В соответствии с подпунктом 3) статьи 124-6 Предпринимательского кодекса Республики Казахстан и подпунктом 2) пункта 3 статьи 16 Закона Республики Казахстан «О государственной статистике»
ПРИКАЗЫВАЮ:
Сноска. Преамбула – в редакции приказа Заместителя Премьер-Министра — Министра национальной экономики РК от 27.12.2024 № 116 (вводится в действие по истечении десяти календарных дней после дня его первого официального опубликования).
1. Утвердить Правила ценообразования на общественно значимых рынках согласно приложению 1 к настоящему приказу.
2. Признать утратившими силу некоторые приказы уполномоченного органа, осуществляющего руководство в сферах естественных монополий, согласно приложению 2 к настоящему приказу.
3. Комитету по регулированию естественных монополий и защите конкуренции Министерства национальной экономики Республики Казахстан обеспечить в установленном законодательством Республики Казахстан порядке:
1) государственную регистрацию настоящего приказа в Министерстве юстиции Республики Казахстан;
2) в течение десяти календарных дней после государственной регистрации настоящего приказа направление его копии в печатном и электронном виде на официальное опубликование в периодических печатных изданиях, а также в Республиканский центр правовой информации для внесения в Эталонный контрольный банк нормативных правовых актов Республики Казахстан;
3) размещение настоящего приказа на интернет-ресурсе Министерства национальной экономики Республики Казахстан;
4) в течение десяти рабочих дней после государственной регистрации в Министерстве юстиции Республики Казахстан настоящего приказа представление в Юридический департамент Министерства национальной экономики Республики Казахстан сведений об исполнении мероприятий, предусмотренных подпунктами 1), 2) и 3) пункта 3 настоящего приказа.
4. Контроль за исполнением настоящего приказа возложить на курирующего вице-министра национальной экономики Республики Казахстан.
5. Настоящий приказ вводится в действие со дня его первого официального опубликования.
| Министр национальной экономики Республики Казахстан |
Т. Сулейменов |
«
СОГЛАСОВАН»
Министр по инвестициям и
развитию Республики Казахстан
________________ Ж. Касымбек
от «___» ___________ 2017 год
«СОГЛАСОВАН»
Министр энергетики
Республики Казахстан
_____________ К. Бозумбаев
от «___» _________ 2017 год
| Утверждены приказом Министра национальной экономики Республики Казахстан от 1 февраля 2017 года № 36 |
Правила ценообразования на общественно значимых рынках
Сноска. Правила — в редакции приказа Министра национальной экономики РК от 28.09.2020 № 68 (вводится в действие по истечении десяти календарных дней после дня его первого официального опубликования).
Глава 1. Общие положения
1. Настоящие Правила ценообразования на общественно значимых рынках (далее – Правила) разработаны в соответствии с подпунктом 3) статьи 124-6 Предпринимательского кодекса Республики Казахстан (далее – Кодекс) и определяют порядок ценообразования на общественно значимых рынках.
Сноска. Пункт 1 – в редакции приказа Министра национальной экономики РК от 28.01.2022 № 8 (вводится в действие по истечении десяти календарных дней после дня его первого официального опубликования).
2. В настоящих Правилах используются следующие основные понятия:
1) нецелевое использование средств амортизационных отчислений – направление средств, предусмотренных в предельной цене за счет амортизационных отчислений на цели, не связанные с реализацией инвестиционных программ (проектов) и (или) проведением капитальных ремонтных работ, приводящих к увеличению стоимости основных средств и (или) приобретением основных средств и (или) нематериальных активов и (или) возвратом основного долга по привлеченным заемным средствам для реализации инвестиции;
2) территориальные подразделения – территориальные подразделения ведомства уполномоченного органа, осуществляющие в пределах своей компетенции регулирование и контроль деятельности субъектов естественных монополий, включенных в местный раздел государственного регистра субъектов естественных монополий, регулирования цен и государственный контроль за соблюдением порядка ценообразования обязанностей субъекта общественно значимых рынка;
3) ценообразование – процесс формирования и рассмотрения цен на товары (работы, услуги);
4) уполномоченный орган в области газоснабжения – центральный исполнительный орган, осуществляющий государственное регулирование производства, транспортировки (перевозки), хранения и оптовой реализации газа, а также розничной реализации и потребления товарного и сжиженного нефтяного газа;
5) дебиторская задолженность – сумма долга в денежном эквиваленте потребителей электрической энергии, источников электрической энергии, контрагентов за услуги по передаче электрической энергии и (или) за пользование национальной электрической сетью, за услуги по обеспечению готовности электрической мощности к несению нагрузки на рынке электрической мощности;
6) публичные слушания – процедура обсуждения проекта цены на товары (работы, услуги) субъекта общественно значимого рынка, с приглашением депутатов Парламента Республики Казахстан, маслихатов, представителей государственных органов, органов местного самоуправления, средств массовой информации, общественных объединений, независимых экспертов, потребителей и иных заинтересованных лиц;
7) инвестиционная программа (проект) – программа, направленная на создание новых активов, расширение, обновление, реконструкцию и техническое перевооружение существующих активов;
8) кредиторская задолженность – сумма долга в денежном эквиваленте субъекта общественно значимого рынка перед источниками электрической энергии, контрагентами за услуги по передаче электрической энергии и (или) за пользование национальной электрической сетью, за услуги по обеспечению готовности электрической мощности к несению нагрузки на рынке электрической мощности;
9) общественно значимые рынки – товары (работы, услуги) субъектов предпринимательства, на которые государство регулирует цены и тарифы в соответствии с подпунктом 14) пункта 3 статьи 116 Кодекса;
10) субъект общественно значимого рынка (далее – Субъект) – физическое или юридическое лицо, производящее (реализующее) товары (работы, услуги) на общественно значимых рынках;
11) обоснованная цена – цена, определенная на основании обоснованных затрат и прибыли субъекта общественно значимого рынка в соответствии с представленными субъектом рынка документами, подтверждающими обоснованность таких затрат и прибыли, а также на основании проведенной ведомством уполномоченного органа экспертизы цены;
12) себестоимость – совокупность затрат, учитываемых ведомством уполномоченного органа в предельной цене товара (работы, услуги);
13) переходное положение – единовременная мера для урегулирования цен в целях обеспечения безопасного, надежного и стабильного функционирования электроэнергетического комплекса Республики Казахстан в рамках принятого законодательного акта по передаче функций энергоснабжающих организаций к энергопередающим;
14) уполномоченный орган – государственный орган, осуществляющий руководство в соответствующих сферах естественных монополий;
15) ведомство уполномоченного органа – ведомство государственного органа, осуществляющего руководство в области общественно значимых рынков, а также ведомство государственного органа в сфере гражданской авиации, осуществляющее государственное регулирование цен и государственный контроль за соблюдением порядка ценообразования и обязанностей субъекта общественно значимого рынка;
16) предельная цена – цена товара (работы, услуги), установленная Субъектом на основании затрат и прибыли, необходимых для его производства и (или) реализации в соответствии с настоящими Правилами, и согласованная ведомством уполномоченного органа или его территориальным подразделением. Предельной ценой также является цена, в отношении которой до 1 января 2017 года применялось государственное регулирование цен;
17) единый закупщик электрической энергии – юридическое лицо со сто процентным государственным участием, определяемое уполномоченным органом, осуществляющее централизованную покупку и централизованную продажу плановых объемов электрической энергии в порядке, предусмотренном Законом Республики Казахстан «Об электроэнергетике»;
18) источники электрической энергии – единый закупщик электрической энергии и (или) энергопроизводящие организации и (или) возобновляемые источники и нетто-потребители электрической энергии.
Сноска. Пункт 2 — в редакции приказа Заместителя Премьер-Министра — Министра национальной экономики РК от 27.12.2024 № 116 (вводится в действие по истечении десяти календарных дней после дня его первого официального опубликования).
Глава 2. Представление в электронной форме информации для проведения экспертизы цены и информации о предстоящем повышении цен на товары (работы, услуги) выше предельной цены и причинах их повышения
3. Информация, необходимая для проведения экспертизы цены, предоставляется Субъектом в ведомство уполномоченного органа или его территориальное подразделение в электронной форме в сроки, которые не могут быть менее пяти рабочих дней со дня получения субъектом общественно значимого рынка соответствующего требования.
Информация о предстоящем повышении цен на товары (работы, услуги) выше предельной цены и причинах их повышения с представлением обосновывающих материалов, подтверждающих причины повышения, предоставляется Субъектом в ведомство уполномоченного органа или его территориальное подразделение по форме, согласно приложению 1 к настоящим Правилам в электронной форме не менее чем за тридцать календарных дней.
В целях государственного контроля за соблюдением порядка ценообразования и обязанностей субъекта общественно значимого рынка, а также в случаях, предусмотренных подпунктом 1) статьи 124-8 Кодекса, ведомство уполномоченного органа или его территориальное подразделение осуществляет мониторинг цен Субъектов.
По результатам проведения мониторинга цен, а также в случаях невыполнения Субъектом обязанностей, установленных подпунктами 3) и 4) статьи 124-8 Кодекса, ведомство уполномоченного органа или его территориальное подразделение проводит экспертизу цены в соответствии с настоящими Правилами.
В случае оказания Субъектом услуг на территории двух и более областей, городов республиканского значения и столицы, а также оказания услуг аэропортов на внутренних рейсах на территории городов республиканского значения и столицы, информация для проведения экспертизы цены либо информация о предстоящем повышении цен на товары (работы, услуги) выше предельной цены и причинах их повышения предоставляется в ведомство уполномоченного органа.
В случае оказания Субъектом услуг на территории одной области или города республиканского значения, или столицы информация для проведения экспертизы цены либо информация о предстоящем повышении цен на товары (работы, услуги) выше предельной цены и причинах их повышения предоставляется в соответствующее территориальное подразделение по месту регистрации Субъекта.
4. Субъект предоставляет в ведомство уполномоченного органа или его территориальное подразделение информацию для проведения экспертизы цены либо информацию о предстоящем повышении цен на товары (работы, услуги) выше предельной цены и причинах их повышения с приложением к нему обосновывающих материалов, подтверждающих причины повышения предельной цены, в том числе:
1) бухгалтерский баланс по форме, утвержденной приказом Министра финансов Республики Казахстан 28 июня 2017 года № 404 «Об утверждении перечня и форм годовой финансовой отчетности для публикации организациями публичного интереса (кроме финансовых организаций)» (зарегистрирован в Реестре государственной регистрации нормативных правовых актов за № 15384) (далее – Приказ № 404);
2) отчет о прибылях и убытках по форме, утвержденной Приказом № 404;
3) отчет по труду (индекс 1-Т, периодичность годовая, квартальная) по статистической форме, согласно приложениям 1 и 3 к приказу председателя Комитета по статистике Министерства национальной экономики Республики Казахстан от 7 сентября 2020 года № 34 «Об утверждении статистических форм общегосударственных статистических наблюдений по статистике труда и занятости и инструкций по их заполнению» (зарегистрирован в Реестре государственной регистрации нормативных правовых актов № 21183);
4) отчет о финансово-хозяйственной деятельности предприятия (код 271112130, индекс 1-ПФ, периодичность годовая) по форме, согласно приложению 1 к приказу Председателя Комитета по статистике Министерства национальной экономики Республики Казахстан от 4 февраля 2020 года № 14 «Об утверждении статистических форм общегосударственных статистических наблюдений по структурной статистике и инструкций по их заполнению» (зарегистрирован в Реестре государственной регистрации нормативных правовых актов за № 20008);
5) отчет о движении денежных средств по форме, согласно приложению 3 и 4 к Приказу № 404;
6) сводные данные о доходах и расходах, применяемые для расчета цены, с расшифровками по статьям затрат в целом, по предприятию и отдельно по каждому виду;
7) сведения о применяемой системе оплаты труда;
8) сведения о применяемых нормах расхода сырья и материалов, нормативной численности работников;
9) учетную политику (при наличии);
10) инвестиционные программы (проекты) (при наличии);
11) годовую смету затрат, направленных на текущий и капитальный ремонты и другие ремонтно-восстановительные работы, не приводящие к росту стоимости основных средств;
12) годовую смету затрат, направленных на проведение капитальных ремонтных работ, приводящих к увеличению стоимости основных средств (при наличии);
13) расчет амортизационных отчислений, с указанием сроков эксплуатации основных средств;
14) документы, подтверждающие планируемые и (или) фактические объемы реализации товаров (работ, услуг) – протоколы намерений, договоры, расчеты объемов производства (поставки), данные о проектной мощности и фактическом ее использовании, а также при снижении объемов производства (поставки) Субъектами предоставляется обоснование;
15) структуру предельной цены на электрическую энергию (для субъекта в области электроэнергетики) по форме, согласно приложению 2 к настоящим Правилам;
16) пояснительную записку с обоснованием целесообразности повышения цен на товары (работы, услуги) выше предельной цены (копии заключенных договоров, подтверждающих повышение стоимости сырья, материалов, услуг);
17) проект планируемой предельной цены по каждому виду деятельности;
18) по расходам по обеспечению готовности электрической мощности к несению нагрузки в качестве обосновывающих материалов предоставляются плановые затраты, обоснованные протоколами намерениями и (или) расчетами Субъекта в области розничной реализации электрической энергии;
19) фактические данные о затратах за четыре квартала, предшествующие предоставлению информации для проведения экспертизы цены либо подаче информации о предстоящем повышении цен на товары (работы, услуги) выше предельной цены и за предыдущий календарный год.
В случае осуществления деятельности Субъектом менее одного года, предоставляются данные за фактический период осуществления деятельности.
Сноска. Пункт 4 с изменением, внесенным приказом Министра национальной экономики РК от 28.01.2022 № 8 (вводится в действие по истечении десяти календарных дней после дня его первого официального опубликования).
5. Субъект предоставляет по запросу ведомства уполномоченного органа или его территориального подразделения информацию для проведения экспертизы цены в соответствии с подпунктом 10) статьи 124-6 Кодекса. Информация и документы предоставляются в сроки, которые не могут быть менее пяти рабочих дней со дня получения субъектом общественно значимого рынка соответствующего требования.
В случае прекращения субсидирования расходов по услуге локомотивной тяги в пассажирском движения за счет доходов от регулируемых услуг локомотивной тяги в грузовом движении, Субъект по запросу ведомства уполномоченного органа предоставляет документы и сведения, предусмотренные в пункте 4 Правил, для проведения экспертизы предельной цены.
6. Ведомство уполномоченного органа или его территориальное подразделение проводит экспертизу цены на основании предоставленной информации или рассматривает информацию о предстоящем повышении цен на товары (работы, услуги) выше предельной цены и причинах их повышения с приложением к нему обосновывающих материалов, подтверждающих причины повышения предельной цены, в течение тридцати календарных дней со дня их получения.
В случае запроса ведомством уполномоченного органа или его территориальным подразделением дополнительных материалов, сроки проведения экспертизы цены или рассмотрения информации о предстоящем повышении цен на товары (работы, услуги) выше предельной цены приостанавливаются до предоставления Субъектом соответствующих материалов. При этом, дата ввода предельной цены переносится на срок с учетом количества дней, приостановленных до предоставления Субъектом соответствующей информации.
7. Формирование предельной цены на товары (работы, услуги) Субъекта по итогам проведения экспертизы или рассмотрения информации о предстоящем повышении цен на товары (работы, услуги) выше предельной цены и причинах их повышения производится в соответствии с главой 3 настоящих Правил.
8. В соответствии с подпунктом 6) статьи 124-6 Кодекса ведомство уполномоченного органа или его территориальное подразделение проводит публичные слушания.
9. Ведомство уполномоченного органа или его территориальное подразделение оставляют без рассмотрения информацию о предстоящем повышении цен на товары (работы, услуги) выше предельной цены и причинах их повышения в следующих случаях:
1) нарушения требований, предусмотренных пунктом 3 настоящих Правил;
2) непредставления Субъектом документов, предусмотренных пунктами 4 и 5 настоящих Правил;
3) представления Субъектом недостоверной информации.
10. По итогам проведения экспертизы цены или рассмотрения информации о предстоящем повышении цен на товары (работы, услуги) выше предельной цены и причинах их повышения ведомство уполномоченного органа или его территориальное подразделение направляет Субъекту:
1) извещение о согласовании предельной цены по форме, согласно приложению 3 к настоящим Правилам;
2) мотивированное заключение о снижении действующей или проектируемой цены до уровня предельной цены по форме согласно приложению 4 к настоящим Правилам;
3) мотивированное заключение о запрете на повышение предельной цены по форме согласно приложению 5 к настоящим Правилам.
При направлении Субъекту извещения или мотивированного заключения прилагается смета расходов по формам согласно приложениям 6, 7, и 8 к настоящим Правилам в зависимости от товара (работы, услуги) Субъекта общественно значимого рынка, Субъекту в области электроэнергетики – структура предельной цены на электрическую энергию согласно приложению 2 к настоящим Правилам, Субъекту в области розничной реализации товарного газа – структура предельной цены розничной реализации товарного газа (в разрезе филиалов) согласно приложению 9 к настоящим Правилам.
Извещение или мотивированное заключение направляется Субъекту по почте с уведомлением либо вручается его представителю нарочно под роспись, а также размещается на интернет-портале ведомства уполномоченного органа не позднее 3 рабочих дней с момента направления или вручения Субъекту.
11. Допускается согласование (применение) предельных цен с дифференциацией на:
1) услуги по розничной реализации товарного газа – по группам потребителей;
2) услуги по перевозке грузов железнодорожным транспортом и локомотивной тяги в зависимости от рода перевозимых грузов, типа подвижного состава;
3) услуги по розничной реализации электрической энергии энергоснабжающими организациями – по группам потребителей и по объемам потребления.
12. Субъект на основании полученного извещения или мотивированного заключения устанавливает предельную цену на товары (работы, услуги) с даты, определенной ведомством уполномоченного органа или его территориальным подразделением.
13. Субъект, не превышая предельной цены, может самостоятельно снижать или повышать цены на товары (работы, услуги), реализуемые на общественно значимых рынках, с предоставлением в ведомство уполномоченного органа или его территориального подразделения информации, указывающей на причины снижения или повышения, не позднее пяти рабочих дней со дня снижения или повышения цены.
14. Ведомство уполномоченного органа или его территориальное подразделение снижает предельные цены на товары (работы, услуги), реализуемые Субъектами общественно значимых рынков, в размере дохода, полученного в связи с:
неисполнением мероприятий инвестиционной программы, учтенных в предельных ценах;
неисполнением средств на покупку и (или) передачу электрической энергии учтенных в предельных ценах;
неисполнением средств на обеспечение готовности электрической мощности к несению нагрузки на рынке электрической мощности и куплей-продажей балансирующей электроэнергии на балансирующем рынке электрической энергии;
неисполнением средств на услуги за пользование национальной электрической сетью учтенных в предельных ценах;
неисполнением затрат, связанных с осуществлением деятельности Субъекта в области централизованной покупки и централизованной продажи электрической энергии и (или) централизованной покупки услуги по поддержанию готовности электрической мощности и централизованной продажи услуги по обеспечению готовности электрической мощности к несению нагрузки;
неисполнением средств на покупку и (или) транспортировку товарного газа и сжиженного нефтяного газа учтенных в предельных ценах;
превышением объемов потребления товаров (работ, услуг), в том числе отдельными группами потребителей, учтенных в предельных ценах;
превышением объемов покупки и продажи электрической энергии единым закупщиком электрической энергии;
превышением предельной цены на товары (работы, услуги), согласованной ведомством уполномоченного органа или его территориальным подразделением;
нецелевым использованием средств амортизационных отчислений.
Сноска. Пункт 14 — в редакции приказа Министра национальной экономики РК от 04.08.2023 № 145 (вводится в действие по истечении десяти календарных дней после дня его первого официального опубликования).
15. Субъект возвращает доход, полученный в результате необоснованного превышения предельной цены, напрямую потребителям не позднее тридцати календарных дней с момента установления такого факта ведомством уполномоченного органа или его территориальным подразделением, либо путем снижения уровня предельной цены на предстоящий период в соответствии с настоящими Правилами, в случае невозможности установления полного перечня потребителей.
16. В случае недополучения дохода или получения необоснованного дохода энергоснабжающей организацией в связи с применением потребителями дифференцированных тарифов на электрическую энергию в зависимости от объемов ее потребления физическими лицами, а также в связи с изменением удельного веса общего объема потребления физическими и юридическими лицами при применении потребителями дифференцированных тарифов по группам потребителей, ведомство уполномоченного органа или его территориальное подразделение корректирует предельную цену, на сумму необоснованно полученного дохода или на сумму недополученного дохода.
В случае, если у Субъекта в области розничной реализации электрической энергии возникают убытки в результате увеличения разницы между расходами по покупке и (или) передачи электрической энергии и (или) за пользование национальной ой электрической сетью, учтенными в согласованной предельной цене, и фактическими расходами по покупке, передачи электрической энергии и (или) за пользование национальной электрической сетью, ведомство уполномоченного органа или его территориальное подразделение, при рассмотрении информации Субъекта в области электроэнергетики, корректирует предельную цену с учетом возникших убытков.
В случае недополучения дохода или получения необоснованного дохода Субъектом в области розничной реализации электрической энергии по затратам, связанным с оплатой услуг по покупке и (или) передачи электрической энергии и (или) за пользование национальной электрической сетью, по обеспечению готовности электрической мощности к несению нагрузки на рынке электрической мощности, в том числе в связи с применением повышающих коэффициентов, в соответствии с пунктом 59 Правил организации и функционирования рынка электрической мощности, утвержденных приказом Министра энергетики Республики Казахстан от 27 февраля 2015 года № 152 (зарегистрирован в Реестре государственной регистрации нормативных правовых актов под № 10612) и куплей-продажей балансирующей электроэнергии на балансирующем рынке электрической энергии, ведомство уполномоченного органа или его территориальное подразделение корректирует предельную цену на сумму необоснованно полученного дохода или на сумму недополученного дохода.
В случае изменения стоимости (цены, тарифа) электрической энергии источниками электрической энергии, электрической мощности и балансирующего рынка, Субъект в области розничной реализации электрической энергии пересматривает структуру предельного тарифа на электрическую энергию без изменения уровня согласованной цены. При этом, Субъект в области розничной реализации электрической энергии информирует ведомство уполномоченного органа или его территориальное подразделе об изменении структуры предельного тарифа на электрическую энергию и предоставляет ее не позднее пяти рабочих дней со дня изменения структуры предельного тарифа на электрическую энергию.
В случае неисполнения расходов, рассчитанных согласно пункту 32 настоящих Правил и учтенных в согласованной ранее предельной цене Субъекта, оказывающего услуги по перевозке грузов железнодорожным транспортом и локомотивной тяги на новых участках (маршрутах), ведомство уполномоченного органа или его территориальное подразделение корректирует согласованную предельную цену на сумму дохода, полученного в результате возникновения разницы между расходами, включенными в согласованную предельную цену, и фактическими расходами при очередном рассмотрении информации. При этом из общей суммы неисполнения затрат исключается разница между расходами, включенными в согласованную предельную цену, и фактическими расходами, связанная со снижением объемов, и (или) снижением предельной цены в соответствии с пунктом 14 настоящих Правил.
В случае изменения предельной цены оптовой реализации товарного газа и (или) тарифа на транспортировку товарного газа по газораспределительным системам Субъект в области розничной реализации товарного газа пересматривает и согласовывает с ведомством уполномоченного органа не позднее пяти рабочих дней до ввода в действие цену розничной реализации товарного газа, при этом расчет предельной цены на товары (работы, услуги) производится в соответствии с приложением 12 к настоящим Правилам.
Сноска. Пункт 16 — в редакции приказа Министра национальной экономики РК от 04.08.2023 № 145 (вводится в действие по истечении десяти календарных дней после дня его первого официального опубликования).
Глава 3. Порядок ценообразования на товары (работы, услуги) Субъекта
17. Для формирования предельной цены Субъектом осуществляется раздельный учет затрат по каждому виду, товаров (работ, услуг).
В случае отсутствия у Субъекта раздельного учета затрат по видам товаров (работ, услуг), затраты Субъекта разделяются по видам реализуемых товаров (работ, услуг) на основе косвенных методов, предусматривающих определение затрат, относящихся к определенному виду деятельности Субъекта, реализующего товары (работы, услуги), по удельному весу доходов (объемов, затрат на оплату труда производственного персонала) в общих затратах Субъекта.
18. Ведомство уполномоченного органа или его территориальное подразделение проводит публичные слушания при рассмотрении уведомления о предстоящем повышении цен на товары (работы, услуги).
19. Целью проведения публичных слушаний является обеспечение гласности, информированности, соблюдения баланса интересов потребителей и Субъектов, прозрачности формирования цен на товары (работы, услуги) и достоверности.
20. Принципы проведения публичных слушаний:
1) гласность;
2) соблюдение баланса интересов потребителей и Субъектов;
3) прозрачность формирования цен на товары (работы, услуги).
21. Ведомство уполномоченного органа или его территориальное подразделение, не позднее десяти календарных дней до даты проведения публичных слушаний, размещает на интернет-ресурсе ведомства уполномоченного органа и опубликовывает объявление о проведении публичных слушаний в печатном издании, выпускаемом не реже одного раза в неделю и распространяемом:
на территории соответствующей административно-территориальной единицы, в случае оказания Субъектом услуг на территории одной области или города республиканского значения, или столицы, а также оказания услуг аэропортов на внутренних рейсах на территории городов областного значения;
на всей территории Республики Казахстан, в случае оказания Субъектом услуг на территории двух и более областей, городов республиканского значения и столицы, а также оказания услуг аэропортов на внутренних рейсах на территории городов республиканского значения, столицы.
Публичные слушания проводятся не позднее, чем за десять календарных дней до принятия решения о согласовании цены или повышении цены.
22. Объявление о предстоящем публичном слушании включает следующие сведения:
1) наименование и местонахождение организатора публичных слушаний;
2) дату, место и время проведения слушаний;
3) наименование Субъекта и вид товаров (работ, услуг), по которому подана информация о повышении цен на товары (работы, услуги);
4) контактные телефоны ведомства уполномоченного органа или его территориального подразделения, Субъекта;
5) адрес интернет-ресурса ведомства уполномоченного органа и Субъекта (при наличии).
23. Субъект после опубликования информации о дате проведения публичных слушаний представляет по требованию участников публичных слушаний до проведения публичных слушаний:
проекты цен на товары (работы, услуги);
информация о причинах повышения цен на товары (работы, услуги) с экономически обоснованными расчетами.
24. Публичные слушания проводятся уполномоченным органом или его территориальным подразделением, в том числе с организацией онлайн-трансляций, с обеспечением беспрепятственного доступа участников публичных слушаний.
При введении в стране чрезвычайного положения, ограничительных мероприятий, в том числе карантина, уполномоченный орган или его территориальные подразделения проводят публичные слушания посредством онлайн-трансляций.
При проведении публичных слушаний посредством онлайн-трансляций ведомство уполномоченного органа или его территориальное подразделение, не позднее десяти календарных дней до даты проведения публичных слушаний, размещает в социальных сетях объявление о предстоящем публичном слушании с указанием даты и ссылки на онлайн-трансляцию публичных слушаний.
Сноска. Пункт 24 — в редакции приказа Министра национальной экономики РК от 12.02.2021 № 17 (вводится в действие по истечении десяти календарных дней после дня его первого официального опубликования).
25. Руководитель ведомства уполномоченного органа или его территориального подразделения назначает председателя и секретаря публичных слушаний из числа сотрудников ведомства уполномоченного органа или его территориального подразделения.
Секретарь публичных слушаний ведет протокол в письменной форме.
Сноска. Пункт 25 — в редакции приказа Министра национальной экономики РК от 12.02.2021 № 17 (вводится в действие по истечении десяти календарных дней после дня его первого официального опубликования).
26. Председатель в назначенное время открывает публичные слушания, объявляет их цель, повестку дня и устанавливает регламент.
27. В своем выступлении Субъект дает подробное разъяснение и обоснование предлагаемому уровню цены на товары (работы, услуги) с приложением подтверждающих фото, видеоматериалов (при наличии).
28. Участники публичных слушаний высказывают свою точку зрения, мнения по рассматриваемому вопросу, задают вопросы выступающим, используют в своем выступлении вспомогательные материалы (плакаты, графики и другие) и прикладывают письменное выступление к протоколу.
Мнение, выраженное участником публичного слушания в письменном виде, приравнивается к обращению физического или юридического лица к официальному лицу и подлежит обязательному внесению в протокол публичного слушания, а также дальнейшему рассмотрению и принятию соответствующих мер.
29. Председатель подводит итоги и закрывает публичные слушания.
30. Ведомство уполномоченного органа или его территориальное подразделение размещает на своем интернет-ресурсе результаты проведенных публичных слушаний о рассмотрении уведомления о предстоящем повышении цен на товары (работы, услуги), в том числе стенограммы обсуждений, протоколы заседаний с принятыми решениями по рассматриваемым вопросам в течение пяти календарных дней после дня их проведения.
31. При формировании предельной цены в себестоимости учитываются расходы, непосредственно относящиеся к производству (реализации) товаров (работ, услуг), подтвержденные обосновывающими, расчетными и прогнозными материалами (договорами, протоколами намерений, счетами-фактурами, финансовыми документами и иными подтверждающими расходы документами), в том числе:
1) материальные расходы, определяемые, исходя из их цен, предусмотренных в подтверждающих документах (договоры, счета-фактуры), и физического объема материальных ресурсов, исходя из применяемых норм расхода сырья, материалов, топлива, энергии, материальных ресурсов на выпуск единицы товаров (работ, услуг) и (или) годовых норм материальных ресурсов;
2) на оплату труда персонала, включая выплаты доплат и надбавок за условия труда, предусмотренные системой оплаты труда в соответствии с трудовым законодательством, при этом при определении расходов на оплату труда в расчет принимается фактическая численность персонала (административно-управленческого и производственного), не превышающая нормативную численность (при наличии), и среднемесячная заработная плата, принятая в действующей цене с учетом показателей прогноза социально-экономического развития Республики Казахстан (инфляция) или фактическая численность персонала (административно-управленческого и производственного), не превышающая нормативную численность (при наличии), но не превышающей нормативной численности персонала субъекта, и среднемесячная заработная плата в регионе (в области, городе республиканского значения, столице), в котором субъект оказывает услуги, согласно видам экономической деятельности, сложившейся по данным статистики за год, предшествующей подаче заявки.
Среднемесячная заработная плата в регионе (в области, городе республиканского значения, столице), в котором субъект оказывает услуги, согласно видам экономической деятельности, сложившаяся по данным статистики за год предшествующей подаче заявки принимается при ее превышении над среднемесячной заработной платы, принятой в действующей цене с учетом показателей прогноза социально-экономического развития Республики Казахстан (инфляция);
3) амортизационные отчисления основных средств и нематериальных активов рассчитываются по прямолинейному (равномерному) методу начисления и включаются в затратную часть предельной цены. Амортизационные отчисления направляются на реализацию инвестиционных программ (проектов) и (или) на проведение капитальных ремонтных работ, приводящих к увеличению стоимости основных средств и (или) приобретение основных средств и (или) нематериальных активов;
4) средства, направляемые Субъектом на текущий и капитальный ремонты и другие ремонтно-восстановительные работы, не приводящие к росту стоимости основных средств, включаются в затратную часть предельной цены на основании подтверждающих документов о необходимости такой работы (документальное техническое подтверждение необходимости проведения таких работ, сводные сметные расчеты, объектные, локальные и ресурсные сметы (отдельно по каждому объекту), в том числе по объектам, находящимся в доверительном управлении Субъекта (при условии, если договор доверительного управления содержит требования о проведении такого ремонта, не приводящего к росту стоимости основных средств);
5) прочие производственные расходы, непосредственно относящиеся к производимому и (или) реализуемому товару (работе, услуге), включаются в затратную часть предельной цены на основании подтверждающих документов с учетом отраслевых особенностей;
6) расходы, в ценах которых учитывается выплата вознаграждения за заемные средства на реализацию инвестиционной программы (проекта) (при ее (его) наличии);
7) расходы на выплату вознаграждения за заемные средства, привлеченные для пополнения оборотных средств, необходимых для оказания услуги, в случае, если оплата за оказываемые услуги производится по факту их оказания;
8) на приобретаемые аудиторские, маркетинговые услуги;
9) на оплату за эмиссию в окружающую среду;
10) на обязательные виды страхования, налоги, сборы и другие обязательные платежи в бюджет, учитываемые в расходах финансовый год.
Для Субъектов в области розничной реализации электрической энергии при формировании предельной цены в себестоимости также учитываются протоколы намерения с источником электрической энергии, а также:
расчетные и прогнозные материалы, связанные с введением рынка мощности и балансирующего рынка электроэнергии и оплатой услуг по обеспечению готовности электрической мощности к несению нагрузки на рынке электрической мощности и куплей-продажей балансирующей электроэнергии на балансирующем рынке электрической энергии;
затраты на оплату услуги по обеспечению готовности электрической мощности к несению нагрузки на рынке электрической мощности;
разница между расчетным или договорным объемом услуги по обеспечению готовности электрической мощности к несению нагрузки и фактически оказанным единым закупщиком за соответствующий период объемом услуги по обеспечению готовности электрической мощности к несению нагрузки;
затраты, связанные с куплей-продажей балансирующей электроэнергии на балансирующем рынке электрической энергии;
затраты на услуги оператора рынка централизованной торговли по организации и проведению централизованных торгов электрической мощности.
Сноска. Пункт 31 с изменениями, внесенными приказами и.о. Министра национальной экономики РК от 31.03.2023 № 42 (вводится в действие по истечении шестидесяти календарных дней после дня его первого официального опубликования); от 04.08.2023 № 145 (вводится в действие по истечении десяти календарных дней после дня его первого официального опубликования).
32. В случае оказания Субъектом услуги по перевозке грузов железнодорожным транспортом и локомотивной тяги на новых участках (маршрутах) и (или) при отсутствии фактических затрат на новых участках (маршрутах), расчеты потребности численности персонала, сырья, материалов, топлива, энергии, ремонтных работ и прочие расходы, непосредственно относящиеся к регулируемой услуге по данным участкам, производятся на основе типовых норм и нормативов, действующих в соответствующей отрасли (сфере) и применением сравнительного анализа уровня цен.
33. Уровень прибыли, включаемой в предельную цену, ограничивается с учетом средств, необходимых для реализации инвестиционной программы (проекта).
Инвестиции осуществляются Субъектом за счет собственных и (или) заемных средств. Источниками собственных средств являются прибыль (чистый доход) и амортизационные отчисления.
Возврат заемных средств осуществляется за счет прибыли (чистого дохода) и (или) амортизационных отчислений.
В случае отсутствия у Субъекта инвестиционной программы (проекта), уровень прибыли Субъекта, включаемый в предельную цену, определяется, исходя из факторов социально-экономического развития Республики Казахстан.
В случае истечения срока действия инвестиционной программы согласованной уполномоченным органом, предельная цена снижается на сумму направленных на реализацию согласованной инвестиционной программы (амортизационных отчислений и прибыли), за исключением средств, направленных на погашение основного долга по займам, привлеченным на реализацию утвержденной инвестиционной программы. При этом, Субъект за месяц до истечения срока действия инвестиционной программы вправе обратиться в уполномоченный орган с предложением о согласовании инвестиционной программы (проекта) без повышения согласованной предельной цены с предоставлением материалов в соответствии с пунктом 36 настоящих Правил.
34. При формировании предельной цены в себестоимости не учитываются расходы, не относящиеся непосредственно к производству товаров оказанию работ (услуг), а также:
1) амортизационные отчисления основных средств, неиспользуемых при производстве товаров, оказании работ (услуг);
2) платежи за сверхнормативные выбросы (сбросы) загрязняющих веществ;
3) безнадежные долги;
4) штрафы, пени, неустойка и другие виды санкций за нарушение условий хозяйственных договоров, судебные издержки;
5) штрафы и пени за сокрытие (занижение) дохода;
6) убытки от хищений;
7) содержание незадействованных активов в производстве обслуживающих хозяйств и участков;
8) содержание объектов здравоохранения, детских дошкольных организаций, учебных заведений, за исключением профессионально-технических училищ;
9) содержание оздоровительных лагерей, объектов культуры и спорта, жилого фонда;
10) погашение ссуд, включая беспроцентные, полученные работниками организации на улучшение жилищных условий, приобретение садовых домиков и обзаведение домашним хозяйством;
11) проведение культурно-просветительных, оздоровительных и спортивных мероприятий;
12) благоустройство садовых товариществ (строительство дорог, энерго и водоснабжение, осуществление других расходов общего характера);
13) оказание спонсорской помощи;
14) потери от производственного брака;
15) приобретение, аренда и содержание квартир, жилых зданий и сооружений, мест в общежитиях и гостиницах для персонала Субъектов, за исключением вахтовой организации производства;
16) приобретение подарков к юбилейным датам или в качестве поощрения работникам;
17) сверхнормативные технические и коммерческие потери, порча и недостача товарно-материальных ценностей, запасы на складах и непроизводительные расходы;
18) премирование и стимулирования по итогам работы;
19) проведение и организация обучающих курсов, семинаров, тренингов, лекций, выставок, дискуссий, встреч с деятелями науки и искусства, научно-технических конференций, за исключением мероприятий, связанных с производственной необходимостью;
20) членские взносы в общественные организации и ассоциации;
21) оплата отпусков работникам, обучающимся в организациях образования;
22) оплата путевок работникам и их детям на лечение, отдых, экскурсий за счет средств Субъекта, кроме затрат, связанных с реабилитационным лечением профессиональных заболеваний;
23) страховые платежи (взносы, уплачиваемые Субъектом по договорам личного и имущественного страхования, заключенным Субъектом в пользу своих работников), за исключением установленных законодательством Республики Казахстан обязательных страховых платежей;
24) оплата дополнительно предоставленных (сверх предусмотренного законодательством) отпусков работникам, в том числе женщинам, воспитывающим детей, оплата проезда членов семьи работника к месту использования отпуска и обратно;
25) льготы работникам Субъекта;
26) компенсация стоимости питания детям, находящимся в дошкольных учреждениях, санаториях и оздоровительных лагерях;
27) отчисления профессиональным союзам на цели, определенные коллективным договором;
28) услуги банков и организаций, осуществляющих отдельные виды банковских операций по приему коммунальных платежей от потребителей;
29) услуги консалтинговых компаний.
35. Инвестиционная программа (проект) учитывается в предельной цене товара (работы, услуги) Субъекта.
Инвестиционная программа (проект) Субъекта разрабатывается и корректируется с учетом приоритетов социального экономического развития Республики Казахстан.
36. К инвестиционной программе (проекту) Субъект предоставляет следующие материалы:
1) проект инвестиционной программы Субъекта по форме, согласно приложению 10 к настоящим Правилам;
2) информацию о планируемых затратах на реализацию инвестиционной программы (проекта) с указанием стоимости приобретаемых основных средств, строительно-монтажных работ с приложением сравнительного анализа уровня цен;
3) документы, подтверждающие прогнозный размер и предварительные условия финансирования, в том числе заемных ресурсов (вознаграждение по заемным средствам, период финансирования, комиссионные выплаты, сроки и условия возврата заемных средств);
4) документы, подтверждающие размеры и условия финансирования инвестиционной программы (проекта) в случае, если для их реализации выделяются средства из республиканского, местного бюджетов или привлекаются кредиты (инвестиции) под гарантии Правительства Республики Казахстан.
37. Субъект не позднее 1 ноября текущего года может обратиться в ведомство уполномоченного органа или его территориальное подразделение с предложением об изменении согласованной инвестиционной программы (проекта) без повышения согласованной предельной цены.
38. К предложению об изменении согласованной инвестиционной программы (проекта) прилагаются:
проект инвестиционной программы с учетом изменений с приложением материалов, обосновывающих их внесение (бизнес-план, прайс-листы, копии договоров, проектно-сметная документация, прошедшая экспертизу в установленном порядке);
оценка Субъекта о необходимости внесения изменений в инвестиционную программу (проект) с приложением обосновывающих материалов;
возможные условия финансирования и возврата заемных средств.
Если для реализации инвестиционной программы (проекта) выделяются средства из республиканского и (или) местных бюджетов или привлекаются кредиты под гарантии Правительства Республики Казахстан, то представляются документы, подтверждающие размеры и условия финансирования.
39. Ведомство уполномоченного органа или его территориальное подразделение рассматривает предложение об изменении согласованной инвестиционной программы (проекта) в течение тридцати календарных дней с момента его представления.
При снижении согласованной суммы инвестиционной программы, учтенной в предельной цене, ведомство уполномоченного органа снижает предельную цену Субъекта.
40. В случае отказа в изменении согласованной инвестиционной программы (проекта) ведомство уполномоченного органа или его территориальное подразделение направляет Субъекту мотивированное заключение об отказе в изменении согласованной инвестиционной программы (проекта).
Основанием для отказа является непредставление и (или) представление не в полном объеме документов, указанных в пункте 38.
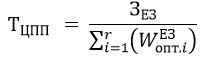
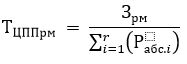
41. Расчет предельной цены на товары (работы, услуги) Субъекта производится в соответствии с приложением 11 к настоящим Правилам, за исключением Субъектов в области розничной реализации товарного газа и централизованной покупки и централизованной продажи электрической энергии и (или) централизованной покупки услуги по поддержанию готовности электрической мощности и централизованной продажи услуги по обеспечению готовности электрической мощности к несению нагрузки, которым расчет предельной цены на товары (работы, услуги) производится в соответствии с приложениями 12, 12-1 и 12-2 к настоящим Правилам.
Сноска. Пункт 41 — в редакции приказа Министра национальной экономики РК от 04.08.2023 № 145 (вводится в действие по истечении десяти календарных дней после дня его первого официального опубликования).
42. Субъект в соответствии с подпунктом 1) статьи 124-8 Кодекса предоставляет в ведомство уполномоченного органа или его территориальное подразделение:
Полугодовую информацию об исполнении (наименование, бизнес идентификационный номер/индивидуальный идентификационный номер субъекта общественно значимого рынка) либо неисполнении инвестиционной программы (проекта), учтенной в предельной цене (вид деятельности по общему классификатору экономической деятельности) за 20_ года (полугодие)
не позднее 1 августа – полугодовую информацию об исполнении (наименование, бизнес идентификационный номер/индивидуальный идентификационный номер субъекта общественно значимого рынка) либо неисполнении инвестиционной программы (проекта), учтенной в предельной цене (вид деятельности по общему классификатору экономической деятельности) за (полугодие), по форме согласно приложению 15 к настоящим Правилам;
не позднее 1 мая – полугодовую информацию об исполнении (наименование, бизнес идентификационный номер/индивидуальный идентификационный номер субъекта общественно значимого рынка) либо неисполнении инвестиционной программы (проекта), учтенной в предельной цене (вид деятельности по общему классификатору экономической деятельности) за (полугодие), по форме согласно приложению 15 к настоящим Правилам за предыдущий год;
не позднее последнего дня месяца, следующего за отчетным, ежемесячную информацию об объемах производства (реализации), уровне доходности и отпускных ценах производимых (реализуемых) товаров (работ, услуг) по форме согласно приложениям 16, 17 и 18 к настоящим Правилам;
ежеквартальную финансовую отчетность в соответствии с законодательством Республики Казахстан о бухгалтерском учете и финансовой отчетности не позднее последнего дня месяца, следующего за отчетным кварталом;
полугодовую информацию об использовании средств по покупке и (или) передаче электрической энергии, товарного газа, учтенных в предельной цене, с приложением подтверждающих материалов не позднее двадцать пятого числа месяца, следующего за отчетным полугодием, за исключением субъектов общественно значимых рынков, указанных в подпунктах 2), 4) и 5) пункта 1 статьи 124-5 Кодекса;
информацию об отпускных ценах с приложением обосновывающих материалов, подтверждающих уровень цены, не позднее тридцати календарных дней со дня введения государственного регулирования цен или с момента начала производства (реализации) товаров, работ, услуг либо не менее чем за тридцать календарных дней до предстоящего повышения отпускной цены на товары, работы, услуги.
43. Субъект исполняет мероприятия инвестиционной программы (проекта), учтенные в предельных ценах в соответствии с настоящими Правилами.
Субъект возвращает доход, полученный и не использованный на реализацию инвестиционных программ (проектов), учтенных в предельных ценах, напрямую потребителям либо в случае невозможности установления полного перечня потребителей путем снижения уровня предельной цены на предстоящий период в соответствии с настоящими Правилами.
44. Субъект размещает в средствах периодическое печатное издание, теле-радиоканал, кинодокументалистика, аудиовизуальная запись и иная форма периодического или непрерывного публичного распространения массовой информации, включая на интернет-ресурсе Субъекта:
полугодовую информацию об использовании средств по покупке и (или) передаче электрической энергии, товарного газа, учтенных в предельной цене, не позднее двадцать пятого числа месяца, следующего за отчетным полугодием, за исключением субъектов общественно значимых рынков, указанных в подпунктах 2), 4) и 5) пункта 1 статьи 124-5 Кодекса;
полугодовую информацию о доходе, полученном в результате превышения объемов потребления товаров (работ, услуг), в том числе отдельными группами потребителей, учтенных в предельной цене, не позднее двадцать пятого числа месяца, следующего за отчетным полугодием;
полугодовую информацию об исполнении либо о неисполнении инвестиционной программы, учтенной в предельной цене, не позднее двадцать пятого числа месяца, следующего за отчетным полугодием;
информацию о повышении предельных цен на товары (работы, услуги) и обосновывающие материалы не позднее пяти рабочих дней со дня их направления на согласование ведомству уполномоченного органа или его территориальному подразделению.
45. Субъект размещает на своем интернет-ресурсе либо интернет-ресурсе ведомства уполномоченного органа информацию об отпускных ценах, о результатах публичных слушаний и финансовой отчетности.
46. По истечении годового срока с момента согласования инвестиционной программы, в случае неисполнения инвестиционной программы, учтенной в предельной цене, ведомство уполномоченного органа и его территориальное подразделение по итогам рассмотрения информации об исполнении либо о неисполнении инвестиционной программы вносит предписание Субъекту в соответствии с подпунктом 7) статьи 124-6 Кодекса.
Субъект исполняет предписания ведомства уполномоченного органа или его территориального подразделения в сроки, предусмотренные подпунктом 7) статьи 124-8 Кодекса.
47. Уполномоченный орган при проведении экспертизы цены, рассматриваемой в соответствии с переходным положением, учитывает убытки и (или) недополученные и сверхдоходы, в том числе от дифференцированных тарифов, покупки и (или) передачи электрической энергии, согласно структуре цены гарантирующего поставщика электрической энергии, действующей до 1 января 2025 года.
В расчете новой предельной цены учитывается разница между дебиторской и кредиторской задолженностью, за исключением признаваемой безнадежной задолженности, согласно форме заключительного отчета реабилитационного и банкротного управляющих, утвержденного приказом Заместителя Премьер-Министра Республики Казахстан – Министра финансов Республики Казахстан от 15 мая 2014 года № 224 «Об утверждении форм заключительного отчета реабилитационного и банкротного управляющих» (зарегистрирован в Реестре государственной регистрации нормативных правовых актов за № 9522).
Сноска. Глава 3 дополнена пунктом 47 в соответствии с приказом Заместителя Премьер-Министра — Министра национальной экономики РК от 27.12.2024 № 116 (вводится в действие по истечении десяти календарных дней после дня его первого официального опубликования).
48. Субъект в области розничной реализации электрической энергии, осуществляющий свою деятельность с 1 января 2025 года, до согласования новой предельной цены, применяет ранее установленную предельную цену Субъекта, осуществляющего свою деятельность до 1 января 2025 года.
Сноска. Глава 3 дополнена пунктом 48 в соответствии с приказом Заместителя Премьер-Министра — Министра национальной экономики РК от 27.12.2024 № 116 (вводится в действие по истечении десяти календарных дней после дня его первого официального опубликования).
| Приложение 1 к Правилам ценообразования на общественно значимых рынках |
|
| Форма |
Информация о предстоящем повышении предельной цены на товары (работы, услуги)
1. Наименование субъекта общественно значимого рынка____________________
2. Вид товара (работы, услуги) __________________________________________
3. Планируемые действия______________________________________________
(информация о предстоящем повышении предельной цены)
4. Дата, с которой субъект общественно значимого рынка планирует повышать
предельную цену_____________________________________________________
5. Прилагаемые документы (материалы) _________________________________
Руководитель ________________________________________________________
фамилия, имя, отчество (при наличии) (подпись)
| Приложение 2 Правилам ценообразования на общественно значимых рынках |
|
| Форма |
Структура предельной цены на электрическую энергию
Сноска. Приложение 2 — в редакции приказа Министра национальной экономики РК от 04.08.2023 № 145 (вводится в действие по истечении десяти календарных дней после дня его первого официального опубликования).
_____________________________________________________________________________
(наименование, бизнес идентификационный номер субъекта общественно значимого рынка)
на оказание услуг по электроснабжению с вводом в действие
с_______________________________________________________________
|
Наименование |
Объем (кВт/ч; МВт) |
Цена за 1 кВт/ч, за 1 МВт в месяц |
Стоимость (тенге) |
|
Покупка у источника |
|||
|
Источник 1 |
|||
|
Источник 2 |
|||
|
Источник 3 |
|||
|
Итого средневзвешенная цена на покупки |
|||
|
Наименование региональная электросетевая компания и энергопередающих организации |
|||
|
Региональная электросетевая компания |
|||
|
Энергопередающая организация 1 |
|||
|
Энергопередающая организация 2 |
|||
|
Итого средневзвешенная цена передачи электрической энергии |
|||
|
Затраты на оплату услуги по обеспечению готовности электрической мощности к несению нагрузки на рынке электрической мощности |
|||
|
Разница между расчетным или договорным объемом услуги по обеспечению готовности электрической мощности к несению нагрузки и фактическим объемом данной услуги за соответствующий период |
|||
|
Затраты по балансирующему рынку |
|||
|
Стоимость системных услуг акционерного общества «KEGOC» в том числе: |
|||
|
по передаче электрической энергии по национальной электрической сети |
|||
|
по пользованию национальной электрической сетью |
|||
|
по технической диспетчеризации отпуска в сеть и потреблению электрической энергии |
|||
|
по организации балансирования производства-потребления электрической энергии |
|||
|
Стоимость услуг по регулированию электрической мощности |
|||
|
Стоимость услуг единого закупщика централизованной торговли электрической энергии акционерного общества «КОРЭМ» (в случае наличия) |
|||
|
Стоимость услуг оператора рынка централизованной торговли электрической энергии акционерного общества «КОРЭМ» (в случае наличия) |
|||
|
Снабженческая надбавка, всего |
|||
|
Прибыль |
|||
|
Всего отпускной тариф (без учета налога на добавленную стоимость) |
| Приложение 3 к Правилам ценообразования на общественно значимых рынках |
|
| Форма |
Извещение о согласовании предельной цены
Ведомство уполномоченного органа или территориальный уполномоченный орган, рассмотрев
информацию о повышении цен на товары (работы, услуг) выше предельной цены
________________________________________________________________________________________
(наименование субъекта общественно значимого рынка)
на оказываемые услуги (виды услуг) ______________________, в соответствии Правилами, сообщает
о согласовании предельной цены____________________________________________________________
(услуги, наименование субъекта общественно значимого рынка, дата действия)
Обоснование_________________________________________________
(причина согласования предельной цены)
Руководитель__________________________________________________
фамилия, имя, отчество (при наличии) (подпись)
| Приложение 4 к Правилам ценообразования на общественно значимых рынках |
|
| Форма |
Мотивированное заключение о снижении действующей или проектируемой цены до уровня
предельной цены
Ведомство уполномоченного органа или его территориальное подразделение, рассмотрев информацию
о предстоящем повышении цен на товары (работы, услуг) выше предельной цены
_______________________________________________________________________________________________
(наименование субъекта общественно значимого рынка)
на оказываемые услуги (виды услуг) ______________________, в соответствии Правилами, сообщает
о необходимости снижения действующей или проектируемой предельной цены
_______________________________________________________________________________________________
(услуги, наименование субъекта общественно значимого рынка, дата действия)
_________________________на общественно значимые услуги до уровня предельной цены, обоснованной
в соответствии с Правилами.
Обоснование___________________________________________________
(причина снижении действующей или проектируемой предельной цены)
Руководитель _________________________________________________
фамилия, имя, отчество (при наличии) (подпись)
| Приложение 5 к Правилам ценообразования на общественно значимых рынках |
|
| Форма |
Мотивированное заключение о запрете на повышение предельной цены
Ведомство уполномоченного органа или его территориальное подразделение,
рассмотрев информацию о предстоящем повышении цены на товары (работы, услуги)
выше предельной цены (наименование субъекта общественно значимого рынка)
______________________о предстоящем повышении предельной цены на оказываемые
услуги (виды услуг), _____________________, в соответствии с Правилами, сообщает о
запрете в повышении предельных цен на (услуги, наименование субъекта общественно
значимого рынка) ___________
Обоснование ____________________________________________________
Руководитель ___________________________________________________
фамилия, имя, отчество (при наличии) (подпись)
| Приложение 6 к Правилам ценообразования на общественно значимых рынках |
|
| Форма |
Смета расходов на оказание услуг по электроснабжению (снабженческая надбавка)
|
№ п/п |
Наименование показателей |
Единица измерения |
Согласовано |
|
I |
Затраты на предоставление услуг, всего |
тысяч тенге |
|
|
В том числе |
тысяч тенге |
||
|
1 |
Материальные затраты, всего |
тысяч тенге |
|
|
В том числе |
тысяч тенге |
||
|
1.1 |
Прочие материалы |
тысяч тенге |
|
|
1.2 |
Горюче смазочные материалы |
тысяч тенге |
|
|
2 |
Затраты на оплату труда, всего |
тысяч тенге |
|
|
В том числе |
|||
|
2.1 |
Заработная плата |
тысяч тенге |
|
|
2.2 |
Социальный налог |
тысяч тенге |
|
|
2.3 |
Социальной отчесление |
тысяч тенге |
|
|
2.4 |
Обязательное социальное медицинское страхование |
тысяч тенге |
|
|
3 |
Амортизация |
тысяч тенге |
|
|
4 |
Прочие затраты, всего |
тысяч тенге |
|
|
В том числе |
|||
|
4.1 |
Запасные части |
тысяч тенге |
|
|
4.2 |
Расходы на содержание автотранспорта |
тысяч тенге |
|
|
4.3 |
Страхование работников |
тысяч тенге |
|
|
4.4 |
Страхование автотранспорта |
тысяч тенге |
|
|
4.5 |
Расходы на канцелярские товары |
тысяч тенге |
|
|
4.6 |
Расходы на услуги типографии |
тысяч тенге |
|
|
4.7 |
Расходы на аренду недвижимости |
тысяч тенге |
|
|
4.8 |
Коммунальные услуги |
тысяч тенге |
|
|
4.9 |
Расходы на охрану объекта |
тысяч тенге |
|
|
4.10 |
Расходы на средства пожаротушения |
тысяч тенге |
|
|
4.11 |
Проездные билеты |
тысяч тенге |
|
|
4.12 |
Медосмотр |
тысяч тенге |
|
|
4.13 |
Ремонт основных средств |
тысяч тенге |
|
|
4.14 |
Обучение кадров |
тысяч тенге |
|
|
II |
Расходы периода |
тысяч тенге |
|
|
5 |
Общие и административные расходы, всего |
тысяч тенге |
|
|
В том числе |
|||
|
5.1 |
Затраты на оплату труда, всего |
тысяч тенге |
|
|
5.2 |
Заработная плата административного управляющего персонала |
тысяч тенге |
|
|
5.3 |
Социальный налог |
тысяч тенге |
|
|
5.4 |
Амортизация |
тысяч тенге |
|
|
5.5 |
Налоговые платежи и сборы |
тысяч тенге |
|
|
5.6 |
Командировочные расходы |
тысяч тенге |
|
|
5.7 |
Услуги связи |
тысяч тенге |
|
|
5.8 |
Оплата аудиторских услуг |
тысяч тенге |
|
|
5.9 |
Услуги банка |
тысяч тенге |
|
|
5.10 |
Другие расходы, всего |
тысяч тенге |
|
|
В том числе |
|||
|
5.10.1 |
Горюче смазочные материалы |
тысяч тенге |
|
|
5.10.2 |
Запасные части |
тысяч тенге |
|
|
5.10.3 |
Расходы на содержание автотранспорта |
тысяч тенге |
|
|
5.10.4 |
Страхование автотранспорта |
тысяч тенге |
|
|
5.10.5 |
Расходы на нотариальные услуги |
тысяч тенге |
|
|
5.10.6 |
Расходы на страхование работников |
тысяч тенге |
|
|
5.10.7 |
Расходы на услуги типографии |
тысяч тенге |
|
|
5.10.8 |
Расходы на периодическую печать |
тысяч тенге |
|
|
5.10.9 |
Расходы на канцелярские расходы |
тысяч тенге |
|
|
5.10.10 |
Расходы на обслуживание 1С |
тысяч тенге |
|
|
5.10.11 |
Расходы на обслуживание оргтехники |
тысяч тенге |
|
|
5.10.12 |
Расходы на услуги почты |
тысяч тенге |
|
|
5.10.13 |
Расходы на прочие материалы |
тысяч тенге |
|
|
5.10.14 |
Расходы на объявления |
тысяч тенге |
|
|
5.10.15 |
Аренда и услуги автотранспорта |
тысяч тенге |
|
|
5.10.16 |
Информационные услуги |
тысяч тенге |
|
|
5.10.17 |
Услуги охраны |
тысяч тенге |
|
|
5.10.18 |
Юридические услуги |
тысяч тенге |
|
|
5.10.19 |
Ремонт основных средств |
тысяч тенге |
|
|
5.10.20 |
Расходы по консультационным услугам |
тысяч тенге |
|
|
5.10.21 |
Услуги по поддержке программного обеспечения |
тысяч тенге |
|
|
5.10.22 |
Услуги по тех. сопровождению оборудования |
тысяч тенге |
|
|
5.10.23 |
Аренда компьютеров/оборудования |
тысяч тенге |
|
|
5.10.24 |
Услуги видеонаблюдения |
тысяч тенге |
|
|
5.10.25 |
Сопровождение оборудования «кол-центра» |
тысяч тенге |
|
|
5.10.26 |
Расходы по обслуживанию «электронной очереди» |
тысяч тенге |
|
|
6 |
Расходы на выплату вознаграждения за заемные средства |
тысяч тенге |
|
|
III |
Всего затрат по снабженческой надбавке |
тысяч тенге |
|
|
IV |
Прибыль |
тысяч тенге |
|
|
V |
Всего доходов |
тысяч тенге |
|
|
VI |
Объем реализации |
тысяч кВт/ч |
|
|
VII |
Сбытовая составляющая без учета налога на добавленную стоимость |
тенге/кВт/ч |
| Приложение 7 к Правилам ценообразования на общественно значимых рынках |
|
| Форма |
Смета расходов на оказание услуг по розничной реализации газа (снабженческая надбавка)
|
№ п/п |
Наименование показателей |
Единица измерения |
Согласовано |
|
I |
Затраты на производство товаров и предоставление услуг, всего |
тысяч тенге |
|
|
В том числе |
тысяч тенге |
||
|
1 |
Материальные затраты, всего |
тысяч тенге |
|
|
В том числе |
тысяч тенге |
||
|
1.1 |
Материалы |
тысяч тенге |
|
|
1.2 |
Топливо |
тысяч тенге |
|
|
1.3 |
Электроэнергия |
тысяч тенге |
|
|
2 |
Затраты на оплату труда, всего |
тысяч тенге |
|
|
В том числе |
|||
|
2.1 |
Заработная плата |
тысяч тенге |
|
|
2.2 |
Социальный налог |
тысяч тенге |
|
|
2.3 |
Социальной отчесление |
тысяч тенге |
|
|
2.4 |
Обязательное социальное медицинское стахование |
тысяч тенге |
|
|
3 |
Амортизация |
тысяч тенге |
|
|
4 |
Ремонт |
тысяч тенге |
|
|
5 |
Услуги сторонних организаций |
тысяч тенге |
|
|
6 |
Прочие затраты (расшифровать) |
тысяч тенге |
|
|
II |
Расходы периода |
тысяч тенге |
|
|
7 |
Общие и административные расходы, всего |
тысяч тенге |
|
|
В том числе |
|||
|
7.1 |
Затраты на оплату труда, всего |
тысяч тенге |
|
|
7.2 |
Заработная плата |
тысяч тенге |
|
|
7.3 |
Социальный налог |
тысяч тенге |
|
|
7.4 |
Амортизация |
тысяч тенге |
|
|
7.5 |
Налоги |
тысяч тенге |
|
|
7.6 |
Командировочные расходы |
тысяч тенге |
|
|
7.7 |
Услуги связи |
тысяч тенге |
|
|
7.8 |
Услуги банка |
тысяч тенге |
|
|
7.9 |
Другие расходы (расшифровать) |
тысяч тенге |
|
|
8. |
Расходы на выплату вознаграждений |
тысяч тенге |
|
|
III |
Всего затрат |
тысяч тенге |
|
|
IV |
Прибыль |
тысяч тенге |
|
|
V |
Всего доходов |
тысяч тенге |
|
|
VI |
Объем оказываемых услуг |
В натуральном выражении |
|
|
Сбытовая составляющая (снабженческая надбавка) без учета налога на добавленную стоимость |
Тенге/1000 м3 |
Справочно:
|
Среднесписочная численность персонала, |
Человек |
||
|
в том числе: |
|||
|
производственного |
|||
|
административного |
|||
|
Среднемесячная заработная плата, всего, в том числе |
Тенге |
||
|
производственного персонала |
|||
|
административного персонала |
Примечание: затраты, в зависимости от оказываемой услуги, могут при необходимости расширены и (или) сокращены.
| Приложение 8 к Правилам ценообразования на общественно значимых рынках |
|
| Форма |
Смета расходов субъекта общественно значимого рынка
|
№ п/п |
Наименование показателей |
Единица измерения |
Согласовано |
|
I |
Затраты на производство товаров и предоставление услуг, всего |
тысяч тенге |
|
|
В том числе |
тысяч тенге |
||
|
1 |
Материальные затраты, всего |
тысяч тенге |
|
|
В том числе |
тысяч тенге |
||
|
1.1 |
Материалы |
тысяч тенге |
|
|
1.2 |
Топливо |
тысяч тенге |
|
|
1.3 |
Электроэнергия |
тысяч тенге |
|
|
2 |
Затраты на оплату труда, всего |
тысяч тенге |
|
|
В том числе |
|||
|
2.1 |
Заработная плата |
тысяч тенге |
|
|
2.2 |
Социальный налог |
тысяч тенге |
|
|
2.3 |
Социальный налог |
тысяч тенге |
|
|
2.4 |
Социальной отчесление |
тысяч тенге |
|
|
3 |
Амортизация |
тысяч тенге |
|
|
4 |
Ремонт |
тысяч тенге |
|
|
5 |
Услуги сторонних организаций |
тысяч тенге |
|
|
6 |
Прочие затраты (расшифровать) |
тысяч тенге |
|
|
II |
Расходы периода |
тысяч тенге |
|
|
7 |
Общие и административные расходы, всего |
тысяч тенге |
|
|
В том числе |
|||
|
7.1 |
Затраты на оплату труда, всего |
тысяч тенге |
|
|
7.2 |
Заработная плата |
тысяч тенге |
|
|
7.3 |
Социальный налог |
тысяч тенге |
|
|
7.4 |
Амортизация |
тысяч тенге |
|
|
7.5 |
Налоги |
тысяч тенге |
|
|
7.6 |
Командировочные расходы |
тысяч тенге |
|
|
7.7 |
Услуги связи |
тысяч тенге |
|
|
7.8 |
Услуги банка |
тысяч тенге |
|
|
7.9 |
Другие расходы (расшифровать) |
тысяч тенге |
|
|
8. |
Расходы на выплату вознаграждений |
тысяч тенге |
|
|
III |
Всего затрат |
тысяч тенге |
|
|
IV |
Прибыль |
тысяч тенге |
|
|
V |
Всего доходов |
тысяч тенге |
|
|
VI |
Объем оказываемых услуг |
в натуральном выражении |
Справочно:
|
Среднесписочная численность персонала |
человек |
||
|
В том числе: |
|||
|
Производственного |
|||
|
Административного |
|||
|
Среднемесячная заработная плата, всего, в том числе |
тенге |
||
|
Производственного персонала |
|||
|
Административного персонала |
Примечание: затраты, в зависимости от оказываемой услуги, могут при необходимости расширены и (или) сокращены.
| Приложение 9 к Правилам ценообразования на общественно значимых рынках |
Структура предельной цены розничной реализации товарного газа
(в разрезе филиалов)
Сноска. Приложение 9 — в редакции приказа и.о. Министра национальной экономики РК от 31.03.2023 № 42 (вводится в действие по истечении шестидесяти календарных дней после дня его первого официального опубликования).
|
№ |
Наименование |
Единица измерения |
Уровень |
|
1 |
Предельная цена оптовой реализации товарного газа |
тенге/1000 м3 |
|
|
2 |
Тариф на транспортировку товарного газа по газораспределительным системам |
||
|
3 |
Затраты на розничную реализацию товарного газа (снабженческая надбавка) |
||
|
4 |
Итого предельная цена товарного газа, в том числе: |
||
|
Без учета тарифа на транспортировку товарного газа по газораспределительным системам |
|||
|
1 |
Бытовые потребители (население) |
||
|
2 |
Теплоэнергетические компании в объемах потребления товарного газа на производство тепловой энергии для населения |
||
|
3 |
Теплоэнергетические компании в объемах потребления товарного газа на производство тепловой энергии для юридических лиц |
||
|
4 |
Теплоэнергетические компании в объемах потребления товарного газа на производство электрической энергии |
||
|
5 |
Прочие юридические лица, не входящие в I, II, III, IV, VI, VII, VIII и IX группы потребителей |
||
|
6 |
Бюджетные организации, содержащиеся за счет бюджетных средств |
||
|
7 |
Юридические лица, приобретающие товарный газ для использования в качестве топлива и (или) сырья в промышленном производстве в целях реализации инвестиционных проектов по производству нефтегазохимической продукции и включенные в перечень, утверждаемый уполномоченным органом |
||
|
8 |
Юридические лица, приобретающее товарный газ для производства компримированного и (или) сжиженного природного газа в целях дальнейшей реализации потребителям |
||
|
9 |
Бытовые потребители (население), получающие государственную адресную социальную помощь и (или) жилищную помощь |
||
|
10 |
Крупные коммерческие потребители |
||
|
11 |
Лица, осуществляющие цифровой майнинг, или лица по производству электрической энергии для осуществления цифрового майнинга |
||
|
С учетом тарифа на транспортировку товарного газа по газораспределительным системам |
|||
|
1. |
Бытовые потребители (население) |
||
|
2. |
Теплоэнергетические компании в объемах потребления товарного газа на производство тепловой энергии для населения |
||
|
3. |
Теплоэнергетические компании в объемах потребления товарного газа на производство тепловой энергии для юридических лиц |
||
|
4. |
Теплоэнергетические компании в объемах потребления товарного газа на производство электрической энергии |
||
|
5. |
Прочие юридические лица, не входящие в I, II, III, IV, VI, VII, VIII и IX группы потребителей |
||
|
6. |
Бюджетные организации, содержащиеся за счет бюджетных средств |
||
|
7. |
Юридические лица, приобретающие товарный газ для использования в качестве топлива и (или) сырья в промышленном производстве в целях реализации инвестиционных проектов по производству нефтегазохимической продукции и включенные в перечень, утверждаемый уполномоченным органом |
||
|
8. |
Юридические лица, приобретающее товарный газ для производства компримированного и (или) сжиженного природного газа в целях дальнейшей реализации потребителям |
||
|
9. |
Бытовые потребители (население), получающие государственную адресную социальную помощь и (или) жилищную помощь |
||
|
10 |
Крупные коммерческие потребители |
||
|
11 |
Лица, осуществляющие цифровой майнинг, или лица по производству электрической энергии для осуществления цифрового майнинга |
||
Примечание: В случае приобретения потребителями товарного газа без учета тарифа на транспортировку товарного газа по газораспределительным системам.
| Приложение 10 к Правилам ценообразования на общественно значимых рынках |
|
| Форма |
Проект инвестиционной программы субъекта общественно значимого рынка
|
№ |
Информация о реализации инвестиционной программы (проекта) в разрезе источников финансирования, тысяч тенге |
||||||
|
Наименование мероприятий |
Единица измерения (для натуральных показателей) |
Количество в натуральных показателях |
Сумма инвестиционной программы (проекты), тысяч тенге |
Собственные средства |
Заемные средства |
Бюджетные средства |
|
|
1 |
2 |
3 |
4 |
5 |
6 |
7 |
8 |
|
1.1 |
|||||||
|
… |
|||||||
|
2. |
|||||||
|
… |
|||||||
Руководитель организации ____________________________________________
(фамилия, имя, отчество (при наличии), подпись, дата)
| Приложение 11 к Правилам ценообразования на общественно значимых рынках |
Расчет предельной цены на товары (работы, услуги) субъектов общественно значимого рынка
1. Для расчета предельной цены на товары (работы, услуги) субъектов общественно значимого рынка применяется формула:
где:
Zi – цена на услугу i;
Ci – себестоимость услуги i;
Pi – прибыль на услугу i.
2. Формирование предельной цены на товары (работы, услуги) субъекта общественно значимого рынка осуществляется с учетом требований Предпринимательского кодекса Республики Казахстан, в том числе Правил.
3. Себестоимость предоставления услуг (товаров, работ) субъектов общественно значимого рынка рассчитывается по формуле:
где:
Ci – себестоимость единицы i услуги предоставляемой за анализируемый период времени.
Sij – сумма экономически обоснованных затрат, определяемая, исходя из технологического процесса создания (задействования элементов сети) i услуги предоставляемой за анализируемый период времени;
Nij – планируемый и (или) фактический годовой объем предоставления регулируемой i услуги, определяемый в установленном законодательством порядке, подтвержденный договорами, заключенными субъектом общественно значимого рынка с потребителями услуг, протоколами намерений и расчетами исходя из возможностей субъекта общественно значимого рынка, недопустимости снижения объемов с целью поддержания или роста уровня цен, предоставляемой за анализируемый период времени, в натуральных показателях.
4. Уровень прибыли на i услугу, включаемый субъектом общественно значимого рынка предельную цену, ограничивается с учетом средств, необходимых для реализации инвестиционной программы (проекта).
В случае отсутствия у субъекта общественно значимого рынка инвестиционной программы (проекта), уровень прибыли субъекта общественно значимого рынка, включаемой в предельную цену, определяется, исходя из факторов социально-экономического развития Республики Казахстан.
| Приложение 12 к Правилам ценообразования на общественно значимых рынках |
Расчет предельной цены розничной реализации товарного газа субъектов общественно значимого рынка
Сноска. Приложение 12 — в редакции приказа Заместителя Премьер-Министра — Министра национальной экономики РК от 24.12.2024 № 110 (вводится в действие по истечении десяти календарных дней после дня его первого официального опубликования).
1. Расчет предельной цены розничной реализации товарного газа субъектов осуществляется с учетом дифференциации цен розничной реализации товарного газа с I по VI и IX групп потребителей путем дифференциации предельных цен оптовой реализации товарного газа на внутреннем рынке, утверждаемых в соответствии с подпунктом 7) статьи 6 Закона Республики Казахстан «О газе и газоснабжении» (с учетом тарифа на транспортировку по магистральным газопроводам и хранение газа) отдельно для каждой области, города республиканского значения, столицы (далее – оптовых цен). Дифференциация оптовых цен для VII, VIII, X, XI, XII групп потребителей не осуществляется.
2. Формирование предельной цены розничной реализации товарного газа осуществляется в соответствии с Правилами.
3. В целях установления дифференцированной предельной цены розничной реализации товарного газа выделены следующие группы потребителей:
I группа потребителей – бытовые потребители (население), получающие услуги по розничной реализации товарного газа с газораспределительной системы;
II группа потребителей – теплоэнергетические компании, приобретающие товарный газ, в целях выработки тепловой энергии для населения (далее – ТЭК для населения);
III группа потребителей – теплоэнергетические компании, приобретающие товарный газ, в целях выработки тепловой энергии для юридических лиц (далее – ТЭК для юридических лиц);
IV группа потребителей – теплоэнергетические компании, приобретающие товарный газ, для производства электрической энергии;
V группа потребителей – прочие потребители, не входящие в I, II, III, IV, VI, VII, VIII, IX, X и XI группы потребителей;
VI группа потребителей – бюджетные организации, содержащиеся за счет бюджетных средств;
VII группа потребителей – юридические лица, приобретающие товарный газ для использования в качестве топлива и (или) сырья в промышленном производстве в целях реализации инвестиционных проектов по производству нефтегазохимической продукции и включенные в перечень, утверждаемый уполномоченным органом в области газоснабжения;
VIII группа потребителей – юридические лица, приобретающие товарный газ для производства компримированного и (или) сжиженного природного газа в целях дальнейшей реализации потребителям.
IX группа потребителей – бытовые потребители (население), получающие государственную адресную социальную помощь и (или) жилищную помощь.
Для IX группы потребителей рост цены на товарный газ не превышает нижний порог коридора Прогноза социально-экономического развития Республики Казахстан (инфляции) соответствующего года.
Х группа потребителей – крупные коммерческие потребители;
Предельные цены, устанавливаемые для крупных коммерческих потребителей, не распространяются на отношения по реализации товарного газа, необходимого для производства:
социально значимых продовольственных товаров;
тепловой и (или) электрической энергии для населения и юридических лиц, кроме лиц, осуществляющих цифровой майнинг.
XI группа потребителей – лица, осуществляющие цифровой майнинг или лица по производству электрической энергии для осуществления цифрового майнинга.
XII группа потребителей – отдельные крупные коммерческие потребители.
4. Предельная цена розничной реализации товарного газа для каждой группы потребителей определяется в соответствии с Правилами и подразделяется в зависимости от приобретения потребителями товарного газа без учета транспортировки товарного газа по газораспределительным системам и с учетом транспортировки товарного газа по газораспределительным системам.
5. Со II по VIII и с Х по XI группой потребителей заключается отдельный договор на транспортировку газа по газораспределительной системе.
6. Структура предельной цены розничной реализации товарного газа для I группы потребителей для населения состоит из:
оптовой цены розничной реализации товарного газа с учетом ее дифференциации для I группы потребителей;
затрат газораспределительной организации по реализации товарного газа;
тарифа на транспортировку товарного газа по газораспределительным системам.
7. Структура предельной цены розничной реализации товарного газа для II по VI и IX группы потребителей, состоит из:
оптовой цены розничной реализации товарного газа с учетом ее дифференциации;
затрат газораспределительной организации по реализации товарного газа;
тарифа на транспортировку товарного газа по газораспределительной системе (в случае приобретения промышленным потребителям и ТЭК товарного газа по газораспределительным системам).
8. Структура предельной цены розничной реализации товарного газа для VII группы потребителей состоит из:
предельной цены оптовой реализации товарного газа для VII группы потребителей, утвержденной уполномоченным органом в области газоснабжения в соответствии с подпунктом 7) статьи 6 Закона Республики Казахстан «О газе и газоснабжении»;
затрат газораспределительной организации по реализации товарного газа;
тарифа на транспортировку товарного газа по газораспределительной системе (в случае приобретения юридическими лицами, приобретающие товарный газ для использования в качестве топлива и (или) сырья в промышленном производстве в целях реализации инвестиционных проектов по производству нефтегазохимической продукции и включенные в перечень, утверждаемый уполномоченным органом).
9. Структура предельной цены розничной реализации товарного газа для VIII группы потребителей состоит из:
предельной цены оптовой реализации товарного газа для VIII группы потребителей, утвержденной уполномоченным органом в области газоснабжения;
затрат газораспределительной организации по реализации товарного газа;
тарифа на транспортировку товарного газа по газораспределительной системе (в случае приобретения юридическим лицом, приобретающее товарный газ для производства компримированного и (или) сжиженного природного газа в целях дальнейшей реализации потребителям).
10. Структура предельной цены розничной реализации товарного газа для X группы потребителей состоит из:
предельной цены оптовой реализации товарного газа для X группы потребителей, утвержденной уполномоченным органом в области газоснабжения;
затрат газораспределительной организации по реализации товарного газа;
тарифа на транспортировку товарного газа по газораспределительной системе (в случае приобретения крупным коммерческим потребителем товарного газа по газораспределительным системам).
11. Структура предельной цены розничной реализации товарного газа для XI группы потребителей состоит из:
предельной цены оптовой реализации товарного газа для XI группы потребителей, утвержденной уполномоченным органом в области газоснабжения;
затрат газораспределительной организации по реализации товарного газа;
тарифа на транспортировку товарного газа по газораспределительной системе (в случае приобретения лицом, осуществляющим цифровой майнинг, или лицом по производству электрической энергии для осуществления цифрового майнинга товарного газа по газораспределительным системам).
12. Структура предельной цены розничной реализации товарного газа для XII группы потребителей состоит из:
предельной цены оптовой реализации товарного газа для отдельных крупных коммерческих, установленной уполномоченным органом в области газоснабжения;
затрат газораспределительной организации по реализации товарного газа;
тарифа на транспортировку товарного газа по газораспределительной системе (в случае приобретения отдельными крупными коммерческими потребителями товарного газа по газораспределительным системам).
13. Дифференцирование оптовых цен товарного газа осуществляется, в случае изменения цен оптовой реализации газа, в соответствии с подпунктом 7) статьи 6 Закона Республики Казахстан «О газе и газоснабжении».
14. Расчет дифференцированных оптовых закупочных цен для I группы потребителей осуществляется по формуле:
С учетом тарифа на транспортировку товарного газа по газораспределительным системам:
ЦдифI = (ЦдозI х k) -Н-Т,
Без учета тарифа на транспортировку товарного газа по газораспределительным системам:
ЦдифI = (ЦдозI х k) –Н, где:
ЦдифI – расчетная дифференцированная оптовая цена товарного газа для I группы потребителей (тенге/1000 м3);
ЦдозI – действующая предельная цена товарного газа для I группы потребителей (тенге/1000 м3);
Н – затраты на реализацию товарного газа газораспределительной организации, определяемые в соответствии с настоящими Правилами;
Т – утвержденный в установленном законодательством порядке тариф на транспортировку товарного газа по газораспределительным системам;
k – коэффициент изменения предельной цены реализации товарного газа для I группы потребителей, определяемый на основании социально-экономических факторов ценообразования на внутреннем рынке Республики Казахстан.
15. Расчет дифференцированных оптовых цен товарного газа для II группы потребителей осуществляется по формуле:
С учетом тарифа на транспортировку товарного газа по газораспределительным системам:
Цдиф II = (ЦдозII х k1) -Н-Т,
Без учета тарифа на транспортировку товарного газа по газораспределительным системам:
Цдиф II = (ЦдозII х k1) –Н, где:
Цдиф II – расчетная дифференцированная оптовая цена товарного газа для II группы потребителей (тенге/1000 м3);
ЦдозII – действующая предельная цена товарного газа для II группы потребителей (тенге/1000 м3);
Н – затраты на реализацию товарного газа газораспределительной организации, определяемые в соответствии с настоящими Правилами;
Т – утвержденный в установленном законодательством порядке тариф на транспортировку товарного газа по газораспределительным системам;
k1 – коэффициент изменения предельной цены реализации товарного газа, определяемый на основании социально-экономических факторов ценообразования на внутреннем рынке Республики Казахстан.
16. Расчет дифференцированных оптовых закупочных цен для III группы потребителей осуществляется по формуле:
С учетом тарифа на транспортировку товарного газа по газораспределительным системам:
ЦдифIII = (ЦдозIII х k2) -Н-Т,
Без учета тарифа на транспортировку товарного газа по газораспределительным системам:
ЦдифIII = (ЦдозIII х k2) –Н, где:
ЦдифIII – расчетная дифференцированная оптовая цена товарного газа для III группы потребителей (тенге/1000 м3);
ЦдозIII – действующая цена товарного газа для III группы потребителей (тенге/1000 м3);
Н – затраты на реализацию товарного газа газораспределительной организации определяемой в соответствии с Правилами;
Т – утвержденный в установленном законодательством порядке тариф на транспортировку товарного газа по газораспределительным системам;
k2 – коэффициент изменения предельной цены реализации товарного газа, определяемый на основании социально-экономических факторов ценообразования на внутреннем рынке Республики Казахстан.
17. Расчет дифференцированных оптовых цен товарного газа для IV группы потребителей осуществляется по формуле:
С учетом тарифа на транспортировку товарного газа по газораспределительным системам:
Цдиф IV = (Цдоз IV х k3) -Н-Т,
Без учета тарифа на транспортировку товарного газа по газораспределительным системам:
Цдиф IV = (Цдоз IV х k3) –Н, где:
Цдиф IV – расчетная дифференцированная оптовая цена товарного газа для IV группы потребителей (тенге/1000 м3);
Цдоз IV – действующая предельная цена товарного газа для IV группы потребителей (тенге/1000 м3);
Н – затраты на реализацию товарного газа газораспределительной организации, определяемые в соответствии с настоящими Правилами;
Т – утвержденный в установленном законодательством порядке тариф на транспортировку товарного газа по газораспределительным системам;
k3 – коэффициент изменения предельной цены реализации товарного газа, определяемый на основании социально-экономических факторов ценообразования на внутреннем рынке Республики Казахстан.
18. Расчет дифференцированных оптовых цен товарного газа для V группы потребителей осуществляется по формуле:
С учетом тарифа на транспортировку товарного газа по газораспределительным системам:
Цдиф V = (Цдоз V* k4) -Н-Т,
Без учета тарифа на транспортировку товарного газа по газораспределительным системам:
Цдиф V = (Цдоз V* k4) –Н, где:
Цдиф IV – расчетная дифференцированная оптовая цена товарного газа для V группы потребителей (тенге/1000 м3);
Цдоз V – действующая предельная цена товарного газа для V группы потребителей (тенге/1000 м3);
Н – затраты на реализацию товарного газа газораспределительной организации, определяемые в соответствии с настоящими Правилами;
Т – утвержденный в установленном законодательством порядке тариф на транспортировку товарного газа по газораспределительным системам;
k4 – коэффициент изменения предельной цены реализации товарного газа, определяемый на основании социально-экономических факторов ценообразования на внутреннем рынке Республики Казахстан.
19. Расчет дифференцированных оптовых цен товарного газа для VI группы потребителей осуществляется по формуле:
ЦдифVI = (Vобщ-год х Цоз – (VI-год х ЦдифI) — (VII-год х Цдиф II) – (VIII-год х Цдиф III) – (VIV-год х Цдиф IV) – (VV-год х Цдиф V)) / VVI, где:
ЦдифVI – расчетная дифференцированная оптовая цена товарного газа для VI группы потребителей (тенге/1000 м3);
Vобщ-год – общий планируемый объем реализации товарного газа на год (1000 м3);
Цоз – утвержденная уполномоченным органом в области газоснабжения оптовая цена товарного газа (тенге/1000 м3);
ЦдифI – расчетная дифференцированная оптовая цена товарного газа для I группы потребителей (тенге/м3);
Цдиф II – расчетная дифференцированная оптовая цена товарного газа для II группы потребителей (тенге/1000 м3);
Цдиф III – расчетная дифференцированная оптовая цена товарного газа для III группы потребителей (тенге/1000 м3);
Цдиф IV – расчетная дифференцированная оптовая цена товарного газа для IV группы потребителей (тенге/1000 м3);
Цдиф V – расчетная дифференцированная оптовая цена товарного газа для V группы потребителей (тенге/1000 м3);
VI-год – планируемый объем реализации товарного газа на год для I группы потребителей (1000 м3);
VII-год – планируемый объем реализации товарного газа на год для II группы потребителей (1000 м3);
VIII-год – планируемый объем реализации товарного газа на год для III группы потребителей (1000 м3);
VIV-год – планируемый объем реализации товарного газа на год для IV группы потребителей (1000 м3);
VV-год – планируемый объем реализации товарного газа на год для V группы потребителей (1000 м3);
VVI-год – планируемый объем реализации товарного газа на год для VI группы потребителей (1000 м3).
20. Расчет предельной цены розничной реализации товарного газа для VII группы потребителей осуществляется по формуле:
С учетом тарифа на транспортировку товарного газа по газораспределительным системам:
Ц VII = ЦозVII+Н+Т,
Без учета тарифа на транспортировку товарного газа по газораспределительным системам:
Ц VII = ЦозVII+Н, где:
Ц VII – предельная цена розничной реализации товарного газа для VII группы потребителей (тенге/1000 м3);
ЦоптVII – предельная оптовая цена, для VII группы потребителей, утвержденная уполномоченным органом в области газоснабжения;
Н–затраты на реализацию товарного газа газораспределительной организации, определяемые в соответствии с настоящими Правилами (тенге/1000 м3);
Т – утвержденный в установленном законодательством порядке тариф на транспортировку товарного газа по газораспределительным системам (тенге/1000 м3).
21. Расчет предельной цены розничной реализации товарного газа для VIII группы потребителей осуществляется по формуле:
С учетом тарифа на транспортировку товарного газа по газораспределительным системам:
Ц VIII = ЦозVIII+Н+Т,
Без учета тарифа на транспортировку товарного газа по газораспределительным системам:
Ц VIII = ЦозVIII+Н, где:
Ц VIII – предельная цена розничной реализации товарного газа для VIII группы потребителей (тенге/1000 м3);
ЦоптVIII – предельная оптовая цена, для VIII группы потребителей, утвержденная уполномоченным органом в области газоснабжения;
Н – затраты на реализацию товарного газа газораспределительной организации, определяемые в соответствии с настоящими Правилами (тенге/1000 м3).
22. Расчет дифференцированных оптовых закупочных цен для IX группы потребителей осуществляется по формуле:
С учетом тарифа на транспортировку товарного газа по газораспределительным системам:
Цдиф IX = (ЦдифI / kс) -Н-Т,
Без учета тарифа на транспортировку товарного газа по газораспределительным системам:
Цдиф IX = (ЦдифI / kс) –Н, где:
Цдиф IX – расчетная дифференцированная оптовая цена товарного газа для IX группы потребителей (тенге/1000 м3);
ЦдифI – проектная предельная цена товарного газа для I группы потребителей (тенге/1000 м3);
Н – затраты на реализацию товарного газа газораспределительной организации, определяемые в соответствии с настоящими Правилами;
Т – утвержденный в установленном законодательством порядке тариф на транспортировку товарного газа по газораспределительным системам;
kс – коэффициент изменения предельной цены реализации товарного газа для IX группы потребителей.
23. Расчет предельной цены розничной реализации товарного газа для X группы потребителей осуществляется по формуле:
С учетом тарифа на транспортировку товарного газа по газораспределительным системам:
Ц X = ЦоптX+Н+Т,
Без учета тарифа на транспортировку товарного газа по газораспределительным системам:
Ц X = ЦоптX+Н, где:
Ц X – предельная цена розничной реализации товарного газа для X группы потребителей (тенге/1000 м3);
ЦоптX – предельная цена оптовой реализации товарного газа для X группы потребителей, утвержденная уполномоченным органом в области газоснабжения;
Н – затраты на реализацию товарного газа газораспределительной организации, определяемые в соответствии с настоящими Правилами (тенге/1000 м3);
Т – утвержденный в установленном законодательством порядке тариф на транспортировку товарного газа по газораспределительным системам (тенге/1000 м3).
24. Расчет предельной цены розничной реализации товарного газа для XI группы потребителей осуществляется по формуле:
С учетом тарифа на транспортировку товарного газа по газораспределительным системам:
Ц XI = ЦоптXI+Н+Т,
Без учета тарифа на транспортировку товарного газа по газораспределительным системам:
Ц XI = ЦоптXI+Н, где:
Ц XI – предельная цена розничной реализации товарного газа для XI группы потребителей (тенге/1000 м3);
ЦоптXI – предельная цена оптовой реализации товарного газа для XI группы потребителей, утвержденная уполномоченным органом в области газоснабжения;
Н – затраты на реализацию товарного газа газораспределительной организации, определяемые в соответствии с настоящими Правилами (тенге/1000 м3);
Т – утвержденный в установленном законодательством порядке тариф на транспортировку товарного газа по газораспределительным системам (тенге/1000 м3).
25. Расчет предельной цены розничной реализации товарного газа для XII группы потребителей осуществляется по формуле:
С учетом тарифа на транспортировку товарного газа по газораспределительным системам:
Ц XII = Цопт+Н+Т,
Без учета тарифа на транспортировку товарного газа по газораспределительным системам:
Ц XII = Цопт+Н, где:
Ц XII – предельная цена розничной реализации товарного газа для отдельных крупных коммерческих потребителей (тенге/1000 м3);
Цопт – предельная цена оптовой реализации товарного газа для XII группы потребителей, утвержденная уполномоченным органом в области газоснабжения;
Н – затраты на реализацию товарного газа газораспределительной организации, определяемые в соответствии с настоящими Правилами (тенге/1000 м3);
Т – утвержденный в установленном законодательством порядке тариф на транспортировку товарного газа по газораспределительным системам (тенге/1000 м3).
| Приложение 12-1 Правилам ценообразования на общественно значимых рынках |
Расчет предельной цены Субъекта в области централизованной покупки и централизованной продажи электрической энергии в части затрат, связанных с осуществлением деятельности
Сноска. Правила дополнены приложением 12-1 в соответствии с приказом Министра национальной экономики РК от 04.08.2023 № 145 (вводится в действие по истечении десяти календарных дней после дня его первого официального опубликования).
1. Для расчета предельной цены Субъекта в области централизованной покупки и централизованной продажи электрической энергии в части затрат, связанных с осуществлением его деятельности применяется формула:
где:
– предельная цена централизованной продажи электрической энергии, в тенге на кВтч без НДС (округляется с точностью до 4 знаков после запятой);
– объем электрической энергии, планируемый к покупке Субъектом у i-го субъекта оптового рынка электрической энергии, в кВтч;
— обоснованные затраты Субъекта в календарном году, связанные с осуществлением его деятельности по централизованной покупке и централизованной продаже электрической энергии, в тенге, сформированные согласно настоящим Правилам;
– суммы по i;
i – порядковый номер, изменяющийся от 1 до r;
r – количество субъектов оптового рынка электрической энергии, планирующих покупку электрической энергии у Субъекта за соответствующий календарный год.
| Приложение 12-2 Правилам ценообразования на общественно значимых рынках |
Расчет предельной цены Субъекта в области централизованной покупки услуги по поддержанию готовности электрической мощности и централизованной продажи услуги по обеспечению готовности электрической мощности к несению нагрузки в части затрат, связанных с осуществлением деятельности
Сноска. Правила дополнены приложением 12-2 в соответствии с приказом Министра национальной экономики РК от 04.08.2023 № 145 (вводится в действие по истечении десяти календарных дней после дня его первого официального опубликования).
1. Для расчета предельной цены Субъекта в области централизованной покупки услуги по поддержанию готовности электрической мощности и централизованной продажи услуги по обеспечению готовности электрической мощности к несению нагрузки в части затрат, связанных с осуществлением его деятельности применяется формула:
где:
– предельная цена централизованной продажи услуги по обеспечению готовности электрической мощности к несению нагрузки, в тенге на МВт в мес;
— максимальная в предстоящем календарном году электрическая мощность потребления, указанная в соответствующей прогнозной заявке на потребление i-той энергоснабжающей, энергопередающей организации и потребителя, являющегося субъектом оптового рынка электрической энергии, направленной системному оператору в текущем календарном году согласно законодательству в области электроэнергетики, в МВт;
— обоснованные затраты Субъекта в предстоящем календарном году, связанные с осуществлением его деятельности по централизованной продаже услуги по обеспечению готовности электрической мощности к несению нагрузки, из расчета на один мегаватт в месяц электрической мощности, сформированные согласно настоящим Правилам;
— суммы по i;
i — порядковый номер, изменяющийся от 1 до r;
r — общее количество субъектов оптового рынка, предоставивших прогнозную заявку на потребление.
| Приложение 13 к приказу Министра национальной экономики Республики Казахстан от 1 февраля 2017 года № 36 |
Расчет предельный цены на розничную реализацию электрической энергии (электроснабжение) субъектов общественно значимого рынка
Сноска. Приложение 13 — в редакции приказа Заместителя Премьер-Министра — Министра национальной экономики РК от 27.12.2024 № 116 (вводится в действие по истечении десяти календарных дней после дня его первого официального опубликования).
1. Расчет предельной цены розничной реализации электрической энергии субъектов общественно значимого рынка осуществляется с учетом дифференциации цен розничной реализации электрической энергии по группам потребителей.
Дифференциация энергоснабжающими организациями тарифов на электрическую энергию в зависимости от объемов ее потребления физическими лицами осуществляется в соответствии с Правилами дифференциации энергоснабжающими организациями тарифов на электрическую энергию в зависимости от объемов ее потребления физическими лицами, утвержденными приказом Председателя Агентства Республики Казахстан по регулированию естественных монополий от 20 февраля 2009 года № 57-ОД (зарегистрирован в Реестре государственной регистрации нормативных правовых актов за № 5602).
2. Формирование предельной цены розничной реализации электрической энергии энергоснабжающими организациями осуществляется в соответствии с Правилами.
3. В целях установления дифференцированной предельной цены розничной реализации электрической энергии энергоснабжающими организациями выделены следующие группы потребителей:
1 группа потребителей – бытовые потребители, использующие электрическую энергию для собственных бытовых нужд, не связанных с производством (продажей) товаров, работ и предоставлением услуг;
2 группа потребителей – потребители, использующие электрическую энергию не для бытовых нужд;
3 группа потребителей – юридические лица, финансируемые из государственного бюджета.
4. Отпускной тариф применяется для:
потребителей, расположенных на территории специальных экономических и индустриальных зонах;
подведомственных организаций Управления делами Президента Республики Казахстан и его ведомств;
производителей социально значимых продовольственных товаров.
Расчет дифференцированных предельных цен розничной реализации электрической энергии по группам потребителей.
5. Расчет дифференцированных предельных цен на электроэнергию для первой группы потребителей осуществляется с учетом коэффициента изменения предельной цены на электрическую энергию для первой группы потребителей, ведомством уполномоченного органа и/или территориальным подразделением ведомства уполномоченного органа определяется по формуле:
Цдиф1 = Zдейств. * k, тенге/кВтч (без НДС), где:
Zдейств. – действующая цена для первой группы, тенге/кВтч (без НДС);
k – коэффициент изменения предельной цены на электрическую энергию для первой группы потребителей, определяемый ведомством уполномоченного органа или территориальным подразделением ведомства уполномоченного органа с учетом:
1) уровня платежеспособности населения соответствующего региона;
2) влияния на инфляцию;
3) уровня развития промышленного производства;
4) создания стимулов для энергосбережения.
6. Расчет предельной цены на электроэнергию для второй группы потребителей (в случае отсутствия третьей группы потребителей), осуществляется по формуле:
Цдиф2 = ((Zi *Vобщ.год) – (Цдиф1 *V1)) /V2, тенге/кВт.ч (без НДС), где:
Zi – предельная цена, без дифференциации по группам потребителей;
Vобщ.год – планируемый годовой объем реализации электроэнергии энергоснабжающей организацией, кВтч;
V1 – планируемый объем электрической энергии первой группы потребителей, кВтч;
V2 – планируемый объем электрической энергии второй группой потребителей, кВтч;
7. Расчет предельной цены на электроэнергию для третьей группы потребителей при отсутствии второй группы потребителей, осуществляется по формуле:
Цдиф 3 = ((Zi * Vобщ.год) – (Цдиф1 *V1)) /V3 тенге/кВт.ч (без НДС), где:
V3 – планируемый объем электрической энергии третьей группы потребителей, кВтч;
8. Расчет предельной цены на электроэнергию для второй и третьей групп потребителей, в случае наличия второй и третьей групп потребителей, осуществляется по формулам:
Цдиф3 = ((Zi * Vобщ.год) – (Цдиф1 * V1) – (Цдиф2 * V2)) / V3, тенге/кВт.ч. (без НДС).
Контрольный пример расчета предельных цен розничной реализации электрической энергии субъектов общественно значимого рынка по группам потребителей
Пример:
Исходные данные:
Zi = 16,50 тенге/кВтч (без НДС)
Zдейств = 14,00 тенге/кВтч (без НДС)
K = 1,07
Vобщ.год = 2 377 млн.кВтч, в том числе:
V1 = 750,8 млн.кВтч.
VIII = 1 627 млн.кВтч.
Дополнительные данные для расчета предельной цены на электроэнергию для второй и третьей группы потребителей (в случае их наличия):
VII = 800,0 млн.кВтч.
VIII = 827,0 млн.кВтч.
Цдиф III = 15,28 тенге/кВтч (без НДС).
1. Расчет предельной цены на электроэнергию для первой группы потребителей осуществляется по формуле:
ЦдифI = Zдейств. * k, тенге/кВтч. (без НДС) ЦдифI = 14,0 * 1,07 = 14,98
2. Расчет предельной цены на электроэнергию для третьей группы потребителей при отсутствии второй группы потребителей, осуществляется по формуле:
Цдиф III = ((Zi * Vобщ.год) – (ЦдифI *VI)) / VIII тенге/кВт.ч. (без НДС)
Цдиф III = ((16,50 * 2 377,8) – (14,98 * 750,8)) /1 627 = 17,20 тенге/кВт.ч. (без НДС).
3. Расчет предельной цены на электроэнергию для второй и третьей групп потребителей (в случае наличия обеих групп потребителей), осуществляется по формулам:
Цдиф2 = Zi, тенге/кВтч
Цдиф2 = 16,50 тенге/кВтч (без НДС).
Цдиф3 = ((Zi * Vобщ.год) – (Цдиф1 * V1) – (Цдиф2 * V2))/V3
Цдиф3 = ((16,50 * 2377,8) – (14,98 * 750,8) – (16,50 * 800))/827 = 17,88 тенге/кВтч (без НДС).
Примечание:
Дифференциация энергоснабжающими организациями тарифов на электрическую энергию в зависимости от объемов ее потребления физическими лицами осуществляется в соответствии с Правилами дифференциации энергоснабжающими организациями тарифов на электрическую энергию в зависимости от объемов ее потребления физическими лицами, утвержденными приказом Председателя Агентства Республики Казахстан по регулированию естественных монополий от 20 февраля 2009 года № 57-ОД (зарегистрирован в Реестре государственной регистрации нормативных правовых актов за № 5602).
| Приложение 14 к Правилам ценообразования на общественно значимых рынках |
Расчет предельный цены на услуги субъектов общественно значимого рынка по перевозке грузов железнодорожным транспортом и локомотивной тяги, за исключением услуг по предоставлению в аренду железнодорожных грузовых вагонов и услуг оператора вагонов (контейнеров), услуг по перевозке грузов железнодорожным транспортом в транзитном сообщении через территорию Республики Казахстан, услуг по перевозке грузов в контейнерах, контрейлерными отправками, порожних контейнеров и порожних фитинговых платформ железнодорожным транспортом
1. Расчет предельной цены по услуге перевозка грузов железнодорожным транспортом и локомотивной тяги, за исключением услуг по предоставлению в аренду железнодорожных грузовых вагонов и услуг оператора вагонов (контейнеров), услуг по перевозке грузов железнодорожным транспортом в транзитном сообщении через территорию Республики Казахстан, услуг по перевозке грузов в контейнерах, контрейлерными отправками, порожних контейнеров и порожних фитинговых платформ железнодорожным транспортом (далее – Услуга) осуществляется с учетом дифференциации цен в зависимости от рода перевозимых грузов и типа подвижного состава.
1-1. При расчете предельной цены по услуге локомотивной тяги при перевозке пассажиров учитываются субсидии, выделяемые Субъекту из государственного бюджета, а также временная балансирующая плата, выплачиваемая Субъекту в соответствии с законодательством о железнодорожном транспорте, которые принимаются в уменьшение затратной части цены, за исключением субсидий, направленных на расходы, не учтенные в затратной части цены.
В смете расходов указывается общая сумма временной балансирующей платы, выплачиваемая Субъекту, и в том числе сумма временной балансирующей платы, учитываемая при расчете предельной цены.
В случае увеличения расходов Субъекта в связи с передачей производственных функций в аутсорсинг, ведомством уполномоченного органа при формировании предельной цены в себестоимости учитываются расходы на основе сравнительного анализа показателей деятельности Субъекта, занимающегося аналогичным видом деятельности на всей территории Республики Казахстан.
2. Формирование предельной цены на Услугу осуществляется в соответствии с настоящими Правилами.
3. В целях установления дифференцированной предельной цены на Услугу в зависимости от рода перевозимых грузов выделены следующие рода перевозимого груза:
Коэффициенты к ставкам за пользование локомотивной тяги и (или) грузовой и коммерческой работы при перевозке грузов железнодорожным транспортом
| Форма |
|
№ п/п |
Наименования груза |
Код тарифной группы и позиции по Единой тарифно-статистической номенклатуре грузов (ЕТСНГ) |
Коэффициенты к расчетным таблицам за пользование локомотивной тяги |
Коэффициенты к расчетным таблицам за услуги грузовой и коммерческой работы |
|
1 |
2 |
3 |
4 |
5 |
|
I |
Повагонными, мелкими и малотоннажными отправками |
|||
|
1 |
Нефть сырая |
201 |
||
|
2 |
Нефтепродукты |
211-215, 221-225, 226021, 226069, 226106 |
||
|
3 |
Цветные металлы и прокат из них |
331-332 |
||
|
4 |
Черные металлы и прокат из них |
311-313, 321-324 |
||
|
5 |
Лом цветных и черных металлов |
316,333 |
||
|
6 |
Глинозем |
151060 |
||
|
7 |
Сырье табака и махорки, изделий из них |
072, 517 |
||
|
8 |
Спирт, напитки алкогольные |
591-594 |
||
|
9 |
Волокно хлопковое |
611 |
||
|
10 |
Сжиженный газ |
226, кроме 226021, 226069, 226106 |
||
|
11 |
Уголь каменный |
161 |
||
|
12 |
Зерновые |
011-018 |
||
|
13 |
Сырье, материалы и изделия строительные |
121-122, 253-255, 301-304 |
||
|
14 |
Железная руда |
141, 142 |
||
|
15 |
Цветная руда |
151-153, кроме 151060 |
||
|
16 |
Химикаты и сода |
751-758, 481232, 487169, 487188 |
||
|
17 |
Химические и минеральные удобрения |
431-436 |
||
|
18 |
Лесные грузы |
081, 082, 091-094, 101-103, 111, 112, 123-127,131-133 |
||
|
19 |
Другие грузы |
291035, 351-362, 371, 381, 391, 401-405, 411-418, 421-423, 442, 452, 453, 461, 462, 632-635, 641, 651, 654, 661, 681-683 |
||
|
20 |
Остальные грузы, кроме вышеперечисленных |
|||
|
21 |
Воинские и специальные перевозки |
|||
|
II |
Отправки домашних вещей граждан |
|||
4. Расчет дифференцированных предельных цен на Услугу в зависимости от рода перевозимого груза осуществляется с учетом коэффициентов к расчетным таблицам, применяемые для исчисления предельных цен за пользование локомотивной тяги и (или) за услуги грузовой и коммерческой работы при перевозке грузов железнодорожным транспортом. При этом, изменения коэффициентов к расчетным таблицам определяется исходя из факторов социально-экономического развития Республики Казахстан.
| Приложение 15 к приказу Министра национальной экономики Республики Казахстан от 1 февраля 2017 года № 36 |
|
| Форма |
Представляется: в ведомство государственного органа, осуществляющее руководство в соответствующих сферах естественных монополий или в его территориальный орган
Форма, предназначенная для сбора административных данных
Сноска. Приложение 15 — в редакции приказа Заместителя Премьер-Министра — Министра национальной экономики РК от 27.12.2024 № 116 (вводится в действие по истечении десяти календарных дней после дня его первого официального опубликования).
Форма административных данных размещена на интернет – ресурсе:
www.economy.gov.kz
Наименование административной формы:
Полугодовая информация ____________________________________
об исполнении (наименование, бизнес идентификационный номер/
индивидуальный идентификационный номер субъекта общественно
значимого рынка) либо неисполнении инвестиционной программы
(проекта), учтенной в предельной цене _________________________
(вид деятельности по общему классификатору экономической деятельности)
Индекс формы административных данных: ОИП и НЕИП-1
Периодичность: полугодовая
Отчетный период: за _____ полугодие 20___ года
Круг лиц, представляющих информацию: субъект общественно значимого рынка
Срок представления формы административных данных: не позднее 1 августа, не позднее 1 мая
ИИН/БИН
Метод сбора: в электронном виде.
|
№ |
Наименование показателей инвестиционной программы (проекта) (с указанием периода действия) |
Кем утверждена (дата, номер приказа) |
Наименование мероприятия |
Годы реализации мероприятий |
|
|
1 полугодие |
2 полугодие |
||||
|
1 |
2 |
3 |
4 |
5 |
6 |
продолжение таблицы:
|
Плановые параметры (показатели) мероприятия, объекта инвестиционной программы, учтенной в предельной цене |
Исполнение, фактические параметры (показатели) мероприятия, объекта инвестиционной программы, учтенной в предельной цене (ежеквартально, с нарастающим итогом) * |
Отклонения |
Причины отклонения |
||||||||||
|
Единица измерений |
Технические параметры |
Единица измерений |
Сумма инвестиций |
Единица измерений |
Источник инвестиций |
Единица измерений |
Технические параметры |
Единица измерений |
Сумма инвестиций |
Единица измерений |
Источник инвестиций |
||
|
7 |
8 |
9 |
10 |
11 |
12 |
13 |
14 |
15 |
16 |
17 |
18 |
19 |
20 |
Примечание:
1) с приложением подтверждающих документов по реализации инвестиционной
программы (копии соответствующих договоров, контрактов, акты о приемке
выполненных работ (форма № 2), справка о стоимости выполненных работ и затрат
(форма № КС-3), счет–фактуры, акты–приемки в эксплуатацию государственных
приемочных комиссий, внутренние накладные, внутренние приказы субъектов
общественно значимого рынка о вводе в эксплуатацию и принятии на баланс).
Наименование ______________________ Адрес__________________________
___________________________________ _______________________________
Адрес электронной почты ____________________________________________
Исполнитель ___________________________________ ____________________
фамилия, имя и отчество (при его наличии) подпись, телефон
Руководитель или лицо, исполняющее его обязанности ___________________
___________________________________________________________________
фамилия, имя и отчество (при его наличии) подпись
Место для печати (за исключением лиц, являющихся субъектами частного
предпринимательства) _______________________________________________
| Приложение к форме, предназначенной для сбора административных данных |
Пояснение
по заполнению формы, предназначенной для сбора административных данных
Полугодовая информация _______________________ об исполнении
(наименование, бизнес идентификационный номер/индивидуальный
идентификационный номер субъекта общественно значимого рынка)
либо неисполнении инвестиционной программы (проекта), учтенной в предельной
цене _________________________________________________________________
(вид деятельности по общему классификатору экономической деятельности)
(индекс – ОИП и НЕИП-1, периодичность: полугодие)
Глава 1. Общие положения
1. Настоящее пояснение по заполнению формы, предназначенной для сбора административных данных предназначено для подготовки полугодовой информации ____ об исполнении (наименование, бизнес идентификационный номер/индивидуальный идентификационный номер субъекта общественно значимого рынка) либо неисполнении инвестиционной программы (проекта), учтенной в предельной цене _____ (вид деятельности по общему классификатору экономической деятельности).
2. Информацию подписывает руководитель или лицо, исполняющее его обязанности и исполнитель субъекта общественно значимого рынка.
Глава 2. Пояснение по заполнению формы
3. В графе 1 указывается «Порядковый номер».
4. В графе 2 указывается «Наименование показателей инвестиционной программы (проекта) (с указанием периода действия)».
5. В графе 3 указывается «Кем утверждена (дата, номер приказа)».
6. В графах 4, 5 и 6 указываются «Наименование мероприятия», «Годы реализации мероприятий», в том числе «1 полугодие» и «2 полугодие».
7. В графах 7 по 12 указываются «Плановые параметры (показатели) мероприятия, объекта инвестиционной программы, учтенной в предельной цене», в том числе «Единица измерений», «Технические параметры», «Единица измерений», «Сумма инвестиций», «Единица измерений» и «Источник инвестиций».
8. В графах 13 по 18 указываются «Исполнение, фактические параметры (показатели) мероприятия, объекта инвестиционной программы, учтенной в предельной цене (ежеквартально, с нарастающим итогом)», в том числе «Единица измерений», «Технические параметры», «Единица измерений», «Сумма инвестиций», «Единица измерений» и «Источник инвестиций».
9. В графах 19 по 20 указываются «Отклонения» и «Причины отклонения».
| Приложение 16 к приказу Министра национальной экономики Республики Казахстан от 1 февраля 2017 года № 36 |
|
| Форма |
Представляется: в ведомство государственного органа, осуществляющее руководство в соответствующих сферах естественных монополий или в его территориальный орган
Сноска. Приложение 16 — в редакции приказа Заместителя Премьер-Министра — Министра национальной экономики РК от 27.12.2024 № 116 (вводится в действие по истечении десяти календарных дней после дня его первого официального опубликования).
Форма, предназначенная для сбора административных данных
Форма административных данных размещена на интернет – ресурсе:
www.economy.gov.kz
Наименование административной формы: Информация об объемах производства
(реализации), уровне доходности и отпускных ценах производимых (реализуемых)
товаров (работ, услуг) субъекта общественно значимого рынка по перевозке грузов
железнодорожным транспортом и локомотивной тяги, за исключением: услуг
по предоставлению в аренду железнодорожных грузовых вагонов и услуг оператора
вагонов (контейнеров), услуг по перевозке грузов железнодорожным транспортом
в транзитном сообщении через территорию Республики Казахстан, услуг по перевозке
грузов в контейнерах, контрейлерными отправками, порожних контейнеров
и порожних фитинговых платформ железнодорожным транспортом и оказания услуг
аэропортов на внутренних рейсах: посадка-высадка пассажиров (посредством
телескопического трапа), предоставление в аренду помещений аэропорта,
используемых в целях обеспечения перевозочного процесса, обработка грузов,
предоставление рабочего места (площади) для регистрации пассажиров, обеспечение
воздушных судов авиационными горюче-смазочными материалами, (наименование,
бизнес идентификационный номер субъекта общественно значимого рынка)
Индекс формы административных данных: ПГ ЖТ и ЛТ-2
Периодичность: месячная
Отчетный период: за_____ (месяц) 20__ года
Круг лиц, представляющих информацию: физическое или юридическое лицо,
производящее (реализующее) товары (работы, услуги) на общественно значимых
рынках.
Срок представления формы административных данных: не позднее последнего дня
месяца, следующего за отчетным.
ИИН/БИН
Метод сбора: в электронном виде.
|
Наименование услуг |
Объемы |
Цена (без налога на добавленную стоимость) |
Уровень доходности |
||||
|
Общий классификатор экономической деятельности |
Объемы, оказываемых услуг (работ) в натуральном выражении |
Объемы, оказываемых услуг (работ) в денежном выражении |
Обоснованная цена, в тенге |
Отпускная цена, в тенге |
Доход от оказания услуг (работ), в тенге |
Затраты от оказания услуг (работ), в тенге |
Уровень доходности, в % |
|
1 |
2 |
3 |
4 |
5 |
6 |
7 |
8 |
Наименование ______________________ Адрес _________________________
_____________________________________ ____________________________
Адрес электронной почты ___________________________________________
Исполнитель___________________________________ ___________________
фамилия, имя и отчество (при его наличии) подпись, телефон
Руководитель или лицо, исполняющее его обязанности __________________
__________________________________________________________________
фамилия, имя и отчество (при его наличии) подпись
Место для печати (за исключением лиц, являющихся субъектами частного
предпринимательства) ______________________________________________
| Приложение к форме, предназначенной для сбора административных данных |
Пояснение по заполнению формы, предназначенной для сбора административных данных Информация об объемах производства (реализации), уровне доходности и отпускных ценах производимых (реализуемых) товаров (работ, услуг) субъекта общественно значимого рынка по перевозке грузов железнодорожным транспортом и локомотивной тяги, за исключением: услуг по предоставлению в аренду железнодорожных грузовых вагонов и услуг оператора вагонов (контейнеров), услуг по перевозке грузов железнодорожным транспортом в транзитном сообщении через территорию Республики Казахстан, услуг по перевозке грузов в контейнерах, контрейлерными отправками, порожних контейнеров и порожних фитинговых платформ железнодорожным транспортом и оказания услуг аэропортов на внутренних рейсах: посадка-высадка пассажиров (посредством телескопического трапа), предоставление в аренду помещений аэропорта, используемых в целях обеспечения перевозочного процесса, обработка грузов, предоставление рабочего места (площади) для регистрации пассажиров, обеспечение воздушных судов авиационными горюче-смазочными материалами, (наименование, бизнес идентификационный номер субъекта общественно значимого рынка)
(индекс – ПГ ЖТ и ЛТ-2, периодичность: месячная)
Глава 1. Общие положения
1. Настоящее пояснение по заполнению формы, предназначенной для сбора административных данных предназначено для подготовки информации об объемах производства (реализации), уровне доходности и отпускных ценах производимых (реализуемых) товаров (работ, услуг) субъекта общественно значимого рынка по перевозке грузов железнодорожным транспортом и локомотивной тяги, за исключением: услуг по предоставлению в аренду железнодорожных грузовых вагонов и услуг оператора вагонов (контейнеров), услуг по перевозке грузов железнодорожным транспортом в транзитном сообщении через территорию Республики Казахстан, услуг по перевозке грузов в контейнерах, контрейлерными отправками, порожних контейнеров и порожних фитинговых платформ железнодорожным транспортом и оказания услуг аэропортов на внутренних рейсах: посадка-высадка пассажиров (посредством телескопического трапа), предоставление в аренду помещений аэропорта, используемых в целях обеспечения перевозочного процесса, обработка грузов, предоставление рабочего места (площади) для регистрации пассажиров, обеспечение воздушных судов авиационными горюче-смазочными материалами, (наименование, бизнес идентификационный номер субъекта общественно значимого рынка).
2. Информацию подписывает руководитель или лицо, исполняющее его обязанности и исполнитель субъекта общественно значимого рынка.
Глава 2. Пояснение по заполнению формы
3. В графе 1 указываются «Наименование услуг» и «Общий классификатор экономической деятельности».
4. В графах 2 и 3 указываются «Объемы», в том числе «Объемы оказываемых услуг (работ) в натуральном выражении» и «Объемы, оказываемых услуг (работ) в денежном выражении».
5. В графах 4 и 5 указываются «Цена (без налога на добавленную стоимость)», в том числе «Обоснованная цена, в тенге» и «Отпускная цена, в тенге».
6. В графах 6, 7 и 8 указываются «Уровень доходности» в том числе «Доход от оказания услуг (работ), в тенге» и «Затраты от оказания услуг (работ), в тенге».
7. Информация по графам 2-8 представляется с разбивкой по филиалам, видам сообщений, видам работ.
| Приложение 17 к приказу Министра национальной экономики Республики Казахстан от 1 февраля 2017 года № 36 |
|
| Форма |
Представляется: в ведомство государственного органа, осуществляющее руководство в соответствующих сферах естественных монополий или в его территориальный орган
Форма, предназначенная для сбора административных данных
Сноска. Приложение 17 — в редакции приказа Заместителя Премьер-Министра — Министра национальной экономики РК от 27.12.2024 № 116 (вводится в действие по истечении десяти календарных дней после дня его первого официального опубликования).
Форма административных данных размещена на интернет – ресурсе:
www.economy.gov.kz
Наименование административной формы: Информация об объемах производства
(реализации), уровне доходности и отпускных ценах производимых (реализуемых)
товаров (работ, услуг) субъекта общественно значимого рынка по розничной
реализации электрической энергии энергоснабжающими организациями, организации
и проведения централизованной торговли электрической энергией, обеспечения
готовности торговой системы к проведению централизованных торгов,
централизованной покупке и продаже электрической энергии, произведенной
объектами по использованию возобновляемых источников энергии (наименование,
бизнес идентификационный номер субъекта общественно значимого рынка)
Индекс формы административных данных: РРЭЭ-3
Периодичность: месячная
Отчетный период: за __________ месяц 20___ года
Круг лиц, представляющих информацию: физическое или юридическое лицо,
производящее (реализующее) товары (работы, услуги) на общественно значимых
рынках
Срок представления формы административных данных: – не позднее последнего
дня месяца, следующего за отчетным.
ИИН/БИН
Метод сбора: в электронном виде.
|
Наименования услуг по общему классификатору экономической деятельности |
Объемы реализации (киловатт час) |
Объем реализации (тысяч тенге) |
|||||||
|
Всего |
В том числе по группам потребителей |
Всего |
В том числе по группам потребителей |
||||||
|
Юридические лица |
Физические лица* |
Юридические лица |
Физические лица* |
||||||
|
По отпускному тарифу без дифференциации |
По объемам потребления |
По отпускному тарифу без дифференциации |
По объемам потребления |
||||||
|
1 |
2 |
3 |
4 |
5 |
6 |
7 |
8 |
9 |
|
продолжение таблицы
|
Отпускная цена в тенге (без налога на добавленную стоимость) |
Уровень доходности |
||||
|
Всего |
В том числе по группам потребителей |
Затраты в тыс. тенге |
Доходы от регулируемых услуг в тыс. тенге |
Уровень доходности в % |
|
|
Юридические лица |
Физические лица* |
||||
|
По отпускному тарифу без дифференциации |
По объемам потребления |
||||
|
10 |
11 |
12 |
13 |
14 |
15 |
* – в зависимости от принятой дифференциации отпускного тарифа в регионах
Наименование ______________________ Адрес __________________________
_____________________________________ ______________________________
Адрес электронной почты_____________________________________________
Исполнитель ___________________________________ ____________________
фамилия, имя и отчество (при его наличии) подпись, телефон
Руководитель или лицо, исполняющее его обязанности ____________________
____________________________________________________________________
фамилия, имя и отчество (при его наличии) подпись
Место для печати (за исключением лиц, являющихся субъектами частного
предпринимательства) ________________________________________________
| Приложение к форме, предназначенной для сбора административных данных |
Пояснение по заполнению формы, предназначенной для сбора административных данных Информация об объемах производства (реализации), уровне доходности и отпускных ценах производимых (реализуемых) товаров (работ, услуг) субъекта общественно значимого рынка по розничной реализации электрической энергии энергоснабжающими организациями, организации и проведения централизованной торговли электрической энергией, обеспечения готовности торговой системы к проведению централизованных торгов, централизованной покупке и продаже электрической энергии, произведенной объектами по использованию возобновляемых источников энергии (наименование, бизнес идентификационный номер субъекта общественно значимого рынка)
(индекс – РРЭЭ-3, периодичность: месячная)
Глава 1. Общие положения
1. Настоящее пояснение по заполнению формы, предназначенной для сбора административных данных предназначено для подготовки ежемесячной информации об объемах производства (реализации), уровне доходности и отпускных ценах производимых (реализуемых) товаров (работ, услуг) субъекта общественно значимого рынка по розничной реализации электрической энергии энергоснабжающими организациями, организации и проведения централизованной торговли электрической энергией, обеспечения готовности торговой системы к проведению централизованных торгов, централизованной покупке и продаже электрической энергии, произведенной объектами по использованию возобновляемых источников энергии (наименование, бизнес идентификационный номер субъекта общественно значимого рынка).
2. Информацию подписывает руководитель или лицо, исполняющее его обязанности и исполнитель субъекта общественно значимого рынка.
Глава 2. Пояснение по заполнению формы
3. В графе 1 указывается «Наименования услуг по общему классификатору экономической деятельности».
4. В графах 2, 3, 4, 5, 6, 7 и 8 указываются «Объемы реализации (киловатт час)», «Всего», в том числе «По группам потребителей», «Юридические лица», «По отпускному тарифу без дифференциации», «Физические лица*», «По объемам потребления», «По отпускному тарифу без дифференциации» «Объем реализации (тысяч тенге)», «Всего», в том числе «По группам потребителей»: «Юридические лица» и «Физические лица» и «По объемам потребления».
5. В графах 10, 11 и 12 указываются «Отпускная цена в тенге (без налога на добавленную стоимость), «Всего», «В том числе по группам потребителей», «Юридические лица», «По отпускному тарифу без дифференциации», «Физические лица*» и «По объемам потребления»,
6. В графах 13, 14, 15 и 16 указываются «Уровень доходности», «Затраты в тыс. тенге», «Доходы от регулируемых услуг в тыс. тенге» и «Уровень доходности в %».
| Приложение 17-1 к приказу Министра национальной экономики Республики Казахстан от 1 февраля 2017 года № 36 |
|
| Форма |
Представляется: в ведомство государственного органа, осуществляющее руководство в соответствующих сферах естественных монополий или в его территориальный орган
Форма, предназначенная для сбора административных данных
(индекс – ЦП и ЦПЭЭ-4, периодичность: месячная)
Сноска. Правила дополнены приложением 17-1 в соответствии с приказом Министра национальной экономики РК от 04.08.2023 № 145 (вводится в действие по истечении десяти календарных дней после дня его первого официального опубликования); в редакции приказа Заместителя Премьер-Министра — Министра национальной экономики РК от 27.12.2024 № 116 (вводится в действие по истечении десяти календарных дней после дня его первого официального опубликования).
Форма административных данных размещена на интернет – ресурсе:
www.economy.gov.kz
Наименование административной формы: Информация об объемах производства
(реализации), затратах и соответствующих ценах производимых (реализуемых)
товаров (работ, услуг) Субъекта в области централизованной покупки
и централизованной продажи электрической энергии в части затрат, связанных
с осуществлением деятельности (наименование, бизнес идентификационный номер
субъекта общественно значимого рынка)
Индекс формы административных данных: – ЦП и ЦПЭЭ-4
Периодичность: месячная
Отчетный период за _____ месяц 20___ года
Круг лиц, представляющих информацию: Субъект в области централизованной
покупки и централизованной продажи электрической энергии в части затрат,
связанных с осуществлением деятельности
Срок представления формы административных данных:
– не позднее последнего дня месяца, следующего за отчетным.
ИИН/БИН
Метод сбора: в электронном виде.
|
Наименования услуг по общему классификатору экономической деятельности |
|
Затраты, тенге |
|
Объемы реализации (МВт*мес) |
|
Расчетная цена в тенге на 1 МВт*мес (без налога на добавленную стоимость) |
|
Доходы от регулируемых услуг в тыс. тенге |
Наименование ______________________ Адрес ________________________
__________________________________ _______________________________
Адрес электронной почты ___________________________________________
Исполнитель ___________________________________ __________________
фамилия, имя и отчество (при его наличии) подпись, телефон
Руководитель или лицо, исполняющее его обязанности __________________
__________________________________________________________________
фамилия, имя и отчество (при его наличии) подпись
Место для печати (за исключением лиц, являющихся субъектами частного
предпринимательства) _____________________________________________
| Приложение к форме, предназначенной для сбора административных данных |
Пояснение по заполнению формы, предназначенной для сбора административных данных Информация об объемах производства (реализации), затратах и соответствующих ценах производимых (реализуемых) товаров (работ, услуг) Субъекта в области централизованной покупки и централизованной продажи электрической энергии в части затрат, связанных с осуществлением деятельности (наименование, бизнес идентификационный номер субъекта общественно значимого рынка)
(индекс – ЦП и ЦПЭЭ-4, периодичность: месячная)
Глава 1. Общие положения
1. Настоящее пояснение по заполнению формы, предназначенной для сбора административных данных предназначено для подготовки информации об объемах производства (реализации), затратах и соответствующих ценах производимых (реализуемых) товаров (работ, услуг) Субъекта в области централизованной покупки и централизованной продажи электрической энергии в части затрат, связанных с осуществлением деятельности (наименование, бизнес идентификационный номер субъекта общественно значимого рынка).
2. Информацию подписывает руководитель или лицо, исполняющее его обязанности и исполнитель субъекта общественно значимого рынка.
Глава 2. Пояснение по заполнению формы
3. В указанной информации указываются «Наименования услуг по общему классификатору экономической деятельности», «Затраты, тенге», «Объемы реализации (МВт*мес)», «Расчетная цена в тенге на 1 МВт*мес (без налога на добавленную стоимость)» и «Доходы от регулируемых услуг в тыс. тенге».
| Приложение 17-2 к приказу Министра национальной экономики Республики Казахстан от 1 февраля 2017 года № 36 |
|
| Форма |
Представляется: в ведомство государственного органа, осуществляющее руководство в соответствующих сферах естественных монополий или в его территориальный орган
Форма, предназначенная для сбора административных данных
(индекс – ЦПУПГЭМ-5, периодичность: месячная)
Сноска. Правила дополнены приложением 17-2 в соответствии с приказом Министра национальной экономики РК от 04.08.2023 № 145 (вводится в действие по истечении десяти календарных дней после дня его первого официального опубликования); в редакции приказа Заместителя Премьер-Министра — Министра национальной экономики РК от 27.12.2024 № 116 (вводится в действие по истечении десяти календарных дней после дня его первого официального опубликования).
Форма административных данных размещена на интернет – ресурсе:
www.economy.gov.kz
Наименование административной формы: Информация об объемах производства
(реализации), затратах и соответствующих ценах производимых (реализуемых)
товаров (работ, услуг) Субъекта в области централизованной покупки услуги
по поддержанию готовности электрической мощности и централизованной продажи
услуги по обеспечению готовности электрической мощности к несению нагрузки
в части затрат, связанных с осуществлением деятельности (наименование, бизнес
идентификационный номер субъекта общественно значимого рынка)
Индекс формы административных данных: ЦПУПГЭМ-5
Периодичность: месячная
Отчетный период за ______ (месяц) 20___ года
Круг лиц, представляющих информацию: Субъект в области централизованной
покупки услуги по поддержанию готовности электрической мощности
и централизованной продажи услуги по обеспечению готовности электрической
мощности к несению нагрузки в части затрат, связанных с осуществлением деятельности
Срок представления формы административных данных:
– не позднее последнего дня месяца, следующего за отчетным.
ИИН/БИН
Метод сбора: в электронном виде.
|
Наименования услуг по общему классификатору экономической деятельности |
|
Затраты, тенге |
|
Объемы реализации (МВт*мес) |
|
Расчетная цена в тенге на 1 МВт*мес (без налога на добавленную стоимость) |
|
Доходы от регулируемых услуг в тыс. тенге |
Наименование _____________________ Адрес _________________________
__________________________________ _______________________________
Адрес электронной почты ___________________________________________
Исполнитель __________________________________ ____________________
фамилия, имя и отчество (при его наличии) подпись, телефон
Руководитель или лицо, исполняющее его обязанности __________________
__________________________________________________________________
фамилия, имя и отчество (при его наличии) подпись
Место для печати (за исключением лиц, являющихся субъектами частного
предпринимательства) _____________________________________________
| Приложение к форме, предназначенной для сбора административных данных |
Пояснение по заполнению формы, предназначенной для сбора административных данных
Информация об объемах производства (реализации), затратах и соответствующих ценах производимых (реализуемых) товаров (работ, услуг) Субъекта в области централизованной покупки услуги по поддержанию готовности электрической мощности и централизованной продажи услуги по обеспечению готовности электрической мощности к несению нагрузки в части затрат, связанных с осуществлением деятельности (наименование, бизнес идентификационный номер субъекта общественно значимого рынка))
(индекс – ЦПУПГЭМ-5, периодичность: месячная)
Глава 1. Общие положения
1. Настоящее пояснение по заполнению формы, предназначенной для сбора административных данных предназначено для подготовки информации об объемах производства (реализации), затратах и соответствующих ценах производимых (реализуемых) товаров (работ, услуг) Субъекта в области централизованной покупки услуги по поддержанию готовности электрической мощности и централизованной продажи услуги по обеспечению готовности электрической мощности к несению нагрузки в части затрат, связанных с осуществлением деятельности (наименование, бизнес идентификационный номер субъекта общественно значимого рынка).
2. Информацию подписывает руководитель или лицо, исполняющее его обязанности и исполнитель субъекта общественно значимого рынка.
Глава 2. Пояснение по заполнению формы
3. В указанной информации указываются «Наименования услуг по общему классификатору экономической деятельности», «Затраты, тенге», «Объемы реализации (МВт*мес)», «Расчетная цена в тенге на 1 МВт*мес (без налога на добавленную стоимость)» и «Доходы от регулируемых услуг в тыс. тенге».
| Приложение 18 к приказу Министра национальной экономики Республики Казахстан от 1 февраля 2017 года № 36 |
|
| Форма |
Представляется: в ведомство государственного органа, осуществляющее руководство в соответствующих сферах естественных монополий или в его территориальный орган
Форма, предназначенная для сбора административных данных
Сноска. Приложение 18 — в редакции приказа Заместителя Премьер-Министра — Министра национальной экономики РК от 27.12.2024 № 116 (вводится в действие по истечении десяти календарных дней после дня его первого официального опубликования).
Форма административных данных размещена на интернет – ресурсе:
www.economy.gov.kz
Наименование административной формы: Информация об объемах производства
(реализации), уровне доходности и отпускных ценах производимых (реализуемых)
товаров (работ, услуг) субъекта общественно значимого рынка по розничной
реализации товарного газа, розничной реализации сжиженного нефтяного газа
через групповые резервуарные установки ___________________________________
(наименование, бизнес идентификационный номер субъекта общественно значимого
рынка)
Индекс формы административных данных: РРТГ — РРСНГ-6
Периодичность: месячная
Отчетный период: за _______ месяц 20__ года
Круг лиц, представляющих информацию: субъект общественно значимого рынка
по розничной реализации товарного газа, розничной реализации сжиженного
нефтяного газа через групповые резервуарные установки
Срок представления формы административных данных:
– не позднее последнего дня месяца, следующего за отчетным.
ИИН/БИН
Метод сбора: в электронном виде.
|
Наименование услуг по общему классификатору экономической деятельности |
Объемы реализации (тысяч кубических метра) |
Объемы реализации (тысяч тенге) |
Отпускная цена в тенге (без налога на добавленную стоимость) |
Уровень доходности |
|||||||
|
Всего |
В том числе по группам потребителей |
Всего |
В том числе по группам потребителей |
Всего |
В том числе по группам потребителей |
Доход от оказания услуг (работ), в тенге |
Затраты от оказания услуг (работ), в тенге |
Уровень доходности, в % |
|||
|
Население |
Юридические лица |
Население |
Юридические лица |
На селение |
|||||||
|
1 |
2 |
3 |
4 |
5 |
6 |
7 |
8 |
9 |
10 |
11 |
12 |
Наименование _____________________ Адрес _________________________
__________________________________ _______________________________
Адрес электронной почты ___________________________________________
Исполнитель__________________________________ ____________________
фамилия, имя и отчество (при его наличии) подпись, телефон
Руководитель или лицо, исполняющее его обязанности __________________
__________________________________________________________________
фамилия, имя и отчество (при его наличии) подпись
Место для печати (за исключением лиц, являющихся субъектами частного
предпринимательства) ______________________________________________
| Приложение к форме, предназначенной для сбора административных данных |
Пояснение по заполнению формы, предназначенной для сбора административных данных Информация об объемах производства (реализации), уровне доходности и отпускных ценах производимых (реализуемых) товаров (работ, услуг) субъекта общественно значимого рынка по розничной реализации товарного газа, розничной реализации сжиженного нефтяного газа через групповые резервуарные установки ________ (наименование, бизнес идентификационный номер субъекта общественно значимого рынка)
(индекс – РРТГ- РРСНГ-6, периодичность: месячная)
Глава 1. Общие положения
1. Настоящее пояснение по заполнению формы, предназначенной для сбора административных данных предназначено для подготовки информации об объемах производства (реализации), уровне доходности и отпускных ценах производимых (реализуемых) товаров (работ, услуг) субъекта общественно значимого рынка по розничной реализации товарного газа, розничной реализации сжиженного нефтяного газа через групповые резервуарные установки ________ (наименование, бизнес идентификационный номер субъекта общественно значимого рынка).
2. Информацию подписывает руководитель или лицо, исполняющее его обязанности и исполнитель субъекта общественно значимого рынка.
Глава 2. Пояснение по заполнению формы
3. В графе 1 указывается «Наименования услуг по общему классификатору экономической деятельности».
4. В графах 2 и 3 указываются «Объемы реализации (тысяч кубических метра)», «Всего», в том числе «По группам потребителей», «Население».
5. В графах 4, 5 и 6 указываются «Объемы реализации (тыс. тенге)», «Всего», в том числе «По группам потребителей», «Юридические лица», «Население».
6. В графах 7, 8 и 9 указываются «Отпускная цена в тенге (без налога на добавленную стоимость), «Всего», «В том числе по группам потребителей», «Юридические лица», «Население».
7. В графах 10, 11 и 12 указываются «Уровень доходности» — «Затраты в тыс. тенге», «Доходы от регулируемых услуг в тыс. тенге» и «Уровень доходности в %».
8. Информация представляется с разбивкой по филиалам.
| Приложение 2 к приказу Министра национальной экономики Республики Казахстан от 1 февраля 2017 года №36 |
Перечень
приказов уполномоченного органа осуществляющего руководство в сферах естественных монополий, признанных утратившими силу
1. Приказ Председателя Агентства Республики Казахстан по регулированию естественных монополий от 18 апреля 2013 года № 122-ОД «Об утверждении Методики расчета цен на товары (работы, услуги) субъектов регулируемого рынка» (зарегистрированный в Министерстве юстиции Республики Казахстан 24 мая 2013 года № 8478).
2. Приказ Председателя Агентства Республики Казахстан по регулированию естественных монополий от 27 июня 2013 года № 187-ОД «Об утверждении форм ежемесячной информации об объемах производства (реализации), уровне доходности и отпускных ценах производимых (реализуемых) товаров (работ, услуг) субъекта регулируемого рынка» (зарегистрированный в Министерстве юстиции Республики Казахстан 29 июля 2013 года № 8587).
3. Приказ Председателя Агентства Республики Казахстан по регулированию естественных монополий от 1 апреля 2014 года № 66-ОД «Об утверждении Методики расчета предельных цен на товарный газ субъектов регулируемого рынка» (зарегистрированный в Министерстве юстиции Республики Казахстан 25 апреля 2014 года № 9354).
4. Приказ Министра национальной экономики Республики Казахстан от 29 декабря 2014 года № 174 «Об утверждении Правил ценообразования на регулируемых рынках, утверждения и корректировки инвестиционной программы (проекта) субъекта регулируемого рынка» (зарегистрированный в Министерстве юстиции Республики Казахстан 31 марта 2015 года № 10594).
5. Приказ Министра национальной экономики Республики Казахстан от 20 июля 2015 года № 547 «Об утверждении перечня товаров (работ, услуг) субъектов регулируемых рынков, на которые распространяется государственное регулирование цен» (зарегистрированный в Министерстве юстиции Республики Казахстан 27 августа 2015 года № 11957).
6. Подпункт 2) перечня некоторых приказов Министра национальной экономики Республики Казахстан, в которые вносятся изменения и дополнения, утвержденного приказом исполняющего обязанности Министра национальной экономики Республики Казахстан от 24 июля 2015 года № 567 «О внесении изменений и дополнений в некоторые приказы Министра национальной экономики Республики Казахстан по вопросам естественных монополий и регулируемых рынков» (зарегистрированный в Министерстве юстиции Республики Казахстан 28 августа 2015 года № 11969).
7. Подпункт 6) перечня некоторых приказов Агентства Республики Казахстан по регулированию естественных монополий, в которые вносятся изменения и дополнения, утвержденного приказом исполняющего обязанности Министра национальной экономики Республики Казахстан от 24 июля 2015 года № 566 «Об утверждении Правил размещения отчета об исполнении тарифной сметы на регулируемые услуги субъектов естественных монополий, Правил уведомления потребителей о ходе исполнения субъектом естественной монополии тарифной сметы на регулируемые услуги и о внесении изменений и дополнений в некоторые приказы Агентства Республики Казахстан по регулированию естественных монополий» (зарегистрированный в Министерстве юстиции Республики Казахстан 28 августа 2015 года № 11972).
8. Приказ Министра национальной экономики Республики Казахстан от 12 декабря 2015 года № 767 «О внесении изменений в приказ Председателя Агентства Республики Казахстан по регулированию естественных монополий от 27 июня 2013 года № 187-ОД «Об утверждении форм ежемесячной информации об объемах производства (реализации), уровне доходности и отпускных ценах производимых (реализуемых) товаров (работ, услуг) субъекта регулируемого рынка» (зарегистрированный в Министерстве юстиции Республики Казахстан 12 января 2016 года № 12852).
9. Приказ Министра национальной экономики Республики Казахстан от 24 февраля 2016 года № 95 «О внесении изменений в приказ Министра национальной экономики Республики Казахстан от 29 декабря 2014 года № 174 «Об утверждении Правил ценообразования на регулируемых рынках, утверждения и корректировки инвестиционной программы (проекта) субъекта регулируемого рынка» (зарегистрированный в Министерстве юстиции Республики Казахстан 3 мая 2016 года № 13676).
10. Подпункт 3) пункта 1 приказа исполняющего обязанности Министра национальной экономики Республики Казахстан от 2 сентября 2016 года № 394 «О внесении изменений в некоторые приказы уполномоченного органа, осуществляющего руководство в сферах естественных монополий и на регулируемых рынках» (зарегистрированный в Министерстве юстиции Республики Казахстан 30 сентября 2016 года № 14274).



