В соответствии с подпунктом 36) пункта 15 Положения об Агентстве по стратегическому планированию и реформам Республики Казахстан, утвержденного Указом Президента Республики Казахстан от 5 октября 2020 года № 427 и с подпунктом 22) пункта 15 Положения о Бюро национальной статистики Агентства по стратегическому планированию и реформам Республики Казахстан, утвержденного приказом Председателя Агентства по стратегическому планированию и реформам Республики Казахстан от 23 октября 2020 года № 9-нқ,
ПРИКАЗЫВАЮ:
Сноска. Преамбула — в редакции приказа Руководителя Бюро национальной статистики Агентства по стратегическому планированию и реформам РК от 28.07.2023 № 13 (вводится в действие с 01.01.2024).
1. Утвердить:
1) исключен приказом Руководителя Бюро национальной статистики Агентства по стратегическому планированию и реформам РК от 16.09.2022 № 24 (вводится в действие с 01.01.2023);
2) исключен приказом Руководителя Бюро национальной статистики Агентства по стратегическому планированию и реформам РК от 16.09.2022 № 24 (вводится в действие с 01.01.2023);
3) исключен приказом Руководителя Бюро национальной статистики Агентства по стратегическому планированию и реформам РК от 16.09.2022 № 24 (вводится в действие с 01.01.2023);
4) статистическую форму общегосударственного статистического наблюдения «Производство продукции животноводства в мелких крестьянских или фермерских хозяйствах и хозяйствах населения» (индекс А-008, периодичность квартальная) согласно приложению 4 к настоящему приказу;
5) инструкцию по заполнению статистической формы общегосударственного статистического наблюдения «Производство продукции животноводства в мелких крестьянских или фермерских хозяйствах и хозяйствах населения» (индекс А-008, периодичность квартальная) согласно приложению 5 к настоящему приказу;
6) статистическую форму общегосударственного статистического наблюдения «Отчет о состоянии животноводства» (индекс 24-сх, периодичность месячная) согласно приложению 6 к настоящему приказу;
7) инструкцию по заполнению статистической формы общегосударственного статистического наблюдения «Отчет о состоянии животноводства» (индекс 24-сх, периодичность месячная) согласно приложению 7 к настоящему приказу;
8) статистическую форму общегосударственного статистического наблюдения «Отчет о деятельности в лесоводстве и лесозаготовках» (индекс 1-лес, периодичность годовая) согласно приложению 8 к настоящему приказу;
9) инструкцию по заполнению статистической формы общегосударственного статистического наблюдения «Отчет о деятельности в лесоводстве и лесозаготовках» (индекс 1-лес, периодичность годовая) согласно приложению 9 к настоящему приказу;
10) статистическую форму общегосударственного статистического наблюдения «О наличии и движении семян масличных культур» (индекс 3-сх (масличные), периодичность квартальная) согласно приложению 10 к настоящему приказу;
11) инструкцию по заполнению статистической формы общегосударственного статистического наблюдения «О наличии и движении семян масличных культур» (индекс 3-сх (масличные), периодичность квартальная) согласно приложению 11 к настоящему приказу;
12) статистическую форму общегосударственного статистического наблюдения «О рыболовстве и аквакультуре» (индекс 1-рыба, периодичность годовая) согласно приложению 12 к настоящему приказу;
13) инструкцию по заполнению статистической формы общегосударственного статистического наблюдения «О рыболовстве и аквакультуре» (индекс 1-рыба, периодичность годовая), согласно приложению 13 к настоящему приказу;
14) статистическую форму общегосударственного статистического наблюдения «Отчет об итогах сева под урожай» (индекс 4-сх, периодичность один раз в год) согласно приложению 14 к настоящему приказу;
15) инструкцию по заполнению статистической формы общегосударственного статистического наблюдения «Отчет об итогах сева под урожай» (индекс 4-сх, периодичность один раз в год) согласно приложению 15 к настоящему приказу;
16) статистическую форму общегосударственного статистического наблюдения «О наличии и движении зерна» (индекс 2-сх (зерно), периодичность годовая) согласно приложению 16 к настоящему приказу;
17) инструкцию по заполнению статистической формы общегосударственного статистического наблюдения «О наличии и движении зерна» (индекс 2-сх (зерно), периодичность годовая) согласно приложению 17 к настоящему приказу;
18) статистическую форму общегосударственного статистического наблюдения «Отчет о деятельности сельхозформирования» (индекс 1-сх, периодичность годовая) согласно приложению 18 к настоящему приказу;
19) инструкцию по заполнению статистической формы общегосударственного статистического наблюдения «Отчет о деятельности сельхозформирования» (индекс 1-сх, периодичность годовая) согласно приложению 19 к настоящему приказу;
20) статистическую форму общегосударственного статистического наблюдения «О сборе урожая сельскохозяйственных культур» (индекс 29-сх, периодичность один раз в год) согласно приложению 20 к настоящему приказу;
21) инструкцию по заполнению статистической формы общегосударственного статистического наблюдения «О сборе урожая сельскохозяйственных культур» (индекс 29-сх, периодичность один раз в год) согласно приложению 21 к настоящему приказу;
22) статистическую форму общегосударственного статистического наблюдения «О сборе урожая сельскохозяйственных культур в мелких крестьянских или фермерских хозяйствах и хозяйствах населения» (индекс А-005, периодичность один раз в год) согласно приложению 22 к настоящему приказу;
23) инструкцию по заполнению статистической формы общегосударственного статистического наблюдения «О сборе урожая сельскохозяйственных культур в мелких крестьянских или фермерских хозяйствах и хозяйствах населения» (индекс А-005, периодичность один раз в год) согласно приложению 23 к настоящему приказу;
24) статистическую форму общегосударственного статистического наблюдения «О деятельности по охоте и отлову, включая предоставление услуг в этих областях» (индекс 2-охота, периодичность годовая) согласно приложению 24 к настоящему приказу;
25) инструкцию по заполнению статистической формы общегосударственного статистического наблюдения «О деятельности по охоте и отлову, включая предоставление услуг в этих областях» (индекс 2-охота, периодичность годовая) согласно приложению 25 к настоящему приказу;
26) статистическую форму общегосударственного статистического наблюдения «Отчет о состоянии животноводства» (индекс 24-сх, периодичность годовая) согласно приложению 26 к настоящему приказу;
27) инструкцию по заполнению статистической формы общегосударственного статистического наблюдения «Отчет о состоянии животноводства» (индекс 24-сх, периодичность годовая) согласно приложению 27 к настоящему приказу;
Примечание ИЗПИ!
Подпункт 28) предусматривается в редакции приказа Руководителя Бюро национальной статистики Агентства по стратегическому планированию и реформам РК от 05.06.2025 № 13 (вводится в действие с 01.01.2026).
28) статистическую форму общегосударственного статистического наблюдения «Наличие в сельскохозяйственных предприятиях построек и сооружений сельскохозяйственного назначения» (индекс 49-сх, периодичность годовая) согласно приложению 28 к настоящему приказу;
Примечание ИЗПИ!
Подпункт 28) предусматривается в редакции приказа Руководителя Бюро национальной статистики Агентства по стратегическому планированию и реформам РК от 05.06.2025 № 13 (вводится в действие с 01.01.2026).
29) инструкцию по заполнению статистической формы общегосударственного статистического наблюдения «Наличие в сельскохозяйственных предприятиях построек и сооружений сельскохозяйственного назначения» (индекс 49-сх, периодичность годовая) согласно приложению 29 к настоящему приказу;
30) статистическую форму общегосударственного статистического наблюдения «Об оказании сельскохозяйственных услуг» (индекс 8-сх, периодичность один раз в три года) согласно приложению 30 к настоящему приказу;
31) инструкцию по заполнению статистической формы общегосударственного статистического наблюдения «Об оказании сельскохозяйственных услуг» (индекс 8-сх, периодичность один раз в три года) согласно приложению 31 к настоящему приказу;
32) исключен приказом и.о. Руководителя Бюро национальной статистики Агентства по стратегическому планированию и реформам РК от 25.11.2022 № 35 (вводится в действие с 01.01.2023);
33) исключен приказом и.о. Руководителя Бюро национальной статистики Агентства по стратегическому планированию и реформам РК от 25.11.2022 № 35 (вводится в действие с 01.01.2023);
34) статистическую форму общегосударственного статистического наблюдения «О деятельности сельскохозяйственного кооператива» (индекс 1-СПК, периодичность годовая) согласно приложению 34 к настоящему приказу;
35) инструкцию по заполнению статистической формы общегосударственного статистического наблюдения «О деятельности сельскохозяйственного кооператива» (индекс 1-СПК, периодичность годовая) согласно приложению 35 к настоящему приказу;
36) статистическую форму общегосударственного статистического наблюдения «О наличии зерна» (индекс 2-сх (зерно), периодичность месячная) согласно приложению 36 к настоящему приказу;
37) инструкцию по заполнению статистической формы общегосударственного статистического наблюдения «О наличии зерна» (индекс 2-сх (зерно), периодичность месячная) согласно приложению 37 к настоящему приказу;
38) статистическую форму общегосударственного статистического наблюдения «О сборе урожая сельскохозяйственных культур в защищенном грунте» (индекс 1-теплица, периодичность квартальная) согласно приложению 38 к настоящему приказу;
39) инструкцию по заполнению статистической формы общегосударственного статистического наблюдения «О сборе урожая сельскохозяйственных культур в защищенном грунте» (индекс 1-теплица, периодичность квартальная) согласно приложению 39 к настоящему приказу.
Сноска. Пункт 1 — в редакции приказа Руководителя Бюро национальной статистики Агентства по стратегическому планированию и реформам РК от 08.12.2021 № 44 (вводится в действие по истечении десяти календарных дней после дня его первого официального опубликования); с изменениями, внесенными приказами Руководителя Бюро национальной статистики Агентства по стратегическому планированию и реформам РК от 16.09.2022 № 24 (вводится в действие с 01.01.2023); от 25.11.2022 № 35 (вводится в действие с 01.01.2023); внесены изменения на казахском языке, текст на русском языке не меняется приказом Руководителя Бюро национальной статистики Агентства по стратегическому планированию и реформам РК от 28.07.2023 № 13 (вводится в действие с 01.01.2024).
2. Признать утратившими силу:
1) приказ Председателя Комитета по статистике Министерства национальной экономики Республики Казахстан от 20 ноября 2017 года № 180 «Об утверждении статистических форм общегосударственных статистических наблюдений по статистике сельского, лесного, охотничьего и рыбного хозяйства и инструкций по их заполнению» (зарегистрирован в Реестре государственной регистрации нормативных правовых актов № 16070, опубликован 26 декабря 2017 года в Эталонном контрольном банке нормативных правовых актов Республики Казахстан);
2) приказ Председателя Комитета по статистике Министерства национальной экономики Республики Казахстан от 24 декабря 2018 года № 12 «О внесении изменений в приказ Председателя Комитета по статистике Министерства национальной экономики Республики Казахстан от 20 ноября 2017 года № 180 «Об утверждении статистических форм общегосударственных статистических наблюдений по статистике сельского, лесного, охотничьего и рыбного хозяйства и инструкций по их заполнению» (зарегистрирован в Реестре государственной регистрации нормативных правовых актов № 18119, опубликован 9 января 2019 года в Эталонном контрольном банке нормативных правовых актов Республики Казахстан).
3. Управлению планирования статистической деятельности совместно с Юридическим управлением Комитета по статистике Министерства национальной экономики Республики Казахстан обеспечить в установленном законодательством порядке:
1) государственную регистрацию настоящего приказа в Министерстве юстиции Республики Казахстан;
2) размещение настоящего приказа на интернет-ресурсе Комитета по статистике Министерства национальной экономики Республики Казахстан.
4. Управлению планирования статистической деятельности Комитета по статистике Министерства национальной экономики Республики Казахстан довести настоящий приказ до структурных подразделений и территориальных органов Комитета по статистике Министерства национальной экономики Республики Казахстан для руководства и использования в работе.
5. Контроль за исполнением настоящего приказа оставляю за собой.
6. Настоящий приказ вводится в действие по истечении десяти календарных дней после дня его первого официального опубликования.
Председатель
Н. Айдапкелов
«СОГЛАСОВАН»
Министерство сельского хозяйства
Республики Казахстан
«СОГЛАСОВАН»
Министерство экологии, геологии
и природных ресурсов
Республики Казахстан
Приложение 1 к приказу
Председателя Комитета по
статистике Министерства
национальной экономики
Республики Казахстан
от «10» февраля 2020 года
№ 21
Сноска. Приложение 1 исключено приказом Руководителя Бюро национальной статистики Агентства по стратегическому планированию и реформам РК от 16.09.2022 № 24 (вводится в действие с 01.01.2023).
Приложение 2 к приказу
Председателя Комитета по
статистике Министерства
национальной экономики
Республики Казахстан
от «10» февраля 2020 года
№ 21
Сноска. Приложение 2 исключено приказом Руководителя Бюро национальной статистики Агентства по стратегическому планированию и реформам РК от 16.09.2022 № 24 (вводится в действие с 01.01.2023).
Приложение 3 к приказу
Председателя Комитета по
статистике Министерства
национальной экономики
Республики Казахстан
от «10» февраля 2020 года
№ 21
Сноска. Приложение 3 исключено приказом Руководителя Бюро национальной статистики Агентства по стратегическому планированию и реформам РК от 16.09.2022 № 24 (вводится в действие с 01.01.2023).
| Приложение 4 к приказу Председателя Комитета по статистике Министерства национальной экономики Республики Казахстан от 10 февраля 2020 года № 21 |
Сноска. Приложение 4 — в редакции совместного приказа Руководителя Бюро национальной статистики Агентства по стратегическому планированию и реформам РК от 16.09.2022 № 24 (вводится в действие с 01.01.2023).
|
|
Конфиденциальность гарантируется органами государственной статистики |
||||||||||||||||||||||||||||||||||||||||||||||||||||||||||||||||||
|
Производство продукции животноводства у индивидуальных предпринимателей, крестьянских или фермерских хозяйств и хозяйств населения |
|||||||||||||||||||||||||||||||||||||||||||||||||||||||||||||||||||
|
Представляют попавшие в выборку индивидуальные предприниматели, крестьянские или фермерские хозяйства, хозяйства населения, имеющие скот и птицу. |
|||||||||||||||||||||||||||||||||||||||||||||||||||||||||||||||||||
|
Сроки проведения наблюдения – период с 11 по 25 марта, с 11 по 25 июня, с 11 по 25 сентября, с 11 по 25 декабря минут
Раздел 1: Вопросы по идентификации респондента
1.2. Наименование/ФИО респондента Нет
3. Укажите территорию (область, город, район) фактического
и производству продукции животноводства
Крупный рогатый скот (КРС) Нет 5. Сколько голов КРС имелось у Вас в хозяйстве на конец отчетного периода?
Лошади Нет 12. Сколько голов лошадей имелось у Вас в хозяйстве на конец отчетного периода?
13. Сколько лошадей Вы забили в хозяйстве или реализовали на убой в отчетном периоде?
14. Сколько килограмм кобыльего молока Вы надоили в отчетном периоде?
(если не доили кобылу, то пропустите данный вопрос) Нет 16. Сколько голов верблюдов имелось у Вас в хозяйстве на конец отчетного периода?
17. Сколько верблюдов Вы забили в хозяйстве или реализовали на убой в отчетном периоде?
18. Сколько килограмм верблюжьего молока Вы надоили в отчетном периоде?
(если не доили верблюда, то пропустите данный вопрос)
(если не стригли верблюдов, то пропустите данный вопрос) Нет 21. Сколько голов овец имелось у Вас в хозяйстве на конец отчетного периода?
22. Сколько овец Вы забили в хозяйстве или реализовали на убой в отчетном периоде?
23. Сколько голов овец Вы подвергли стрижке в отчетном периоде? (если не стригли овец, то пропустите данный вопрос) 24. Сколько килограмм немытой овечьей шерсти (включая промытую руном)
Вы получили в отчетном периоде? (если не стригли овец, то пропустите данный вопрос)
(если не получали шкуры, то пропустите данный вопрос) Нет 27. Сколько голов коз имелось у Вас в хозяйстве на конец отчетного периода?
28. Сколько коз Вы забили в хозяйстве или реализовали на убой в отчетном периоде?
(если не стригли коз, то пропустите данный вопрос)
Свиньи Нет 32. Сколько голов свиней имелось у Вас в хозяйстве на конец отчетного периода?
33. Сколько свиней Вы забили в хозяйстве или реализовали на убой в отчетном периоде?
Птица Нет 35. Вы выращивали в отчетном периоде кур? Да Нет 36. Сколько голов кур осталось у Вас в хозяйстве на конец отчетного периода?
37. Сколько кур Вы забили в хозяйстве или реализовали на убой в отчетном периоде?
38. Сколько в среднем голов кур-несушек было в Вашем хозяйстве в отчетном периоде? 39. Сколько штук куриных яиц Вы получили в отчетном периоде?
(если не получали яйца, то пропустите данный вопрос) Нет 41. Сколько голов индюков осталось у Вас в хозяйстве на конец отчетного периода?
42. Сколько индюков Вы забили в хозяйстве или реализовали на убой в отчетном периоде?
43. Сколько штук яиц индеек Вы получили в отчетном периоде?
(если не получали яйца, то пропустите данный вопрос) Нет 45. Сколько голов гусей осталось у Вас в хозяйстве на конец отчетного периода?
46. Сколько гусей Вы забили в хозяйстве или реализовали на убой в отчетном периоде?
47. Сколько штук гусиных яиц Вы получили в отчетном периоде?
(если не получали яйца, то пропустите данный вопрос) Нет 49. Сколько голов уток осталось у Вас в хозяйстве на конец отчетного периода?
50. Сколько уток Вы забили в хозяйстве или реализовали на убой в отчетном периоде?
51. Сколько штук утиных яиц Вы получили в отчетном периоде?
(если не получали яйца, то пропустите данный вопрос) Нет 53. Укажите какие виды птиц 54. Сколько голов ________осталось у Вас в хозяйстве на конец отчетного периода?
55. Сколько _________ забили в хозяйстве или реализовали на убой в отчетном периоде?
56. Сколько штук __________ яиц Вы получили в отчетном периоде?
(если не получали яйца, то пропустите данный вопрос) Нет
(кроме вышеуказанных сельскохозяйственных животных, например: кролики, маралы, олени и т.д.) 59. Сколько голов _____осталось у Вас в хозяйстве на конец отчетного периода?
60. Сколько _________ забили в хозяйстве или реализовали на убой в отчетном периоде?
61. Сколько единиц пчелосемей у Вас в хозяйстве?
(если нет пчелосемей, то пропустите данный вопрос)
(если не получали мед, то пропустите данный вопрос)
|
|||||||||||||||||||||||||||||||||||||||||||||||||||||||||||||||||||
Время завершения опроса: час
минут
Подпись опрошенного или предоставившего данные _________________________
Подпись интервьюера _________________________
Примечание:
Представление недостоверных и непредставление первичных статистических данных в соответствующие органы государственной статистики в установленный срок являются административными правонарушениями, предусмотренными статьей 497 Кодекса Республики Казахстан «Об административных правонарушениях».
| Приложение 5 к приказу Председателя Комитета по статистике Министерства национальной экономики Республики Казахстан от 10 февраля 2020 года № 21 |
Инструкция по заполнению статистической формы общегосударственного статистического наблюдения
«Производство продукции животноводства у индивидуальных предпринимателей, крестьянских или фермерских хозяйств и хозяйств населения»
(индекс А-008, периодичность квартальная)
Сноска. Приложение 5 — в редакции совместного приказа Руководителя Бюро национальной статистики Агентства по стратегическому планированию и реформам РК от 16.09.2022 № 24 (вводится в действие с 01.01.2023).
1. Настоящая инструкция детализирует заполнение статистической формы общегосударственного статистического наблюдения «Производство продукции животноводства у индивидуальных предпринимателей, крестьянских или фермерских хозяйств и хозяйств населения» (индекс А-008, периодичность квартальная) (далее – статистическая форма). По данной форме хозяйства населения (выборочном методом) обследуются один раз в 3 года.
2. В настоящей Инструкции используются следующие определения:
1) хозяйства населения – личные подсобные хозяйства населения, коллективные сады и огороды, дачные участки;
2) крестьянским или фермерским хозяйством признается трудовое объединение лиц, в котором осуществление индивидуального предпринимательства неразрывно связано с использованием земель сельскохозяйственного назначения для производства сельскохозяйственной продукции, а также переработкой и сбытом этой продукции.
Крестьянское или фермерское хозяйство выступает в формах:
крестьянского хозяйства, в котором предпринимательская деятельность осуществляется в форме семейного предпринимательства, основанного на базе общей совместной собственности;
фермерского хозяйства, основанного на осуществлении личного предпринимательства;
фермерского хозяйства, организованного в форме простого товарищества на базе общей долевой собственности на основе договора о совместной деятельности;
3. При проведении наблюдения за 1 квартал отчетного года данные заполняются за период с 1 января по 31 марта, за 2 квартал — с 1 апреля по 30 июня, за 3 квартал — с 1 июля по 30 сентября и за 4 квартал — с 1 октября по 31 декабря. Так как опрос проводится в последний месяц отчетного квартала, то есть до его фактического окончания, данные о производстве продукции заполняются с учетом периода.
Индивидуальные предприниматели, крестьянские или фермерские хозяйства, осуществляющие деятельность в сфере животноводства на территории нескольких районов и (или) областей, заполняют или представляют статистическую форму на отдельных бланках, выделяя информацию по каждой территории, отражающую по месту фактического осуществления деятельности по выращиванию скота и птицы и производству продукции животноводства.
4. В разделе 1 указывается идентификационные данные респондента.
5. В пункте 3 раздела 2 указывается территория (область, город, район) фактического осуществления деятельности по выращиванию скота и птицы и производству продукции животноводства.
6. В пунктах 5,7,12,16,21,27,32,36,41,45,49,54 и 59 раздела 2 отражается фактическое наличие в хозяйстве скота и птицы на конец отчетного периода независимо от того, находился он на скотном дворе хозяйства или в отгоне на пастбищах.
К числу коров молочного, мясного и молочно-мясного стада относятся коровы основного стада, включая отелившихся телок после перевода их в основное стадо, сухостойных и яловых коров и телки, достигшие 27 месяцев.
К коровам молочного направления относят коров черно-пестрой, голштинофризской, красно-степной, аулиеатинской, айрширской, бурой латвийской породы. К коровам мясного направления относят коров пород казахской белоголовой, аулиекольской, ангус, герефорд, обрак, шароле, лимузин, санта-гертруда, галловейской и калмыцкой. К коровам молочно-мясного направления относят коров алатауской, симментальской, швицкой породы. Беспородный скот относят к молочному, мясному или молочно-мясному стаду в зависимости от цели использования (получения мяса или молока). Если от коровы получают молоко для дальнейшего его потребления человеком или реализации, то таких коров относят к молочному стаду.
В пунктах 6,13,17,22,28,33,37,42,46,50,55 и 60 раздела 2 указывается количество голов и вес забитых или реализованных на убой в живой массе скота и птицы, забитых хозяйством (самостоятельно или на бойне), мясо которых предназначено для использования на собственные нужды, для продажи или выдачи организациям, предприятиям и работникам хозяйства, в том числе по бартерным сделкам. В данной строке отражается количество голов скота и птицы, проданных на убой заготовительным организациям, перерабатывающим предприятиям, через сеть общественного питания (столовые, рестораны, кафе), торговую сеть, включая рынки и экспорт.
По овцам учитывается поголовье приплода, забитого на каракульские смушки (при определении живого веса одной головы забитых на мясо овец, живой вес приплода, забитого на каракульские смушки, не учитывается).
7. По производству молока сырого коровьего, козьего, кобыльего, верблюжьего отражается фактически надоенное за квартал, независимо от того, было ли оно реализовано или часть его потреблена в хозяйстве, в том числе на выпойку телят и поросят. Молоко, высосанное телятами, ягнятами, козлятами, жеребятами и верблюжатами при подсосном их содержании, в продукцию и валовое производство не включается.
По производству шерсти указывается вся фактически настриженная овечья, козья, верблюжья шерсть, независимо от того, была ли она реализована или использована на внутрихозяйственные нужды. Шерсть, полученная с овчин при промышленной переработке их на кожу (называемая «кислая шерсть») в продукцию не включается. Вес шерсти показывается физический, непосредственно после стрижки овец.
По производству куриных яиц, яиц индеек, уток, гусей, цесарок, перепелок и страусов указывается количество полученных яиц за отчетный квартал, включая яйца, использованные на воспроизводство птицы (в том числе инкубацию).
К шкуркам смушковых ягнят относятся каракульча, каракуль и смушка.
К крупным шкурам относятся шкуры крупного рогатого скота, лошадей, верблюдов и другие шкуры в парном состоянии весом свыше 10 килограмм.
К мелким шкурам относятся шкуры овец, коз, телят, жеребят, верблюжат и другие шкуры в парном состоянии весом менее 10 килограмм.
В пункте 10 раздела 2 указывается из общего объема использованного на собственное потребление коровьего молока объем коровьего молока, использованного на выпойку телят и поросят.
8. В пунктах 8,23,38 раздела 2 указывается поголовье отдельных видов скота и птицы, от которых получена продукция в отчетном квартале, среднее поголовье рассчитывается путем деления суммы кормодней поголовья за квартал на число дней этого квартала. Кормоднем считается пребывание в хозяйстве одной головы скота в течение суток. По поголовью, подверженному стрижке, показывается поголовье овец, с которых получена шерсть в отчетном квартале.
9. Статистическая форма по хозяйству населения заполняется со слов главы домашнего хозяйства интервьюерами. Представление данной статистической формы осуществляется в электронном виде или на бумажном носителе. Заполнение статистической формы в электронном виде осуществляется через «Кабинет респондента» (https://cabinet.stat.gov.kz/), размещенном на интернет-ресурсе Бюро национальной статистики Агентства по стратегическому планированию и реформам Республики Казахстан, в режиме онлайн.
10. Арифметико-логический контроль:
Раздел 2:
если в пункте 6 графа «голов» > 0 по всем строкам, то графа «в живом весе, кг» > 0по всем строкам;
если пункт 7 > 0 по всем строкам, то пункт 5 > 0 по всем строкам и наоборот;
если пункт 9 > 0 по всем строкам, то пункт 8> 0 по всем строкам и наоборот;
если пункт 10 > 0, то пункт 9> 0 по всем строкам и наоборот;
если в пункте 13 графа «голов» > 0 по всем строкам, то графа «в живом весе, кг» > 0по всем строкам;
если в пункте 17 графа «голов» > 0, то графа «в живом весе, кг» > 0;
если в пункте 22 графа «голов» > 0, то графа «в живом весе, кг» > 0;
если пункт 23 > 0, то пункт 24 > 0 и наоборот;
если в пункте 28 графа «голов» > 0, то графа «в живом весе, кг» > 0;
если в пункте 33 графа «голов» > 0, то графа «в живом весе, кг» > 0;
если в пункте 37 графа «голов» > 0, то графа «в живом весе, кг» > 0;
если пункт 38 > 0, то пункт 39 > 0 и наоборот;
если в пункте 42 графа «голов» > 0, то графа «в живом весе, кг» > 0;
если в пункте 46 графа «голов» > 0, то графа «в живом весе, кг» > 0;
если в пункте 50 графа «голов» > 0, то графа «в живом весе, кг» > 0;
если в пункте 55 графа «голов» > 0, то графа «в живом весе, кг» > 0;
если в пункте 60 графа «голов» > 0, то графа «в живом весе, кг» > 0;
если пункт 62> 0, то пункт 61> 0 и наоборот.
11. Дополнительные контроли являются допустимыми и предусмотрены с целью снижения вероятности появления случайных ошибок регистрации, которые возникают из-за описок и невнимательности респондентов:
при заполнении живого веса скота и птицы учитывается, что средний живой вес одной головы скота и птицы, не выходит за следующие пределы: минимальное допустимое значение среднего живого веса одной головы крупного рогатого скота – 230 килограмм (далее – кг), максимально допустимое 550 кг; лошадей – 270 кг и 600 кг, верблюдов – 370 кг и 1000 кг, овец и коз – 30 кг и 65 кг, свиней – 70 кг и 150 кг, домашней птицы – 0,5 кг и 8 кг, птицы, выращиваемой на ферме – 1 кг и 8 кг;
при заполнении производства продукции животноводства учитывается, что надой молока в расчете на одну корову не превышает 23 кг в день (отношение произведенного коровьего молока к среднему поголовью дойных коров), а средний настриг шерсти с одной овцы – 4,5 кг (отношения произведенного количества шерсти к количеству овец подверженных стрижке), средняя яйценоскость кур-несушек – 30 штук в месяц (отношение производства яиц куриных к среднему поголовью кур-несушек).
В случае если какие-либо вышеприведенные ограничения не соблюдаются, к статистической форме прилагаются соответствующие пояснения.
| Приложение 6 к приказу Председателя Комитета по статистике Министерства национальной экономики Республики Казахстан от 10 февраля 2020 года № 21 |
Сноска. Приложение 6 — в редакции приказа Руководителя Бюро национальной статистики Агентства по стратегическому планированию и реформам РК от 28.06.2024 № 15 (вводится в действие с 01.01.2025).
|
|
Мемлекеттік статистика органдары |
Қазақстан Республикасы |
|||||||||
|
Мал шаруашылығының жай-күйі туралы есеп |
|||||||||||
|
индексі |
24-сх |
Ай |
|
есепті кезең |
|
жыл |
|||||
|
Ұсынады: |
|||||||||||
|
Ұсыну мерзімі – есепті кезеңнен кейінгі 2-күніне (қоса алғанда) дейін |
|||||||||||
|
БСН коды |
|
||||||||||
|
1. Мал мен құсты өсіру және мал шаруашылығы өнімін өндіру бойынша қызметті нақты жүзеге асыратын аумақты (облыс, қала, аудан) көрсетіңіз |
|
||||||||||
|
1.1 Әкімшілік-аумақтық объектілер жіктеуішіне (ӘАОЖ) сәйкес аумақ коды (статистикалық нысанды қағаз жеткізгіште ұсынған кезде аумақтық статистика бөлімшесінің тиісті қызметкері толтырады) |
|
||||||||||
2. Мал мен құс бастарының қозғалысы туралы ақпаратты көрсетіңіз, бас
Укажите информацию о движении поголовья скота и птицы, голов
|
Реттік нөмірі |
Көрсеткіштердің атауы |
Сүтті табынның ірі қара малы, тірі |
Одан сүтті табынның сиырлары |
Өзге де ірі қара мал мен енекелер, тірі |
Одан етті табынның сиырлары |
Сүтті-етті табынның ірі қара малы, тірі |
Одан сүтті-етті табынның сиырлары |
|
А |
Б |
1 |
2 |
3 |
4 |
5 |
6 |
|
1 |
Ай басына саны |
х |
х |
||||
|
2 |
тірідей массасындағы салмағы, центнер |
х |
х |
х |
|||
|
3 |
Алынған төл |
х |
х |
х |
продолжения таблицы
|
Жылқылар және өзге де жылқытектес жануарлар, тірі |
Түйелер және түйетәрізділер, тірі |
Қойлар,тірі |
Ешкілер,тірі |
Шошқалар,тірі |
Үй құсы, тірі |
Шаруашылықтарда өсірілген маралдар |
||||||
|
7 |
8 |
9 |
10 |
11 |
12 |
13 |
||||||
|
Реттік нөмірі |
Көрсеткіштердің атауы |
Сүтті табынның ірі қара малы, тірі |
Одан сүтті табынның сиырлары |
Өзге де ірі қара мал мен енекелер, тірі |
Одан етті табынның сиырлары |
Сүтті-етті табынның ірі қара малы, тірі |
Одан сүтті-етті табынның сиырлары |
|||||
|
А |
Б |
1 |
2 |
3 |
4 |
5 |
6 |
|||||
|
4 |
Өз өңірі шегінде сатып алынғаны |
х |
х |
х |
||||||||
|
5 |
ауыл шаруашылығы кәсіпорнынан |
х |
х |
х |
||||||||
|
6 |
дара кәсіпкерлерден және шаруа немесе фермер қожалығынан |
х |
х |
х |
||||||||
|
7 |
жұртшылық шаруашылықтарынан |
х |
х |
х |
||||||||
|
8 |
Өзге де түсім |
х |
х |
х |
||||||||
|
9 |
Шаруашылықта сойылғаны немесе сойысқа өткізілгені |
х |
х |
х |
||||||||
|
10 |
тірідей салмақта, центнер |
х |
х |
х |
||||||||
|
11 |
сойыс салмақта, центнер |
х |
х |
х |
||||||||
|
12 |
Өлім-жітім және қырылғаны |
х |
х |
х |
||||||||
|
13 |
Өз өңірі шегінде сатылғаны |
х |
х |
х |
||||||||
|
14 |
ауыл шаруашылығы кәсіпорындарына |
х |
х |
х |
||||||||
|
15 |
дара кәсіпкерлерге және шаруа немесе фермер қожалықтарына |
х |
х |
х |
||||||||
|
16 |
жұртшылық шаруашылықтарына |
х |
х |
х |
||||||||
|
17 |
Өзге де шығыс |
х |
х |
х |
||||||||
|
18 |
Ай соңына саны |
|||||||||||
|
19 |
тірідей массасындағы салмағы, центнер |
х |
х |
х |
||||||||
|
20 |
Аналықтардың орташабасы |
х |
х |
х |
||||||||
продолжения таблицы
|
Жылқылар және өзге де жылқы тектес жануарлар, тірі |
Түйелер және түйетәрізділер, тірі |
Қойлар,тірі |
Ешкілер,тірі |
Шошқалар, тірі |
Үй құсы, тірі |
Шаруашылықтарда өсірілген маралдар |
|
7 |
8 |
9 |
10 |
11 |
12 |
13 |
|
х |
3. Мал шаруашылығы өнімдерін өндіру туралы ақпаратты көрсетіңіз, центнер
Укажите информацию о производстве продукции животноводства, центнер
|
Реттік нөмірі |
Өнімдердің түрлері |
Өнімдерді өндіру |
|||
|
А |
Б |
1 |
|||
|
1 |
Сүтті табын сиырларының шикі сүті, центнер |
||||
|
1.1 |
одан бұзаулар мен торайларға сүт беруге пайдаланылғаны, центнер |
||||
|
2 |
Сүтті-етті табын сиырларының шикі сүті, центнер |
||||
|
2.1 |
одан бұзаулар мен торайларға сүт беруге пайдаланылғаны, центнер |
||||
|
3 |
Тірі қойдан қырқылған жүн, жуылмаған (тобымен жуылғанды қоса алғанда), центнер |
||||
|
4 |
Тауықтың қабығындағы жұмыртқасы, жаңа жиналып алынған, мың дана |
||||
|
4.1 |
одан: инкубациялық жұмыртқалар, мың дана |
||||
|
5 |
Шаруашылықтарда өсірілген марал мүйіздері, центнер |
||||
|
6 |
Елтірі қозылардың терілері, дана |
||||
|
7 |
Ірі терілер, дана Шкуры крупные, штук |
||||
|
8 |
Ұсақ терілер, дана Шкуры мелкие, штук |
||||
|
4. Есепті айда өнім алынған мал мен құстың жеке түрлерінің орташа саны туралы ақпаратты көрсетіңіз, бас |
|
||||
|
Жолдың коды |
Көрсеткіштердің атауы |
Саны, бас |
|||
|
А |
Б |
1 |
|||
|
1 |
Сауын сиырлар басының орташа саны |
||||
|
1.1 |
сүт бағытындағы табынның сауын сиырлар басының орташа саны |
||||
|
1.2 |
сүтті-етті бағытындағы табынның сауын сиырлар басының орташа саны |
||||
|
2 |
Тауық мекиендерінің орташа саны |
||||
|
3 |
Қырқылған қой саны |
||||
|
4 |
Елтіріге сойылған қозылар саны |
||||
5. Мал азығының нақты бары туралы ақпаратты көрсетіңіз
(1-қарашадан 1-сәуірге дейін ай сайын)
Укажите информацию о наличии кормов (с 1 ноября по 1 апреля ежемесячно)
5.1 Құнарлы мал азығы, шөп, сүрлем және пішендеменің қолда бары, центнер
Наличие концентрированных кормов, сена, силоса и сенажа, в центнерах
|
Жолдың коды |
Көрсеткіштердің атауы |
Қолда бары |
|
А |
Б |
1 |
|
1 |
Құнарлы мал азығы |
|
|
2 |
Шөп |
|
|
3 |
Сүрлем |
|
|
4 |
Пішендеме |
5.2 Мал азығының басқа түрлерінің қолда бары, центнер
Наличие других видов кормов, в центнерах
|
Реттік нөмірі |
Мал азықтарының түрлері |
Қолда бары |
|
А |
Б |
1 |
|
1 |
Дәнді дақылдардың сабаны және қауызы |
|
|
2 |
Азықтық тамыр жемісті дақылдар |
|
|
3 |
Азықтық бақша дақылдары |
|
|
4 |
Азықтық дәнді дақылдар |
|
|
5 |
Азықтық дәнді бұршақ дақылдары |
|
|
6 |
Шабындықтар мен дақылды жайылымдардың (егілген) бір жылдық шөптерінен көк азық |
|
|
7 |
Шабындықтар мен дақылды жайылымдардың (егілген) көп жылдық шөптерінен көк азық |
|
|
8 |
Жабайы өсетін шөптерді қоса алғанда, шабындықтар мен табиғи жайылымдар шөптерінен көк азық |
|
|
9 |
Өзге де азықтық дақылдар |
6. Статистикалық нысанды толтыруға жұмсалған уақытты, сағатпен
(қажеттiсiн қоршаңыз)
Укажите время, затраченное на заполнение статистической формы, в часах
(нужное обвести)
|
1 сағатқа дейiн |
1-2 |
2-4 |
4-8 |
8-40 |
40 сағаттан артық |
|
до 1 часа |
более 40 часов |
Атауы Мекенжайы
Наименование _______________________________________________
Адрес ______________________________________________________
____________________________________________________________
Телефоны (респонденттің) ___________ _________________________
Электрондық пошта мекенжайы (респонденттің) __________________
Телефон (респондента) стационарлық ұялы
Адрес электронной почты (респондента) стационарный мобильный
Орындаушы
Исполнитель ________________________________________________
тегі, аты және әкесінің аты (ол болған жағдайда) қолы, телефоны
фамилия, имя и отчество (при его наличии) подпись, телефон
Бас бухгалтер немесе оның міндетін атқарушы тұлға
Главный бухгалтер или лицо, исполняющее его обязанности
_______________________ ____________________________________
тегі, аты және әкесінің аты (ол болған жағдайда) қолы
фамилия, имя и отчество (при его наличии) подпись
Басшы немесе оның міндетін атқарушы тұлға
Руководитель или лицо, исполняющее его обязанности
_____________________________ ______________________________
тегі, аты және әкесінің аты (ол болған жағдайда) қолы
фамилия, имя и отчество (при его наличии) подпись
Ескертпе:
Примечание:
Мемлекеттік статистиканың тиісті органдарына анық емес бастапқы статистикалық деректерді ұсыну және бастапқы статистикалық деректерді белгіленген мерзімде ұсынбау 2014 жылғы 5 шілдедегі «Әкімшілік құқық бұзушылық туралы» Қазақстан Республикасы Кодексінің 497-бабында көзделген әкімшілік құқық бұзушылықтар болып табылады
Представление недостоверных и непредставление первичных статистических данных в соответствующие органы государственной статистики в установленный срок являются административными правонарушениями, предусмотренными статьей 497 Кодекса Республики Казахстан от 5 июля 2014 года «Об административных правонарушениях»
| Приложение к статистической форме общегосударственного статистического наблюдения «Отчет о состоянии животноводства» (индекс 24-сх, периодичность месячная) «Мал шаруашылығының жағдайытуралы» (индексі 24-сх, кезеңділігі айлық) жалпымемлекеттік статистикалық байқаудың статистикалық нысанына қосымша |
Негізгі мал азықтарының құнарлығы
(1 килограмм табиғи мал азығындағы азық өлшемі)
Питательность основных кормов
(в 1 килограмме натурального корма содержится кормовых единиц)
|
Мал азықтары |
Корма |
Азық өлшемі |
|
Дән |
Зерно |
|
|
Сұлы |
Овес |
1,00 |
|
Арпа |
Ячмень |
1,13 |
|
Жүгері |
Кукуруза |
1,34 |
|
Бидай |
Пшеница |
1,19 |
|
Асбұршақ |
Горох |
1,17 |
|
Сиыржоңышқа |
Вика |
1,16 |
|
Бұршақ |
Бобы |
1,20 |
|
Бөрібұршақ |
Люпин |
1,10 |
|
Соя |
Соя |
1,31 |
|
Өнеркәсіп өндірісінің қалдықтары |
Отходы промышленного производства |
|
|
Күнбағысты күнжара |
Жмых подсолнечниковый |
1,15 |
|
Зығырды күнжара |
Жмых льяной |
1,17 |
|
Соялы күнжара |
Жмых соевый |
1,27 |
|
Күнбағысты шрот |
Шрот подсолнечниковый |
0,93 |
|
Зығырды шрот |
Шрот льяной |
1,02 |
|
Мақталы шрот |
Шрот хлопчатниковый |
0,97 |
|
Соялы шрот |
Шрот соевый |
1,18 |
|
Бидай кебегі |
Отруби пшеничные |
0,71 |
|
Малдан алынған азық |
Корма животного происхождения |
|
|
Ет-сүйекті ұн |
Мука мясо-костная |
0,90 |
|
Балықты ұн |
Мука рыбная |
0,83 |
|
Гидролизді ашытқы |
Дрожжи гидролизные |
1,06 |
|
Жаңа айрылған сүт |
Обрат свежий |
0,20 |
|
Құрғақ айрылған сүт |
Обрат сухой |
1,94 |
|
Қанды ұн |
Мука кровяная |
0,92 |
|
Шөп |
Сено |
|
|
Табиғи алуан шөпті |
Естественного разнотравья |
0,44 |
|
Шабындығы жақсы |
Луговое хорошее |
0,60 |
|
Шабындығы орташа |
Луговое среднее |
0,42 |
|
Шабындығы жаман |
Луговое плохое |
0,32 |
|
Атқонақтық |
Тимофеечное |
0,46 |
|
Беделігі жақсы |
Клеверное хорошее |
0,59 |
|
Аралас астық тұқымдас |
Злаковое смешанное |
0,51 |
|
Беделігі орташа |
Клеверное среднее |
0,52 |
|
Беделігі жаман |
Клеверное плохое |
0,36 |
|
1-ші орымдық жоңышқа |
Люцерновое 1-го укоса |
0,49 |
|
2-ші орымдық жоңышқа |
Люцерновое 2-го укоса |
0,54 |
|
Беделі-атқонақтық |
Клеверно-тимофеечное |
0,46 |
|
Бұршақты-сұлылық |
Горохо-овсяное |
0,55 |
|
Ормандық |
Лесное |
0,46 |
|
Қияқөлеңдік |
Осоковое |
0,38 |
|
Шөпті ұн |
Травяная мука |
|
|
Жоңышқалы |
Люцерновая |
0,76 |
|
Беделі |
Клеверная |
0,67 |
|
Дәнді-алуан шөпті |
Злаково-разнотравная |
0,67 |
|
Сұлымен сиыржоңышқа |
Вика с овсом |
0,58 |
|
Сұлымен асбұршақ |
Горох с овсом |
0,69 |
|
Эспарцет |
Эспарцет |
0,61 |
|
Сабан |
Солома |
|
|
Қара бидайлы |
Ржаная |
0,22 |
|
Бидайлы |
Пшеничная |
0,20 |
|
Арпалы |
Ячменная |
0,33 |
|
Сұлылы |
Овсяная |
0,31 |
|
Сүрлем |
Силос |
|
|
Орташа әр түрлі шөпті |
Разнотравный средний |
0,18 |
|
Дәнді-әртүрлі шөпті |
Злаково-разнотравный |
0,13 |
|
Беделі атқонақты |
Клеверно-тимофеечный |
0,20 |
|
Күнбағысты |
Подсолнечниковый |
0,16 |
|
Жүгерілік |
Кукурузный |
0,16 |
|
Сұлылық |
Овсяный |
0,18 |
|
Тамыр-түйнек жемістілер |
Корнеклубнеплоды |
|
|
Азықтық қызылша |
Свекла кормовая |
0,12 |
|
Кант қызылшасы |
Свекла сахарная |
0,24 |
|
Жартылай қантты кызылша |
Свекла полусахарная |
0,17 |
|
Сәбіз |
Морковь |
0,14 |
|
Картоп |
Картофель |
0,31 |
|
Шалқан |
Турнепс |
0,09 |
|
Тарна |
Брюква |
0,13 |
|
Табиғи жайылымдарының шөбі |
Трава естественных пастбищ |
|
|
Шабындық |
Луговая |
0,21 |
|
Құрғақ алаңдық шабындық |
Суходольного луга |
0,23 |
|
Ойпат шабындық |
Низинного луга |
0,19 |
|
Орманды жайылымдар |
Лесного пастбища |
0,19 |
|
Батпақтық |
Болотная |
0,19 |
|
Жайылым мен шабындыққа егілген шөптер |
Трава сеяных пастбищ и сенокосов |
|
|
Дәнді-алуан шөпті жайылымдар |
Злаково-разнотравного пастбища |
0,26 |
|
Дәнді-бұршақты жайылымдар |
Злаково-бобового пастбища |
0,23 |
|
Жиматарғақ |
Ежа сборная |
0,23 |
|
Қылтықсыз арпабас |
Костер безостый |
0,29 |
|
Мысыққұйрық |
Лисохвост |
0,19 |
|
Шабындықты қонақот |
Мятлик луговой |
0,24 |
|
Шабындық бетеге |
Овсяница луговая |
0,22 |
|
Атқонақ |
Тимофеевка |
0,25 |
|
Қызыл беде |
Клевер красный |
0,20 |
|
Беделі көрпекөк |
Клеверная отава |
0,23 |
|
Жоңышқа |
Люцерна |
0,21 |
|
Беде атқонақпен |
Клевер с тимофеевкой |
0,19 |
|
Біржылдық егіс дақылдарының шөптері |
Трава однолетних посевных культур |
|
|
Қара бидай |
Рожь |
0,17 |
|
Жүгері |
Кукуруза |
0,16 |
|
Сұлы |
Овес |
0,24 |
|
Асбұршақ |
Горох |
0,16 |
|
Сиыржоңышқа |
Вика |
0,17 |
|
Асбұршақ + сұлы |
Горох+овес |
0,18 |
|
Сиыржоңышқа + сұлы |
Вика+овес |
0,17 |
|
Мал азықтық қырыққабат |
Кормовая капуста |
0,13 |
| Приложение 7 к приказу Председателя Комитета по статистике Министерства национальной экономики Республики Казахстан от 10 февраля 2020 года № 21 |
Инструкция по заполнению статистической формы общегосударственного статистического наблюдения
«Отчет о состоянии животноводства»
(индекс 24-сх, периодичность месячная)
Сноска. Приложение 7 — в редакции приказа Руководителя Бюро национальной статистики Агентства по стратегическому планированию и реформам РК от 28.06.2024 № 15 (вводится в действие с 01.01.2025).
1. Настоящая инструкция детализирует заполнение статистической формы общегосударственного статистического наблюдения «Отчет о состоянии животноводства» (индекс 24-сх, периодичность месячная) (далее – статистическая форма).
2. В настоящей Инструкции используются следующие определения:
1) переработка на продовольственные цели – количество продукции, использованное для производства производных пищевых продуктов (таких как на производство готовых продуктов, субпродуктов и полуфабрикатов);
2) зеленые корма – травы естественных и улучшенных лугов и пастбищ, а также специально выращиваемые культуры для зеленой подкормки. Особенность зеленых кормов – высокое содержание влаги (70-85 %);
3) концентрированные корма – корма с высоким содержанием питательных веществ. Основную часть концентрированных кормов составляет фуражное зерно злаковых и бобовых культур. К концентрированным кормам относятся отруби, жмых и шроты, отходы производства растительного масла, жом и патока, отходы крахмало-паточного, спиртового, пивоваренного производства и виноделия, корма животного происхождения: рыбная, мясная, мясокостная, кровяная и костная мука, кормовые дрожжи, витамины и травяная мука;
4) комбикорм – смесь очищенных от примесей и измельченных до необходимых размеров различных кормов и кормовых добавок, обеспечивающая полноценное кормление животных определенного вида, типа и продуктивности;
5) регион (для данного статистического наблюдения) – область, город республиканского значения;
6) производственное потребление – расход продукции на внутреннее использование (на корм скоту и птице, расход яиц на инкубацию);
7) сено – корм, полученный в результате обезвоживания травы и содержащий не более 17% массовой доли влаги;
8) сенаж – корм, приготовленный из трав, убранных в ранние фазы вегетации, провяленных до влажности не менее 40 %, и хранящихся в анаэробных условиях;
9) солома – сухие стебли злаковых и бобовых зерновых культур, остающиеся после обмолота, также стебли льна, конопли, кенафа и других растений, освобожденные от листьев, соцветий и семян;
10) убойная масса (убойный вес) – это фактическая масса парной туши животного после полной ее обработки (без головы, шкуры, конечностей и внутренних органов), выраженная в килограммах;
11) силос – сочный корм для сельскохозяйственных животных, обладает высокими питательными свойствами, по своей калорийности, витаминности и диетическим свойствам сравним со свежей травой.
3. Юридические лица и (или) их структурные и обособленные подразделения, осуществляющие деятельность в сфере животноводства на территории нескольких районов или областей, представляют статистическую форму на отдельных бланках, выделяя информацию по каждой территории, отражающую по месту фактического осуществления деятельности по выращиванию скота и птицы и производству продукции животноводства.
4. В строке 1 раздела 2 указывается фактическое наличие в хозяйстве скота и птицы по видам по состоянию на 1 число месяца, независимо от их нахождения скотном дворе хозяйства или в отгоне на пастбище. К числу коров молочного, мясного и молочно-мясного стада относятся коровы основного стада, включая отелившихся телок после перевода их в основное стадо, сухостойных и яловых коров и телки, достигшие 27 месяцев.
По строке 3 раздела 2 указывается приплод, родившийся в отчетном месяце живым от маток, принадлежащих хозяйству, включая приплод, который впоследствии был продан, забит или пал, за исключением мертворожденного приплода. В количество полученного приплода не включается молодняк рождения отчетного месяца, приобретенный хозяйством со стороны.
По строке 4 раздела 2 указывается все случаи приобретения скота и птицы хозяйством (купленные, полученные в порядке обмена, дарения, за случайные услуги, в долг или в уплату долга и так далее) в пределах своего региона у сельскохозяйственных предприятий, индивидуальных предпринимателей и крестьянских или фермерских хозяйств и хозяйств населения.
По строке 8 раздела 2 указывается количество голов скота и птицы, приобретенных в других регионах республики, а также из-за границы (импорт).
В строке 9 указывается количество голов скота и птицы, забитых хозяйством (самостоятельно или на бойне), мясо которых предназначено для использования на собственные нужды, для продажи или выдачи организациям, предприятиям и работникам хозяйства, в том числе по бартерным сделкам. В данной строке отражается количество голов скота и птицы, проданных на убой заготовительным организациям, перерабатывающим предприятиям, через сеть общественного питания (столовые, рестораны, кафе), торговую сеть, включая рынки и на экспорт.
В строках 10 и 11 раздела 2 указывается вес забитых или реализованных на убой скота и птицы в живой и убойной массе. По овцам учитывается также поголовье приплода, забитого на каракульские смушки (при определении живого веса одной головы забитых на мясо овец, живой вес приплода, забитого на каракульские смушки не учитывается).
В строку 12 раздела 2 включается все количество павшего скота и птицы за отчетный месяц (от пожаров, стихийных бедствий, утонувшего и так далее), включая павший молодняк рождения текущего месяца. Также включается вынужденно забитый скот, мясо не подлежащий к использованию в пищу или использовано только на корм сельскохозяйственному скоту, птице и другим домашним животным.
По строке 13 раздела 2 указывается все случаи выбытия живого скота (продажа, обмен, дарение, за случайные услуги, в долг или в уплату долга, оплаты труда) в пределах своего региона в сельхозпредприятия, к индивидуальным предпринимателям и в крестьянские или фермерские хозяйства и хозяйства населения, занимающихся выращиванием скота и птицы.
По строке 17 раздела 2 указывается количество голов скота и птицы, вывезенных в другие регионы республики (продажа, обмен, дарение, за случайные услуги, в долг или в уплату долга), за границу (на экспорт) и хищение, в том числе отражается выбытие скота и птицы в другие регионы Республики Казахстан в случае, если скот продается на доращивание, разведение, откорм или аренду. Скот и птица, выбывшие живыми головами в другие страны отражается в данной строке независимо на какие цели продается (на мясо или на доращивание).
По строке 18 раздела 2 указывается численность скота и птицы, принадлежащих хозяйству, независимо от того, находились ли они на скотном дворе хозяйства или в отгоне на пастбищах.
К коровам молочного направления относят коров черно-пестрой, голштинофризской, красно-степной, аулиеатинской, айрширской, бурой латвийской породы. К коровам мясного направления относят коров пород казахской белоголовой, аулиекольской, ангус, герефорд, обрак, шароле, лимузин, санта-гертруда, галловейской и калмыцкой. К коровам молочно-мясного направления относят коров алатауской, симментальской и швицкой породы. Беспородный скот относят к молочному, мясному или молочно-мясному стаду в зависимости от цели использования (получения мяса или молока). Если от коровы получают молоко для дальнейшего его потребления человеком или реализации, то таких коров относят к молочному стаду.
По строке 20 раздела 2 среднее маточное поголовье рассчитывается путем деления суммы кормодней маточного поголовья за месяц на число дней данного месяца. Кормоднем считается пребывание в хозяйстве одной головы скота в течение суток.
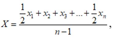
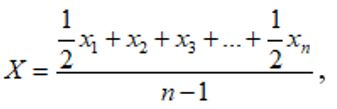
Среднее маточное поголовье рассчитывается по формуле средней хронологической:
где,
X – среднее маточное поголовье за отчетный месяц;
х1 – численность маточного поголовья на первый день отчетного месяца;
х2 – численность маточного поголовья на второй день отчетного месяца;
х3 – численность маточного поголовья на третий день отчетного месяца;
хn – численность маточного поголовья на последний день отчетного месяца;
n – число дней в отчетном месяце.
В случаях отсутствия данных на каждый день среднее маточное поголовье исчисляется как среднее арифметическое на начало и конец отчетного месяца.
В качестве базы для исчисления данного показателя берется число маток, способных дать приплод в отчетном месяце.
5. В разделах 3 указывается данные по производству продукции животноводства.
По строкам 1 и 2 раздела 3 указывается фактически надоенное коровье молоко за отчетный месяц, независимо от того, было ли оно реализовано или часть его потреблена в хозяйстве, в том числе на выпойку телят. Молоко, высосанное телятами при подсосном их содержании, в продукцию не включается, в валовое производство не включается.
По строке 3 указывается вся фактически настриженная овечья шерсть, независимо от того, была ли она реализована или использована на внутрихозяйственные нужды. Шерсть, полученная с овчин при промышленной переработке их на кожу (так называемая «кислая шерсть»), в продукцию не включается. Вес шерсти показывается физический, непосредственно после стрижки овец.
По строке 4 указывается их сбор за месяц от куриц несушек, включая яйца, использованные на воспроизводство птицы (инкубация).
По строкам 6, 7, 8 шкуры отражаются только в том случае, когда они выступают в качестве продукта для продажи, переработку или используются на собственные нужды (утепление). Утилизированные шкуры в производстве не включаются.
К шкуркам смушковых ягнят относится каракульча, каракуль и смушка.
К крупным шкурам относятся шкуры крупного рогатого скота, лошадей, верблюдов и другие шкуры в парном состоянии весом свыше 10 килограмм.
К мелким шкурам относятся шкуры овец, коз, телят, жеребят, верблюжат и другие шкуры в парном состоянии весом менее 10 килограмм.
6. В разделе 4 указывается среднее поголовье отдельных видов скота и птицы, от которых получена продукция в отчетном месяце. Среднее поголовье дойных коров, кур-несушек рассчитывается аналогично строке 20 раздела 2. По овцам подверженным стрижке показывается поголовье овец, с которых получена шерсть в отчетном месяце.
7. В разделе 5 указывается наличие кормов по видам.
В культуры кормовые зерновые и зернобобовые включается зеленая масса всех видов зерновых и зернобобовых культур, использованная на корм скоту.
При заполнении подраздела 5.2 указывается, что для кормления свиней и домашней птицы не используются солома и шелуха зерновых, а также сено.
8. Представление данной статистической формы осуществляется на бумажном носителе или в электронном виде. Заполнение статистической формы в электронном виде осуществляется посредством информационной системы «Сбор данных в онлайн режиме», размещенной на интернет-ресурсе Бюро национальной статистики Агентства по стратегическому планированию и реформам Республики Казахстан (https://cabinet.stat.gov.kz/).
9. Примечание: х – данная позиция не подлежит заполнению.
10. Арифметико-логический контроль:
1) Раздел 2:
строка 1 за отчетный месяц = строке 18 статистической формы за предыдущий месяц, для каждой графы;
строка 2 за отчетный месяц = строке 19 статистической формы за предыдущий месяц, для каждой графы;
если заполнена строка 1, то заполняется строка 2, для каждой графы;
строка 4 = сумма строк 5-7, для каждой графы;
если заполнена строка 9, то заполняются строки 10, 11, для каждой графы;
строка 10 > строки 11, кроме графы 2, 4 и 6, для каждой графы;
если заполнена строка 18, то заполняется строка 19, для каждой графы;
если строка 3 > 0, строка 20 > 0, кроме графы 12, для каждой графы;
если строка 10 > 0, 11 > 0, кроме графы 2, 4 и 6, для каждой графы;
строка 13 = сумма строк 14-16, для каждой графы;
строка 18 = строка 1 + строка 3 + строка 5 + строка 6 + строка 7 + + строка 8 – строка 9 – строка 12 – строка 14 – строка 15 – строка 16 – – строка 17;
графа 1 ≥ графы 2, для каждой строки;
графа 3 ≥ графы 4, для каждой строки;
графа 5 ≥ графы 6, для каждой строки;
2) Контроль между разделами:
если есть данные по строке 1 графы 1 раздела 3, то заполняется строка 1.1 графы 1 раздела 4;
если есть данные по строке 2 графы 1 раздела 3, то заполняется строка 1.2 графы 1 раздела 4;
если есть данные по строке 3 графы 1 раздела 3, то заполняется строка 3 графы 1 раздела 4;
если есть данные по строке 4 графы 1 раздела 3, то заполняется строка 2 графы 1 раздела 4;
если есть данные по строке 6 графы 1 раздела 3, то заполняется строка 4 графы 1 раздела 4;
строка 7 графы 1 раздела 3≤ строка 9 раздела 2 + строка 12 по сумме строк 1 + 3 + 5 + 7 + 8;
строка 7 + 8 графы 1 раздела 3≤ строка 9 раздела 2 + строка 12 по сумме строк 1 + 3 + 5 + 7 + 8 + 9 + 10;
строка 1.1. и 2.1 раздела 3 ≤ по строкам 1 + 2 графы 1 раздела 3;
если заполнена строка 1 графы 1 раздела 4, то заполняется строка 20 раздела 2 по строкам 1 и/или 3;
строка 4 раздела 4 ≤ строке 9 графы 9 раздела 2.
11. Дополнительные контроли являются допустимыми и предусмотрены с целью снижения вероятности появления случайных ошибок регистрации, возникающих из-за описок и невнимательности респондентов:
при заполнении строк 9 и 10 раздела 2 учитывается средний живой вес одной головы скота и птицы (отношение строки 10 к строке 9), не выходит за следующие пределы. Минимальное допустимое значение среднего живого веса одной головы крупного рогатого скота – 230 килограмм (далее – кг), максимально допустимое – 550 кг. Для коров эти пределы составляют соответственно 380 кг и 550 кг; лошадей – 270 кг и 600 кг; верблюдов – 370 кг и 1000 кг; овец и коз – 30 кг и 65 кг; свиней – 70 кг и 150 кг; маралов – 250 кг и 300 кг; домашней птицы – 0,5 кг и 8 кг; кроликов – 2,5 кг и 4 кг; птицы, выращиваемой на ферме – 1 кг и 8 кг, для прочих животных – 250 кг и 350 кг;
при заполнении строки 11 раздела 2 учитывается коэффициент выхода убойной массы скота и птицы, реализованных на убой в живом весе (отношение строки 11 к строке 10, выраженное в процентах), находится в следующих пределах. Для крупного рогатого скота коэффициент убойного выхода составляет 50-59 % (для хозяйства население – 50-54 %), лошадей – 48-53 %, верблюдов – 48-54 %, овец и коз – 43-58 %, свиней – 66-75 %, домашней птицы – 61-80 %, маралов – 45-48 %;
при заполнении раздела 3 учитывается надой молока в расчете на одну корову не превышающий 23 кг в день (отношение произведенного коровьего молока к среднему поголовью дойных коров), средняя яйценоскость кур-несушек – 30 штук в месяц (отношение производства яиц куриных к среднему поголовью кур-несушек), а средний настриг шерсти с одной овцы – 4,5 кг (отношения произведенного количества шерсти к количеству овец подверженных стрижке).
В случае, если какие-либо вышеприведенные ограничения не соблюдаются, к статистической форме прилагаются соответствующие пояснения.
Приложение 8 к приказу
Председателя Комитета по
статистике Министерства
национальной экономики
Республики Казахстан
от «10» февра 2020 года
№ 21
|
|
Мемлекеттік статистика органдары құпиялылығына кепілдік береді Конфиденциальность гарантируется органами государственной статистики Жалпымемлекеттік статистикалық байқаудың статистикалық нысаны Статистическая форма общегосударственного статистического наблюдения |
Қазақстан Республикасы Ұлттық экономика министрлігінің Статистика комитеті төрағасының 2020 жылғы «__» _____________ №___ бұйрығына 8-қосымша |
||||||||
|
Орман өсіру мен ағаш дайындау қызметі туралы есеп Отчет о деятельности в лесоводстве и лесозаготовках |
||||||||||
|
Индексі Индекс |
1-орман 1-лес |
жылдық годовая |
есепті кезең отчетный период |
|
жыл год |
|||||
|
Экономикалық қызмет түрлері жалпы жіктеуішінің (бұдан әрі – ЭҚЖЖ) кодтары бойынша қызметтің негізгі және қайталама түрлері 02 — «Орман өсіру және ағаш дайындау», 01.3 — «Өсімдіктердің ұдайы өндірісі» болып табылатын заңды тұлғалар және (немесе) олардың құрылымдық және оқшауланған бөлімшелері мен ағаш кесу билеті болған жағдайда дара кәсіпкерлер ұсынады Представляют юридические лица и (или) их структурные и обособленные подразделения с основным и вторичным видами деятельности по кодам Общего классификатора видов экономической деятельности (далее – ОКЭД) 02 — «Лесоводство и лесозаготовки», 01.3 — «Воспроизводство растений» и индивидуальные предприниматели при наличии лесорубочного билета |
||||||||||
|
Ұсыну мерзімі – есепті кезеңнен кейінгі 21 ақпанға (қоса алғанда) дейін Срок представления – до 21 февраля (включительно) после отчетного периода |
||||||||||
|
БСН коды код БИН |
|
|||||||||
|
ЖСН коды код ИИН |
|
|||||||||
|
1. Орман шаруашылығы саласындағы қызметті нақты жүзеге асыру аумағын (облыс, қала, аудан) көрсетіңіз Укажите территорию (область, город, район) фактического осуществления деятельности в области лесного хозяйства |
|
|||||||||
|
1.1 Әкімшілік — аумақтық объектілер жіктеуішіне (ӘАОЖ) сәйкес аумақ коды (респондент статистикалық нысанды қағаз жеткізгіште ұсынған кезде аумақтық статистика органының тиісті қызметкері толтырады) Код территории согласно Классификатору административно-территориальных объектов (КАТО) (заполняется соответствующим работником территориального органа статистики при представлении респондентом статистической формы на бумажном носителе) |
|
|||||||||
2. Ағаш дайындау
Лесозаготовки
2.1 Өңделмеген сүрек және жабайы өсетін орман шаруашылығының ағаштық емес өнімдерін айындау туралы мәліметтерді көрсетіңіз
Укажите сведения о заготовке древесины необработанной и продукции лесного хозяйства не древесной дикорастущей
|
АШӨСЖ1 сәйкес өнімдердің атауы Наименование продукции в соответствии с СКПСХ1 |
АШӨСЖ бойынша өнімнің коды Код продукции по СКПСХ |
Дайындау Заготовка |
Құны, мың теңгемен Стоимость, в тысячах тенге |
|
А |
Б |
1 |
2 |
|
Өңделмеген сүрек, тығыз текше м2. Древесина необработанная, в плотных куб. м.2 |
(АШӨСЖ бойынша коды 02.20.1) (код 02.20.1 по СКПСХ) |
||
Ескертпе:
Примечание:
1 Мұнда және бұдан әрі АШӨСЖ – Қазақстан Республикасы Ұлттық экономика министрлігі Статистика комитетінің интернет-ресурсында «Жіктеуіштер» бөлімінде орналасқан «Ауыл, орман және балық шаруашылығы өнімдерінің (көрсетілетін қызметтердің) анықтамалығына» сәйкес толтырылады
1 Здесь и далее СКПСХ – заполняется согласно «Справочнику продукции (услуг) сельского, лесного и рыбного хозяйства», размещенному на интернет-ресурсе Комитета по статистике Министерства национальной экономики Республики Казахстан в разделе «Классификаторы»
2 Мұнда және бұдан әрі тығыз текше м. — тығыз текше метр
2 Здесь и далее плотный куб. м.– плотный кубический метр
|
Жабайы өсетін орман шаруашылығының ағаштық емес өнімдері, килограммен Продукция лесного хозяйства не древесная дикорастущая, в килограммах |
(АШӨСЖ бойынша коды 02.30) (код 02.30 по СКПСХ) |
||
2.2. Ағаш дайындау саласында көрсетілген қызметтер көлемін қолданыстағы бағамен көрсетіңіз, мың теңгемен (АШӨСЖ бойынша коды 02.40.10.200)
Укажите объем оказанных услуг в области лесозаготовок в действующих ценах, в тысячах тенге (код 02.40.10.200 по СКПСХ)
|
АШӨСЖ сәйкес көрсетілген қызметтер атауы Наименование услуги в соответствии с СКПСХ |
АШӨСЖ коды бойынша Код по СКПСХ |
Ағаш дайындау саласындағы көрсетілетін қызметтер Услуги в области лесозаготовок |
|
А |
Б |
1 |
3. Орман өсіру
Лесоводство
3.1 Аралық мақсатта пайдалану үшін ағаш кесу және өзге де ағаш кесу кезінде алынған сүректі дайындау туралы мәліметтерді көрсетіңіз
Укажите сведения о заготовке древесины, полученной при рубках промежуточного пользования и прочих рубках
|
Көрсеткіштің атауы Наименование показателя |
Дайындау, тығыз текше м2. Заготовка, в плотных куб. м2. |
Құны, мың теңгемен Стоимость, в тысячах тенге |
|
А |
1 |
2 |
|
Аралық мақсатта пайдалану үшін ағаш кесу және өзге де ағаш кесу кезінде алынған сүрек Древесина, полученная при рубках промежуточного пользования и прочих рубках |
3.2. Орман ағаштарының тұқымдарын дайындау туралы мәліметтерді көрсетіңіз
Укажите сведения о заготовке семян деревьев лесных
|
Жол коды Код строки |
Көрсеткіштің атауы Наименование показателя |
Дайындау, килограммен Заготовка, в килограммах |
Құны, мың теңгемен Стоимость, в тысячах тенге |
|
А |
Б |
1 |
2 |
|
01 |
Орман ағаштарының тұқымдары Семена деревьев лесных |
||
|
02 |
олардан ағаш тұқымдары плантацияларында және учаскелерінде из них на лесосеменных плантациях и участках |
3.3. Орман питомниктері көрсеткен қызметтерінің көлемін қолданыстағы бағалармен көрсетіңіз, мың теңгемен (АШӨСЖ бойынша коды 02.10.2)
Укажите объем оказанных услуг лесопитомников в действующих ценах, в тысячах тенге (код 02.10.2 по СКПСХ)
|
АШӨСЖ сәйкес көрсетілген қызметтер атауы Наименование услуги в соответствии с СКПСХ |
АШӨСЖ коды бойынша Код по СКПСХ |
Орман питомниктері көрсететін қызметтер Услуги лесопитомников |
|
А |
Б |
1 |
3.4. Орман өсіру саласындағы көрсетілген қызметтердің көлемін көрсетіңіз, мың теңгемен (АШӨСЖ бойынша коды 02.40.10.100)
Укажите объем оказанных услуг в области лесоводства, в тысячах тенге (код 02.40.10.100 по СКПСХ)
|
АШӨСЖ сәйкес көрсетілген қызметтер атауы Наименование услуги в соответствии с СКПСХ |
АШӨСЖ коды бойынша Код по СКПСХ |
Орман өсіру саласындағы көрсетілген қызметтер Услуги в области лесоводства |
|
А |
Б |
1 |
4. Орманды орналастыру
Лесоустройство
|
Көрсеткіштің атауы Наименование показателя |
Алқабы, гектармен Площадь, в гектарах |
Орманды орналастыруға жұмсалған шығындар, мың теңгемен Затраты на лесоустройство, в тысячах тенге |
|
Б |
1 |
2 |
|
Орманды орналастыру Лесоустройство |
5. Қызметтің басқа түрлері, мың теңгемен
Другие виды деятельности, в тысячах тенге
|
ӘҚЖЖ3 сәйкес қызмет түрлерінің атауы Наименование видов деятельности в соответствии с ОКЭД3 |
ӘҚЖЖ4 бойынша коды Код по ОКЭД4 |
Өндірілген өнімдердің (тауарлардың, көрсетілетін қызметтердің) көлемі Объем произведенной продукции (товаров, услуг) |
|
А |
Б |
1 |
Ескертпе:
Примечание:
3 Мұнда және бұдан әрі ЭҚЖЖ – Қазақстан Республикасы Ұлттық экономика министрлігі Статистика комитетінің интернет-ресурсында «Жіктеуіштер» бөлімінде орналасқан «Экономикалық қызмет түрлерінің жалпы жіктеуішіне» сәйкес толтырылады
3 Здесь и далее ОКЭД– заполняется согласно «Общему классификатору видов экономической деятельности», размещенному на интернет-ресурсе Комитета по статистике Министерства национальной экономики Республики Казахстан в разделе «Классификаторы»
4 Мұнда ӘҚЖЖ бойынша коды — статистикалық нысанды қағаз жеткізгіште тапсыру кезінде кодын аумақтық статистика органының қызметкері толтырады.
4 Здесь код по ОКЭД — код заполняется работником территориального органа статистики при сдаче статистической формы на бумажном носителе.
6. Статистикалық нысанды толтыруға жұмсалған уақытты көрсетіңіз, сағатпен (қажеттiсiн қоршаңыз)
Укажите время, затраченное на заполнение статистической формы, в часах (нужное обвести)
|
1 сағатқа дейiн |
1-2 |
2-4 |
4-8 |
8-40 |
40 сағаттан артық |
|
до 1 часа |
более 40 часов |
Атауы Мекенжайы (респонденттің)
Наименование ________________ Адрес (респондента) ___________________________
Телефоны (респонденттің)
Телефон (респондента) _____________________ _________________________________
стационарлық ұялы
стационарный мобильный
Электрондық пошта мекенжайы (респонденттің)
Адрес электронной почты (респондента)_________________________________________
Орындаушы
Исполнитель______________________________ _____________________________
тегі, аты және әкесінің аты (бар болған жағдайда) қолы, телефоны (орындаушының)
фамилия, имя и отчество (при его наличии) подпись, телефон (исполнителя)
Бас бухгалтер немесе оның
міндетін атқарушы тұлға
Главный бухгалтер или лицо,
исполняющее его обязанности ___________________________________ _______________
тегі, аты және әкесінің аты (бар болған жағдайда) қолы
фамилия, имя и отчество (при его наличии) подпись
Басшы немесе оның
міндетін атқарушы тұлға
Руководитель или лицо,
исполняющее его обязанности _________________________________ _________________
тегі, аты және әкесінің аты (бар болған жағдайда) қолы
фамилия, имя и отчество (при его наличии) подпись
Ескертпе:
Примечание:
Мемлекеттік статистиканың тиісті органдарына анық емес бастапқы статистикалық деректерді ұсыну және бастапқы статистикалық деректерді белгіленген мерзімде ұсынбау «Әкімшілік құқық бұзушылық туралы» Қазақстан Республикасы Кодексінің 497-бабында көзделген әкімшілік құқық бұзушылықтар болып табылады
Представление недостоверных и непредставление первичных статистических данных в соответствующие органы государственной статистики в установленный срок являются административными правонарушениями, предусмотренными статьей 497 Кодекса Республики Казахстан «Об административных правонарушениях»
Приложение 9 к приказу
Председателя Комитета по
статистике Министерства
национальной экономики
Республики Казахстан
от «10» февраля 2020 года
№21
Инструкция по заполнению статистической формы общегосударственного статистического наблюдения «Отчет о деятельности в лесоводстве и лесозаготовках» (индекс 1-лес, периодичность годовая)
1. Настоящая инструкция по заполнению статистической формы общегосударственного статистического наблюдения «Отчет о деятельности в лесоводстве и лесозаготовках» (индекс 1-лес, периодичность годовая) (далее – Инструкция) разработана в соответствии с подпунктом 8) статьи 12 Закона Республики Казахстан от 19 марта 2010 года «О государственной статистике» (далее – Закон) и детализирует заполнение статистической формы общегосударственного статистического наблюдения «Отчет о деятельности в лесоводстве и лесозаготовках» (индекс 1-лес, периодичность годовая) (далее – статистическая форма).
2. В настоящей Инструкции используются понятия в значениях, определенных в Законе, а также следующие определения:
1) рубка промежуточного пользования – рубка ухода за лесом, выборочная санитарная рубка и рубка, связанная с реконструкцией малоценных лесных насаждений, а также насаждений, теряющих защитные, водоохранные и другие функции, рубка единичных деревьев в молодняках;
2) рубка главного пользования – рубка спелого и перестойного древостоя для заготовки древесины;
3) вторичный вид деятельности – вид деятельности, который осуществляется, помимо основного, с целью производства продукции (работ и услуг) для третьих лиц;
4) основной вид деятельности – вид деятельности, добавленная стоимость которого превышает добавленную стоимость любого другого вида деятельности, осуществляемого субъектом;
5) лесоустройство – система мероприятий, направленных на повышение эффективности ведения лесного хозяйства, осуществление единой научно-технической политики в лесном хозяйстве, обеспечение рационального пользования лесным фондом;
6) лесосеменная плантация – искусственно созданное насаждение из высаженных по специальной генетической схеме растений, являющихся семенным или вегетативным потомством плюсовых деревьев, предназначенное для регулярного получения (в течение длительного времени) сортовых, элитных или гибридных семян с заданными наследственными свойствами и высокими посевными качествами.
7) санитарная рубка – рубка (выборочная, сплошная), проводимая с целью улучшения санитарного состояния леса, при которой вырубаются больные, поврежденные, усыхающие и сухостойные деревья.
3. Если деятельность в области лесоводства и лесозаготовок осуществляется на территории нескольких районов и (или) областей, юридические лица и индивидуальные предприниматели представляют статистическую форму, выделяя информацию по каждой территории на отдельных бланках, то есть данные отражаются по месту осуществления деятельности в области лесоводства и лесозаготовок.
4. В разделе 1 указывается место (область, город, район) фактического осуществления деятельности в области лесоводства и лесозаготовок, независимо от места регистрации.
5. В подразделе 2.1 указывается информация о заготовке древесины, полученной при рубках главного пользования, а также продукции лесного хозяйства не древесной дикорастущей.
К продукции лесного хозяйства не древесной дикорастущей относятся смолы природные, пробка натуральная, необработанная или прошедшая первичную обработку, части растений, мхи и лишайники, используемые для декоративных целей, листья, ветки и другие части растений без цветков и бутонов, травы пригодные для составления букетов, свежие или засушенные, отбеленные, пропитанные или подготовленные другим способом, ветки деревьев хвойных, плоды съедобные дикорастущие.
В графе 1 подраздела 2.1 указывается объем в натуральном выражении, в графе 2 подраздела 2.1 – стоимость в действующих ценах.
В подразделе 2.2 указывается объем услуг в области лесозаготовок, куда включаются услуги по транспортированию бревен в сочетании с работами трелевочными, преимущественно в пределах леса: рубку, валку, обрубку, пилку, очистку от коры и другие.
6. В подразделе 3.1 указывается информация о заготовке древесины, полученной при рубках промежуточного пользования и прочих рубках (сплошных санитарных рубках; расчистках лесных площадей в связи со строительством гидроузлов, трубопроводов, дорог; при прокладке просек, создании противопожарных разрывов; уборке ликвидной захламленности; рубках для иных целей).
В графе 1 подраздела 3.1 указывается объем заготовленной древесины в натуральном выражении, в графе 2 подраздела 3.1 – стоимость заготовленной древесины в действующих ценах.
В подразделе 3.2 отражается информация о заготовке семян деревьев лесных. В графе 1 подраздела 3.2 указывается объем заготовленных семян в натуральном выражении, в графе 2 подраздела 3.2 – стоимость заготовленных семян в действующих ценах. В случае заготовки семян для собственных нужд, их стоимость оценивается по затратам на их заготовку.
В подразделе 3.3 отражается информация об оказании услуг лесопитомников. В случае оказания услуг по выращиванию сеянцев и саженцев древесных и кустарниковых пород в объеме учитывается стоимость сеянцев и саженцев.
7. В разделе 4 показываются площади, на которых проведены работы по лесоустройству. Затраты на лесоустройство показываются в тысячах тенге. Данные по площадям указываются с одним десятичным знаком, единица измерения – гектар.
8. В разделе 5 показывается объем произведенной продукции (товаров, услуг) по другим видам деятельности, которые осуществлялись или оказывались предприятием в отчетном году, кроме сельскохозяйственной деятельности, деятельности по охоте и отлову, рыболовству и аквакультуре и оказанию услуг в этих областях. Эти данные заполняются на основании документов бухгалтерского учета, где отражаются объемы произведенной продукции (услуг).
9. При отсутствии деятельности в отчетный период респондент не позднее даты окончания самого раннего из сроков представления статистических форм за данный отчетный период, указанных в утвержденном Графике представления респондентами первичных статистических данных по общегосударственным статистическим наблюдениям на соответствующий год, представляет Уведомление об отсутствии деятельности в порядке, установленном Правилами представления респондентами первичных статистических данных, утвержденных приказом Председателя Агентства Республики Казахстан по статистике от 9 июля 2010 года № 173 (зарегистрирован в Реестре государственной регистрации нормативных правовых актов № 6459).
10. Представление данной статистической формы осуществляется в электронном формате или на бумажном носителе. Заполнение статистической формы в электронном формате осуществляется посредством использования Информационной системы «Сбор данных в oн-лайн режиме», размещенной на интернет-ресурсе Комитета по статистике Министерства Национальной экономики Республики Казахстан (https://cabinet.stat.gov.kz/).
11. Арифметико-логический контроль:
1) Подраздел 2.1: если графа 1 > 0, то графа 2 > 0, для каждой строки;
2) Подраздел 3.1: если графа 1 > 0, то графа 2 > 0;
3) Подраздел 3.2: строке 01 > строки 02, для каждой графы;
если графа 1 > 0, то 2 > 0 для 01, 02 строк;
4) Раздел 4: если графа 1 > 0, то 2 > 0.
| Приложение 10 к приказу Председателя Комитета по статистике Министерства национальной экономики Республики Казахстан от 10 февраля 2020 года № 21 |
Сноска. Приложение 10 — в редакции приказа Руководителя Бюро национальной статистики Агентства по стратегическому планированию и реформам РК от 28.06.2024 № 15 (вводится в действие с 01.01.2025).
|
|
Мемлекеттік статистика органдары құпиялылығына кепілдік береді |
|
|
Жалпы мемлекеттік статистикалық байқаудың статистикалық нысаны |
Қазақстан Республикасы |
|
|
Аумақтық статистика бөлімшесіне ұсынылады |
||
Майлы дақылдар тұқымдарының қолда бары және оның қозғалысы туралы
О наличии и движении семян масличных культур
|
Индексі |
3-сх (майлы) |
тоқсандық |
есепті кезең |
|
тоқсан |
|
жыл |
Майлы дақылдар тұқымын өсірумен, өңдеумен, сатумен және сақтаумен айналысатын заңды тұлғалар және (немесе) олардың құрылымдық және оқшауланған бөлімшелері, шаруа немесе фермер қожалықтары, жеке кәсіпкерлер ұсынады
Представляют юридическиелицаи (или) их структурные и обособленные подразделения, крестьянские или фермерские хозяйства, индивидуальные предприниматели, занимающиеся выращиванием, переработкой, торговлей и хранением семян масличных культур
Ұсыну мерзімі – есепті кезеңнен кейінгі 3-күнге (қоса алғанда) дейін
Срок представления – до 3 числа (включительно) после отчетного периода
|
БСН/ЖСН коды |
|
|||||||
|
1. |
Майлы дақыл туралы жалпы мəліметтерді көрсетіңіз |
|||||||
|
1.1 |
Майлы дақылдың атауы |
|
||||||
|
1.2 |
Майлы дақылдың тұқымдары сақталған аумақ (облыс, қала, аудан) |
|
||||||
|
1.3 |
«Ауыл, орман және балық шаруашылығы өнімдерінің (тауарлардың және көрсетілетін қызметтердің) анықтамалығына» сәйкес майлы дақыл түрінің коды (респондент статистикалық нысанды қағаз жеткізгіште ұсынған кезде аумақтық статистика бөлімшесінің тиісті қызметкері толтырады) |
|
||||||
|
1.4 |
Әкімшілік-аумақтық объектілер жіктеуішіне (ӘАОЖ) сәйкес аумақ коды (респондент статистикалық нысанды қағаз жеткізгіште ұсынған кезде аумақтық статистика бөлімшесінің тиісті қызметкері толтырады) |
|
||||||
|
2. |
Майлы дақылдар тұқымдарының қолда бары және қозғалысы туралы ақпаратты центнермен (өңдеуден кейінгі салмақта) көрсетіңіз |
|||||||
|
Жол коды |
Көрсеткіштің атауы |
Барлығы |
Соның ішінде пайдалану түрі бойынша: |
|||||
|
азық-түліктік |
Тұқымдық |
жемшөптік |
||||||
|
А |
Б |
1 |
2 |
3 |
4 |
|||
|
1 |
Кезең басындағы қолда бары |
|||||||
|
2 |
Есепті тоқсанда алынған майлы дақылдар тұқымдары |
|||||||
|
соның ішінде: |
х |
х |
х |
х |
||||
|
2.1 |
жаңа түсімнен |
|||||||
|
2.2 |
импорт бойынша |
|||||||
|
2.3 |
өзге де түсімдер |
|||||||
|
3 |
Есепті тоқсандағы шығыс |
|||||||
|
соның ішінде: |
х |
х |
х |
х |
||||
|
3.1 |
өз тұтынуына |
|||||||
|
одан: |
||||||||
|
3.1.1 |
қайта өңдеуге |
х |
х |
|||||
|
3.2 |
заттай көріністе төлеуге |
|||||||
|
3.3 |
экспортқа |
|||||||
|
3.4 |
өзге де шығыстар |
|||||||
|
4 |
кезең соңындағы қолда бары |
|||||||
4. Статистикалық нысанды толтыруға жұмсалған уақытты, сағатпен
(қажеттiсiн қоршаңыз)
Укажите время, затраченное на заполнение статистической формы, в часах
(нужное обвести)
|
1 сағатқа дейiн |
1-2 |
2-4 |
4-8 |
8-40 |
40 сағаттан артық |
|
до 1 часа |
более 40 часов |
Атауы Мекенжайы
Наименование _____________________________________________________
Адрес __________________________ __________________________________
Телефоны (респонденттің) __________________________ ________________
Телефон (респондента) стационарлық ұялыстационарный мобильный
Электрондық пошта мекенжайы (респонденттің)
Адрес электронной почты (респондента) _______________________________
Орындаушы
Исполнитель _____________________________________________ _________
тегі, аты және әкесінің аты (ол болған жағдайда) телефоны
фамилия, имя и отчество (при наличии) телефон
Бас бухгалтер немесе оның міндетін атқарушы тұлға
Главный бухгалтерили лицо, исполняющее его обязанности
___________________________________________________ _______________
тегі, аты және әкесінің аты (ол болған жағдайда) қолы
фамилия, имя и отчество (при наличии) подпись
Басшы немесе оның міндетін атқарушы тұлға
Руководитель или лицо, исполняющее его обязанности
___________________________________________________ _______________
тегі, аты және әкесінің аты (ол болған жағдайда) қолы
фамилия, имя и отчество (при наличии) подпись
Ескертпе:
Примечание:
Мемлекеттік статистиканың тиісті органдарына анық емес бастапқы статистикалық деректерді ұсыну және бастапқы статистикалық деректерді белгіленген мерзімде ұсынбау «Әкімшілік құқық бұзушылық туралы» Қазақстан Республикасы Кодексінің 497-бабында көзделген әкімшілік құқық бұзушылықтар болып табылады
Представление недостоверных и непредставление первичных статистических данных в соответствующие органы государственной статистики в установленный срок являются административными правонарушениями, предусмотренными статьей 497 Кодекса Республики Казахстан «Об административных правонарушениях»
Приложение 11 к приказу
Председателя Комитета по
статистике Министерства
национальной экономики
Республики Казахстан
от «10» февраля 2020 года
№21
Инструкция по заполнению статистической формы общегосударственного статистического наблюдения
«О наличии и движении семян масличных культур»
(индекс 3-сх, периодичность квартальная)
Сноска. Приложение 11 — в редакции приказа Руководителя Бюро национальной статистики Агентства по стратегическому планированию и реформам РК от 28.06.2024 № 15 (вводится в действие с 01.01.2025).
1. Настоящая инструкция детализирует заполнение статистической формы общегосударственного статистического наблюдения «О наличии и движении семян масличных культур» (индекс 3-сх, периодичность квартальная) (далее – статистическая форма).
2. В настоящей Инструкции используются следующие определения:
1) продовольственные семена масличных культур – семена, используемые для пищевых целей;
2) фуражныесемена масличных культур –семена, предназначенные на корм животным и птице;
3) масличные культуры – растения, возделываемые для получения жирных масел;
4) семенные – семена масличных культур, используемые на посевные цели;
5) вес после доработки (зачетный вес) – физическая масса, полученная после очистки и сушки урожая, то есть со скидкой на степень влажности и засоренности.
3. В случае если структурному подразделению делегированы полномочия по сдаче статистической формы юридическим лицом, то оно представляет данный отчет по месту своего нахождения в территориальные подразделения статистики.
На каждую масличную культуру заполняется отдельный бланк. Код вида масличной культуры указывается работником территориального подразделения статистики.
Если одна и та же культура хранится на разных территориях, на каждую территорию также заполняется отдельный бланк. Код территории, на которой хранится масличная культура, указывается работником территориального подразделения статистики в соответствии с Классификатором административно-территориальных объектов.
4. К масличным культурам относятся подсолнечник, рапс, сафлор, соя, хлопчатник, арахис культурный, лен-кудряш, горчица, кунжут, сурепка, рыжик, клещевина. В отчете указывается информация по тем масличным культурам, которые имелись на хранении непосредственно у респондента, и которые респондент приобретал и расходовал в течение отчетного периода.
5. По строке 1 раздела 2 указывается количество семян масличных культур, имеющееся в наличии на начало отчетного периода. При этом данные строки 1 текущего отчета соответствуют данным строки 4 предыдущего отчета.
В строке 2 отражается все количество семян масличных культур, поступивших за отчетный квартал, и ниже по строкам 2.1, 2.2 и 2.3 расписываются источники поступления:
1) в строке 2.1 отражается количество семян масличных культур, полученных с нового урожая в весе после доработки. При заполнении данной строки учитывается, что в случае, если сельхозпроизводитель оставляет семена масличных культур на хранение на собственных складах, то в строке отражается вес, определенный после подработки на току хозяйства. Если сельхозпроизводитель вывозит урожай на элеватор (напрямую с поля или после первичной подработки на току), в данной строке отражается вес семян масличных культур, определенный на элеваторе;
2) в строке 2.2 отражается количество семян масличных культур, ввезенных в страну из-за рубежа в рамках официальной торговли, продовольственной помощи на конкретных условиях, безвозмездной помощи (импорт);
3) в строке 2.3 отражается количество семян масличных культур, не учтенных в строках 2.1 и 2.2. Сюда относится покупка внутри страны, получение на хранение от владельца семян, возврат семян с хранения, перевод семян из другой категории.
В строке 3 отражаются данные об использовании семян масличных культур за отчетный квартал, и ниже по строкам 3.1, 3.2, 3.3 и 3.4 расписываются направления использования:
1) в строке 3.1 отражается количество семян масличных культур, израсходованных на собственное потребление (на переработку, на посевные цели, на корм скоту и птице);
2) в строке 3.1.1 отражается количество семян масличных культур, использованных на переработку;
3) в строке 3.2 отражается количество семян масличных культур, выданных юридическим и физическим лицам в счет натуроплаты и за земельные паи;
4) в строке 3.3 отражается количество семян масличных культур, отгруженных покупателям за границу (на экспорт) (подаренных, обмененных, проданных);
5) в строке 3.4 отражается количество семян масличных культур, не учтенных по строкам 3.1, 3.1.1, 3.2 и 3.3. Сюда относится продажа внутри страны, потери, передача на хранение, возврат владельцу, перевод семян в другую категорию.
6. Представление данной статистической формы осуществляется на бумажном носителе или в электронном виде. Заполнение статистической формы в электронном виде осуществляется посредством использования информационной системы «Сбор данных в режиме онлайн», размещенной на интернет-ресурсе Бюро национальной статистики Агентства по стратегическому планированию и реформам Республики Казахстан (https://cabinet.stat.gov.kz/).
7. Арифметико-логический контроль:
1) Графа 1 = графа 2 + графа 3 + графа 4.
2) Строка 2 = строка 2.1 + строка 2.2 + строка 2.3 для каждой графы.
3) Строка 3 = строка 3.1 + строка 3.2 + строка 3.3 + строка 3.4 для каждой графы.
4) Строка 3.1 графы 2 = строке 3.1.1 графы 2.
5) Строка 4 = строка 1 + строка 2 – строка 3 для каждой графы.
| Приложение 12 к приказу Председателя Комитета по статистике Министерства национальной экономики Республики Казахстан от 10 февраля 2020 года № 21 |
Сноска. Приложение 12 — в редакции приказа Руководителя Бюро национальной статистики Агентства по стратегическому планированию и реформам РК от 08.12.2021 № 44 (вводится в действие по истечении десяти календарных дней после дня его первого официального опубликования); с изменениями, внесенными приказом Руководителя Бюро национальной статистики Агентства по стратегическому планированию и реформам РК от 28.07.2023 № 13 (вводится в действие с 01.01.2024).
|
|
Мемлекеттік статистика органдары құпиялылығына кепілдік береді |
Қазақстан Республикасы Ұлттық экономика министрлігінің Статистика комитеті төрағасының 2020 жылғы 10 ақпандағы № 21 бұйрығына 12-қосымша |
|||
|
Балық аулау мен акваөсіру туралы |
|||||
|
Индексі |
1-балық |
жылдық |
есепті кезең |
|
жыл |
|
Экономикалық қызмет түрлерінің жалпы жіктеуішінің 03 – «Балық аулау және балық өсіру» коды бойынша негізгі немесе қосалқы қызмет түрлерімен заңды тұлғалар және (немесе) олардың құрылымдық және оқшауланған бөлімшелері, дара кәсіпкерлер және жануарлар дүниесін пайдалануға рұқсаты және (немесе) балық шаруашылығын жүргізуге шарты бар жеке тұлғалар ұсынады |
|||||
|
Ұсыну мерзімі – есепті кезеңнен кейінгі 25 ақпанға (қоса алғанда) дейін |
|||||
|
БСН коды |
|
||||
|
ЖСН коды |
|
||||
|
1. Балық аулау және балықөсіру саласында қызметті іске асырудың нақты орнын көрсетіңіз – облыс, қала, аудан |
|
||||
|
1.1 Әкімшілік-аумақтық объектілер жіктеуішіне (ӘАОЖ) сәйкес аумақ коды (респондент статистикалық нысанды қағаз жеткізгіште ұсынған кезде аумақтық статистика органының тиісті қызметкері толтырады) |
|
||||
2. Балық аулау
Рыболовство
2.1. Балық және басқа да су жануарларын аулау және оларды өткізу туралы мәліметтерді көрсетіңіз (АШӨСЖ¹ бойынша 03.00.1, 03.00.2, 03.00.3, 03.00.4-топтары)
Укажите сведения об улове рыбы и других водных животных и их реализации (группы 03.00.1, 03.00.2, 03.00.3, 03.00.4 по СКПСХ¹)
|
АШӨСЖ¹ сәйкес балықтардың және басқа да су жануарларының түрлері |
АШӨСЖ бойынша коды |
САА² бойынша коды |
Балық және басқа да су жануарларын аулау, килограммен |
Балық және басқа да су жануарларын заттай мәнде өткізу, килограммен |
Қолданыстағы бағаларда өткізілген балық және басқа су жануарларының құны, мың теңгемен |
|
А |
Б |
В |
1 |
2 |
3 |
Ескертпе:
Примечание:
¹ Мұнда және бұдан әрі АШӨСЖ – Қазақстан Республикасы Стратегиялық жоспарлау және реформалар агенттігі Ұлттық статистика бюросының интернет-ресурсында «Жіктеуіштер» бөлімінде орналастырылған «Ауыл, орман және балық шаруашылығы өнімдерінің (көрсетілетін қызметтердің) анықтамалығына» сәйкес толтырылады
¹ Здесь и далее СКПСХ – заполняется согласно «Справочнику продукции (услуг) сельского, лесного и рыбного хозяйства», размещенному на интернет-ресурсе Бюро национальной статистики Агентства по стратегическому планированию и реформам Республики Казахстан в разделе «Классификаторы»
² САА – осы нысанға 1-қосымшада көрсетілген «Су айдындарының анықтамалығына» сәйкес толтырылады
² СРВ – заполняется согласно «Справочнику водоемов», приведенном в приложении 1 к данной статистической форме
|
АШӨСЖ¹ сәйкес балықтардың және басқа да су жануарларының түрлері |
АШӨСЖ бойынша коды |
САА² бойынша коды |
Балық және басқа да су жануарларын аулау, килограммен |
Балық және басқа да су жануарларын заттай мәнде өткізу, килограммен |
Қолданыстағы бағаларда өткізілген балық және басқа су жануарларының құны, мың теңгемен |
|
А |
Б |
В |
1 |
2 |
3 |
|
2.2. Балық аулауға сатылған жолдамалар санын көрсетіңіз, данада |
|
||||
|
2.3. Балық аулауға сатылған жолдамалардың құнын көрсетіңіз, мың теңгемен |
|
||||
|
2.4. Меншік немесе жалға алынған кемелермен тасымалданған балық санын көрсетіңіз, тоннамен |
|
||||
|
2.5. Аулау орнынан жағалауға дейін меншік немесе жалға алынған кемелермен балықты тасымалдаудың орташа қашықтығын көрсетіңіз, километрмен |
|
||||
3. Акваөсіру
Аквакультура
3.1. Балық өсіру материалын өсіру және өткізу туралы мәліметтерді көрсетіңіз (АШӨСЖ¹ бойынша 03.00.1, 03.00.2, 03.00.3, 03.00.4-топтары)
Укажите сведения о выращивании и реализации рыбопосадочного материала (группы 03.00.1, 03.00.2, 03.00.3, 03.00.4 по СКПСХ¹)
|
АШӨСЖ¹ сәйкес балықтың түрлері |
АШӨСЖ бойынша коды |
Заттай мәнде өсірілген балық отырғызу материалы, мың данамен |
Қолданыстағы бағаларда өсірілген балық отырғызу материалының құны, мың теңгемен |
Өткен жылғы орташа жылдық бағаларда өсірілген балық отырғызу материалының құны, мың теңгемен |
Заттай мәнде өсірілген балық отырғызу материалының өткізілгені, мың данамен |
Қолданыстағы бағаларда өткізілген балық отырғызу материалының құны, мың теңгемен |
Өткен жылғы орташа жылдық бағаларда өткізілген балық отырғызу материалының құны, мың теңгемен |
|
А |
Б |
1 |
2 |
3 |
4 |
5 |
6 |
3.2. Жіберілген балық өсіру материалының саны туралы мәліметтерді көрсетіңіз (АШӨСЖ¹ бойынша 03.00.1, 03.00.2, 03.00.3, 03.00.4-топтары), мың данамен
Укажите сведения о количестве выпущенного рыбопосадочного материала (группы 03.00.1, 03.00.2, 03.00.3, 03.00.4 по СКПСХ¹), в тысячах штук
|
АШӨСЖ¹ сәйкес балықтың түрлері |
АШӨСЖ бойынша коды |
Жіберілгені |
|
|
бақыланатын ортаға |
табиғи ортаға |
||
|
А |
Б |
1 |
2 |
3.3. Өсірілген тауарлық балық және басқа да су жануарларын өсіру және өткізу туралы мәліметтерді көрсетіңіз (АШӨСЖ¹ бойынша 03.00.1, 03.00.2, 03.00.3, 03.00.4-топтары)
Укажите сведения о выращивании и реализации выращенной товарной рыбы и других водных животных (группы 03.00.1, 03.00.2, 03.00.3, 03.00.4 по СКПСХ¹)
|
АШӨСЖ¹ сәйкес балықтардың және басқа да су жануарларының түрлері |
АШӨСЖ бойынша коды |
ӨОА3бойынша коды |
Заттай мәнде тауарлық балық пен басқа да су жануарларының өсірілгені, килограммен |
Қолданыстағы бағаларда өсірілген тауарлық балық пен басқа су жануарларының құны, мың теңгемен |
Заттай мәнде өсірілген тауарлық балық пен басқа да су жануарларын аулау, килограммен |
Заттай мәнде ауланған өсірілген тауарлық балық пен басқа да су жануарларының өткізілгені, килограммен |
АШӨӨАА4 бойынша коды |
Қолданыстағы бағаларда өткізілген тауарлық балық пен басқа су жануарларының құны, мың теңгемен |
|
А |
Б |
В |
1 |
2 |
3 |
4 |
5 |
6 |
Ескертпе:
Примечание:
3 Мұнда және бұдан әрі ӨОА – осы статистикалық нысанға 2-қосымшада келтірілген «Өсіру орындарының анықтамалығына» сәйкес толтырылады
3Здесь и далее СМК – заполняется согласно «Справочнику мест культивирования», приведенному в приложении 2 к данной статистической форме
4АШӨӨАА – осы статистикалық нысанға 3-қосымшада келтірілген «Ауыл шаруашылығы өнімдерін өткізу арналарының анықтамалығына» сәйкес толтырылады
4СКРСП – заполняется согласно «Справочнику каналов реализации сельскохозяйственной продукции», приведенному в приложении 3 к данной статистической форме
|
АШӨСЖ¹ сәйкес балықтардың және басқа да су жануарларының түрлері |
АШӨСЖ бойынша коды |
ӨОА3бойынша коды |
Заттай мәнде тауарлық балық пен басқа да су жануарларының өсірілгені, килограммен |
Қолданыстағы бағаларда өсірілген тауарлық балық пен басқа су жануарларының құны, мың теңгемен |
Заттай мәнде өсірілген тауарлық балық пен басқа да су жануарларын аулау, килограммен |
Заттай мәнде ауланған өсірілген тауарлық балық пен басқа да су жануарларының өткізілгені, килограммен |
АШӨӨАА4 бойынша коды |
Қолданыстағы бағаларда өткізілген тауарлық балық пен басқа су жануарларының құны, мың теңгемен |
|
А |
Б |
В |
1 |
2 |
3 |
4 |
5 |
6 |
3.4. Тауарлық балық аулауға сатылған жолдамалар санын көрсетіңіз, данада
Укажите количество реализованных путевок на улов товарной рыбы, в штуках
3.5. Тауарлық балық аулауға сатылған жолдамалардың құнын көрсетіңіз, мың теңгемен
Укажите стоимость реализованных путевок на улов товарной рыбы, в тысячах тенге
3.6. Жемдер мен тыңайтқыштарды пайдалану
Использование кормов и удобрений
|
Жолдың коды Код строки |
Көрсеткіштердің атауы Наименование показателей |
Өлшем бірлігі Единица измерения |
Заттай мәнде В натуральном выражении |
|---|---|---|---|
|
А |
Б |
В |
1 |
|
1 |
Жемнің барлық түрлерінің жұмсалғаныИзрасходовано всех видов кормов |
килограммен в килограммах |
|
соның ішінде:в том числе: |
|||
|
1.1 |
тауарлық балықтарға, соның ішіндедля товарной рыбы, в том числе |
килограммен в килограммах |
|
|
1.1.1 |
отандық өндірістің жемікорма отечественного производства |
килограммен в килограммах |
|
|
1.1.2 |
импорттық өндірістің жемікорма импортного производства |
килограммен в килограммах |
|
|
1.2 |
балық өсіру материалына, соның ішінде
для рыбопосадочного материала, |
килограммен в килограммах |
|
|
1.2.1 |
отандық өндірістің жемікорма отечественного производства |
килограммен в килограммах |
|
|
1.2.2 |
импорттық өндірістің жемікорма импортного производства |
килограммен в килограммах |
|
|
2 |
Су айдындарына енгізілген тыңайтқыштар, соның ішінде
Внесено в водоемы удобрений, |
килограммен в килограммах |
|
|
2.1 |
минералдыминеральных |
килограммен в килограммах |
|
|
2.2 |
органикалықорганических |
килограммен в килограммах |
4. Балық аулау және акваөсіру саласындағы көрсетілген қызметтер туралы ақпаратты көрсетіңіз
Укажите информацию об услугах, оказанных в области рыболовства и аквакультуры
4.1 Балық аулау саласындағы көрсетілетін қызметтерді көрсетіңіз (АШӨСЖ¹ бойынша 03.00.71-тобы)
Укажите услуги в области рыболовства (группа 03.00.71 по СКПСХ¹)
|
АШӨСЖ1 сәйкес қызметтердің атауы |
АШӨСЖ бойынша коды |
Есепті жылға, мың теңгемен |
|
|
қолданыстағы бағаларда |
өткен жылғы орташа жылдық бағаларда |
||
|
А |
Б |
1 |
2 |
4.2 Акваөсіру саласындағы қызметтерді көрсетіңіз (АШӨСЖ¹ бойынша 03.00.72-тобы)
Укажите услуги в области аквакультуры (группа 03.00.72 по СКПСХ¹)
|
АШӨСЖ¹ сәйкес қызметтердің атауы |
АШӨСЖ бойынша коды |
Есепті жылға, мың теңгемен |
|
|
қолданыстағы бағаларда |
өткен жылғы орташа жылдық бағаларда |
||
|
А |
Б |
1 |
2 |
5. Басқа да қызмет түрлері
Другие виды деятельности
|
ЭҚЖЖ5 сәйкес қызмет түрлерінің атауы |
ЭҚЖЖ бойынша коды (статистика органының қызметкері толтырады) |
Қызметтің өзге де түрлері бойынша өндірілген өнімдердің (тауарлардың, көрсетілетін қызметтердің) көлемі, мың теңгемен |
|
А |
Б |
1 |
6. Статистикалық нысанды толтыруға жұмсалған уақытты көрсетіңіз сағатпен (қажеттiсiн қоршаңыз)
Укажите время, затраченное на заполнение статистической формы, в часах (нужное обвести)
|
1 сағатқа дейiн |
1-2 |
2-4 |
4-8 |
8-40 |
40 сағаттан артық |
|
до 1 часа |
более 40 часов |
Ескертпе:
Примечание:
5 ЭҚЖЖ – Қазақстан Республикасы Стратегиялық жоспарлау және реформалар агенттігі Ұлттық статистика бюросының интернет-ресурсында «Жіктеуіштер» бөлімінде орналастырылған «Экономикалық қызмет түрлерінің жалпы жіктеуішіне» сәйкес толтырылады
5 ОКЭД – заполняется согласно «Общему классификатору видов экономической деятельности», размещенному на интернет-ресурсе Бюро национальной статистики Агентства по стратегическому планированию и реформам Республики Казахстан в разделе «Классификаторы»
Атауы Мекенжайы (респонденттің)
Наименование ______________________________________________
Адрес (респондента)_________________________________________
Телефоны (респонденттің) _________________________ __________
Электрондық пошта Телефон (респондента)
стационарлық ұялы мекенжайы (респонденттің)___________________
стационарный мобильный Адрес электронной почты (респондента)
Орындаушы
Исполнитель ______________________________________________ ______________________________________
тегі, аты және әкесінің аты (бар болған жағдайда) қолы, телефоны (орындаушының)
фамилия, имя и отчество (при его наличии) подпись, телефон (исполнителя)
Бас бухгалтер немесе оның міндетін атқарушы тұлға
Главный бухгалтер или лицо, исполняющее его обязанности
____________________________________________ ___________
тегі, аты және әкесінің аты (бар болған жағдайда) қолы
фамилия, имя и отчество (при его наличии) подпись
Басшы немесе оның міндетін атқарушы тұлға
Руководитель или лицо, исполняющее его обязанности
____________________________________________ ____________
тегі, аты және әкесінің аты (бар болған жағдайда) қолы
фамилия, имя и отчество (при его наличии) подпись
Ескертпе:
Примечание:
Мемлекеттік статистиканың тиісті органдарына анық емес бастапқы статистикалық деректерді ұсыну және бастапқы статистикалық деректерді белгіленген мерзімде ұсынбау «Әкімшілік құқық бұзушылық туралы» Қазақстан Республикасы Кодексінің 497-бабында көзделген әкімшілік құқық бұзушылықтар болып табылады
Представление недостоверных и непредставление первичных статистических данных в соответствующие органы государственной статистики в установленный срок являются административными правонарушениями, предусмотренными статьей 497 Кодекса Республики Казахстан «Об административных правонарушениях»
| Приложение 1 к статистической форме общегосударственного статистического наблюдения «О рыболовстве и аквакультуре» (индекс 1-рыба, периодичность годовая) «Балық аулау мен акваөсіру туралы» (индексі 1-балық, кезеңділігі жылдық) жалпымемлекеттік статистикалық байқаудың статистикалық нысанына 1-қосымша |
Су айдындарының анықтамалығы
Справочник водоемов
Сноска. Приложение 1 с изменениями, внесенными приказом Руководителя Бюро национальной статистики Агентства по стратегическому планированию и реформам РК от 28.07.2023 № 13 (вводится в действие с 01.01.2024).
|
Коды |
Су айдындарының атауы |
|
1 |
Теңіздер |
|
1.01 |
Арал теңізі |
|
1.02 |
Каспий теңізі |
|
2 |
Өзендер |
|
2.01 |
Ертіс |
|
2.02 |
Есіл |
|
2.03 |
Тобыл |
|
2.04 |
Нұра |
|
2.05 |
Жайық |
|
2.06 |
Сырдария |
|
2.07 |
Шу |
|
2.08 |
Талас |
|
2.09 |
Іле |
|
2.10 |
Қиғаш |
|
3 |
Көлдер |
|
3.01 |
Балқаш |
|
3.02 |
Алакөл |
|
3.03 |
Сасықкөл |
|
3.04 |
Жалаңашкөл |
|
3.05 |
Марқакөл |
|
3.06 |
Зайсан |
|
4 |
Су қоймалары |
|
4.01 |
Бұқтарма |
|
4.02 |
Сергеевск |
|
4.03 |
Вячеславск |
|
4.04 |
Қапшағай |
|
4.05 |
Шардара |
|
4.06 |
Шүлбі |
|
5 |
Жергілікті маңызы бар балық шаруашылығы су айдындары |
|
5.01 |
Ақмола облысының балық шаруашылығы су айдындары |
|
5.02 |
Ақтөбе облысының балық шаруашылығы су айдындары |
|
5.03 |
Алматы облысының балық шаруашылығы су айдындары |
|
5.04 |
Шығыс Қазақстан облысының балық шаруашылығы су айдындары |
|
5.05 |
Жамбыл облысының балық шаруашылығы су айдындары |
|
5.06 |
Батыс Қазақстан облысының балық шаруашылығы су айдындары |
|
5.07 |
Қарағанды облысының балық шаруашылығы су айдындары |
|
5.08 |
Қостанай облысының балық шаруашылығы су айдындары |
|
5.09 |
Қызылорда облысының балық шаруашылығы су айдындары |
|
5.10 |
Павлодар облысының балық шаруашылығы су айдындары |
|
5.11 |
Солтүстік Қазақстан облысының балық шаруашылығы су айдындары |
|
5.12 |
Түркістан облысының балық шаруашылығы су айдындары |
|
5.13 |
Абай облысының балық шаруашылығы су айдындарыРыбохозяйственные водоемы области Абай |
|
5.14 |
Жетісу облысының балық шаруашылығы су айдындарыРыбохозяйственные водоемы области Жетісу |
|
5.15 |
Ұлытау облысының балық шаруашылығы су айдындарыРыбохозяйственные водоемы области Ұлытау |
|
5.16 |
Астана қаласының балық шаруашылығы су айдындарыРыбохозяйственные водоемы города Астаны |
|
5.17 |
Алматы қаласының балық шаруашылығы су айдындарыРыбохозяйственные водоемы города Алматы |
|
5.18 |
Шымкент қаласының балық шаруашылығы су айдындарыРыбохозяйственные водоемы города Шымкент |
|
6 |
Қ. Сәтпаев атындағы канал |
| Приложение 2 к статистической форме общегосударственного статистического наблюдения «О рыболовстве и аквакультуре» (индекс 1-рыба, периодичность годовая) «Балық аулау мен акваөсіру туралы» (индексі 1-балық, кезеңділігі жылдық) жалпымемлекеттік статистикалық байқаудың статистикалық нысанына 2-қосымша |
Өсіру орындарының анықтамалығы
Справочник мест культивирования
|
Коды |
Атауы |
Ауданның өлшем бірлігі |
|
1 |
Тоғандар |
гектармен |
|
2 |
Қоршалған учаскелер мен айдамдар |
гектармен |
|
3 |
Шарбақтар |
текше метрмен |
|
4 |
Каналдар мен сүрлемдік шұңқырлар |
текше метрмен |
|
5 |
Бөгеулер |
гектармен |
|
6 |
Бассейндер |
текше метрмен |
|
7 |
Көлде тауарлы балық өсiру шаруашылығы (КТБШ) |
гектармен |
|
8 |
Сумен қамтамасыз ету циклі тұйықталған балық өсіру шаруашылығы |
текше метрмен |
|
9 |
Басқа да орындар |
гектармен |
| Приложение 3 к статистической форме общегосударственного статистического наблюдения «О рыболовстве и аквакультуре» (индекс 1-рыба, периодичность годовая) «Балық аулау мен акваөсіру туралы» (индексі 1-балық, кезеңділігі жылдық) жалпымемлекеттік статистикалық байқаудың статистикалық нысанына 3-қосымша |
Ауыл шаруашылығы өнімдерін өткізу арналарының анықтамалығы
Справочник каналов реализации сельскохозяйственной продукции
Сноска. Приложение 3 — в редакции приказа Руководителя Бюро национальной статистики Агентства по стратегическому планированию и реформам РК от 28.07.2023 № 13 (вводится в действие с 01.01.2024).
|
Коды Код |
Өткізу арналарының атауы Наименование каналов реализации |
|---|---|
|
1 |
Дайындау ұйымдарынаЗаготовительным организациям |
|
2 |
Қайта өңдеу кәсіпорындарынаПерерабатывающим предприятиям |
|
3 |
Сауда желісі және қоғамдық тамақтандыру желісі арқылыЧерез торговую сеть и сеть общественного питания |
|
3.1 |
базарлардана рынках |
|
3.2 |
кәсіпорындардың аумағында орналасқан дүкендерде, ларектерде, шатырлардав магазинах, ларьках, палатках расположенных на территории предприятия |
|
3.3 |
кәсіпорындар халыққа тікелейнепосредственно предприятием населению |
|
3.4 |
қоғамдық тамақтандыру желісі арқылычерез сеть общественного питания |
|
4 |
ЭкспортқаНа экспорт |
|
5 |
Кәсіпорынның өзінде қайта өңдеугеНа переработку в самом предприятии |
|
6 |
Ауыл шаруашылығы кооперативтерінеСельскохозяйственным кооперативам |
|
7 |
Делдарларға (алыпсатарларға)Посредникам (перекупщикам) |
|
9 |
Өзге деИное |
| Приложение 13 к приказу Председателя Комитета по статистике Министерства национальной экономики Республики Казахстан от 10 февраля 2020 года № 21 |
Инструкция по заполнению статистической формы общегосударственного статистического наблюдения
«О рыболовстве и аквакультуре»
( индекс 1-рыба, периодичность годовая)
Сноска. Приложение 13 — в редакции приказа Руководителя Бюро национальной статистики Агентства по стратегическому планированию и реформам РК от 08.12.2021 № 44 (вводится в действие по истечении десяти календарных дней после дня его первого официального опубликования).
1. Настоящая инструкция детализирует заполнение статистической формы общегосударственного статистического наблюдения «О рыболовстве и аквакультуре» (индекс 1-рыба, периодичность годовая) (далее – статистическая форма).
Сноска. Пункт 1 — в редакции приказа Руководителя Бюро национальной статистики Агентства по стратегическому планированию и реформам РК от 28.07.2023 № 13 (вводится в действие с 01.01.2024).
2. В настоящей инструкции используются следующие определения:
1) аквакультура – искусственное воспроизводство и культивирование рыбных ресурсов и других водных животных;
2) каналы – искусственные единицы, построенные выше или ниже уровня земли, обладающие высоким уровнем водного обмена;
3) улов рыбы – выловленный объем рыбных ресурсов и других водных животных на рыбохозяйственных водоемах;
4) любительское (спортивное) рыболовство – лов рыбных ресурсов и других водных животных в целях удовлетворения спортивных и эстетических потребностей, проведения спортивных состязаний, а также для личного потребления выловленной продукции, осуществляемый орудиями лова, позволяющими проводить только поштучный лов (непромысловые орудия лова);
5) рыболовство – лов рыбных ресурсов и других водных животных;
6) рыбохозяйственные водоемы и (или) участки – водоемы либо их части (реки и приравненные к ним каналы, озера, водно-болотные угодья, водохранилища, пруды и другие внутренние водоемы, территориальные воды), а также морские воды, которые используются или могут быть использованы для лова, разведения и выращивания рыбных ресурсов и других водных животных либо имеют значение для воспроизводства их запасов;
7) запруда – полупостоянные или сезонные заграждения, сформированные непроницаемыми барьерами, сделанными человеком, и соответствующие естественным условиям;
8) путевка – документ (разовый или сезонный), выдаваемый физическому лицу для посещения закрепленных охотничьих угодий и (или) рыбохозяйственных водоемов и (или) участков с целью добывания объектов животного мира;
9) промысловое рыболовство – комплексный процесс, обеспечивающий изъятие рыбных ресурсов и других водных животных из среды их обитания орудиями лова, позволяющими производить одновременно лов большого количества рыбных ресурсов и других водных животных;
10) озерно-товарное рыбоводное хозяйство – вид хозяйственной деятельности по выращиванию рыб и других водных животных в полувольных контролируемых условиях путем полной или частичной замены ихтиофауны в естественных и искусственных водоемах;
11) огороженные участки и загоны – водная территория, ограниченная сетью, проволочной сеткой и другими барьерами, при этом позволяющая неограниченный водный обмен и отличающийся тем фактом, что водообмен занимает полную водную толщу между дном и поверхностью;
12) другие виды деятельности – виды деятельности, которые предприятие осуществляло помимо деятельности в рыболовстве и аквакультуре;
13) рыбоводное хозяйство с замкнутым циклом водообеспечения – вид хозяйственной деятельности, связанный с искусственным разведением рыб и других водных животных с применением технологии замкнутого цикла водообеспечения;
14) товарная рыба – любая рыба, выведенная и (или) выращенная в контролируемых или частично контролируемых условиях, реализуемая в качестве пищевого продукта;
15) пруды и бассейны – искусственные единицы, построенные выше или ниже уровня земли, способные удерживать воду и производить обмен воды;
16) садки – открытые или крытые огражденные структуры, со встроенной сетью, с проволочной сеткой или с любыми другими ячеистыми материалами, позволяющими естественный водный обмен.
Сноска. Пункт 2 с изменением, внесенным приказом Руководителя Бюро национальной статистики Агентства по стратегическому планированию и реформам РК от 28.07.2023 № 13 (вводится в действие с 01.01.2024).
3. Деятельность в области рыболовства и аквакультуры осуществляется на территории нескольких районов и (или) областей, физические и юридические лица представляют статистическую форму, выделяя информацию по каждой территории на отдельных статистических формах – данные отражаются по месту осуществления деятельности в области рыболовства и аквакультуры. В случаях, когда структурному подразделению делегированы полномочия по сдаче статистической формы, оно представляет данную статистическую форму в территориальные органы статистики по месту своего нахождения.
4. В разделе 1 указывается место (область, город, район) фактического осуществления деятельности в области рыболовства и аквакультуры, независимо от места регистрации.
Статистическая форма заполняются в соответствии со Справочником продукции (услуг) сельского, лесного и рыбного хозяйства (далее – СКПСХ) (респондентом по строкам вписывается вид продукции, органами статистики – проставляется соответствующий код), размещенного на интернет-ресурсе Бюро национальной статистики Агентства по стратегическому планированию и реформам Республики Казахстан (www.stat.gov.kz).
Наименование водоемов указываются в соответствии со Справочником водоемов, приведенном в приложении 1 к статистической форме.
5. Сведения об улове рыбы и других водных животных и их реализации, указывается за исключением любительского (спортивного) рыболовства (выловленных по путевкам).
В графе 1 подраздела 2.1 указывается общий вес всех видов добытой рыбы и других водных животных в килограммах с одним десятичным знаком. Указываются данные по конкретным видам продукции, в том числе израсходованной на производственные нужды внутри данного предприятия.
В графе 2 подраздела 2.1 указывается реализация всей рыбы и других водных животных в натуральном выражении с одним десятичным знаком, в графе 3 подраздела 2.1 – в стоимостном выражении в ценах реализации отчетного года.
В подразделах 2.2 и 2.3 указываются сведения о реализованных путевках. Объем рыбы, выловленной по путевкам в рыболовстве, не отражается соотвественно в подразделе 2.1.
Сноска. Пункт 5 — в редакции приказа Руководителя Бюро национальной статистики Агентства по стратегическому планированию и реформам РК от 28.07.2023 № 13 (вводится в действие с 01.01.2024).
6. В подразделе 3.1 указываются данные после окончательного облова зимовальных прудов, приспособленных к зимовке водоемов, зимовальных комплексов. К рыбопосадочному материалу относятся молодь (личинки, сеголетки), в весенний период рыбопосадочным материалом являются перезимовавшие двухлетки, называемые двухгодовиками, нестандартного веса, оставленные в хозяйстве на доращивание. Подсчет рыбопосадочного материала ведется общепринятыми в рыбоводстве методами.
В графе 2 подраздела 3.1 указывается стоимость выращенного рыбопосадочного материала в ценах отчетного года, в графе 3 подраздела 3.1 – в среднегодовых ценах предыдущего года. В качестве среднегодовых цен предыдущего года используются цены выращивания, сложившиеся в хозяйстве респондента в предыдущем году. В случае если респондент в предыдущем году не выращивал те или иные виды рыбопосадочного материала графа 3 по этим видам принимается равной графе 2 подраздела 3.1.
По графам с 4 по 6 подраздела 3.1 указываются сведения о реализации рыбопосадочного материала. Стоимость реализации в графе 5 подраздела 3.1 указывается в ценах отчетного года, в графе 6 подраздела 3.1 – в среднегодовых ценах предыдущего года. В качестве среднегодовых цен предыдущего года используются цены реализации, сложившиеся в хозяйстве респондента в предыдущем году. В случае если респондент в предыдущем году не реализовывал рыбопосадочный материал, графа 6 подраздела 3.1 по этим видам принимается равной графе 5 подраздела 3.1.
7. По графе 1 подраздела 3.2 указываются данные о количестве выпущенного рыбопосадочного материала для дальнейшего ведения аквакультурной деятельности, по графе 2 подраздела 3.2 – для отлова в ходе рыбного промысла.
8. В строках подраздела 3.3 указываются сведения об объемах выращивания и реализации товарной рыбы и других водных животных за исключением любительского (спортивного) рыболовства (выловленных по путевкам).
Места культивирования указываются в соответствии со Справочником мест культивирования согласно приложению 2 к статистической форме. Вылов выращенной товарной рыбы и других водных животных заполняется по графе 3 подраздела 3.3. По графе 4 подраздела 3.3 указывается реализация выловленной выращенной в хозяйстве товарной рыбы и других водных животных в натуральном выражении. По графе 5 подраздела 3.3 указываются каналы реализации товарной рыбы и других водных животных в соответствии со Справочником каналов реализации сельскохозяйственной продукции, согласно приложению 3 к статистической форме. По графе 6 подраздела 3.3 указывается стоимость реализованной товарной рыбы и других водных животных в ценах реализации отчетного года.
В подразделах 3.4 и 3.5 указываются сведения о реализованных путевках. Объем рыбы, выловленной по путевкам в аквакультуре, не отражается соотвественно в подразделе 3.3.
Сноска. Пункт 8 — в редакции приказа Руководителя Бюро национальной статистики Агентства по стратегическому планированию и реформам РК от 28.07.2023 № 13 (вводится в действие с 01.01.2024).
9. В строке 1 подраздела 3.6 указывается количество израсходованных для кормления товарной рыбы и рыбопосадочного материала кормов, разграничив их на отечественные и импортные.
Сноска. Пункт 9 — в редакции приказа Руководителя Бюро национальной статистики Агентства по стратегическому планированию и реформам РК от 28.07.2023 № 13 (вводится в действие с 01.01.2024).
10. В разделе 4 указывается объем услуг, оказанных другим юридическим или физическим лицам в сфере рыболовства и аквакультуры, за исключением услуг предусмотренных в рамках путевок:
1) услуги, связанные с рыболовством (код СКПСХ 03.00.71) – услуги по ловле рыбы в прибрежных или внутренних водах, по добыче морских и пресноводных ракообразных и моллюсков.
2) услуги, связанные с аквакультурой (код СКПСХ 03.00.72) – услуги рыбопитомников по выращиванию молоди (личинки, сеголетки, годовики, двухлетки), рыбных ферм по разведению и выращиванию рыб (включая декоративных), рыбомелиоративные услуги.
В графе 1 подразделов 4.1 и 4.2 раздела 4 указывается стоимость оказанных услуг в ценах отчетного года, в графе 2 подразделов 4.1 и 4.2 раздела 4 – в среднегодовых ценах предыдущего года. В качестве среднегодовой цены предыдущего года используется цена, по которой респондент оказывал аналогичные услуги в предыдущем году. В случае если респондент в предыдущем году не оказывал аналогичные услуги, графа 2 подразделов 4.1 и 4.2 раздела 4 принимается равной графе 1 подразделов 4.1 и 4.2 раздела 4.
Сноска. Пункт 10 — в редакции приказа Руководителя Бюро национальной статистики Агентства по стратегическому планированию и реформам РК от 28.07.2023 № 13 (вводится в действие с 01.01.2024).
11. В разделе 5 указывается объем произведенной продукции (товаров, услуг) по другим видам деятельности, которые осуществлялись или оказывались респондентом в отчетном году, включая услуги вспомоготельные в области рыболовства. Данные заполняются на основании документов бухгалтерского учета, где отражаются объемы произведенной продукции (работ, услуг).
12. При отсутствии деятельности в отчетный период респондент не позднее даты окончания самого раннего из сроков представления статистических форм за данный отчетный период, указанных в утвержденном Графике представления респондентами первичных статистических данных по общегосударственным статистическим наблюдениям на соответствующий год, представляет Уведомление об отсутствии деятельности в порядке, установленном Правилами представления респондентами первичных статистических данных, утвержденных приказом Председателя Агентства Республики Казахстан по статистике от 9 июля 2010 года № 173 (зарегистрирован в Реестре государственной регистрации нормативных правовых актов № 6459).
13. Представление данной статистической формы осуществляется в электронном виде или на бумажном носителе. Заполнение статистической формы в электронном виде осуществляется через «Кабинет респондента» (https://cabinet.stat.gov.kz/), размещенном на интернет-ресурсе Бюро национальной статистики Агентства по стратегическому планированию и реформам Республики Казахстан, в режиме он-лайн.
14. Арифметико-логический контроль:
1) Подраздел 2.1: если графа 2 ≠ 0, то и графа 3 ≠ 0, для каждой строки;
2) Подраздел 3.1:
если графа 1 ≠ 0, то и графы 2 и 3 ≠ 0, для каждой строки;
если графа 4 ≠ 0, то и графы 5 и 6 ≠ 0, для каждой строки;
3) Подраздел 3.3:
графа 1 ≥ графе 3, для каждой строки;
графа 1 ≥ графе 4, для каждой строки;
графа 3 ≥ графе 4, для каждой строки;
графа 2 ≥ графе 6, для каждой строки;
если графа 1 ≠ 0, то и графа 2 ≠ 0, для каждой строки;
если графа 3 ≠ 0, то и графа 2 ≠ 0, для каждой строки;
если графа 4 ≠ 0, то и графа 6 ≠ 0, для каждой строки;
4) Подраздел 3.6:
строка 1 = строке 1.1 + строка 1.2;
строка 2 = строке 2.1 + строка 2.2;
5) Контроль между разделами:
если подраздел 2.2 ≠ 0, то и подраздел 2.3 ≠ 0.
| Приложение 14 к приказу Председателя Комитета по статистике Министерства национальной экономики Республики Казахстан от 10 февраля 2020 года № 21 |
Сноска. Приложение 14 — в редакции совместного приказа Руководителя Бюро национальной статистики Агентства по стратегическому планированию и реформам РК от 16.09.2022 № 24 (вводится в действие с 01.01.2023).
|
|
Мемлекеттік статистика органдары құпиялылығына кепілдік береді |
Қазақстан Республикасы Ұлттық экономика министрлігінің Статистика комитеті төрағасының 2020 жылғы 10 ақпандағы № 21 бұйрығына 14-қосымша |
|||||||
|
Егін себу қорытындылары туралы есеп |
|||||||||
|
Индексі |
4-сх |
жылына бір рет |
|
||||||
|
Экономикалық қызмет түрлерінің жалпы жіктеуішінің «Бір-немесе екіжылдық дақылдарды өсіру» 01.1, «Көпжылдық дақылдарды өсіру» 01.2, «Өсімдіктердің ұдайы өндірісі» 01.3 және «Аралас ауыл шаруашылығы» 01.5 кодтары бойынша негізгі және қосалқы қызмет түрлерімен заңды тұлғалар және (немесе) олардың құрылымдық және оқшауланған бөлімшелері ұсынады |
|||||||||
|
Ұсыну мерзімі – есепті кезеңнің 15 маусымына (қоса алғанда) дейін |
|||||||||
|
БСН коды |
_______________________________________________ |
||||||||
|
1. Егістік алқаптарының нақты орналасқан жерін көрсетіңіз – облыс, қала, аудан |
|
||||||||
|
1.1 Әкімшілік — аумақтық объектілер жіктеуішіне (ӘАОЖ) сәйкес аумақ коды (респондент статистикалық нысанды қағаз жеткізгіште ұсынған кезде аумақтық статистика органының тиісті қызметкері толтырады) |
|||||||||
|
|
|||||||||
2. Ағымдағы жылдың егініне астыққа және балауса азыққа арналған күздік дақылдардың алқаптары туралы ақпаратты көрсетіңіз, гектармен
Укажите информацию о площади озимых культур на зерно и зеленый корм под урожай текущего года, в гектарах
|
АШӨСЖ1 сәйкес ауылшаруашылығы дақылдарының атауы |
АШӨСЖ коды |
Өткен жылдың күзінен себілген күздік дақылдардың алқабы |
Одан: |
|
|
жаздық дақылдарды себу науқанының соңына астыққа сақталғаны |
балауса азық пен жайылымға пайдаланылғаны |
|||
|
А |
Б |
1 |
2 |
3 |
Ескертпе:
Примечание:
1
Мұнда және бұдан әрі АШӨСЖ – Қазақстан Республикасы Стратегиялық жоспарлау және реформалар агенттігінің Ұлттық статистика бюросының интернет-ресурсында «Жіктеуіштер» бөлімінде орналасқан «Ауыл, орман және балық шаруашылығы өнімдерінің (көрсетілетін қызметтердің) анықтамалығы
1Здесь и далее СКПСХ – Справочник продукции (услуг) сельского, лесного и рыбного хозяйства», размещенный на интернет-ресурсе Бюро национальной статистики Агентства по стратегическому планированию и реформам Республики Казахстан в разделе «Классификаторы»
3. Ағымдағы жылдың егініне жаздық дақылдар алқабы туралы ақпараттыкөрсетіңіз, гектармен
Укажите информацию о площади яровых культур под урожай текущего года, в гектарах
|
АШӨСЖ1 сәйкес ауылшаруашылығы дақылдарының атауы |
АШӨСЖ бойынша коды |
Жаздық дақылдардың егістік алқабы |
Одан: |
|
|
бақтардың қатараралықтарында |
жыртылған шабындықтар мен жайылымдарға алдын ала себілген дақылдар |
|||
|
А |
Б |
1 |
2 |
3 |
4. Өткен жылдары себілген көпжылдық шөптер мен жабынды шөптердің алқабы туралы ақпаратты көрсетіңіз, гектармен
Укажите информацию о площади многолетних трав посева прошлых лет и подпокровных трав, в гектарах
|
4.1 Өткен жылдары себілген көпжылдық шөптердің шабылатын алқабы – барлығы |
|
одан:
из них:
|
4.1.1 астық тұқымдас шөппен араласқан жоңышқа |
|
|
4.1.2 таза егістің астық тұқымдас шөптері |
|
|
4.1.3 таза егістің бұршақ тұқымдас шөптері |
|
|
4.1.3.1 жоңышқа |
|
|
4.2 Жабынды көпжылдық шөптердің алқабы (күзгі қосымша себілгенді қоса алғанда қосымша себілгені) |
|
5. Статистикалық нысанды толтыруға жұмсалған уақытты көрсетіңіз, сағатпен (қажеттiсiн
қоршаңыз)
Укажите время, затраченное на заполнение статистической формы, в часах (нужное обвести)
|
1 сағатқа дейiн |
1-2 |
2-4 |
4-8 |
8-40 |
40 сағаттан артық |
|
|
до 1 часа |
более 40 часов |
Атауы Мекенжайы (респонденттің)
Наименование _________________________________________________________
Адрес (респондента)____________________________________________________
Телефоны (респонденттің)
_____________________________________________
______________________________________________________________________
Телефон (респондента)
стационарлық ұялы
стационарный мобильный
Электрондық пошта мекенжайы (респонденттің)
Адрес электронной почты (респондента) ___________________________________
Орындаушы
Исполнитель
_________________________________________ _____________________________
тегі, аты және әкесінің аты қолы, телефоны (орындаушы)
фамилия, имя и отчество подпись, телефон (исполнителя)
Бас бухгалтер
Главный бухгалтер
________________________________________ _________
тегі, аты және әкесінің аты қолы (бас бухгалтер)
фамилия, имя и отчество подпись (главного бухгалтера)
Басшы немесе оның міндетін атқарушы
Руководитель или лицо, исполняющее его обязанности
________________________________________ __________
тегі, аты және әкесінің аты қолыфамилия, имя и отчество подпись
Ескертпе:
Примечание:
Мемлекеттік статистиканың тиісті органдарына анық емес бастапқы статистикалық деректерді ұсыну және бастапқы статистикалық деректерді белгіленген мерзімде ұсынбау «Әкімшілік құқық бұзушылық туралы» Қазақстан Республикасы Кодексінің 497-бабында көзделген әкімшілік құқық бұзушылықтар болып табылады
Представление недостоверныхи непредставление первичных статистических данных в соответствующие органы государственной статистики в установленный срокявляются административными правонарушениями, предусмотренными статьей 497 Кодекса Республики Казахстан «Об административных правонарушениях»
| Приложение 15 к приказу Председателя Комитета по статистике Министерства национальной экономики Республики Казахстан от 10 февраля 2020 года № 21 |
Инструкция по заполнению статистической формы общегосударственного статистического наблюдения
«Отчет об итогах сева под урожай»
(индекс 4-сх, периодичность один раз в год)
Сноска. Приложение 15 — в редакции приказа Руководителя Бюро национальной статистики Агентства по стратегическому планированию и реформам РК от 28.06.2024 № 15 (вводится в действие с 01.01.2025).
1. Настоящая инструкция детализирует заполнение статистической формы общегосударственного статистического наблюдения «Отчет об итогах сева под урожай» (индекс 4-сх, периодичность один раз в год) (далее – статистическая форма).
2. В настоящей Инструкции используются следующие определения:
1) озимые культуры под урожай текущего года – площади посевов сельскохозяйственных культур осенью под урожай текущего года;
2) яровые культуры под урожай текущего года – площади посевов сельскохозяйственных культур весной под урожай текущего года (зерновые, бобовые, масличные, сахарная свекла, табак, хлопчатник, картофель, овощи, бахчи продовольственные, кормовые культуры);
3) подпокровные травы – посевы трав на одной и той же площади с какими-либо сельскохозяйственными культурами.
3. Если сельскохозяйственная деятельность осуществляется на территории нескольких районов и (или) областей/городов, юридические лица и (или) их структурные и обособленные подразделения представляют статистическую форму, по каждой территории на отдельных статистических формах, то есть данные отражаются по месту нахождения посевных площадей.
В случае если структурному подразделению делегированы полномочия по сдаче статистической формы юридическим лицом, то статистическая форма представляется по месту своего нахождения в территориальные подразделения статистики.
Договор совместной деятельности (далее – договор) – это соглашение, заключаемое с целью объединения усилий в достижении общей цели.
Если правообладатель передает право на использование земельного участка другому лицу на основе этого договора, статистическую форму представляет землепользователь, осуществлявший посев сельхозкультур в отчетном периоде на данном земельном участке. В этом случае правообладатель земельного участка представляет Уведомление об отсутствии деятельности в соответствии с пунктом 10.
4. В статистической форме отражаются фактические общие размеры посевной площади сельскохозяйственных культур под урожай текущего года, трав посева отчетного года и прошлых лет. При этом временные полевые дороги, не предусмотренные планами внутрихозяйственного землеустройства, из посевной площади не исключаются.
5. В разделе 1 указывается место (область, город, район) нахождения посевных площадей, независимо от места регистрации.
6. В графе 1 раздела 2 указываются размеры посевов пшеницы твердой озимой, пшеницы мягкой озимой сильной, пшеницы мягкой озимой, посевов озимой ржи, ячменя озимого и рапса озимого, произведенные осенью прошлого года под урожай текущего года.
В графе 2 раздела 2 указываются размеры посевов пшеницы твердой озимой, пшеницы мягкой озимой сильной, пшеницы мягкой озимой, посевов озимой ржи, ячменя озимого и рапса озимого, сохранившихся к концу сева яровых культур.
В графе 3 раздела 2 указываются площади озимых культур, использованных на зеленый корм и выпас в текущем году до окончания весеннего сева. Если на данной площади были произведены посевы яровых культур, то посевы этих яровых культур указываются в статистической форме по соответствующей яровой культуре как основные посевы и включаются в общую посевную площадь. В этом случае посевы озимых культур, использованные на зеленый корм и выпас, учитываются как промежуточные посевы в графе 3 и в общую посевную площадь не включаются.
Вместе с тем посевы зерновых культур, погибшие частично в летний период и не пересеянные (в том числе и использованные на выпас, сено, зеленый корм и силос), из числа зерновых культур не исключаются и, следовательно, не переводятся в число кормовых культур.
7. В графе 1 раздела 3 указываются площади посевов яровых сельскохозяйственных культур весной под урожай текущего года (зерновые, бобовые, масличные, сахарная свекла, табак, хлопчатник, картофель, овощи, бахчи продовольственные, кормовые культуры).
Также включаются яровые культуры, посеянные до составления заключительного отчета на площадях озимых культур, использованных на зеленый корм, силос и выпас. Посевы яровых культур, произведенные на площадях погибших озимых, включаются в площади посева тех культур, которыми произведен пересев.
В случае если в весенний период имела место гибель яровых и озимых культур, и их пересев производился яровыми культурами, то площадь погибшего посева первоначальной культуры (включая площадь погибших озимых весной, на которой сохранились подсеянные травы) исключается из статистической формы в размере фактического пересева, а в статистическую форму включается площадь посева тех яровых культур, которыми произведен пересев погибших культур. Не пересеянная площадь погибших яровых и озимых культур в весенний период (кроме случаев, когда озимые погибли, а подсеянные травы сохранились) из статистической формы не исключается.
В графе 2 раздела 3 отражаются посевы в междурядьях садов, включенные в итог посевной площади хозяйства в размерах площади, фактически занятой такими посевами. Молодые деревья в течение ряда лет не используют всю отведенную им площадь, поэтому в междурядьях можно выращивать другие культуры.
Посевы предварительных культур на распаханных сенокосах и пастбищах, произведенные с целью подготовки почвы для посева многолетних трав на залужение, включаются в общую площадь посева соответствующей культуры, и выделяются самостоятельной графой. При этом учитывается, что посевы предварительных культур производятся в соответствии с проектом на коренное улучшение сенокосов и пастбищ и не повторяются на одной и той же площади более 2-3 лет подряд. В графу 3 раздела 3 не включаются посевы этих культур, если они производятся сверх указанного срока, тогда они учитываются только в общей посевной площади (по соответствующей культуре).
8. В разделе 4 указывается информация о площади многолетних трав посева прошлых лет и подпокровных трав.
По строке 4.1 раздела 4 указываются площади посевов беспокровных и подпокровных многолетних трав в прошлые годы, сохранившихся на момент проведения учета. Включаются площади многолетних трав, используемых на сено, семена, зеленый корм, выпас и силос.
Укосные площади всех видов многолетних трав показываются в целом по посевам прошлых лет, и только люцерна (в смеси со злаковыми травами), а также злаковые и бобовые травы чистого посева выделяются отдельными строками 4.1.1, 4.1.2, 4.1.3 подраздела 4.1. По строке 4.1.3.1 отдельно указывается из бобовых трав чистого посева люцерна.
По строке 4.2 раздела 4 указывается площадь подпокровных многолетних трав (подсев, включая подсев с осени). Из многолетних трав как подпокровные травы используют травы семейства бобовых и злаковых (клевер красный, люцерна, эспарцет, тимофеевка, овсяница, житняк, многолетний люпин); из однолетних и двулетних ранний – сераделлу, донник, суданскую траву, райграс однолетний, вику мохнатую, озимый рапс, морковь, турнепс. Подпокровная трава занимает самостоятельную площадь только после уборки покровной.
9. Данные в статистической форме указываются с двумя десятичными знаками, единица измерения – гектар.
10. При отсутствии деятельности в отчетный период респондент не позднее даты окончания самого раннего из сроков представления статистических форм за данный отчетный период, указанных в утвержденном Графике представления респондентами первичных статистических данных по общегосударственным статистическим наблюдениям на соответствующий год представляет Уведомление об отсутствии деятельности в порядке, установленном Правилами представления респондентами первичных статистических данных, утвержденных приказом Председателя Агентства Республики Казахстан по статистике от 9 июля 2010 года № 173 (зарегистрированным в Реестре государственной регистрации нормативных правовых актов № 6459).
11. Представление данной статистической формы осуществляется на бумажном носителе или в электронном виде. Заполнение статистической формы в электронном виде осуществляется посредством использования информационной системы «Сбор данных в oн-лайн режиме», размещенной на интернет-ресурсе Бюро национальной статистики Агентства по стратегическому планированию и реформам Республики Казахстан (https://cabinet.stat.gov.kz/).
12. Арифметико-логический контроль:
1) Раздел 2:
графа 2 + графа 3 ≤ графе 1, для каждой строки;
2) Раздел 3:
графа 2 ≤ графе 1, для каждой строки;
графа 3 ≤ графе 1, для каждой строки;
3) Раздел 4:
строка 4.1 ≥ строке 4.1.1 + строка 4.1.2 + строка 4.1.3;
строка 4.1.3 ≥ строке 4.1.3.1.
| Приложение 16 к приказу Председателя Комитета по статистике Министерства национальной экономики Республики Казахстан от 10 февраля 2020 года № 21 |
Сноска. Приложение 16 — в редакции приказа Руководителя Бюро национальной статистики Агентства по стратегическому планированию и реформам РК от 28.06.2024 № 15 (вводится в действие с 01.01.2025).
|
|
Мемлекеттік статистика органдары құпиялылығына кепілдік береді |
Қазақстан Республикасы |
|||||
|
Астықтың қолда бары және оның қозғалысы туралы |
|||||||
|
Индексі 2-сх (астық) |
жылдық |
есепті кезең |
|
Жыл |
|||
|
Дәнді және бұршақты дақылдарын өсірумен, қайта өңдеумен, сатумен, сақтаумен және |
|||||||
|
Ұсыну мерзімі – есепті кезеңнен кейінгі 10 қаңтарға (қоса алғанда) дейін |
|||||||
|
БСН коды |
|
||||||
|
ЖСН коды |
|
||||||
|
1. Дәнді немесе бұршақты дақыл туралы жалпы мəліметтерді көрсетіңіз |
|||||||
|
1.1. Дәнді немесе бұршақты дақылдың атауы |
|
||||||
|
1.2. Дәнді немесе бұршақты дақыл сақталған аумақ |
|
||||||
|
1.3. «Ауыл, орман және балық шаруашылығы өнімдерінің (көрсетілетін қызметтердің) анықтамалығына» сəйкес дәнді немесе бұршақты дақыл түрінің коды (аумақтық статистика бөлімшесінің қызметкері толтырады) |
|
||||||
|
1.4. Аумақ коды Əкімшілік-аумақтық объектілер жіктеуішіне (бұдан әрі – ӘАОЖ2) сәйкес аумақтық коды (респондент статистикалық нысанды қағаз жеткізгіште ұсынған кезде аумақтық статистика бөлімшесінің тиісті қызметкері толтырады) |
|
||||||
2. Дәнді немесе бұршақты дақылдың қолда бары және қозғалысы туралы ақпаратты центнермен (өңдеуден кейінгі салмақта) көрсетіңіз
Укажите информацию о наличии и движении зерновой или бобовой культуры в центнерах (в весе после доработки)
|
Жол коды |
Көрсеткіштің атауы |
Барлығы |
Соның ішінде пайдалану түрлері бойынша |
||
|
азық-түліктік |
тұқымдық |
жемшөптік |
|||
|
А |
Б |
1 |
2 |
3 |
4 |
|
1 |
Кезең басына нақты қолда бары |
||||
|
2 |
Есепті кезеңдегі алынғаны |
||||
|
соның ішінде |
х |
х |
х |
х |
|
|
2.1 |
жаңа түсімнен |
||||
|
2.2 |
импорт бойынша |
||||
|
2.3 |
куплено или получено |
||||
|
2.4 |
астық иесінен сақтауға алынғаны |
||||
|
2.5 |
астық иесінің сақтаудан қайта алғаны |
||||
|
2.6 |
астықтың басқа санатынан ауыстырылғаны |
||||
|
3 |
Есепті кезеңдегі шығыс |
||||
|
соның ішінде |
х |
х |
х |
х |
|
|
3.1 |
азық-түліктік мақсаттарда қайта өңдеуге жұмсалған |
||||
|
3.2 |
азық-түліктік емес мақсаттарда қайта өңдеуге жұмсалған |
||||
|
3.3 |
өндірістік тұтынуға жұмсалған |
х |
|||
|
3.4 |
экспортқа |
||||
|
3.5 |
ысыраптар (бүлінген, талан-тараж) |
||||
|
3.6 |
сатылғаны немесе берілгені |
||||
|
3.7 |
сақтауға берілгені |
||||
|
3.8 |
астық иесіне қайтарылғаны |
||||
|
3.9 |
астықтың өзге санатына ауыстырылғаны |
||||
|
4 |
Кезең соңына қолда бары |
||||
|
4.1 |
одан сақтауға алынған астық |
||||
|
4.2 |
Азық-түліктік келісімшарт корпорациясынан |
||||
|
4.3 |
басқа жеке және заңды тұлғалардан |
||||
Ескерту:
Примечание:
1Астықты элеваторда сақтайтын және астықпен операцияларды астық қолхаты бойынша жүзеге асыратын респонденттер өз статистикалық нысандарында осы астықтың қолда барын көрсетпейді, астықты өз сақтауында ұстаған элеватор көрсетеді. Егер астық сақтау қоймасында, басқа кәсіпорынның (шаруашылықта) сақталса, оны астықтың иесі көрсететіне назар аудару қажет.
1Обращаем внимание, что респонденты, хранящие зерно на элеваторах и осуществляющие операции с зерном по зерновой расписке, не показывают наличие данного зерна в своих статистических формах, зерно отразит элеватор, на хранении у которого оно находится. В случае если зерно находиться на хранении в зернохранилищах другого предприятия (хозяйства) зерно отразит владелец зерна
2Мұнда және ӘАОЖ кодын аумақтық статистика бөлімшесінің қызметкері толтырады
2Здесь и далее Код КАТО заполняется работником территориального подразделениястатистики
4. Статистикалық нысанды толтыруға жұмсалған уақытты, сағатпен (қажеттiсiн қоршаңыз)
Укажите время, затраченное на заполнение статистической формы, в часах (нужное обвести)
|
1 сағатқа дейiн |
1-2 |
2-4 |
4-8 |
8-40 |
40 сағаттан артық |
|
до 1 часа |
более 40 часов |
Атауы Мекенжайы (респонденттің)
Наименование _____________________
Адрес (респондента)_____________________
Телефоны (респонденттің)
Электрондық пошта мекенжайы (респонденттің)
Телефон (респондента) ___________________________
Адрес электронной почты (респондента)_________
Орындаушы
Исполнитель___________________________________________________ _____________________________
тегі, аты және әкесінің аты (ол болған жағдайда) қолы, телефоны
фамилия, имя и отчество (при его наличии) подпись, телефон
Бас бухгалтер немесе оның міндетін атқарушы
Главный бухгалтер или лицо, исполняющее его обязанности ________________________________________
тегі, аты және әкесінің аты (ол болған жағдайда) қолы
фамилия, имя и отчество (при его наличии) подпись
Басшы немесе оның міндетін атқарушы
Руководитель или лицо, исполняющее его обязанности _________________________________ ___________
тегі, аты және әкесінің аты (ол болған жағдайда) қолы
фамилия, имя и отчество (при его наличии) подпись
Ескертпе:
Примечание:
Мемлекеттік статистиканың тиісті органдарына анық емес бастапқы статистикалық деректерді ұсыну және бастапқы статистикалық деректерді белгіленген мерзімде ұсынбау «Әкімшілік құқық бұзушылық туралы» Қазақстан Республикасы Кодексінің 497-бабында көзделген әкімшілік құқық бұзушылықтар болып табылады
Представление недостоверных и непредставление первичных статистических данных в соответствующие органы государственной статистики в установленный срок являются административными правонарушениями, предусмотренными статьей 497 Кодекса Республики Казахстан «Об административных правонарушениях»
| Приложение 17 к приказу Председателя Комитета по статистике Министерства национальной экономики Республики Казахстан от 10 февраля 2020 года № 21 |
Инструкция по заполнению статистической формы общегосударственного статистического наблюдения
«О наличии и движении зерна»
(индекс 2-сх (зерно), периодичность годовая)
Сноска. Приложение 17 — в редакции приказа Руководителя Бюро национальной статистики Агентства по стратегическому планированию и реформам РК от 28.06.2024 № 15 (вводится в действие с 01.01.2025).
1. Настоящая инструкция детализирует заполнение статистической формы общегосударственного статистического наблюдения «О наличии и движении зерна» (индекс 2-сх (зерно), периодичность годовая) (далее – статистическая форма).
2. В настоящей Инструкции используются следующие определения:
1) продовольственное зерно – зерно, используемое для пищевых целей;
2) зерно – плоды злаковых, зернобобовых и масличных культур, используемые для пищевых, семенных, кормовых и технических целей;
3) зернохранилище (элеватор, хлебоприемный пункт) – специализированное техническое сооружение для хранения зерна;
4) зерновая расписка – складское свидетельство в виде бездокументарной неэмиссионной ценной бумаги, подтверждающее право собственности на определенное количество зерна;
5) участники зернового рынка – физические и юридические лица, участвующие в производстве, хранении, транспортировке, переработке и реализации зерна;
6) фуражное зерно – зерно, предназначенное на корм животным и птице;
7) вес после доработки (зачетный вес) – физическая масса, полученная после очистки и сушки урожая, то есть со скидкой на степень влажности и засоренности;
8) регион (для данного статистического наблюдения) – это область, город республиканского значения;
9) семенное зерно (семена) – зерно, используемое на посевные цели и разделяемое по сортовым и посевным качествам.
3. В случае если структурному подразделению делегированы полномочия по сдаче статистической формы юридическим лицом, то оно представляет ее по месту своего нахождения в территориальные подразделения статистики.
Владельцы зерна, хранящие зерно на элеваторах и осуществляющие операции с зерном по зерновой расписке, не показывают наличие данного зерна в своей статистической форме, зерно отразит элеватор, на хранении у которого оно находится.
Движение зерна владелец показывает сам, элеватор показывает только отгрузку.
На каждую зерновую или бобовую культуру заполняется отдельный бланк. Код вида зерновой или бобовой культуры указывается работником территориального подразделения статистики.
Если одна и та же культура хранится на разных территориях, на каждую территорию также заполняется отдельная статистическая форма. Код территории, на которой хранится зерновая или бобовая культура, указывается работником территориального подразделения статистики в соответствии с Классификатором административно-территориальных объектов (далее – КАТО).
Учету подлежит продовольственное, семенное и фуражное зерно всех зерновых и бобовых культур (в весе после доработки), имеющееся на хранении у респондента на начало и конец отчетного года, и которое респондент приобретал и расходовал в течение отчетного года.
При отнесении зерновых и бобовых культур к продовольственной или фуражной группам учитывается следующее:
Мягкая и твердая пшеница подразделяется на 5 классов. Пшеница 5-го класса и «неклассная» пшеница к продовольственной группе не относятся;
В зависимости от качественных характеристик ячмень подразделяется на 1 и 2 классы. Для использования на продовольственные цели предназначен весь ячмень 1-го класса, а также ячмень 2-го класса, используемый для выработки солода в спиртовом производстве. Ячмень 2-го класса также используется на фураж.
Рожь и овес подразделяются на 4 класса. Рожь и овес с 1 по 3-ий классы предназначены для продовольственных целей, 4-го класса – на фураж.
Кукуруза, просо и горох подразделяются на 3 класса. Указанные культуры 1 и 2-го классов предназначены для использования на продовольственные цели, 3-го класса – на фураж.
Рис и гречиха используются только на продовольственные или посевные цели и не используются на фураж.
К семенной группе относятся зерновые и бобовые культуры любого класса.
4. В разделе 2 отражается наличие и движение зерна за отчетный год.
В графу 1 заносятся данные о количестве всей зерновой или бобовой культуры, в том числе по типу использования: в графу 2 – продовольственные, графу 3 – семенные, графу 4 – фуражные.
В строке 1 отражается количество зерна, находящегося на хранении непосредственно у респондента (на собственных и арендованных складах) на начало отчетного года. В указанной строке не учитывается зерно, переданное на хранение элеваторам или хлебоприемным пунктам.
В строке 2 отражается весь приход зерновых или бобовых культур за отчетный год и ниже по строкам 2.1-2.7 расписываются источники поступления:
в строке 2.1 учитывается, что в случае, если сельскохозяйственный производитель (далее – сельхозпроизводитель) оставляет зерно на хранение на собственных складах, то в строке отражается вес, определенный после подработки на току хозяйства. Если сельхозпроизводитель вывозит урожай на элеватор (напрямую с поля или после первичной подработки на току), в указанной строке отражается вес зерна, определенный на элеваторе;
в строке 2.2 – количество зерна, ввезенного в страну из-за рубежа в рамках официальной торговли, продовольственная помощь на конкретных условиях, безвозмездная помощь (импорт);
в строке 2.3 – отражается зерно, купленное, полученное при взаиморасчетах, в качестве возврата долга, переданное безвозмездно, после инвентаризации, подработки зерна, при взаиморасчетах, в рамках передачи зерна между юридическим лицом и его структурным подразделением в связи с изменением территории хранения зерна;
в строке 2.4 – количество зерна, полученного на хранение от владельца зерна (элеваторами, хлебоприемными пунктами).
в строке 2.5 – количество зерна, полученного владельцем зерна обратно с хранения (из элеватора, хлебоприемного пункта).
в строке 2.6 – количество зерна, переведенного из другой категории (продовольственного, семенного, фуражного).
В строке 3 отражаются данные об использовании зерновых или бобовых культур за отчетный год по строкам 3.1-3.9 расписываются направления использования:
в строке 3.1 – количество зерна, использованного для производства производных пищевых продуктов (на производство муки, крупы);
в строке 3.2 – количество зерна, использованного для производства продукции, не предназначенной для скармливания сельскохозяйственным животным или потребления в пищу, включая использование на производство спирта и пива (на выработку медпрепаратов, для научно-исследовательских целей, зоопарков);
в строке 3.3 – количество зерна, израсходованного на производственное потребление: расход на посевные цели указывается в графе 3, расход на корм скоту и птице – в графе 4, графа 2 по этой строке не заполняется;
в строке 3.4 – количество зерна, отгруженного покупателям за границу (на экспорт) (подаренного, обмененного, проданного);
в строке 3.5 – количество зерна, изъятого из реализации и забракованного для потребления, в результате порчи в ходе транспортировки, переработки, хранения или упаковки, а также в случае хищения;
в строке 3.6 – отражается зерно, проданное, переданное при взаиморасчетах, возврате долга, безвозмездно, между юридическим лицом и его структурным подразделением, в связи с изменением территории хранения зерна; проданное, включая реализацию населению, отгруженное при взаиморасчетах, возврате долга, переданное безвозмездно, а также переданное юридическим лицом и его структурным подразделением, в связи с изменением территории хранения зерна или реорганизацией респондента, выданного физическим и юридическим лицам в счет натуроплаты и за земельные паи, списанное после инвентаризации, подработки зерна;
в строке 3.7 – количество зерна, переданного владельцем зерна на хранение (элеватору, хлебоприемному пункту).
в строке 3.8 – количество зерна, которое было возвращено хлебоприемным пунктом, элеватором владельцу зерна.
в строке 3.9 – количество зерна, переведенного из одной категории в другую (продовольственного, семенного, фуражного).
В строке 4 – остаток зерновых и бобовых культур на конец отчетного года.
Из строки 4 отдельными строками указывается информация о зерне, полученном на хранение (заполняют только хлебоприемные пункты, элеваторы и мелькомбинаты): от сельхозпроизводителей (строка 4.1), от Продовольственной Контрактной корпорации (строка 4.2) и от других физических и юридических лиц (строка 4.3).
Данные указываются в целых числах, единица измерения – центнер (в весе после доработки).
5. При отсутствии деятельности в отчетный период (месяц, квартал, год) респондент не позднее даты окончания самого раннего из сроков представления статистических форм за данный отчетный период, указанных в Графике представления респондентами первичных статистических данных по общегосударственным статистическим наблюдениям, утверждаемым в порядке установленным Законом на соответствующий год представляет в соответствующий орган государственной статистики вместо соответствующих статистических форм Уведомление об отсутствии деятельности согласно форме, приведенной в приложении 1 к Правилам представления респондентами первичных статистических данных, на бумажном носителе или в электронном виде утвержденных приказом Председателя Агентства Республики Казахстан по статистике от 9 июля 2010 года № 173, зарегистрированным в Реестре государственной регистрации нормативных правовых актов под № 6459.
6. Представление данной статистической формы осуществляется на бумажном носителе или в электронном виде. Заполнение статистической формы в электронном виде осуществляется посредством использования информационной системы «Сбор данных в режиме онлайн», размещенной на интернет-ресурсе Бюро национальной статистики Агентства по стратегическому планированию и реформам Республики Казахстан (https://cabinet.stat.gov.kz/).
Примечание: х – данная позиция не подлежит заполнению.
7. Арифметико-логический контроль:
1) Раздел 2:
графа 1 = ∑ граф 2, 3, 4 для каждой строки, кроме строки 3.3;
графа 1 = ∑ граф 3, 4 для строки 3.3;
строка 2 = ∑ строк 2.1-2.6, для каждой графы;
строка 3 = ∑ строк 3.1-3.9, для каждой графы;
строка 4 = строка 1 + строка 2 – строка 3, для каждой графы;
строка 4 ≥ 0, для каждой графы;
строка 4 ≥ ∑ строк 4.1, 4.2, 4.3, для каждой графы.
| Приложение 18 к приказу Председателя Комитета по статистике Министерства национальной экономики Республики Казахстан от 10 февраля 2020 года №21 |
Сноска. Приложение 18 — в редакции приказа Руководителя Бюро национальной статистики Агентства по стратегическому планированию и реформам РК от 28.06.2024 № 15 (вводится в действие с 01.01.2025).
|
|
Мемлекеттік статистика органдары құпиялылығына кепілдік береді |
Қазақстан Республикасы |
||||||||||||||||||||||
|
Ауыл шаруашылығы құралымының қызметі туралы есеп Отчет о деятельности сельхозформирования |
||||||||||||||||||||||||
|
Индексі |
1-сх |
жылдық |
есепті кезең |
|
жыл |
|||||||||||||||||||
|
Экономикалық қызмет түрлері жалпы жіктеуішінің (бұдан әрі – ЭҚЖЖ) 01.1, 01.2, 01.3, 01.4, 01.5-кодтары |
||||||||||||||||||||||||
|
Ұсыну мерзімі – есепті кезеңнен кейінгі 10 наурызға (қоса алғанда) дейін |
||||||||||||||||||||||||
|
БСН/ЖСН коды |
|
|||||||||||||||||||||||
|
1. Ауыл шаруашылығы қызметін нақты жүзеге асыратын аумақты (облыс, қала, аудан) көрсетіңіз |
|
|||||||||||||||||||||||
|
1.1 Әкімшілік-аумақтық объектілер жіктеуішіне (ӘАОЖ) сәйкес аумақ коды (респондент статистикалық |
|
|||||||||||||||||||||||
|
2. Ауыл шаруашылығы өнімдерін өндіру, пайдалану және қорлары туралы мәліметтерді көрсетіңіз |
||||||||||||||||||||||||
|
АШӨСЖ1 сәйкес өнімдердің түрлері |
АШӨСЖ бойынша коды1 |
Өлшем бірлігі |
Өндіріс |
Өткізу |
оның ішінде: |
Өндірістік тұтыну |
Азық-түлік мақсатында қайта өңделді |
Өткізілген өнімдердің құны, |
Өткізілген өнімдердіңөзіндік құны, мың теңге |
Жыл соңына қорлар Запасы на конец года |
||||||||||||||
|
дайындау ұйымдарына заготовительным организациям (1) |
қайта өңдеу кәсіпорындарына |
сауда желісі және қоғамдық тамақтандыру желісі арқылы |
экспортқа |
ауыл шаруашылығы кооперативтеріне |
делдалдарға |
халыққа |
||||||||||||||||||
|
А |
Б |
1 |
2 |
3 |
4 |
5 |
6 |
7 |
8 |
|||||||||||||||
кестеннің жалғасы
|
Өндірістік тұтыну |
Азық-түлік мақсатында қайта өңделді |
Өткізілген өнімдердің құны, мың теңге |
Өткізілген өнімдердіңөзіндік құны, мың теңге |
Жыл соңына қорлар |
|
4 |
5 |
6 |
7 |
8 |
Ескертпе:
Примечание:
1Мұнда және бұдан әрі АШӨСЖ –Қазақстан Республикасы Стратегиялық жоспарлау және реформалар агенттігі Ұлттық статистика бюросы интернет-ресурсында «Жіктеуіштер» бөлімінде орналасқан «Ауыл, орман және балық шаруашылығы өнімдерінің (көрсетілетін қызметтерінің) анықтамалығына» сәйкес толтырылады
1Здесь и далее СКПСХ – заполняется согласно «Справочнику продукции (услуг) сельского, лесного и рыбного хозяйства», размещенному на интернет-ресурсе Бюро национальной статистики Агентства по стратегическому планированию и реформам Республики Казахстан в разделе «Классификаторы»
3. Есепті кезеңде өсімдік шаруашылығы өнімдерін өндіруге жұмсалған шығындар туралы мәліметтерді көрсетіңіз, мың теңге
Укажите сведения о затратах на производство продукции растениеводства за отчетный период, тысяч тенге
|
АШӨСЖ сәйкес өнімдер түрлерінің атауы2 |
АШӨСЖ бойын-ша коды2 |
Барлық шығындар |
Оның ішінде |
Барлық шығындардан қураған егістіктер бойынша шығындар |
||||||||
|
Тұқымдар және көшеттік материалдар |
Тыңайт-қыштар |
Отын |
Энергия |
Суға жұмсалған шығындар |
Сатып алынатын жартылай дайын өнімдер мен |
Бөгде ұйымдар орындаған өндірістік сипаттағы жұмыстар мен көрсетілген қызметтер |
Еңбекақы төлеу шығыс-тары |
Өзге де шығындар және басқа шығындар |
||||
|
А |
Б |
1 |
2 |
3 |
4 |
5 |
6 |
7 |
8 |
9 |
10 |
11 |
|
Маусымдық дақылдар |
01.1 |
|||||||||||
|
Көпжылдық дақылдар |
01.2 |
|||||||||||
|
Өсімдік материалдары, тірі өсімдіктер, баданалар, түйіндер мен тамырлар, сұлама бұтақтар және қалемшелер, саңырауқұлақты жерлер |
01.3 |
|||||||||||
Ескертпе:
Примечание:
2ЭҚЖЖ 01.1, 01.2, 01.3, 01.4, 01.5 – кодтары бойынша негізгі және қосалқы экономикалық қызмет түрлерімен шаруа немесе фермер қожалықтарын қоса алғанда дара кәсіпкерлер, тек 01.1, 01.2 және 01.3 қорытынды жолдарын 11-бағанды қоспағанда, барлық бағандар бойынша толтырады
2Индивидуальные предприниматели, включая крестьянские или фермерские хозяйства, с основным и вторичным видами экономической деятельности по кодам ОКЭД 01.1, 01.2, 01.3, 01.4, 01.5 заполняют только итоговые строки 01.1, 01.2 и 01.3 по всем графам, за исключением графы 11
4. Өсімдік шаруашылығындағы аяқталмаған өндіріс туралы ақпаратты көрсетіңіз
Укажите информацию о незавершенном производстве в растениеводстве
|
Жол коды |
Көрсеткіш атауы |
Алаң, гектар |
Шығындар, мың теңге |
|
А |
Б |
1 |
2 |
|
1 |
Таза сүрі жерлерді көтеру |
||
|
2 |
Сүдігер жерлерді жырту |
||
|
3 |
Күздік дақылдарды егу және алдағы кезеңдердегі түсімділік үшін жерді дайындау бойынша басқа да жұмыстар |
||
|
4 |
Бауларды егу, өңдеу және ұстау |
5. Есепті кезеңде мал шаруашылығы өнімдерінің жекелеген түрлерін өндіруге, өсіруге және ұстауға жұмсалған шығындар туралы мәліметтерді көрсетіңіз, мың теңге
Укажите сведения о затратах на производство, выращиваниеи содержание отдельных видов продукции животноводства за отчетный период, тысяч тенге
|
АШӨСЖ сәйкес өнімдер түрлерінің атауы3 |
АШӨСЖ коды3 |
Барлық шығындар |
Оның ішінде |
|||||||
|
Мал азығы |
Отын |
Энергия |
Суға жұмсалған шығындар |
Сатып алынатын жартылай дайын өнімдер мен жиынтықтау-шы бұйымдар |
Бөгде ұйымдар орындаған өндірістік сипаттағы жұмыстар мен көрсетілген қызметтер |
Еңбекақы төлеу шығыстары |
Өзге де шығындар және басқа шығындар |
|||
|
А |
Б |
1 |
2 |
3 |
4 |
5 |
6 |
7 |
8 |
9 |
|
Тірі малдар және мал шаруашылығы өнімдері |
01.4 |
|||||||||
Ескертпе:
Примечание:
3ЭҚЖЖ 01.1, 01.2, 01.3, 01.4, 01.5 – кодтары бойынша негізгі және қосалқы экономикалық қызмет түрлерімен шаруа немесе фермер қожалықтарын қоса алғанда дара кәсіпкерлер, тек 01.4 қорытынды жолды толтырады
3Индивидуальные предприниматели, включая крестьянские или фермерские хозяйства, с основным и вторичным видами экономической деятельности по кодам ОКЭД 01.1, 01.2, 01.3, 01.4, 01.5 заполняют только итоговую строку 01.4
6. Экономикалық қызметтің басқа да түрлері (Экономикалық қызмет түрлері жалпы жіктеуішінің 01.1, 01.2, 01.3, 01.4, 01.5-кодтары бойынша негізгі және қосалқы экономикалық қызмет түрлерімен заңды тұлғалар және (немесе) олардың құрылымдық және оқшауланған бөлімшелері толтырады)
Другие виды экономической деятельности (заполняется юридическими лицами и (или) их структурными и обособленными подразделениями с основным видом экономической деятельности по кодам Общего классификатора видов экономической деятельности 01.1, 01.2, 01.3, 01.4, 01.5)
|
ЭҚЖЖ4 сәйкес экономикалық қызмет түрінің атауы |
ЭҚЖЖ коды |
Өндірілген өнімдердің (тауарлардың, көрсетілген қызметтердің) көлемі, мың теңге |
|
А |
Б |
1 |
Ескертпе:
Примечание:
4ЭҚЖЖ –Қазақстан Республикасы Стратегиялық жоспарлау және реформалар агенттігі Ұлттық статистика бюросы интернет-ресурсында «Жіктеуіштер» бөліміндеорналасқан «Экономикалық қызмет түрлерінің жалпы жіктеуішіне» сәйкес толтырылады
4ОКЭД – заполняется согласно «Общему классификатору видов экономической деятельности», размещенному на интернет-ресурсе Бюро национальной статистики Агентства по стратегическому планированию и реформам Республики Казахстан в разделе «Классификаторы»
7. Статистикалық нысанды толтыруға жұмсалған уақытты көрсетіңіз, сағатпен (қажеттiсiн қоршаңыз)
Укажите время, затраченное на заполнение статистической формы, в часах (нужное обвести)
|
1 сағатқа дейiн |
1-2 |
2-4 |
4-8 |
8-40 |
40 сағаттан артық |
|
до 1 часа |
более 40 часов |
Атауы Мекенжайы (респонденттің)
Наименование _________________________________________________________
Адрес (респондента) ____________________________________________________
Телефоны (респонденттің)
Телефон (респондента) ___________________ _______________________________
стационарлық ұялы
стационарный мобильный
Электрондық пошта мекенжайы (респонденттің)
Адрес электронной почты (респондента)____________________________________
Орындаушы
Исполнитель ________________________________________________ ___________
тегі, аты және әкесінің аты (ол болған жағдайда) қолы, телефоны (орындаушының)
фамилия, имя и отчество (при его наличии) подпись, телефон (исполнителя)
Бас бухгалтер немесе оның міндетін атқарушы тұлға
Главный бухгалтер или лицо, исполняющее его обязанности
___________________________________________________________ ____________
тегі, аты және әкесінің аты (ол болған жағдайда) қолы
фамилия, имя и отчество (при его наличии) подпись
Басшы немесе оның міндетін атқарушы тұлға
Руководитель или лицо, исполняющее его обязанности
______________________________________________________ __________________
тегі, аты және әкесінің аты (ол болған жағдайда) қолы
фамилия, имя и отчество (при его наличии) подпись
Ескертпе:
Примечание:
Мемлекеттік статистиканың тиісті органдарына анық емес бастапқы статистикалық деректерді ұсыну және бастапқы статистикалық деректерді белгіленген мерзімде ұсынбау «Әкімшілік құқық бұзушылық туралы» Қазақстан Республикасы Кодексінің 497-бабында көзделген әкімшілік құқық бұзушылықтар болып табылады
Представление недостоверных и непредставление первичных статистических данных в соответствующие органы государственной статистики в установленный срок являются административными правонарушениями, предусмотренными статьей 497 Кодекса Республики Казахстан «Об административных правонарушениях»
| Приложение 19 к приказу Председателя Комитета по статистике Министерства национальной экономики Республики Казахстан от 10 февраля 2020 года № 21 |
Инструкция по заполнению статистической формы общегосударственного статистического наблюдения
«Отчет о деятельности сельхозформирования»
(индекс 1-сх, периодичность годовая)
Сноска. Приложение 19 — в редакции приказа Руководителя Бюро национальной статистики Агентства по стратегическому планированию и реформам РК от 28.06.2024 № 15 (вводится в действие с 01.01.2025).
1. Настоящая инструкция детализирует заполнение статистической формы общегосударственного статистического наблюдения «Отчет о деятельности сельхозформирования» (индекс 1-сх, периодичность годовая) (далее – статистическая форма).
2. В настоящей Инструкции используются следующие определения:
1) первоначально оприходованный вес – физическая масса, полученная при уборке урожая без ее доработки, с сорными и минеральными примесями (земля, частицы земли, стержни колосков и другие примеси), а также с избыточной влажностью;
2) продукция животноводства – готовые продукты, полученные в результате выращивания и хозяйственного использования сельскохозяйственных животных (молоко, яйца, шерсть, шкуры и другое), забой в хозяйстве или реализация на убой всех видов скота и птицы в живом весе, продукция пчеловодства и пушного звероводства;
3) себестоимость продукции – денежное выражение затрат на производство и реализацию продукции;
4) вес после доработки (зачетный вес) – физическая масса, полученная после очистки и сушки урожая, то есть со скидкой на степень влажности и засоренности;
5) незавершенное производство в растениеводстве – затраты на вспашку зяби, поднятие чистых паров, подготовку почвы для посева озимых культур под урожай будущих периодов, на закладку, обработку и содержание садов;
6) продукция растениеводства – продукция, полученная в процессе возделывания сельскохозяйственных культур (зерновых, масличных, овощей, сахарной свеклы, хлопка и других);
7) стоимость реализованной продукции – сумма полученного и подлежащего к получению дохода от реализации отпущенной (отгруженной) готовой сельскохозяйственной продукции за минусом налога на добавленную стоимость, акцизов, а также стоимости возвращенных товаров, скидки с продаж и скидки с цены, представленных покупателю;
8) себестоимость реализованной продукции – фактическая себестоимость отпущенной (отгруженной) готовой продукции;
9) другие виды экономической деятельности – виды экономической деятельности, помимо деятельности в растениеводстве, животноводстве, оказании сельскохозяйственных услуг, охотничьем, лесном и рыбном хозяйстве, которые осуществляло юридическое лицо и (или) его структурное и обособленное подразделение с основным видом экономической деятельности по кодам Общего классификатора видов экономической деятельности (далее – ОКЭД) 01.1, 01.2, 01.3, 01.4, 01.5;
10) основной вид экономической деятельности – вид экономической деятельности, добавленная стоимость которого превышает добавленную стоимость любого другого вида экономической деятельности, осуществляемого субъектом.
3. В случае если структурному и обособленному подразделению делегированы полномочия по сдаче статистической формы юридическим лицом, оно представляет статистическую форму по месту своего нахождения в территориальные подразделения статистики.
Если сельскохозяйственная деятельность осуществляется на территории нескольких районов и (или) областей/городов, юридические лица и (или) их структурные и обособленные подразделения ииндивидуальные предприниматели, включая крестьянские или фермерские хозяйства, представляют статистическую форму, по каждой территории на отдельных статистических формах, то есть данные отражаются по месту осуществления сельскохозяйственной деятельности, соответствующая территория указывается в разделе 1.
Код территории, на которой осуществляется сельскохозяйственная деятельность, указывается соответствующим работником территориального подразделения статистики в соответствии с Классификатором административно-территориальных объектов в подразделе 1.1.
4. Данные в статистической форме заполняются за отчетный год. Статистическая форма заполняется в разрезе видов сельскохозяйственной продукции в соответствии со Справочником продукции (товаров и услуг) сельского, лесного и рыбного хозяйства (далее – СКПСХ).
В графе 2 раздела 2 указываются сведения об объемах производства сельскохозяйственной продукции в натуральном выражении, в центнерах с двумя знаками после запятой, а в штуках в целых числах.
Производство продукции растениеводства указывается для различных культур либо в первоначально оприходованном весе либо в весе после доработки (в зачетном весе).
Производство зерновых и бобовых культур, сахарной свеклы, хлопка-сырца, табака, семян масличных культур указывается в весе после доработки; картофеля, овощей открытого и закрытого грунта, кормовых культур (кормовые корнеплоды, бахчи кормовые, кукуруза на корм, однолетние и многолетние травы на сено, зеленый корм, сенаж, травяную муку и для получения гранул и брикетов, на выпас, на семена), плодово-ягодных культур и винограда – в первоначально оприходованном весе.
По сахарной свекле указывается сбор с посевов, предназначенных для сдачи продукции на сахарные заводы для переработки. По табаку учитываются все ломки, как основные, так и дополнительные. По картофелю включается весь урожай, в том числе полученный в результате перепашки и боронования картофельных массивов после основной уборки. По овощам указывается также продукция частичного сбора овощей до и после массовой уборки.
По продукции животноводства указывается производство сырых продуктов, полученных в результате выращивания и хозяйственного использования сельскохозяйственных животных и птицы (мясо, молоко, шерсть и другое). По производству мяса по видам указываются забитые или реализованные на убой скот и птица в живом весе.
По графе 3 раздела 2 указывается количество реализованной сельскохозяйственной продукции по каналам реализации за отчетный год, включая остатки продукции прошлых лет, в натуральном выражении (собственного выращивания или производства, без учета приобретенной продукции), в центнерах с двумя десятичными знаками, а в штуках в целых числах. В графе 6 раздела 2 указывается доход от реализации сельскохозяйственной продукции, в графе 7 – фактические затраты на производство и реализацию отгруженной сельскохозяйственной продукции.
В случае затруднений в определении по графе 7 себестоимости реализованной продукции конкретного вида, рекомендуется использование следующего подхода. Делением общих затрат на производство конкретного вида продукции на объем производства этой продукции в натуральном выражении определяется себестоимость производства единицы данного вида продукции. Затем умножением себестоимости производства единицы данного вида продукции на количество реализованной продукции в натуральном выражении и добавлением затрат по реализации этой продукции (коммерческих расходов на упаковку, хранение, транспортировку, погрузку и разгрузку, рекламу) определяется искомая себестоимость реализованной продукции. В случае если были понесены общие затраты по реализации нескольких видов продукции, разделение этих затрат по видам продукции можно осуществить путем распределения суммы затрат пропорционально стоимости каждого из реализованных продуктов в общем объеме реализации.
В графе 8 указываются запасы продукции на складах на конец года (выращенной или произведенной в хозяйстве с учетом проибретенной продукции).
5. В разделе 3 отражаются все затраты средств и труда на возделывание и выращивание отдельных видов сельскохозяйственных культур в соответствии с СКПСХ, включая услуги сторонних организаций, связанные с производством продукции за отчетный период.
Индивидуальные предприниматели, включая крестьянские или фермерские хозяйства, с основным и вторичным видами экономической деятельности по кодам ОКЭД 01.1, 01.2, 01.3, 01.4, 01.5 заполняют только итоговые строки 01.1, 01.2 и 01.3.
В случае если были понесены общие затраты на производство нескольких видов продукции, затраты на производство отдельных видов продукции определяются путем пропорционального их распределения по удельному весу в общем объеме реализации в стоимостном выражении.
В графе 2 отражается стоимость семян и посадочного материала собственного производства и покупных, используемых на посев (посадку) соответствующих сельскохозяйственных культур и насаждений в отчетном году, кроме молодых многолетних насаждений, закладка которых производится за счет капитальных вложений. При этом стоимость семян и посадочного материала собственного производства оценивается по себестоимости, покупных – по ценам приобретения.
В графе 3 отражается стоимость вносимых в почву под отдельные сельскохозяйственные культуры в отчетном году минеральных удобрений, производимых промышленностью, а также органических удобрений: навоза, торфа, компоста.
В графе 4 отражается стоимость нефтепродуктов, израсходованных за отчетный год для производства конкретного вида продукции растениеводства.
В графе 5 отражается стоимость энергии, израсходованной за отчетный год для производства конкретного вида продукции растениеводства. При этом покупная энергия оценивается по ценам приобретения, энергия собственного производства – по себестоимости.
В графе 6 отражается плата за воду, забираемую из водохозяйственных систем и израсходованную на нужды растениеводства для производства конкретного вида продукции.
В графе 7 отражается стоимость запасных частей и материалов для ремонта основных средств, инвентаря, приборов, инструментов и других средств труда, не относимых к основным средствам.
В графе 8 указывается оплата стоимости работ и услуг производственного характера, выполненных сторонними субъектами: выполнение отдельных операций по изготовлению продукции, обработке сырья и материалов, контроля за соблюдением установленных технологических процессов, работы в полеводстве, овощеводстве открытого грунта, в защищенном грунте, по защите растений от болезней и вредителей, подготовке и внесению удобрений, погрузке, разгрузке и транспортировке продукции растениеводства, работы в садоводстве, виноградарстве и на плантациях других многолетних насаждений, работы агромелиоративные и другие.
В графе 9 отражаются расходы на оплату труда, это расходы, включающие любые начисления работникам в денежной и (или) натуральной формах, стимулирующие начисления и надбавки, компенсационные начисления, связанные с режимом работы или условиями труда, премии и единовременные поощрительные начисления, расходы, связанные с содержанием этих работников, предусмотренные нормами законодательства, трудовыми договорами (контрактами) и (или) коллективными договорами.
В графе 10 отражаются все остальные затраты, понесенные предприятием при производстве продукции, которые не вошли в предыдущие статьи затрат. К ним относятся: на содержание основных средств, а именно затраты на обслуживание, эксплуатацию, ремонт и общая сумма начисленной амортизации основных средств, рассчитанной исходя из их первоначальной стоимости и нормативного срока службы. Затраты на средства защиты растений (пестициды, гербициды, протравливатели и другие), затраты по подготовке семян к посеву (протравливание и другие), погрузке и транспортировке семян к месту сева, затраты по страхованию посевов, налоги, включая налоги на землю, сборыи отчисления в специальные внебюджетные фонды, вознаграждения за изобретения и рациональные предложения, и другие.
В графе 11 отражаются фактические затраты на посев культур, погибших в отчетном году.
6. В разделе 4 указывается информация по затратам на незавершенное производство в растениеводстве.
По строке 1 в площадь чистых паров включаются:
черные пары, то есть чистые пары, поднятые осенью прошлого года под посевы озимых текущего года;
кулисные чистые пары, на которых произведен посев высокостебельных культур с целью задержания зимой снега на полях и борьбы с эрозией почв; сидеральные пары, на которых произведен посев бобовых культур на зеленое удобрение;
ранние пары, то есть чистые пары, обработка которых начинается весной в год парования.
Не включаются в площадь чистых паров: занятые пары (кроме сидеральных), перепашка паров, черные пары, поднятые осенью прошлого года, но фактически использованные под посев яровых культур текущего года.
В площадь чистых паров не включаются площади, вспаханные на вновь осваиваемых в текущем году залежных землях.
В строке 2 указывается площадь, обработанная по различным технологиям основной обработки почвы (вспашка, дискование тяжелыми дисковыми боронами, безотвальная и плоскорезная обработка, фрезерование) осенью после сбора урожая и предназначенная для посева сельскохозяйственных культур весной будущего года.
Площадь, подготовленная на зябь, на которой произведен подзимний посев яровых культур, из общей обработанной площади на зябь не исключается.
Перепашка картофельного поля с целью подборки оставшихся клубней включается в площадь зяби.
Не включаются в площадь зяби:
площадь вновь распаханных в текущем году залежных земель;
пары, поднятые весной и летом текущего года, оставленные под посев яровых культур в будущем году;
черные пары, поднятые осенью под урожай будущих лет;
взлущенная стерня, если на этой площади не произведена последующая основная обработка почвы;
площади посевов сахарной свеклы после уборки свеклоподъемниками и свеклокомбайнами.
7. В разделе 5 отражаются все затраты средств и труда на производство, выращиваниеи содержание отдельных видов продукции животноводства в соответствии с СКПСХ, включая услуги сторонних организаций, за отчетный период.
Индивидуальные предприниматели, включая крестьянские или фермерские хозяйства, с основным и вторичным видами экономической деятельности по кодам ОКЭД 01.1, 01.2, 01.3, 01.4, 01.5 заполняют только итоговую строку 01.4.
В случае если были понесены общие затраты на производство нескольких видов продукции, затраты на производство отдельных видов продукции определяются путем пропорционального их распределения по удельному весу в общем объеме реализации в стоимостном выражении.
В графе 2 отражается стоимость всех видов кормов, скормленных скоту и птице за отчетный год. При этом стоимость этой продукции собственного производства оценивается по себестоимости, покупной – по ценам приобретения.
По остальным графам, аналогично разделу 3, указываются затраты отдельных видов продукции животноводства.
В графе 8 отражаются все остальные затраты, понесенные предприятием при производстве продукции, которые не вошли в предыдущие статьи затрат. К ним относятся: на содержание основных средств, а именно затраты на обслуживание, эксплуатацию, ремонт и общая сумма начисленной амортизации основных средств, рассчитанной исходя из их первоначальной стоимости и нормативного срока службы, оплата стоимости работ и услуг производственного характера, выполненных сторонними субъектами: выполнение отдельных операций по изготовлению продукции, обработке сырья и материалов, контроля за соблюдением установленных технологических процессов, работы по уходу за скотом, подготовке кормов к скармливанию, поению животных, транспортировке продукции животноводства, искусственному осеменению животных, подготовке к забою скота, очистке помещений для содержания животных и другие, затраты на средства животных (стоимость используемых биопрепаратов, медикаментов и дезинфицирующих средств и расходы, связанные с их использованием в животноводстве), затраты на работы по техническому обслуживанию животноводства, искусственному осеменению животных собственными силами, затраты по страхованию, налоги, включая налоги на землю, сборы и отчисления в специальные внебюджетные фонды, вознаграждения за изобретения и рациональные предложения, и другие.
Затраты на покупку рабочего и продуктивного скота в данной статистической форме не включаются, так как эти затраты являются капитальными вложениями на приобретение основных фондов сельскохозяйственного назначения.
8. Раздел 6 заполняется только юридическими лицами и (или) их структурными и обособленными подразделениями с основным видом экономической деятельности по кодам ОКЭД 01.1, 01.2, 01.3, 01.4, 01.5. В данном разделе указывается информация об объемах производства в других видах деятельности, помимо деятельности в растениеводстве, животноводстве, оказании сельскохозяйственных услуг, охотничьем, лесном и рыбном хозяйстве.
9. При отсутствии деятельности в отчетный период респондент не позднее даты окончания самого раннего из сроков представления статистических форм за данный отчетный период, указанных в утвержденном Графике представления респондентами первичных статистических данных по общегосударственным статистическим наблюдениям на соответствующий год, представляет Уведомление об отсутствии деятельности в порядке, установленном Правилами представления респондентами первичных статистических данных, утвержденных приказом Председателя Агентства Республики Казахстан по статистике от 9 июля 2010 года № 173 (зарегистрирован в Реестре государственной регистрации нормативных правовых актов № 6459).
10. Представление данной статистической формы осуществляется на бумажном носителе или в электронном виде. Заполнение статистической формы в электронном виде осуществляется посредством использования информационной системы «Сбор данных в режиме онлайн», размещенной на интернет-ресурсе Бюро национальной статистики Агентства по стратегическому планированию и реформам Республики Казахстан (https://cabinet.stat.gov.kz/).
11. Арифметико-логический контроль:
1) Раздел 2:
если графа 3 > 0, то графа 6 > 0 и графа 7 > 0, для каждой строки;
если графа 6 > 0, то графа 3 > 0 и графа 7 > 0, для каждой строки;
если графа 3 > 0, то графа 2 >0, для каждой строки;
2) Раздел 3:
графа 1 = сумме граф 2-10;
графа 11 = сумме граф 2-10;
если графа 3 раздела 2 > 0, то графы раздела 3 > 0, для каждой строки.
3) Раздел 4:
если графа 1 > 0, то графа 2 > 0, также графа 2 > 0, то графа 1 > 0, для каждой строки;
4) Раздел 5:
если графа 3 раздела 2 > 0, то графы раздела 5 > 0, для каждой строки.
Примечание ИЗПИ!
Приложение 20 предусматривается в редакции приказа Руководителя Бюро национальной статистики Агентства по стратегическому планированию и реформам РК от 05.06.2025 № 13 (вводится в действие с 01.01.2026).
| Приложение 20 к приказу Председателя Комитета по статистике Министерства национальной экономики Республики Казахстан от 10 февраля 2020 года № 21 |
Сноска. Приложение 20 — в редакции совместного приказа Руководителя Бюро национальной статистики Агентства по стратегическому планированию и реформам РК от 16.09.2022 № 24 (вводится в действие с 01.01.2023).
|
|
Мемлекеттік статистика органдары құпиялылығына кепілдік береді |
Қазақстан Республикасы Ұлттық экономика министрлігінің Статистика комитеті төрағасының 2020 жылғы 10 ақпандағы № 21 бұйрығына 20-қосымша |
|||||||||
|
Ауыл шаруашылығы дақылдары түсімін жинау туралы |
|||||||||||
|
Индексі |
29-сх |
жылына бір рет |
|
||||||||
|
Экономикалық қызмет түрлері жалпы жіктеуішінің (бұдан әрі — ЭҚЖЖ) 01.1, 01.2, 01.3, 01.5-кодтары бойынша экономикалық қызметтің негізгі немесе қосалқы түрлерімен заңды тұлғалар және (немесе) олардың құрылымдық және оқшауланған бөлімшелері; ЭҚЖЖ 01.1, 01.2, 01.3, 01.5 кодтары бойынша экономикалық қызметтің негізгі немесе қосалқы түрлерімен, іріктемеге іліккен, шаруа немесе фермер қожалықтарын қоса алғанда дара кәсіпкерлер ұсынады |
|||||||||||
|
Ұсыну мерзімі – есепті кезеңнің 2 қарашасына (қоса алғанда) дейін |
|||||||||||
|
БСН / ЖСН коды |
|
||||||||||
|
1. Ауыл шаруашылығы дақылдарын өсір усаласындағы қызметті нақты жүзеге асыратын аумақты облыс, қала, аудан көрсетіңіз |
|
||||||||||
|
|
|||||||||||
|
|
|||||||||||
|
1.2. Негізгі қызмет түрінің ЭҚЖЖ коды |
|
||||||||||
2. Маусымдық дақылдардың түсімін жинау туралы ақпаратты көрсетіңіз
Укажите информацию о сборе урожая сезонных культур
|
АШӨСЖ1 сәйкес ауыл шаруашылығы дақылдарының атауы |
АШӨСЖ коды |
Шықпай қалған жаздық дақылдардың егіс алқабы, гектармен |
Ауыл шаруашылық дақылдарының нақтыланған егіс алқабы, гектармен |
Жеке ауыл шаруашылық жиналған алқабы, гектармен |
Жеке ауыл шаруашылық дақылдарының жалпы түсімі, центнермен |
||||||
|
алғашқы кіріске алынған салмақта |
өңдеуден кейінгі салмақта |
||||||||||
|
барлығы |
одан суармалы |
барлығы |
одан суармалы |
барлығы |
одан суармалы |
барлығы |
одан суармалы |
барлығы |
одан суармалы |
||
|
А |
Б |
1 |
2 |
3 |
4 |
5 |
6 |
7 |
8 |
9 |
10 |
Ескертпе:
Примечание:
1
Мұнда және бұдан әрі АШӨСЖ – Қазақстан Республикасы Стратегиялық жоспарлау және реформалар агенттігі Ұлттық статистика бюросының интернет-ресурсында «Жіктеуіштер» бөлімінде орналасқан «Ауыл, орман және балық шаруашылығы өнімдерінің (көрсетілетін қызметтердің) анықтамалығы»
1Здесь и далее СКПСХ – «Справочник продукции (услуг) сельского, лесного и рыбного хозяйства», размещенный на интернет-ресурсе Бюро национальной статистики Агентства по стратегическому планированию и реформам Республики Казахстан в разделе «Классификаторы»
|
АШӨСЖ1 сәйкес ауыл шаруашылығы дақылдарының атауы |
АШӨСЖ коды |
Шықпай қалған жаздық дақылдардың егіс алқабы, гектармен |
Ауыл шаруашылық дақылдарының нақтыланған егіс алқабы, гектармен |
Жеке ауыл шаруашылық жиналған алқабы, гектармен |
Жеке ауыл шаруашылық дақылдарының жалпы түсімі, центнермен |
||||||
|
барлығы |
одан суармалы |
барлығы |
одан суармалы |
барлығы |
одан суармалы |
алғашқы кіріске алынған салмақта |
өңдеуден кейінгі салмақта |
||||
|
барлығы |
одан суармалы |
барлығы |
одан суармалы |
||||||||
|
А |
Б |
1 |
2 |
3 |
4 |
5 |
6 |
7 |
8 |
9 |
10 |
2.1 2-бөлімнен ашық топырақтағы ерте пісетін ауыл шаруашылығы дақылдарын жалпы түсімін көрсетіңіз
Укажите из раздела 2 валовой сбор ранних сельскохозяйственных культур в открытом грунте
|
АШӨСЖ1 сәйкес ауыл шаруашылығы дақылдарының атауы |
АШӨСЖ коды |
Ерте пісетін ауыл шаруашылық дақылдарының жалпы түсімі, килограммен |
||||||
|
қаңтар |
ақпан |
наурыз |
сәуір |
мамыр |
маусым |
шілде |
||
|
А |
Б |
1 |
2 |
3 |
4 |
5 |
6 |
7 |
2.2 Ашық топырақтағы кесілген гүлдерді және өсімдік шаруашылығы өнімдерінің жекелеген түрлерін жинау туралы ақпаратты көрсетіңіз
Укажите информацию о сборе срезанных цветов и отдельных видов продукции растениеводства открытого грунта
|
Гүлдердің атауы |
АШӨСЖ коды |
Барлығы |
|
А |
Б |
1 |
|
Гүлдерді жалпы жинау, мың данамен |
||
|
Раушан гүлдер |
01.19.21.110 |
|
|
Қалампыр гүлдер |
01.19.21.120 |
|
|
Бақыт гүлдер |
01.19.21.130 |
|
|
Өзге де гүлдер |
01.19.21.190 |
|
|
Өсімдік шаруашылығы өнімдерінің жекелеген түрлерін өсіру, мың данамен |
||
|
Кесілген рождестволық ағаштар |
01.29.20.000 |
|
|
Гүлдердің көшеттері |
01.30.10.210 |
|
|
Көкөністердің көшеттері |
01.30.10.220 |
|
|
Жидек дақылдарының көшеттері |
01.30.10.230 |
|
|
Саңырау құлақтыжер (мицелий) |
01.30.10.400 |
|
|
Жемісті және декоративтік ағаштар мен бұталардың екпе көшеттері |
01.30.10.500 |
|
|
Жемісті және декоративтік ағаштар мен бұталардың тікпе көшеттері |
01.30.10.600 |
|
3. Көпжылдық дақылдардың түсімін жинау туралы ақпаратты көрсетіңіз
Укажите информацию о сборе урожая многолетних культур
|
АШӨСЖ1сәйкес екпелер атауы |
АШӨСЖ коды |
Көпжылдық екпелер алқабы, гектармен |
Жеміс салу жасындағы көпжылдық екпелер алқабы, гектармен |
Жеміс салу жасындағы көпжылдық екпелер алқабынан жалпы түсімі, центнермен |
|||
|
барлығы |
одан суармалы жерлер |
барлығы |
одан суармалы жерлер |
барлығы |
одан суармалы жерлерден |
||
|
А |
Б |
1 |
2 |
3 |
4 |
5 |
6 |
4. Қорғалған топырақтағы жеке ауыл шаруашылығы дақылдарының түсімін жинау туралы ақпаратты көрсетіңіз
Укажите информацию о сборе урожая отдельных сельскохозяйственных культур в защищенном грунте
|
АШӨСЖ1 сәйкес ауыл шаруашылығы дақылдарының атауы |
АШӨСЖ коды |
Жылыжайдың пайдаланылатын алқабы, шаршы метрмен |
Жалпы түсім, центнермен |
|
А |
Б |
1 |
2 |
4.1 Қорғалғантопырақта өсірілген гүлдерді жинау туралы ақпаратты көрсетіңіз
Укажите информацию о сборе цветов защищенного грунта
|
Гүлдердің атауы |
АШӨСЖ коды |
Жылыжайлардың пайдаланылатын алқабы, шаршы метрмен |
Жалпы түсім, мың данамен |
|
А |
Б |
1 |
2 |
|
Кесілген раушан гүлдер |
01.19.21.110 |
||
|
Кесілген қалампыр гүлдер |
01.19.21.120 |
||
|
Кесілген бақыт гүлдер |
01.19.21.130 |
||
|
Өзге де кесілген гүлдер |
01.19.21.190 |
4.2 Қорғалған топырақтағы өсімдік шаруашылығы өнімдерінің жекелеген түрлерін өсіру туралы ақпаратты көрсетіңіз
Укажите информацию о выращивании отдельных видов продукции растениеводства защищенного грунта
|
Атауы |
АШӨСЖ коды |
Жылыжайлардың пайдаланылатын алаңы, шаршы метрмен |
Өсірілген, мың данамен |
|
А |
Б |
1 |
2 |
|
Кесілген рождестволық ағаштар |
01.29.20.000 |
||
|
Гүлдердің көшеттері |
01.30.10.210 |
||
|
Көкөністердің көшеттері |
01.30.10.220 |
||
|
Жидек дақылдарының көшеттері |
01.30.10.230 |
||
|
Саңырау құлақты жер (мицелий) |
01.30.10.400 |
||
|
Жемісті және декоративтік ағаштар мен бұталардың екпе көшеттері |
01.30.10.500 |
||
|
Жемісті және декоративтік ағаштар мен бұталардың тікпе көшеттері |
01.30.10.600 |
5. Органикалық өсімдік шаруашылығының өндірілген өнімі туралы ақпаратты көрсетіңіз
Укажите информацию о производстве продукции органического растениеводства
|
АШӨСЖ1 сәйкес ауыл шаруашылығы дақылдарының атауы |
АШӨСЖ коды |
Органикалық өсімдік шаруашылығының өнімінің нақтыланған егістік алқабы, гектармен |
Органикалық өсімдік шаруашылығының өнімінің жиналғаналқап, гектармен |
Органикалық өсімдік шаруашылығының өнімін жалпы түсімі, центнермен |
|
А |
Б |
1 |
2 |
3 |
6. Тыңайтқыштарды енгізу мен пайдалану туралы ақпаратты көрсетіңіз
Укажите информацию о внесении и использовании удобрений
|
АШӨСЖ1сәйкес ауыл шаруашылығы дақылдарының атауы |
АШӨСЖ коды |
Минералдық тыңайтқыштарды енгізу, килограммен |
|||||||||||
|
азоттық |
фосфорлық |
калийлік |
|||||||||||
|
қоректік заттардың 100%-ына есептегенде |
одан |
физика лық салмақта |
одан |
қоректік заттардың 100%-ына есептегенде |
одан |
физика лық салмақта |
одан |
қоректік заттардың 100%-ына есептеген де |
одан |
физика лық салмақта |
одан |
||
|
суар малы |
суар малы |
суармалы |
суар малы |
суар малы |
|
||||||||
|
А |
Б |
1 |
2 |
3 |
4 |
5 |
6 |
7 |
8 |
9 |
10 |
11 |
12 |
жалғасы продолжение
|
АШӨСЖ1сәйкес ауыл шаруашылығы дақылдарының атауы |
АШӨСЖ коды |
Минералдық тыңайтқыштарды енгізу, килограммен |
Органикалық тыңайтқыштарды енгізу, тоннамен |
||||
|
микротыңайтқыш |
|||||||
|
қоректік заттардың 100%-ына есептегенде |
одан |
физикалық салмақта |
одан |
барлығы |
одансуармалы |
||
|
суармалы |
суармалы |
||||||
|
А |
Б |
13 |
14 |
15 |
16 |
17 |
18 |
7. Ауыл шаруашылығы дақылдарының тыңайтылған алқабы туралы ақпаратты көрсетіңіз
Укажите информацию об удобренной площади сельскохозяйственных культур
7.1 Ашық топырақтағы ауыл шаруашылығы дақылдарының тыңайтылған алқабы туралы ақпаратты көрсетіңіз, гектармен
Укажите информацию об удобренной площади сельскохозяйственных культур открытого грунта, в гектарах
|
АШӨСЖ1 сәйкес ауыл шаруашылығы дақылдарының атауы |
АШӨСЖ бойынша коды |
Минералдық тыңайтқыштармен тыңайтылған алқап |
Органикалық тыңайтқыштармен тыңайтылған алқап |
||
|
барлығы |
одан |
барлығы |
одан |
||
|
суармалы |
суармалы |
||||
|
А |
Б |
1 |
2 |
3 |
4 |
7.2. Қорғалған топырақтағы ауыл шаруашылығы дақылдарының тыңайтылған алқабытуралы ақпаратты көрсетіңіз, шаршы метрмен
Укажите информацию об удобренной площади сельскохозяйственных культур защищенного грунта, в квадратных метрах
|
АШӨСЖ1 сәйкес ауыл шаруашылығы дақылдарының атауы |
АШӨСЖ бойынша коды |
Минералдық тыңайтқыштармен тыңайтылған алқап |
Органикалық тыңайтқыштармен тыңайтылған алқап |
|
А |
Б |
1 |
2 |
8. Дәнді дақылдарды өсіргенде топырақ ресурсын сақтау технологиясын қолдану туралы мәліметті көрсетіңіз, гектарменУкажите сведения о применении почво-, ресурсосберегающих технологий при возделывании зерновых культур, в гектарах |
|
8.1. Сабанды ұсақтау және шашу арқылы жиналған дәнді дақылдар алқабыУбранная площадь зерновых культур с измельчением и разбрасыванием соломы |
|
8.2. Себу кешенімен, сондай-ақ тікелей сепкіштермен себілген дәнді дақылдар алқабыПлощадь зерновых культур, засеянная посевными комплексами, а также стерневыми сеялками |
|
8.3. Құрамында глифосаты бар гербицидтермен өңделген дәнді дақылдар алқабыПлощадь зерновых культур, обработанная глифосатсодержащими гербицидами |
|
9. Статистикалық нысанды толтыруға жұмсалған уақытты көрсетіңіз, сағатпен (қажеттiсiн
қоршаңыз)
Укажите время, затраченное на заполнение статистической формы, в часах (нужное обвести)
|
1 сағатқа дейiн |
1-2 |
2-4 |
4-8 |
8-40 |
40 сағаттан артық |
|
|
до 1 часа |
более 40 часов |
Атауы Мекенжайы (респонденттің)
Наименование ________________________________________________________
Адрес (респондента) ___________________________________________________
Телефоны (респонденттің)
Телефон(респондента) __________________________________________________
______________________________________________________________________
стационарлық ұялы
стационарный мобильный
Электрондық пошта мекенжайы (респонденттің)
Адрес электронной почты (респондента)
_______________________________________________________________________
Орындаушы
Исполнитель
____________________________________________ ___________________________
тегі, аты және әкесінің аты (бар болған жағдайда) қолы, телефоны (орындаушының)
фамилия, имя и отчество (при его наличии) подпись, телефон (исполнителя)
Бас бухгалтер немесе оның міндетін атқарушы тұлға
Главный бухгалтер или лицо, исполняющее его обязанности
______________________________________________ _________________________
тегі, аты және әкесінің аты (бар болған жағдайда) қолы
фамилия, имя и отчество (при его наличии) подпись
Басшы немесе оның міндетін атқарушы тұлға
Руководитель или лицо, исполняющее его обязанности
______________________________________________ ________________________
тегі, аты және әкесінің аты (бар болған жағдайда) қолы
фамилия, имя и отчество (при его наличии) подпись
Ескертпе:
Примечание:
Мемлекеттік статистиканың тиісті органдарына анық емес бастапқы статистикалық деректерді ұсыну және бастапқы статистикалық деректерді белгіленген мерзімде ұсынбау «Әкімшілік құқық бұзушылық туралы» Қазақстан Республикасы Кодексінің 497-бабында көзделген әкімшілік құқық бұзушылықтар болып табылады
Представление недостоверных и непредставление первичных статистических данных в соответствующие органы государственной статистики в установленный срок являются административными правонарушениями, предусмотренными статьей 497 Кодекса Республики Казахстан «Об административных правонарушениях»
| Приложение 1 к статистической форме «О сборе урожая сельскохозяйственных культур» (индекс 29-сх, периодичность один раз в год) |
Пределы допустимых значений по показателю
«Урожайность отдельных сельскохозяйственных культур»
|
Код СКПСХ¹ |
Наименование |
Ограничение, центнеров с гектара |
|
01.11.1 |
Пшеница |
до 50 |
|
01.11.2 |
Кукуруза (маис) |
до 60 |
|
01.11.31 |
Ячмень |
до 30 |
|
01.11.32 |
Рожь |
до 25 |
|
01.11.33 |
Овес |
до 25 |
|
01.11.41 |
Сорго |
до 50 |
|
01.11.42 |
Просо |
до 25 |
|
01.11.49.100 |
Гречиха |
до 20 |
|
01.11.49.200 |
Тритикале |
до 50 |
|
01.11.49.300 |
Смесь колосовых |
до 50 |
|
01.11.49.900 |
Культуры зерновые прочие |
до 50 |
|
01.11.6 |
Овощи бобовые зеленые |
до 35 |
|
01.11.7 |
Овощи бобовые сушеные |
до 35 |
|
01.11.81 |
Бобы соевые |
до 20 |
|
01.11.82 |
Орехи земляные |
до 20 |
|
01.11.84 |
Семена хлопка |
до 20 |
|
01.11.9 |
Семена масличные прочие |
до 20 |
|
01.12 |
Рис |
до 50 |
|
01.13.12 |
Капуста |
до 800 |
|
01.13.2 |
Дыни и арбузы |
до 250 |
|
01.13.31 |
Перцы |
до 500 |
|
01.13.32 |
Огурцы |
до 500 |
|
01.13.33 |
Баклажаны |
до 500 |
|
01.13.34 |
Помидоры |
до 500 |
|
01.13.41 |
Морковь и турнепс |
до 700 |
|
01.13.43 |
Лук |
до 350 |
|
01.13.49.300 |
Свекла столовая |
до 700 |
|
01.13.51 |
Картофель |
до 250 |
|
01.13.71 |
Сахарная свекла |
до 300 |
|
01.13.9 |
Овощи, не включенные в другие группировки |
до 350 |
|
01.15.10 |
Табак |
до 35 |
|
01.16.11 |
Хлопок |
до 35 |
|
01.19.10.300 |
Кукуруза на корм |
до 350 |
|
01.19.10.510 |
Травы естественных сенокосов на сено |
до 40 |
|
01.21 |
Виноград |
до 100 |
|
01.24 |
Плоды семечковые и косточковые |
до 250 |
|
01.25.1 |
Ягоды |
до 200 |
|
01.25.3 |
Орехи |
до 100 |
Примечание:
СКПСХ — Справочник продукции (услуг) сельского, лесного и рыбного хозяйства
| Приложение 2 к статистической форме «О сборе урожая сельскохозяйственных культур» (индекс 29-сх, периодичность один раз в год) |
Коэффициент влажности
|
Если % влажности провяленной травы, израсходованной на сенаж, составлял |
Количество провяленной травы надо умножить на следующий коэффициент при пересчете на траву с влажностью: |
|||
|
67 % |
70 % |
75 % |
80 % |
|
|
50 % |
1,52 |
1,67 |
2,0 |
2,5 |
|
55 % |
1,36 |
1,5 |
1,8 |
2,25 |
| Приложение 21 к приказу Председателя Комитета по статистике Министерства национальной экономики Республики Казахстан от 10 февраля 2020 года № 21 |
Инструкция по заполнению статистической формы общегосударственного статистического наблюдения
«О сборе урожая сельскохозяйственных культур»
(индекс 29-сх, периодичность один раз в год)
Сноска. Приложение 21 — в редакции совместного приказа Руководителя Бюро национальной статистики Агентства по стратегическому планированию и реформам РК от 16.09.2022 № 24 (вводится в действие с 01.01.2023).
1. Настоящая инструкция детализирует заполнение статистической формы общегосударственного статистического наблюдения «О сборе урожая сельскохозяйственных культур» (индекс 29-сх, периодичность один раз в год) (далее – статистическая форма).
2. В настоящей Инструкции используются следующие определения:
1) первоначально оприходованный вес – физическая масса, полученная при уборке урожая без ее доработки, с сорными и минеральными примесями (земля, частицы земли, стержни колосков и другие примеси), а также с избыточной влажностью;
2) посевная площадь – это площадь пашни, засеянная сельскохозяйственными культурами;
3) валовой сбор – продукция, произведенная (собранная) со всей площади посева различных сельскохозяйственных культур, сельскохозяйственных насаждений или других сельскохозяйственных угодий;
4) убранная площадь – фактическая площадь, с которой собран урожай сельскохозяйственных культур;
5) теплица – это специальное помещение, покрытое любым светопрозрачным материалом, предназначенное для круглогодичного выращивания тепличных растений и рассады; различаются теплицы зимние и весенние. Зимние теплицы включают в себя остекленные обогреваемые теплицы, используемые в течение круглого года, а также обогреваемые теплицы под пленкой, обеспечивающие выход продукции в зимний и ранее-весенний периоды. Весенние теплицы обогреваются естественным путем.
6) общая площадь теплиц – производственная площадь (используемая для культивации растений, места для прохода между ними), а также площадь подсобных, административно-бытовых, вспомогательных производственных помещений;
7) культуры многолетние – виноград, фрукты цитрусовые, плоды семечковые и косточковые, деревья плодовые, кустарники и орехи прочие, плоды маслосодержащие, специи, культуры ароматические и фармацевтические, культуры многолетние прочие;
8) культуры сезонные – культуры зерновые, бобовые, семена масличные, овощи и бахчевые, корнеплоды и клубнеплоды(картофель, сахарная свекла), табак, культуры волокнистые прядильные(хлопок, лен, конопля), культуры сезонные прочие (культуры кормовые, цветы);
9) органическое растениеводство – производство сельскохозяйственных культур, включая сбор диких растений, без использования синтетических удобрений, пестицидов и регуляторов роста растений, регуляторов и стимуляторов роста растений на синтетической основе.
10) вес после доработки (зачетный вес) – физическая масса, полученная после очистки и сушки урожая, то есть со скидкой на степень влажности и засоренности;
11) посевной комплекс – это комплекс, который одновременно проводит несколько агротехнических операций за один проход, таких как предварительная обработка почвы, ее выравнивание, посев, внесение удобрении и прикатывание;
12) орошаемые сельскохозяйственные угодья – земли, пригодные для сельскохозяйственного использования и полива, имеющие постоянную или временную оросительную сеть;
13) стерневая сеялка – это сеялка, оборудованная анкерными или долотовидными сошниками;
14) почво-, ресурсосберегающая технология – технология выращивания сельскохозяйственных культур в плодосменном севообороте, основанная на механической минимальной, сокращенной обработке почвы и технологии прямого посева (выращивании без механической обработки почвы).
3. Если сельскохозяйственная деятельность осуществляется на территории нескольких районов и (или) областей, респонденты представляют статистическую форму, выделяя информацию по каждой территории на отдельных бланках, значит данные отражаются по месту фактического осуществления сельскохозяйственной деятельности.
В случае если структурному подразделению делегированы полномочия по сдаче статистической формы юридическим лицом, данное структурное подразделение представляет статистическую форму по месту своего нахождения в территориальные подразделения статистики.
4. В статистической форме указывается уточненные данные о размерах посевных площадей, фактически убранная площадь (в гектарах), фактический сбор урожая (в центнерах) и площади погибших посевов яровых культур с выделением данных по орошаемым землям и отдельных культур, предусмотренных формой, согласно кодам Справочника продукции (услуг) сельского, лесного и рыбного хозяйства.
5. В разделе 1 указывается территория (область, город, район) фактического осуществления деятельности в области выращивания сельскохозяйственных культур, независимо от места регистрации.
6. В разделе 2 размеры уточненных посевных и уборочных площадей, сбора урожая указываются в целых числах с двумя десятичными знаками.
В графе 3 раздела 2 данные об уточненных посевных площадях отражаются с учетом фактических посевов поздних культур под урожай текущего года, (например, летних посадок картофеля), с учетом фактических размеров полностью погибших посевов озимых культур, а также с учетом хозяйственного использования посевов (на зерно, сено и так далее). При этом площади погибших (списанных) посевов подтверждаются актами.
В ее состав входят: озимые посевы прошлого года за вычетом зимней гибели, яровые, посеянные в текущем году на самостоятельной площади, включая пересев озимых и многолетние травы посева данного года (беспокровные), многолетние травы посева прошлых лет на площади, убираемой в текущем году (укосная площадь, сохранившаяся к весне).
Если на площади озимых культур, использованных на зеленый корм или силос в текущем году до окончания весеннего сева, были произведены посевы яровых культур, такие посевы яровых культур указываются по соответствующей яровой культуре как основные посевы и включаются в общую посевную площадь. Посевы озимых культур, использованные на зеленый корм или силос, являются промежуточными посевами и в общую посевную площадь не включаются, также не включаются в общую посевную площадь повторные (пожнивные), междурядные (уплотненные) посевы.
Погибшие в летний период зерновые и зернобобовые культуры (даже в том случае, если они были использованы на выпас, сено, зеленый корм и силос) из числа зерновых не исключаются и, следовательно, не переводятся в группу кормовых культур, а указываются по первоначальному назначению.
Если погибшие в летний период культуры были пересеяны другими культурами, указываются посевные площади тех культур, которыми произведен пересев, и сбор урожая этих культур.
Если посевы зерновых культур, произведенные на сено, зеленый корм или силос, фактически убирались на зерно, они указываются в группе зерновых культур по соответствующей культуре.
Если отдельные участки посевов (из числа погибших) весной предназначались на зерно, а фактически (в виде исключения) были убраны и использованы на сено, зеленый корм, силос и так далее, в статистической форме указываются в группе однолетних трав или посевов на силос, с обязательным объяснением причин перевода зерновых в кормовые культуры и его документальным подтверждением. Исключение составляют посевы некоторых культур, таких как рис, просо, гречиха, предназначенных только на зерно.
Посевы, произведенные в междурядьях садов, включаются в итог посевной площади хозяйства в размерах площади, фактически занятой такими посевами.
По графе 5 раздела 2 указывается фактически убранная площадь, на которой в отчетном году были произведены уборочные работы: по зерновым культурам, семенам масличных культур и трав – площадь, с которой произведен обмолот (включая уборку комбайнами), по остальным культурам – вся фактически убранная к отчетному сроку площадь, включая и ту площадь, с которой собран урожай, но еще полностью не учтен и не оприходован.
Если площадь уборки по каждой сельскохозяйственной культуре окажется меньше посевной площади (за счет летней гибели посевов или вследствие перевода посевов), хозяйства представляют подтверждение списания погибших посевов и объяснения причин правильности такого перевода.
Убранные площади повторных (пожнивных), междурядных (уплотненных) посевов суммируются с основными посевами соответствующей культуры и указываются в общей площади уборки.
Так как уборка сельскохозяйственных культур в основном заканчивается к 1 ноябрю и фактическое использование посевов уже известно, тщательно проверяется правильность данных о размере площади уборки и сборе урожая каждой культуры по их фактическому использованию.
Валовой сбор зерновых культур, подсолнечника, сахарной свеклы, хлопка и табака устанавливается в весе после доработки (зачетном весе), по остальным культурам – в первоначально оприходованном (бункерном) весе;
В графах 7, 9 раздела 2 по зерновым и бобовым культурам указывается все количество зерна, полученное от уборки комбайнами, от обмолота молотилками и вручную. Также учитывается сбор падалицы. Валовой сбор указывается со всех оборотов. Площадь указывается только с первого оборота.
Кукуруза учитывается по видам хозяйственного назначения:
1) кукуруза на зерно в полной спелости – в числе зерновых культур;
2) кукуруза в до молочно-восковой, молочно-восковой и восковой спелости на силос, на зеленый корм (початки и стебли) – в числе кормовых культур.
Сбор урожая кукурузы на зерно учитывается в стадии полной спелости и указывается вес початков кукурузы в пересчете на сухое зерно. Пересчет початков кукурузы в полной спелости на сухое зерно производится по фактическому выходу зерна из початков, определенному хлебоприемными пунктами. В связи с этим по зерну кукурузы, проданной хозяйством в початках, принимается зачетный вес зерна, определенный покупателем.
Початки кукурузы в полной спелости, оставленные в хозяйстве, переводятся в зерно по среднему проценту выхода зерна из початков проданной кукурузы. Этот средний процент устанавливается по данным реестров накладных на принятое зерно.
Средний процент выхода зерна початков исчисляется как отношение:
зачетный вес зерна –––––––––––––––––––––––– x 100%, физический вес початков
где, зачетный вес зерна равен фактическому весу зерна плюс или минус натуральная надбавка или скидка на степень влажности и засоренности, физический вес початков равен фактическому весу початков с учетом засоренности и влажности.
Посевы сорго на зерно, солома которого используется на веники, включаются в группу зерновых культур.
По картофелю учитывается весь сбор свежего картофеля, а также картофель, полученный в результате перепашки и боронования картофельных массивов после основной уборки.
По табаку учитывается вся оприходованная продукция урожая отчетного года – как проданная, так и оставшаяся или израсходованная в хозяйстве (в пересчете на зачетную массу). Учитываются все ломки (как основные, так и дополнительные).
Площадь уборки сахарной свеклы и ее сбор, в зависимости от использования, указывается либо как сахарная свекла по техническим культурам, либо как сахарная свекла на корм по кормовым корнеплодам.
По кукурузе в до молочно-восковой, молочно-восковой и восковой спелости стебли и початки на силос, и зеленый корм (вес зеленой массы) указываются общим итогом.
Фактический сбор зеленой массы стеблей и початков кукурузы, устанавливается путем взвешивания этой массы. Из общего количества указывается, в том числе продукция зеленой массы кукурузы на силос и на зеленый корм и сенаж. Урожай кукурузы, скормленной путем выпаса, в статистической форме не отражается.
По силосным культурам указываются площади всех культур на силос (кроме кукурузы) и сбор урожая зеленой массы, полученной только с этой площади. Засилосованная масса дикорастущих растений, листьев капусты, ботвы: картофеля, кормовых корнеплодов, сахарной свеклы и так далее, а также трав с естественных сенокосов в этот показатель не включается.
По однолетним и многолетним травам (подпокровные многолетние травы, многолетние беспокровные травы посева текущего года, сохранившиеся к концу сева яровых многолетние травы посева прошлых лет) в графе 5 раздела 2 указывается убранная площадь, использованная на сено, семена, зеленый корм и выпас, включая по беспокровным многолетним травам посевы осени прошлого года, а по однолетним – посевы озимых, использованных на зеленый корм, на которых после их уборки не производились посевы яровых культур.
По учету сена сеяных трав, естественных сенокосов и пастбищ, культурных пастбищ и улучшенных сенокосов в статистическую форму по графе 5 раздела 2 включается площадь, с которой оприходовано сено, включая сено, использованное на корм общественному скоту, выданное работникам, сданное и проданное, использованное на приготовление сенной муки.
Сбор урожая сеяных трав, скошенных на зеленый корм (включая зеленую массу, использованную на приготовление витаминно-травяной муки и сенажа), а по многолетним травам и скошенных на силос, указывается в статистической форме в весе зеленой массы. Если посевы однолетних и многолетних трав использованы на корм скоту путем выпаса, в таких случаях записывается только площадь, использованная на выпас, урожай зеленой массы сеяных трав, скормленной скоту путем выпаса, в статистической форме не указывается.
Многолетние травы, использованные на силос, в статистической форме по «культурам кормовым на силос (без кукурузы)» не указываются.
Если в сельскохозяйственном формировании имели место вторые и третьи укосы, в статистической форме по графе 5 раздела 2 указывается физическая убранная площадь трав, значит указывается площадь, на которой произведен только первый укос, а в сбор урожая включается вся продукция, полученная от всех укосов.
В тех случаях, когда один укос использовался на сено, а другой – на зеленый корм, в статистической форме фактически убранная площадь в графе 5 раздела 2 указывается два раза, один раз – как убранная на сено и второй раз – как убранная на зеленый корм.
Сумма убранных площадей однолетних и многолетних трав может не совпадать с посевной площадью этих трав за счет гибели посевов или двукратного использования одних и тех же площадей.
Так как на сенаж расходуется провяленная трава с влажностью 50 – 55%, она переводится на свежескошенную траву. Для перевода провяленной травы на свежескошенную используются примерные коэффициенты согласно приложению 1 к настоящей статистической форме.
Трава, израсходованная на силос или зеленую подкормку, указывается в физическом весе без какого-либо перевода.
По естественным сенокосам в убранную площадь по графе 5 раздела 2 включается также площадь, с которой производилось сенокошение на землях государственного земельного запаса и лесных организаций, а также на отведенных, на временное пользование землях других хозяйств.
По культурным пастбищам и улучшенным (коренного улучшения) сенокосам указывается убранная площадь и продукция с этой площади, собранная на сено и зеленый корм, сенаж, силос, травяную муку.
Отдельным показателем указывается сбор стеблей кукурузы, убранной в полной спелости.
По овощам учитывается продукция овощей только с открытого грунта, причем в статистической форме указывается также продукция и частичного сбора овощей до и после массовой уборки.
Площадь посева овощных сортов гороха (зеленого горошка) на семена, урожай с которого оставлен на семенные цели, должна учитываться не в числе зерновых культур, а в составе семенников овощных культур.
Площадь и валовой сбор маточников двухлетних овощных культур и семенников овощных культур, не включаются в площади и валовой сбор овощей и указываются отдельно. К семенникам однолетних овощей (огурцы, помидоры и так далее) относится площадь, урожай с которой полностью используется для получения семян овощей. При частичном (выборочном) использовании однолетних овощей на семена площадь и продукция их полностью указывается по соответствующей овощной культуре.
Цветы, срезанные свежие открытого грунта, указываются в тысячах штук.
В графах 7, 9 раздела 2 по всем культурам также включается урожай, выданный в виде натуроплаты за работы по его уборке.
Если хозяйство вывозит урожай на элеватор напрямую с поля, или после первичной подработки на току, в графе 9 раздела 2 отражается вес зерна, определенный на элеваторе.
В тех случаях, когда в хозяйстве к моменту составления данной статистической формы не все сельскохозяйственные культуры еще убраны, предполагаемый сбор урожая сельскохозяйственных культур и в первоначально оприходованном весе, и в весе после доработки определяется с оставшейся площади, подлежащей уборке, исходя из средней сложившейся урожайности. При этом учитываются условия уборки урожая текущего года, использовать данные о количестве продукции фактически полученной после 1 ноября в предыдущие годы с аналогичными условиями.
В случае, когда первичная подработка заканчивается после срока представления статистической формы, данные о валовом сборе в весе после доработки, рассчитываются на основе имеющихся данных о подработанных партиях.
7. В подразделе 2.1 указывается валовой сбор ранних сельскохозяйственных культур в открытом грунте с разбивкой по месяцам.
8. В графе 1 раздела 3 указывается площадь обособленных садов, ягодников и виноградников всех возрастов, а в графе 3 раздела 3 – в том числе площадь в плодоносящем возрасте, независимо от того, получали фактически с этих насаждений в текущем году урожай или нет.
Учитывается общая и плодоносящая площадь плодово-ягодных и виноградных насаждений, включая списанные (независимо от времени списания), но не раскорчеванные площади, в эти же графы включается фактическая площадь изреженных (независимо от степени изреженности) обособленных участков садов. В графу 3 раздела 3 включаются и площади насаждений, с которых в отчетном году была получена продукция, но к моменту составления статистической формы эти площади были раскорчеваны.
При наличии в хозяйстве на одном и том же обособленном участке насаждений разных породных групп (семечковых и косточковых) общая площадь насаждений распределяется по породным группам (семечковым и косточковым) путем перевода числа деревьев каждой породы на принятую норму посадки корней данной породы на 1 гектар. Если исчисленная таким путем площадь под отдельными группами плодовых насаждений не совпадает с фактической площадью обособленного участка, разница распределяется пропорционально исчисленным площадям под насаждениями породных групп.
При наличии в садах между плодовыми деревьями (в междурядьях) посадок ягодных насаждений (клубники, смородины, крыжовника и так далее) в графах 1 и 3 раздела 3 площадь ягодных насаждений складывается из обособленной площади и площади в междурядьях плодовых насаждений.
В графе 5 раздела 3 указывается сбор с насаждений, достигших плодоносящего возраста. По ягодникам указывается общий сбор урожая, как с обособленной площади ягодников, так и сбор с междурядных посадок.
Дикорастущие плодовые деревья и полученная с них продукция в статистическую форму не включается.
Выращенный и реализованный посадочный материал – саженцы плодовые семечковые и саженцы плодовые косточковые, саженцы ягодных культур и саженцы винограда указываются в тысячах штук.
9. В разделе 4 указывается площадь защищенного грунта, используемая под урожай текущего года, и весь сбор урожая со всех видов сооружений защищенного грунта. Площадь указывается только с первого оборота.
Защищенный грунт представляет собой специальные помещения или земельные участки с искусственным благоприятным для растений микроклиматом, используемые для выращивания овощей и других сельскохозяйственных растений во внесезонное время. Основное назначение защищенного грунта – производство овощей в осенне-зимнее и весеннее время; выращивание рассады овощных культур для открытого грунта. Защищенный грунт подразделяется на культивационные сооружения (теплицы, парники) и утепленный грунт.
Основное назначение парников –выращивание рассады для открытого грунта и ранних овощей, представляет собой малогабаритное неотапливаемое строение для защиты растений от воздействия неблагоприятных погодных условий.
К утепленному грунту и посевам под пленкой относятся утепленные гряды и простейшие пленочные укрытия на отдельных участках или в полевых севооборотах.
В подразделах 4, 4.1 и 4.2. указывается валовой сбор со всех сооружений защищенного грунта, кроме продукции, произведенной для внутреннего потребления.
Производство цветов и цветочной рассады, рассады овощей, культур ягодных и так далее указывается в тысячах штук.
По грибницам (мицелию) учитывают площадь, используемую для выращивания грибной продукции, и указывают валовой сбор.
10. В разделе 5 указывается органическая продукция, произведенная на участках земли, соответствующих требованиям фитосанитарных норм, предъявляемых к почвам. Органическое растениеводство осуществляется без применения минеральных удобрений, синтетических регуляторов роста, синтетических красителей, материалов на основе полихлорида, синтетических гербицидов, фунгицидов, инсектицидов и пестицидов. Для производства органической продукции используются органически произведенные семена и рассадные материалы.
При заполнении данного раздела учитывается, что информация по данному разделу не превышает соответствующие данные по культурам, указанным в разделах 2, 3, 4.
11. В разделе 6 указывается количество минеральных и органических удобрений, внесенных под урожай текущего года, независимо от времени внесения удобрений, под посевы сельскохозяйственных культур как открытого, так и защищенного грунта, а также под многолетние насаждения (сады, ягодники, виноградники, шелковицу), естественные сенокосы и пастбища. Количество удобрений, внесенных в текущем году под урожай будущего года, в статистическую форму не включается.
В статистической форме указывается количество минеральных удобрений в пересчете на 100% содержание питательных веществ, а также в физическом весе.
Данные о проценте содержания питательного вещества берутся из сопроводительных документов поставщиков удобрений.
Для расчета респондентом количества внесенных удобрений в пересчете на 100% содержание питательных элементов по каждому виду удобрений выписывается название, количество в физическом весе, процент содержания питательного вещества и количество удобрения в пересчете на 100% питательного вещества, исчисляемое путем умножения количества в физическом весе на процент содержания питательного вещества и деления на 100 (например, в сульфате аммония содержится 21% азота, внесено этого удобрения 200 тонн; в пересчете на 100% питательного вещества это составит: 200* 21/100 = 42 тонны).
По сложным удобрениям (например, нитрофоска) во избежание двойного счета удобрений в физическом весе, количество удобрений записывают только по фосфорным удобрениям.
Каждое удобрение в статистической форме записывается по соответствующей группе – азотные, фосфорные, калийные, микроудобрения. Количество минеральных удобрений внесенных под урожай текущего года указывается, как основное удобрение, так и в виде подкормки.
12. В разделах 7.1 и 7.2 указывается площадь, фактически удобренная минеральными и органическими удобрениями.
Фактически удобренная площадь получается путем вычитания из общей посевной площади (по сельскохозяйственным культурам защищенного грунта – используемой площади теплиц) той или иной культуры тех участков, на которые вовсе не вносились удобрения под урожай текущего года.
Удобренная площадь, как по общему итогу, так и по каждой культуре не превышает общую посевную площадь (по сельскохозяйственным культурам защищенного грунта – используемую площадь теплиц).
13. В подразделе 8.1 раздела 8 указываются данные об убранных в отчетном году площадях зерновых культур с измельчением и разбрасыванием соломы непосредственно в момент уборки урожая комбайнами, оборудованными измельчителями соломы.
В подразделе 8.2 раздела 8 указываются данные о посевных площадях зерновых культур, посеянных в отчетном году посевными комплексами, а также стерневыми сеялками, оборудованными анкерными и долотовидными сошниками.
В подразделе 8.3 раздела 8 заносятся данные о посевных площадях зерновых культур обработанных в отчетном году глифосатсодержащими гербицидами сплошного действия против сорняков.
При заполнении раздела 8 учитывается, что информация по данному разделу не превышает соответствующие данные по зерновым культурам, указанным в разделе 2.
14. При отсутствии деятельности в отчетный период респондент не позднее даты окончания самого раннего из сроков представления статистических форм за данный отчетный период, указанных в утвержденном Графике представления респондентами первичных статистических данных по общегосударственным статистическим наблюдениям на соответствующий год, представляет Уведомление об отсутствии деятельности в порядке, установленном Правилами представления респондентами первичных статистических данных, утвержденных приказом Председателя Агентства Республики Казахстан по статистике от 9 июля 2010 года № 173 (зарегистрирован в Реестре государственной регистрации нормативных правовых актов № 6459).
15. Представление данной статистической формы осуществляется в электронном виде или на бумажном носителе. Заполнение статистической формы в электронном виде осуществляется через «Кабинет респондента» (https://cabinet.stat.gov.kz/), размещенном на интернет-ресурсе Бюро национальной статистики Агентства по стратегическому планированию и реформам Республики Казахстан, в режиме онлайн.
16. Арифметико-логический контроль:
1) Раздел 2:
графа 1 ≤ графе 3, для каждой строки;
графа 1 ≥ графе 2, для каждой строки;
графа 2 ≤ графе 4, для каждой строки;
графа 3 ≥ графе 5, для каждой строки;
графа 3 ≥ графе 4, для каждой строки;
графа 4 ≥ графе 6, для каждой строки;
графа 5 ≥ графе 6, для каждой строки;
графа 7 ≥ графе 9, для каждой строки;
графа 7 ≥ графе 8, для каждой строки;
графа 8 ≥ графе 10, для каждой строки;
графа 9 ≥ графе 10, для каждой строки;
если графа 7 ≠ 0, то и графа 5 ≠ 0, для каждой строки;
если графа 8 ≠ 0, то и графа 6 ≠ 0, для каждой строки;
2) Раздел 3:
графа 1 ≥ графе 3, для каждой строки;
графа 1 ≥ графе 2, для каждой строки;
графа 2 ≥ графе 4, для каждой строки;
графа 3 ≥ графе 4, для каждой строки;
графа 5 ≥ графе 7, для каждой строки;
графа 5 ≥ графе 6, для каждой строки;
графа 6 ≥ графе 8, для каждой строки;
графа 7 ≥ графе 8, для каждой строки;
если графа 5 ≠ 0, то и графа 1 ≠ 0, для каждой строки;
если графа 6 ≠ 0, то и графа 2 ≠ 0, для каждой строки;
если графа 7 ≠ 0, то и графа 3 ≠ 0, для каждой строки;
если графа 8 ≠ 0, то и графа 4 ≠ 0, для каждой строки;
3) Раздел 4:
если графа 2 ≠ 0, то и графа 1 ≠ 0, для каждой строки;
если графа 1 ≠ 0, то и графа 2 ≠ 0, для каждой строки;
4) Подраздел 4.1:
если графа 2 ≠ 0, то и графа 1 ≠ 0, для каждой строки;
если графа 1 ≠ 0, то и графа 2 ≠ 0, для каждой строки;
5) Раздел 6:
графа 1 ≥ графе 2, для каждой строки;
графа 3 ≥ графе 4, для каждой строки;
графа 5 ≥ графе 6, для каждой строки;
графа 7 ≥ графе 8, для каждой строки;
графа 9 ≥ графе 10, для каждой строки;
графа 11 ≥ графе 12, для каждой строки;
графа 13 ≥ графе 14, для каждой строки;
графа 15 ≥ графе 16, для каждой строки;
графа 17 ≥ графе 18, для каждой строки;
6) Раздел 7:
графа 1 ≥ графе 2, для каждой строки;
графа 3 ≥ графе 4, для каждой строки;
7) Контроль между разделами:
S граф 1-7 подраздела 2.1 ≤ ∑ граф 7 и 8 раздела 2 для каждой строки.
17. Дополнительный контроль (приведенный контроль является допустимым и предусмотрен с целью снижения вероятности появления случайных ошибок регистрации, возникающих из-за опечаток и невнимательности респондентов): при заполнении разделов 2 и 3 учитывается, что урожайность отдельных сельскохозяйственных культур, не выходит за пределы, указанные в приложении «Пределы допустимых значений по показателю «Урожайность отдельных сельскохозяйственных культур» к данной статистической форме.
| Приложение 22 к приказу Председателя Комитета по статистике Министерства национальной экономики Республики Казахстан от 10 февраля 2020 года № 21 |
Сноска. Приложение 22 — в редакции совместного приказа Руководителя Бюро национальной статистики Агентства по стратегическому планированию и реформам РК от 16.09.2022 № 24 (вводится в действие с 01.01.2023).
|
|
Конфиденциальность гарантируется органами государственной статистики |
|
О сборе урожая сельскохозяйственных культур в хозяйствах населения |
|
В наблюдении принимают участие попавшие в выборку хозяйства населения,
имеющие посевные площади, сенокосы и пастбища, многолетние насаждения и теплицы
Срок представления – до 2 ноября (включительно) отчетного периода
Время начало опроса: час
минут
Раздел 1: Вопросы по идентификации респондента
1. Запишите следующую информацию о респонденте
1.1. ИИН респондента
1.2. Наименование/ФИО респондента
_________________________________________________________________
1.3. Адрес респондента
_________________________________________________________________
1.4. Номер телефона (стационарный/мобильный телефон)
_________________________________________________________________
Раздел 2: Производство продукции сельскохозяйственных культур
2. Осуществляли ли Вы деятельность по выращиванию сельскохозяйственных
культур в течение отчетного периода?
Да
Нет
3. Укажите территорию (область, город, район) фактического
осуществления деятельности по выращиванию сельскохозяйственных культур
Код территории согласно Классификатору
административно-территориальных объектов (КАТО)
4. Какие виды сезонных культур Вы выращивали в отчетном году?
|
№ |
Наименование сельскохозяйственных культур в соответствии с СКПСХ1 |
Укажите убранную площадь (в квадратных метрах) |
Укажите валовый сбор (в килограммах) (в первоначально оприходованном весе) |
|
А |
Б |
1 |
2 |
5. Выращивали ли Вы цветы в открытом грунте в отчетном году? (согласно Таблице 5.1)
Да
Нет
5.1 Какие виды цветов открытого грунта Вы выращивали в отчетном году?
|
№ |
Наименование цветов |
Валовой сбор, в штуках |
|
А |
Б |
1 |
|
1 |
Розы срезанные |
|
|
2 |
Гвоздики срезанные |
|
|
3 |
Хризантемы срезанные |
|
|
4 |
Цветы, срезанные прочие |
6. Выращивали ли Вы многолетние культуры? (согласно Таблице 6.1)
Да
Нет
6.1 Укажите информацию о сборе урожая многолетних культур
|
№ |
Наименование насаждений в соответствии с СКПСХ1 |
Площадь многолетних насаждений в плодоносящем возрасте |
Валовой сбор с площади многолетних насаждений в плодоносящем возрасте |
|
А |
Б |
1 |
2 |
7. Укажите информацию о сборе урожая отдельных сельскохозяйственных культур в защищенном грунте
|
№ |
Наименование сельскохозяйственных культур в соответствии с СКПСХ1 |
Используемая площадь теплиц, |
Валовой сбор, |
|
А |
Б |
1 |
2 |
8. Вы выращивали отдельные виды продукции растениеводства защищенного грунтав отчетном году?(согласно Таблице 8.1)
Да
Нет
8.1 Укажите информацию о выращивании отдельных видов продукции растениеводства защищенного грунта
|
№ |
Наименование |
Используемая площадь теплиц, |
Валовой сбор, |
|
А |
Б |
1 |
2 |
|
1. |
Рассада цветов |
||
|
2. |
Рассада овощей |
||
|
3. |
Рассада культур ягодных |
||
|
4. |
Розы срезанные |
||
|
5. |
Гвоздики срезанные |
||
|
6. |
Хризантемы срезанные |
||
|
7. |
Цветы срезанные прочие |
9. Применяли ли Вы органические удобрения при выращивании сельскохозяйственные культуры? (согласно Таблице 9.1)
Да
Нет
9.1 Укажите информацию об удобренной площади сельскохозяйственных культур открытого грунта
|
№ |
Наименование сельскохозяйственных культур в соответствии с СКПСХ1 |
Площадь, удобренная органическими удобрениями |
Внесение органических удобрений |
|
А |
Б |
1 |
2 |
Время завершения опроса: час
минут
Подпись опрошенного или предоставившего данные_________________________
Подпись интервьюера_________________________
Примечание:
СКПСХ1 – «Справочник продукции (услуг) сельского, лесного и рыбного хозяйства», размещенный на интернет-ресурсе Бюро национальной статистики Агентства по стратегическому планированию и реформам Республики Казахстан в разделе «Классификаторы»
Представление недостоверных и непредставление первичных статистических данных в соответствующие органы государственной статистики в установленный срок являются административными правонарушениями, предусмотренными статьей 497 Кодекса Республики Казахстан «Об административных правонарушениях»
| Приложение к статистической форме «О сборе урожая сельскохозяйственных культур в хозяйствах населения» (индекс А-005, периодичность один раз в три года) |
Пределы допустимых значений по показателю
«Урожайность отдельных сельскохозяйственных культур»
|
Код СКПСХ¹ |
Наименование |
Ограничение, центнеров с гектара |
|
01.11.1 |
Пшеница |
до 50 |
|
01.11.2 |
Кукуруза (маис) |
до 60 |
|
01.11.31 |
Ячмень |
до 30 |
|
01.11.32 |
Рожь |
до 25 |
|
01.11.33 |
Овес |
до 25 |
|
01.11.41 |
Сорго |
до 50 |
|
01.11.42 |
Просо |
до 25 |
|
01.11.49.100 |
Гречиха |
до 20 |
|
01.11.49.200 |
Тритикале |
до 50 |
|
01.11.49.300 |
Смесь колосовых |
до 50 |
|
01.11.49.900 |
Культуры зерновые прочие |
до 50 |
|
01.11.6 |
Овощи бобовые зеленые |
до 35 |
|
01.11.7 |
Овощи бобовые сушеные |
до 35 |
|
01.11.81 |
Бобы соевые |
до 20 |
|
01.11.82 |
Орехи земляные |
до 20 |
|
01.11.84 |
Семена хлопка |
до 20 |
|
01.11.9 |
Семена масличные прочие |
до 20 |
|
01.12 |
Рис |
до 50 |
|
01.13.12 |
Капуста |
до 800 |
|
01.13.2 |
Дыни и арбузы |
до 250 |
|
01.13.31 |
Перцы |
до 500 |
|
01.13.32 |
Огурцы |
до 500 |
|
01.13.33 |
Баклажаны |
до 500 |
|
01.13.34 |
Помидоры |
до 500 |
|
01.13.41 |
Морковь и турнепс |
до 700 |
|
01.13.43 |
Лук |
до 350 |
|
01.13.49.300 |
Свекла столовая |
до 700 |
|
01.13.51 |
Картофель |
до 250 |
|
01.13.71 |
Сахарная свекла |
до 300 |
|
01.13.9 |
Овощи, не включенные в другие группировки |
до 350 |
|
01.15.10 |
Табак |
до 35 |
|
01.16.11 |
Хлопок |
до 35 |
|
01.19.10.300 |
Кукуруза на корм |
до 350 |
|
01.19.10.510 |
Травы естественных сенокосов на сено |
до 40 |
|
01.21 |
Виноград |
до 100 |
|
01.24 |
Плоды семечковые и косточковые |
до 250 |
|
01.25.1 |
Ягоды |
до 200 |
|
01.25.3 |
Орехи |
до 100 |
| Приложение 23 к приказу Председателя Комитета по статистике Министерства национальной экономики Республики Казахстан от 10 февраля 2020 года № 21 |
Инструкция по заполнению статистической формы общегосударственного статистического наблюдения
«О сборе урожая сельскохозяйственных культур в хозяйствах населения»
(индекс А-005, периодичность один раз в три года)
Сноска. Приложение 23 — в редакции совместного приказа Руководителя Бюро национальной статистики Агентства по стратегическому планированию и реформам РК от 16.09.2022 № 24 (вводится в действие с 01.01.2023).
1. Настоящая инструкция детализирует заполнение статистической формы общегосударственного статистического наблюдения «О сборе урожая сельскохозяйственных культур в хозяйствах населения» (индекс А-005, периодичность один раз в три года) (далее – статистическая форма).
2. В настоящей Инструкции используются следующие определения:
1) сельскохозяйственный товаропроизводитель – физическое или юридическое лицо, занимающееся товарным производством сельскохозяйственной продукции;
2) первоначально оприходованный вес – физическая масса, полученная при уборке урожая без ее доработки, с сорными и минеральными примесями (земля, частицы земли, стержни колосков и другие примеси), а также с избыточной влажностью;
3) валовой сбор – продукция, произведенная (собранная) со всей площади посева различных сельскохозяйственных культур, сельскохозяйственных насаждений или других сельскохозяйственных угодий;
4) убранная площадь – фактическая площадь, с которой собран урожай сельскохозяйственных культур;
5) хозяйства населения – личные подсобные хозяйства населения, коллективные сады и огороды, дачные участки;
6) теплица – это специальное помещение, покрытое любым светопрозрачным материалом, предназначенное для круглогодичного выращивания тепличных растений и рассады;
7) культуры многолетние – виноград, фрукты цитрусовые, плоды семечковые и косточковые, деревья плодовые, кустарники и орехи прочие, плоды маслосодержащие, специи, культуры ароматические и фармацевтические, культуры многолетние прочие;
8) культуры сезонные – культуры зерновые, бобовые, семена масличные, овощи и бахчевые, корнеплоды и клубнеплоды (картофель, сахарная свекла), табак, культуры волокнистые прядильные(хлопок-сырец, лен, конопля), культуры сезонные прочие (культуры кормовые, цветы).
3. В статистическом наблюдении принимают участие попавшие в выборку хозяйства населения, имеющие посевные площади, сенокосы и пастбища, многолетние насаждения и теплицы.
Статистическая форма заполняется интервьюером со слов главы домашнего хозяйства, либо самим респондентом.
4. В пункте 3 указывается территория (область, город, район, населенный пункт) фактического осуществления деятельности в области выращивания сельскохозяйственных культур, независимо от места регистрации.
5. В графе 1 пункта 4 указывается фактически убранная площадь, на которой в отчетном году были произведены уборочные работы: по зерновым культурам, семенам масличных культур и трав – площадь, с которой произведен обмолот (включая уборку комбайнами), по остальным культурам – вся фактически убранная к отчетному сроку площадь, включая и ту площадь, с которой собран урожай, но еще полностью не учтен и не оприходован.
Пересчет початков кукурузы в полной спелости на сухое зерно осуществляется следующим образом: физический вес початков кукурузы умножается на коэффициент 0,7 – средний выход зерна кукурузы из початков.
По табаку учитывается вся оприходованная продукция урожая отчетного года – как проданная, так и оставшаяся или израсходованная в хозяйстве (в пересчете на зачетную массу). Учитываются все ломки (как основные, так и дополнительные).
По масличным семенам и плодам маслосодержащим указываются убранные площади и валовой сбор семян и плодов подсолнечника, рапса, сафлора, горчицы, сои, арахиса, кунжута и других масличных культур.
По картофелю указываются убранные площади и валовой сбор картофеля весенней и летней посадки.
По бахчам продовольственным указывают убранные площади и валовой сбор арбузов и дынь.
По овощам указываются убранные площади и валовой сбор овощей, выращиваемых в открытом грунте.
По кормовым культурам указываются убранные площади сахарной свеклы, корнеплодов, бахчей, предназначенных на корм скоту, кукурузы на зеленый корм, а также укосные площади сеяных однолетних и многолетних трав, предназначенных для уборки на сено, зеленый корм, семена и выпас. При проведении двух и более укосов трав в анкете отражается площадь только одного укоса.
По кукурузе на корм указывается укосная площадь кукурузы в до молочно-восковой, молочно-восковой и восковой спелости на силос и зеленый корм.
По однолетним травам, многолетним травам указывается укосная площадь однолетних трав (без озимых на зеленый корм), площадь многолетних трав, включая площади, засеянные осенью прошлого года.
По естественным сенокосам и пастбищам указывается укосная площадь естественных сенокосов и пастбищ на сено и зеленый корм.
По сену указывается весь валовой сбор сена, полученный со всех укосов на своем участке, а также сено, заготовленное на землях сельскохозяйственных предприятий и других землепользователей кроме сена, сданного на склады сельскохозяйственных формирований.
Цветы, срезанные свежие открытого грунта, указываются в штуках.
6. В графе 1 подпункта 6.1 указывается площадь обособленных садов, ягодников и виноградников всех возрастов, был ли фактически получен с этих насаждений в текущем году урожай или нет.
Учитывается общая и плодоносящая площадь плодово-ягодных и виноградных насаждений, включая списанные (независимо от времени списания), но не раскорчеванные площади, в эти же графы включается фактическая площадь изреженных (независимо от степени изреженности) обособленных участков садов. В графу 1 подпункта 6.1 включаются и площади насаждений, с которых в отчетном году была получена продукция, но на момент сдачи статистической формы эти площади были раскорчеваны.
При наличии в садах между плодовыми деревьями (в междурядьях) посадок ягодных насаждений (клубники, смородины, крыжовника и так далее) в графе 1 подпункта 6.1 площадь ягодных насаждений складывается из обособленной площади и площади в междурядьях плодовых насаждений.
7. В пункте 7 указывается площадь защищенного грунта, используемая под урожай текущего года только с первого оборота, и весь сбор урожая со всех видов сооружений защищенного грунта. Площадь, используемая под второй и последующие обороты, не указывается.
Защищенный грунт представляет собой специальные помещения или земельные участки с искусственным благоприятным для растений микроклиматом, используемые для выращивания овощей и других сельскохозяйственных растений во внесезонное время. Основное назначение защищенного грунта – производство овощей в осеннее-зимнее и весеннее время; выращивание рассады овощных культур для открытого грунта. Защищенный грунт подразделяется на культивационные сооружения (теплицы, парники) и утепленный грунт. Общая площадь теплиц – это производственная площадь (используемая для культивации растений, места для прохода между ними), а также площадь подсобных, административно-бытовых, вспомогательных производственных помещений;
Основное назначение парников – выращивание рассады для открытого грунта и ранних овощей; представляет собой малогабаритное неотапливаемое строение для защиты растений от воздействия неблагоприятных погодных условий.
Различаются теплицы зимние и весенние. Зимние теплицы включают в себя остекленные обогреваемые теплицы, используемые в течение круглого года, а также обогреваемые теплицы под пленкой, обеспечивающие выход продукции в зимний и ранневесенний периоды. Весенние теплицы обогреваются естественным путем.
К утепленному грунту и посевам под пленкой относятся утепленные гряды и простейшие пленочные укрытия на отдельных участках или в полевых севооборотах.
В графах 2 пункта 7 и подпункта 8.1 указывается валовой сбор со всех сооружений защищенного грунта, кроме продукции, произведенной для внутреннего потребления.
Производство цветов и цветочной рассады, рассады овощей, культур ягодных указывается в штуках.
По грибницам (мицелию) учитывают площадь, используемую для выращивания грибной продукции, и указывают валовой сбор.
8. В подпункте 9.1 указывается количество органических удобрений, внесенных под урожай текущего года, независимо от времени внесения удобрений, под посевы сельскохозяйственных культур открытого грунта, а также под многолетние насаждения (сады, ягодники, виноградники, шелковицу), естественные сенокосы и пастбища. Количество удобрений, внесенных в текущем году под урожай будущего года, в статистическую форму не включается. А также указывается площадь, фактически удобренная органическими удобрениями.
Удобренная площадь, как по общему итогу, так и по каждой культуре не превышает общую посевную площадь.
9. Данные указываются с одним десятичным знаком.
10. Представление данной статистической формы осуществляется в электронном виде или на бумажном носителе. Заполнение статистической формы в электронном виде осуществляется через «Кабинет респондента» (https://cabinet.stat.gov.kz/), размещенном на интернет-ресурсе Бюро национальной статистики Агентства по стратегическому планированию и реформам Республики Казахстан, в режиме онлайн.
11. Арифметико-логический контроль:
1) Подпункт 9.1:
если графа 2 ≠ 0, то и графа 1 ≠ 0, для каждой строки;
если графа 1 ≠ 0, то и графа 2 ≠ 0, для каждой строки.
| Приложение 24 к приказу Председателя Комитета по статистике Министерства национальной экономики Республики Казахстан от «10» февраля 2020 года №21 |
|
|
Мемлекеттік статистика органдары құпиялылығына кепілдік береді Конфиденциальность гарантируется органами государственной статистики Жалпымемлекеттік статистикалық байқаудың статистикалық нысаны Статистическая форма общегосударственного статистического наблюдения |
Қазақстан Республикасы Ұлттық экономика министрлігінің Статистика комитеті төрағасының 2020 жылғы «__» _______________ № ___ бұйрығына 24-қосымша |
||||||
|
Аңшылық пен аулау жөніндегі, осы салалардағы қызмет көрсетуді ұсынуды қоса алғандағы қызмет туралы О деятельности по охоте и отлову, включая предоставление услуг в этих областях |
||||||||
Экономикалық қызмет түрлері жалпы жіктеуішінің «Аңшылық, аулау және осы салаға кіретін қызмет көрсетуді ұсынумен қоса» 01.7 – коды бойынша қызметтің негізгі немесе қосалқы түрлері болып табылатын заңды тұлғалар және (немесе) олардың құрылымдық және оқшауланған бөлімшелері, дара кәсіпкерлер және бекітілген тәртіппен тіркелген және жануарлар дүниесін пайдалануға рұқсат алған жеке тұлғалар ұсынады Представляют юридические лица и (или) их структурные и обособленные подразделения с основным или вторичным видами деятельности, индивидуальные предприниматели по коду Общего классификатора видов экономической деятельности 01.7 – «Охота и отлов, включая предоставление услуг в этих областях» и физические лица, зарегистрированные в установленном порядке и получившие разрешение на пользование животным миром |
||||||||
|
Ұсыну мерзімі – есепті кезеңнен кейінгі 23 ақпанға (қоса алғанда) дейін Срок представления – до 23 февраля (включительно) после отчетного периода |
||||||||
|
БСН коды Код БИН |
|
|||||||
|
1. Аңшылық, өсіру бойынша нақты қызметті жүзеге асырған және осы салаларда қызмет көрсеткен аумақты (облыс, қала, аудан) көрсетіңіз Укажите территорию (область, город, район), фактического осуществления деятельности по охоте, разведению и предоставлению услуг в этих областях |
|
|||||||
|
1.1 Әкімшілік — аумақтық объектілер жіктеуішіне (ӘАОЖ) сәйкес аумақ коды (респондент статистикалық нысанды қағаз жеткізгіште ұсынған кезде аумақтық статистика органының тиісті қызметкері толтырады) Код территории согласно Классификатору административно-территориальных объектов (КАТО) (заполняется соответствующим работником территориального органа статистики при представлении респондентом статистической формы на бумажном носителе) |
|
|||||||
2. Аң аулау мен өсіру өнімдерінің көлемі туралы мәліметтерді көрсетіңіз, мың теңгемен
Укажите сведения об объемах продукции охоты и разведения, в тысячах тенге
|
Көрсеткіштің атауы Наименование показателя |
АШӨСЖ1 бойынша коды Код по СКПСХ1 |
Аң аулау өнімдерінің көлемі Объем продукции охоты |
Өсіру өнімдерінің көлемі Объем продукции разведения |
||
|
қолданыстағы бағамен в действующих ценах |
өткен жылғы орташа жылдық бағамен в среднегодовых ценах предыду щего года |
қолданыстағы бағамен в действующих ценах |
өткен жылғы орташа жылдық бағамен в среднегодовых ценах предыду щего года |
||
|
А |
Б |
1 |
2 |
3 |
4 |
|
Тұяқтылар Копытные |
01.70.10.400 |
||||
|
Терісі бағалы аңдар Звери пушные |
01.70.10.100 |
||||
|
Жабайы құс Дичь |
01.70.10.200 |
||||
3. Аңшылық, тұяқтыларды, бағалы аңдарды, жабайы құстарды және теңіз сүт қоректілерін аулау саласындағы қызметтердің көлемін көрсетіңіз (АШӨСЖ бойынша 01.70.10.700 тобы), мың теңгемен
Укажите объем услуг в области охоты, ловли копытных, зверей пушных, дичи и млекопитающих морских (группа 01.70.10.700 по СКПСХ), в тысячах тенге
|
АШӨСЖ1 сәйкес қызметтің атауы Наименование услуги в соответствии с СКПСХ |
АШӨСЖ1 бойынша коды Код по СКПСХ1 |
Қызметтер көлемі Объем услуг |
|
|
қолданыстағы бағамен в действующих ценах |
өткен жылғы орташа жылдық бағамен в среднегодовых ценах предыдущего года |
||
|
А |
Б |
1 |
2 |
Ескертпе:
Примечание:
1 АШӨСЖ мұнда және бұдан әрі – Қазақстан Республикасы Ұлттық экономика министрлігі Статистика комитетінің интернет-ресурсында «Жіктеуіштер» бөлімінде орналасқан «Ауыл, орман және балық шаруашылығы өнімдерінің (қызметтердің) анықтамалығына» сәйкес толтырылады
1 СКПСХ здесь и далее – заполняется согласно «Справочнику продукции (услуг) сельского, лесного и рыбного хозяйства», размещенному на интернет-ресурсе Комитета по статистике Министерства национальной экономики Республики Казахстан в разделе «Классификаторы»
4. Бекітілген аңшылық алқаптарының алаңы туралы мәліметтерді көрсетіңіз, мың гектармен
Укажите сведения о площади закрепленных охотничьих угодий, в тысячах гектарах
|
Жол коды Код строки |
Атауы Наименование |
Есепті кезеңде За отчетный период |
|
А |
Б |
1 |
|
1 |
Аңшылық шаруашылықтарына бекітілген аңшылық алқаптардың алаңы Площадь закрепленных охотничьих угодий за охотничьими хозяйствами |
|
|
2 |
Шаруашылықішілік аңшылықты ұйымдастырумен қамтылған, бекітілген аңшылық алқаптарының алаңы Площадь закрепленных охотничьих угодий, охваченных внутрихозяйственным охотоустройством |
|
|
3 |
Жабайы аңдардың санын есепке алу жүргізілген бекітілген аңшылық алқаптарының алаңы Площадь закрепленных охотничьих угодий, на которых проведен учет численности диких животных |
5. Жабайы аңдар мен құстарды қолдан өсіру туралы мәліметтерді көрсетіңіз, бірлікпен
Укажите сведения об искусственном разведении диких зверей и дичи, в единицах
|
Жол коды Код строки |
Атауы Наименование |
Саны Количество |
|
А |
Б |
1 |
|
1 |
Тұяқтылар мен терісі бағалы аңдарды өсіру питомниктерінің нақты бары Наличие питомников по разведению копытных и пушных зверей |
|
|
2 |
Жабайы құсты қолдан өсіру фермаларының нақты бары Наличие ферм по искусственному разведению дичи |
6. Қызметтің басқа да түрлері
Другие виды деятельности
|
ЭҚЖЖ2 сәйкес қызмет түрлерінің атауы Наименование вида деятельности в соответствии с ОКЭД2 |
ЭҚЖЖ2 бойынша коды Код по ОКЭД2 |
Қызметтің басқа да түрлері бойынша өндірілген өнімдердің (тауарлардың, көрсетілетін қызметтердің) көлемі, мың теңгемен Объем произведенной продукции (товаров, услуг) по другим видам деятельности, в тысячах тенге |
|
А |
Б |
1 |
7. Статистикалық нысанды толтыруға жұмсалған уақытты көрсетіңіз, сағатпен (қажеттiсiн қоршаңыз)
Укажите время, затраченное на заполнение статистической формы, в часах (нужное обвести)
|
1 сағатқа дейiн |
1-2 |
2-4 |
4-8 |
8-40 |
40 сағаттан артық |
|
до 1 часа |
более 40 часов |
Ескертпе:
Примечание:
2 ЭҚЖЖ – Қазақстан Республикасы Ұлттық экономика министрлігі Статистика комитетінің интернет-ресурсында «Жіктеуіштер» бөлімінде орналасқан «Экономикалық қызмет түрлерінің жалпы жіктеуішіне» сәйкес толтырылады
2 ОКЭД – заполняется согласно «Общему классификатору видов экономической деятельности», размещенному на интернет-ресурсе Комитета по статистике Министерства национальной экономики Республики Казахстан в разделе «Классификаторы»
Атауы Мекенжайы (респонденттің)
Наименование ________________________ Адрес (респондента) _____________________
Телефоны (респонденттің)
Телефон (респондента) ____________________________ _____________________________
стационарлық ұялы
стационарный мобильный
Электрондық пошта мекенжайы (респонденттің)
Адрес электронной почты (респондента)__________________________________________
Орындаушы
Исполнитель ____________________________________ _________________________
тегі, аты және әкесінің аты (бар болған жағдайда) қолы, телефоны (орындаушының)
фамилия, имя и отчество (при его наличии) подпись, телефон (исполнителя)
Бас бухгалтер немесе оның
міндетін атқарушы тұлға
Главный бухгалтер или лицо,
исполняющее его обязанности _____________________________ ____________________
тегі, аты және әкесінің аты (бар болған жағдайда) қолы
фамилия, имя и отчество (при его наличии) подпись
Басшы немесе оның
міндетін атқарушы тұлға
Руководитель или лицо,
исполняющее его обязанности _______________________________ ___________________
тегі, аты және әкесінің аты (бар болған жағдайда) қолы
фамилия, имя и отчество (при его наличии) подпись
Ескертпе:
Примечание:
Мемлекеттік статистиканың тиісті органдарына анық емес бастапқы статистикалық деректерді ұсыну және бастапқы статистикалық деректерді белгіленген мерзімде ұсынбау «Әкімшілік құқық бұзушылық туралы» Қазақстан Республикасы Кодексінің 497-бабында көзделген әкімшілік құқық бұзушылықтар болып табылады
Представление недостоверных и непредставление первичных статистических данных в соответствующие органы государственной статистики в установленный срок являются административными правонарушениями, предусмотренными статьей 497 Кодекса Республики Казахстан «Об административных правонарушениях»
Приложение 25
к приказу Председателя
Комитета по
статистике Министерства
национальной экономики
Республики Казахстан
от «10» февраля 2020 года № 21
Инструкция по заполнению статистической формы общегосударственного статистического наблюдения «О деятельности по охоте и отлову, включая предоставление услуг в этих областях» (индекс 2-охота, периодичность годовая)
1. Настоящая инструкция по заполнению статистической формы общегосударственного статистического наблюдения «О деятельности по охоте и отлову, включая предоставление услуг в этих областях» (индекс 2-охота, периодичность годовая) (далее – Инструкция) разработана в соответствии с подпунктом 8) статьи 12 Закона Республики Казахстан от 19 марта 2010 года «О государственной статистике» (далее – Закон) и детализирует заполнение статистической формы общегосударственного статистического наблюдения «О деятельности по охоте и отлову, включая предоставление услуг в этих областях» (индекс 2-охота, периодичность годовая) (далее – статистическая форма).
2. В настоящей Инструкции используются понятия в значениях, определенных в Законе, а также следующие определения:
1) охотничье хозяйство – вид хозяйственной деятельности по устойчивому использованию объектов животного мира в охотничьих угодьях, сохранению среды обитания животного мира, их охране и воспроизводству;
2) другие виды деятельности – виды деятельности, которые респондент осуществлял помимо деятельности в сельском, лесном, охотничьем и рыбном хозяйстве;
2) основной вид деятельности – вид деятельности, добавленная стоимость которого превышает добавленную стоимость любого другого вида деятельности, осуществляемого субъектом;
3. Если деятельность в области охоты и предоставления услуг осуществляется на территории нескольких районов или областей, статистическую форму представляют на отдельных статистических формах, по каждой территории, отражающую по месту фактического осуществления деятельности по охоте, отлову и предоставлению услуг.
При делегирований полномочий юридическим лицом по сдаче статистической формы структурному подразделению юридического лица, данную статистическую форму представляются по месту своего нахождения в территориальные органы статистики.
4. В разделе 1 указывается территория (область, город, район) фактического осуществления деятельности по охоте, разведению и представлению услуг в этих областях независимо от места регистрации.
5. В графах 1 и 3 раздела 2 указывается стоимость продукции охоты и разведения диких животных и дичи в ценах отчетного года, в графах 2 и 4 – стоимость соответствующей продукции в среднегодовых ценах предыдущего года. В качестве среднегодовой цены предыдущего года используется цена охоты или разведения, сложившаяся в хозяйстве респондента в предыдущем году. В случае, если респондент в предыдущем году не осуществлял охоту или разведение соответствующих видов диких животных и дичи, графа 2 принимается равной графе 1, графа 4 – графе 3. К продукции охоты относится вся продукция, полученная от добычи объектов охоты (отловленные или отстрелянные дикие животные, их мясо, пушнина и прочая продукция охоты). В объем продукции разведения включается продукция, полученная в результате разведения диких животных в охотничьих хозяйствах, затраты по проведению охотохозяйственных и биотехнических мероприятий.
6. В графе 1 раздела 3 указываются стоимости оказанные объемы услуг в области охоты и разведения копытных, зверей пушных, дичи и млекопитающих морских в действуйщих ценах отчетного года, в графе 2 – в среднегодовых ценах предыдущего года. В качестве среднегодовой цены предыдущего года используется цена, по которой респондент оказывал аналогичные услуги в предыдущем году. В случае, если респондент в предыдущем году не оказывал аналогичные услуги, графа 2 принимается равной графе 1.
7. Раздел 5 указываются данные имеющие об искуственном разведении диких зверей и дичи.
8. В разделе 6 показывается объем произведенной продукции (товаров, услуг) по другим видам деятельности, которые осуществлялись или оказывались предприятием в отчетном году.
9. Данные заполняются на основании документов бухгалтерского учета, отражающих объемы произведенной продукции (работ, услуг).
10. При отсутствии деятельности в отчетный период респондент не позднее даты окончания самого раннего из сроков представления статистических форм за данный отчетный период, указанных в утвержденном Графике представления респондентами первичных статистических данных по общегосударственным статистическим наблюдениям на соответствующий год, представляет Уведомление об отсутствии деятельности в порядке, установленном Правилами представления респондентами первичных статистических данных, утвержденных приказом Председателя Агентства Республики Казахстан по статистике от 9 июля 2010 года № 173 (зарегистрирован в Реестре государственной регистрации нормативных правовых актов № 6459).
11. Представление данной статистической формы осуществляется в электронном формате или на бумажном носителе. Заполнение статистической формы в электронном формате осуществляется посредством использования Информационной системы «Сбор данных в oн-лайн режиме», размещенной на интернет-ресурсе Комитета по статистике Министерства Национальной экономики Республики Казахстан (https://cabinet.stat.gov.kz/).
12. Арифметико-логический контроль:
1) Раздел 2: если графа 3 > 0, то графа 4 > 0, для каждой строки;
2) Раздел 3: если графа 1 > 0, то графа 2 > 0, для каждой строки;
3) Раздел 4:
строка 1 ≥ строке 2;
строка 1 ≥ строке 3.
| Приложение 26 к приказу Председателя Комитета по статистике Министерства национальной экономики Республики Казахстан от 10 февраля 2020 года № 21 |
Сноска. Приложение 26 — в редакции приказа Руководителя Бюро национальной статистики Агентства по стратегическому планированию и реформам РК от 28.06.2024 № 15 (вводится в действие с 01.01.2025).
|
|
Жалпымемлекеттік статистикалық байқаудың статистикалық нысаны |
Қазақстан Республикасы Ұлттық |
||||||
|
Мал шаруашылығының жай-күйі туралы есеп |
||||||||
|
Индексі |
24-сх |
жылдық |
есепті кезең |
|
Жыл |
|||
|
Ұсынады: |
||||||||
|
Ұсыну мерзімі – есепті кезеңнен кейінгі 20 қаңтарға (қоса алғанда) дейін |
||||||||
|
БСН коды |
|
|||||||
|
1. Мал мен құсты өсіру және мал шаруашылығы өнімін өндіру бойынша қызметті нақты жүзеге асыратын аумақты (облыс, қала, аудан) көрсетіңіз |
|
|||||||
|
1.1. Әкімшілік-аумақтық объектілер жіктеуішіне (ӘАОЖ) сәйкес аумақ коды (статистикалық нысанды қағаз жеткізгіште ұсынған кезде аумақтық статистика бөлімшесінің тиісті қызметкері толтырады) |
|
|||||||
2. Мал мен құс бастарының қозғалысы туралы ақпаратты көрсетіңіз, бас
Укажите информацию о движении поголовья скота и птицы, голов
|
Реттік нөмірі |
Көрсеткіштердің атауы |
Сүтті табынның ірі қара малы, тірі |
Одан сүтті табынның сиырлары |
Өзге де ірі қара мал мен енекелер, тірі |
Одан етті табынның сиырлары |
Сүтті-етті табынның ірі қара малы, тірі |
Одан сүтті-етті табынның сиырлары |
Жылқылар және өзге де жылқытектес жануарлар, тірі |
|
А |
Б |
1 |
2 |
3 |
4 |
5 |
6 |
7 |
|
1 |
Кезең басындағы саны |
х |
х |
х |
||||
|
2 |
тірідей массасындағы салмағы, центнер |
х |
х |
х |
||||
|
3 |
Алынған төл |
х |
х |
х |
||||
|
4 |
Өз өңірі шегінде сатып алынғаны |
х |
х |
х |
||||
|
5 |
ауыл шаруашылығы кәсіпорнынан |
х |
х |
х |
||||
|
6 |
дара кәсіпкерлерден және шаруа немесе фермер қожалықтарынан |
х |
х |
х |
||||
|
7 |
жұртшылық шаруашылықтарынан |
х |
х |
х |
||||
|
8 |
Өзге де түсім |
х |
х |
х |
||||
|
9 |
Шаруашылықта сойылғаны немесе сойысқа өткізілгені |
х |
х |
х |
||||
|
10 |
тірідей салмақта, центнер |
х |
х |
х |
||||
|
11 |
сойыс салмақта, |
х |
х |
х |
||||
|
12 |
Өлім-жітім және қырылғаны |
х |
х |
х |
||||
|
13 |
Өз өңірі шегінде сатылғаны |
х |
х |
х |
||||
|
14 |
ауыл шаруашылығы кәсіпорындарына |
х |
х |
х |
||||
|
15 |
дара кәсіпкерлерге және шаруа немесе фермер қожалықтарына |
х |
х |
х |
||||
|
16 |
жұртшылық шаруашылықтарына |
х |
х |
х |
||||
|
17 |
Өзге де шығыс |
х |
х |
х |
||||
|
18 |
Кезең соңындағы саны |
|||||||
|
19 |
тірідей массасындағы салмағы, центнер |
х |
х |
х |
||||
|
20 |
Орташа басы |
х |
х |
х |
||||
|
21 |
одан аналықтардың орташа басы |
х |
х |
х |
||||
|
22 |
(18-жолдан) |
|||||||
|
23 |
(11-жолдан) |
х |
х |
х |
кестеннің жалғасы
|
Түйелер және түйетәрізділер, тірі |
Қойлар, тірі |
Ешкілер,тірі |
Шошқалар,тірі |
Үй құсы, тірі |
оның ішінде: бағыттары бойынша |
Шаруашылықтарда өсірілген маралдар |
Үй қояндары, тірі |
||
|
ет бағытындағы |
жұмыртқа бағытындағы |
ет-жұмыртқа бағытындағы |
|||||||
|
8 |
9 |
10 |
11 |
12 |
13 |
14 |
15 |
16 |
17 |
3. Кезең соңындағы жыныс-жас топтары бойынша мал мен құс түрлерінің қолда бары туралы ақпаратты көрсетіңіз (2-бөлімнің 18-жолынан)
Укажите информацию о наличии видов скота и птицы по половозрастным группам на конец периода (из строки 18 раздела 2)
|
Мал түрлері |
АШӨСЖ1 коды бойынша |
Саны, бас |
Мал түрлері |
АШӨСЖ1 коды бойынша |
Саны, бас |
|
|
А |
Б |
1 |
А |
Б |
1 |
|
|
Ескертпе: |
||||||
4. Фермада өсірілетін құс басы және малдардың жеке түрлері және олардың союға өткізілген көлемі туралы ақпаратты көрсетіңіз
Укажите информацию о поголовье птицы и отдельных видах животных выращиваемых на ферме и объемах их реализации на убой
|
Реттік нөмірі |
Фермада өсірілетін құс және |
Кезең соңындағы саны, бас |
Есепті кезеңде шаруашылықта сойылғаны немесе союға өткізілгені |
||
|
Басы |
тірідей салмақта, центнер |
сойыс салмақта, центнер |
|||
|
А |
Б |
1 |
2 |
3 |
4 |
|
1 |
Тауықтар, тірі |
||||
|
2 |
Күркетауық қораздары, тірі |
||||
|
3 |
Қаздар, тірі |
||||
|
4 |
Үйректер |
||||
|
5 |
Мысыр тауықтары |
||||
|
6 |
Бөденелер |
||||
|
7 |
Түйеқұстар |
||||
|
8 |
Қырғауылдар |
||||
|
9 |
Фермада өсірілетін өзге де үй құстары, тірі |
||||
|
10 |
Фермада өсірілетін, бауырымен жорғалаушылар (жылан және тасбақаны қоса алғанда), тірі |
||||
|
11 |
Шаруашылықтарда өсірілген теңбіл бұғылар |
||||
|
12 |
Шаруашылықтарда өсірілген үзбаралар |
||||
4.1 Торда өсірілетін терісі бағалы аңдардың бары туралы ақпаратты көрсетіңіз, бас
Укажите информацию о поголовье пушных зверей клеточного разведения, голов
|
Реттік нөмірі |
Терісі бағалы аңдардың түрлері |
Кезең соңындағы саны, бас |
Реттік нөмірі |
Терісі бағалы |
Кезең соңындағы саны, бас |
|
|
А |
Б |
1 |
А |
Б |
1 |
|
|
1 |
Түлкі |
6 |
Құндыз |
|||
|
2 |
Қара түлкі |
7 |
Ондатр |
|||
|
3 |
Қара күзен |
8 |
Күзен |
|||
|
4 |
Саз құндызы |
9 |
Жанат тәріздес ит |
|||
|
5 |
Бұлғын |
10 |
Басқа топтамаларға енгізілмеген, өзге де терісі бағалы аңдар |
4.2 Кезең соңындағы ара балұясының жалпы саны туралы ақпаратты көрсетіңіз, бірлік
Укажите информацию об общем количестве пчелосемей на конец периода, единиц
5. Есепті кезеңде өнім алынған мал мен құстың жеке түрлерінің орташа саны туралы ақпаратты көрсетіңіз, бас
Укажите информацию о среднем поголовье отдельных видов скота и птицы, от которого получена продукция за отчетный период, голов
|
Реттік нөмірі |
Көрсеткіштердің атауы |
Саны, бас |
Реттік нөмірі |
Көрсеткіштердің атауы |
Саны, бас |
|
|
А |
Б |
1 |
А |
Б |
1 |
|
|
1 |
Сауын сиыр басының орташа саны |
3 |
Тауық мекиендерінің орташа саны |
|||
|
2 |
Қырқылуға тиісті қой саны |
4 |
Елтіріге сойылған қозылар саны |
6. Мал шаруашылығы өнімдерін өндіру туралы ақпаратты көрсетіңіз
Укажите информацию о производстве продукции животноводства
6.1 Мал шаруашылығы өнімдерінің жеке түрлерін өндіру, центнер
Производство отдельных видов продукции животноводства, центнер
|
Реттік нөмірі |
Өнімдердің түрлері |
Өнімдерді өндіру |
Реттік нөмірі |
Өнімдердің түрлері |
Өнімдерді өндіру |
|||
|
Всего |
одан: |
Всего |
одан: |
|||||
|
органикалық мал шаруашылығының өнімдері |
органикалық мал шаруашылығының өнімдері |
|||||||
|
А |
Б |
1 |
2 |
А |
Б |
1 |
2 |
|
|
1 |
Сүтті табын сиырларының шикі сүті |
19 |
Түйенің шикі сүті |
|||||
|
2 |
Сүтті-етті табын сиырларының шикі сүті |
20 |
Өзге де шикі сүт (бұғының, өркешті сиырдың және тағы басқалары) |
|||||
|
3 |
Ұрғашы енекелердің шикі сүті |
21 |
Ара балауызы |
|||||
|
4 |
Ұрғашы қодастың (як-сиырлардың) шикі сүті |
22 |
Басқа да жәндіктердің балауызы |
|||||
|
5 |
Қойдың шикі сүті |
23 |
Шаруашылықтарда өсірілген марал мүйіздері |
|||||
|
6 |
Ешкінің шикі сүті |
24 |
Өзге де бұғылар мүйізі |
|||||
|
7 |
Тірі қойдан қырқылған жүн, жуылмаған (тобымен жуылғанды қоса алғанда), биязы |
25 |
Басқа топтамаларға енгізілмеген, малдан алынатын өзге де тағамдық өнімдер |
|||||
|
8 |
Тірі қойдан қырқылған жүн, жуылмаған (тобымен жуылғанды қоса алғанда) биязылау |
26 |
Тарқату үшін жарамды, 1 сортты, жібек құртының пілләсі |
|||||
|
9 |
Тірі қойдан қырқылған жүн, жуылмаған (тобымен жуылғанды қоса алғанда) ұяң |
27 |
Тарқату үшін жарамды, 2 сортты, жібек құртының пілләсі |
|||||
|
10 |
Тірі қойдан қырқылған, жуылмаған (тобымен жуылғанды қоса алғанда) қылшық (қаракөл және елтірі қойларынан басқа) жүн |
28 |
Тарқату үшін жарамды, стандартты емес, жібек құртының пілләсі |
|||||
|
11 |
Тірі қойдан қырқылған (тобымен жуылғанды қоса алғанда), қаракөл және елтірі қойларының жуылмаған қылшық жүні |
29 |
Липаристен басқа (теңіз ұлуы) жас, салқындатылған, қатырылған, кептірілген немесе тұздықтағы ұлулар |
|||||
|
12 |
Ешкі жүні |
30 |
Түйе жүні |
|||||
|
13 |
Ешкі түбіті |
31 |
Мамық-қауырсын |
|||||
|
14 |
Тұт ағашының жібек құрты |
32 |
Малдың биязы жүні |
|||||
|
15 |
Тұт ағашы жібек құртының көбелегі |
33 |
Малдың қылшық жүні |
|||||
|
16 |
Тұт ағашы жібек құртының дернәсілі |
34 |
Жылқы қылы |
|||||
|
17 |
Табиғи бал |
35 |
Малдан алынған өзге де тағамдық емес өнімдер |
|||||
|
18 |
Биенің шикі сүті |
36 |
Басқа топтамаларға енгізілмеген, малдан алынатын өзге де тағамдық өнімдер |
|||||
6.2 Жұмыртқа өндіру, мың дана
Производство яиц, тысяч штук
|
Реттік нөмірі |
Өнімдердің түрлері |
Өнімдерді өндіру |
|
|
Всего |
одан: |
||
|
органикалық мал шаруашылығының өнімдері |
|||
|
А |
Б |
1 |
2 |
|
1 |
Тауық жұмыртқасы |
||
|
2 |
одан: инкубациялық жұмыртқалар |
||
|
3 |
Күркетауық жұмыртқасы |
||
|
4 |
Үйрек жұмыртқасы |
||
|
5 |
Қаз жұмыртқасы |
||
|
6 |
Мысыр тауық жұмыртқасы |
||
|
7 |
Бөдене жұмыртқасы |
||
|
8 |
Түйеқұс жұмыртқасы |
||
|
9 |
Өзге де құс жұмыртқасы |
||
6.3 Иленбеген теріні және шаруашылықта өсірілген бағалы аң терісін өндіру, дана
Производство невыделанных шкур и пушно-мехового сырья животных, разведенных в хозяйствах, штук
|
Реттік нөмірі |
Өнімдердің түрлері |
Өнімдерді өндіру |
Реттік нөмірі |
Өнімдердің түрлері |
Өнімдерді өндіру |
|
|
А |
Б |
1 |
А |
Б |
1 |
|
|
1 |
Қара бурыл түлкілердің терісі |
10 |
Жанат тәрізді иттердің терісі |
|||
|
2 |
Өзге де түлкілердің терісі |
11 |
Басқа топтамаларға енгізілмеген, бағалы аң терісінің өзге де шикізаты |
|||
|
3 |
Қара түлкілердің терісі |
12 |
Қаракөлше |
|||
|
4 |
Қара күзеннің терісі |
13 |
Қаракөл |
|||
|
5 |
Саз құндызының терісі |
14 |
Елтірі |
|||
|
6 |
Бұлғынның терісі |
15 |
Бауырымен жорғалаушылардың терілері |
|||
|
7 |
Құндыздардың терісі |
16 |
Ірі терілер |
|||
|
8 |
Ондатрдың терісі |
17 |
Ұсақ терілер |
|||
|
9 |
Үй қояндары мен қояндардың терісі |
18 |
Аңдардың өзге де терілері |
|||
|
6.4. Қырқылған қой жүнінің жалпы мөлшерінен бастапқы өңдеуге өткізілген жүннің мөлшерін көрсетіңіз, центнер (6.1-бөлімнің 1-бағанынан 7, 8, 9, 10, 11 жолдар қосындысы) |
|
|||||
|
6.5. Өндірілген сиыр сүтінің жалпы мөлшерінен бұзаулар мен торайларға сүт беруге пайдаланылғансиыр сүтінің көлемін көрсетіңіз, центнер (6.1-бөлімнің 1-бағанынан 1, 2 жолдар қосындысы) |
|
|||||
|
6.6 Ірі қара мал мен енекелердің шәуеттерін өндіру, мөлшер |
|
|||||
|
6.7 Қайта жаңғыртуға арналған жануарлардың эмбриондарын өндіру, дана |
|
|||||
7. Мал түрлері бойынша мал азығы шығыстары туралы мәліметтерді көрсетіңіз, азық өлшемі есебіндегі центнер3
Укажите сведения о расходе кормов по видам скота, центнеров кормовых единиц3
7.1 Құнарлы мал азығы, шөп, сүрлем және пішендеме шығыстары, азық өлшемі есебіндегі центнер3
Расход концентрированных кормов, сена, силоса и сенажа, центнеров кормовых единиц3
|
Реттік нөмірі |
Көрсеткіштердің атауы |
Сүтті табынның ірі қара малы, тірі |
Өзге де ірі қара мал мен енекелер, тірі |
Сүтті-етті табынның ірі қара малы, тірі |
Жылқылар және өзге де жылқытектес жануарлар, тірі |
Түйелер және түйетәрізділер, тірі |
Қойлар, тірі |
Ешкілер, тірі |
Шошқалар, тірі |
Үй құсы, тірі |
Үй қояндары, тірі |
Шаруашылықтарда өсірілген бұғылар |
Торда өсірілген терісі бағалы аңдар |
|
А |
Б |
1 |
2 |
3 |
4 |
5 |
6 |
7 |
8 |
9 |
10 |
11 |
12 |
|
1 |
Құнарлы мал азығының шығысы (құрама жемсіз) |
||||||||||||
|
2 |
Құрама жемдердің шығысы |
||||||||||||
|
3 |
Шөптің шығысы |
х |
х |
||||||||||
|
4 |
Сүрлемнің шығысы |
||||||||||||
|
5 |
Пішендеменің шығысы |
Ескертпе:
Примечание:
3Осы бөлімді толтырған кезде осы статистикалық нысанға сәйкес «Негізгі мал азықтарының құнарлығы» 1-қосымшасында келтірілген мал азығы бірліктері қолданылады
3При заполнении данного раздела учитываются кормовые единицы согласно «Питательности основных кормов» приведенные в приложении 1 к данной статистической форме
7.2 Мал түрлері бойынша басқа мал азығы түрлерінің шығыстары, азық өлшемі есебіндегі центнер
Расход других видов кормов по видам скота, центнеров кормовых единиц
|
Реттік нөмірі |
Мал азықтарының түрлері |
Сүтті табынның ірі қара малы, тірі |
Өзге де ірі қара мал мен енекелер, тірі |
Сүтті-етті табынның ірі қара малы, тірі |
Жылқылар және өзге де жылқытектес жануарлар, тірі |
Түйелер және түйетәрізділер, тірі |
Қойлар, тірі |
Ешкілер, тірі |
Шошқалар, тірі |
Үй құсы, тірі |
Үй қояндары, тірі |
Шаруашылықтарда өсірілген бұғылар |
Торда өсірілген терісі бағалы аңдар |
|
А |
Б |
1 |
2 |
3 |
4 |
5 |
6 |
7 |
8 |
9 |
10 |
11 |
12 |
|
1 |
Дәнді дақылдардың сабаны және қауызы |
х |
х |
||||||||||
|
2 |
Азықтық тамыржемісті дақылдар |
||||||||||||
|
3 |
Азықтық бақшадақылдары |
||||||||||||
|
4 |
Азықтық дәнді дақылдар |
||||||||||||
|
5 |
Азықтық дәнді бұршақ дақылдары |
||||||||||||
|
6 |
Шабындықтар мен дақылды жайылымдардың (егілген) бір жылдық шөптерінен көк азық |
||||||||||||
|
7 |
Шабындықтар мен дақылды жайылымдардың (егілген) көп жылдық шөптерінен көк азық |
||||||||||||
|
8 |
Жабайы өсетін шөптерді қоса алғанда, шабындықтар мен табиғи жайылымдар шөптерінен көк азық |
||||||||||||
|
9 |
Өзге де азықтық дақылдар |
8. Статистикалық нысанды толтыруға жұмсалған уақытты, сағатпен (қажеттiсiн қоршаңыз)
Укажите время, затраченное на заполнение статистической формы, в часах (нужное обвести)
|
1 сағатқа дейiн |
1-2 |
2-4 |
4-8 |
8-40 |
40 сағаттан артық |
|
до 1 часа |
более 40 часов |
Атауы Мекенжайы (респонденттің)
Наименование _____________________________________________
Адрес (респондента) ________________________________________
Телефоны (респонденттің) ___________________________________
Электрондық пошта мекенжайы (респонденттің) ________________
Телефон (респондента) стационарлық ұялы
Адрес электронной почты (респондента) стационарный мобильный
Орындаушы
Исполнитель ______________________________________________
тегі, аты және әкесінің аты (ол болған жағдайда) телефоны
фамилия, имя и отчество (при его наличии) подпись, телефон
Бас бухгалтер немесе оның міндетін атқарушы тұлға
Главный бухгалтерили лицо, исполняющее его обязанности
_____________________________________________ ____________
тегі, аты және әкесінің аты (ол болған жағдайда) қолы
фамилия, имя и отчество(при его наличии) подпись
Басшы немесе оның міндетін атқарушы тұлға
Руководитель или лицо, исполняющее его обязанности
_________________________________________________ _________
тегі, аты және әкесінің аты (ол болған жағдайда) қолы
фамилия, имя и отчество (при его наличии) подпись
Ескертпе:
Примечание:
Мемлекеттік статистиканың тиісті органдарына анық емес бастапқы статистикалық деректерді ұсыну және бастапқы статистикалық деректерді белгіленген мерзімде ұсынбау 2014 жылғы 5 шілдедегі «Әкімшілік құқық бұзушылық туралы» Қазақстан Республикасы Кодексінің 497-бабында көзделген әкімшілік құқық бұзушылықтар болып табылады
Представление недостоверных и непредставление первичных статистических данных в соответствующие органы государственной статистики в установленный срок являются административными правонарушениями, предусмотренными статьей 497 Кодекса Республики Казахстан от 5 июля 2014 года «Об административных правонарушениях»
| Приложение 27 к приказу Председателя Комитета по статистике Министерства национальной экономики Республики Казахстан от 10 февраля 2020 года № 21 |
Инструкция по заполнению статистической формы общегосударственного статистического наблюдения
«Отчет о состоянии животноводства»
(индекс 24-сх, периодичность годовая)
Сноска. Приложение 27 — в редакции приказа Руководителя Бюро национальной статистики Агентства по стратегическому планированию и реформам РК от 28.06.2024 № 15 (вводится в действие с 01.01.2025).
1. Настоящая инструкция детализирует заполнение статистической формы общегосударственного статистического наблюдения «Отчет о состоянии животноводства» (индекс 24-сх, периодичность годовая) (далее – статистическая форма).
2. В настоящей Инструкции используются следующие определения:
1) зеленые корма – травы естественных и улучшенных лугов и пастбищ, а также специально выращиваемые культуры для зеленой подкормки. Особенность зеленых кормов – высокое содержание влаги (70-85 %);
2) концентрированные корма – корма с высоким содержанием питательных веществ. Основную часть концентрированных кормов составляет фуражное зерно злаковых и бобовых культур. Кконцентрированным кормам относятся отруби, жмых и шроты, отходы производства растительного масла, жом и патока, отходы крахмало-паточного, спиртового, пивоваренного производства и виноделия, корма животного происхождения: рыбная, мясная, мясокостная, кровяная и костная мука, кормовые дрожжи, витамины и травяная мука;
3) комбикорм – смесь очищенных от примесей и измельченных до необходимых размеров различных кормов и кормовых добавок, обеспечивающая полноценное кормление животных определенного вида, типа и продуктивности;
4) органическое животноводство – разведение сельскохозяйственных животных в условиях, обеспечивающих полный доступ к естественным источникам кормов, с использованием экстенсивных и естественных методов разведения;
5) регион (для данного статистического наблюдения) – область, город республиканского значения;
6) сено – корм, полученный в результате обезвоживания травы и содержащий не более 17 % массовой доли влаги;
7) сенаж – корм, приготовленный из трав, убранных в ранние фазы вегетации, провяленных до влажности не менее 40%, и хранящихся в анаэробных условиях;
8) солома – сухие стебли злаковых и бобовых зерновых культур, остающиеся после обмолота, также стебли льна, конопли, кенафа и других растений, освобожденные от листьев, соцветий и семян;
9) убойный вес – фактическая масса парной туши животного после полной ее обработки (без головы, шкуры, конечностей и внутренних органов), выраженная в килограммах;
10) силос – сочный корм для сельскохозяйственных животных, обладает высокими питательными свойствами, по своей калорийности, витаминности и диетическим свойствам сравним со свежей травой.
3. Юридические лица и (или) их структурные и обособленные подразделения осуществляющие деятельность в сфере животноводства на территории нескольких районов или областей, представляют статистическую форму на отдельных бланках, выделяя информацию по каждой территории, отражающую по месту фактического осуществления деятельности по выращиванию скота и птицы и производству продукции животноводства.
При делегирований полномочий юридическим лицом по сдаче статистической формы структурному подразделению юридического лица, данный статистической формы представляются по месту своего нахождения в территориальные подразделения статистики.
4. В разделе 1 указывается территория (область, город, район) фактического осуществления деятельности по выращиванию скота и птицы и производству продукции животноводства.
5. В строке 1 раздела 2 указывается фактическое наличие в хозяйстве скота и птицы по видам по состоянию на 1 января отчетного года, независимо от того, находился он на скотном дворе хозяйства или в отгоне на пастбищах. К числу коров молочного, мясного и молочно-мясного стада относятся коровы основного стада, включая отелившихся телок после перевода их в основное стадо, сухостойных и яловых коров и телки, достигшие 27 месяцев.
По строке 3 раздела 2 указывается приплод, родившийся в отчетном году живым от маток, принадлежащих хозяйству, включая приплод, который в последствии был продан, забит или пал, за исключением мертворожденного приплода. В количество полученного приплода не включается молодняк рождения отчетного года, приобретенный хозяйством со стороны.
По строке 4 раздела 2 записываются все случаи приобретения скота и птицы хозяйством (купленные, полученные в порядке обмена, дарения, за случайные услуги, в долг или в уплату долга и другие) в пределах своего региона у сельскохозяйственных предприятий, индивидуальных предпринимателей и крестьянских или фермерских хозяйств и хозяйств населения, занимающихся выращиванием скота и птицы.
По строке 8 раздела 2 указывается количество голов скота и птицы, приобретенных в других регионах республики и из-за границы (импорт).
В строке 9 раздела 2 указывается количество голов скота и птицы, забитых хозяйством (самостоятельно или на бойне), мясо которых предназначено для использования на собственные нужды, для продажи или выдачи организациям, предприятиям и работникам хозяйства, в том числе по бартерным сделкам. В данной строке отражается количество голов скота и птицы, проданных на убой заготовительным организациям, перерабатывающим предприятиям, через сеть общественного питания (столовые, рестораны, кафе), торговую сеть, включая рынки, и на экспорт.
В строках 10 и 11 раздела 2 указывается вес забитых или реализованных на убой скота и птицы в живой и убойной массе. По овцам учитывается поголовье приплода, забитого на каракульские смушки (при определении живого веса одной головы забитых на мясо овец, живой вес приплода, забитого на каракульские смушки, не учитывается).
В строку 12 раздела 2 включается все количество павшего скота и птицы за отчетный год (от пожаров, стихийных бедствий, утонувшего и другие), включая павший молодняк рождения текущего года. Также включается вынужденно забитый скот, мясо которого не подлежит к использованию в пищу или используется только на корм сельскохозяйственному скоту и птице, и другим домашним животным.
По строке 13 раздела 2 записываются все случаи выбытия живого скота (продажа, обмен, дарение, за случайные услуги, в долг или в уплату долга, оплаты труда) в пределах своего региона в сельскохозяйственных предприятиях, к индивидуальным предпринимателям и в крестьянские или фермерские хозяйства и хозяйства населения, занимающихся выращиванием скота и птицы.
По строке 17 раздела 2 указывается количество голов скота и птицы, вывезенных в другие регионы республики, за границу (на экспорт) и другие случаи выбытия скота (хищение), в том числе отражается выбытие скота и птицы в другие регионы Республики Казахстан в случае, если скот продается на доращивание, разведение, откорм или аренду. Скот и птица, выбывшие живыми головами в другие страны отражается в данной строке независимо на какие цели продается (на мясо или на доращивание).
По строке 18 раздела 2 указывается количество скота и птицы на конец года, принадлежащих хозяйству, независимо от того, находились ли они на скотном дворе хозяйства или в отгоне на пастбищах.
К коровам молочного направления относят коров черно-пестрой, голштинофризской, красно-степной, аулиеатинской, айрширской, бурой латвийской породы. К коровам мясного направления относят коров пород казахской белоголовой, аулиекольской, ангус, герефорд, обрак, шароле, лимузин, санта-гертруда, галловейской и калмыцкой. К коровам молочно-мясного направления относят коров алатауской, симментальской, швицкой породы. Беспородный скот относят к молочному, мясному или молочно-мясному стаду в зависимости от цели использования (получения мяса или молока). Если от коровы получают молоко для дальнейшего его потребления человеком или реализации, то таких коров относят к молочному стаду.
В строке 20 раздела 2 среднее поголовье рассчитывается путем деления суммы кормодней поголовья за год на число дней данного года. Кормоднем считается пребывание в хозяйстве одной головы скота в течение суток.
Среднее поголовье рассчитывается по формуле средней хронологической:
где,
Х — среднее поголовье за отчетный период;
х1– численность поголовья на первую дату отчетного периода, на 1 января отчетного года;
х2– численность поголовья на вторую дату отчетного периода, на 1 февраля отчетного года;
х3– численность поголовья на третью дату отчетного периода, на 1 марта отчетного года;
хn– численность поголовья на последнюю дату отчетного периода, на 1 января следующего года;
n– число месяцев в отчетном периоде.
В случаях отсутствия помесячных данных среднее поголовье может быть исчислено как среднее арифметическое на начало и конец отчетного года.
Аналогично рассчитывается строка 21 раздела 2. В качестве базы для исчисления данного показателя берется число маток, способных дать приплод в отчетном году.
По строке 22 из строки 18 раздела 2 выделяется численность сельскохозяйственных животных на конец года, находящихся в производственном подразделении по органическому производству.
По строке 23 из строки 11 раздела 2 выделяется убойный вес забитых в хозяйствах или реализованных на убой сельскохозяйственных животных, находящихся в производственном подразделении по органическому производству.
6. В разделе 3 указываются все виды скота и птицы, указанные по строке 18 раздела 2, по половозрастным группам, в соответствии со Справочником продукции (услуг) сельского, лесного и рыбного хозяйства, размещенном на интернет-ресурсе Бюро национальной статистики Агентства по стратегическому планированию и реформам Республики Казахстан (www.stat.gov.kz).
7. В разделе 4 указывается поголовье отдельных видов животных, выращенных на ферме, неучтенных в разделе 2 и поголовье птицы по видам и реализация их на убой. По графе 1 отражается фактическое наличие в хозяйстве птицы и животных, выращенных на ферме по видам на конец отчетного года. По графе 2 отражается количество голов скота и птицы, забитых хозяйством (самостоятельно или на бойне), мясо которых предназначено для использования на собственные нужды, для продажи или выдачи организациям, предприятиям, работникам хозяйства и по бартерным сделкам. В данной строке отражается количество голов скота и птицы, проданных на убой заготовительным организациям, перерабатывающим предприятиям, через сеть общественного питания (столовые, рестораны, кафе), торговую сеть, включая рынки и на экспорт. В графах 3 и 4 отражается вес забитых или реализованных на убой скота и птицы в живой и убойной массе.
В подразделе 4.1 указывается поголовье пушных зверей клеточного содержания на конец отчетного года. В подразделе 4.2 показывается количество пчелосемей на отчетную дату.
8. В разделе 5 указывается среднее поголовье отдельных видов скота и птицы, от которых получена продукция в отчетном году. Среднее поголовье дойных коров, кур-несушек рассчитывается аналогично показателю «среднегодовое поголовье» раздела 2. По овцам, подверженным стрижке, показывается поголовье овец, с которых получена шерсть в отчетном году.
9. В разделе 6 указываются данные о производстве отдельных видов продукции животноводства, с выделением по каждой строке данных о производстве продукции органического животноводства.
В подразделе 6.1 по производству молока сырого коровьего, овечьего, козьего, кобыльего, верблюжьего отражается фактически надоенное за период, независимо от того, было ли оно реализовано или часть его потреблена в хозяйстве, в том числе на выпойку телят и поросят. Молоко, высосанное телятами, ягнятами, козлятами, жеребятами и верблюжатами при подсосном их содержании, в продукцию и валовое производство не включается.
По показателю «Производство шерсти» указывается фактически настриженная овечья, козья, верблюжья шерсти, независимо реализована она или использована на внутрихозяйственные нужды. Шерсть, полученная с овчин при промышленной переработке их на кожу (так называемая «кислая шерсть») в продукцию не включается. Вес шерсти показывается физический, непосредственно после стрижки овец.
К продуктам пищевым животного происхождения, не включенные в другие группировки, прочим относятся продукты, получаемые от живых животных, пригодные для употребления в пищу человеком, не вошедшие в другие позиции.
В подразделе 6.2 указывается количество яиц, полученных в хозяйстве за отчетный период от всех видов птиц (кур, индеек, уток, гусей, цесарок, перепелок, страусов и прочих), включая яйца, использованные на воспроизводство птицы (в том числе инкубацию). В том числе, указывается количество куриных яиц, использованное для возобновления поголовья домашней птицы.
В подразделе 6.3 к шкуркам смушковых ягнят относятся каракульча, каракуль и смушка.
К крупным шкурам относятся шкуры крупного рогатого скота, лошадей, верблюдов и другие шкуры в парном состоянии весом свыше 10 килограмм.
К мелким шкурам относятся шкуры овец, коз, телят, жеребят, верблюжат и другие шкуры в парном состоянии весом менее 10 килограмм.
В подразделе 6.4 указывается из общего количества настриженной овечьей шерсти количество реализованной шерсти на первичную обработку. К первичной обработке шерсти относится сортировка, трепание, промывание и сушка шерсти.
10. В разделе 7 учитываются все расходы кормов за год по видам кормов и по группам скота. Физическая масса каждого вида кормов, скормленных соответствующей группе скота, через нормативы питательности кормов переводится в кормовые единицы.
В культуры кормовые зерновые и зернобобовые включается зеленая масса всех видов зерновых и зернобобовых культур, использованная на корм скоту. Фуражное зерно учитывается в концентрированных кормах.
При заполнении раздела 7 указывается, что для кормления свиней и домашней птицы не используются солома и шелуха, а также сено.
11. Представление данной статистической формы осуществляется на бумажном носителе или в электронном виде. Заполнение статистической формы в электронном виде осуществляется посредством информационной системы «Сбор данных в режиме онлайн», размещенной на интернет-ресурсе Бюро национальной статистики Агентства по стратегическому планированию и реформам Республики Казахстан (https://cabinet.stat.gov.kz/).
12. Примечание: х – данная позиция не подлежит заполнению.
13. Арифметико-логический контроль:
1) Раздел 2:
строка 1 за отчетный год = строке 18 статистической формы за предыдущий год, для каждой графы;
строка 2 за отчетный год = строке 19 статистической формы за предыдущий год, для каждой графы;
если строка 1 > 0, то строка 2 > 0, для каждой графы;
строка 4 = сумма строк 5–7, кроме граф 2, 4 и 6, для каждой графы;
если строка 9 > 0, то строка 10 и строка 11 > 0, для каждой графы, кроме граф 2, 4 и 6;
строка 10 > строки 11, кроме граф 2, 4 и 6, для каждой графы;
если строка 18 > 0, то строка 19 > 0, для каждой графы;
строка 3 > 0, тогда строка 21 > 0, кроме графы 12, для каждой графы;
если строка 10 > 0, тогда строка 11 > 0, кроме граф 2, 4 и 6, для каждой графы;
строка 13 = сумма строк 14 – 16, кроме граф 2, 4 и 6, для каждой графы;
строка 18 = строка 1 + строка 3 + строка 4 + строка 8 – строка 9 – – строка 12 – строка 13 – строка 17;
графа 1 ≥ графы 2, для каждой строки;
графа 3 ≥ графы 4, для каждой строки;
графа 5 ≥ графы 6, для каждой строки;
строка 18 ≥ строки 22, для каждой графы;
строка 22 ≤ строки 18, для каждой графы;
строка 11 ≥ строки 23, для каждой графы, кроме граф 2, 4 и 6;
строка 23 ≤ строки 11, для каждой графы, кроме граф 2, 4 и 6;
2) Раздел 4:
если строка 2 > 0, то строка 3 > 0 и 4 > 0, для каждой строки;
строка 3 > строки 4, для каждой строки;
3) Подраздел 6.1:
графа 1 ≥ графы 2, для каждой строки;
графа 2 ≤ графы 1, для каждой строки;
4) Подраздел 6.2:
графа 1 ≥ графы 2, для каждой строки;
графа 2 ≤ графы 1, для каждой строки;
5) Раздел 7:
графа 1 ≥ графа 2, для каждой строки;
графа 3 ≥ графа 4, для каждой строки;
графа 5 ≥ графа 6, для каждой строки;
6) Контроль между разделами:
если строка 18 раздела 2 > 0, то раздел 3 > 0 по соответствующим кодам;
сумма граф 1, 2, 3, 4, 5 раздела 4 графы 1 = разделу 2 по графе 12 строки 18;
сумма граф 1, 2, 3, 4, 5 раздела 4 графы 2 = разделу 2 по графе 12 строки 9;
сумма граф 1, 2, 3, 4, 5 раздела 4 графы 3 = разделу 2 по графе 12 строки 10;
сумма граф 1, 2, 3, 4, 5 раздела 4 графы 4 = разделу 2 по графе 12 строки 11;
если строка 1 графа 1 раздела 5 > 0, то строка 21 раздела 2 по графам 1 и/или 5 > 0;
строка 4 графа 1 раздела 5 ≤ строки 9 раздела 2 по графе 9;
если графа 1 раздела 6.1 сумма по строке 1 и 2 > 0, то строка 1 графы 1 раздела 5 > 0;
если графа 1 раздела 6.1 сумма по строкам 7, 8, 9, 10, 11 > 0, то строка 2 графы 1 раздела 5 > 0;
если графа 1 раздела 6.2 сумма по строкам 1, 2, 3, 4, 9, 10, 11 > 0, то строка 3 графы 1 раздела 5 > 0;
если графа 1 раздела 6.3 сумма по строкам 12, 13, 14 > 0, то строка 4 графы 1 раздела 5 > 0;
строка 16 графы 1 раздела 6.3 ≤ раздел 2 строка 9 + строка 12 по сумме граф 1 + 3 + 5 + 7 + 8;
строка 16 + 17 графы 1 раздела 6.3 ≤ раздел 2 строка 9 + строка 12 по сумме граф 1 + 3 + 5 + 7 + 8 + 9 + 10;
подраздел 6.4 ≤ сумме строк 7, 8, 9, 10, 11 графы 1 раздела 6.1;
подраздел 6.5 ≤ сумме строк 1, 2 графы 1 разд. 6.1;
14. Дополнительные контроли являются допустимыми и предусмотрены с целью снижения вероятности появления случайных ошибок регистрации, возникающих из-за описок и невнимательности респондентов:
при заполнении строк 9 и 10 раздела 2 учитывается средний живой вес одной головы скота и птицы (отношение строки 10 к строке 9), не выходит за следующие пределы. Минимальное допустимое значение среднего живого веса одной головы крупного рогатого скота – 230 килограмм (далее – кг), максимально допустимое – 550 кг. Для коров эти пределы составляют соответственно 380 кг и 550 кг; лошадей – 270 кг и 600 кг; верблюдов – 370 кг и 1000 кг; овец и коз – 30 кг и 65 кг; свиней – 70 кг и 150 кг; маралов – 250 кг и 300 кг; домашней птицы – 0,5 кг и 8 кг; кроликов – 2,5 кг и 4 кг; птицы, выращиваемой на ферме – 1 кг и 8 кг, для прочих животных – 250 кг и 350 кг;
при заполнении строки 11 раздела 2 учитывается, что коэффициент выхода убойной массы скота и птицы, реализованных на убой в живом весе (отношение строки 11 к строке 10, выраженное в процентах), находится в следующих пределах. Для крупного рогатого скота коэффициент убойного выхода составляет 50-59 % (для хозяйства население – 50-54 %), лошадей – 48-53 %, верблюдов – 48-54 %, овец и коз – 43-58 %, свиней – 66-75 %, домашней птицы – 61-80 %, кроликов – 50 %, маралов – 45-48 %;
при заполнении раздела 6.1 учитывается надой молока в расчете на одну корову, не превышающий 23 кг в день (отношение произведенного коровьего молока к среднему поголовью дойных коров), а средний настриг шерсти с одной овцы – 4,5 кг (отношения произведенного количества шерсти к количеству овец подверженных стрижке);
при заполнении раздела 6.2 учитывается средняя яйценоскость кур-несушек – 30 штук в месяц (отношение производства яиц куриных к среднему поголовью кур-несушек).
В случаях несоблюдения вышеприведенных ограничений, вместе со статистической формой предоставляются в подразделения статистики соответствующие пояснения.
Примечание ИЗПИ!
Приложение 28 предусматривается в редакции приказа Руководителя Бюро национальной статистики Агентства по стратегическому планированию и реформам РК от 05.06.2025 № 13 (вводится в действие с 01.01.2026).
| Приложение 28 к приказу Председателя Комитета по статистике Министерства национальной экономики Республики Казахстан от 10 февраля 2020 года № 21 |
Сноска. Приложение 28 — в редакции приказа Руководителя Бюро национальной статистики Агентства по стратегическому планированию и реформам РК от 28.07.2023 № 13 (вводится в действие с 01.01.2024).
|
|
Мемлекеттік статистика органдары құпиялылығына кепілдік бередіКонфиденциальность гарантируется органами государственной статистики Жалпымемлекеттік статистикалық байқаудың статистикалық нысаныСтатистическая форма общегосударственного статистического наблюдения |
Қазақстан Республикасы Ұлттық экономика министрлігінің Статистика комитеті төрағасының 2020 жылғы 10 ақпандағы № 21 бұйрығына 28-қосымша |
||||||
|---|---|---|---|---|---|---|---|---|
|
Ауылшаруашылығы кәсіпорындарында ауылшаруашылығы мақсатындағы құрылыстар мен құрылысжайлардың болуы Наличие в сельскохозяйственных предприятиях построек и сооружений сельскохозяйственного назначения |
||||||||
|
Индексі Индекс |
49-сх |
жылдық годовая |
есепті кезең отчетный период |
|
жыл год |
|||
Экономикалық қызмет түрлері жалпы жіктеуішінің 01.1 Бір- немесе екіжылдық дақылдарды өсіру, 01.2 Көпжылдық дақылдарды өсіру, 01.3 Өсімдіктердің ұдайы өндірісі, 01.4 Мал шаруашылығы, 01.5 Аралас ауылшаруашылығы, 01.6 Астықты өңдеу жөніндегі қызмет және ауылшаруашылық дақылдарын өсіру және мал басын көбейтуге мүмкіндік беретін қызмет кодтары бойынша негізгі немесе қосалқы қызмет түрлерімен заңды тұлғалар және (немесе) олардың құрылымдық және оқшауланған бөлімшелері ұсынадыПредставляют юридические лица и (или) их структурные и обособленные подразделения с основным или вторичным видами деятельности по кодам Общего классификатора видов экономической деятельности 01.1 Выращивание одно- или двухлетних культур, 01.2 Выращивание многолетних культур, 01.3 Воспроизводство растений, 01.4 Животноводство, 01.5 Смешанное сельское хозяйство, 01.6 Деятельность, способствующая выращиванию сельскохозяйственных культур и разведению животных и деятельность по обработке урожая |
||||||||
Ұсыну мерзімі – есепті кезеңнен кейінгі 10 сәуірге (қоса алғанда) дейінСрок представления – до 10 апреля (включительно) после отчетного периода |
||||||||
БСН кодыКод БИН |
|
|||||||
|
1. |
Ауылшаруашылығы құрылыстары мен құрылысжайлардың нақты орналасқан аумағын (облыс, қала, аудан, елді мекен) көрсетіңізУкажите территорию (область, город, район, населенный пункт) фактического нахождения сельскохозяйственных построек и сооружений |
|
||||||
1.1. Әкімшілік-аумақтық объектілер жіктеуішіне (ӘАОЖ) сәйкес аумақ коды (респондент статистикалық нысанды қағаз жеткізгіште ұсынған кезде аумақтық статистика органының тиісті қызметкері толтырады)Код территории согласно Классификатору административно-территориальных объектов(КАТО) (заполняется соответствующим работником территориального органа статистики при представлении респондентом статистической формы на бумажном носителе) |
|
|||||||
2. Есепті жылдың соңына өсімдік шаруашылығындағы құрылыстардың және құрылысжайлардың қолда бары туралы ақпаратты көрсетіңіз
Укажите информацию о наличии построек и сооружений в растениеводстве на конец отчетного года
|
Атауы Наименование |
НҚЖ коды1 Код КОФ1 |
Құрылыстар және құрылысжайлар Постройки и сооружения |
|||||
|---|---|---|---|---|---|---|---|
|
саны, бірлікпен количество, в единицах |
одан из них: |
жалпы ауданы, шаршы метрмен общая площадь, в квадратных метрах |
жалпы сыйымдылығы, тоннамен общая вместимость, в тоннах |
кезеңге орташа жүктеме, тоннамен загруженность в среднем за период, в тоннах |
жыл бойы максималды жүктеме, тоннамен максимальная загруженность в течение года, в тоннах |
||
|
климаттық бақылау жүйесімен жабдықталған оснащенных системой климат-контроля |
|||||||
|
А |
Б |
1 |
2 |
3 |
4 |
5 |
6 |
Астық-тұқым сақтау қоймалары (жемшөп қоймаларын қоса)Зерносеменохранилища (включая зернофуражные) |
122.916000 |
||||||
оданиз них: |
|||||||
астық сақтау қоймаларызернохранилища |
122.916001 |
Ескертпе
:
Примечание:
1
Мұнда және бұдан әрі НҚЖ – Негізгі қорлар анықтамалығы, Қазақстан Республикасы Стратегиялық жоспарлау және реформалар агенттігі Ұлттық статистика бюросының интернет-ресурсы «Жіктеуіштер» бөлімінде орналасқан
1 Здесь и далееКОФ – Справочник основных фондов, размещен на интернет-ресурсе Бюро национальной статистики Агентства по стратегическому планированию и реформам Республики Казахстан в разделе «Классификаторы»
|
Атауы Наименование |
НҚЖ коды Код КОФ |
Құрылыстар және құрылысжайлар Постройки и сооружения |
|||||
|---|---|---|---|---|---|---|---|
|
саны, бірлікпен количество, в единицах |
одан из них: |
жалпы ауданы, шаршы метрмен общая площадь, в квадратных метрах |
жалпы сыйымдылығы, тоннамен общая вместимость, в тоннах |
кезеңге орташа жүктеме, тоннамен загруженность в среднем за период, в тоннах |
жыл бойы максималды жүктеме, тоннамен максимальная загруженность в течение года, в тоннах |
||
|
климаттық бақылау жүйесімен жабдықталған оснащенное системой климат-контроля |
|||||||
|
А |
Б |
1 |
2 |
3 |
4 |
5 |
6 |
тұқым сақтау қоймаларысеменохранилища |
122.916002 |
||||||
жемшөп сақтау қоймаларызернофуражные хранилища |
122.916003 |
||||||
Көкөніс-картоп сақтау қоймаларыОвощекартофелехранилища |
122.915100 |
||||||
оданиз них: көкөніс сақтау қоймаларыовощехранилища |
122.915101 |
||||||
картопсақтау қоймаларыкартофелехранилища |
122.915102 |
||||||
Тамыржемістілерді сақтау қоймалары (мал азығы үшін)
Корнеплодохранилища |
122.915200 |
||||||
Жеміс сақтау қоймалары (жеміс-жидек қоймаларын қоса)Фруктохранилища (включая плодово-ягодные хранилища) |
122.915300 |
||||||
оданиз них: жеміс-жидек сақтау қоймаларыплодово-ягодные хранилища |
122.915301 |
||||||
өзге де жеміс сақтау қоймаларыпрочие фруктохранилища |
122.915399 |
||||||
Минералды тыңайтқыштарға, улы химикаттарға арналған қоймаларСклады для хранения минеральных удобрений, ядохимикатов |
122.126004 |
||||||
ЖылыжайларТеплицы |
122.911000 |
Х |
Х |
Х |
|||
|
соның ішінде: көкөністер өсіруге арналған жылыжайлартеплицы для выращивания овощей |
122.911004 |
Х |
Х |
Х |
|||
гүл өсіруге арналған жылыжайлартеплицы для выращивания цветов |
122.911005 |
Х |
Х |
Х |
|||
саңырауқұлақтарға өсіруге арналған жылыжайлартеплицы для выращивания грибов |
122.911006 |
Х |
Х |
Х |
|||
өзге де жылыжайларпрочие теплицы |
122.911007 |
Х |
Х |
Х |
3. Есепті жылдың соңына мал шаруашылығындағы құрылыстардың және құрылысжайлардың қолда бары туралы ақпаратты көрсетіңіз
Укажите информацию о наличии построек и сооружений в животноводстве на конец отчетного года
|
Атауы Наименование |
НҚЖ коды Код КОФ |
Құрылыстар және құрылысжайлар Постройки и сооружения |
|
|---|---|---|---|
|
саны, бірлікпен количество, в единицах |
сыйымдылығы, мал орны (құс орны) вместимость, скотомест (птицемест) |
||
|
А |
Б |
1 |
2 |
Ірі қара мал ұстауға арналған қораларПомещения для содержания крупного рогатого скота |
122.914001 |
||
Шошқаларды ұстауға арналған қораларПомещения для содержания свиней |
122.914002 |
||
Қойларды ұстауға арналған қораларПомещения для содержания овец |
122.914003 |
||
Жылқыларды ұстауға арналған қораларПомещения для содержания лошадей |
122.914004 |
||
Түйелерді ұстауға арналған қораларПомещения для содержания верблюдов |
122.914005 |
||
Құс ұстауға арналған үй-жайлар (құс фабрикаларынан басқа)Помещения для содержания птицы (кроме птицефабрик) |
122.914006 |
||
Құс фабрикаларыПтицефабрики |
122.912000 |
||
Малдың бірнеше түрлерін ұстауға арналған қораларПомещения для содержания нескольких видов скота |
122.914007 |
Х |
|
Өзге де мал түрлерін ұстауға арналған қораларПомещения для содержания прочих видов скота |
122.914008 |
Х |
4. Есепті жылдың соңына ауылшаруашылығы техникасын жөндеу шеберханаларының, техникалық қызмет көрсету пункттерінің, сондай-ақ өзге де ауылшаруашылығы құрылыстарының қолда бары туралы ақпаратты көрсетіңіз
Укажите информацию о наличии ремонтных мастерских, стационарных пунктов техобслуживания сельхозтехники, а также прочих сельскохозяйственых построек на конец отчетного года
|
Атауы Наименование |
НҚЖ коды Код КОФ |
Құрылыстар және құрылысжайлар Постройки и сооружения |
|
|---|---|---|---|
|
саны, бірлікпен |
жалпы ауданы, шаршы метрмен |
||
|
А |
Б |
1 |
2 |
Жөндеу шеберханаларыРемонтные мастерские |
122.290006 |
||
Стационарлық техникалық қызмет көрсету пункттеріСтационарные пункты техобслуживания |
122.240002 |
||
Өзге де құрылыстарПрочие постройки |
122.919099 |
5. Статистикалық нысанды толтыруға жұмсалған уақытты көрсетіңіз, сағатпен (қажеттiсiн қоршаңыз)
Укажите время, затраченное на заполнение статистической формы, в часах (нужное обвести)
| 1 сағатқа дейiн |
1-2 |
2-4 |
4-8 |
8-40 |
40 сағаттан артық |
|---|---|---|---|---|---|
|
до 1 часа |
более 40 часов |
Атауы
Мекенжайы (респонденттің
)
Наименование _____________________ Адрес (респондента) __________________________
Телефоны (респонденттің
)
Телефон(респондента) ___________________________________ ____________
стационарлық
ұялы
стационарный мобильный
Электрондық пошта мекенжайы (респонденттің)
Адрес электронной почты (респондента)____________________________________________
Орындаушы
Исполнитель ______________________________________________ _____________________
тегі, аты және әкесінің аты (бар болған жағдайда
)
қолы, телефоны (орындаушының)
фамилия, имя и отчество (при его наличии) подпись, телефон (исполнителя)
Бас бухгалтер немесе оның міндетін атқарушы тұлға
Главный бухгалтер или лицо, исполняющее его обязанности ___________________________
тегі, аты және әкесінің аты (бар болған жағдайда)
қолы
фамилия, имя и отчество (при его наличии) подпись
Басшы немесе оның міндетін атқарушы тұлға
Руководитель или лицо, исполняющее его обязанности ________________________________
тегі, аты және әкесінің аты (бар болған жағдайда)
қолы
фамилия, имя и отчество (при его наличии) подпись
Ескертпе:
Примечание:
Мемлекеттік статистиканың тиісті органдарына анық емес бастапқы статистикалық деректерді ұсыну және бастапқы статистикалық деректерді белгіленген мерзімде ұсынбау «Әкімшілік құқық бұзушылық туралы» Қазақстан Республикасы Кодексінің 497-бабында көзделген әкімшілік құқық бұзушылықтар болып табылады
Представление недостоверных и непредставление первичных статистических данных в соответствующие органы государственной статистики в установленный срок являются административными правонарушениями, предусмотренными статьей 497 Кодекса Республики Казахстан «Об административных правонарушениях»
Примечание ИЗПИ!
Приложение 29 предусматривается в редакции приказа Руководителя Бюро национальной статистики Агентства по стратегическому планированию и реформам РК от 05.06.2025 № 13 (вводится в действие с 01.01.2026).
| Приложение 29 к приказу Председателя Комитета по статистике Министерства национальной экономики Республики Казахстан от 10 февраля 2020 года № 21 |
Инструкция по заполнению статистической формы общегосударственного статистического наблюдения «Наличие в сельскохозяйственных предприятиях построек и сооружений сельскохозяйственного назначения» (индекс 49-сх, периодичность годовая)
Сноска. Приложение 29 — в редакции приказа Руководителя Бюро национальной статистики Агентства по стратегическому планированию и реформам РК от 28.07.2023 № 13 (вводится в действие с 01.01.2024).
1. Настоящая инструкция детализирует заполнение статистической формы общегосударственного статистического наблюдения «Наличие в сельскохозяйственных предприятиях построек и сооружений сельскохозяйственного назначения» (индекс 49-сх, периодичность годовая) (далее – статистическая форма).
2. В настоящей инструкции используются следующие определения:
1) здание – искусственное строение, состоящее из несущих и ограждающих конструкций, образующих обязательный наземный замкнутый объем, в зависимости от функционального назначения используемое для проживания или пребывания людей, выполнения производственных процессов, а также размещения и хранения материальных ценностей. Здание может иметь подземную часть;
2) сооружение – искусственно созданный объемный, плоскостной или линейный объект (наземный, надворный и (или) подземный, подводный), имеющий естественные или искусственные пространственные границы, и предназначенный для выполнения производственных процессов, размещения и хранения материальных ценностей или временного пребывания (перемещения) людей, грузов, а также размещения (прокладки, проводки) оборудования или коммуникаций.
3. Если постройки и сооружения сельскохозяйственного назначения находятся на территории нескольких районов и (или) областей, юридические лица представляют статистическую форму, по каждой территории на отдельных статистических формах, данные отражаются по месту нахождения сельскохозяйственных построек и сооружений.
При делегировании полномочий юридическим лицом своему структурному подразделению по сдаче статистической формы, структурное подразделение представляет статистическую форму в территориальные органы статистики по месту своего нахождения.
Под постройками в данной статистической форме понимаются отдельно стоящие здания сельскохозяйственного назначения. Офисные здания (конторы и другие) к постройкам и сооружениям сельскохозяйственного назначения не относятся.
4. В разделе 2 указывается информация о постройках и сооружениях в растениеводстве, которые находились на балансе предприятия на конец отчетного года.
В графе 1 раздела 2 указывается количество отдельно стоящих построек и сооружений. Если здания примыкают друг к другу и имеют общую стену, но каждое представляет собой самостоятельное конструктивное целое, их считают отдельными постройками.
В графе 2 раздела 2 указывается оснащение построек и сооружений системой климат-контроля (вентиляцией, температурой и влажностью). Если есть такое оборудование указать количество.
В графе 3 раздела 2 указывается общая площадь построек и сооружений в растениеводстве в квадратных метрах.
В графе 4 раздела 2 указывается общая вместимость построек и сооружений в тоннах единовременного хранения. Общая вместимость построек и сооружений, предназначенных для хранения сельскохозяйственной продукции, указывается в соответствии с проектной документацией, или рассчитывается путем умножения полезного объема хранилища склада или сооружения на средний вес одного кубического метра продукции.
В графе 5 раздела 2 указывается загруженность в среднем за период построек и сооружений. Загруженность в среднем за период определяется путем суммирования загруженности построек и сооружений в среднем за все месяцы отчетного года и деления полученной суммы на двенадцать.
В графах 6 указывается максимальная загруженность в отчетном году построек и сооружений в течении года.
В разделе 2 по строке 122.916000 «Зерносеменохранилища (включая зернофуражные)» указываются общие данные по зерноскладам для хранения продовольственного зерна, зернофуражным хранилищам, семенохранилищам, и постройкам для смешанного хранения продовольственного, семенного и фуражного зерна. Из данной строки отдельно по строке 122.916001 выделяются данные по зерноскладам, предназначенным для хранения продовольственного зерна, по строке 122.916002 – данные по хранилищам, предназначенным для хранения семенного зерна, по строке 122.916003 – данные по хранилищам фуражного зерна.
По строке 122.915100 «Овощекартофелехранилища» указываются общие данные по овощехранилищам, картофелехранилищам, а также постройкам для смешанного хранения овощей и картофеля. Из этой строки отдельно по строке 122.915101 выделяются данные по складам для хранения только овощей, по строке 122.915102 – только по хранилищам картофеля.
По строке 122.915300 «Фруктохранилища (включая плодово-ягодные хранилища)» указываются общие данные по хранилищам семечковых и косточковых плодов, ягод, орехоплодных и цитрусовых культур, винограда. Из этой строки отдельно по строке 122.915301 указываются данные по хранилищам семечковых и косточковых плодов и ягод, по строке 122.915399 указываются данные по хранилищам винограда, цитрусовых культур и орехоплодных.
По строке 122.911000 «Теплицы» указываются общие данные по всем теплицам в соответствии со «Справочником основных фондов» (КОФ). Отдельно по строке 122.911004 показываются данные по теплицам для выращивания овощей, по строке 122.911005 – данные по теплицам для выращивания цветов, по строке 122.911006 – данные по теплицам для выращивания грибов, по строке 122.911007 – данные по прочим теплицам.
5. В разделе 3 указывается информация о постройках, сооружениях и помещениях для содержания скота, находившиеся на балансе предприятия на конец отчетного года, включая родильные отделения, откормочные площадки круглогодичного действия, кроме выгульных дворов при животноводческих постройках, летних лагерей и помещений на отгонных пастбищах.
В графе 1 раздела 3 указывается количество отдельно стоящих построек и сооружений в животноводстве. Если здания примыкают друг к другу и имеют общую стену, но каждое представляет собой самостоятельное конструктивное целое, их считают отдельными постройками.
По коду 122.912000 «Птицефабрики» в графе 1 указывается количество отдельно стоящих построек и сооружений сельскохозяйственного значения на площади птицефабрики, которые предназначены для разведения и выращивания домашней птицы и производства продукции птицеводства (птичники, инкубаторы, яйцесклады, помещения для хранения кормов, убойные цеха и другие).
В графе 2 раздела 3 указывается проектная вместимость построек и сооружений в соответствии с проектной документацией, или рассчитанная в количестве ското- или птицемест, исходя из зоотехнических норм содержания отдельных видов сельскохозяйственных животных. При определении общей вместимости по отдельным строкам раздела 3 учитываются данные по всем помещениям, числящимся на балансе хозяйства: временным и приспособленным, включая скотоместа в родильных отделениях, животноводческих комплексах, откормочных площадках круглогодового действия, кроме выгульных дворов при животноводческих постройках, летних лагерей и помещений на отгонных пастбищах с сезонным характером производства. По кодам 122.912000 «Птицефабрики», 122.914006 «Помещения для содержания птицы (кроме птицефабрик)» количество птицемест приводится в соответствии с проектной документацией.
По коду 122.914008 «Помещения для содержания прочих видов скота» указываются данные по постройкам для содержания пушных зверей, в том числе кроликов, пчелиных семей, оленей и прочих видов сельскохозяйственных животных.
6. В разделе 4 указывается информация постройках, сооружениях и помещениях для ремонта и техобслуживания сельскохозяйственной техники и данные о прочих сельскохозяйственных постройках, н е учтенных в разделах 2 и 3.
Данные по графам раздела 4 заполняются по аналогии с соответствующими графами разделов 2 и 3.
По коду 122.919099 «Прочие постройки» раздела 4 указываются данные о сооружениях для силоса и сенажа, включая башни и траншеи; всех типах навозохранилищ наземного типа, полузаглубленных емкостях для хранения навоза в очистных сооружениях и других хранилищах, независимо от физического состояния навоза (жидкий, полужидкий, твердый); сенохранилищах (складах и навесах для сена); постройках и сооружениях, предназначенных для сушки зерна; яйцескладах; кроме птицефабрик; помещениях для хранения кормов для сельскохозяйственных животных; других постройках для хранения готовой сельскохозяйственной продукции, не указанных в разделах 2 и 3; о прочих постройках и сооружениях, используемых при производстве сельскохозяйственной продукции.
7. При отсутствии деятельности в отчетный период респондент не позднее даты окончания самого раннего из сроков представления статистических форм за данный отчетный период, указанных в утвержденном Графике представления респондентами первичных статистических данных по общегосударственным статистическим наблюдениям на соответствующий год представляет Уведомление об отсутствии деятельности в порядке, установленном Правилами представления респондентами первичных статистических данных, утвержденных приказом Председателя Агентства Республики Казахстан по статистике от 9 июля 2010 года № 173 (зарегистрированным в Реестре государственной регистрации нормативных правовых актов № 6459).
8. Представление данной статистической формы осуществляется в электронном виде или на бумажном носителе. Заполнение статистической формы в электронном виде осуществляется через «Кабинет респондента» (https://cabinet.stat.gov.kz/), размещенном на интернет-ресурсе Бюро национальной статистики Агентства по стратегическому планированию и реформам Республики Казахстан, в режиме он-лайн.
9. Примечание: Х – данная позиция не подлежит заполнению.
10. Арифметико-логический контроль:
1) Раздел 2:
если графа 1 заполнена, то графы 2, 3, 4, 5 и 6 тоже заполняются;
2) строка 122.916000 > ∑строк 122.916001, 122.916002, 122.916003;
строка 122.915100 > ∑строк 122.915101, 122.915102;
строка 122.915300 > строке 122.915301;
строка 122.911000 > ∑строк 122.911004, 122.911005, 122.911006, 122.911007;
3) Раздел 3:
если графа 1 заполнена, то графа 2 тоже заполняются.
Приложение 30 к приказу
Председателя Комитета по
статистике Министерства
национальной экономики
Республики Казахстан
от «10» февраля 2020 года
№ 21
|
|
Мемлекеттік статистика органдары құпиялылығына кепілдік береді Конфиденциальность гарантируется органами государственной статистики Жалпымемлекеттік статистикалық байқаудың статистикалық нысаны Статистическая форма общегосударственного статистического наблюдения |
Қазақстан Республикасы Ұлттық экономика министрлігінің Статистика комитеті төрағасының 2020 жылғы «__» _______________ №___ бұйрығына 30-қосымша |
|||||||
|
Ауыл шаруашылығы қызметтерін көрсету туралы |
|||||||||
|
Об оказании сельскохозяйственных услуг |
|||||||||
|
Индексі Индекс |
8-сх |
үш жылда бір рет один раз в три года |
есепті кезең отчетный период |
|
жыл год |
||||
|
Экономикалық қызмет түрлері жалпы жіктеуішінің 01.6 – коды бойынша негізгі және қосалқы қызмет түрлерімен заңды тұлғалар және (немесе) олардың құрылымдық және оқшауланған бөлімшелері ұсынады Представляют юридические лица и (или) их структурные и обособленные подразделения с основным и вторичным видом деятельности по коду Общего классификатора видов экономической деятельности – 01.6 |
|||||||||
|
Ұсыну мерзімі – есепті кезеңнен кейінгі 20 сәуірге (қоса алғанда) дейін Срок представления – до 20 апреля (включительно) после отчетного периода |
|||||||||
|
БСН коды код БИН |
|
||||||||
|
1. Ауыл шаруашылығы қызметтері нақты көрсетілген аумақты (облыс, қала, аудан) көрсетіңіз Укажите территорию (область, город, район) фактического оказания сельскохозяйственных услуг |
|
||||||||
|
1.1 Әкімшілік — аумақтық объектілер жіктеуішіне (ӘАОЖ) сәйкес аумақ коды (респондент статистикалық нысанды қағаз жеткізгіште ұсынған кезде аумақтық статистика органының тиісті қызметкері толтырады) Код территории согласно Классификатору административно-территориальных объектов (КАТО) (заполняется соответствующим работником территориального органа статистики при представлении респондентом статистической формы на бумажном носителе) |
|
||||||||
2. Ауыл шаруашылығы саласында көрсетілген қызметтердің көлемі туралы ақпаратты көрсетіңіз, мың теңгемен
Укажите информацию об объемах оказанных услуг в области сельского хозяйства, в тысячах тенге
|
АШӨСЖ1 сәйкес көрсетілген қызмет түрінің атауы Наименование вида услуги в соответствии с СКПСХ1 |
АШӨСЖ1 бойынша коды Код по СКПСХ1 |
Ауыл шаруашылығы саласында көрсетілетін қызметтер Услуги в области сельского хозяйства |
|
А |
Б |
1 |
3. Қызметтің басқа да түрлері, мың теңгемен
Другие виды деятельности, в тысячах тенге
|
Қызмет түрінің атауы Наименование вида деятельности |
ЭҚЖЖ2 бойынша коды Код по ОКЭД2 |
Өндірілген өнімдердің (тауарлардың, көрсетілетін қызметтердің) көлемі Объем произведенной продукции (товаров, услуг) |
|
А |
Б |
1 |
Ескертпе:
Примечание:
1 Мұнда және бұдан әрі АШӨСЖ – Қазақстан Республикасы Ұлттық экономика министрлігі Статистика комитетінің интернет-ресурсында «Жіктеуіштер» бөлімінде орналасқан Ауыл, орман және балық шаруашылығы өнімдерінің (көрсетілетін қызметтердің) анықтамалығына сәйкес толтырылады
1 Здесь и далее СКПСХ – заполняется согласно Справочнику продукции (услуг) сельского, лесного и рыбного хозяйства, размещенному на интернет-ресурсе Комитета по статистике Министерства национальной экономики Республики Казахстан в разделе «Классификаторы»
2 ЭҚЖЖ – Қазақстан Республикасы Ұлттық экономика министрлігі Статистика комитетінің интернет-ресурсында «Жіктеуіштер» бөлімінде орналасқан Экономикалық қызмет түрлерінің жалпы жіктеуішіне сәйкес толтырылады
2 ОКЭД – заполняется согласно Общему классификатору видов экономической деятельности, размещенному на интернет-ресурсе Комитета по статистике Министерства национальной экономики Республики Казахстан в разделе «Классификаторы»
|
Қызмет түрінің атауы Наименование вида деятельности |
ЭҚЖЖ2 бойынша коды Код по ОКЭД2 |
Өндірілген өнімдердің (тауарлардың, көрсетілген қызметтердің) көлемі Объем произведенной продукции (товаров, услуг) |
|
А |
Б |
1 |
4. Статистикалық нысанды толтыруға жұмсалған уақытты көрсетіңіз, сағатпен (қажеттiсiн қоршаңыз)
Укажите время, затраченное на заполнение статистической формы, в часах (нужное обвести)
|
1 сағатқа дейiн |
1-2 |
2-4 |
4-8 |
8-40 |
40 сағаттан артық |
|
до 1часа |
более 40 часов |
Атауы Мекенжайы (респонденттің)
Наименование ______________________ Адрес (респондента)_______________________
Телефоны (респонденттің)
Телефон (респондента) __________________________ ______________________________
стационарлық ұялы
стационарный мобильный
Электрондық пошта мекенжайы (респонденттің)
Адрес электронной почты (респондента)
Орындаушы
Исполнитель_______________________________ ________________________________
тегі, аты және әкесінің аты (бар болған жағдайда) қолы, телефоны (орындаушының)
фамилия, имя и отчество (при его наличии) подпись, телефон (исполнителя)
Бас бухгалтер немесе оның
міндетін атқарушы тұлға
Главный бухгалтер или лицо,
исполняющее его обязанности ________________________________ _______________
тегі, аты және әкесінің аты (бар болған жағдайда) қолы
фамилия, имя и отчество (при его наличии) подпись
Басшы немесе оның
міндетін атқарушы тұлға
Руководитель или лицо,
исполняющее его обязанности _________________________________ _______________
тегі, аты және әкесінің аты (бар болған жағдайда) қолы
фамилия, имя и отчество (при его наличии) подпись
Ескертпе:
Примечание:
Мемлекеттік статистиканың тиісті органдарына анық емес бастапқы статистикалық деректерді ұсыну және бастапқы статистикалық деректерді белгіленген мерзімде ұсынбау «Әкімшілік құқық бұзушылық туралы» Қазақстан Республикасы Кодексінің 497-бабында көзделген әкімшілік құқық бұзушылықтар болып табылады
Представление недостоверных и непредставление первичных статистических данных в соответствующие органы государственной статистики в установленный срок являются административными правонарушениями, предусмотренными статьей 497 Кодекса Республики Казахстан «Об административных правонарушениях»
Приложение 31 к приказу
Председателя Комитета по
статистике Министерства
национальной экономики
Республики Казахстан
от «10» февраля2020 года
№21
Инструкция по заполнению статистической формы общегосударственного статистического наблюдения «Об оказании сельскохозяйственных услуг» (индекс 8-сх, периодичность один раз в три года)
1. Настоящая инструкция по заполнению статистической формы общегосударственного статистического наблюдения «Об оказании сельскохозяйственных услуг» (индекс 8-сх, периодичность один раз в три года) (далее – Инструкция) разработана в соответствии с подпунктом 8) статьи 12 Закона Республики Казахстан от 19 марта 2010 года «О государственной статистике» (далее – Закон) и детализирует заполнение статистической формы общегосударственного статистического наблюдения «Об оказании сельскохозяйственных услуг» (индекс 8-сх, периодичность один раз в три года) (далее – статистическая форма).
2. В настоящей Инструкции используются понятия в значениях, определенных в Законе, а также следующие определения:
1) услуги – деятельность, направленная на удовлетворение каких-либо потребностей человека или общества в целом, осуществляемая производителями по заказу потребителей и ведущая к изменению состояния единиц, потребляющих эти услуги;
2) объем оказанных услуг – представляет собой стоимость оказанных услуг в размере средств, поступивших от предприятий, учреждений, населения в уплату за оказанные им услуги;
3) другие виды деятельности – виды деятельности, которые респондент осуществлял помимо деятельности в сельском, лесном, охотничьем и рыбном хозяйстве.
3. Если услуги в области сельского хозяйства оказывались на территории нескольких районов и (или) областей/городов, представляют статистическую форму на отдельных бланках, выделяя информацию по каждой территории, отражающую по месту фактического осуществления сельскохозяйственных услуг.
При делегировании полномочий юридическим лицом по сдаче статистической формы структурному подразделению юридического лица, данная статистическая форма представляется по месту своего нахождения в территориальные органы статистики.
4. В разделе 2 указывается объем оказанных услуг в области сельского хозяйства в разрезе их видов в соответствии со Справочником продукции (услуг) сельского, лесного и рыбного хозяйства, размещенному на интернет-ресурсе Комитета по статистике Министерства национальной экономики Республики Казахстан в разделе «Классификаторы».
5. В разделе 3 указывается объем произведенной продукции (товаров, услуг) по другим видам деятельности, которые осуществлялись или оказывались предприятием в отчетном году.
6. Данные заполняются на основании документов бухгалтерского учета, отражающих объемы произведенной продукции (работ, услуг).
7. Представление данной статистической формы осуществляется на бумажном носителе или в электронном виде. Заполнение статистической формы в электронном виде осуществляется посредством информационной системы «Сбор данных в режиме он-лайн», размещенной на интернет-ресурсе Комитета по статистике Министерства национальной экономики Республики Казахстан (https://cabinet.stat.gov.kz/).
| Приложение 32 к приказу Председателя Комитета по статистике Министерства национальной экономики Республики Казахстан от 10 февраля 2020 года № 21 |
Сноска. Приложение 32 исключено приказом и.о. Руководителя Бюро национальной статистики Агентства по стратегическому планированию и реформам РК от 25.11.2022 № 35 (вводится в действие с 01.01.2023).
| Приложение 33 к приказу Председателя Комитета по статистике Министерства национальной экономики Республики Казахстан от 10 февраля 2020 года № 21 |
Инструкция по заполнению статистической формы общегосударственного статистического наблюдения
«О деятельности сервисно-заготовительных центров»
(индекс 1-СЗЦ, периодичность годовая)
Сноска. Приложение 33 исключено приказом и.о. Руководителя Бюро национальной статистики Агентства по стратегическому планированию и реформам РК от 25.11.2022 № 35 (вводится в действие с 01.01.2023).
| Приложение 34 к приказу Председателя Комитета по статистике Министерства национальной экономики Республики Казахстан от 10 февраля 2020 года № 21 |
Сноска. Приложение 34 — в редакции приказа Руководителя Бюро национальной статистики Агентства по стратегическому планированию и реформам РК от 28.07.2023 № 13 (вводится в действие с 01.01.2024).
|
|
Мемлекеттік статистика органдары құпиялылығына кепілдік бередіКонфиденциальность гарантируется органами государственной статистики Жалпымемлекеттік статистикалық байқаудың статистикалықнысаныСтатистическая форма общегосударственного статистического наблюдения |
Қазақстан Республикасы Ұлттық экономика министрлігінің Статистика комитеті төрағасының 2020 жылғы 10 ақпандағы № 21 бұйрығына 34-қосымша |
|||||||||||
|---|---|---|---|---|---|---|---|---|---|---|---|---|---|
|
Ауыл шаруашылығы кооперативінің қызметі туралы О деятельности сельскохозяйственного кооператива |
|||||||||||||
|
Индексі Индекс |
1-СПК |
жылдық годовая |
есепті кезең отчетный период |
|
жыл год |
||||||||
Ауыл шаруашылығы кооперативтері ұсынадыПредставляют сельскохозяйственные кооперативы |
|||||||||||||
Ұсыну мерзімі – есепті кезеңнен кейінгі айдың 28 наурызға (қоса алғанда) дейінСрок представления – до 28 марта (включительно) после отчетного периода |
|||||||||||||
БСН кодыкод БИН |
|
||||||||||||
|
1. |
Қызмет жүзеге асырылатын нақты жерді көрсетіңіз (облыс, қала, аудан)Укажите фактическое место осуществления деятельности (область, город, район) |
|
|||||||||||
1.1. Әкімшілік-аумақтық объектілер жіктеуішіне (ӘАОЖ) сәйкес аумақ коды (респондент статистикалық нысанды қағаз жеткізгіште ұсынған кезде аумақтық статистика органының тиісті қызметкері толтырады)Код территории согласно Классификатору административно-территориальных объектов (КАТО) (заполняется соответствующим работником территориального органа статистики при представлении респондентом статистической формы на бумажном носителе) |
|
||||||||||||
2. Ауыл шаруашылығы кооперациясының негізгі бағытын көрсетіңіз (бір ғана бағытты белгілеңіз)
Укажите основное направление сельскохозяйственной кооперации (отметить только одно направление)
1. ӨндірістікПроизводственные |
|
||
2. ӨткізуСбытовые |
|
||
3. СервистікСервисные |
|
||
4. ӨңдеушіПерерабатывающие |
|
||
5. БасқаИные |
|
3. Есепті кезеңнің соңына ауыл шаруашылығы кооперативі мүшелерінің саны туралы мәліметтерді көрсетіңіз
Укажите сведения о количестве членов сельскохозяйственного кооператива, на конец отчетного периода
|
Жол коды Код строки |
Ауыл шаруашылығы кооперативі мүшелерінің типтері Типы членов сельскохозяйственного кооператива |
Есепті кезеңнің соңына ауыл шаруашылығы кооперативі мүшелерінің саны, бірлікпен Количество членов сельскохозяйственного кооператива на конец отчетного периода, в единицах |
|---|---|---|
|
А |
Б |
1 |
|
1 |
Заңды тұлғаларЮридические лица |
|
|
2 |
соның ішінде:в том числе: мемлекеттік кәсіпорындаргосударственные предприятия |
|
|
3 |
шаруашылық серіктестіктеріхозяйственные товарищества |
|
|
4 |
акционерлік қоғамдаракционерные общества |
|
|
5 |
басқа да ұйымдық-құқықтық нысандардругие организационно-правовые формы |
|
|
6 |
Дара кәсіпкерлер және шаруа немесе фермер қожалықтарыИндивидуальные предприниматели и крестьянские или фермерские хозяйства |
|
|
7 |
Үй шаруашылықтарыДомашние хозяйства |
4. Есепті кезеңге орташа алғанда ауыл шаруашылығы кооперативтегі қызметкерлерінің санын көрсетіңіз, адам
Укажите численность работников сельскохозяйственного кооператива в среднем за отчетный период, человек
|
Жол коды Код строки |
Көрсеткіш атауы Наименование показателя |
Есепті кезеңгеЗа отчетный период |
|---|---|---|
|
А |
Б |
1 |
|
1 |
Ауыл шаруашылығы кооперативтегі қызметкерлердің тізімдік саныСписочная численность работников сельскохозяйственного кооператива |
|
|
2 |
Қоса атқару бойынша (басқа ұйымдардан) жұмысқа қабылданған ауыл шаруашылығы кооперативі қызметкерлерінің саныЧисленность работников сельскохозяйственного кооператива, принятых на работу по совместительству (из других организаций) |
|
|
3 |
Жұмыстарды азаматтық-құқықтық сипаттағы шарттар бойынша орындайтын ауыл шаруашылығы кооперативі қызметкерлерінің саныЧисленность работников сельскохозяйственного кооператива, выполняющих работы по договорам гражданско-правового характера |
5. Ауыл шаруашылығы кооперативінің өнім өндіруі туралы мәліметтерді көрсетіңіз
Укажите сведения о производстве продукции сельскохозяйственным кооперативом
|
Өнім түрінің атауы1 Наименование вида продукции1 |
Өнім түрінің коды1 Код вида продукции1 |
Өлшем бірлігі1 Единица измерения1 |
Өнім өндіру Производство продукции |
|
|---|---|---|---|---|
|
заттай мәнде в натуральном выражении |
құндық мәнде, мың теңгемен в стоимостном выражении, в тысячах тенге |
|||
|
А |
Б |
В |
1 |
2 |
Ескертпе:
Примечание:
1
Мұнда – өнім түрінің атауын, кодын және өлшем бірлігін осы статистикалық нысанға «Өнім түрлерінің тізбесі» 1-қосымшасына сәйкес респондент толтырады
1 Здесь – наименование, код вида продукции и единица измерения заполняются респондентом в соответствии с «Перечнем видов продукции», приведенные в приложении 1 к настоящей статистической форме
|
Өнім түрінің атауы Наименование вида продукции |
Өнім түрінің коды Код вида продукции |
Өлшем бірлігі Единица измерения |
Өнім өндіру Производство продукции |
|
|---|---|---|---|---|
|
заттай мәнде в натуральном выражении |
құндық мәнде, мың теңгемен в стоимостном выражении, в тысячах тенге |
|||
|
А |
Б |
В |
3 |
4 |
6. Ауыл шаруашылығы кооперативі көрсеткен қызметтер көлемі туралы мәліметтерді көрсетіңіз
Укажите сведения об объеме оказанных услуг сельскохозяйственным кооперативом
|
Көрсетілетін қызмет түрінің атауы2 Наименование вида услуг2 |
Көрсетілетін қызмет түрінің коды2 Код вида услуг2 |
Көрсетілген қызметтер көлемі, мың теңгемен Объем оказанных услуг, в тысячах тенге |
|---|---|---|
|
А |
Б |
1 |
Ескертпе:
Примечание:
2
Мұнда – көрсетілетін қызмет түрінің атауы мен кодын осы статистикалық нысанға «Көрсетілетін қызмет түрлерінің тізбесі» 2-қосымшасына сәйкес респондент толтырады
2 Здесь – наименование и код вида услуг заполняется респондентом в соответствии с «Перечнем видов услуг» приведенные в приложении 2 к настоящей статистической форме
|
Көрсетілетін қызмет түрінің атауы Наименование вида услуг |
Көрсетілетін қызмет түрінің коды Код вида услуг |
Көрсетілген қызметтер көлемі, мың теңгемен Объем оказанных услуг, в тысячах тенге |
|---|---|---|
|
А |
Б |
1 |
7. Ауыл шаруашылығы кооперативінің ауыл шаруашылығы өнімдерін дайындауы, сатып алуы және өткізуі туралы мәліметтерді көрсетіңіз
Укажите сведения о заготовке, закупе и реализации сельскохозяйственной продукции сельскохозяйственным кооперативом
|
Өнім түрінің атауы3 Наименование вида продукции3 |
Өнім түрінің коды3 Код вида продукции3 |
Өлшем бірлігі3 Единица измерения3 |
Ауыл шаруашылығы өнімдерін сатып алу Закуп сельскохозяйственной продукции |
Ауыл шаруашылығы өнімдерін өткізу Реализация сельскохозяйственной продукции |
Заттай мәнде ауыл шаруашылығы өнімдерін дайындау Заготовка сельскохозяйственной продукции в натуральном выражении |
||
|---|---|---|---|---|---|---|---|
|
заттай мәнде в натуральном выражении |
құндық мәнде, мың теңгемен в стоимостном выражении, в тысячах тенге |
заттай мәнде в натуральном выражении |
құндық мәнде, мың теңгемен в стоимостном выражении, в тысячах тенге |
||||
|
А |
Б |
В |
1 |
2 |
3 |
4 |
5 |
Ескертпе:
Примечание:
3
Мұнда – өнім түрінің атауын, кодын және өлшем бірлігін осы статистикалық нысанға «Ауыл шаруашылығы өнімдері түрлерінің тізбесі» 3-қосымшасына сәйкес респондент толтырады
3 Здесь – наименование, код вида продукции и единица измерения заполняются респондентом в соответствии с «Перечнем видов сельскохозяйственной продукции» приведенные приложении 3 к настоящей статистической форме
|
Өнім түрінің атауы Наименование вида продукции |
Өнім түрінің коды Код вида продукции |
Өлшем бірлігі Единица измерения |
Ауыл шаруашылығы өнімдерін сатып алу Закуп сельскохозяйственной продукции |
Ауыл шаруашылығы өнімдерін өткізу Реализация сельскохозяйственной продукции |
Заттай мәнде ауыл шаруашылығы өнімдерін дайындау Заготовка сельскохозяйственной продукции в натуральном выражении |
||
|---|---|---|---|---|---|---|---|
|
заттай мәнде в натуральном выражении |
құндық мәнде, мың теңгемен в стоимостном выражении, в тысячах тенге |
заттай мәнде в натуральном выражении |
құндық мәнде, мың теңгемен в стоимостном выражении, в тысячах тенге |
||||
|
А |
Б |
В |
1 |
2 |
3 |
4 |
5 |
8. Ауыл шаруашылығы кооперативіндегі ауыл шаруашылығы техникаларының нақты бары туралы ақпаратты көрсетіңіз, жыл соңына, дана
Укажите информацию о наличии сельскохозяйственной техники в сельскохозяйственном кооперативе, на конец года, штук
|
Ауыл шаруашылығы техникаларының атауы Наименование сельскохозяйственной техники |
Қолда бары Наличие |
|---|---|
|
А |
1 |
Ара үлгісіндегі тырмаларБороны пилообразные |
|
Астық жинайтын комбайндарКомбайны зерноуборочные |
|
Ауыл және орман шаруашылығына арналған өзге де тракторларТракторы для сельского и лесного хозяйства прочие |
|
Ауыл шаруашылық тракторларына орнатуға арналған ұнтақ бүріккіштер мен шашқыштарРаспылители и разбрасыватели порошка, предназначенные для установки на тракторах сельскохозяйственных |
|
Басқа топтамаларға енгізілмеген шалғылар, тракторға құрастырылған шалғыларды қосаКосилки, включая косилки, смонтированные на тракторе, не включенные в другие группировки |
|
Бүйірлі тырмаларГрабли боковые |
|
Делегейлі тырмаларБороны дисковые |
|
Дестелерді айналдырғыштар, пішен аударыстырғыштарОборачиватели валков, сеноворошилки |
|
Жануарларға жем дайындауға арналған машиналарМашины для приготовления кормов для животных |
|
Жүгері жинайтын машиналар, жеміс түптерін жұлуға арналған машиналар, собық тазартқыштар және өзге де өнім жинайтын машиналарМашины для уборки кукурузы, машины для отрыва плодоножек, початкоочистители и машины уборочные прочие |
|
Жүк автомобильдеріАвтомобили грузовые |
|
Зығыр жинайтын машиналарМашины для уборки льна |
|
Картоп қазғыштар және картоп жинағыш машиналарКартофелекопатели и машины картофелеуборочные |
|
Қатарлап дестелегіштерЖатки рядковые |
|
Қопсытқыштар мен культиваторларРыхлители и культиваторы |
|
Қызылша, пәлек кескіш машиналар және қызылша жинау машиналарыМашины свекловичные ботворезные и машины свеклоуборочные |
|
Мақта жинайтын машиналарМашины для уборки хлопка |
|
Минералды немесе химиялық тыңайтқыштарды шашқыштарРазбрасыватели удобрений минеральных или химических |
|
|
Органикалық тыңайтқыштарды шашқыштар (көң шашқыштар) |
|
Өзге де тырмалар, отауыштар және кетпендерБороны, пропалыватели и мотыги прочие |
|
Ротоваторлар (топырақтық фрезасы бар механикаландырылған культиваторлар)Ротоваторы (культиваторы механизированные с фрезами почвенными) |
|
Сабан немесе шөпке арналған пішен тайлаушыларПресс-подборщики для соломы или сена |
|
Сауу машиналарыМашины доильные |
|
СепкіштерСеялки |
|
СоқаларПлуги |
|
Суаруға арналған құралдарПриспособления для полива |
|
Сүрлем жинайтын және жүзім жинайтын комбайндар, ағаштар мен бұталардан жемістер мен жидектерді жинауға арналған машиналарКомбайны силосоуборочные и виноградоуборочные, машины для сбора плодов и ягод с деревьев и кустарников |
|
Тамыр жемістерін және түйін жемістерін жинайтын өзге де машиналарМашины по уборке корнеплодов и клубнеплодов прочие |
|
Трактор тіркемелеріПрицепы тракторные |
|
Тұқымдарды, дәнді немесе құрғақ бұршақты дақылдарды тазалауға, сұрыптауға немесе калибрлеуге арналған машиналарМашины для очистки, сортировки или калибровки семян, зерна или культур бобовых сухих |
9. Статистикалық нысанды толтыруға жұмсалған уақытты көрсетіңіз, сағатпен (қажеттiсiн қоршаңыз)
Укажите время, затраченное на заполнение статистической формы, в часах (нужное обвести)
| 1 сағатқа дейiн |
1-2 |
2-4 |
4-8 |
8-40 |
40 сағаттан артық |
|---|---|---|---|---|---|
|
до 1 часа |
более 40 часов |
Атауы
Мекенжайы (респонденттің
)
Наименование ___________________ Адрес (респондента) _____________________________
Телефоны (респонденттің)
Телефон (респондента) _________________________________ _________________________
стационарлық
ұялы
стационарный мобильный
Электрондық пошта мекенжайы (респонденттің)
Адрес электронной почты (респондента) ___________________________________________
Орындаушы
Исполнитель __________________________________________________ __________________
тегі, аты және әкесінің аты (бар болған жағдайда)
қолы, телефоны (орындаушының
)
фамилия, имя и отчество (при его наличии) подпись, телефон (исполнителя)
Бас бухгалтер немесе оның міндетін атқарушы тұлға
Главный бухгалтер или лицо, исполняющее его обязанности _________________ __________
тегі, аты және әкесінің аты (бар болған жағдайда) қолы
фамилия, имя и отчество (при его наличии) подпись
Басшы немесе оның міндетін атқарушы тұлға
Руководитель или лицо, исполняющее его обязанности _____________________ ___________
тегі, аты және әкесінің аты (бар болған жағдайда)
қолы
фамилия, имя и отчество (при его наличии) подпись
Ескертпе:
Примечание:
Мемлекеттік статистиканың тиісті органдарына анық емес бастапқы статистикалық деректерді ұсыну және бастапқы статистикалық деректерді белгіленген мерзімде ұсынбау «Әкімшілік құқық бұзушылық туралы» Қазақстан Республикасы Кодексінің 497-бабында көзделген әкімшілік құқық бұзушылықтар болып табылады
Представление недостоверных и непредставление первичных статистических данных в соответствующие органы государственной статистики в установленный срок являются административными правонарушениями, предусмотренными статьей 497 Кодекса Республики Казахстан «Об административных правонарушениях»
| Приложение 1 к статистической форме «О деятельности сельскохозяйственного кооператива» (индекс 1-СПК, периодичность годовая) |
Перечень видов продукции
| Код видов продукции | Наименование видов продукции | Единица измерения |
|---|---|---|
|
01.11.1 |
Пшеница |
тонна |
|
01.11.2 |
Кукуруза (маис) |
тонна |
|
01.11.31 |
Ячмень |
тонна |
|
01.11.32 |
Рожь |
тонна |
|
01.11.33 |
Овес |
тонна |
|
01.11.41 |
Сорго (джугара) |
тонна |
|
01.11.42 |
Просо |
тонна |
|
01.11.49 |
Культуры зерновые прочие |
тонна |
|
01.11.5 |
Солома и шелуха зерновых культур |
тонна |
|
01.11.6 |
Овощи бобовые зеленые (свежие) |
тонна |
|
01.11.7 |
Овощи бобовые сушеные |
тонна |
|
01.11.81 |
Бобы соевые |
тонна |
|
01.11.82 |
Орехи земляные, нелущеные |
тонна |
|
01.11.83 |
Орехи земляные, лущеные |
тонна |
|
01.11.84 |
Семена хлопка |
тонна |
|
01.11.91 |
Семена льна |
тонна |
|
01.11.92 |
Семена горчицы |
тонна |
|
01.11.93 |
Семена рапса и сурепки |
тонна |
|
01.11.94 |
Семена кунжута |
тонна |
|
01.11.95 |
Семена подсолнечника |
тонна |
|
01.11.99 |
Семена масличные прочие, не включенные в другие группировки |
тонна |
|
01.12.1 |
Рис, необрушенный |
тонна |
|
01.13.11 |
Спаржа |
тонна |
|
01.13.12 |
Капуста |
тонна |
|
01.13.13 |
Капуста цветная и брокколи |
тонна |
|
01.13.14 |
Салат |
тонна |
|
01.13.15 |
Цикорий |
тонна |
|
01.13.16 |
Шпинат |
тонна |
|
01.13.17 |
Артишоки |
тонна |
|
01.13.19 |
Овощи листовые или черенковые прочие |
тонна |
|
01.13.2 |
Культуры бахчевые |
тонна |
|
01.13.31 |
Чили и перцы, зеленые (только рода capsicum) |
тонна |
|
01.13.32 |
Огурцы и корнишоны |
тонна |
|
01.13.33 |
Баклажаны |
тонна |
|
01.13.34 |
Помидоры |
тонна |
|
01.13.39 |
Культуры плодово-овощные прочие, не включенные в другие группировки |
тонна |
|
01.13.41 |
Морковь и турнепс |
тонна |
|
01.13.42 |
Чеснок |
тонна |
|
01.13.43 |
Лук |
тонна |
|
01.13.44 |
Лук-порей и овощи луковичные прочие |
тонна |
|
01.13.49 |
Корнеплоды, клубни или луковицы (без высокого содержания крахмала или инулина) прочие |
тонна |
|
01.13.51 |
Картофель |
тонна |
|
01.13.52 |
Картофель сладкий |
тонна |
|
01.13.53 |
Маниок |
тонна |
|
01.13.59 |
Корнеплоды и клубни столовые с высоким содержанием крахмала или инулина прочие |
тонна |
|
01.13.7 |
Свекла сахарная и семена свеклы сахарной |
тонна |
|
01.13.8 |
Грибы и трюфели |
тонна |
|
01.13.9 |
Овощи, свежие, не включенные в другие группировки |
тонна |
|
01.15.1 |
Табак необработанный |
тонна |
|
01.16.11 |
Хлопок, очищенный или не очищенный от семян |
тонна |
|
01.16.12 |
Джут, кенаф и волокна лубяные текстильные прочие, необработанные или подвергнутые мочке, кроме льна, конопли обыкновенной и рами |
тонна |
|
01.16.19 |
Лен, конопля обыкновенная и волокна текстильные необработанные, не включенные в другие группировки |
тонна |
|
01.19.1 |
Культуры кормовые |
тонна |
|
01.19.21 |
Цветы и цветочные бутоны, срезанные |
тысяча штук |
|
01.21.1 |
Виноград свежий |
тонна |
|
01.23.1 |
Фрукты цитрусовые |
тонна |
|
01.24 |
Плоды семечковые и косточковые |
тонна |
|
01.25.1 |
Ягоды и плоды прочие |
тонна |
|
01.25.2 |
Семена плодов |
тонна |
|
01.25.3 |
Орехи (кроме орехов съедобных диких, орехов земляных и орехов кокосовых) |
тонна |
|
01.25.9 |
Плоды плодовых и ягодных культур прочих, не включенные в другие группировки |
тонна |
|
01.28.1 |
Специи, необработанные |
тонна |
|
01.28.2 |
Шишки хмеля |
тонна |
|
01.28.3 |
Растения, используемые, в основном, в парфюмерии, фармации или в качестве инсектицидов, фунгицидов и для аналогичных целей |
тонна |
|
01.29.3 |
Материалы растительные, используемые, прежде всего для плетения, набивки, окрашивания или дубления |
тонна |
|
01.30.1 |
Материалы растительные; растения живые; луковицы, клубни и корни; отводки и черенки; грибницы |
тысяча штук |
|
01.41.1 |
Скот крупный рогатый молочного стада, живой |
тонна |
|
01.41.2 |
Молоко сырое скота крупного рогатого молочного стада |
тонна |
|
01.1 |
Скот крупный рогатый молочного-мясного стада, живой |
тонна |
|
02 |
Молоко сырое коров молочного-мясного стада |
тонна |
|
01.42.1 |
Скот крупный рогатый прочий и буйволы, живые |
тонна |
|
01.42.2 |
Сперма скота крупного рогатого и буйволов |
доза |
|
01.43.1 |
Лошади и животные семейства лошадиных прочие, живые |
тонна |
|
01.44.1 |
Верблюды и веблюдовые, живые |
тонна |
|
01.45.1 |
Овцы и козы, живые |
тонна |
|
01.45.2 |
Молоко сырое овечье и козье |
тонна |
|
01.45.3 |
Шерсть стриженная с овец и коз, немытая (включая промытую руном) |
тонна |
|
01.46.1 |
Свиньи, живые |
тонна |
|
01.47.1 |
Домашняя птица, живая |
тонна |
|
01.47.21 |
Яйца куриные в скорлупе, свежие |
тысяча штук |
|
01.47.22 |
Яйца домашней птицы прочей в скорлупе, свежие |
тысяча штук |
|
01.49.1 |
Животные прочие, выращиваемые на ферме, живые |
тонна |
|
01.49.21 |
Мед натуральный |
тонна |
|
01.49.22 |
Молоко сырое, не включенное в другие группировки |
тонна |
|
01.49.28 |
Продукты непищевые животного происхождения, не включенные в другие группировки |
тонна |
|
01.49.31 |
Сырье пушно-меховое (шкурки невыделанные), кроме шкурок ягнят |
штука |
|
01.49.32 |
Шкурки ягнят смушковых |
штука |
|
01.49.39 |
Шкурки животных прочие (сырые или консервированные, но без дальнейшей обработки), не включенные в другие группировки |
штука |
|
03.00.1 |
Рыба живая |
тонна |
|
03.00.2 |
Рыба свежая или охлажденная |
тонна |
|
03.00.3 |
Ракообразные, не мороженые |
тонна |
|
03.00.4 |
Моллюски и водные беспозвоночные, живые, свежие или охлажденные |
тонна |
|
10.11.1 |
Мясо скота крупного рогатого, свиней, овец, коз, лошадей и животных семейства лошадиных, свежее или охлажденное |
тонна |
|
10.11.2 |
Субпродукты пищевые скота крупного рогатого, свиней, овец, коз, лошадей и животных семейства лошадиных, свежие или охлажденные |
тонна |
|
10.11.3 |
Мясо и субпродукты пищевые мороженые; мясо и субпродукты пищевые прочие |
тонна |
|
10.11.4 |
Шерсть щипаная и шкуры и кожи сырые скота крупного рогатого или животных семейства лошадиных, овец и коз |
тонна |
|
10.11.5 |
Жиры скота крупного рогатого, овец, коз, свиней |
тонна |
|
10.12.1 |
Мясо птицы домашней свежее или охлажденное |
тонна |
|
10.12.2 |
Мясо птицы домашней, мороженое |
тонна |
|
10.12.3 |
Жир птицы домашней |
тонна |
|
10.12.4 |
Субпродукты пищевые птицы домашней |
тонна |
|
10.12.5 |
Перья, пух и шкурки птиц с перьями |
тонна |
|
10.13.1 |
Продукты готовые и консервированные из мяса, субпродуктов мясных или крови животных |
тонна |
|
10.20.1 |
Рыба, свежая, охлажденная или мороженая |
тонна |
|
10.20.2 |
Рыба, приготовленная или консервированная другим способом; икра и ее заменители |
тонна |
|
10.20.3 |
Ракообразные, моллюски и водные беспозвоночные прочие, мороженные, приготовленные или консервированные |
тонна |
|
10.20.4 |
Мука, порошок и гранулы непищевые, продукты прочие из рыбы, ракообразных, моллюсков или водных беспозвоночных прочих, не включенные в другие группировки |
тонна |
|
10.31.1 |
Картофель переработанный и консервированный |
тонна |
|
10.32.1 |
Соки фруктовые и овощные |
тысяча литров |
|
10.39.1 |
Овощи переработанные и консервированные, кроме картофеля |
тонна |
|
10.39.2 |
Плоды и орехи переработанные и консервированные |
тонна |
|
10.39.3 |
Сырье овощное и отходы овощные, остатки овощные и продукты побочные |
тонна |
|
10.41.1 |
Масла и жиры животные, их фракции, нерафинированные (неочищенные) |
тонна |
|
10.41.2 |
Масло растительное нерафинированное |
тонна |
|
10.41.3 |
Пух хлопковый (линт) |
тонна |
|
10.41.4 |
Жмых и отходы твердые жиров и масел растительных прочих; мука и порошок из семян или плодов культур масличных |
тонна |
|
10.41.5 |
Масло рафинированное, кроме отходов |
тонна |
|
10.41.6 |
Жиры и масла животные и растительные и их фракции гидрогенизированные и эстерифицированные, но без дальнейшей обработки |
тонна |
|
10.41.7 |
Воск растительный, кроме триглицеридов; дегра; отходы от переработки веществ, содержащих жиры или воск животный и растительный |
тонна |
|
10.42.1 |
Маргарин и жиры пищевые аналогичные |
тонна |
|
10.51.1 |
Молоко обработанное жидкое и сливки |
тонна |
|
10.51.2 |
Молоко в твердой форме |
тонна |
|
10.51.3 |
Масло сливочное и спреды (пасты) молочные |
тонна |
|
10.51.4 |
Сыр и творог |
тонна |
|
10.51.5 |
Продукты молочные прочие |
тонна |
|
10.52.1 |
Мороженое и пищевой лед прочий |
тонна |
|
10.61.1 |
Рис полуобрушенный или полностью обрушенный или очищенный или расколотый |
тонна |
|
10.61.2 |
Мука из культур зерновых и растительная; смеси из них тонкого помола |
тонна |
|
10.61.3 |
Крупа, мука грубого помола, гранулы и продукты из культур зерновых прочие |
тонна |
|
10.61.4 |
Отруби, высевки, отходы от обработки культур зерновых прочие |
тонна |
|
10.62.1 |
Крахмалы и крахмалопродукты; сахар и сиропы сахарные, не включенные в другие группировки |
тонна |
|
10.62.2 |
Отходы производства крахмала и аналогичные отходы |
тонна |
|
10.81.1 |
Сахар-сырец или сахар рафинированный тростниковый или свекловичный; патока (меласса) |
тонна |
|
10.81.2 |
Жом свекловичный, багасса (жом тростника сахарного), отходы производства сахарного прочие |
тонна |
|
10.84.2 |
Специи, обработанные |
килограмм |
|
10.85.1. |
Продукты пищевые готовые и блюда |
килограмм |
|
10.89.12 |
Яйца без скорлупы и желтки яичные, свежие или консервированные; яйца в скорлупе, консервированные или варенные; белок яичный |
тонна |
|
10.91.1 |
Корма готовые для животных сельскохозяйственных, кроме муки и гранул из люцерны |
тонна |
|
10.91.2 |
Мука и гранулы из люцерны |
тонна |
|
11.02.1 |
Вино виноградное натуральное; сусло виноградное |
тысяча литров |
|
11.03.1 |
Напитки ферментированные (сидр яблочный, сидр грушевый, напиток медовый); напитки смешанные, содержащие алкоголь |
тысяча литров |
|
11.04.1 |
Вермут и вина виноградные натуральные ароматизированные прочие |
тысяча литров |
|
11.05.1 |
Пиво, кроме осадков и отходов пивоварения |
тысяча литров |
|
11.06.1 |
Солод |
тонна |
|
12.00.1 |
Изделия табачные, кроме отходов |
миллион штук |
|
12.00.2 |
Отходы табака |
тонна |
|
13.10.1 |
Жир шерстный (включая ланолин) |
тонна |
|
13.10.2 |
Волокна текстильные натуральные, подготовленные для прядения |
тонна |
|
13.10.91 |
Шерсть или тонкий или грубый волос животных разволокненные |
тонна |
|
13.10.92 |
Отходы хлопка прочие; отходы разволокненные |
тонна |
|
15.11.1 |
Шкуры меховые, дубленые или выделанные |
тысяча дециметров квадратных |
|
15.11.2 |
Замша (включая замшу композиционную); кожа лаковая и лаковая ламинированная; кожа металлизированная |
тысяча дециметров квадратных |
|
15.11.4 |
Кожа из шкур овечьих, козьих или свиных без волосяного покрова |
тысяча дециметров квадратных |
|
15.11.5 |
Кожа животных прочих; кожа композиционная с основой из кожи натуральной |
тысяча дециметров квадратных |
| Приложение 2 к статистической форме «О деятельности сельскохозяйственного кооператива» (индекс 1-СПК, периодичность годовая) |
Перечень видов услуг
| Код видов услуг | Наименование видов услуг |
|---|---|
|
01.61.1 |
Услуги вспомогательные в области выращивания культур сельскохозяйственных |
|
01.62.1 |
Услуги вспомогательные по разведению животных |
|
01.63.1 |
Услуги сельскохозяйственные после сбора урожая |
|
01.64.1 |
Услуги по обработке и подготовке семян для размножения |
|
10.11.9 |
Услуги субподрядные в области производства мяса переработанного и консервированного |
|
10.12.9 |
Услуги субподрядные в области производства мяса домашней птицы переработанного и консервированного |
|
10.13.9 |
Услуги по обработке тепловой и прочим способам переработки продуктов мясных; услуги субподрядные в области производства продуктов из мяса и мяса птицы |
|
10.20.9 |
Услуги по копчению и прочим способам консервирования и переработки рыбных продуктов; услуги субподрядные в области производства рыбы, ракообразных и моллюсков переработанных и консервированных |
|
10.31.9 |
Услуги по тепловой обработке и прочим способам переработки картофеля и продуктов из него (включая услуги по очистке); услуги субподрядные в области производства картофеля переработанного и консервированного |
|
10.32.9 |
Услуги в области производства соков фруктовых и овощных |
|
10.39.9 |
Услуги по тепловой обработке и другим способам переработки овощей, грибов и фруктов (включая услуги по очистке); услуги субподрядные в области производства фруктов, овощей и грибов прочих переработанных и консервированных |
|
10.41.9 |
Услуги в области производства масел и жиров животных и растительных |
|
10.42.9 |
Услуги в области производства маргарина и жиров пищевых аналогичных |
|
10.51.9 |
Услуги в области производства продуктов молочных и сыров |
|
10.52.9 |
Услуги в области производства мороженого |
|
10.61.9 |
Услуги в области производства продуктов мукомольной промышленности |
|
10.62.9 |
Услуги в области производства крахмала и крахмалопродуктов |
|
10.84.9 |
Услуги в области производства приправ и пряностей |
|
10.91.9 |
Услуги в области производства кормов готовых для животных сельскохозяйственных |
|
10.92.9 |
Услуги в области производства кормов готовых для животных домашних |
|
11.02.9 |
Услуги в области производства вина натурального |
|
11.03.9 |
Услуги в области производства сидра и вин плодово-ягодных прочих |
|
11.05.9 |
Услуги в области производства пива |
|
11.06.9 |
Услуги в области производства солода |
|
13.10.93 |
Услуги по обработке волокон текстильных натуральных |
|
33.12.21 |
Услуги по ремонту и техническому обслуживанию машин для сельского и лесного хозяйства (кроме тракторов) |
|
33.20.31 |
Услуги по установке машин и оборудования для сельского хозяйства |
|
46.11.1 |
Услуги по торговле оптовой, предоставляемые за вознаграждение или на договорной основе, сырьем сельскохозяйственным, животными живыми, сырьем текстильным и полуфабрикатами |
|
46.21.1 |
Услуги по торговле оптовой, кроме предоставляемых за вознаграждение или на договорной основе, зерном, семенами и кормами для животных |
|
46.21.2 |
Услуги по торговле оптовой, кроме предоставляемых за вознаграждение или на договорной основе, табаком необработанным |
|
46.22.1 |
Услуги по торговле оптовой, кроме предоставляемых за вознаграждение или на договорной основе, цветами и растениями |
|
46.23.1 |
Услуги по торговле оптовой, кроме предоставляемых за вознаграждение или на договорной основе, животными живыми |
|
46.24.1 |
Услуги по торговле оптовой, кроме предоставляемых за вознаграждение или на договорной основе, шкурами, кожей и выделанной кожей |
|
46.31.11 |
Услуги по торговле оптовой, кроме предоставляемых за вознаграждение или на договорной основе, фруктами и овощами свежими |
|
46.32.11 |
Услуги по торговле оптовой, кроме предоставляемых за вознаграждение или на договорной основе, мясом, включая птицу домашнюю |
|
46.33.12 |
Услуги по торговле оптовой, кроме предоставляемых за вознаграждение или на договорной основе, яйцами |
|
46.38.10 |
Услуги по торговле оптовой, кроме предоставляемых за вознаграждение или на договорной основе, рыбой, ракообразными и моллюсками |
|
46.61.1 |
Услуги по торговле оптовой, кроме предоставляемых за вознаграждение или на договорной основе, инвентарем, машинами, оборудованием для сельского хозяйства |
|
47.00.11 |
Услуги по торговле розничной фруктами и овощами свежими |
|
47.00.13 |
Услуги по торговле розничной мясом |
|
47.00.15 |
Услуги по торговле розничной рыбой, ракообразными и моллюсками |
|
47.00.18 |
Услуги по торговле розничной продуктами молочными |
|
47.00.19 |
Услуги по торговле розничной яйцами |
|
47.00.87 |
Услуги по торговле розничной сырьем сельскохозяйственным, не включенным в другие группировки |
|
49.41.1 |
Услуги автомобильного транспорта по грузовым перевозкам |
|
49.41.2 |
Услуги по аренде грузовых транспортных средств с водителем |
|
52.10.1 |
Услуги по хранению и складированию |
|
75.00.12 |
Услуги ветеринарные для домашнего скота |
|
77.12.1 |
Услуги по аренде автомобилей грузовых без водителей |
|
77.31.1 |
Услуги по аренде машин и оборудования сельскохозяйственных |
| Приложение 3 к статистической форме «О деятельности сельскохозяйственного кооператива» (индекс 1-СПК, периодичность годовая) |
Перечень видов сельскохозяйственной продукции
| Код видов продукции | Наименование видов продукции | Единица измерения |
|---|---|---|
|
01.11.1 |
Пшеница |
тонна |
|
01.11.2 |
Кукуруза (маис) |
тонна |
|
01.11.31 |
Ячмень |
тонна |
|
01.11.32 |
Рожь |
тонна |
|
01.11.33 |
Овес |
тонна |
|
01.11.41 |
Сорго (джугара) |
тонна |
|
01.11.42 |
Просо |
тонна |
|
01.11.49 |
Культуры зерновые прочие |
тонна |
|
01.11.5 |
Солома и шелуха зерновых культур |
тонна |
|
01.11.6 |
Овощи бобовые зеленые (свежие) |
тонна |
|
01.11.7 |
Овощи бобовые сушеные |
тонна |
|
01.11.81 |
Бобы соевые |
тонна |
|
01.11.82 |
Орехи земляные, нелущеные |
тонна |
|
01.11.83 |
Орехи земляные, лущеные |
тонна |
|
01.11.84 |
Семена хлопка |
тонна |
|
01.11.91 |
Семена льна |
тонна |
|
01.11.92 |
Семена горчицы |
тонна |
|
01.11.93 |
Семена рапса и сурепки |
тонна |
|
01.11.94 |
Семена кунжута |
тонна |
|
01.11.95 |
Семена подсолнечника |
тонна |
|
01.11.99 |
Семена масличные прочие, не включенные в другие группировки |
тонна |
|
01.12.1 |
Рис, необрушенный |
тонна |
|
01.13.11 |
Спаржа |
тонна |
|
01.13.12 |
Капуста |
тонна |
|
01.13.13 |
Капуста цветная и брокколи |
тонна |
|
01.13.14 |
Салат |
тонна |
|
01.13.15 |
Цикорий |
тонна |
|
01.13.16 |
Шпинат |
тонна |
|
01.13.17 |
Артишоки |
тонна |
|
01.13.19 |
Овощи листовые или черенковые прочие |
тонна |
|
01.13.2 |
Культуры бахчевые |
тонна |
|
01.13.31 |
Чили и перцы, зеленые (только рода capsicum) |
тонна |
|
01.13.32 |
Огурцы и корнишоны |
тонна |
|
01.13.33 |
Баклажаны |
тонна |
|
01.13.34 |
Помидоры |
тонна |
|
01.13.39 |
Культуры плодово-овощные прочие, не включенные в другие группировки |
тонна |
|
01.13.41 |
Морковь и турнепс |
тонна |
|
01.13.42 |
Чеснок |
тонна |
|
01.13.43 |
Лук |
тонна |
|
01.13.44 |
Лук-порей и овощи луковичные прочие |
тонна |
|
01.13.49 |
Корнеплоды, клубни или луковицы (без высокого содержания крахмала или инулина) прочие |
тонна |
|
01.13.51 |
Картофель |
тонна |
|
01.13.52 |
Картофель сладкий |
тонна |
|
01.13.53 |
Маниок |
тонна |
|
01.13.59 |
Корнеплоды и клубни столовые с высоким содержанием крахмала или инулина прочие |
тонна |
|
01.13.7 |
Свекла сахарная и семена свеклы сахарной |
тонна |
|
01.13.8 |
Грибы и трюфели |
тонна |
|
01.13.9 |
Овощи, свежие, не включенные в другие группировки |
тонна |
|
01.15.1 |
Табак необработанный |
тонна |
|
01.16.11 |
Хлопок, очищенный или не очищенный от семян |
тонна |
|
01.16.12 |
Джут, кенаф и волокна лубяные текстильные прочие, необработанные или подвергнутые мочке, кроме льна, конопли обыкновенной и рами |
тонна |
|
01.16.19 |
Лен, конопля обыкновенная и волокна текстильные необработанные, не включенные в другие группировки |
тонна |
|
01.19.1 |
Культуры кормовые |
тонна |
|
01.19.21 |
Цветы и цветочные бутоны, срезанные |
тысяча штук |
|
01.21.1 |
Виноград свежий |
тонна |
|
01.23.1 |
Фрукты цитрусовые |
тонна |
|
01.24 |
Плоды семечковые и косточковые |
тонна |
|
01.25.1 |
Ягоды и плоды прочие |
тонна |
|
01.25.2 |
Семена плодов |
тонна |
|
01.25.3 |
Орехи (кроме орехов съедобных диких, орехов земляных и орехов кокосовых) |
тонна |
|
01.25.9 |
Плоды плодовых и ягодных культур прочих, не включенные в другие группировки |
тонна |
|
01.28.1 |
Специи, необработанные |
тонна |
|
01.28.2 |
Шишки хмеля |
тонна |
|
01.28.3 |
Растения, используемые, в основном, в парфюмерии, фармации или в качестве инсектицидов, фунгицидов и для аналогичных целей |
тонна |
|
01.29.3 |
Материалы растительные, используемые, прежде всего для плетения, набивки, окрашивания или дубления |
тонна |
|
01.30.1 |
Материалы растительные; растения живые; луковицы, клубни и корни; отводки и черенки; грибницы |
тысяча штук |
|
01.41.1 |
Скот крупный рогатый молочного стада, живой |
тонна |
|
01.41.2 |
Молоко сырое скота крупного рогатого молочного стада |
тонна |
|
01.1 |
Скот крупный рогатый молочного-мясного стада, живой |
тонна |
|
02 |
Молоко сырое коров молочного-мясного стада |
тонна |
|
01.42.1 |
Скот крупный рогатый прочий и буйволы, живые |
тонна |
|
01.42.2 |
Сперма скота крупного рогатого и буйволов |
доза |
|
01.43.1 |
Лошади и животные семейства лошадиных прочие, живые |
тонна |
|
01.44.1 |
Верблюды и веблюдовые, живые |
тонна |
|
01.45.1 |
Овцы и козы, живые |
тонна |
|
01.45.2 |
Молоко сырое овечье и козье |
тонна |
|
01.45.3 |
Шерсть стриженная с овец и коз, немытая (включая промытую руном) |
тонна |
|
01.46.1 |
Свиньи, живые |
тонна |
|
01.47.1 |
Домашняя птица, живая |
тонна |
|
01.47.21 |
Яйца куриные в скорлупе, свежие |
тысяча штук |
|
01.47.22 |
Яйца домашней птицы прочей в скорлупе, свежие |
тысяча штук |
|
01.49.1 |
Животные прочие, выращиваемые на ферме, живые |
тонна |
|
01.49.21 |
Мед натуральный |
тонна |
|
01.49.22 |
Молоко сырое, не включенное в другие группировки |
тонна |
|
01.49.28 |
Продукты непищевые животного происхождения, не включенные в другие группировки |
тонна |
|
01.49.31 |
Сырье пушно-меховое (шкурки невыделанные), кроме шкурок ягнят |
штука |
|
01.49.32 |
Шкурки ягнят смушковых |
штука |
|
01.49.39 |
Шкурки животных прочие (сырые или консервированные, но без дальнейшей обработки), не включенные в другие группировки |
штука |
|
03.00.1 |
Рыба живая |
тонна |
|
03.00.2 |
Рыба свежая или охлажденная |
тонна |
|
03.00.3 |
Ракообразные, немороженные |
тонна |
|
03.00.4 |
Моллюски и водные беспозвоночные, живые, свежие или охлажденные |
тонна |
|
10.85.1. |
Продукты пищевые готовые и блюда |
килограмм |
| Приложение 35 к приказу Председателя Комитета по статистике Министерства национальной экономики Республики Казахстан от 10 февраля 2020 года № 21 |
Инструкция по заполнению статистической формы общегосударственного статистического наблюдения «О деятельности сельскохозяйственного кооператива» (индекс 1-СПК, периодичность годовая)
Сноска. Приложение 35 — в редакции приказа Руководителя Бюро национальной статистики Агентства по стратегическому планированию и реформам РК от 28.07.2023 № 13 (вводится в действие с 01.01.2024).
1. Настоящая инструкция детализирует заполнение статистической формы общегосударственного статистического наблюдения «О деятельности сельскохозяйственного кооператива» (индекс 1-СПК, периодичность годовая) (далее – статистическая форма).
2. Если деятельность сельскохозяйственного кооператива осуществляется на территории нескольких районов и (или) областей, статистическая форма представляется по каждой территории на отдельных статистических формах, данные отражаются по месту осуществления деятельности.
3. В разделе 1 указывается место фактического осуществления деятельности сельскохозяйственного кооператива (область, город, район), независимо от места регистрации.
4. В разделе 2 указывается основное направление сельскохозяйственной кооперации (отметить галочкой).
К производственным кооперативам относятся кооперативы, занимающиеся производством продукции животноводства и растениеводства путем совместной обработки земли, выращивания сельскохозяйственных культур, разведения животных, совместного использования сельскохозяйственной техники.
Сбытовые кооперативы образуются в целях реализации продукции, производимой членами кооператива, включая сбор, хранение, сортировку, сушку, продажу сырья в свежем или переработанном виде.
К перерабатывающим кооперативам относят кооперативы, осуществляющие переработку сельскохозяйственной продукции (производство мясных и молочных продуктов, хлебобулочных изделий и др.) с последующей ее реализацией.
Кооперативы, осуществляющие услуги, связанные с процессами производства и реализации сельскохозяйственной продукции, а также удовлетворением общих потребностей в других областях (агрохимическом, ветеринарном, техническом обслуживании, водообеспечении, электроснабжении, ремонте и обслуживании техники, телефонизации, племенной и селекционной деятельности, проведении исследований в животноводстве и растениеводстве и другое), а также обеспечением СПК необходимыми в производственном процессе ресурсами и материалами: горюче-смазочными материалами, семенами, удобрениями, ядохимикатами, кормами, запасными частями, строительными и другими сопутствующими для сельскохозяйственного производства материалами относят к сервисным.
5. В разделе 3 указывается информация о членах сельскохозяйственного кооператива. В графе 1 указывается сведения о количестве членов сельскохозяйственного кооператива, на конец отчетного периода, по типам и организационно-правовой форме.
6. В разделе 4 указывается списочную численность работников сельскохозяйственного кооператива в среднем за отчетный период.
В строке 2 указывается численность работников, выполняющих работу в свободное от основной работы время.
В строке 3 указывается численность лиц, выполняющих работы по договорам гражданско-правового характера, принятые по договору только на время выполнения определенного, конкретного объема работ (разовых, специальных хозяйственных), осуществляемых без подчинения внутреннему трудовому распорядку организации.
7. В разделе 5 указываются сведения о производстве продукции непосредственно произведенной сельскохозяйственным кооперативом полученной от сельскохозяйственных животных, состоящие на балансе сельскохозяйственного кооператива и произведенной на производственных мощностях, принадлежащих сельскохозяйственным кооперативам. Вид продукции заполняется в соответствии с приложением 1 к статистической форме.
В графе 1 приводятся сведения о производстве продукции в натуральном выражении (скот и птица на убой показывается в убойном весе), в графе 2 – в стоимостном выражении в тысячах тенге.
8. В разделе 6 указываются данные об объеме оказанных услуг сельскохозяйственным кооперативом по видам, в соответствии с приложением 2 к статистической форме.
9. В разделе 7 указываются данные о заготовке, закупе и реализации сельскохозяйственной продукции сельскохозяйственным кооперативом по видам, в соответствии с приложением 3 к статистической форме.
В графах 1 и 3 приводятся сведения о закупе и реализации сельскохозяйственной продукции в натуральном выражении (скот и птица на убой показывается в убойном весе), в графах 2 и 4 – в стоимостном выражении в тысячах тенге.
В графе 5 приводятся сведения о заготовке сельскохозяйственной продукции в натуральном выражении (прием сельскохозяйственной продукции у членов кооператива, хранение и укомплектация для ее последующей передачи перерабатывающим предприятиям).
Стоимость закупа продукции отражается с учетом транспортных, торгово-сбытовых, посреднических и других расходов.
10. В разделе 8 указываются данные о наличии сельскохозяйственной техники, находящейся на балансе сельскохозяйственного кооператива, на конец года.
11. Представление данной статистической формы осуществляется в электронном виде или на бумажном носителе. Заполнение статистической формы в электронном виде осуществляется через «Кабинет респондента» (https://cabinet.stat.gov.kz/), размещенном на интернет-ресурсе Бюро национальной статистики Агентства по стратегическому планированию и реформам Республики Казахстан, в режиме он-лайн.
12. Арифметико-логический контроль:
1) Раздел 3:
строка 1 по графе 1 = S строк 2, 3, 4, 5 по графе 1.
2) Раздел 5:
если графа 1 заполнена, то графа 2 должна быть заполнена по всем строкам;
если графа 2 заполнена, то графа 1 должна быть заполнена по всем строкам.
3) Раздел 7:
если графа 1 заполнена, то графа 2 должна быть заполнена по всем строкам;
если графа 2 заполнена, то графа 1 должна быть заполнена по всем строкам;
если графа 3 заполнена, то графа 4 должна быть заполнена по всем строкам;
если графа 4 заполнена, то графа 3 должна быть заполнена по всем строкам.
| Приложение 36 к приказу Председателя Комитета по статистике Министерства национальной экономики Республики Казахстан от 10 февраля 2020 года № 21 |
Сноска. Приложение 36 — в редакции приказа Руководителя Бюро национальной статистики Агентства по стратегическому планированию и реформам РК от 28.06.2024 № 15 (вводится в действие с 01.01.2025).
|
|
Мемлекеттік статистика органдары құпиялылығына кепілдік береді |
Қазақстан Республикасы |
|||||||||
|
Астықтың қолда бары туралы |
|||||||||||
|
О наличии зерна |
|||||||||||
|
Индексі |
2-сх |
Айлық |
есепті кезең |
|
ай |
|
Жыл |
||||
|
Дәнді және бұршақты дақылдарды өсірумен, қайта өңдеумен, сатумен, сақтаумен және пайдаланумен айналысатын шаруашылық субъектілері ұсынады: заңды тұлғалар және (немесе) олардың құрылымдық және оқшауланған бөлімшелері; (дәнді және бұршақты дақылдарының егіс алқабы 10 гектар асатын) дара кәсіпкерлер және шаруа немесе фермер қожалықтары |
|||||||||||
|
Ұсыну мерзімі – 3 қаңтардан басқа есепті кезеңнен кейінгі айдың 3-күніне (қоса алғанда) дейін |
|||||||||||
|
БСН коды |
|
ЖСН коды |
|
||||||||
1. Есепті кезеңнің соңына дәнді немесе бұршақты дақылдың жаңа түсімнен алынғаны және қолда бары туралы ақпаратты центнермен (өңдеуден кейінгі салмақта) көрсетіңіз
Укажите информацию о получении с нового урожая и наличии зерновой или бобовой культуры на конец отчетного периода в центнерах (в весе после доработки)
|
Ауыл шаруашылығы дақылдары нақты сақталатын аумақты (облыс, қала, аудан) көрсетіңіз1 |
Әкімшілік-аумақтық объектілер жіктеуішіне (ӘАОЖ) сәйкес аумақ коды2 |
АШӨСЖ сәйкес ауыл шаруашылығы дақылдарының атауы3 |
АШӨСЖ коды4 |
Жаңа түсімнен алынғаны Получено с нового урожая за отчетный месяц |
Кезең соңындағы қолда бары |
Соның ішінде пайдалану түрлері бойынша |
||
|
азық түліктік |
Тұқымдық |
Жемшөптік |
||||||
|
А |
Б |
В |
Г |
1 |
2 |
3 |
4 |
5 |
1Астықты элеваторда сақтайтын және астықпен операцияларды астық қолхаты бойынша жүзеге асыратын респонденттер өз статистикалық нысандарында осы астықтың қолда барын көрсетпейді, астықты өз сақтауында ұстаған элеватор көрсетеді.
Егер астық сақтау қоймасында, басқа кәсіпорынның (шаруашылықта) сақталса, оны астықтың иесі көрсететіне назар аудару қажет.
Обращаем внимание, что респонденты, хранящие зерно на элеваторах и осуществляющие операции с зерном по зерновой расписке, не показывают наличие данного зерна в своих статистических формах, зерно отразит элеватор, на хранении у которого оно находится.
В случае, если зерно находиться на хранении в зернохранилищах другого предприятия (хозяйства) зерно отразит владелец зерна.
2Респондент статистикалық нысанды қағаз жеткізгіште ұсынған кезде аумақтық статистика бөлімшесінің тиісті қызметкері толтырады
Заполняется соответствующим работником территориального подразделения статистики при представлении респондентом статистической формы на бумажном носителе
3-4 АШӨСЖ сәйкес ауыл шаруашылығы дақылдарының атауы және коды осы статистикалық нысанның қосымшасында келтірілген тізімге сәйкес толтырылады
Наименование и код сельскохозяйственных культур в соответствии с СКПСХ заполнятся согласно списку приведенных в приложении 1 к данной статистической форме
2. Статистикалық нысанды толтыруға жұмсалған уақытты көрсетіңіз, сағатпен (қажеттiсiн қоршаңыз)
Укажите время, затраченное на заполнение статистической формы, в часах (нужное обвести)
|
1 сағатқа дейiн |
1-2 |
2-4 |
4-8 |
8-40 |
40 сағаттан артық |
|
до 1 часа |
более 40 часов |
Атауы Мекенжайы (респонденттің)
Наименование ________________________
Адрес (респондента) _____________________________
Телефоны (респонденттің)
Телефон (респондента) _________________________ ______________________________________
стационарлық ұялы
стационарный мобильный
Электрондық пошта мекенжайы (респонденттің)
Адрес электронной почты (респондента) _______________________________________________
Орындаушы
Исполнитель __________________________________ ______________________
тегі, аты және әкесінің аты (ол болған жағдайда) қолы, телефоны (орындаушының)
фамилия, имя и отчество (при его наличии) подпись, телефон (исполнителя)
Бас бухгалтер немесе оның міндетін атқарушы тұлға
Главный бухгалтер или лицо, исполняющее его обязанности
______________ _________________
тегі, аты және әкесінің аты (ол болған жағдайда) қолы
фамилия, имя и отчество (при его наличии) подпись
Басшы немесе оныңміндетін атқарушы тұлға
Руководитель или лицо,исполняющее его обязанности
_________________ ______________________
тегі, аты және әкесінің аты (ол болған жағдайда) қолы
фамилия, имя и отчество (при его наличии) подпись
Ескертпе:
Примечание:
Мемлекеттік статистиканың тиісті органдарына анық емес бастапқы статистикалық деректерді ұсыну және бастапқы статистикалық деректерді белгіленген мерзімде ұсынбау «Әкімшілік құқық бұзушылық туралы» Қазақстан Республикасы Кодексінің 497-бабында көзделген әкімшілік құқық бұзушылықтар болып табылады
Представление недостоверных и непредставление первичных статистических данных в соответствующие органы государственной статистики в установленный срок являются административными правонарушениями, предусмотренными статьей 497 Кодекса Республики Казахстан «Об административных правонарушениях»
| Приложение 1 к статистической форме общегосударственного статистического наблюдения «О наличии зерна» (индекс 2-сх, периодичность месячная) «Астықтың қолда бары туралы» (индексі 2-сх, кезеңділігі айлық) жалпымемлекеттік статистикалық байқаудың статистикалық нысанына 1-қосымша |
АШӨСЖ сәйкес ауыл шаруашылығы дақылдарының атауы
Наименование зерновых и бобовых культур в соответствии с СКПСХ
|
Код |
Дақылдар |
Культуры |
|
Дәнді дақылдар |
Зерновые культуры |
|
|
01111 |
Бидай |
Пшеница |
|
011111 |
Қатты бидай |
Пшеница твердая |
|
011112 |
Қатты бидайдан басқа бидай (жұмсақ) |
Пшеница, кроме пшеницы твердой(мягкая) |
|
01112 |
Жүгері (маис) |
Кукуруза (маис) |
|
011131 |
Қара бидай |
Рожь |
|
011132 |
Арпа |
Ячмень |
|
011133000 |
Сұлы |
Овес |
|
011141000 |
Қонақ жүгері |
Сорго (джугара) |
|
011142000 |
Тары |
Просо |
|
011149100 |
Қарақұмық |
Гречиха |
|
011210000 |
Ақталмағанкүріш |
Рис, необрушенный |
|
011149200 |
Тритикале (бидай қарабидай буданы) |
Тритикале (пшенично-ржаной гибрид) |
|
011149300 |
Масақтылар қоспасы |
Смесь колосовых |
|
011149900 |
Басқа топтамаларға енгізілмеген өзге де дәнді дақылдар |
Культуры зерновые прочие, не включенные в другие группировки |
|
Дәнді бұршақ дақылдары |
Зернобобовые культуры |
|
|
01116 |
Жасыл ірі бұршақ көкөністері (жаңа піскен) |
Овощи бобовые зеленые (свежие) |
|
011161000 |
Жасыл үрмебұршақ (жаңа піскен) |
Фасоль зеленая (свежая) |
|
011162000 |
Жасыл асбұршақ (жаңа піскен) |
Горох зеленый (свежий) |
|
011169100 |
Жасыл бұршақтар (жаңа піскен) |
Бобы зеленые (свежие) |
|
011169200 |
Жасымық (жаңа піскен) |
Чечевица (свежая) |
|
011169900 |
Басқа топтамаларға енгізілмеген өзге де жасыл бұршақты (жаңа піскен) көкөністер |
Овощи бобовые зеленые (свежие) прочие, не включенные в другие группировки |
|
011171 |
Кептірілген үрме бұршақ |
Фасоль сушеная |
|
011172 |
Кептірілген жемге арналған бұршақтар |
Бобы кормовые, сушеные |
|
011173 |
Кептірілген ноқат (түрік асбұршағы) |
Нут (турецкий горох), сушеный |
|
011174 |
Кептірілген жасымық |
Чечевица, сушеная |
|
011175 |
Кептірілген асбұршақ |
Горох сушеный |
|
011179 |
Басқа топтамаларға енгізілмеген кептірілген бұршақты көкөністер |
Овощи бобовые сушеные, не включенные в другие группировки |
| Приложение 37 к приказу Председателя Комитета по статистике Министерства национальной экономики Республики Казахстан от 10 февраля 2020 года № 21 |
Инструкция по заполнению статистической формы общегосударственного статистического наблюдения
«О наличии зерна»
(индекс 2-сх (зерно) периодичность месячная)
Сноска. Приложение 37 — в редакции приказа Руководителя Бюро национальной статистики Агентства по стратегическому планированию и реформам РК от 28.06.2024 № 15 (вводится в действие с 01.01.2025).
1. Настоящая инструкция детализирует заполнение статистической формы общегосударственного статистического наблюдения «О наличии зерна» (индекс 2-сх (зерно), периодичность месячная) (далее – статистическая форма).
2. В настоящей Инструкции используются следующие определения:
1) продовольственное зерно – зерно, используемое для пищевых целей;
2) зерно –плоды злаковых, зернобобовых и масличных культур, используемые для пищевых, семенных, кормовых и технических целей;
3) зернохранилище (элеватор, хлебоприемный пункт) –специализированное техническое сооружение для хранения зерна;
4) зерновая расписка – складское свидетельство в виде бездокументарной неэмиссионной ценной бумаги, подтверждающее право собственности на определенное количество зерна;
5) фуражное зерно – зерно, предназначенное на корм животным и птице;
6) семенное зерно (семена) – зерно, используемое на посевные цели и разделяемое по сортовым и посевным качествам;
7) вес после доработки (зачетный вес) – физическая масса, полученная после очистки и сушки урожая, то есть со скидкой на степень влажности и засоренности.
3. В случае если структурному подразделению делегированы полномочия по сдаче статистической формы юридическим лицом, то статистическую форму представляет структурное и обособленное подразделение юридического лица по месту своего нахождения в территориальные подразделения статистики.
Респонденты, хранящие зерно на элеваторах и осуществляющие операции с зерном по зерновой расписке, не показывают наличие данного зерна в своих статистических формах, зерно отразит элеватор, на хранении у которого оно находится.
Если культуры хранятся на разных территориях, на каждую территорию заполняется отдельная статистическая форма. Код территории, на которой хранятся зерновые или бобовые культуры, указывается работником территориального подразделения статистики в соответствии с Классификатором административно-территориальных объектов (КАТО).
Учету подлежит продовольственное, семенное и фуражное зерно (в весе после доработки), имеющееся на хранении у респондента на конец отчетного месяца, и которое респондент получил с нового урожая в отчетном месяце.
Статистическая форма составляется за каждый месяц года с января по ноябрь включительно. За декабрь статистическая форма не предоставляется.
4. Графа 1 раздела 2 заполняется только по факту уборки урожая. При заполнении данной графы учитывается, что в случае, если сельскохозяйственный производитель (далее – сельхозпроизводитель) оставляет зерно на хранение на собственных складах, то в графе указывается вес, определенный после подработки на току хозяйства. Если сельхозпроизводитель вывозит урожай на элеватор (напрямую с поля или после первичной подработки на току), в указанной графе отражается вес зерна, определенный на элеваторе.
5. В графе 2 раздела 2 отражается количество зерна, находящегося на хранении непосредственно у респондента (на собственных и арендованных складах) на конец отчетного месяца, с указанием в графах с 3 по 5 данных о наличии зерна в соответствии с типом его использования. В указанных графах не учитывается зерно, переданное на хранение элеваторам или хлебоприемным пунктам.
При отнесении зерновых и бобовых культур к продовольственной или фуражной группам учитывается следующее:
пшеница подразделяется на 5 классов, пшеница 5-го класса и «неклассная» пшеница к продовольственной группе не относятся;
в зависимости от качественных характеристик ячмень подразделяется на 1 и 2 классы, для использования на продовольственные цели предназначен весь ячмень 1-го класса, а также ячмень 2-го класса, используемый для выработки солода в спиртовом производстве, ячмень 2-го класса также используется на фураж;
рожьи овес подразделяются на 4 класса, рожь и овес 1–3-го классов предназначены для продовольственных целей, 4-го класса – на фураж;
кукуруза, просо и горох подразделяются на 3 класса, указанные культуры 1–2-го классов предназначены для использования на продовольственные цели, 3-го класса – на фураж;
рис и гречиха используются только на продовольственные или посевные цели и не используются на фураж.
К семенной группе относятся зерновые и бобовые культуры любого класса.
Данные указываются в целых числах, единица измерения – центнер (в весе после доработки).
6. При отсутствии деятельности в отчетный период респондент не позднее даты окончания самого раннего из сроков представления статистических форм за данный отчетный период, указанных в утвержденном Графике представления респондентами первичных статистических данных по общегосударственным статистическим наблюдениям на соответствующий год, представляет Уведомление об отсутствии деятельности в порядке, установленном Правилами представления респондентами первичных статистических данных, утвержденных приказом Председателя Агентства Республики Казахстан по статистике от 9 июля 2010 года № 173 (зарегистрирован в Реестре государственной регистрации нормативных правовых актов № 6459).
7. Представление данной статистической формы осуществляется в электронном виде или на бумажном носителе. Заполнение статистической формы в электронном виде осуществляется через «Кабинет респондента» (https://cabinet.stat.gov.kz/), размещенном на интернет-ресурсе Бюро национальной статистики Агентства по стратегическому планированию и реформам Республики Казахстан, в режиме он-лайн.
8. Арифметико-логический контроль:
Раздел 2: графа 2 = ∑ граф 3, 4, 5 для каждой строки.
| Приложение 38 к приказу Председателя Комитета по статистике Министерства национальной экономики Республики Казахстан от 10 февраля 2020 года № 21 |
Сноска. Приказ дополнен приложением 38 в соответствии с приказом Руководителя Бюро национальной статистики Агентства по стратегическому планированию и реформам РК от 08.12.2021 № 44 (вводится в действие по истечении десяти календарных дней после дня его первого официального опубликования); — в редакции приказа Руководителя Бюро национальной статистики Агентства по стратегическому планированию и реформам РК от 28.07.2023 № 13 (вводится в действие с 01.01.2024).
|
|
Мемлекеттік статистика органдары құпиялылығына кепілдік бередіКонфиденциальность гарантируется органами государственной статистики Жалпымемлекеттік статистикалық байқаудың статистикалық нысаныСтатистическая форма общегосударственного статистического наблюдения |
Қазақстан Республикасы Ұлттық экономика министрлігінің Статистика комитеті төрағасының 2020 жылғы 10 ақпандағы № 21 бұйрығына 38-қосымша |
|---|
Қорғалған топырақтағы ауыл шаруашылығы дақылдарының түсімін жинау туралы
О сборе урожая сельскохозяйственных культур в защищенном грунте
|
Индексі Индекс |
1-жылыжай 1-теплица |
тоқсандық квартальная |
есепті кезең отчетный период |
|
тоқсан квартал |
|
жыл год |
|---|
Қорғалған топырақтағы ауылшаруашылық дақылдарын өсірумен айналысатын заңды тұлғалар және (немесе) олардың құрылымдық және оқшауланған бөлімшелері, шаруа немесе фермер қожалықтары, дара кәсіпкерлер ұсынады
Представляют юридические лица и (или) их структурные и обособленные подразделения, крестьянские или фермерские хозяйства, индивидуальные предприниматели, занимающиеся выращиванием сельскохозяйственных культур в защищенном грунте
Ұсыну мерзімі – есепті кезеңнен кейінгі 15-күнге (қоса алғанда) дейін
Срок представления – до 15 числа (включительно) после отчетного периода
БСН кодыКод БИН |
ЖСН кодыкод ИИН |
1. Қорғалған топырақтағы ауылшаруашылық дақылдарын өсіру саласындағы қызметті нақты жүзеге асыру аумағын көрсетіңіз – облыс, қала, ауданУкажите территорию фактического осуществления деятельности в области выращивания сельскохозяйственных культур в защищенном грунте – область, город, район |
|
|||||||||
1.1 Әкімшілік-аумақтық объектілер жіктеуішіне (ӘАОЖ) сәйкес аумақ коды (респондент статистикалық нысанды қағаз жеткізгіште ұсынған кезде аумақтық статистика органының тиісті қызметкері толтырады)Код территории согласно Классификатору административно-территориальных объектов (КАТО) (заполняется соотвествующим работником территориального органа статистики при представлении респондентом статистической формы на бумажном носителе) |
|
|||||||||
2. Қорғалған топырақтың түрлері туралы мәліметті көрсетіңіз
Укажите сведения о видах защищенного грунта
|
Құрылысжайлардың түрлері Виды сооружений |
НҚЖ1 бойынша коды Код по КОФ1 |
Жылыжайлардың саны, бірлікпен Количество теплиц, в единицах |
Жылыжайдың салынған жылы Год постройки теплицы |
Жылыжайлардың жалпы алаңы, шаршы метрмен Общая площадь теплиц, в квадратных метрах |
|---|---|---|---|---|
| А | Б | 1 | 2 | 3 |
Көкөніс өсіруге арналған жылыжайларТеплицы для выращивания овощей |
122.911004 |
Х |
||
Соның ішіндеВ том числе |
||||
Гүл өсіруге арналған жылыжайларТеплицы для выращивания цветов |
122.911005 |
|||
Соның ішіндеВ том числе |
||||
Ескертпе:
Примечание:
1
Мұнда және бұдан әрі – Қазақстан Республикасы Стратегиялық жоспарлау және реформалар агенттігі Ұлттық статистикабюросының интернет-ресурсындағы «Жіктеуіштер» бөлімінде орналастырылған «Негізгі қорлар анықтамалығы»
1 Здесь и далее – «Справочник основных фондов», размещенный в разделе «Классификаторы» на интернет-ресурсе Бюро национальной статистики Агентства по стратегическому планированию и реформам Республики Казахстан
|
Құрылысжайлардың түрлері Виды сооружений |
НҚЖ1 бойынша коды Код по КОФ1 |
Жылыжайлардың саны, бірлікпен Количество теплиц, в единицах |
Жылыжайдың салынған жылы Год постройки теплицы |
Жылыжайлардың жалпы алаңы, шаршы метрмен Общая площадь теплиц, в квадратных метрах |
|---|---|---|---|---|
|
А |
Б |
1 |
2 |
3 |
Саңырауқұлақтарға арналған жылыжайларТеплицы для грибов |
122.911006 |
|||
Соның ішіндеВ том числе |
||||
Өзге де жылыжайларПрочие теплицы |
122.911007 |
Х |
||
Соның ішіндеВ том числе |
||||
2.1. Парниктердің, жылытылған топырақтың және үлдір астындағы егістіктің алаңы, шаршы метрменПлощадь парников, утепленного грунта и посевы под пленкой, в квадратных метрах |
|
3. Қорғалған топырақта өсірілген ауылшаруашылық дақылдарының түсімін жинау туралы ақпаратты көрсетіңіз
Укажите информацию о сборе урожая сельскохозяйственных культур, выращенного в защищенном грунте
|
Ауыл шаруашылығы дақылдарының атауы Наименование сельскохозяйственных культур |
АШӨСЖ коды3 Код СКПСХ3 |
Жылыжайдың пайдаланылатын алқабы, шаршы метрмен Используемая площадь теплиц, в квадратных метрах |
Жалпы түсім, центнермен Валовой сбор, в центнерах |
Өнімдерді өткізу, центнермен Реализация продукции, в центнерах |
||||||
|---|---|---|---|---|---|---|---|---|---|---|
|
тоқсанның 1-айы 1 месяц квартала |
тоқсанның 2-айы 2 месяц квартала |
тоқсанның 3-айы 3 месяц квартала |
дайындау ұйымдарына заготовитель-ным организациям |
қайта өңдеу кәсіпорындарына перерабатывающим предприятиям |
сауда желісі және қоғамдық тамақтандыру желісі арқылы через торговую сеть и сеть общественного питания |
экспортқа на экспорт |
өзге де иное |
|||
|
А |
Б |
1 |
2 |
3 |
4 |
5 |
6 |
7 |
8 |
9 |
Ескертпе:
Примечание:
3
Мұнда және бұдан әрі АШӨСЖ – Қазақстан Республикасы Стратегиялық жоспарлау және реформалар агенттігі Ұлттық статистика бюросының интернет-ресурсында «Жіктеуіштер» бөлімінде орналастырылған «Ауыл, орман және балық шаруашылығы өнімдерінің (көрсетілетін қызметтердің) анықтамалығы»
3 Здесь и далее СКПСХ – «Справочник продукции (услуг) сельского, лесного и рыбного хозяйства», размещенный на интернет-ресурсе Бюро национальной статистики Агентства по стратегическому планированию и реформам Республики Казахстан в разделе «Классификаторы»
|
Ауыл шаруашылығы дақылдарының атауы Наименование сельскохозяйственных культур |
АШӨСЖ коды Код СКПСХ |
Жылыжайдың пайдаланылатын алқабы, шаршы метрмен Используемая площадь теплиц, в квадратных метрах |
Жалпы түсім, центнермен Валовой сбор, в центнерах |
Өнімдерді өткізу, центнермен Реализация продукции, в центнерах |
||||||
|---|---|---|---|---|---|---|---|---|---|---|
|
тоқсанның 1-айы 1 месяц квартала |
тоқсанның 2-айы 2 месяц квартала |
тоқсанның 3-айы 3 месяц квартала |
дайындау ұйымдарына заготовительным организациям |
қайта өңдеу кәсіпорындарына перерабатывающим предприятиям |
сауда желісі және қоғамдық тамақтандыру желісі арқылы через торговую сеть и сеть общественного питания |
экспортқа на экспорт |
өзге де иное |
|||
|
А |
Б |
1 |
2 |
3 |
4 |
5 |
6 |
7 |
8 |
9 |
4. Қорғалған топырақта өсірілген өсімдік шаруашылығы өнімдерінің жекелеген түрлерін жинау туралы ақпаратты көрсетіңіз
Укажите информацию о сборе отдельных видов продукции растениеводства выращенной в защищенном грунте
|
Ауыл шаруашылығы дақылдарының атауы Наименование сельскохозяйственных культур |
АШӨСЖ коды Код СКПСХ |
Жылыжайдың пайдаланылатын алқабы, шаршы метрмен Используемая площадь теплиц, в квадратных метрах |
Жалпы жинау, мың данамен Валовой сбор, в тысяч штуках |
|||
|---|---|---|---|---|---|---|
|
тоқсанның 1-айы |
тоқсанның 2-айы |
тоқсанның 3-айы |
||||
|
А |
Б |
С |
1 |
2 |
3 |
4 |
|
1 |
Кесілген раушан гүлдерРозы срезанные |
01.19.21.110 |
||||
|
2 |
Кесілген қалампыр гүлдерГвоздики срезанные |
01.19.21.120 |
||||
|
3 |
Кесілген бақыт гүлдерХризантемы срезанные |
01.19.21.130 |
||||
|
4 |
Өзге де кесілген гүлдерЦветы срезанные прочие |
01.19.21.190 |
||||
|
5 |
Гүлдердің көшеттеріРассада цветов |
01.30.10.210 |
||||
|
6 |
Көкөністердің көшеттеріРассада овощей |
01.30.10.220 |
||||
|
7 |
Жидек дақылдарының көшеттеріРассада культур ягодных |
01.30.10.230 |
||||
Атауы
Мекенжайы (респонденттің
)
Наименование___________________ Адрес (респондента) ______________________________
Телефоны (респонденттің)
Электрондық пошта мекенжайы (респонденттің)
Телефон (респондента) ____________ ________ Адрес электронной почты (респондента)
стационарлық
ұялы
стационарный мобильный
________________________________________
Орындаушы
Исполнитель_________________________ __________________________________________
тегі, аты және әкесінің аты (бар болған жағдайда) қолы, телефоны (орындаушының)
фамилия, имя и отчество (при его наличии) подпись, телефон (исполнителя)
Бас бухгалтер немесе оның міндетін атқарушы тұлға
Главный бухгалтер или лицо, исполняющее его обязанности
___________________________________ __________________________
тегі, аты және әкесінің аты (бар болған жағдайда)
қолы
фамилия, имя и отчество (при его наличии) подпись
Басшы немесе оның міндетін атқарушы тұлға
Руководитель или лицо, исполняющее его обязанности ________________________________
тегі, аты және әкесінің аты (бар болған жағдайда) қолы
фамилия, имя и отчество (при его наличии) подпись
Ескертпе:
Примечание:
Мемлекеттік статистиканың тиісті органдарына анық емес бастапқы статистикалық деректерді ұсыну және бастапқы статистикалық деректерді белгіленген мерзімде ұсынбау «Әкімшілік құқық бұзушылық туралы» Қазақстан Республикасы Кодексінің 497-бабында көзделген әкімшілік құқық бұзушылықтар болып табылады
Представление недостоверных и непредставление первичных статистических данных в соответствующие органы государственной статистики в установленный срок являются административными правонарушениями, предусмотренными статьей 497 Кодекса Республики Казахстан «Об административных правонарушениях»
| Приложение 39 к приказу Председателя Комитета по статистике Министерства национальной экономики Республики Казахстан от 10 февраля 2020 года № 21 |
Инструкция по заполнению статистической формы общегосударственного статистического наблюдения «О сборе урожая сельскохозяйственных культур в защищенном грунте» (индекс 1-теплица, периодичность квартальная)
Сноска. Приказ дополнен приложением 39 в соответствии с приказом Руководителя Бюро национальной статистики Агентства по стратегическому планированию и реформам РК от 08.12.2021 № 44 (вводится в действие по истечении десяти календарных дней после дня его первого официального опубликования); в редакции приказа Руководителя Бюро национальной статистики Агентства по стратегическому планированию и реформам РК от 28.07.2023 № 13 (вводится в действие с 01.01.2024).
1. Настоящая инструкция детализирует заполнение статистической формы общегосударственного статистического наблюдения «О сборе урожая сельскохозяйственных культур в защищенном грунте» (индекс 1-теплица, периодичность квартальная) (далее – статистическая форма).
2. В настоящей инструкции используются следующие определения:
1) валовой сбор – продукция, произведенная (собранная) со всей площади посева различных сельскохозяйственных культур, сельскохозяйственных насаждений или других сельскохозяйственных угодий;
2) теплица – это специальное помещение, покрытое любым светопрозрачным материалом, предназначенное для круглогодичного выращивания тепличных растений и рассады;
3) общая площадь теплиц – производственная площадь (используемая для культивации растений, места для прохода между ними), а также площадь подсобных, административно-бытовых, вспомогательных производственных помещений.
3. В статистической форме указываются используемая площадь защищенного грунта, фактический сбор урожая и реализация продукции согласно кодам Справочника продукции (услуг) сельского, лесного и рыбного хозяйства (СКПСХ).
Защищенный грунт представляет собой специальные помещения или земельные участки с искусственным благоприятным для растений микроклиматом, используемые для выращивания овощей и других сельскохозяйственных растений во внесезонное время. Основное назначение защищенного грунта – производство овощей в осеннее-зимнее и весеннее время; выращивание рассады овощных культур для открытого грунта. Защищенный грунт подразделяется на культивационные сооружения (теплицы, парники) и утепленный грунт.
Основное назначение парников выращивание рассады для открытого грунта и ранних овощей, представляет собой малогабаритное неотапливаемое строение для защиты растений от воздействия неблагоприятных погодных условий.
К утепленному грунту и посевам под пленкой относятся утепленные гряды и простейшие пленочные укрытия на отдельных участках или в полевых севооборотах.
В разделе 1 указывается территория (область, город, район, населенный пункт) фактического осуществления деятельности в области выращивания сельскохозяйственных культур, независимо от места регистрации.
В графе 1 раздела 2 указывается действующее количество теплиц.
В графе 2 раздела 2 указывается фактический год постройки теплицы согласно акту ввода в эскплуатацию объекта.
В графах 3 раздела 2 отражается общая площадь теплиц в квадратных метрах.
В подразделе 2.1 указывается площадь парников, утепленного грунта и посевы под пленкой в квадратных метрах.
4. В разделе 3 указывается площадь защищенного грунта, используемая под урожай текущего года только с первого оборота, и весь сбор урожая со всех видов сооружений защищенного грунта, кроме продукции произведенной для внутренного потребления. Площадь, используемая под второй и последующие обороты, не указывается.
Валовый сбор урожая заполняется в разбивке по месяцам отчетного квартала.
В разделе 4 производство цветов и цветочной рассады, рассады овощей, культур ягодных указывается в тысячах штук.
5. Данные указываются с одним десятичным знаком.
6. Представление данной статистической формы осуществляется в электронном виде или на бумажном носителе. Заполнение статистической формы в электронном виде осуществляется через «Кабинет респондента» (https://cabinet.stat.gov.kz/), размещенном на интернет–ресурсе Бюро национальной статистики Агентства по стратегическому планированию и реформам Республики Казахстан, в режиме он-лайн.
7. Арифметико-логический контроль:
1) Раздел 2:
если графа 3 ≠ 0, то и графа 1 ≠ 0 для каждой строки;
если графы 2 и 3 ≠ 0, то и графа 1 ≠ 0 для каждой строки.
2) Раздел 3:
если графы 2 и/или 3 и/или 4 ≠ 0, то и графа 1 ≠ 0, для каждой строки;
если графы 2 и/или 3 и/или 4 ≠ 0, то одна из граф 5 и/или 6 и/или 7 и/или 8 и/или 9 ≠ 0 для каждой строки;
графа 1 раздела 3 ≤ графы 3 раздела 2.
3) Раздел 4:
если графа 2 и/или 3 и/или 4 ≠ 0, то и графа 1 ≠ 0, для каждой строки.





























































