Примечание ИЗПИ!
Приказ утрачивает силу приказом и.о. Министра финансов РК от 30.10.2025 № 649 (вводится в действие с 16.06.2026).
Сноска. Заголовок — в редакции приказа Министра финансов РК от 28.03.2022 № 317 (вводится в действие по истечении десяти календарных дней после дня его первого официального опубликования).
В соответствии с пунктом 2 статьи 137 и пунктом 10 статьи 429 Кодекса Республики Казахстан «О налогах и других обязательных платежах в бюджет» (Налоговый кодекс) и подпунктом 1) статьи 10 Закона Республики Казахстан «О государственных услугах»
ПРИКАЗЫВАЮ
:
Сноска. Преамбула — в редакции приказа Министра финансов РК от 28.03.2022 № 317 (вводится в действие по истечении десяти календарных дней после дня его первого официального опубликования).
1. Утвердить:
1) Правила возврата превышения налога на добавленную стоимость и применения системы управления рисками в целях подтверждения достоверности суммы превышения налога на добавленную стоимость согласно приложению 1 к настоящему приказу;
2) критерии степени риска согласно приложению 2 к настоящему приказу.3
Сноска. Пункт 1 — в редакции приказа Министра финансов РК от 28.03.2022 № 317 (вводится в действие по истечении десяти календарных дней после дня его первого официального опубликования).
2. Комитету государственных доходов Министерства финансов Республики Казахстан (Тенгебаев А.М.) в установленном законодательством порядке обеспечить:
1) государственную регистрацию настоящего приказа в Министерстве юстиции Республики Казахстан;
2) в течение десяти календарных дней со дня государственной регистрации настоящего приказа направление его копии в бумажном и электронном виде на казахском и русском языках в Республиканское государственное предприятие на праве хозяйственного ведения «Республиканский центр правовой информации Министерства юстиции Республики Казахстан» для официального опубликования и включения в Эталонный контрольный банк нормативных правовых актов Республики Казахстан;
3) размещение настоящего приказа на интернет — ресурсе Министерства финансов Республики Казахстан;
4) в течение десяти рабочих дней после государственной регистрации настоящего приказа в Министерстве юстиции Республики Казахстан представление в Департамент юридической службы Министерства финансов Республики Казахстан сведений об исполнении мероприятий, предусмотренных подпунктами 1), 2) и 3) настоящего пункта.
3. Настоящий приказ вводится в действие по истечении десяти календарных дней после дня его первого официального опубликования.
| Министр | Б. Султанов |
| Утверждены приказом Министра финансов Республики Казахстан от 19 марта 2018 года № 391 |
Правила возврата превышения налога на добавленную стоимость и применения системы управления рисками в целях подтверждения достоверности суммы превышения налога на добавленную стоимость
Сноска. Правила — в редакции приказа Министра финансов РК от 28.03.2022 № 317 (вводится в действие по истечении десяти календарных дней после дня его первого официального опубликования).
Глава 1. Общие положения
1. Настоящие Правила возврата превышения налога на добавленную стоимость и применения системы управления рисками в целях подтверждения достоверности суммы превышения налога на добавленную стоимость (далее – Правила) разработаны в соответствии с пунктом 2 статьи 137 и пунктом 10 статьи 429 Кодекса Республики Казахстан «О налогах и других обязательных платежах в бюджет» (далее – Налоговый кодекс) и подпунктом 1) статьи 10 Закона Республики Казахстан «О государственных услугах» (далее – Закон) и устанавливают порядок возврата сумм превышения налога на добавленную стоимость (далее – НДС) с применением системы управления рисками (далее – СУР).
2. Государственная услуга «Возврат налога на добавленную стоимость из бюджета» оказывается территориальными органами Комитета государственных доходов Министерства финансов Республики Казахстан (далее – Комитет) по районам, городам и районам в городах, на территории специальных экономических зон (далее – услугодатель) посредством веб-портала «электронного правительства» (далее – портал) и (или) информационных систем (далее – ИС) Комитета.
3. Услугодатель, в соответствии с подпунктом 11) пункта 2 статьи 5 Закона, обеспечивает внесение данных в информационную систему мониторинга оказания государственных услуг о стадии оказания государственной услуги согласно Правилам внесения данных в информационную систему мониторинга оказания государственных услуг о стадии оказания государственной услуги, утвержденным приказом исполняющего обязанности Министра транспорта и коммуникаций Республики Казахстан от 14 июня 2013 года № 452 «Об утверждении Правил внесения данных в информационную систему мониторинга оказания государственных услуг о стадии оказания государственной услуги» (зарегистрирован в Реестре государственной регистрации нормативных правовых актов под № 8555).
4. Услугодатель обеспечивает бесперебойное функционирование ИС, содержащих необходимые сведения для оказания государственных услуг. При сбое в ИС, используемых при оказании государственных услуг, услугодатель обеспечивает устранение технических неполадок и уведомляет соответствующих уполномоченных лиц в течение 1 (одного) рабочего дня.
5. Настоящие Правила применяются:
при проведении тематических проверок по подтверждению достоверности сумм превышения НДС, в том числе предъявленных к возврату;
при применении упрощенного порядка возврата превышения НДС, предусмотренного статьей 434 Налогового кодекса (далее – упрощенный порядок);
при подтверждении превышения НДС в соответствии с положениями международных договоров, в отношении которых применяется особый порядок возврата.
Глава 2. Порядок и сроки оказания государственной услуги «Возврат превышения налога на добавленную стоимость из бюджета»
Параграф 1. Порядок и сроки возврата превышения налога на добавленную стоимость по результатам тематической проверки
6. Для получения государственной услуги налогоплательщик (далее – услугополучатель) подает требование о возврате суммы превышения НДС, указанного в декларации по НДС за налоговый период (далее – требование) услугодателю посредством портала и (или) ИС Комитета. При этом требование отражается в первоначальной, очередной и (или) ликвидационной декларациях по НДС.
Если плательщик НДС не указал в декларации по НДС за налоговый период требование, то данное превышение зачитывается в счет предстоящих платежей по НДС или предъявляется к возврату в течение срока исковой давности, установленного статьей 48 Налогового кодекса (далее – срок исковой давности).
Перечень основных требований к оказанию государственной услуги, «Возврат превышения налога на добавленную стоимость из бюджета» изложенный в приложении 1 к настоящим Правилам (далее — перечень основных требований).
Сноска. Пункт 6 с изменениями, внесенными приказом и.о. Заместителя Премьер-Министра — и.о. Министра финансов РК от 20.03.2023 № 289 (вводится в действие по истечении десяти календарных дней после дня его первого официального опубликования).
7. Возврат превышения НДС производится на основании:
1) акта тематической проверки по подтверждению достоверности суммы превышения НДС, предъявленной к возврату из бюджета (далее – тематическая проверка), с учетом результатов его обжалования (при обжаловании услугополучателем);
2) заключения к акту тематической проверки в случаях, предусмотренных пунктом 13 статьи 152 Налогового кодекса.
Положения подпунктов 1) и 2) настоящего пункта не распространяются при осуществлении возврата сумм превышения НДС в соответствии со статьей 434 Налогового кодекса и параграфом 2 главы 2 настоящих Правил.
8. Услугодатель после получения требования, если иное не установлено параграфом 2 главы 2 настоящих Правил, назначает тематическую проверку после истечения срока, указанного в пункте 9 настоящих Правил.
При этом тематическая проверка назначается за налоговый период в соответствии с пунктом 2 статьи 152 Налогового кодекса.
Тематическая проверка проводится с применением СУР.
9. Возврат превышения НДС производится в следующие сроки:
1) услугополучателям, осуществляющим обороты по реализации, облагаемые по нулевой ставке, которые составляют не менее 70 (семидесяти) процентов в общем облагаемом обороте по реализации за налоговый период, за который предъявлено требование о возврате суммы превышения НДС, – в течение 55 (пятидесяти пяти) рабочих дней;
2) по остальным услугополучателям – в течение 75 (семидесяти пяти) рабочих дней.
При этом течение срока возврата суммы превышения НДС начинается после истечения 30 (тридцати) календарных дней со срока, установленного для представления декларации по НДС в соответствии с пунктом 1 статьи 424 Налогового кодекса.
Сноска. Пункт 9 с изменениями, внесенными приказом и.о. Заместителя Премьер-Министра — и.о. Министра финансов РК от 20.03.2023 № 289 (вводится в действие по истечении десяти календарных дней после дня его первого официального опубликования).
10. Если установлено отсутствие на лицевом счете услугополучателя суммы превышения НДС и (или) нарушены порядок и сроки представления налоговой отчетности, установленные статьями 208, 209, 210 и 424 Налогового кодекса, услугодатель в течение 10 (десяти) рабочих дней со срока, установленного для представления декларации по НДС в соответствии с пунктом 1 статьи 424 Налогового кодекса с учетом периода продления, уведомляет услугополучателя об отказе в рассмотрении требования.
11. При проведении тематической проверки по подтверждению достоверности сумм превышения НДС, предъявленных к возврату, а также достоверности сумм НДС, возвращенных из бюджета услугополучателю, в отношении которого применен упрощенный порядок возврата, орган государственных доходов формирует по проверяемому услугополучателю с применением информационной системы за проверяемый налоговый период аналитический отчет «Пирамида» по поставщикам (далее – отчет «Пирамида») в соответствии с главой 3 настоящих Правил.
12. Услугодатель в соответствии с главой 4 настоящих Правил принимает меры без осуществления заслушивания в соответствии с подпунктом 7) пункта 2 статьи 73 Административного процедурно-процессуального кодекса Республики Казахстан (далее – АППК):
по направлению уведомления об устранении нарушений, выявленных налоговыми органами по результатам камерального контроля (далее – уведомление), предусмотренного подпунктом 10) пункта 2 статьи 114 Налогового кодекса, для устранения нарушений, выявленных по результатам анализа отчета «Пирамида»;
по назначению встречных проверок поставщиков услугополучателя и (или) поставщиков поставщика (далее – поставщик) в соответствии со статьей 143 Налогового кодекса.
13. По итогам тематической проверки составляется акт тематической проверки. При выявлении нарушений осуществляется заслушивание в соответствии со статьей 73 АППК.
14. Возврат превышения НДС осуществляется услугодателем в пределах суммы НДС, подтвержденной актом тематической проверки, либо заключением к акту тематической проверки.
Общая сумма превышения НДС, подтвержденная к возврату, не превышает сумму превышения НДС, указанную в требовании, и (или) сумму превышения НДС, имеющейся на лицевом счете проверяемого услугополучателя на дату завершения тематической проверки либо на дату составления заключения к акту тематической проверки, согласно пункту 2 статьи 104 Налогового кодекса.
При этом превышение НДС, не подлежащее возврату из бюджета, зачитывается в счет предстоящих платежей по НДС в соответствии с пунктом 1 статьи 429 Налогового кодекса.
15. В течение 1 (одного) рабочего дня после подписания акта тематической проверки либо заключения к акту тематической проверки формируется список налогоплательщиков, по которым необходимо составить отчет по сальдо расчетов услугополучателя.
16. Услугополучатель в течение 5 (пяти) рабочих дней со дня подписания акта тематической проверки либо заключения к акту тематической проверки представляет услугодателю налоговое заявление на проведение зачета и (или) возврата налогов, других обязательных платежей, пеней и штрафов (далее – налоговое заявление на зачет и (или) возврат).
17. На основании налогового заявления на зачет и (или) возврат и отчета по сальдо расчетов, сформированного в информационной системе услугодателя, должностное лицо, осуществляющее тематическую налоговую проверку, составляет распоряжение на возврат в 2 (двух) экземплярах.
При этом отчет по сальдо расчетов формируется на дату составления распоряжения.
18. Возврат превышения НДС производится по месту нахождения услугополучателя на основании представленного налогового заявления на зачет и (или) возврат, путем проведения в соответствии со статьей 102 Налогового кодекса зачета и (или) перечисления на банковский счет услугополучателя при отсутствии налоговой задолженности.
При наличии налоговой задолженности услугодатель производит зачет превышения НДС, в счет погашения имеющейся налоговой задолженности, в том числе налоговой задолженности структурных подразделений без представления налогового заявления на зачет и (или) возврат.
Возврату на банковский счет и (или) зачету в счет предстоящих платежей по видам налогов и (или) других платежей в бюджет, подлежит остаток суммы превышения НДС после проведения зачета, предусмотренного настоящим пунктом.
19. Сумма превышения НДС, по которой услугополучателем в декларации указано требование, возвращенная из бюджета, но не подтвержденная в последующем по результатам налогового контроля, подлежит уплате в бюджет услугополучателем при его согласии в соответствии с подпунктом 1) части второй пункта 2 статьи 96 Налогового кодекса на основании уведомления об устранении нарушений, выявленных по результатам камерального контроля, или уведомления о результатах проверки.
Если возврат суммы превышения НДС услугополучателю ранее был произведен с начислением и перечислением пени в соответствии с пунктом 4 статьи 104 Налогового кодекса в пользу данного услугополучателя, пеня, перечисленная ранее услугополучателю и приходящаяся на возвращенную сумму превышения НДС, не подтвержденную по результатам налогового контроля, подлежит уплате в бюджет при его согласии в соответствии с подпунктом 1) части второй пункта 2 статьи 96 Налогового кодекса на основании уведомления об устранении нарушений, выявленных по результатам камерального контроля, или уведомления о результатах проверки.
Данное положение касается и суммы, указанной в пункте 83 настоящих Правил.
Параграф 2. Порядок и сроки возврата превышения налога на добавленную стоимость в упрощенном порядке
20. Упрощенный порядок возврата превышения НДС в соответствии с пунктом 2 статьи 434 Налогового кодекса применяют следующие услугополучатели, представившие декларации по НДС с указанием требования и не имеющие неисполненного налогового обязательства по представлению налоговой отчетности на дату представления декларации по НДС:
1) состоящие не менее 12 (двенадцати) последовательных месяцев на налоговом мониторинге;
2) производители товаров собственного производства, перечень которых в соответствии с подпунктом 2) пункта 2 статьи 434 Налогового кодекса утвержден приказом Министра торговли и интеграции Республики Казахстан от 31 мая 2021 года № 382-НҚ «Об утверждении перечня производителей товаров собственного производства» (далее – Перечень производителей товаров собственного производства);
3) экспортеры сырья при конвертации не менее 50 (пятидесяти) процентов валютной выручки, поступившей за налоговый период, перечень которых в соответствии с подпунктом 3) пункта 2 статьи 434 Налогового кодекса утверждается Постановлением Правительства Республики Казахстан «Об утверждении перечня экспортеров сырья, имеющих право на применение упрощенного порядка возврата превышения налога на добавленную стоимость при конвертации не менее 50 (пятидесяти) процентов валютной выручки, поступившей за налоговый период» (далее – Перечень экспортеров сырья).
При этом возврату в упрощенном порядке подлежит превышение НДС:
1) для услугополучателя, подлежащего мониторингу крупных налогоплательщиков, – в размере не более 70 (семидесяти) процентов от суммы превышения НДС, сложившегося за отчетный налоговый период;
2) для услугополучателя, состоящего на горизонтальном мониторинге, – в размере не более 90 (девяноста) процентов от суммы превышения НДС, сложившегося за отчетный налоговый период;
3) для услугополучателей, являющихся производителями товаров собственного производства обрабатывающей промышленности включенных в Перечень производителей товаров собственного производства:
соответствующих условиям пункта 2 статьи 429 Налогового кодекса, в размере не более 50 (пятидесяти) процентов от суммы превышения НДС, сложившегося за отчетный налоговый период;
соответствующих условиям пункта 3 статьи 429 Налогового кодекса, в размере не более 50 (пятидесяти) процентов от части суммы НДС, отнесенного в зачет по товарам (работам, услугам), использованным для целей оборота по реализации, облагаемого по нулевой ставке, но не более 50 (пятидесяти) процентов от суммы превышения НДС, сложившегося за отчетный налоговый период;
4) для услугополучателя, включенного в Перечень экспортеров сырья, которые соответствуют условиям пункта 2 статьи 429 Налогового кодекса, в размере не более 80 (восьмидесяти) процентов от суммы превышения НДС, сложившегося за отчетный налоговый период.
Услугополучатель применяет положение настоящего параграфа одновременно по нескольким налоговым периодам, если соответствует вышеуказанным условиям в каждом налоговом периоде, и, если превышение НДС не рассмотрено в порядке, установленном параграфом 1 главы 2 настоящих Правил.
При этом, удельный вес суммы превышения НДС, подлежащей возврату, рассчитывается по отдельности по каждому налоговому периоду, указанному в требовании.
Сноска. Пункт 20 с изменениями, внесенными приказом и.о. Заместителя Премьер-Министра — и.о. Министра финансов РК от 20.03.2023 № 289 (вводится в действие по истечении десяти календарных дней после дня его первого официального опубликования).
21. Возврат суммы превышения НДС в упрощенном порядке производится в течение 15 (пятнадцати) рабочих дней после истечения последней даты, установленной Налоговым кодексом для представления услугодателю декларации по НДС за налоговый период, в которой указано требование.
При продлении срока представления налоговой отчетности по НДС в соответствии с подпунктами 2) и 3) пункта 3 статьи 212 Налогового кодекса, возврат превышения суммы НДС производится с учетом периода продления.
22. При упрощенном порядке услугодатель в течение 3 (трех) рабочих дней со срока, установленного для представления декларации по НДС в соответствии с пунктом 1 статьи 424 Налогового кодекса с учетом периода продления, проверяет отсутствие или наличие у услугополучателя, неисполненного налогового обязательства по представлению налоговой отчетности, установленного статьями 208, 209, 210 и 424 Налогового кодекса, в пределах срока исковой давности, а также правильность отражения исчисленных сумм налогов и других обязательных платежей в бюджет на его лицевом счете.
Проверка отсутствия или наличия неисполненного налогового обязательства, указанного в части первой настоящего пункта, в отношении реорганизованного услугополучателя проводится в отношении всех реорганизованных юридических лиц.
При реорганизации путем слияния или присоединения налогоплательщиков, указанных в подпунктах 2) и 3) части первой пункта 2 статьи 434 Налогового кодекса, услугодатель проверяет факт проведения тематической проверки в отношении реорганизованного услугополучателя.
Если услугополучатель и его структурные подразделения состоят на регистрационном учете в других органах государственных доходов (далее – ОГД), услугодатель, в который поступило требование, направляет в течение 1 (одного) рабочего дня со срока, установленного для представления декларации по НДС в соответствии с пунктом 1 статьи 424 Налогового кодекса с учетом периода продления, с помощью информационной системы в соответствующие ОГД запрос по вопросам, указанным в части первой настоящего пункта.
Сноска. Пункт 22 с изменениями, внесенными приказом и.о. Заместителя Премьер-Министра — и.о. Министра финансов РК от 20.03.2023 № 289 (вводится в действие по истечении десяти календарных дней после дня его первого официального опубликования).
23. По услугополучателю, представившего требование на возврат НДС в упрощенном порядке в качестве производителя товаров собственного производства и (или) экспортера сырья, осуществляющего конвертацию валютной выручки, услугодатель при представлении услугополучателем требования в течение 2 (двух) рабочих дней со срока, установленного для представления декларации по НДС в соответствии с пунктом 1 статьи 424 Налогового кодекса с учетом периода продления, проверяет наличие услугополучателя в Перечне производителей товаров собственного производства или в Перечне экспортеров сырья, и проверяет соответствие условиям пункта 2 статьи 429 Налогового кодекса.
Сноска. Пункт 23 – в редакции приказа и.о. Заместителя Премьер-Министра — и.о. Министра финансов РК от 20.03.2023 № 289 (вводится в действие по истечении десяти календарных дней после дня его первого официального опубликования).
24. При представлении услугополучателем требования в соответствии с подпунктом 3) пункта 20 настоящих Правил, осуществивший экспорт сырья, услугодатель направляет в Национальный Банк Республики Казахстан (далее – Национальный банк) и (или) банк второго уровня (далее – БВУ) запрос о конвертации валютной выручки в течение 2 (двух) рабочих дней со дня представления требования.
При определении суммы превышения НДС, подлежащей возврату, учитывается заключение о конвертации валютной выручки, представленное Национальным банком и (или) БВУ.
Сноска. Пункт 24 – в редакции приказа и.о. Заместителя Премьер-Министра — и.о. Министра финансов РК от 20.03.2023 № 289 (вводится в действие по истечении десяти календарных дней после дня его первого официального опубликования).
25. При соответствии услугополучателя условиям, предусмотренных пунктами 22, а также 23 или 24 настоящих Правил, услугодатель определяет сумму превышения НДС, подлежащую возврату в упрощенном порядке в соответствии с параграфом 4 главы 3 настоящих Правил.
При этом, если сумма превышения НДС, подлежащая возврату в упрощенном порядке, меньше указанной в требовании, на оставшуюся сумму превышения НДС применяются положения статьи 431 Налогового кодекса.
Сноска. Пункт 25 – в редакции приказа и.о. Заместителя Премьер-Министра — и.о. Министра финансов РК от 20.03.2023 № 289 (вводится в действие по истечении десяти календарных дней после дня его первого официального опубликования).
26. При установлении несоответствия условиям, предусмотренным пунктами 22, 23 или 24 настоящих Правил, услугополучателю без осуществления заслушивания в соответствии с подпунктом 7) пункта 2 статьи 73 АППК направляется уведомление об отсутствии права на применение упрощенного порядка возврата превышения НДС по форме, указанной в приложении 2 к настоящим Правилам с приложением расчета баллов и расшифровки расчета показателей, учтенных по каждому критерию.
При неполном подтверждении суммы превышения НДС, предъявленного к возврату в соответствии с пунктом 26 настоящих Правил, направляется уведомление о сумме превышения налога на добавленную стоимость, подтвержденной к возврату в упрощенном порядке, по форме, указанной в приложении 3 к настоящим Правилам форме, указанной в приложении 3 к настоящим Правилам.
Одновременно услугополучатель уведомляется о праве применения им порядка возврата превышения НДС, предусмотренного статьей 431 Налогового кодекса, на неподтвержденную сумму превышения НДС.
В течение 5 (пяти) рабочих дней после получения уведомления услугополучатель письменно или в электронном виде посредством портала и (или) ИС Комитета уведомляет услугодателя о принятом решении в пределах одного требования о возврате превышения – об отказе или согласии применения порядка возврата превышения НДС, предусмотренного статьей 431 Налогового кодекса и главой 4 настоящих Правил.
Отсутствие соответствующего ответа от услугополучателя после истечения указанного срока является фактом отказа от возврата превышения НДС, предусмотренного статьей 431 Налогового кодекса и главой 4 настоящих Правил, в налоговом периоде, за который представлено требование о возврате превышения НДС.
Сноска. Пункт 26 – в редакции приказа и.о. Заместителя Премьер-Министра — и.о. Министра финансов РК от 20.03.2023 № 289 (вводится в действие по истечении десяти календарных дней после дня его первого официального опубликования).
27. В течение 1 (одного) рабочего дня с даты получения уведомления о сумме превышения НДС, подтвержденной к возврату в упрощенном порядке по форме, указанной в приложении 3 к настоящим Правилам, услугополучателем представляется услугодателю налоговое заявление на зачет и (или) возврат.
Сноска. Пункт 27 — в редакции приказа Заместителя Премьер-Министра — Министра финансов РК от 16.11.2023 № 1198 (вводится в действие по истечении десяти календарных дней после дня его первого официального опубликования).
28. После определения суммы превышения НДС к возврату в упрощенном порядке, услугодатель в течение 1 (одного) рабочего дня формирует отчет по сальдо расчетов.
При этом отчет по сальдо расчетов формируется на дату составления распоряжения.
29. На основании налогового заявления, указанного в пункте 27 настоящих Правил, составляется распоряжение на возврат в 2 (двух) экземплярах с учетом сведений, отраженных в отчете по сальдо расчетов.
К распоряжению на возврат прилагается сальдо расчетов.
30. Возврат превышения НДС производится по месту нахождения услугополучателя на его банковский счет при отсутствии налоговой задолженности, если иное не предусмотрено настоящим пунктом.
При наличии задолженности услугодатель производит зачет превышения НДС в счет погашения имеющейся задолженности, в том числе задолженности структурных подразделений, без представления налогового заявления на зачет и (или) возврат.
Возврату на его банковский счет подлежит остаток суммы превышения НДС после проведения зачета, предусмотренного настоящим пунктом.
31. При возврате услугополучателю превышения НДС либо при отказе в применении упрощенного порядка в соответствии с пунктом 26 настоящих Правил, сумма превышения НДС, сложившаяся по декларации нарастающим итогом на конец отчетного налогового периода, подлежит возврату в соответствии с главой 4 настоящих Правил.
32. К услугополучателю, включенному в Перечень производителей товаров собственного производства, положения настоящего параграфа применяются по правоотношениям, возникшим с 1 января 2021 года.
Положения настоящего пункта применяются в отношении услугополучателя, включенного в Перечень производителей товаров собственного производства.
33. При выборе услугополучателем упрощенного возврата НДС, установленного подпунктом 3) части первой пункта 20 настоящих Правил, к услугополучателю, включенному в Перечень экспортеров сырья, осуществляющих конвертацию валютной выручки, положения настоящего параграфа применяются по правоотношениям, возникшим с 1 января 2022 года.
Сноска. Пункт 33 – в редакции приказа и.о. Заместителя Премьер-Министра — и.о. Министра финансов РК от 20.03.2023 № 289 (вводится в действие по истечении десяти календарных дней после дня его первого официального опубликования).
34. Положения главы 4 настоящих Правил не применяются в отношении услугополучателя при рассмотрении его требования в упрощенном порядке.
Глава 3. Порядок применения системы управления рисками в целях подтверждения достоверности суммы превышения налога на добавленную стоимость
35. СУР основана на оценке рисков и включает меры, вырабатываемые и (или) применяемые услугодателем в целях выявления и предупреждения риска.
Риском является вероятность неисполнения и (или) неполного исполнения налогового обязательства услугополучателем, которые наносят ущерб государству.
36. СУР направлена на стимулирование добросовестного осуществления услугополучателем действий (бездействия) по исполнению им налогового обязательства, а также выявление рисков извлечения услугополучателем выгоды из своих незаконных действий в целях получения налоговых выгод (налоговой экономии) и уменьшения налоговых платежей, в том числе в целях предотвращения излишнего возврата превышения НДС.
37. СУР применяется услугодателем в целях подтверждения достоверности суммы превышения НДС при проведении тематических проверок в соответствии со статьей 152 Налогового кодекса и при определении суммы возврата превышения НДС в упрощенном порядке в соответствии со статьей 434 Налогового кодекса.
38. Система управления рисками определяет степени риска на основе автоматизированного расчета присвоения баллов по критериям степени риска согласно приложению 2 к настоящему приказу в целях подтверждения превышения НДС с использованием ИС при проведении тематических проверок в целях определения налогоплательщиков, отнесенных к категории налогоплательщиков, находящихся в зоне риска, по которым формируется аналитический отчет «Пирамида» и при определении суммы превышения НДС, подлежащей возврату в упрощенном порядке.
39. Для определения риска извлечения налогоплательщиком выгоды из своих незаконных действий в целях получения налоговых выгод (налоговой экономии) и уменьшения налоговых платежей применяются критерии, которые являются конфиденциальной информацией, не подлежащей разглашению, в том числе налогоплательщику, по которому произведена оценка степени (уровня) риска.
40. В целях гибкого и оперативного управления рисками Комитет определяет порядок расчета критериев степени риска, который подлежит размещению на официальном сайте Комитета ежеквартально не позднее первого числа второго месяца отчетного периода.
Параграф 3. Порядок применения системы управления рисками в целях подтверждения достоверности сумм превышения налога на добавленную стоимость при проведении тематических проверок
41. Показатели деятельности услугополучателя, представившего требование и (или) налоговое заявление налогоплательщика по подтверждению достоверности сумм превышения НДС, представленному в соответствии с подпунктом 2) пункта 3 статьи 145 Налогового кодекса, в связи с применением им пункта 2 статьи 432 Налогового кодекса (далее – налоговое заявление), оцениваются с использованием критериев степени риска в течение 5 (пяти) рабочих дней с даты начала тематической проверки.
42. Баллы по критериям степени риска, по которым установлено соответствие показателям деятельности услугополучателя, суммируются для определения общего суммарного итога по всем критериям степени риска, который используется для отнесения услугополучателя к категории налогоплательщиков, имеющих низкую степень добросовестности и высокую степень риска (зона риска).
43. Если суммарный итог баллов по результатам оценки с использованием критериев степени риска превышает порог баллов, установленный Комитетом, отчет «Пирамида» по таким налогоплательщикам не формируется.
Если суммарный итог баллов по результатам оценки с использованием критериев степени риска не превышает порог баллов, установленный Комитетом, то по таким налогоплательщикам формируется отчет «Пирамида».
44. Для целей формирования отчета «Пирамида», используются представленные налоговые отчетности по НДС и (или) сведения информационных систем за проверяемый налоговый период с актуальностью данных на двадцатое число третьего месяца квартала, в котором подано требование на возврат превышения НДС.
Сбор (агрегация) таких сведений производится не позднее десятого числа месяца, следующего за кварталом, в котором подано требование на возврат превышения НДС.
Услугодатель формирует отчет «Пирамида» после истечения срока указанного в части второй настоящего пункта и не позднее:
1) 10 (десяти) рабочих дней – по услугополучателям, указанным в части первой пункта 54 настоящих Правил, и его непосредственным поставщикам;
2) 30 (тридцати) рабочих дней – по остальным услугополучателям и его поставщикам.
Сноска. Пункт 44 — в редакции приказа Заместителя Премьер-Министра — Министра финансов РК от 16.11.2023 № 1198 (вводится в действие по истечении десяти календарных дней после дня его первого официального опубликования).
45. Для целей настоящих Правил отчетом «Пирамида» являются результаты контроля, осуществляемого услугодателем на основе изучения и анализа представленной налогоплательщиком налоговой отчетности по НДС и (или) сведений ИС, а также сведений, полученных от уполномоченных государственных органов, местных исполнительных органов, уполномоченных лиц, а также других документов и (или) сведений о деятельности налогоплательщика.
Отчет «Пирамида» формируется в целях определения достоверности сумм превышения НДС, предъявленного к возврату и выявления следующих рисков:
риска неисполнения налоговых обязательств;
риска применения поставщиками схем уклонения от уплаты налогов.
Результатом формирования отчета «Пирамида» является сводная таблица взаиморасчетов между услугополучателем и поставщиками различных уровней за каждый налоговый период.
Сноска. Пункт 45 — в редакции приказа Министра финансов РК от 12.03.2024 № 137 (вводится в действие по истечении десяти календарных дней после дня его первого официального опубликования).
45-1. Отчет «Пирамида» формируется по всем уровням поставщиков услугополучателя, за исключением случаев:
1) превышения суммы нарушений над суммой НДС, относимого в зачет по поставщику, непосредственно или через посредников (агентов, комиссионеров или поверенных) поставившим товары, выполнившим работы или оказавшим услуги проверяемому услугополучателю;
2) предусмотренных пунктами 46 и 47 настоящих Правил;
3) установления поставщика, у которого общая сумма НДС, по выписанным счет-фактурам за налоговый период не превышает 300-кратного размера месячного расчетного показателя (далее – МРП), установленного законом о республиканском бюджете и действующего на дату формирования отчета «Пирамида»;
4) установления самого услугополучателя, по которому формируется отчет «Пирамида».
По услугополучателю, состоящем на горизонтальном мониторинге, отчет «Пирамида» формируется исключительно по непосредственным поставщикам услугополучателя.
Сноска. Глава 3 дополнена пунктом 45-1 в соответствии с приказом Заместителя Премьер-Министра — Министра финансов РК от 16.11.2023 № 1198 (вводится в действие по истечении десяти календарных дней после дня его первого официального опубликования); в редакции приказа Министра финансов РК от 12.03.2024 № 137 (вводится в действие по истечении десяти календарных дней после дня его первого официального опубликования).
46. Риском неисполнения налоговых обязательств признается выявленные расхождения в результате сверки сведений налоговой отчетности поставщика и сведений ИС, а также другие сведения, указывающие на неисполнение (неполное исполнение) налоговых обязательств по исчислению и уплате НДС в бюджет.
Услугодатель формирует отчет «Пирамида» по риску неисполнения налоговых обязательств исключительно по непосредственным поставщикам услугополучателя.
В целях настоящих Правил непосредственными поставщиками признаются:
поставщики, непосредственно или через посредников (агентов, комиссионеров или поверенных) поставившие товары, выполнившие работы или оказавшие услуги услугополучателю, по которому формируется отчет «Пирамида»;
поставщики, непосредственно или через посредников (агентов, комиссионеров или поверенных) поставившие товары, выполнившие работы или оказавшие услуги через взаимосвязанные стороны.
В целях настоящих Правил взаимосвязанными сторонами признаются физические и (или) юридические лица, имеющие взаимоотношения, которые соответствуют одному либо нескольким из следующих условий:
1) одно лицо является крупным участником другого лица;
2) лица связаны договором, в соответствии с которым одно из них вправе определять решения, принимаемые другим;
3) юридическое лицо находится под контролем крупного участника или должностного лица другого юридического лица;
4) крупный акционер, крупный участник или должностное лицо одного юридического лица являются крупным акционером, крупным участником либо должностным лицом другого юридического лица;
5) юридическое лицо совместно с другим юридическим лицом находится под контролем третьего лица;
6) физическое лицо является руководителем юридического лица, указанного в подпунктах 2) – 5) настоящего пункта, за исключением независимого директора акционерного общества.
Сноска. Пункт 46 — в редакции приказа Министра финансов РК от 12.03.2024 № 137 (вводится в действие по истечении десяти календарных дней после дня его первого официального опубликования).
47. Риском применения поставщиками схем уклонения от уплаты налогов признается наличие признаков, указывающих на заключение сделок с целью получения права на зачет сумм НДС без фактической поставки товаров, выполнения работ, оказания услуг.
К таким признакам относятся наличие на различных уровнях поставщиков:
которым ограничена выписка электронных счетов-фактур в информационной системе электронных счетов-фактур в соответствии со статьей 120-1 Налогового кодекса;
регистрация (перерегистрация) которых на основании вступившего в законную силу решения суда признана недействительной;
в отношении которых имеется факт регистрации в Едином реестре досудебного расследования уголовного дела по статье 216 Уголовного кодекса Республика Казахстан;
сделки, которые судом признаны недействительными.
Сноска. Пункт 47 — в редакции приказа Министра финансов РК от 12.03.2024 № 137 (вводится в действие по истечении десяти календарных дней после дня его первого официального опубликования).
48. ОГД, осуществляющим тематическую проверку в пределах сроков, указанных в пункте 44 настоящих Правил, анализируются результаты отчета «Пирамида».
При этом решение о направлении уведомления, принимается только по тем налогоплательщикам, по которым выявлены нарушения налогового законодательства.
В целях настоящих Правил нарушениями налогового законодательства признаются нарушения, выявленные ОГД по результатам камерального контроля, указанные в пункте 52 настоящих Правил с учетом степени риска, указанных в пункте 47 настоящих Правил.
ОГД, назначивший тематическую проверку, не позднее 5 (пяти) рабочих дней с даты завершения формирования отчета «Пирамида» направляет запрос, в том числе путем автоматизированного обмена информацией в ОГД по месту нахождения поставщика – о принятии мер по устранению нарушений, по которому выявлены нарушения, указанные в подпунктах 1), 2), 3), 4) и 6) пункта 52 настоящих Правил.
Сноска. Пункт 48 с изменением, внесенным приказом Заместителя Премьер-Министра — Министра финансов РК от 16.11.2023 № 1198 (вводится в действие по истечении десяти календарных дней после дня его первого официального опубликования).
49. ОГД, получивший запрос о принятии мер на устранение нарушений, в течение 5 (пяти) рабочих дней с даты получения такого запроса направляет:
по нарушениям с низкой степенью риска – извещение о нарушениях, выявленных по результатам камерального контроля, с приложением описания выявленных нарушений;
по остальным нарушениям – уведомление, с приложением описания выявленных нарушений.
Уведомление и (или) извещение, указанные в части первой настоящего пункта, в адрес налогоплательщика не направляется, если выявленное нарушение устранено по результатам налоговой проверки, проведенной ранее у такого налогоплательщика, либо самостоятельного устранения.
При этом ОГД ответ на запрос на устранение нарушений в адрес услугодателя, от которого поступил такой запрос, направляется в течение 5 (пяти) рабочих дней с даты исполнения налогоплательщиком уведомления или получения такого запроса при устранении нарушений по результатам ранее проведенной налоговой проверки, либо самостоятельного устранения.
50. ОГД, осуществляющим тематическую проверку, при выявлении по результатам анализа отчета «Пирамида» поставщиков с признаками в операциях рисков, указанных в пункте 47 настоящих Правил, с целью получения дополнительной информации о таких операциях, подтверждения факта и содержания операций назначаются встречные проверки в соответствии с параграфом 2 главы 4 настоящих Правил.
51. Если на момент проведения тематической проверки поставщик прекратил деятельность в связи с ликвидацией и в отношении такого поставщика ликвидационная налоговая проверка проведена, то сумма НДС, указанная в счете-фактуре, выписанном таким поставщиком, учитывается по сведениям, имеющимся в ИС ОГД, в том числе, выписанных электронных счетов-фактур реестра и (или) счетов-фактур по реализованным товарам, выполненным работам и оказанным услугам, с учетом результатов проверки.
52. При выявлении по результатам отчета «Пирамида» у поставщиков товаров, работ, услуг нарушений налогового законодательства, подтверждение достоверности суммы превышения НДС, производится в пределах сумм, указанных в требовании и (или) в налоговом заявлении, уменьшенных на суммы превышения НДС, приходящиеся на поставщиков товаров, работ, услуг, у которых установлены нарушения налогового законодательства, учитывая следующие факты, но не ограничиваясь ими:
1) занижение суммы НДС по реализованным товарам, работам, услугам, выявленное при сопоставлении между сведениями, отраженными в налоговой отчетности по НДС у поставщика и (или) сведениями ИС электронных счетов фактур (далее – ЭСФ) по выписанным счетам фактурам поставщика;
2) расхождения между сведениями, отраженными в налоговой отчетности по НДС у поставщика и (или) сведений, указанных в реестре счетов-фактур по реализованным товарам, работам, услугам, и сведениями в реестре счетов-фактур покупателя по приобретенным им товарам, работам, услугам;
3) отнесение в зачет сумм НДС по взаиморасчетам с лицом, снятым с регистрационного учета по НДС, в том числе ликвидированным, бездействующим, банкротом, – с даты снятия такого лица с регистрационного учета по НДС в соответствии со статьей 85 Налогового кодекса;
4) отнесение в зачет сумм НДС по сделке, признанной недействительной на основании вступившего в законную силу решения суда;
5) отнесение в зачет сумм НДС по взаиморасчетам с поставщиком, в отношении руководителя (учредителя) которого имеется факт регистрации в Едином реестре досудебного расследования уголовного дела по правонарушениям, указанным в статьях 216 и 245 Уголовного кодекса Республики Казахстан, за исключением прекращенных по реабилитирующим основаниям и по не реабилитирующим основаниям по статье 245 Уголовного кодекса;
6) отнесение в зачет сумм НДС по взаиморасчетам с поставщиком, в отношении которого выявлены риски, предусмотренные пунктом 47 настоящих Правил;
7) наличие неисполненного налогового обязательства поставщиками по уплате начисленных сумм НДС на дату завершения тематической проверки услугополучателя;
8) наличие изменения срока исполнения налогового обязательства по уплате НДС в соответствии с главой 6 Налогового кодекса до завершения тематической проверки услугополучателя;
9) уменьшение налоговых обязательств путем представления дополнительной налоговой отчетности на дату завершения тематической проверки услугополучателя.
Сноска. Пункт 52 — в редакции приказа Министра финансов РК от 28.01.2025 № 49 (вводится в действие по истечении десяти календарных дней после дня его первого официального опубликования).
52-1. При подтверждении достоверности суммы превышения НДС расхождения не учитываются как риск неисполнения налоговых обязательств по следующим поставщикам:
1) исключен приказом Министра финансов РК от 28.01.2025 № 49 (вводится в действие по истечении десяти календарных дней после дня его первого официального опубликования);
2) по которым направлены извещения о нарушениях с низкой степенью риска, выявленных по результатам камерального контроля;
3) по которым нарушения налогового законодательства, не подтверждены по результатам встречных проверок, проведенных в соответствии с параграфом 2 главы 4 настоящих Правил;
4) по которым нарушения налогового законодательства, выявленные по результатам анализа аналитического отчета «Пирамида» не подтверждены по полученным ответам на запросы о принятии мер по их устранению поставщиками товаров, работ, услуг;
5) по которым нарушения налогового законодательства, выявленные по результатам анализа аналитического отчета «Пирамида» приходятся на налоговые периоды, по которым услугополучателем, состоящим на налоговом мониторинге, не предъявлено требование о возврате суммы превышения налога на добавленную стоимость, указанного в декларации по налогу на добавленную стоимость в соответствии со статьей 431 Налогового кодекса.
Сноска. Правила дополнены пунктом 52-1 в соответствии с приказом и.о. Заместителя Премьер-Министра — и.о. Министра финансов РК от 20.03.2023 № 289 (вводится в действие по истечении десяти календарных дней после дня его первого официального опубликования); в редакции приказа Министра финансов РК от 12.03.2024 № 137 (вводится в действие по истечении десяти календарных дней после дня его первого официального опубликования); с изменением, внесенным приказом Министра финансов РК от 28.01.2025 № 49 (вводится в действие по истечении десяти календарных дней после дня его первого официального опубликования).
52-2. При подтверждении достоверности суммы превышения НДС, признаки установленные в соответствии с пунктом 47 настоящих Правил, не учитываются как риски применения схем уклонения от уплаты налогов следующими поставщиками:
1) в отношении которых отменено ограничение выписки электронных счетов-фактур в информационной системе электронных счетов-фактур в соответствии с пунктом 4 статьи 120-1 Налогового кодекса, подтвержденное сведениями информационных систем на дату вынесения предварительного решения по административному делу, но не позднее чем за три рабочих дня до принятия административного акта в соответствии с подпунктом 7) пункта 2 статьи 73 АППК.
2) в отношении которых прекращено уголовное дело по реабилитирующим основаниям по статье 216 Уголовного кодекса Республики Казахстан на дату получения сведений органа уголовного преследования о статусе уголовного дела.
3) устранившего нарушения в цепочке поставки товаров, работ, услуг, в том числе признания сделки действительной на основании вступившего в законную силу решения суда.
4) по которым нарушения налогового законодательства, выявленные по результатам анализа аналитического отчета «Пирамида» приходятся на налоговые периоды, по которым услугополучателем, состоящим на налоговом мониторинге, не предъявлено требование о возврате суммы превышения налога на добавленную стоимость, указанного в декларации по налогу на добавленную стоимость в соответствии со статьей 431 Налогового кодекса.
5) осуществляющего поставку электрической и тепловой энергии, воды и (или) газа, за исключением электрической и тепловой энергии, воды и (или) газа, которые в дальнейшем экспортированы их покупателем;
6) осуществляющего поставку услуг связи;
7) являющегося недропользователем, осуществляющим деятельность на основании соглашения (контракта) о разделе продукции, заключенном с Правительством Республики Казахстан или компетентным органом;
8) состоящим на налоговом мониторинге, в том числе крупных налогоплательщиков и на горизонтальном мониторинге;
9) являющимся национальным управляющим холдингом, национальным холдингом, национальной компанией, перечень которых утвержден Постановлением Правительства Республики Казахстан от 6 апреля 2011 года № 376 «Об утверждении перечня национальных управляющих холдингов, национальных холдингов, национальных компаний».
10) являющимся производителем товаров собственного производства.
Производителем товаров собственного производства в целях настоящего пункта признается:
налогоплательщик, включенный в Перечень производителей товаров собственного производства;
производитель товара, приобретенного услугополучателем (за исключением производителей шкур крупного и мелкого рогатого скота и лиц, перерабатывающих лом цветных и черных металлов), установленный по результатам встречной проверки, проводимой в соответствии с параграфом 2 главы 4 настоящих Правил.
Производителем товаров собственного производства в рамках настоящих Правил является поставщик, признанный производителем в течение всего проверяемого периода услугополучателя.
11) являющимся поставщиками последующих уровней налогоплательщиков, указанных в подпунктах 5), 6), 7), 8), 9) и 10) настоящего пункта.
При этом ОГД, назначивший тематическую проверку, не позднее 5 рабочих дней после завершения тематической проверки направляет сведения о признаках, установленных в соответствии с пунктом 47 настоящих Правил, по поставщикам, указанным в подпунктах 5), 6), 7), 8), 9), 10) и 11) настоящего пункта для проведения налогового контроля в ОГД по месту их нахождения.
Сноска. Правила дополнены пунктом 52-2 в соответствии с приказом Министра финансов РК от 12.03.2024 № 137 (вводится в действие по истечении десяти календарных дней после дня его первого официального опубликования).
53. Сумма превышения НДС, подлежащая подтверждению, определяется в следующем порядке:
1) устанавливается наименьшая из сумм НДС, отнесенных в зачет поставщиками товаров, работ, услуг, начиная от каждого налогоплательщика в пределах суммы нарушения налогового законодательства с учетом фактов, указанных в пункте 52 настоящих Правил, до услугополучателя, представившего требование о возврате НДС и (или) налоговое заявление;
2) устанавливается наименьшая из следующих сумм в совокупности:
суммы НДС, суммарно сложившейся из сумм НДС, определенных в соответствии с подпунктом 1) настоящего пункта;
суммы НДС, отнесенной в зачет услугополучателем, представившим требование о возврате НДС или налоговое заявление, от непосредственного поставщика;
3) из суммы превышения НДС, указанной в требовании о возврате НДС или налоговом заявлении, вычитаются суммы НДС, определенные в порядке, указанном в подпункте 2) настоящего пункта.
При повторении нарушения на разных этапах поставки товаров, работ, услуг, вычитаемая сумма НДС определяется в пределах суммы такого нарушения.
Образцы определения суммы превышения НДС, подлежащей подтверждению, приведены в приложениях 4, 5, 6, 7 и 8 к настоящим Правилам.
Сноска. Пункт 53 — в редакции приказа Заместителя Премьер-Министра — Министра финансов РК от 16.11.2023 № 1198 (вводится в действие по истечении десяти календарных дней после дня его первого официального опубликования).
54. Положения пункта 52 настоящих Правил не применяются при устранении нарушений, выявленных по результатам отчета «Пирамида» непосредственными поставщиками проверяемого услугополучателя:
имеющих право на применение упрощенного порядка (независимо от использования данного права);
реализующих инвестиционный проект в рамках республиканской карты индустриализации, утверждаемой Правительством Республики Казахстан, стоимость которого составляет не менее 150 000 000 МРП, в соответствии с подпунктом 4) пункта 12 статьи 152 Налогового кодекса;
осуществляющих деятельность в рамках контракта на недропользование, заключенного в соответствии с законодательством Республики Казахстан о недрах и недропользовании, и имеющим средний коэффициент налоговой нагрузки не менее 20 (двадцати) процентов, рассчитанный за последние 5 (пять) лет, предшествующих налоговому периоду, в котором предъявлено требование о возврате превышения НДС;
осуществляющих разведку и (или) добычу углеводородов на море в рамках соглашения о разделе продукции, указанного в пункте 1 статьи 722 Налогового кодекса.
При этом факт устранения нарушений поставщиками определяется по полученным до завершения тематической проверки ответам ОГД на запросы о принятии мер по устранению нарушений и (или) сведениям услугополучателя об устранении нарушений, подтвержденных сведениями информационных систем.
Сноска. Пункт 54 — в редакции приказа Министра финансов РК от 12.03.2024 № 137 (вводится в действие по истечении десяти календарных дней после дня его первого официального опубликования).
Параграф 4. Порядок определения суммы превышения налога на добавленную стоимость, подлежащей возврату в упрощенном порядке с применением системы управления рисками
55. Показатели деятельности налогоплательщика, представившего требование, в соответствии со статьей 434 Налогового кодекса, оцениваются с учетом положений пунктов 56 и 57 настоящих Правил в течение 15 (пятнадцати) рабочих дней после истечения последней даты, установленной Налоговым кодексом для представления услугодателю декларации по НДС за налоговый период, в которой указано требование.
При продлении срока представления налоговой отчетности по НДС в соответствии с подпунктами 2) и 3) пункта 3 статьи 212 Налогового кодекса, возврат превышения суммы НДС производится с учетом периода продления.
56. Баллы по критериям степени риска суммируются для определения общего суммарного итога по всем критериям, и определяется сумма превышения НДС, подлежащего возврату в следующем порядке:
1) если суммарный итог баллов по результатам оценки с использованием критериев составляет менее 3 (трех) баллов, в упрощенном порядке возврату подлежит в размере 1 (одного) процента от суммы превышения НДС, сложившегося за отчетный период;
2) если суммарный итог баллов по результатам оценки с использованием критериев составляет от 3 (трех) до 300 (трехсот) баллов, возврату в упрощенном порядке подлежит превышение НДС, соответствующие процентному выражению от суммы превышения НДС, сложившейся за отчетный период исходя из расчета 3 (три) балла равно 1 (одному) проценту;
3) если суммарный итог баллов по результатам оценки с использованием критериев составляет 300 (триста) и более баллов, возврату в упрощенном порядке подлежит превышение НДС в пределах суммы превышения НДС, указанной в требовании о возврате превышения НДС и не более пределов, указанных в пункте 14 настоящих Правил.
57. В целях исключения риска, указанного в пункте 47 настоящих Правил, услугодатель формирует отчет «Пирамида» по поставщикам, за период, указанный в требовании.
При выявлении нарушений, указанных в пункте 47 настоящих Правил, по результатам отчета «Пирамида» у поставщиков, сумма превышения НДС, подлежащая возврату, определяется за вычетом суммы нарушений, приходящиеся на поставщиков товаров, работ, услуг у которых установлены нарушения налогового законодательства, из суммы превышения НДС, сложившегося за отчетный период.
Сноска. Пункт 57 – в редакции приказа и.о. Заместителя Премьер-Министра — и.о. Министра финансов РК от 20.03.2023 № 289 (вводится в действие по истечении десяти календарных дней после дня его первого официального опубликования).
58. Услугодатель определяет сумму превышения НДС, подлежащую возврату, по удельному весу конвертированной валюты за налоговый период, указанный в требовании о возврате суммы превышения НДС.
Удельный вес конвертации валютной выручки услугодатель учитывает исходя из сведений заключения о конвертации валютной выручки, представленного Национальным Банком и БВУ в порядке и форме, утвержденными приказом Министра финансов Республики Казахстан «Об утверждении Правил и формы представления Национальным Банком Республики Казахстан и банками второго уровня заключения в органы государственных доходов о конвертации валютной выручки».
Положения настоящего пункта применяются только в отношении услугополучателей, которые выбрали применение упрощенного порядка возврата превышения НДС в соответствии с подпунктом 3) части первой пункта 20 настоящих Правил и включенных в Перечень экспортеров сырья, осуществляющих конвертацию валютной выручки.
Возврат превышения НДС по таким услугополучателям рассчитывается по удельному весу конвертированной валюты в общей сумме поступлений валютной выручки за налоговый период:
1) если удельный вес конвертации составляет 80 (восемьдесят) и более процентов, то возврату подлежит сумма превышения НДС в размере 80 (восьмидесяти) процентов от суммы превышения НДС;
2) если удельный вес конвертации составляет менее 80 (восьмидесяти) процентов, то возврату подлежит сумма превышения НДС в размере соответствующего удельного веса от суммы превышения НДС.
При этом, возврату в упрощенном порядке подлежит превышение НДС для экспортеров сырья при конвертации не менее 50 процентов валютной выручки, поступившей за налоговый период.
Если услугополучатель не соответствует условиям настоящего пункта, возврат превышения НДС производится по иным основаниям, предусмотренным пунктом 2 статьи 434 Налогового кодекса.
Сноска. Пункт 58 – в редакции приказа и.о. Заместителя Премьер-Министра — и.о. Министра финансов РК от 20.03.2023 № 289 (вводится в действие по истечении десяти календарных дней после дня его первого официального опубликования).
59. Подлежащая возврату сумма превышения НДС в упрощенном порядке определяется по наибольшей сумме, определенной в соответствии с пунктами 56 и 58 настоящих Правил, в пределах суммы превышения НДС, определенной пунктом 57 настоящих Правил, но не более суммы НДС, указанной в требовании.
Глава 4. Возврат превышения налога на добавленную стоимость по результатам тематической проверки
Параграф 1. Порядок возврата превышения налога на добавленную стоимость по результатам тематической проверки
60. Сумма превышения НДС, подлежащая возврату, определяется по результатам тематической проверки с учетом положений главы 3 настоящих Правил.
При представлении услугополучателем документов в электронном виде, обработка документов проводится автоматизировано. При этом, при представлении в электронном виде неполного пакета документов согласно перечню, предусмотренному перечнем основных требований, и (или) документов с истекшим сроком действия, услугодатель отказывает в приеме документов.
При представлении услугополучателем на бумажном носителе неполного пакета документов согласно перечню, предусмотренному перечнем основных требований, и (или) документов с истекшим сроком действия услугодатель отказывает в приеме документов.
При отсутствии сведений, необходимых для оказания государственной услуги в соответствии с настоящими Правилами, работник услугодателя в течение 2 (двух) рабочих дней со дня поступления указывает услугополучателю, каким требованиям не соответствует представленный на бумажном носителе пакет документов и срок приведения его в соответствие.
Срок приведения в соответствие указанных в уведомлении документов, представленных на бумажном носителе, составляет 2 (два) рабочих дня.
Если в течение 2 (двух) рабочих дней со дня получения уведомления услугополучатель не привел документы, представленные на бумажном носителе, в соответствие с требованиями, услугодатель направляет отказ в дальнейшем рассмотрении заявления.
При установлении факта полноты документов, представленных на бумажном носителе, работник, ответственный за обработку документов, в день их получения вводит документы в информационную систему ОГД для дальнейшей обработки.
Сноска. Пункт 60 с изменениями, внесенными приказом и.о. Заместителя Премьер-Министра — и.о. Министра финансов РК от 20.03.2023 № 289 (вводится в действие по истечении десяти календарных дней после дня его первого официального опубликования).
61. Положения настоящей главы не применяются в отношении услугополучателя, при рассмотрении его требования о возврате превышения НДС в упрощенном порядке в соответствии со статьей 434 Налогового кодекса.
62. При определении суммы превышения НДС, подлежащей возврату в соответствии с пунктом 2 статьи 429 Налогового кодекса, по результатам тематической проверки, учитываются следующие условия:
1) плательщиком НДС осуществляется постоянная реализация товаров, работ, услуг, облагаемых по нулевой ставке;
2) оборот по реализации, облагаемый по нулевой ставке, за налоговый период, в котором осуществлялась постоянная реализация товаров, работ, услуг, составляет не менее 70 (семидесяти) процентов в общем облагаемом обороте по реализации.
В целях настоящего пункта к постоянной реализации товаров, работ, услуг, облагаемых по нулевой ставке, относятся реализация товаров, выполнение работ, оказание услуг, облагаемых по нулевой ставке, осуществляемых в течение 3 (трех) последовательных налоговых периодов, не реже одного раза в каждом квартале. При этом постоянной реализацией признается такая реализация в каждом из указанных налоговых периодов.
Если доля оборота по реализации, облагаемого по нулевой ставке, в общем обороте составляет не менее 70 (семьдесят) процентов в каждом из 3 (трех) последовательных налоговых периодов, то подлежит возврату вся сумма превышения НДС, сложившаяся в декларации по НДС. При этом, последовательность налоговых периодов определяется независимо от периода, указанного в требовании.
При невыполнении одного из указанных условий сумма превышения НДС подлежит возврату в части суммы НДС, отнесенного в зачет по товарам (работам, услугам), использованным для целей оборота по реализации, облагаемого по нулевой ставке независимо от периода, в котором совершен оборот, облагаемый по нулевой ставке.
Для определения суммы превышения НДС, подлежащей возврату, рассчитывается сумма НДС, отнесенного в зачет, по товарам, работам, услугам, использованным для целей оборота по реализации, облагаемого по нулевой ставке по данным бухгалтерского и налогового учета, с учетом методов отнесения в зачет по НДС и методов оценки запасов (определения себестоимости) в бухгалтерском учете, указанных в учетной налоговой политике.
63. По оборотам, не облагаемым по нулевой ставке, возврату подлежит превышение НДС только в пределах сумм НДС, отнесенного в зачет и уплаченного в бюджет при приобретении работ, услуг от нерезидента в соответствии со статьей 373 Налогового кодекса и использованных и (или) подлежащих использованию в целях облагаемых оборотов по реализации.
При неиспользовании в целях облагаемых оборотов по реализации ранее возвращенная сумма НДС подлежит возмещению в соответствии с пунктом 5 статьи 431 Налогового кодекса.
64. При экспорте товаров с таможенной территории Евразийского экономического союза (далее – ЕАЭС), при определении суммы НДС, подлежащей возврату в соответствии с пунктом 5 статьи 152 Налогового кодекса, учитываются сведения таможенного органа государства-члена ЕАЭС, подтверждающие факт вывоза товаров с таможенной территории ЕАЭС, в таможенной процедуре экспорта.
При экспорте товаров на территорию другого государства ЕАЭС, учитываются заявление о ввозе товаров и уплате косвенных налогов с отметкой налогового органа государства-члена ЕАЭС, на территорию которого импортированы товары, на бумажном носителе (оригинал или копия), и (или) в электронной форме.
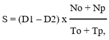
При не подтверждении факта вывоза товара, расчет суммы превышения НДС, не подлежащей возврату в связи с не подтверждением экспорта товаров, производится следующим образом:
где
S = сумма НДС, не подтвержденная возврату, в связи с не подтверждением экспорта товаров;
D1 = объем экспортированного товара по данным деклараций на товары и (или) заявлений о ввозе товаров и уплате косвенных налогов;
D2 = объем экспортированного товара по данным ИС ОГД и (или) ответов на направленные запросы, на товары и (или) заявлений о ввозе товаров и уплате косвенных налогов;
Nо = сумма НДС, отнесенного в зачет по остаткам товаров на начало налогового периода с учетом данных предыдущих проверок;
Np = сумма НДС, относимого в зачет по приобретенным товарам в налоговом периоде;
Tо = объем товара на начало налогового периода с учетом данных предыдущих проверок;
Tp = объем товара, приобретенного в налоговом периоде, где налоговый период – налоговый период, указанный в предписании о проведении налоговой проверки.
Данный расчет производится по каждому виду товара и по каждому контракту. Результаты суммируются и определяется сумма превышения НДС, не подлежащая возврату в связи с неподтверждением экспорта товаров.
Сноска. Пункт 64 с изменением, внесенным приказом Заместителя Премьер-Министра — Министра финансов РК от 16.11.2023 № 1198 (вводится в действие по истечении десяти календарных дней после дня его первого официального опубликования).
65. При экспорте товаров при определении суммы НДС, подлежащей возврату, учитывается экспорт товаров, по которому поступила валютная выручка на банковские счета услугополучателя в БВУ на территории Республики Казахстан, либо осуществлен фактический ввоз на территорию Республики Казахстан товаров, поставленных плательщику НДС покупателем экспортированных товаров по внешнеторговым товарообменным (бартерным) операциям.
При недопоступлении валютной выручки учитывается общая сумма неподтвержденного НДС по всем контрактам.
Расчет неподтвержденной возврату суммы НДС по каждому конкретному контракту производится по следующей формуле:
где
устанавливается в промежутке между 0 и 1.
При этом:
если значение равно или более 1, то в расчет берется значение 1,
если значение менее или равно 0, то берется значение 0.
Значение, в указанном расчете:
S = сумма, не подтвержденная возврату по контракту;
P = подлежащая возврату сумма НДС согласно статье 429 Налогового кодекса;
Rобщ = общая сумма реализации по контракту за весь период действия контракта;
V= общая сумма поступлений валютной выручки по данным БВУ по контракту на момент представления заключения;
Rконтр = общая сумма реализации по контракту проверяемого периода;
R = общая сумма реализации по всем контрактам проверяемого периода.
Сноска. Пункт 65 — в редакции приказа Заместителя Премьер-Министра — Министра финансов РК от 16.11.2023 № 1198 (вводится в действие по истечении десяти календарных дней после дня его первого официального опубликования).
66. Подтверждение достоверности сумм НДС по операциям между проверяемым услугополучателем и его непосредственным поставщиком, подлежащим налоговому мониторингу, производится ОГД, назначившим тематическую проверку, на основании данных налоговой отчетности и (или) ИС ЭСФ, имеющихся в ОГД.
67. Не производится возврат превышения НДС в пределах сумм, по которым на дату завершения тематической проверки, согласно пункту 12 статьи 152 Налогового кодекса:
1) не получены ответы на запросы на проведение встречных проверок по подтверждению достоверности взаиморасчетов с поставщиком;
2) по поставщикам проверяемого услугополучателя выявлены нарушения по результатам анализа отчета «Пирамида»;
3) не подтверждена достоверность сумм НДС;
4) не подтверждена достоверность сумм НДС в связи с невозможностью проведения встречной проверки, в том числе по причине:
отсутствия поставщика по месту нахождения;
утраты учетной документации поставщика.
68. Положения подпункта 1) и 2) пункта 67 настоящих Правил применяются с учетом положений параграфа 3 главы 3 настоящих Правил.
69. При этом неподтвержденная по результатам тематической проверки сумма превышения НДС подлежит возврату по мере устранения поставщиками товаров, работ, услуг нарушений налогового законодательства, путем включения налогоплательщиком в требование в последующие налоговые периоды в пределах сроков исковой давности.
При этом ОГД, осуществляющий тематическую проверку, в целях определения целесообразности направления запроса, указанного в пункте 48 настоящих Правил, анализирует результаты отчета «Пирамида» по таким поставщикам с учетом полученных ответов на ранее направленные запросы на устранение нарушений.
70. В акте тематической проверки указываются основания невозврата сумм превышения НДС с указанием неподтвержденной суммы по каждой причине в отдельности.
71. При наличии на дату завершения тематической проверки не устраненных нарушений, установленных у поставщиков, ОГД прилагает к акту налоговой проверки реестр направленных в территориальные ОГД запросов на устранение выявленных нарушений по форме согласно приложению 9 к настоящим Правилам.
72. Сумма превышения НДС, подлежащая возврату по результатам тематической проверки, рассчитывается путем исключения всех выявленных нарушений с суммы превышения НДС, указанного в требовании, с учетом ранее возвращенных сумм.
73. Заключение к акту тематической проверки составляется не позднее 25 (двадцать пятого) числа последнего месяца квартала, в количестве не менее 2 (двух) экземпляров и подписывается должностными лицами ОГД. Один экземпляр заключения к акту тематической проверки вручается услугополучателю, который ставит отметку на другом экземпляре о получении указанного заключения к акту тематической проверки.
Возврат превышения НДС по заключению производится в порядке и сроки, в соответствии с порядком ведения лицевых счетов, предусмотренных статьей 104 Налогового кодекса.
Параграф 2. Порядок проведения встречных проверок в рамках тематической проверки
74. ОГД, осуществляющий тематическую проверку, в соответствии со статьей 143 Налогового кодекса, назначает встречные проверки лиц, осуществлявших операции с проверяемым налогоплательщиком, с целью получения дополнительной информации о таких операциях, подтверждения факта и содержания операций.
75. Встречная проверка проводится по месту нахождения лица, в отношении которого принято решение о проведении встречной проверки.
ОГД, осуществляющий тематическую проверку, по лицам, зарегистрированных по месту нахождения в других территориальных ОГД, направляет запрос о проведении встречной проверки.
76. ОГД, получивший запрос о проведении встречной проверки, проводит такую проверку в срок не более 10 (десяти) рабочих дней со дня получения запроса.
При проведении встречной проверки, при установлении фактов, указанных в пункте 47 Правил, в состав проверяющих включаются работники ОГД, осуществляющего тематическую проверку.
77. В ходе встречной проверки, назначенной в соответствии с пунктом 74 настоящих Правил, обязательному рассмотрению подлежат следующие вопросы:
1) условия поставки товаров:
происхождения товаров – сведения о поставщиках, стоимости за единицу товара, вида и объемов реализованных товаров, марка товара или другие отличительные черты товара, сведение о заводе-изготовителе с приложением паспорта или сертификата происхождения товара (при наличии), сведения по импорту товаров;
условия и дата перехода права собственности на товар (при отгрузке со склада продавца или поставщика, при доставке товара);
условия хранения товаров – наличие собственного или арендуемых складских помещений, в котором хранился товар, с приложением договоров или правоустанавливающих документов, сроки хранения;
доставка или перевозка товаров – сведения о транспортном предприятий или транспортном средстве, которым доставлялся товар по представленным документам (товарно-транспортным, железнодорожным накладным или сопроводительным накладным, путевым листам, маршруте перевозки) с указанием места отправки и места доставки.
наличие работников – количество, сведения о руководителе и ответственном работнике, который взаимодействует в рамках встречной проверки, сведения о лицах, подписывавших накладные;
2) условия оказания услуг, выполнения работ:
наличие работников – количество, сведения о руководителе и ответственном работнике, который взаимодействует в рамках встречной проверки, сведения о лицах, подписывавших акты выполненных работ;
вид, характер, объемы и стоимость оказанных услуг, выполненных работ, спецификации услуг или работ, дата подписания актов выполнения работ с приложением документов, подтверждающих факт выполнения работ, оказания услуг;
наличие или арендуемой материально-технической базы – сведения об имеющихся транспортных средствах, специальной техники, оборудований на балансе и иного оборудования, необходимых для выполнения работ, оказания услуг;
наличие дополнительных документов, указывающих на полноту и достоверность выполненных работ, оказанных услуг в зависимости от специфики (проектно-сметная документация, маркетинговые отчеты, графики выхода на работу и другая документация);
место (адрес) оказание услуг, выполнения работ;
наличие субподрядных (аутсорсинговых) организаций, которые фактически оказывали услуги, выполняли работы;
3) условия оплаты за товар, работы или услуги:
вид оплаты – за безналичный или наличный расчет;
наличие договоров уступки требований при отсутствии (частичного отсутствия) оплаты за товар, работы или услуги;
сведения о бартерных операциях;
сведения о признании обязательств (требований) сомнительными или их списании.
4) наличие судебных решений по признанию сделок недействительными;
5) сведения о перерегистрации, всех учредителях и руководителях;
6) иные сведения, касающиеся:
оприходования полученных по сделкам товаров (работ, услуг), выручки от реализации товаров (работ, услуг), имущества;
приобретения товаров (работ, услуг) или отгрузки товаров, выполнения работ, оказания услуг по документам, оформленным с нарушением требований, установленных законодательством Республики Казахстан, в том числе с допущенными исправлениями, подчистками, расплывчатыми, нечеткими подписями, штампами, печатями организаций, за исключением юридических лиц, относящихся к субъектам частного предпринимательства, без заключения договоров в письменной форме;
наличия административного производства за оплату за наличный расчет более 1000 МРП по приобретенным товарам, работ, услуг по гражданско-правовой сделке;
отнесения в зачет сумм НДС по взаиморасчетам с поставщиком, в отношении руководителя (учредителя) которого в Едином реестре досудебного расследования зарегистрировано уголовное дело по правонарушению, предусмотренному статьями 216, 245 и 246 Уголовного кодекса Республика Казахстан, а также по которому получена информация от правоохранительных органов о признаках и фактах уклонения от уплаты налогов;
отнесения в зачет сумм НДС по взаиморасчетам с контрагентами, регистрация или перерегистрация которого признана недействительной;
отнесения в зачет сумм НДС по взаиморасчетам с поставщиком, в отношении которому возбуждено административное производство по статье 280 Кодекса Республики Казахстан «Об административных правонарушениях»;
определения объектов налогообложения и (или) объектов, связанных с налогообложением, на основе косвенных методов в порядке, установленных параграфом 3 Налогового кодекса;
ОГД при проведении встречной налоговой проверки направляют запросы на получение дополнительной информации от уполномоченных органов, необходимой для проверки условий осуществления сделки.
78. При проведении встречной проверки, назначенной в соответствии с пунктом 74 Правил, наряду с вопросами, указанными в пункте 77 настоящих Правил, в обязательном порядке рассматривается вопрос установления рисков не потребления товаров при осуществлении деятельности, отвечающей целям создания свободной (специальной, особой) экономической зоны (далее – СЭЗ) на основе бухгалтерских документов и имеющихся сведений в ОГД.
79. Встречная проверка по взаиморасчетам с непосредственным поставщиком также назначается в следующих случаях, если поставщик:
1) при расчете в наличной форме с услугополучателем превысил минимум, установленный статьей 402 Налогового кодекса;
2) является плательщиком НДС, относившим в зачет НДС в соответствии с подпунктом 4) пункта 1 статьи 400 Налогового кодекса;
3) является плательщиком НДС, снятым с учета в отчетном налоговом периоде и не отразившим в ликвидационной отчетности облагаемый оборот в соответствии с подпунктом 3) пункта 1 статьи 369 Налогового кодекса;
4) является посредником (агентом, комиссионером или поверенным);
5) является экспедитором;
6) включен в список, представляемый услугополучателем в качестве поставщика товаров собственного производства.
Положения настоящего пункта не применяется по операциям между проверяемым налогоплательщиком и его непосредственным поставщиком – налогоплательщиком, подлежащим налоговому мониторингу. Подтверждение достоверности сумм НДС по операциям с налогоплательщиком, подлежащим налоговому мониторингу, производится ОГД, назначившим тематическую проверку, на основании данных налоговой отчетности и (или) информационной системы электронных счетов-фактур, имеющихся в налоговых органах.
Сноска. Пункт 79 — в редакции приказа Министра финансов РК от 12.03.2024 № 137 (вводится в действие по истечении десяти календарных дней после дня его первого официального опубликования).
80. При проведении встречной проверки рассматриваются вопросы, которые устанавливаются ОГД, осуществляющим тематическую проверку.
Параграф 3. Особенности проведения проверок по подтверждению достоверности сумм превышения налога на добавленную стоимость, возвращенных из бюджета услугополучателю, в отношении которого применен упрощенный порядок
81. При возврате услугополучателю превышения НДС в соответствии с параграфом 2 главы 2 настоящих Правил, оставшаяся сумма превышения НДС, сложившаяся по декларации нарастающим итогом на конец отчетного налогового периода, подлежит возврату по результатам налоговой проверки по подтверждению достоверности сумм превышения НДС, предъявленных к возврату, в том числе возвращенных в упрощенном порядке.
82. При проведении тематической проверки по подтверждению достоверности сумм превышения НДС, возвращенных из бюджета услугополучателю, в соответствии со статьей 434 Налогового кодекса, внеплановой тематической проверки, а также включения ОГД вопроса подтверждения достоверности сумм превышения НДС, предъявленных к возврату, в комплексную проверку применяются положения статьи 152 Налогового кодекса и параграфа 1 главы 4 настоящих Правил.
83. Подлежащая возврату по результатам такой проверки сумма превышения НДС определяется по следующему расчету:
S = F-V-N, где
S = сумма НДС, подлежащая возврату, не более суммы НДС, указанной в требовании;
F = сумма превышения, сложившаяся по декларации нарастающим итогом на конец отчетного налогового периода;
V = сумма НДС, возвращенная в упрощенном порядке и по результатам предыдущих тематических проверок;
N = сумма НДС, не подтвержденная по результатам тематической проверки.
При этом, если значение S отрицательное, то данная сумма является возвращенной из бюджета, но не подтвержденной в последующем по результатам налогового контроля и подлежит уплате в бюджет в соответствии с пунктом 19 настоящих Правил.
Сноска. Пункт 83 — в редакции приказа Заместителя Премьер-Министра — Министра финансов РК от 16.11.2023 № 1198 (вводится в действие по истечении десяти календарных дней после дня его первого официального опубликования).
Параграф 4. Особенности проведения проверок по подтверждению достоверности сумм возврата превышения налога на добавленную стоимость свободной (специальной, особой) экономической зоны, а также свободной (специальной, особой) экономической зоны, пределы которой полностью или частично совпадают с участками таможенной границы Евразийского экономического союза
84. При проведении тематической проверки по требованию услугополучателя в связи с применением статей 389 и 391 Налогового кодекса применяются положения главы 3 и параграфа 3 главы 4 настоящих Правил.
85. Возврат превышения НДС услугополучателю, являющимся поставщиком товаров, реализуемых на территорию СЭЗ, производится в части ввезенных товаров, фактически потребленных при осуществлении деятельности, отвечающей целям создания СЭЗ.
86. Услугодателем в ходе проведения тематической проверки, назначенной на основании требования, направляются запросы в течение 10 (десяти) рабочих дней с даты начала тематической проверки:
для подтверждения факта потребления участником СЭЗ, ввезенных товаров на территорию СЭЗ в целях осуществления деятельности, отвечающей целям создания СЭЗ, в ОГД, осуществивший выпуск товаров в таможенной процедуре свободной таможенной зоны по части ввезенных товаров (далее – таможенная процедура СТЗ), а также для подтверждения фактического потребления товаров на территории СЭЗ.
для получения дополнительной информации о таких операциях, подтверждения факта и содержания операций, в ОГД по месту нахождения участника СЭЗ в рамках встречной проверки в соответствии с параграфом 2 главы 4 настоящих Правил.
87. ОГД, осуществивший выпуск товаров в таможенной процедуре СТЗ, получивший запрос, направляет ответ в течение 15 (пятнадцати) рабочих дней с даты получения такого запроса.
При этом в ответе указываются сведения по стоимости товаров, ввезенных на территорию СЭЗ, фактическое потребление в деятельности, отвечающей целям создания СЭЗ, на основе данных имеющихся сведений ИС и данных представленных участником СЭЗ.
88. При определении суммы НДС, подлежащей к возврату, учитываются сведения ОГД, осуществившего выпуск товаров в таможенной процедуре СТЗ и результаты встречных налоговых проверок.
89. При установлении в рамках налогового контроля факта невыполнения услугополучателем условий фактического потребления ввезенных товаров на территорию СЭЗ, помещенные под таможенную процедуру СТЗ, товары признаются облагаемым импортом и подлежат обложению НДС с даты ввоза товаров на территорию СЭЗ с начислением пени с даты, установленной для уплаты НДС на импортируемые товары, в порядке и размере, которые определены таможенным законодательством ЕАЭС и (или) Кодексом Республики Казахстан «О таможенном регулировании в Республике Казахстан» (далее – Кодекс).
90. При корректировке облагаемого оборота в сторону уменьшения или ставки НДС в ЭСФ и (или) налоговой отчетности, ранее возвращенная сумма подлежит возврату в бюджет в соответствии с пунктом 19 настоящих Правил.
Параграф 5. Особенности проведения проверок по подтверждению достоверности сумм возврата превышения налога на добавленную стоимость по услугам, связанным с международными перевозками
91. При проведении тематической проверки по требованию налогоплательщика в связи с применением статей 387 и 448 Налогового кодекса применяются положения главы 3 и параграфа 5 главы 4 настоящих Правил.
92. Возврат превышения НДС по международным перевозкам производится в соответствии со статьей 429 Налогового кодекса.
При выполнении условий, предусмотренных пунктом 62 настоящих Правил, подлежит возврату сумма превышения НДС, отнесенного в зачет за налоговый период, за который представлено требование.
При невыполнении условий сумма превышения НДС подлежит возврату в части суммы НДС, отнесенного в зачет по международным перевозкам, использованным для целей оборота по реализации по нулевой ставке.
При этом, сумма превышения НДС, подлежащая возврату, рассчитывается путем применения удельного веса физического объема международных перевозок в общем объеме перевозок к сумме НДС, отнесенного в зачет за налоговый период, за который представлено требование.
Физическим объемом является:
для пассажирских перевозок – количество пассажиров;
для грузоперевозок – вес товара;
для трубопроводов – объем перемещенного товара по магистральным трубопроводам;
для остальных категорий – физический объем, используемый в соответствующей отрасли.
При одновременном осуществлении нескольких категорий международных перевозок из указанных, удельный вес физического объема рассчитывается по каждой категории по отдельности по следующему расчету:
Nm = Pom/ Pov* Psv/Oo*Nz, где
Nm = сумма превышения НДС, подлежащая возврату по каждой отдельной категории международной перевозки;
Pom = физический объем международной перевозки по данной категории;
Pov = физический объем всех перевозок по данной категории;
Psv = облагаемый оборот по всем перевозкам по данной категории;
Oo = облагаемый оборот по всем видам и категориям перевозок;
Nz = сумма НДС, отнесенного в зачет.
Суммы превышения НДС, подлежащие возврату по каждой отдельной категории международной перевозки, определенная по данному расчету, суммируются.
Все расчеты по данному пункту производятся по налоговому периоду, за который представлено требование.
93. Документами, подтверждающими международные перевозки, являются:
1) при перевозке грузов:
в международном автомобильном сообщении – товарно-транспортная накладная и (или) товарно-транспортная накладная;
в международном железнодорожном сообщении, в том числе в прямом международном железнодорожно-паромном сообщении и международном железнодорожно-водном сообщении с перевалкой груза с железнодорожного на водный транспорт, – накладная единого образца;
воздушным транспортом – грузовая накладная (авианакладная);
морским транспортом – коносамент или морская накладная;
транзитом двумя или более видами транспорта (смешанная перевозка) – единая товарно-транспортная накладная (единый коносамент);
по системе магистральных трубопроводов:
копия декларации на товары, помещенные под таможенные процедуры экспорта и выпуска для внутреннего потребления, за расчетный период либо декларация на товары, помещенные под таможенную процедуру таможенного транзита, за расчетный период;
акты выполненных работ (оказанных услуг), акты приема-сдачи грузов от продавца либо от других лиц, осуществлявших ранее доставку указанных грузов, покупателю либо другим лицам, осуществляющим дальнейшую доставку указанных грузов;
2) при перевозке пассажиров, багажа и грузобагажа:
автомобильным транспортом:
при регулярных перевозках – отчет о продаже проездных билетов, проданных в Республике Казахстан, а также расчетные ведомости о пассажирских билетах, составленные автовокзалами (автостанциями) по пути следования;
при нерегулярных перевозках – договор об оказании транспортных услуг в международном сообщении;
железнодорожным транспортом:
отчет о продаже проездных, перевозочных и почтовых документов, проданных в Республике Казахстан;
расчетная ведомость о пассажирских билетах, проданных в Республике Казахстан, в международном сообщении;
балансовая ведомость по взаиморасчетам за пассажирские перевозки между железнодорожными администрациями и отчет об оформлении проездных и перевозочных документов;
воздушным транспортом:
генеральная декларация;
пассажирский манифест;
карго-манифест;
лоджит (центрально-загрузочный график);
сводно-загрузочная ведомость (проездной билет и багажная квитанция);
при услуге по проследованию пассажирских поездов (вагонов) в международном сообщении:
натурный лист пассажирского поезда.
Документы, указанные в настоящем пункте, составляются на бумажном носителе и (или) в электронной форме.
94. Декларация на товары в виде электронного документа, по которой в ИС ОГД имеется уведомление таможенных органов государств-членов ЕАЭС о фактическом вывозе товаров, также является документом, подтверждающим экспорт товаров. При наличии декларации на товары в виде электронного документа, предусмотренной настоящим пунктом, представление документов, установленных абзацем восьмым подпункта 1) части первой пункта 4 статьи 387 Налогового кодекса, не требуется.
Параграф 6. Особенности проведения проверок по подтверждению достоверности сумм возврата превышения налога на добавленную стоимость по реализации горюче-смазочных материалов, осуществляемой аэропортами, поставщиками услуг наземного обслуживания при заправке воздушных судов иностранных авиакомпаний, выполняющих международные полеты, международные воздушные перевозки
Сноска. Заголовок параграфа 6 – в редакции приказа и.о. Заместителя Премьер-Министра — и.о. Министра финансов РК от 20.03.2023 № 289 (вводится в действие по истечении десяти календарных дней после дня его первого официального опубликования).
95. При проведении тематической проверки по требованию налогоплательщика в связи с применением статьи 388 Налогового кодекса применяются положения главы 3 и параграфа 1 главы 4 настоящих Правил.
96. Возврат превышения НДС, аэропортам, поставщикам услуг наземного обслуживания, реализующим горюче-смазочные материалы при заправке воздушных судов иностранных авиакомпаний, выполняющих международные полеты, международные воздушные перевозки, производится в части горюче-смазочных материалов, которые использовались при заправке воздушных судов иностранных авиакомпаний, выполняющих международные полеты, международные воздушные перевозки.
Сноска. Пункт 96 – в редакции приказа и.о. Заместителя Премьер-Министра — и.о. Министра финансов РК от 20.03.2023 № 289 (вводится в действие по истечении десяти календарных дней после дня его первого официального опубликования).
97. Для подтверждения факта реализации горюче-смазочных материалов, использованных при заправке воздушных судов иностранных авиакомпаний, выполняющих международные полеты, международные воздушные перевозки, услугодателем в ходе проведения тематической проверки, в течение 10 (десяти) рабочих дней с даты начала тематической проверки направляется запрос в уполномоченную организацию в сфере гражданской авиации, для участия служащего в проведении тематической проверки.
98. При определении суммы превышения НДС, подлежащей возврату, учитывается заключение служащего уполномоченной организации в сфере гражданской авиации, участвующего в проведении тематической проверки для подтверждения факта осуществления рейса воздушным судном иностранной авиакомпании и количества реализованных горюче-смазочных материалов (в разрезе авиакомпаний), представленного по форме и в соответствии с Правилами представления заключения служащего уполномоченной организации в сфере гражданской авиации, участвующего в проведении тематической проверки по подтверждению достоверности сумм НДС, предъявленных к возврату, подтверждающего факт осуществления рейса воздушным судном иностранной авиакомпании и количество реализованных горюче-смазочных материалов (в разрезе авиакомпаний), утвержденными приказом Министра финансов Республики Казахстан от 5 февраля 2018 года № 122 «Об утверждении Правил и формы представления заключения служащего уполномоченной организации в сфере гражданской авиации, участвующего в проведении тематической проверки по подтверждению достоверности сумм налога на добавленную стоимость, предъявленных к возврату, подтверждающего факт осуществления рейса воздушным судном иностранной авиакомпании и количество реализованных горюче-смазочных материалов (в разрезе авиакомпаний)» (зарегистрирован в Реестре государственной регистрации нормативных правовых актов под № 16461).
99. При этом заключение, предусмотренное пунктом 98 настоящих Правил, представляется служащим уполномоченной организации в сфере гражданской авиации в случаях осуществления рейсов, в отношении которых в соответствии с таможенным законодательством ЕАЭС и (или) таможенным законодательством Республики Казахстан не предусмотрены таможенное оформление и таможенный контроль.
100. Заключение, предусмотренное пунктом 98 настоящих Правил, представляется служащим уполномоченной организации в сфере гражданской авиации не позднее 5 (пяти) рабочих дней до срока завершения тематической проверки.
Параграф 7. Особенности проведения проверок по подтверждению достоверности сумм возврата превышения налога на добавленную стоимость по реализации услугополучателями, являющимися субъектами производства драгоценных металлов и лицами, ставшими собственниками аффинированного золота в результате его переработки, Национальному Банку Республики Казахстан аффинированного золота из сырья собственного производства для пополнения активов в драгоценных металлах
101. При проведении тематической проверки по требованию услугополучателя, в связи с применением статьи 392 Налогового кодекса применяются положения главы 3 и параграфа 1 главы 4 настоящих Правил.
102. Возврат превышения НДС услугополучателю, производящему драгоценные металлы, и лицам, ставшими собственниками аффинированного золота в результате его переработки, по реализации Национальному Банку аффинированного золота из сырья собственного производства для пополнения активов в драгоценных металлах, производится при наличии подтверждающих документов:
1) договор об общих условиях купли-продажи аффинированного золота для пополнения активов в драгоценных металлах, заключенный между налогоплательщиком и Национальным Банком;
2) копии документов, подтверждающих стоимость аффинированного золота, реализованного Национальному Банку;
3) копии документов, подтверждающих получение аффинированного золота Национальным Банком с указанием количества аффинированного золота.
103. Сырье, добытое налогоплательщиком самостоятельно или приобретенное им в собственность с целью переработки, является сырьем собственного производства.
Параграф 8. Особенности проведения проверок по подтверждению достоверности сумм возврата превышения налога на добавленную стоимость по реализации товаров собственного производства налогоплательщикам, осуществляющим на территории Республики Казахстан деятельность в рамках контракта на недропользование, соглашения (контракта) о разделе продукции, в соответствии с условиями которых освобождаются от налога на добавленную стоимость импортируемые товары
104. При проведении тематической проверки по требованию услугополучателя, в связи с применением нулевой ставки НДС при совершении оборота по реализации в соответствии с пунктом 1 статьи 393 Налогового кодекса применяются положения главы 3 и параграфа 1 главы 4 настоящих Правил. При этом положения пункта 65 настоящих Правил в целях данного раздела не применяется.
105. Оборот, облагаемый по нулевой ставке, в целях данного параграфа является оборот по реализации товаров собственного производства налогоплательщикам, осуществляющим деятельность в рамках контракта на недропользование, соглашения (контракта) о разделе продукции по тем видам товаров, которые в рамках данных контрактов освобождаются от НДС при импорте.
Если контрактом на недропользование, соглашением (контрактом) о разделе продукции определен перечень импортируемых товаров, освобождаемых от НДС, по нулевой ставке облагаются обороты только по реализации товаров, указанных в этом перечне.
Если контрактом на недропользование, соглашением (контрактом) о разделе продукции предусмотрено освобождение от НДС всех импортируемых товаров, по нулевой ставке облагаются обороты по реализации всех товаров собственного производства.
При этом налогоплательщики, осуществляющие деятельность в рамках контракта на недропользование, соглашения (контракта) о разделе продукции, включены в Перечень налогоплательщиков, осуществляющих на территории Республики Казахстан деятельность в рамках контракта на недропользование, соглашения (контракта) о разделе продукции, в соответствии с условиями которого освобождаются от НДС импортируемые товары, утвержденный приказом исполняющего обязанности Министра энергетики Республики Казахстан от 28 февраля 2018 года № 71 «Об утверждении перечня налогоплательщиков, осуществляющих на территории Республики Казахстан деятельность в рамках контракта на недропользование, соглашения (контракта) о разделе продукции, в соответствии с условиями которого освобождаются от налога на добавленную стоимость импортируемые товары» (зарегистрирован в Реестре государственной регистрации нормативных правовых актов под № 16752).
Сноска. Пункт 105 с изменениями, внесенными приказом и.о. Заместителя Премьер-Министра — и.о. Министра финансов РК от 20.03.2023 № 289 (вводится в действие по истечении десяти календарных дней после дня его первого официального опубликования).
106. В целях настоящего раздела товаром собственного производства признается продукт (товар), произведенный налогоплательщиком, на который имеется сертификат происхождения.
При проведении тематической проверки, в обязательном порядке устанавливается факт производства реализованного товара по данным бухгалтерского учета, бухгалтерским документам и другим сведениям, имеющимся в ОГД, а также наличие сертификата происхождения.
107. Документами, подтверждающими оборот по реализации товаров, указанных в пункте 105 настоящих Правил, являются:
1) договор на поставку товаров налогоплательщикам, осуществляющим на территории Республики Казахстан деятельность в рамках контракта на недропользование, соглашения (контракта) о разделе продукции, в соответствии с условиями которых освобождаются от НДС импортируемые товары, с указанием в нем, что поставляемые товары предназначены для выполнения рабочей программы контракта на недропользование, соглашения (контракта) о разделе продукции;
2) копии товаросопроводительных документов, подтверждающих отгрузку товаров налогоплательщикам;
3) копии документов, подтверждающих получение товаров налогоплательщиками.
108. С целью получения дополнительной информации о таких операциях, подтверждения факта и содержания операций по реализации товаров, указанных в пункте 106 настоящих Правил, назначаются встречные проверки с налогоплательщиками, указанными в пункте 105 настоящих Правил в соответствии с параграфом 8 главы 4 настоящих Правил.
Параграф 9. Особенности проведения проверок по подтверждению достоверности сумм возврата превышения налога на добавленную стоимость по реализации нестабильного конденсата, добытого и реализованного недропользователем, осуществляющим деятельность в рамках контракта на недропользование, указанного в пункте 1 статьи 722 Налогового кодекса, с территории Республики Казахстан на территорию других государств-членов Евразийского экономического союза
109. При проведении тематической проверки по требованию услугополучателя, в связи с применением статей 393 Налогового кодекса применяются положения главы 3 и параграфа 1 главы 4 настоящих Правил.
110. Облагается НДС по нулевой ставке оборот по реализации нестабильного конденсата, добытого и реализованного недропользователем, осуществляющим деятельность в рамках контракта на недропользование, указанного в пункте 1 статьи 722 Налогового кодекса, с территории Республики Казахстан на территорию других государств-членов ЕАЭС.
Положение данного раздела касаются налогоплательщиков, включенных в Перечень налогоплательщиков, осуществляющих деятельность в рамках контракта на недропользование, обороты по реализации нестабильного конденсата которых с территории Республики Казахстан на территорию других государств-членов ЕАЭС облагаются налогом на добавленную стоимость по нулевой ставке, утвержденный приказом исполняющего обязанности Министра энергетики Республики Казахстан от 13 апреля 2018 года № 126 «Об утверждении перечня налогоплательщиков, осуществляющих деятельность в рамках контракта на недропользование, обороты по реализации нестабильного конденсата которых с территории Республики Казахстан на территорию других государств-членов Евразийского экономического союза облагаются налогом на добавленную стоимость по нулевой ставке» (зарегистрирован в Реестре государственной регистрации нормативных правовых актов под № 16836).
111. Документами, подтверждающими реализацию нестабильного конденсата, указанного в пункте 110 настоящих Правил, являются:
1) договор (контракт) на поставку нестабильного конденсата, вывезенного (вывозимого) с территории Республики Казахстан на территорию других государств-членов ЕАЭС;
2) акт снятия показаний с приборов учета количества реализованного нестабильного конденсата по системе трубопроводов;
3) акт приема-сдачи нестабильного конденсата, вывезенного с территории Республики Казахстан на территорию других государств-членов ЕАЭС по системе трубопроводов.
Снятие показаний с приборов учета количества реализованного нестабильного конденсата по системе трубопроводов осуществляется в соответствии с Правилами снятия показаний с приборов учета количества реализованного нестабильного конденсата по системе трубопроводов, утвержденными приказом исполняющего обязанности Министра энергетики Республики Казахстан от 13 апреля 2018 года № 127 «Об утверждении Правил снятия показаний с приборов учета количества реализованного нестабильного конденсата по системе трубопроводов» (зарегистрирован в Реестре государственной регистрации нормативных правовых актов под № 16847).
112. Положения пункта 65 настоящих Правил для целей настоящего раздела не применяется.
Параграф 10. Особенности проведения проверок по подтверждению достоверности сумм возврата превышения налога на добавленную стоимость по реализации услугополучателем, осуществляющим деятельность в рамках межправительственного соглашения о сотрудничестве в газовой отрасли, на территории другого государства-члена Евразийского экономического союза продуктов переработки из давальческого сырья, ранее вывезенного этим налогоплательщиком с территории Республики Казахстан и переработанного на территории такого другого государства-члена Евразийского экономического союза
113. При проведении тематической проверки по требованию услугополучателя, в связи с применением статей 393 Налогового кодекса применяются положения главы 3 и параграфа 1 главы 4 настоящих Правил.
114. Облагается НДС по нулевой ставке оборот по реализации налогоплательщиком, осуществляющим деятельность в рамках межправительственного соглашения о сотрудничестве в газовой отрасли, на территории другого государства-члена ЕАЭС продуктов переработки из давальческого сырья, ранее вывезенного этим налогоплательщиком с территории Республики Казахстан и переработанного на территории такого другого государства-члена ЕАЭС.
Положение данного параграфа касаются налогоплательщиков, включенных в Перечень налогоплательщиков, осуществляющих деятельность в рамках межправительственного соглашения о сотрудничестве в газовой отрасли, обороты которых по реализации на территории другого государства-члена ЕАЭС продуктов переработки из давальческого сырья, ранее вывезенного этими налогоплательщиками с территории Республики Казахстан и переработанного на территории такого другого государства-члена ЕАЭС, облагаются НДС по нулевой ставке, утвержденный приказом исполняющего обязанности Министра энергетики Республики Казахстан от 28 февраля 2018 года № 72 «Об утверждении перечня налогоплательщиков, осуществляющих деятельность в рамках межправительственного соглашения о сотрудничестве в газовой отрасли, обороты которых по реализации на территории другого государства-члена Евразийского экономического союза продуктов переработки из давальческого сырья, ранее вывезенного этими налогоплательщиками с территории Республики Казахстан и переработанного на территории такого другого государства-члена Евразийского экономического союза, облагаются налогом на добавленную стоимость по нулевой ставке» (зарегистрирован в Реестре государственной регистрации нормативных правовых актов под № 16641).
115. Документами, подтверждающими реализацию товаров, указанных в пункте 114 настоящих Правил, являются:
1) договоры (контракты) на переработку давальческого сырья;
2) договоры (контракты), на основании которых осуществляется реализация продуктов переработки;
3) документы, подтверждающие факт выполнения работ по переработке давальческого сырья;
4) копии товаросопроводительных документов, подтверждающих вывоз давальческого сырья с территории Республики Казахстан на территорию другого государства-члена ЕАЭС.
При вывозе давальческого сырья по системе магистральных трубопроводов вместо копий товаросопроводительных документов представляется акт приема-сдачи такого давальческого сырья;
5) документы, подтверждающие отгрузку продуктов переработки их покупателю – налогоплательщику государства-члена ЕАЭС, на территории которого осуществлялась переработка давальческого сырья;
6) документы, подтверждающие поступление валютной выручки по реализованным продуктам переработки на банковские счета налогоплательщика в БВУ на территории Республики Казахстан;
7) заключение соответствующего уполномоченного государственного органа об условиях переработки товаров на территории государства-члена ЕАЭС, предусмотренное пунктом 8 статьи 449 Налогового кодекса.
116. При определении суммы превышения налога НДС, подлежащей возврату, учитываются результаты проверки, осуществленной в отношении покупателя продуктов переработки налоговой службой государства-члена ЕАЭС по запросу ОГД.
Параграф 11. Особенности проведения проверок по подтверждению достоверности сумм возврата превышения налога на добавленную стоимость, сложившегося по товарам, работам, услугам, приобретенным услугополучателем в связи со строительством зданий и сооружений производственного назначения, впервые вводимых в эксплуатацию на территории Республики Казахстан
117. При проведении тематической проверки по требованию услугополучателя, в связи с применением статьи 432 Налогового Кодекса применяются положения главы 3 и параграфа 1 главы 4 настоящих Правил.
118. Требование в рамках данного параграфа указывается в очередной декларации по НДС за налоговые периоды, следующие за налоговым периодом, в котором произведен ввод в эксплуатацию зданий, сооружений, с учетом положений статьи 48 Налогового кодекса.
119. Заключение к акту тематической проверки составляется не позднее 25 (двадцать пятого) числа последнего месяца квартала, в количестве не менее 2 (двух) экземпляров и подписывается должностными лицами услугодателя. Один экземпляр заключения к акту тематической проверки вручается услугополучателю, который ставит отметку на другом экземпляре о получении указанного заключения к акту тематической проверки.
120. Возврат суммы превышения НДС, сложившейся за период строительства по товарам, работам, услугам, приобретенным налогоплательщиком в связи со строительством зданий и сооружений производственного назначения, впервые вводимых в эксплуатацию на территории Республики Казахстан, осуществляется в порядке и сроки, которые установлены пунктом 3 статьи 432 Налогового кодекса.
121. Положения настоящего раздела применяются при одновременном соблюдении следующих условий:
1) услугополучатель является организацией, осуществляющей деятельность на территории СЭЗ или вновь образованной, реализующей инвестиционный приоритетный проект;
2) строительство осуществляется на основании долгосрочного контракта, указанного в пункте 1 статьи 282 Налогового кодекса;
3) здания, сооружения признаны основными средствами;
4) здания, сооружения приняты в эксплуатацию.
122. При проведении тематической проверки в соответствии со статьей 432 Налогового кодекса в проверяемый период включается период времени, начиная с налогового периода, в котором начато строительство зданий и сооружений производственного назначения.
123. Положения настоящего параграфа не применяются к сумме превышения НДС, возврат которого осуществляется в соответствии со статьей 429 Налогового кодекса, а также при возврате превышения НДС услугополучателю, имеющему право на применение упрощенного порядка.
Параграф 12. Особенности проведения проверок по подтверждению достоверности сумм возврат превышения налога на добавленную стоимость, сложившегося по товарам, работам, услугам, приобретенным услугополучателем в период проведения геологоразведочных работ и обустройства месторождения
124. При проведении тематической проверки по требованию услугополучателя, в связи с применением статьи 432 Налогового кодекса применяются положения главы 3 и параграфа 1 главы 4 настоящих Правил
125. Если превышение НДС сложилось по товарам, работам, услугам, приобретенным налогоплательщиком в период проведения геологоразведочных работ и обустройства месторождения, возврат суммы такого превышения НДС осуществляется в порядке и сроки, которые установлены пунктом 3 статьи 432 Налогового кодекса. При этом под периодом проведения геологоразведочных работ и обустройства месторождения понимается период времени между датой заключения соответствующего контракта на недропользование в порядке, определенном законодательством Республики Казахстан о недрах и недропользовании, и датой начала экспорта полезных ископаемых, добытых в рамках соответствующего контракта на недропользование, за исключением общераспространенных полезных ископаемых, подземных вод и лечебных грязей.
126. Требование в рамках настоящего параграфа, указывается в очередной декларации по НДС за налоговые периоды, следующие за налоговым периодом, на который приходится дата начала экспорта полезных ископаемых, добытых в рамках соответствующего контракта на недропользование, за исключением общераспространенных полезных ископаемых, подземных вод и лечебных грязей, с учетом положений статьи 48 Налогового кодекса.
127. Превышение НДС, сложившееся на конец налогового периода в связи с применением статьи 432 Налогового кодекса, подлежит возврату в течение 20 (двадцати) налоговых периодов равными долями начиная с налогового периода, в котором подтверждена достоверность предъявленной к возврату накопленной суммы превышения НДС по результатам тематической проверки.
128. Заключение к акту тематической проверки составляется не позднее 25 (двадцать пятого) числа последнего месяца квартала, в количестве не менее 2 (двух) экземпляров и подписывается должностными лицами услугодателя. Один экземпляр заключения к акту тематической проверки вручается услугополучателю, который ставит отметку на другом экземпляре о получении указанного заключения к акту тематической проверки.
129. Возврат превышения НДС по заключению производится в порядке и сроки, в соответствии с положениями, предусмотренными Правилами ведения лицевых счетов, утвержденных приказом Министра финансов Республики Казахстан от 27 февраля 2018 года № 306 «Об утверждении Правил ведения лицевых счетов» (зарегистрирован в Реестре государственной регистрации нормативных правовых актов под № 16601).
130. При проведении тематической проверки по налоговому заявлению применяются аналогичные положения, предусмотренные главами 3 и 4 настоящих Правил, за исключением пункта 55 настоящих Правил.
При этом общая сумма превышения НДС, подтвержденная по результатам тематической проверки, назначенной по налоговому заявлению, не должна превышать суммы НДС, указанной в налоговом заявлении, и сумму превышения НДС, имеющегося на лицевом счете проверяемого услугополучателя на дату завершения тематической проверки, согласно пункту 2 статьи 104 Налогового кодекса.
Тематическая проверка, указанная в настоящем пункте, проводится в сроки, установленные статьей 146 Налогового кодекса.
131. Положения настоящего параграфа не применяются к сумме превышения НДС, возврат которого осуществляется в соответствии со статьями 429 Налогового кодекса, а также при возврате превышения НДС услугополучателю, имеющему право на применение упрощенного порядка.
132. Если до начала тематической проверки установлено отсутствие на лицевом счете услугополучателя суммы превышения НДС, указанного в налоговом заявлении, и (или) нарушены порядок и сроки представления налоговой отчетности, установленные статьями 208, 209, 210 и 424 Налогового кодекса на дату представления указанного налогового заявления, услугодатель, в течение 10 (десяти) рабочих дней уведомляет услугополучателя об отказе в рассмотрении налогового заявления, указанного в подпункте 2 пункта 3 статьи 145 Налогового кодекса.
Глава 5. Порядок обжалования решений, действий (бездействия) услугодателя и (или) их должностных лиц и (или) обжалования уведомление о результатах проверки по вопросам оказания государственных услуг
133. При несогласии с результатами оказания государственной услуги услугополучателем подается жалоба на решение, действие (бездействие) услугодателя и (или) на уведомление о результатах проверки по вопросам оказания государственных услуг в соответствии с разделом 4 Налогового кодекса.
134. Подача и рассмотрение жалобы на уведомление о результатах проверки производятся в порядке, определенном статьями 178-186 Налогового кодекса.
135. При несогласии с результатами оказания государственной услуги услугополучатель в соответствии с пунктом 2 статьи 177 Налогового кодекса обжалует уведомление о результатах проверки в суд.
136. Услугополучатель обжалует действия (бездействие) услугодателя вышестоящему ОГД или в суд в соответствии со статьей 187 Налогового кодекса.
137. Действия (бездействие) услугодателя обжалуются в порядке, определенном статьей 188 Налогового кодекса.
138. Жалоба услугополучателя, поступившая в адрес услугодателей, непосредственно оказывающих государственные услуги, подлежит рассмотрению в соответствии с пунктом 2 статьи 25 Закона в течение 5 (пяти) рабочих дней со дня ее регистрации.
Жалоба услугополучателя, поступившая в адрес уполномоченного органа по оценке и контролю за качеством оказания государственных услуг, подлежит рассмотрению в течение 15 (пятнадцати) рабочих дней со дня ее регистрации.
Рассмотрение жалобы по вопросам оказания государственных услуг производится вышестоящим административным органом, должностным лицом, уполномоченным органом по оценке и контролю за качеством оказания государственных услуг (далее – орган, рассматривающий жалобу).
Жалобы подаются услугодателю и (или) должностному лицу, чье решение, действие (бездействие) обжалуются в соответствии с пунктом 4 статьи 91 АППК.
Услугодатель должностное лицо, чье решение, действие (бездействие) обжалуются, не позднее 3 (трех) рабочих дней со дня поступления жалобы направляют ее и административное дело в орган, рассматривающий жалобу.
При этом услугодатель, должностное лицо, решение, действие (бездействие) которого обжалуются, не направляет жалобу в орган, рассматривающий жалобу, если он в течение 3 (трех) рабочих дней примет решение либо иное административное действие, полностью удовлетворяющее требованиям, указанным в жалобе.
Если иное не предусмотрено Законом, обращение в суд допускается после обжалования в досудебном порядке.
| Приложение 1 к Правилам возврата превышения налога на добавленную стоимость и применения системы управления рисками в целях подтверждения достоверности суммы превышения налога на добавленную стоимость |
Перечень основных требований к оказанию государственной услуги
«Возврат налога на добавленную стоимость из бюджета»
(далее – государственная услуга)
Сноска. Приложение 1 – в редакции приказа и.о. Заместителя Премьер-Министра — и.о. Министра финансов РК от 20.03.2023 № 289 (вводится в действие по истечении десяти календарных дней после дня его первого официального опубликования).
|
1 |
Наименование услугодателя |
Территориальные органы Комитета государственных доходов Министерства финансов Республики Казахстан по районам, городам и районам в городах, на территории свободных (специальных, особых) экономических зон (далее – СЭЗ) |
|
2 |
Способы предоставления государственной услуги (каналы доступа) |
Прием заявлений и выдача результата оказания государственной услуги осуществляются территориальными органами Комитета государственных доходов Министерства финансов Республики Казахстан по районам, городам и районам в городах, на территории СЭЗ (далее – услугодатель) посредством веб-портала «электронного правительства» (далее – портал) и (или) информационных систем услугодателя (далее – ИС) |
|
3 |
Срок оказания государственной услуги |
По возврату превышения налога на добавленную стоимость (далее – НДС): |
|
4 |
Форма оказания государственной услуги |
Электронная (частично автоматизированная) и (или) бумажная |
|
5 |
Результат оказания государственной услуги |
Результатом оказания государственной услуги является: |
|
6 |
Размер оплаты, взимаемой с услугополучателя при оказании государственной услуги, и способы ее взимания в случаях, предусмотренных законодательством Республики Казахстан |
Государственная услуга оказывается на бесплатной основе физическим и юридическим лицам |
|
7 |
График работы услугодателя и объектов информации |
1) услугодатели – с понедельника по пятницу, в соответствии с установленным графиком работы с 9.00 до 18.30 часов, за исключением выходных и праздничных дней, согласно Трудовому кодексу Республики Казахстан (далее – Трудовой кодекс) и Закона Республики Казахстан «О праздниках в Республике Казахстан» (далее – Закон о праздниках) с перерывом на обед с 13.00 часов до 14.30 часов. |
|
8 |
Перечень документов и сведений, истребуемых у услугополучателя, необходимых для оказания государственной услуги |
К услугодателю для получения государственной услуги предоставляется требование о возврате превышения НДС, указанное в декларации по НДС за налоговый период, установленной формы – для возврата превышения НДС. |
|
9 |
Основания для отказа в оказании государственной услуги, установленные законами Республики Казахстан |
Основанием для отказа услугополучателю в оказании государственной услуги являются случаи, если: |
|
10 |
Иные требования с учетом особенностей оказания государственной услуги, в том числе оказываемой в электронной форме и через Государственную корпорацию |
Адреса мест оказания государственной услуги размещены на: |
| Приложение 2 к Правилам возврата превышения налога на добавленную стоимость и применения системы управления рисками в целях подтверждения достоверности суммы превышения налога на добавленную стоимость |
|
| Форма |
|
Уведомление об отсутствии права на применение упрощенного порядка возврата
Одновременно уведомляет о том, что в соответствии с Правилами возврата превышения НДС и применения системы управления рисками в целях подтверждения достоверности суммы превышения НДС, превышение НДС возвращается по выбору налогоплательщика порядка и сроков, предусмотренные статьей 431 Налогового кодекса. |
Примечание: расшифровка аббревиатур:
БИН – бизнес-идентификационный номер;
ИИН – индивидуальный идентификационный номер;
НДС – налог на добавленную стоимость.
| Приложение 3 к Правилам возврата превышения налога на добавленную стоимость и применения системы управления рисками в целях подтверждения достоверности суммы превышения налога на добавленную стоимость |
Сноска. Приложение 3 — в редакции приказа Заместителя Премьер-Министра — Министра финансов РК от 16.11.2023 № 1198 (вводится в действие по истечении десяти календарных дней после дня его первого официального опубликования).
| Форма |
|
Уведомление о сумме превышения налога на добавленную стоимость, подтвержденной к возврату в упрощенном порядке
В связи с чем, Вам необходимо представить Заявление на проведение зачета и (или) возврата налогов, других обязательных платежей, пеней и штрафов по форме, установленной уполномоченным органом. |
| Приложение 4 к Правилам возврата превышения налога на добавленную стоимость и применения системы управления рисками в целях подтверждения достоверности суммы превышения налога на добавленную стоимость |
Образец определения суммы превышения налога на добавленную стоимость, подлежащей подтверждению
Сноска. Приложение 4 — в редакции приказа Заместителя Премьер-Министра — Министра финансов РК от 16.11.2023 № 1198 (вводится в действие по истечении десяти календарных дней после дня его первого официального опубликования).
Примечание: из суммы превышения НДС, подлежащей подтверждению, исключается наименьшая из сумм НДС, отнесенных в зачет поставщиками товаров, работ, услуг, начиная от каждого налогоплательщика в пределах суммы нарушения налогового законодательства с учетом дублирования на разных этапах поставки, до услугополучателя, представившего требование о возврате НДС или налоговое заявление – 500 тысяч тенге (в пределах нарушения).
Расшифровка аббревиатуры:
ТОО – товарищество с ограниченной ответственностью.
НДС – налог на добавленную стоимость.
| Приложение 5 к Правилам возврата превышения налога на добавленную стоимость и применения системы управления рисками в целях подтверждения достоверности суммы превышения налога на добавленную стоимость |
Образец определения суммы превышения налога на добавленную стоимость, подлежащей подтверждению
Сноска. Приложение 5 — в редакции приказа Заместителя Премьер-Министра — Министра финансов РК от 16.11.2023 № 1198 (вводится в действие по истечении десяти календарных дней после дня его первого официального опубликования).
Примечание: из суммы превышения НДС, подлежащей подтверждению, исключается наименьшая из сумм НДС, отнесенных в зачет поставщиками товаров, работ, услуг, начиная от каждого налогоплательщика в пределах суммы нарушения налогового законодательства с учетом дублирования на разных этапах поставки, до услугополучателя, представившего требование о возврате НДС или налоговое заявление – 120 тысяч тенге (в пределах нарушения).
Расшифровка аббревиатуры:
ТОО – товарищество с ограниченной ответственностью.
НДС – налог на добавленную стоимость.
| Приложение 6 к Правилам возврата превышения налога на добавленную стоимость и применения системы управления рисками в целях подтверждения достоверности суммы превышения налога на добавленную стоимость |
Образец определения суммы превышения налога на добавленную стоимость, подлежащей подтверждению
Сноска. Приложение 6 — в редакции приказа Заместителя Премьер-Министра — Министра финансов РК от 16.11.2023 № 1198 (вводится в действие по истечении десяти календарных дней после дня его первого официального опубликования).
Примечание: из суммы превышения НДС, подлежащей подтверждению, исключается наименьшая из сумм НДС, отнесенных в зачет поставщиками товаров, работ, услуг, начиная от каждого налогоплательщика в пределах суммы нарушения налогового законодательства с учетом дублирования на разных этапах поставки, до услугополучателя, представившего требование о возврате НДС или налоговое заявление – 360 тысяч тенге (240 тысяч тенге+120 тысяч тенге).
Расшифровка аббревиатуры:
ТОО – товарищество с ограниченной ответственностью.
НДС – налог на добавленную стоимость
| Приложение 7 к Правилам возврата превышения налога на добавленную стоимость и применения системы управления рисками в целях подтверждения достоверности суммы превышения налога на добавленную стоимость |
Образец определения суммы превышения налога на добавленную стоимость, подлежащей подтверждению
Примечание: из суммы превышения налога на добавленную стоимость, подлежащей подтверждению, исключается наименьшая из сумм налога на добавленную стоимость, отнесенных в зачет поставщиками товаров, работ, услуг, начиная от каждого налогоплательщика, по которому установлены нарушения налогового законодательства, до налогоплательщика, представившего требование о возврате налога на добавленную стоимость или налоговое заявление – 150,0 тысяч тенге.
Расшифровка аббревиатуры: ТОО – товарищество с ограниченной ответственностью.
| Приложение 8 к Правилам возврата превышения налога на добавленную стоимость и применения системы управления рисками в целях подтверждения достоверности суммы превышения налога на добавленную стоимость |
Образец определения суммы превышения налога на добавленную стоимость, подлежащей подтверждению
Примечание: из суммы превышения налога на добавленную стоимость, подлежащей подтверждению, исключается наименьшая из сумм налога на добавленную стоимость, отнесенных в зачет поставщиками товаров, работ, услуг, начиная от каждого налогоплательщика, по которому установлены нарушения налогового законодательства, до налогоплательщика, представившего требование о возврате налога на добавленную стоимость или налоговое заявление – 150,0 тысяч тенге.
Расшифровка аббревиатуры: ТОО – товарищество с ограниченной ответственностью.
| Приложение 9 к Правилам возврата превышения налога на добавленную стоимость и применения системы управления рисками в целях подтверждения достоверности суммы превышения налога на добавленную стоимость |
|
| Форма |
Реестр направленных в территориальные органы государственных доходов запросов на устранение выявленных нарушений
|
№ |
Наименование поставщика |
Индивидуальный идентификационный номер/бизнес идентификационный номер (ИИН/БИН) |
Регистрационный номер налогоплательщика (РНН) (при его наличии) |
Сумма налога на добавленную стоимость (тенге) |
Номер запроса |
Дата запроса |
Примечание |
|
1 |
2 |
3 |
4 |
5 |
6 |
7 |
8 |
Примечание: расшифровка аббревиатур:
БИН – бизнес-идентификационный номер;
ИИН – индивидуальный идентификационный номер;
РНН – регистрационный номер налогоплательщика.
| Приложение 2 к приказу Министра финансов Республики Казахстан от 19 марта 2018 года № 391 |
Критерии степени риска
Сноска. Приказ дополнен приложением 2 в соответствии с приказом Министра финансов РК от 28.03.2022 № 317 (вводится в действие по истечении десяти календарных дней после дня его первого официального опубликования); в редакции приказа Заместителя Премьер-Министра — Министра финансов РК от 16.11.2023 № 1198 (вводится в действие по истечении десяти календарных дней после дня его первого официального опубликования).
|
№ |
Наименование критерия |
Максимальный балл |
Минимальный балл |
|
Положительные критерии |
|||
|
1 |
Участие в налоговом мониторинге |
+10 |
0 |
|
2 |
Стабильность вида деятельности |
+10 |
0 |
|
3 |
История возврата налога на добавленную стоимость |
+30 |
0 |
|
4 |
Фонд оплаты труда |
+25 |
0 |
|
5 |
Количество работников |
+25 |
0 |
|
6 |
Доход, обеспеченный 1 работником |
+20 |
0 |
|
7 |
Фиксированные активы |
+10 |
0 |
|
8 |
Налог на имущество |
+30 |
0 |
|
9 |
Экспорт собственной продукции |
+20 |
0 |
|
10 |
Экспорт товаров, приобретенных у производителя |
+10 |
0 |
|
11 |
Осуществление деятельности в приоритетном секторе |
+20 |
0 |
|
12 |
Участие в инвестиционных проектах |
+20 |
0 |
|
Критерии по оценке рисков |
|||
|
1 |
Коэффициент налоговой нагрузки |
+30 |
-10 |
|
2 |
Своевременность уплаты налогов |
+30 |
-30 |
|
3 |
Нарушения по трансфертному ценообразованию |
+10 |
-30 |
|
4* |
Убыток в период применения нулевой ставки |
+10 |
-50 |
|
5* |
Реимпорт товаров |
+10 |
-30 |
|
6* |
Взаиморасчеты по фиктивным сделкам |
+20 |
-50 |
|
7 |
Взаиморасчеты с неблагонадежными предприятиями |
+5 |
-10 |
|
8 |
Взаиморасчеты с предприятиями, по которым ограничена выписка электронного счета-фактуры |
+10 |
-20 |
|
9 |
Взаиморасчеты с взаимосвязанными сторонами |
+10 |
-10 |
|
10 |
Наличие недоимки у поставщиков |
+10 |
-30 |
|
11 |
Расхождения по камеральному контролю за период требования |
+5 |
-50 |
|
12 |
Подтвержденные нарушения по камеральному контролю |
+10 |
-30 |
|
Специальные условия |
|||
|
Конвертация валютной выручки Дополнительные положительные критерии по приоритетным направлениям |
— |
— |
|









