В соответствии с пунктами 5 и 6 статьи 141 и пунктом 1 статьи 143 Предпринимательского кодекса Республики Казахстан, пунктом 2 статьи 97 Закона Республики Казахстан «Об адвокатской деятельности и юридической помощи» и приказом исполняющего обязанности Министра национальной экономики Республики Казахстан от 22 июня 2022 года № 48 «Об утверждении Правил формирования регулирующими государственными органами системы оценки и управления рисками и о внесении изменений в приказ исполняющего обязанности Министра национальной экономики Республики Казахстан от 31 июля 2018 года № 3 «Об утверждении Правил формирования государственными органами системы оценки рисков и формы проверочных листов» (зарегистрирован в Реестре государственной регистрации нормативных правовых актов № 28577) и приказом исполняющего обязанности Министра национальной экономики Республики Казахстан от 31 июля 2018 года №3 «Об утверждении формы проверочного листа» (зарегистрирован в Реестре государственной регистрации нормативных правовых актов № 17371)
ПРИКАЗЫВАЕМ:
Сноска. Преамбула — в редакции совместного приказа и.о. Министра юстиции РК от 30.11.2022 № 983 и и.о. Министра национальной экономики РК 30.11.2022 № 109 (вводится в действие с 01.01.2023).
1. Утвердить:
1) критерии оценки степени риска в сфере деятельности палаты юридических консультантов, согласно приложению 1 к настоящему совместному приказу;
2) проверочный лист в сфере деятельности палат юридических консультантов, согласно приложению 2 к настоящему совместному приказу.
2. Департаменту регистрационной службы и организации юридических услуг Министерства юстиции Республики Казахстан в установленном законодательством порядке обеспечить:
1) государственную регистрацию настоящего совместного приказа;
2) размещение настоящего совместного приказа на интернет-ресурсе Министерства юстиции Республики Казахстан.
3. Контроль за исполнением настоящего совместного приказа возложить на курирующего вице-министра юстиции Республики Казахстан.
4. Настоящий совместный приказ вводится в действие по истечении десяти календарных дней после дня его первого официального опубликования.
| Министр национальной экономики Республики Казахстан |
Р. Даленов |
| Министр юстиции Республики Казахстан |
М. Бекетаев |
«СОГЛАСОВАН»
Комитет по правовой статистике
и специальным учетам
Генеральной прокуратуры
Республики Казахстан
| Приложение 1 к совместному приказу Министра юстиции Республики Казахстан от 27 декабря 2019 года № 627 и Министра национальной экономики Республики Казахстан от 30 декабря 2019 года № 99 |
Критерии оценки степени риска в сфере деятельности палат юридических консультантов
Сноска. Приложение 1 — в редакции cовместного приказа Министра юстиции РК от 13.11.2023 № 813 и Министра национальной экономики РК от 14.11.2023 № 175 (вводится в действие по истечении десяти календарных дней после дня его первого официального опубликования).
Глава 1. Общие положения
1. Настоящие Критерии оценки степени риска в сфере деятельности палат юридических консультантов (далее – Критерии) разработаны в соответствии с пунктами 5 и 6 статьи 141 и пунктом 1 статьи 143 Предпринимательского кодекса Республики Казахстан (далее — Кодекс), Законом Республики Казахстан «Об адвокатской деятельности и юридической помощи», Правилами формирования регулирующими государственными органами системы оценки и управления рисками, утвержденными приказом исполняющего обязанности Министра национальной экономики Республики Казахстан от 22 июня 2022 года № 48 (зарегистрирован в Реестре государственной регистрации нормативных правовых актов № 28577) и формой проверочного листа, утвержденной приказом исполняющего обязанности Министра национальной экономики Республики Казахстан от 31 июля 2018 года № 3 (зарегистрирован в Реестре государственной регистрации нормативных правовых актов № 17371).
2. В настоящих Критериях использованы следующие понятия:
1) балл – количественная мера исчисления риска;
2) нормализация данных – статистическая процедура, предусматривающая приведение значений, измеренных в различных шкалах, к условно общей шкале;
3) риск – вероятность причинения вреда в результате деятельности субъекта контроля законным интересам физических и юридических лиц с учетом степени тяжести его последствий;
4) система оценки и управления рисками – процесс принятия управленческих решений, направленных на снижение вероятности наступления неблагоприятных факторов путем распределения субъектов (объектов) контроля по степеням риска для последующего осуществления профилактического контроля с посещением субъекта (объекта) контроля и (или) проверок с целью минимально возможной степени ограничения свободы предпринимательства, обеспечивая при этом допустимый уровень риска в соответствующих сферах деятельности, а также направленных на изменение уровня риска для конкретного субъекта (объекта) контроля и (или) освобождения такого субъекта (объекта) контроля от профилактического контроля с посещением субъекта (объекта) контроля и (или) проверок;
5) объективные критерии оценки степени риска (далее – объективные критерии) – критерии оценки степени риска, используемые для отбора субъектов контроля в зависимости от степени риска деятельности и не зависящие непосредственно от отдельного субъекта (объекта) контроля;
6) критерии оценки степени риска – совокупность количественных и качественных показателей, связанных с непосредственной деятельностью субъекта контроля, особенностями отраслевого развития и факторами, влияющими на это развитие, позволяющих отнести субъекты (объекты) контроля к различным степеням риска;
7) субъективные критерии оценки степени риска (далее – субъективные критерии) – критерии оценки степени риска, используемые для отбора субъектов контроля в зависимости от результатов деятельности конкретного субъекта контроля;
8) проверочный лист – перечень требований, предъявляемых к деятельности субъектов контроля, несоблюдение которых влечет за собой нарушение прав законных интересов физических и юридических лиц, государства;
9) субъект контроля – саморегулируемая организация палата юридических консультантов;
10) грубые нарушения – нарушение требований, установленных Законом, нормативными правовыми актами Республики Казахстан в области деятельности палаты юридических консультантов, принятыми в целях реализации указанного Закона, а также нарушение условий создания саморегулируемой организацией, основанной на обязательном членстве;
11) значительные нарушения – нарушение требований, установленных Законом, нормативными правовыми актами Республики Казахстан в области деятельности палаты юридических консультантов, принятыми в целях реализации указанного Закона, которые приводят к существенным нарушениям прав, свобод и законных интересов физических и юридических лиц;
12) незначительные нарушения – нарушение требований, установленных Законом, нормативными правовыми актами Республики Казахстан в области деятельности палаты юридических консультантов, принятыми в целях реализации указанного Закона в сфере деятельности палаты юридических консультантов, не относящиеся к значительным и грубым нарушениям;
13) выборочная совокупность (выборка) – перечень оцениваемых субъектов (объектов), относимых к однородной группе субъектов (объектов) контроля в конкретной сфере государственного контроля, в соответствии с пунктом 2 статьи 143 Кодекса.
Глава 2. Способы проведения проверки и профилактического контроля с посещением субъекта контроля
3. Критерии оценки степени риска для проведения проверки и профилактического контроля с посещением субъекта контроля формируются посредством определения объективных и субъективных критериев.
Параграф 1. Объективные критерии
4. По объективным критериям к субъектам контроля с высокой степенью риска относятся палаты юридических консультантов.
5. В отношении субъектов контроля, отнесенных к высокой степени риска, проводится профилактический контроль с посещением субъекта контроля и внеплановая проверка.
6. Профилактический контроль с посещением субъекта контроля проводится на основании полугодовых списков профилактического контроля с посещением субъекта контроля.
Параграф 2. Субъективные критерии
7. Определение субъективных критериев осуществляется с применением следующих этапов:
1) формирование базы данных и сбор информации;
2) анализ информации и оценка степени риска.
8. Формирование базы данных и сбор информации необходимы для выявления субъектов контроля, нарушающих законодательство Республики Казахстан.
Для оценки степени риска по субъективным критериям для проведения профилактического контроля с посещением субъекта используются следующие источники информации:
1) результаты предыдущих проверок и профилактического контроля с посещением субъекта (объекта) контроля;
2) результаты анализа сведений, предоставляемых государственными органами и организациями.
9. На основании имеющихся источников информации требования подразделяются на три степени нарушения: грубые, значительные, незначительные.
Анализ и оценка субъективных критериев позволит сконцентрировать проведение профилактического контроля с посещением субъекта контроля в отношении субъекта контроля с наибольшим потенциальным риском.
При этом при анализе и оценке не применяются данные субъективных критериев, ранее учтенные и использованные в отношении конкретного субъекта контроля либо данные, по которым истек срок исковой давности в соответствии с законодательством Республики Казахстан.
В отношении субъектов контроля, устранивших в полном объеме выданные нарушения по итогам проведенного предыдущего профилактического контроля с посещением не допускается включение их при формировании списков на очередной период государственного контроля.
10. В зависимости от возможного риска и значимости проблемы, единичности или системности нарушения, анализа принятых ранее решений по каждому источнику информации определяются субъективные критерии, которые в соответствии с критериями оценки степени риска соответствуют степени нарушения – грубое, значительное и незначительное.
Требования к оценке степени риска деятельности субъектов (объектов) контроля изложены в приложении 1 к настоящим Критериям.
11. Исходя из приоритетности применяемых источников информации в соответствии с порядком расчета общий показатель степени риска по субъективным критериям рассчитывается общий показатель степени риска по субъективным критериям по шкале от 0 до 100.
По показателям степени риска субъект (объект) контроля относится к высокой степени риска – при показателе степени риска от 71 до 100 включительно и в отношении него проводится профилактический контроль с посещением субъекта (объекта) контроля.
Глава 2. Расчет общего показателя степени риска по субъективным критериям
12. Государственный орган собирает информацию и формирует базу данных по субъективным критериям из источников согласно пункту 8 Критериев.
Расчет показателя степени риска по субъективным критериям (R) осуществляется в автоматизированном режиме путем суммирования показателя степени риска по нарушениям по результатам предыдущих проверок и профилактического контроля с посещением субъектов (объектов) контроля (SP) и показателя степени риска по субъективным критериям, определенным в соответствии с пунктом 11 Критериев (SC), с последующей нормализацией значений данных в диапазон от 0 до 100 баллов.
Rпром = SP + SC, где
Rпром – промежуточный показатель степени риска по субъективным критериям,
SР – показатель степени риска по нарушениям,
SC – показатель степени риска по субъективным критериям, определенным в соответствии с пунктом 11 Критериев
Расчет производится по каждому субъекту (объекту) контроля однородной группы субъектов (объектов) контроля каждой сферы государственного контроля. При этом перечень оцениваемых субъектов (объектов) контроля, относимых к однородной группе субъектов (объектов) контроля одной сферы государственного контроля, образует выборочную совокупность (выборку) для последующей нормализации данных.
13. Для отнесения субъекта контроля к степени риска применяется следующий порядок расчета показателя степени риска.
При выявлении одного грубого нарушения, субъекта контроля приравнивается показатель степени риска 100 и в отношении него проводится профилактический контроль с посещением субъекта контроля.
При не выявлении грубых нарушений определения показателя степени риска рассчитывается суммарным показателем по нарушениям значительной и незначительной степени.
При определении показателя значительных нарушений применяется коэффициент 0,7 и данный показатель рассчитывается по следующей формуле:
SРз = (SР2 х 100/SР1) х 0,7
где:
SРз – показатель значительных нарушений;
SР1 – требуемое количество значительных нарушений;
SР2 – количество выявленных значительных нарушений;
при определении показателя незначительных нарушений применяется коэффициент 0,3 и данный показатель рассчитывается по следующей формуле:
SРн = (SР2 х 100/SР1) х 0,3
где:
SРн – показатель незначительных нарушений;
SР1 – требуемое количество незначительных нарушений;
SР2 – количество выявленных незначительных нарушений;
общий показатель степени риска (SР) рассчитывается по шкале от 0 до 100 и определяется путем суммирования показателей значительных и незначительных нарушений по следующей формуле:
SР = SРз + SРн
где:
SР – общий показатель степени риска;
SРз – показатель значительных нарушений;
SРн – показатель незначительных нарушений.
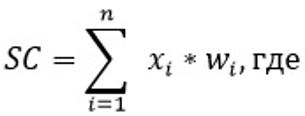
Расчет показателя степени риска по субъективным критериям, определенным в соответствии с пунктом 11 Критериев, производится по шкале от 0 до 100 баллов и осуществляется по следующей формуле:
xi – показатель субъективного критерия,
wi – удельный вес показателя субъективного критерия xi,
n – количество показателей.
Полученное значение показателя степени риска по субъективным критериям включается в расчет показателя степени риска по субъективным критериям.
Рассчитанные по субъектам (объектам) значения по показателю R нормализуются в диапазон от 0 до 100 баллов. Нормализация данных осуществляется по каждой выборочной совокупности (выборке) с использованием следующей формулы:
R – показатель степени риска (итоговый) по субъективным критериям отдельного субъекта (объекта) контроля,
Rmax – максимально возможное значение по шкале степени риска по субъективным критериям по субъектам (объектам), входящим в одну выборочную совокупность (выборку) (верхняя граница шкалы),
Rmin – минимально возможное значение по шкале степени риска по субъективным критериям по субъектам (объектам), входящим в одну выборочную совокупность (выборку) (нижняя граница шкалы),
Rпром – промежуточный показатель степени риска по субъективным критериям, рассчитанный в соответствии с пунктом 12 Критериев.
14. При анализе и оценке степени риска не применяются данные субъективных критериев, ранее учтенных и использованных в отношении конкретного субъекта (объекта) контроля.
15. Кратность проведения профилактического контроля с посещением субъекта контроля определяется по результатам проводимого анализа и оценки получаемых сведений по субъективным критериям, не может быть чаще двух раз в год.
Глава 3. Проверочные листы
16. Проверочные листы составляются для однородных групп субъектов контроля и включают требования в соответствии с пунктом 2 статьи 132 Кодекса и с соблюдением условий, определенных в пункте 2 статьи 143 Кодекса.
| Приложение 1 к Критериям оценки степени риска в сфере деятельности палат юридических консультантов |
Степени нарушения требований к оценке степени риска деятельности субъектов (объектов) контроля
|
№ |
Требования |
Степень нарушения |
|
1 |
Наличие в членстве менее двухсот юридических консультантов |
грубое |
|
2 |
Не ведение реестра членов палаты |
грубое |
|
3 |
Наличие членства юридического консультанта в других палатах юридических консультантов для оказания юридической помощи в виде представительства интересов лиц в судах |
грубое |
|
4 |
Наличие членства лица в палате юридических консультантов, исключенного из реестра членов палаты юридических консультантов за нарушение требований законодательства Республики Казахстан об адвокатской деятельности и юридической помощи, правил и стандартов оказания юридической помощи, Кодекса профессиональной этики, если с даты исключения прошло менее чем три года |
грубое |
|
5 |
Отсутствие у члена палаты юридических консультантов договора страхования профессиональной ответственности по обязательствам, возникающим вследствие причинения вреда третьим лицам, которым в соответствии с договором оказывается юридическая помощь |
грубое |
|
6 |
Отсутствие на интернет-ресурсе Палаты следующей информации: |
значительное |
|
7 |
Не размещение не реже одного раза в год на своем интернет-ресурсе сводно-аналитической информации о формируемой средней стоимости оказываемых членами палаты юридических услуг за предыдущий период, начиная с даты последнего размещения данной информации, на основании данных, предоставляемых членами палаты, с учетом требований о конфиденциальности |
значительное |
|
8 |
Наличие в составе ревизионной комиссии членов коллегиального или исполнительного органов управления палаты юридических консультантов |
значительное |
|
9 |
Не обеспечение повышения квалификации своих членов в соответствии с утвержденными стандартами палаты |
значительное |
|
10 |
Отсутствие правил профессионального поведения и Кодекса профессиональной этики |
значительное |
|
11 |
Отсутствие установленных условий приема в члены палаты |
незначительное |
|
12 |
Отсутствие установленного объема и порядка оказания комплексной социальной юридической помощи |
незначительное |
|
13 |
Отсутствие контрольного органа (ревизионной комиссии) палаты определяемой Законом Республики Казахстан «О саморегулировании» |
грубое |
|
14 |
Несоответствующее ведение субъектом (объектом) контроля реестра членов палаты юридических консультантов, а именно отсутствие следующих сведений в реестре: |
незначительное |
|
15 |
Наличие членства лица в палате юридических консультантов, признанного в судебном порядке недееспособным либо ограниченно дееспособным |
грубое |
|
16 |
Наличие членства лица в палате юридических консультантов, имеющего непогашенную или неснятую в установленном законом порядке судимость |
грубое |
|
17 |
Отсутствие согласованных с уполномоченным органом критериев качества оказания юридической помощи |
грубое |
|
18 |
Не предоставление ежеквартальной информации в уполномоченный орган о включении членов в палату юридических консультантов, приостановлении членства и об исключении из членства |
грубое |
|
19 |
Отсутствие согласованных с уполномоченным органом порядок и условия проведения аттестации для вступления в палату юридических консультантов |
грубое |
|
20 |
Отсутствие согласованных с регулирующим государственным органом и уполномоченным органом в области саморегулирования правила и стандарты по вопросам саморегулируемой основанного на обязательном членстве |
грубое |
|
21 |
Отказ в рассмотрении жалоб и обращений лиц на необоснованность исключения из членов палаты |
грубое |
|
22 |
Не принятие мер воздействия в отношении члена палаты в случае выявления в результате проверки факта нарушений требований законодательства Республики Казахстан, правил и стандартов, условий членства (участия) палаты |
грубое |
| Приложение 2 к Критериям оценки степени риска в сфере деятельности палат юридических консультантов |
Перечень субъективных критериев для определения степени риска
|
№ п/п |
Показатель субъективного критерия |
Источник информации по показателю субъективного критерия |
Удельный вес по значимости, балл (в сумме не должен превышать 100 баллов), wi |
Условия/значения, xi |
|
|
условие 1/значение |
условие 2/значение |
||||
|
1 |
2 |
3 |
4 |
5 |
6 |
|
Перечень субъективных критериев для определения степени риска в сфере деятельности палат юридических консультантов в соответствии Предпринимательским кодексом Республики Казахстан |
|||||
|
Для профилактического контроля с посещением субъекта контроля |
|||||
|
1 |
Отсутствие у члена палаты юридических консультантов договора страхования профессиональной ответственности по обязательствам, возникающим вследствие причинения вреда третьим лицам, которым в соответствии с договором оказывается юридическая помощь |
результаты анализа сведений, предоставляемых государственными органами и организациями |
100 |
Отсутствие / 100 % |
Наличие /0 % |
| Приложение 2 к совместному приказу Министра юстиции Республики Казахстан от 27 декабря 2019 года № 627 и Министра национальной экономики Республики Казахстан от 30 декабря 2019 года № 99 |
Проверочный лист
Сноска. Приложение 2 — в редакции cовместного приказа Министра юстиции РК от 13.11.2023 № 813 и Министра национальной экономики РК от 14.11.2023 № 175 (вводится в действие по истечении десяти календарных дней после дня его первого официального опубликования).
В сфере деятельности палат юридических консультантов в соответствии
с Предпринимательским кодексом Республики Казахстан
_______________________________________________________________
(наименование однородной группы субъектов контроля)
в отношении палат юридических консультантов
_______________________________________________________________
Государственный орган, назначивший проверку/профилактический контроль
с посещением субъекта контроля
_______________________________________________________________
Акт о назначении проверки/профилактического контроля с посещением
субъекта контроля
_______________________________________________________ (№, дата)
Наименование субъекта контроля
________________________________________________________________
________________________________________________________________
Бизнес-идентификационный номер субъекта контроля
________________________________________________________________
________________________________________________________________
Адрес места нахождения __________________________________________
|
№ |
Перечень требований |
Соответствует требованиям |
Не соответствует требованиям |
|
1 |
2 |
3 |
4 |
|
1 |
Наличие в членстве менее двухсот юридических консультантов |
||
|
2 |
Не ведение реестра членов палаты |
||
|
3 |
Наличие членства юридического консультанта в других палатах юридических консультантов для оказания юридической помощи в виде представительства интересов лиц в судах |
||
|
4 |
Наличие членства лица в палате юридических консультантов, исключенного из реестра членов палаты юридических консультантов за нарушение требований законодательства Республики Казахстан об адвокатской деятельности и юридической помощи, правил и стандартов оказания юридической помощи, Кодекса профессиональной этики, если с даты исключения прошло менее чем три года |
||
|
5 |
Отсутствие у члена палаты юридических консультантов договора страхования профессиональной ответственности по обязательствам, возникающим вследствие причинения вреда третьим лицам, которым в соответствии с договором оказывается юридическая помощь |
||
|
6 |
Отсутствие на интернет-ресурсе Палаты следующей информации: |
||
|
7 |
Не размещение не реже одного раза в год на своем интернет-ресурсе сводно-аналитической информации о формируемой средней стоимости оказываемых членами палаты юридических услуг за предыдущий период, начиная с даты последнего размещения данной информации, на основании данных, предоставляемых членами палаты, с учетом требований о конфиденциальности |
||
|
8 |
Наличие в составе ревизионной комиссии членов коллегиального или исполнительного органов управления палаты юридических консультантов |
||
|
9 |
Не обеспечение повышения квалификации своих членов в соответствии с утвержденными стандартами палаты |
||
|
10 |
Отсутствие правил профессионального поведения и Кодекса профессиональной этики |
||
|
11 |
Отсутствие установленных условий приема в члены палаты |
||
|
12 |
Отсутствие установленного объема и порядка оказания комплексной социальной юридической помощи |
||
|
13 |
Отсутствие контрольного органа (ревизионной комиссии) палаты, определяемой Законом Республики Казахстан «О саморегулировании» |
||
|
14 |
Несоответствующее ведение субъектом (объектом) контроля реестра членов палаты юридических консультантов, а именно отсутствие следующих сведений в реестре: |
||
|
15 |
Наличие членства лица в палате юридических консультантов, признанного в судебном порядке недееспособным либо ограниченно дееспособным |
||
|
16 |
Наличие членства лица в палате юридических консультантов, имеющего непогашенную или неснятую в установленном законом порядке судимость |
||
|
17 |
Отсутствие согласованных с уполномоченным органом критериев качества оказания юридической помощи |
||
|
18 |
Не предоставление ежеквартальной информации в уполномоченный орган о включении членов в палату юридических консультантов, приостановлении членства и об исключении из членства |
||
|
19 |
Отсутствие согласованных с уполномоченным органом порядок и условия проведения аттестации для вступления в палату юридических консультантов |
||
|
20 |
Отсутствие согласованных с регулирующим государственным органом и уполномоченным органом в области саморегулирования правила и стандарты по вопросам саморегулируемой основанного на обязательном членстве |
||
|
21 |
Отказ в рассмотрении жалоб и обращений лиц на необоснованность исключения из членов палаты |
||
|
22 |
Не принятие мер воздействия в отношении члена палаты в случае выявления в результате проверки факта нарушений требований законодательства Республики Казахстан, правил и стандартов, условий членства (участия) палаты |
Должностное (ые) лицо (а):
_____________________________________________________________________
(должность) (подпись)
_____________________________________________________________________
_____________________________________________________________________
(фамилия, имя, отчество (при его наличии) должность) (подпись)
Руководитель субъекта контроля
_____________________________________________________________________
(должность) (подпись)
_____________________________________________________________________
(фамилия, имя, отчество (при его наличии)


