в Реестре государственной регистрации нормативных правовых актов под № 32602).
5. Постановление Правления Национального Банка Республики Казахстан от 29 июня 2023 года № 41 «О внесении изменений в постановление Правления Национального Банка Республики Казахстан от 28 ноября 2019 года № 224 «Об утверждении перечня, форм, сроков представления отчетности о выполнении пруденциальных нормативов и иных обязательных к соблюдению норм и лимитов организацией, осуществляющей микрофинансовую деятельность, и Правил ее представления» (зарегистрировано в Реестре государственной регистрации нормативных правовых актов под № 33062).
6. Постановление Правления Национального Банка Республики Казахстан от 22 августа 2024 года № 49 «О внесении изменений и дополнения в постановление Правления Национального Банка Республики Казахстан от 28 ноября 2019 года № 224 «Об утверждении перечня, форм, сроков представления отчетности о выполнении пруденциальных нормативов и иных обязательных к соблюдению норм и лимитов организацией, осуществляющей микрофинансовую деятельность, и Правил ее представления» (зарегистрировано в Реестре государственной регистрации нормативных правовых актов под № 35017).
7. Пункт 6 Перечня некоторых постановлений Правления Национального Банка Республики Казахстан, в которые вносятся изменения и дополнения по вопросам представления отчетности, утвержденного постановлением Правления Национального Банка Республики Казахстан от 22 февраля 2021 года № 11 «О внесении изменений и дополнений в некоторые постановления Правления Национального Банка Республики Казахстан по вопросам представления отчетности и приостановлении действия отдельных норм некоторых постановлений Правления Национального Банка Республики Казахстан» (зарегистрировано в Реестре государственной регистрации нормативных правовых актов под № 22309).
8. Постановление Правления Национального Банка Республики Казахстан от 25 июля 2025 года № 39 «О внесении изменений в постановление Правления Национального Банка Республики Казахстан от 28 ноября 2019 года № 222 «Об утверждении перечня, форм, сроков представления отчетности организацией, осуществляющей микрофинансовую деятельность, и Правил ее представления» (зарегистрировано в Реестре государственной регистрации нормативных правовых актов под № 36541).



