Сноска. Заголовок — в редакции cовместного приказа и.о. Министра энергетики РК от 29.11.2022 № 383 и и.о. Министра национальной экономики РК от 30.11.2022 № 99 (вводится в действие с 01.01.2023).
В соответствии с пунктом 5 статьи 141, пунктом 1 статьи 143 Предпринимательского кодекса Республики Казахстан
ПРИКАЗЫВАЕМ:
Сноска. Преамбула — в редакции cовместного приказа и.о. Министра энергетики РК от 29.11.2022 № 383 и и.о. Министра национальной экономики РК от 30.11.2022 № 99 (вводится в действие с 01.01.2023).
1. Утвердить:
1) критерии оценки степени риска в сфере газа и газоснабжения согласно приложению 1 к настоящему совместному приказу;
2) проверочный лист в сфере газа и газоснабжения в отношении производителей товарного газа согласно приложению 2 к настоящему совместному приказу;
3) проверочный лист в сфере газа и газоснабжения в отношении производителей сжиженного нефтяного газа согласно приложению 3 к настоящему совместному приказу;
4) проверочный лист в сфере газа и газоснабжения в отношении производителей сжиженного природного газа согласно приложению 4 к настоящему совместному приказу;
5) проверочный лист в сфере газа и газоснабжения в отношении недропользователей, являющихся собственниками товарного газа, произведенного в процессе переработки добытого ими сырого газа согласно приложению 5 к настоящему совместному приказу;
6) проверочный лист в сфере газа и газоснабжения в отношении собственников сжиженного нефтяного газа, произведенного в процессе переработки принадлежащего им на праве собственности или иных законных основаниях углеводородного сырья согласно приложению 6 к настоящему совместному приказу;
7) проверочный лист в сфере газа и газоснабжения в отношении собственников сжиженного нефтяного газа, произведенного за пределами территории Республики Казахстан и ввезенного для потребления на территорию Республики Казахстан согласно приложению 7 к настоящему совместному приказу;
8) проверочный лист в сфере газа и газоснабжения в отношении собственников товарного газа, произведенного за пределами территории Республики Казахстан и ввезенного для потребления на территорию Республики Казахстан согласно приложению 8 к настоящему совместному приказу;
9) проверочный лист в сфере газа и газоснабжения в отношении собственников товарного газа, произведенного за пределами территории Республики Казахстан из сырого газа, добываемого в Республике Казахстан, на основании международных договоров Республики Казахстан согласно приложению 9 к настоящему совместному приказу;
10) проверочный лист в сфере газа и газоснабжения в отношении национального оператора согласно приложению 10 к настоящему совместному приказу;
11) проверочный лист в сфере газа и газоснабжения в отношении владельцев газонаполнительных станций согласно приложению 11 к настоящему совместному приказу;
12) проверочный лист в сфере газа и газоснабжения в отношении газораспределительных организаций согласно приложению 12 к настоящему совместному приказу;
13) проверочный лист в сфере газа и газоснабжения в отношении газотранспортных организаций согласно приложению 13 к настоящему совместному приказу;
14) проверочный лист в сфере газа и газоснабжения в отношении владельцев газонаполнительных пунктов согласно приложению 14 к настоящему совместному приказу;
15) проверочный лист в сфере газа и газоснабжения в отношении владельцев автогазозаправочных станций согласно приложению 15 к настоящему совместному приказу;
16) проверочный лист в сфере газа и газоснабжения в отношении владельцев автогазонаполнительных компрессорных станций согласно приложению 16 к настоящему совместному приказу;
17) проверочный лист в сфере газа и газоснабжения в отношении владельцев групповых резервуарных установок согласно приложению 17 к настоящему совместному приказу;
18) проверочный лист в сфере газа и газоснабжения в отношении промышленных потребителей товарного газа согласно приложению 18 к настоящему совместному приказу;
19) проверочный лист в сфере газа и газоснабжения в отношении промышленных потребителей сжиженного нефтяного газа согласно приложению 19 к настоящему совместному приказу;
20) проверочный лист в сфере газа и газоснабжения в отношении промышленных потребителей-инвесторов, потребителей, включенных в перечень электростанций согласно приложению 20 к настоящему совместному приказу.
21) проверочный лист в сфере газа и газоснабжения в отношении крупных коммерческих потребителей согласно приложению 21 к настоящему совместному приказу;
22) проверочный лист в сфере газа и газоснабжения в отношении лиц, осуществляющие цифровой майнинг согласно приложению 22 к настоящему совместному приказу.
Сноска. Пункт 1 — в редакции cовместного приказа и.о. Министра энергетики РК от 29.11.2022 № 383 и и.о. Министра национальной экономики РК от 30.11.2022 № 99 (вводится в действие с 01.01.2023); с изменениями, внесенными совместным приказом от 27.08.2024 № 302 и Заместителя Премьер-Министра – Министра национальной экономики РК от 02.09.2024 № 70 (вводится в действие по истечении десяти календарных дней после дня его первого официального опубликования).
2. Признать утратившим силу совместный приказ исполняющего обязанности Министра национальной экономики Республики Казахстан от 30 июня 2015 года № 483 и Министра энергетики Республики Казахстан от 26 июня 2015 года № 441 «Об утверждении критериев оценки степени риска и формы проверочного листа в сфере газа и газоснабжения» (зарегистрированный в Реестре государственной регистрации нормативных правовых актов за № 11827, опубликованный 3 сентября 2015 года в информационно-правовой системе «Әділет»).
3. Комитету экологического регулирования, контроля и государственной инспекции в нефтегазовом комплексе Министерства энергетики Республики Казахстан в установленном законодательством порядке обеспечить:
1) государственную регистрацию настоящего совместного приказа в Министерстве юстиции Республики Казахстан;
2) в течение десяти календарных дней после государственной регистрации настоящего совместного приказа в Министерстве юстиции Республики Казахстан направление его копии на официальное опубликование в периодических печатных изданиях и информационно-правовой системе «Әділет», а также со дня его получения в Республиканское государственное предприятие на праве хозяйственного ведения «Республиканский центр правовой информации» Министерства юстиции Республики Казахстан для включения в Эталонный контрольный банк нормативных правовых актов Республики Казахстан;
3) размещение настоящего совместного приказа на официальном интернет-ресурсе Министерства энергетики Республики Казахстан и интранет-портале государственных органов;
4) в течение десяти рабочих дней после государственной регистрации настоящего совместного приказа в Министерстве юстиции Республики Казахстан представление в Департамент юридической службы Министерства энергетики Республики Казахстан сведений об исполнении мероприятий, предусмотренных подпунктами 2) и 3) настоящего пункта.
4. Контроль за исполнением настоящего совместного приказа возложить на курирующего вице-министра энергетики Республики Казахстан.
5. Настоящий совместный приказ вводится в действие по истечении десяти календарных дней со дня его первого официального опубликования.
|
Министр |
Министр |
«СОГЛАСОВАН»
Председатель Комитета по
правовой статистике и специальным
учетам Генеральной прокуратуры
Республики Казахстан
_______________ С. Айтпаева
24 декабря 2015 года
| Приложение 1 к совместному приказу Министра энергетики Республики Казахстан от 24 декабря 2015 года № 748 и Министра национальной экономики Республики Казахстан от 29 декабря 2015 года № 824 |
Критерии оценки степени риска в сфере газа и газоснабжения
Сноска. Приложение 1 — в редакции cовместного приказа и.о. Министра энергетики РК от 29.11.2022 № 383 и и.о. Министра национальной экономики РК от 30.11.2022 № 99 (вводится в действие с 01.01.2023).
Глава 1. Общие положения
1. Настоящие Критерии оценки степени риска в сфере газа и газоснабжения (далее – Критерии) разработаны в соответствии с пунктом 5 статьи 141 Предпринимательского кодекса Республики Казахстан (далее – Кодекс), Законом Республики Казахстан «О газе и газоснабжении» (далее – Закон) и Правилами формирования регулирующими государственными органами системы оценки и управления рисками, утвержденными приказом исполняющего обязанности Министра национальной экономики Республики Казахстан от 22 июня 2022 года № 48 (зарегистрирован в Реестре государственной регистрации нормативных правовых актов за № 28577) с целью отнесения субъектов (объектов) контроля в сфере газа и газоснабжения по степеням риска.
2. В Критериях используются следующие понятия:
1) автогазозаправочная станция – технологический комплекс, предназначенный для хранения и розничной реализации сжиженного нефтяного газа владельцам транспортных средств, использующим его в качестве топлива;
2) автогазонаполнительная компрессорная станция – технологический комплекс, предназначенный для компримирования, хранения и розничной реализации товарного газа владельцам транспортных средств, использующим его в качестве топлива;
3) субъект контроля – производители товарного, сжиженного нефтяного, сжиженного природного газа, недропользователи, являющиеся собственниками товарного газа, произведенного в процессе переработки добытого ими сырого газа, собственники сжиженного нефтяного газа, произведенного в процессе переработки принадлежащего им на праве собственности или иных законных основаниях углеводородного сырья, собственники сжиженного нефтяного газа, произведенного за пределами территории Республики Казахстан и ввезенного для потребления на территорию Республики Казахстан, собственники товарного газа, произведенного за пределами территории Республики Казахстан и ввезенного для потребления на территорию Республики Казахстан, собственники товарного газа, произведенного за пределами территории Республики Казахстан из сырого газа, добываемого в Республике Казахстан, на основании международных договоров Республики Казахстан, национальный оператор, владельцы газонапольнительных станций, газораспределительные организаций, газотранспортные организаций, владельцы газонаполнительных пунктов, владельцы автогазозаправочных станций, владельцы автогазонаполнительных компрессорных станций, владельцы групповых резервуарных установок, промышленные потребители товарного газа, промышленные потребители сжиженного нефтяного газа, промышленные потребители-инвесторы, потребители, включенные в перечень электростанций;
4) балл – количественная мера исчисления риска;
5) незначительные нарушения – нарушения, связанные с непредоставлением предусмотренных отчетов и сведений;
6) газораспределительная организация – юридическое лицо, осуществляющее транспортировку товарного газа по газораспределительной системе, техническую эксплуатацию газораспределительной системы, а также оптовую и розничную реализацию товарного газа на условиях, установленных Законом;
7) газотранспортная организация – юридическое лицо, оказывающее услуги по транспортировке товарного газа по соединительным, магистральным газопроводам и (или) хранению товарного газа в хранилищах товарного газа на условиях, установленных Законом;
8) газонаполнительный пункт — инженерное сооружение, предназначенное для хранения, слива и налива сжиженного нефтяного газа в бытовые баллоны, а также ремонта и утилизации бытовых баллонов;
9) газонаполнительная станция – комплекс технологически взаимосвязанных производственных и иных объектов, предназначенных для хранения, слива и налива сжиженного нефтяного газа в железнодорожные цистерны, автогазовозы, бытовые баллоны, а также ремонта и утилизации бытовых баллонов;
10) нормализация данных – статистическая процедура, предусматривающая приведение значений, измеренных в различных шкалах, к условно общей шкале;
11) значительные нарушения – нарушения, связанные с отсутствием контрольных приборов учета и не ведением учета объема газа, несоблюдением требования по направлению национальному оператору коммерческого предложения, несоблюдением требований по передаче по решению уполномоченного органа в сфере газа и газоснабжения газа национальному оператору или привлекаемому инвестору, необеспечением строительства, эксплуатации, модернизации и (или) реконструкции объектов единой системы снабжения товарным газом в соответствии с генеральной схемой газификации Республики Казахстан, допущением эксплуатации одних и тех же соединительных, магистральных газопроводов и хранилищ товарного газа двумя и более газотранспортными организациями, допущением транспортировки и (или) хранения товарного газа при несоответствии товарного газа требованиям технических регламентов и национальных стандартов, а также при непредставлении недропользователем письменного отказа национального оператора от преимущественного права государства либо документов, подтверждающих получение национальным оператором коммерческого предложения об отчуждении, несоблюдением требований по отчуждению по согласованию с уполномоченным органом в сфере газа и газоснабжения объектов единой системы снабжения товарным газом;
12) производитель – юридическое лицо, осуществляющее производство товарного, сжиженного нефтяного и (или) сжиженного природного газа;
13) промышленный потребитель – юридическое лицо, приобретающее газ для использования в качестве топлива и (или) сырья в промышленном производстве;
14) промышленный потребитель-инвестор – юридическое лицо, приобретающее товарный газ для использования в качестве топлива и (или) сырья в промышленном производстве в целях реализации инвестиционных проектов по производству нефтегазохимической продукции и включенное в перечень, утверждаемый уполномоченным органом в сфере газа и газоснабжения, а также юридическое лицо, приобретающее товарный газ для производства компримированного и (или) сжиженного природного газа в целях дальнейшей реализации потребителям;
15) грубые нарушения – нарушения, связанные с нарушением приоритетного и преимущественного права государства на приобретение газа и объектов системы газоснабжения, с незаконной реализацией газа, нарушением преимущественного права бытовых и коммунально-бытовых потребителей на пользование товарным газом, несоблюдением предельных цен оптовой реализации, невыполнением плана поставки газа на внутренний рынок, несоблюдением запрета на осуществление перевозки сжиженного нефтяного и сжиженного природного газа железнодорожным, автомобильным, морским и внутренним водным транспортом за пределы территории Республики Казахстан, необеспечением бесперебойной транспортировки, хранения и снабжения газом.
16) система оценки и управления рисками – процесс принятия управленческих решений, направленных на снижение вероятности наступления неблагоприятных факторов путем распределения субъектов (объектов) контроля по степеням риска для последующего осуществления профилактического контроля с посещением субъекта (объекта) контроля с целью минимально возможной степени ограничения свободы предпринимательства, обеспечивая при этом допустимый уровень риска в соответствующих сферах деятельности, а также направленных на изменение уровня риска для конкретного субъекта (объекта) контроля и (или) освобождения такого субъекта (объекта) контроля от профилактического контроля с посещением субъекта (объекта) контроля;
17) риск – вероятность причинения вреда в результате деятельности субъекта контроля жизни или здоровью человека, окружающей среде, законным интересам физических и юридических лиц, имущественным интересам государства с учетом степени тяжести его последствий;
18) объективные критерии оценки степени риска (далее – объективные критерии) – критерии оценки степени риска, используемые для отбора субъектов (объектов) контроля в зависимости от степени риска в определенной сфере деятельности и не зависящие непосредственно от отдельного субъекта (объекта) контроля;
19) субъективные критерии оценки степени риска (далее – субъективные критерии) – критерии оценки степени риска, используемые для отбора субъектов (объектов) контроля в зависимости от результатов деятельности конкретного субъекта (объекта) контроля;
20) критерии оценки степени риска – совокупность количественных и качественных показателей, связанных с непосредственной деятельностью субъекта контроля, особенностями отраслевого развития и факторами, влияющими на это развитие, позволяющих отнести субъекты (объекты) контроля к различным степеням риска;
21) групповая резервуарная установка — инженерное сооружение, состоящее из группы емкостей, предохранительно-запорной и регулирующей арматуры, газопроводов и предназначенное для хранения и подачи сжиженного нефтяного газа в газопотребляющие системы;
22) потребитель — бытовой, коммунально-бытовой, промышленный потребитель, промышленный потребитель-инвестор или потребитель, включенный в перечень электростанций, крупный коммерческий потребитель, лицо, осуществляющее цифровой майнинг;
23) национальный оператор – юридическое лицо, собственником контрольного пакета акций (доли участия) которого является государство либо национальный управляющий холдинг, национальная компания или компания, входящая в группу Фонда национального благосостояния, определяемое Правительством Республики Казахстан и осуществляющее деятельность в сфере газа и газоснабжения в целях обеспечения внутренних потребностей Республики Казахстан в товарном газе;
24) крупный коммерческий потребитель – юридическое лицо, за исключением промышленного потребителя-инвестора и потребителя, включенного в перечень электростанций, приобретающее товарный газ для использования в своей деятельности, соответствующее критериям, установленным в пункте 4-1 статьи 8 Закона».
Сноска. Пункт 2 — в редакции совместного приказа и.о. Министра энергетики РК от 13.06.2023 № 222 и Министра национальной экономики РК от 13.06.2023 № 112 (вводится в действие по истечении десяти календарных дней после дня его первого официального опубликования); с изменениями, внесенными совместными приказами Министра энергетики РК от 17.04.2024 № 164 и Заместителя Премьер-Министра — Министра национальной экономики РК от 22.04.2024 № 17 (вводится в действие по истечении десяти календарных дней после дня его первого официального опубликования); от 27.08.2024 № 302 и Заместителя Премьер-Министра – Министра национальной экономики РК от 02.09.2024 № 70 (вводится в действие по истечении десяти календарных дней после дня его первого официального опубликования).
3. Для целей управления рисками при осуществлении профилактического контроля с посещением субъекта (объекта) контроля субъекты (объекты) контроля относятся к одной из следующих степеней риска (далее – степени риска):
1) высокий риск;
2) средний риск;
3) низкий риск.
Для сфер деятельности субъектов (объектов) контроля, отнесенных к высокой и средней степени риска, проводятся профилактический контроль с посещением субъекта (объекта) контроля и внеплановая проверка.
Для сфер деятельности субъектов (объектов) контроля, отнесенных к низкой степени риска, проводится внеплановая проверка.
4. Критерии оценки степени риска для проведения профилактического контроля субъектов (объектов) контроля формируются посредством определения объективных и субъективных критериев.
Глава 2. Объективные критерии
5. Определение объективных критериев осуществляется посредством определения риска.
6. Определение риска осуществляется с учетом одного из следующих критериев:
1) уровня опасности (сложности) объекта;
2) масштабов тяжести возможных негативных последствий, вреда на регулируемую сферу (область);
3) возможности наступления неблагоприятного происшествия для жизни или здоровья человека, окружающей среды, законных интересов физических и юридических лиц, государства.
7. Производители товарного газа, сжиженного нефтяного газа, недропользователи, являющиеся собственниками товарного газа, произведенного в процессе переработки добытого ими сырого газа, собственники сжиженного нефтяного газа, произведенного в процессе переработки принадлежащего им на праве собственности или иных законных основаниях углеводородного сырья, национальный оператор относятся к субъектам высокой степени риска.
8. Газотранспортные организации, газораспределительные организации относятся к субъектам средней степени риска.
9. Собственники товарного газа, произведенного за пределами территории Республики Казахстан и ввезенного для потребления на территорию Республики Казахстан, собственники товарного газа, произведенного за пределами территории Республики Казахстан из сырого газа, добываемого в Республике Казахстан, на основании международных договоров Республики Казахстан, собственники сжиженного нефтяного газа, произведенного за пределами территории Республики Казахстан и ввезенного для потребления на территорию Республики Казахстан, производители сжиженного природного газа, владельцы автогазонаполнительных компрессорных станций, промышленные потребители товарного газа, промышленные потребители-инвесторы, потребители, включенные в перечень электростанций, владельцы газонаполнительных станций, газонаполнительных пунктов, групповых резервуарных установок и автогазозаправочных станций, промышленные потребители сжиженного нефтяного газа, крупные коммерческие потребители, лица, осуществляющие цифровой майнинг относятся к субъектам низкой степени риска.
Сноска. Пункт 9 — в редакции совместного приказа Министра энергетики РК от 27.08.2024 № 302 и Заместителя Премьер-Министра – Министра национальной экономики РК от 02.09.2024 № 70 (вводится в действие по истечении десяти календарных дней после дня его первого официального опубликования).
10. В отношении субъектов (объектов) контроля, отнесенных к высокой и средней степени риска применяются субъективные критерии с целью проведения профилактического контроля с посещением субъекта (объекта) контроля.
Глава 3. Субъективные критерии
11. Определение субъективных критериев осуществляется с применением следующих этапов:
1) формирование базы данных и сбор информации;
2) анализ информации и оценка риска.
12. Формирование базы данных и сбор информации необходимы для выявления субъектов (объектов) контроля, нарушающих законодательство Республики Казахстан в области газа и газоснабжения
Сноска. Пункт 12 — в редакции совместного приказа Министра энергетики РК от 27.08.2024 № 302 и Заместителя Премьер-Министра – Министра национальной экономики РК от 02.09.2024 № 70 (вводится в действие по истечении десяти календарных дней после дня его первого официального опубликования).
13. На основании имеющихся источников информации субъективные критерии подразделяются на три степени нарушения: грубые, значительные и незначительные.
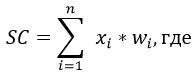
14. Расчет показателя степени риска по субъективным критериям (R) осуществляется в автоматизированном режиме путем суммирования показателя степени риска по нарушениям по результатам предыдущих проверок (SP) и показателя степени риска по субъективным критериям (SC), с последующей нормализацией значений данных в диапазон от 0 до 100 баллов.
Rпром = SP + SC, где
Rпром – промежуточный показатель степени риска по субъективным критериям,
SР – показатель степени риска по нарушениям,
SC – показатель степени риска по субъективным критериям.
Расчет производится по каждому субъекту (объекту) контроля однородной группы субъектов (объектов) контроля каждой сферы государственного контроля. При этом перечень оцениваемых субъектов (объектов) контроля, относимых к однородной группе субъектов (объектов) контроля одной сферы государственного контроля образует выборочную совокупность (выборку) для последующей нормализации данных.
По данным, полученным по результатам предыдущих проверок и профилактического контроля с посещением субъектов (объектов) контроля, формируется показатель степени риска по нарушениям, оцениваемый в баллах от 0 до 100.
При выявлении одного грубого нарушения по любому из источников информации, указанных в пункте 12 настоящих Критерий, субъекту контроля приравнивается показатель степени риска 100 баллов и в отношении него проводится проверка на соответствие требованиям или профилактический контроль с посещением субъекта (объекта) контроля.
При не выявлении грубых нарушений показатель степени риска по нарушениям рассчитывается суммарным показателем по нарушениям значительной и незначительной степени.
При определении показателя значительных нарушений применяется коэффициент 0,7.
Данный показатель рассчитывается по следующей формуле:
SРз = (SР2 х 100/SР1) х 0,7, где:
SРз – показатель значительных нарушений;
SР1 – требуемое количество значительных нарушений;
SР2 – количество выявленных значительных нарушений;
При определении показателя незначительных нарушений применяется коэффициент 0,3.
Данный показатель рассчитывается по следующей формуле:
SРн = (SР2 х 100/SР1) х 0,3, где:
SРн – показатель незначительных нарушений;
SР1 – требуемое количество незначительных нарушений;
SР2 – количество выявленных незначительных нарушений;
Показатель степени риска по нарушениям (SР) рассчитывается по шкале от 0 до 100 баллов и определяется путем суммирования показателей значительных и незначительных нарушений по следующей формуле:
SР = SРз + SРн, где:
SР – показатель степени риска по нарушениям;
SРз – показатель значительных нарушений;
SРн – показатель незначительных нарушений.
Полученное значение общего показателя является основанием отнесения субъекта предпринимательства к одной из следующих степеней риска:
1) к высокой степени риска – при показателе степени риска от 71 до 100 включительно и в отношении него проводится профилактический контроль с посещением субъекта (объекта) контроля;
2) к средней степени риска – при показателе степени риска от 31 до 70 включительно и в отношении него проводится профилактический контроль с посещением субъекта (объекта) контроля;
3) к низкой степени риска – при показателе степени риска от 0 до 30 включительно и в отношении него не проводится профилактический контроль с посещением субъекта (объекта) контроля.
Исходя из приоритетности применяемых источников информации и значимости показателей субъективных критериев, в соответствии с порядком расчета показателя степени риска по субъективным критериям, рассчитывается показатель степени риска по субъективным критериям по шкале от 0 до 100 баллов.
Расчет показателя степени риска по субъективным критериям производится по шкале от 0 до 100 баллов и осуществляется по следующей формуле:
– показатель субъективного критерия,
– удельный вес показателя субъективного критерия ,
n– количество показателей.
Полученное значение показателя степени риска по субъективным критериям включается в расчет показателя степени риска по субъективным критериям.
Рассчитанные по субъектам (объектам) значения по показателю
нормализуются в диапазон от 0 до 100 баллов. Нормализация данных осуществляется по каждой выборочной совокупности (выборке) с использованием следующей формулы:
, где
– показатель степени риска (итоговый) по субъективным критериям отдельного субъекта (объекта) контроля,
– максимально возможное значение по шкале степени риска по субъективным критериям по субъектам (объектам), входящим в одну выборочную совокупность (выборку) (верхняя граница шкалы),
– минимально возможное значение по шкале степени риска по субъективным критериям по субъектам (объектам), входящим в одну выборочную совокупность (выборку) (нижняя граница шкалы),
– промежуточный показатель степени риска по субъективным критериям.
Степени нарушений требований в сфере газа и газоснабжения приведены в приложениях 1, 2, 3, 4, 5, 6 и 7 к настоящим Критериям.
Приоритетность применяемых источников информации и значимость показателей субъективных критериев в сфере газа и газоснабжения устанавливаются согласно перечню субъективных критериев для определения степени риска по субъективным критериям, которые приведены в приложениях 8 и 9 к настоящим Критериям.
При анализе и оценке не применяются данные субъективных критериев, ранее учтенные и использованные в отношении конкретного субъекта (объекта) контроля либо данные, по которым истек срок исковой давности в соответствии с пунктом 1 статьи 178 Гражданского кодекса Республики Казахстан.
В отношении субъектов контроля, устранивших в полном объеме выданные нарушения по итогам проведенного предыдущего профилактического контроля с посещением, не допускается включение их при формировании списков на очередной период государственного контроля.
Кратность профилактического контроля с посещением субъекта (объекта) контроля определяется органом контроля в отношении субъектов (объектов) контроля, отнесенных к высокой степени риска, не чаще одного раз в год.
Анализ получаемых сведений и оценка по показателям осуществляется два раза в год до первого мая и до первого декабря отчетного года.
В случае если в отношении субъекта (объекта) контроля ранее проводился профилактический контроль с посещением, анализируемым периодом является период со дня после даты окончания последнего профилактического контроля с посещением до начала проводимого анализа.
Профилактический контроль с посещением субъекта (объекта) контроля проводится на основании полугодовых списков профилактического контроля с посещением субъекта (объекта) контроля, формируемых в соответствии с пунктом 4 статьи 144-2 Кодекса.
Сноска. Пункт 14 — в редакции совместного приказа и.о. Министра энергетики РК от 13.06.2023 № 222 и Министра национальной экономики РК от 13.06.2023 № 112 (вводится в действие по истечении десяти календарных дней после дня его первого официального опубликования).
15. Исключен совместным приказом и.о. Министра энергетики РК от 13.06.2023 № 222 и Министра национальной экономики РК от 13.06.2023 № 112 (вводится в действие по истечении десяти календарных дней после дня его первого официального опубликования).
16. Исключен совместным приказом и.о. Министра энергетики РК от 13.06.2023 № 222 и Министра национальной экономики РК от 13.06.2023 № 112 (вводится в действие по истечении десяти календарных дней после дня его первого официального опубликования).
| Приложение 1 к Критериям оценки степени риска в сфере газа и газоснабжения |
Степени нарушения требований в отношении производителей товарного газа
Сноска. Приложение 1 — в редакции совместного приказа и.о. Министра энергетики РК от 13.06.2023 № 222 и Министра национальной экономики РК от 13.06.2023 № 112 (вводится в действие по истечении десяти календарных дней после дня его первого официального опубликования).
|
№ п/п |
Требования |
Степень нарушения |
|
1 |
Соблюдение приоритетного права государства на приобретение отчуждаемых объектов единой системы снабжения товарным газом, долей в праве общей собственности на объекты единой системы снабжения товарным газом и пакетов акций (долей участия) юридических лиц-собственников объектов единой системы снабжения товарным газом, за исключением: |
Грубое |
|
2 |
Соблюдение преимущественного права государства на приобретение товарного газа, произведенного недропользователями в процессе переработки добытого ими сырого газа |
Грубое |
|
3 |
Соблюдение требований по поставке потребителям только товарного и (или) сжиженного нефтяного газа, за исключением реализации сырого газа промышленным потребителям для использования в качестве сырья |
Грубое |
|
4 |
Соблюдение требований по реализации товарного газа с обязательным их перемещением через контрольные приборы учета |
Значительное |
|
5 |
Соблюдение преимущественного права бытовых и коммунально-бытовых потребителей на пользование товарным газом |
Грубое |
|
6 |
Соблюдение установленных предельных цен оптовой реализации товарного газа на внутреннем рынке Республики Казахстан |
Грубое |
|
7 |
Соблюдение требований по предоставлению, ежемесячно не позднее двадцатого числа месяца, следующего за отчетным, в уполномоченный орган сведений о реализации товарного газа, в том числе ввезенного для потребления на территорию Республики Казахстан |
Незначительное |
|
8 |
Соблюдение требований по предоставлению производителями в уполномоченный орган: |
Незначительное |
| Приложение 2 к Критериям оценки степени риска в сфере газа и газоснабжения |
Степени нарушения требований в отношении производителей сжиженного нефтяного газа
Сноска. Приложение 2 — в редакции совместного приказа и.о. Министра энергетики РК от 13.06.2023 № 222 и Министра национальной экономики РК от 13.06.2023 № 112 (вводится в действие по истечении десяти календарных дней после дня его первого официального опубликования); с изменением, внесенным совместным приказом Министра энергетики РК от 27.08.2024 № 302 и Заместителя Премьер-Министра – Министра национальной экономики РК от 02.09.2024 № 70 (вводится в действие по истечении десяти календарных дней после дня его первого официального опубликования).
|
№ п/п |
Требования |
Степень нарушения |
|
1 |
Соблюдение требований по поставке потребителям только товарного и (или) сжиженного нефтяного газа, за исключением реализации сырого газа промышленным потребителям для использования в качестве сырья |
Грубое |
|
2 |
Соблюдение требований по реализации сжиженного нефтяного газа с обязательным их перемещением через контрольные приборы учета |
Значительное |
|
3 |
Соблюдение преимущественного права бытовых и коммунально-бытовых потребителей на пользование сжиженным нефтяным газом |
Грубое |
|
4 |
Соблюдение установленной предельной цены сжиженного нефтяного газа, реализуемого в рамках плана поставки на внутренний рынок Республики Казахстан вне товарных бирж |
Грубое |
|
5 |
Соблюдение требований по предоставлению производителями в уполномоченный орган прогнозного объема производства сжиженного нефтяного газа на предстоящие пять лет ежегодно не позднее чем за три месяца до начала планируемого периода |
Незначительное |
|
6 |
Соблюдение требований по предоставлению производителями сжиженного нефтяного газа в уполномоченный орган, ежемесячно не позднее пятого числа месяца, следующего за отчетным, сведений: |
Незначительное |
|
7 |
Выполнение плана поставки сжиженного нефтяного газа на внутренний рынок |
Грубое |
|
8 |
Соблюдение требований по оптовой реализации сжиженного нефтяного газа через собственные эстакады налива производственных объектов сжиженного нефтяного газа |
Значительное |
| Приложение 3 к Критериям оценки степени риска в сфере газа и газоснабжения |
Степени нарушения требований в отношении недропользователей, являющихся собственниками товарного газа, произведенного в процессе переработки добытого ими сырого газа
Сноска. Приложение 3 — в редакции совместного приказа и.о. Министра энергетики РК от 13.06.2023 № 222 и Министра национальной экономики РК от 13.06.2023 № 112 (вводится в действие по истечении десяти календарных дней после дня его первого официального опубликования).
|
№ п/п |
Требования |
Степень нарушения |
|
1 |
Соблюдение приоритетного права государства на приобретение отчуждаемых объектов единой системы снабжения товарным газом, долей в праве общей собственности на объекты единой системы снабжения товарным газом и пакетов акций (долей участия) юридических лиц-собственников объектов единой системы снабжения товарным газом, за исключением: |
Грубое |
|
2 |
Соблюдение преимущественного права государства на приобретение отчуждаемого товарного газа, произведенного недропользователями в процессе переработки добытого ими сырого газа |
Грубое |
|
3 |
Соблюдение недропользователями, имеющими намерение произвести отчуждение товарного газа, в срок не позднее чем за пять месяцев до начала планируемого периода требования по направлению национальному оператору коммерческого предложения с указанием: |
Значительное |
|
4 |
Соблюдение недропользователями, производящими товарный газ из попутного газа, принадлежащего Республике Казахстан, требований по передаче по решению уполномоченного органа товарного газа национальному оператору или товарный газ привлекаемому инвестору для дальнейшего использования в рамках партнерства в сфере газа и газоснабжения по цене, согласованной сторонами |
Значительное |
|
5 |
Соблюдение требований по поставке потребителям только товарного газа, за исключением реализации сырого газа промышленным потребителям для использования в качестве сырья |
Грубое |
|
6 |
Соблюдение требований по реализации товарного газа с обязательным их перемещением через контрольные приборы учета |
Значительное |
|
7 |
Соблюдение преимущественного права бытовых и коммунально-бытовых потребителей на пользование товарным газом |
Грубое |
|
8 |
Соблюдение установленных предельных цен оптовой реализации товарного газа на внутреннем рынке Республики Казахстан |
Грубое |
|
9 |
Соблюдение требований по предоставлению, ежемесячно не позднее двадцатого числа месяца, следующего за отчетным, в уполномоченный орган сведений о реализации товарного газа, в том числе ввезенного для потребления на территорию Республики Казахстан |
Незначительное |
|
10 |
Соблюдение запрета на осуществление перевозки сжиженного нефтяного и сжиженного природного газа железнодорожным, автомобильным, морским и внутренним водным транспортом за пределы территории Республики Казахстан самостоятельно либо с привлечением лиц, оказывающих услуги по перевозке сжиженного нефтяного и (или) сжиженного природного газа |
Грубое |
|
11 |
Соблюдение запрета на осуществление оптовой реализации сжиженного нефтяного газа |
Грубое |
|
12 |
Соблюдение запрета на осуществление реализации сжиженного нефтяного газа за пределы территории Республики Казахстан |
Грубое |
|
13 |
Соблюдение запрета на осуществление розничной реализации сжиженного нефтяного газа |
Грубое |
| Приложение 4 к Критериям оценки степени риска в сфере газа и газоснабжения |
Степени нарушения требований в отношении собственников сжиженного нефтяного газа, произведенного в процессе переработки принадлежащего им на праве собственности или иных законных основаниях углеводородного сырья
Сноска. Приложение 4 — в редакции совместного приказа и.о. Министра энергетики РК от 13.06.2023 № 222 и Министра национальной экономики РК от 13.06.2023 № 112 (вводится в действие по истечении десяти календарных дней после дня его первого официального опубликования); с изменением, внесенным совместным приказом Министра энергетики РК от 27.08.2024 № 302 и Заместителя Премьер-Министра – Министра национальной экономики РК от 02.09.2024 № 70 (вводится в действие по истечении десяти календарных дней после дня его первого официального опубликования).
|
№ п/п |
Требования |
Степень нарушения |
|
1 |
Соблюдение требований по поставке потребителям только товарного и (или) сжиженного нефтяного газа, за исключением реализации сырого газа промышленным потребителям для использования в качестве сырья |
Грубое |
|
2 |
Соблюдение требований по реализации сжиженного нефтяного газа с обязательным их перемещением через контрольные приборы учета |
Значительное |
|
3 |
Соблюдение преимущественного права бытовых и коммунально-бытовых потребителей на пользование сжиженным нефтяным газом |
Грубое |
|
4 |
Соблюдение установленной предельной цены сжиженного нефтяного газа, реализуемого в рамках плана поставки на внутренний рынок Республики Казахстан вне товарных бирж |
Грубое |
|
5 |
Соблюдение требований по предоставлению ежемесячно не позднее пятого числа месяца, следующего за отчетным, в уполномоченный орган сведений по отгрузке и (или) реализации сжиженного нефтяного газа в рамках плана поставки |
Незначительное |
|
6 |
Соблюдение запрета на осуществление оптовой реализации товарного газа |
Грубое |
|
7 |
Соблюдение запрета на осуществление розничной реализации товарного газа |
Грубое |
|
8 |
Выполнение плана поставки сжиженного нефтяного газа на внутренний рынок |
Грубое |
|
9 |
Соблюдение требований по оптовой реализации сжиженного нефтяного газа через эстакады налива производственных объектов производителей сжиженного нефтяного газа |
Значительное |
| Приложение 5 к Критериям оценки степени риска в сфере газа и газоснабжения |
Степени нарушения требований в отношении национального оператора
Сноска. Приложение 5 — в редакции совместного приказа и.о. Министра энергетики РК от 13.06.2023 № 222 и Министра национальной экономики РК от 13.06.2023 № 112 (вводится в действие по истечении десяти календарных дней после дня его первого официального опубликования).
|
№ п/п |
Требования |
Степень нарушения |
|
1 |
Обеспечение бесперебойной транспортировки и хранения товарного газа, в том числе путем заключения договоров с газотранспортными и газораспределительными организациями |
Грубое |
|
2 |
Обеспечение централизованного оперативно-диспетчерского управления технологическим режимом работы объектов единой системы снабжения товарным газом |
Значительное |
|
3 |
Представление в уполномоченный орган сведений по транспортировке, хранению и реализации товарного газа на территории Республики Казахстан, по приобретению сырого и товарного газа в рамках преимущественного права государства, а также прогноза внутренних потребностей Республики Казахстан в товарном газе на предстоящий календарный год |
Незначительное |
|
4 |
Обеспечение взаимодействия с газотранспортными системами сопредельных государств по управлению и обеспечению устойчивости режимов транспортировки товарного газа |
Значительное |
|
5 |
Обеспечение создания и функционирования автоматизированной системы коммерческого учета товарного газа, находящегося в единой системе снабжения товарным газом |
Значительное |
|
6 |
Обеспечение бесперебойного снабжения товарным газом потребителей, подключенных к объектам единой системы снабжения товарным газом |
Грубое |
|
7 |
Обеспечение строительства, эксплуатации, модернизации и (или) реконструкции объектов единой системы снабжения товарным газом в соответствии с генеральной схемой газификации Республики Казахстан |
Значительное |
|
8 |
Соблюдение требований по отчуждению по согласованию с уполномоченным органом объектов единой системы снабжения товарным газом, находящиеся в собственности национального оператора или газотранспортных и (или) газораспределительных организаций, пятьдесят и более процентов голосующих акций (долей участия) которых принадлежат национальному оператору |
Значительное |
|
9 |
Соблюдение приоритетного права государства на приобретение отчуждаемых объектов единой системы снабжения товарным газом, долей в праве общей собственности на объекты единой системы снабжения товарным газом и пакетов акций (долей участия) юридических лиц-собственников объектов единой системы снабжения товарным газом, за исключением: |
Грубое |
|
10 |
Соблюдение требований по поставке потребителям только товарного газа, за исключением реализации сырого газа промышленным потребителям для использования в качестве сырья |
Грубое |
|
11 |
Соблюдение требований по реализации товарного газа с обязательным их перемещением через контрольные приборы учета |
Значительное |
|
12 |
Соблюдение установленных предельных цен оптовой реализации товарного газа на внутреннем рынке Республики Казахстан |
Грубое |
|
13 |
Соблюдение требований по предоставлению, ежемесячно не позднее двадцатого числа месяца, следующего за отчетным, в уполномоченный орган сведений о реализации товарного газа, в том числе ввезенного для потребления на территорию Республики Казахстан |
Незначительное |
|
14 |
Соблюдение требований по предоставлению в уполномоченный орган: |
Незначительное |
|
15 |
Соблюдение запрета на осуществление розничной реализации товарного газа |
Грубое |
|
16 |
Соблюдение требований по осуществлению учета объема товарного газа при его транспортировке, хранении и реализации |
Значительное |
|
17 |
Соблюдение запрета на осуществление перевозки сжиженного нефтяного и сжиженного природного газа железнодорожным, автомобильным, морским и внутренним водным транспортом за пределы территории Республики Казахстан самостоятельно либо с привлечением лиц, оказывающих услуги по перевозке сжиженного нефтяного и (или) сжиженного природного газа |
Грубое |
|
18 |
Соблюдение запрета на осуществление оптовой реализации сжиженного нефтяного газа |
Грубое |
|
19 |
Соблюдение запрета на осуществление реализации сжиженного нефтяного газа за пределы территории Республики Казахстан |
Грубое |
|
20 |
Соблюдение запрета на осуществление розничной реализации сжиженного нефтяного газа |
Грубое |
| Приложение 6 к Критериям оценки степени риска в сфере газа и газоснабжения |
Степени нарушения требований в отношении газотранспортных организаций
Сноска. Приложение 6 — в редакции совместного приказа и.о. Министра энергетики РК от 13.06.2023 № 222 и Министра национальной экономики РК от 13.06.2023 № 112 (вводится в действие по истечении десяти календарных дней после дня его первого официального опубликования); с изменениями, внесенными совместными приказами Министра энергетики РК от 17.04.2024 № 164 и Заместителя Премьер-Министра — Министра национальной экономики РК от 22.04.2024 № 17 (вводится в действие по истечении десяти календарных дней после дня его первого официального опубликования).
|
№ п/п |
Требования |
Степень нарушения |
|
1 |
Соблюдение требований по отчуждению по согласованию с уполномоченным органом объектов единой системы снабжения товарным газом, находящихся в собственности газотранспортных организаций, пятьдесят и более процентов голосующих акций (долей участия) которых принадлежат национальному оператору |
Значительное |
|
2 |
Соблюдение приоритетного права государства на приобретение отчуждаемых объектов единой системы снабжения товарным газом, долей в праве общей собственности на объекты единой системы снабжения товарным газом и пакетов акций (долей участия) юридических лиц-собственников объектов единой системы снабжения товарным газом, за исключением: |
Грубое |
|
3 |
Соблюдение требований по предоставлению, ежемесячно не позднее пятого числа месяца, следующего за отчетным, национальному оператору сведений об объемах транспортировки и хранения товарного газа |
Незначительное |
|
4 |
Соблюдение требований по недопущению эксплуатации одних и тех же соединительных, магистральных газопроводов и хранилищ товарного газа двумя и более газотранспортными организациями |
Значительное |
|
5 |
Оказание услуг по транспортировке товарного газа по магистральным газопроводам за пределы территории Республики Казахстан исключительно: |
Грубое |
|
6 |
Соблюдение требований: |
Грубое |
|
7 |
Соблюдение требований по недопущению в транспортировке и (или) хранении товарного газа в случаях: |
Значительное |
|
8 |
Соблюдение требований по ведению учета объема товарного газа, транспортируемого по магистральным газопроводам, на газоизмерительных станциях по приборам учета газа с постоянным подтверждением данных по приборам учета товарного газа, установленным на пунктах приема (передачи) товарного газа и обеспечение передачи данных по учету объема транспортируемого товарного газа национальному оператору |
Значительное |
|
9 |
Соблюдение условий по бесперебойному снабжению товарным газом потребителей, подключенных к газораспределительной системе за исключением: |
Грубое |
|
10 |
Соблюдение запрета на осуществление оптовой реализации сжиженного нефтяного газа |
Грубое |
|
11 |
Соблюдение запрета на осуществление розничной реализации сжиженного нефтяного газа |
Грубое |
|
12 |
Соблюдение запрета на осуществление оптовой реализации товарного газа |
Грубое |
|
13 |
Соблюдение запрета на осуществление перевозки сжиженного нефтяного и сжиженного природного газа железнодорожным, автомобильным, морским и внутренним водным транспортом за пределы территории Республики Казахстан самостоятельно либо с привлечением лиц, оказывающих услуги по перевозке сжиженного нефтяного и (или) сжиженного природного газа |
Грубое |
|
14 |
Соблюдение запрета на осуществление реализации сжиженного нефтяного газа за пределы территории Республики Казахстан |
Грубое |
| Приложение 7 к Критериям оценки степени риска в сфере газа и газоснабжения |
Степени нарушения требований в отношении газораспределительных организаций
Сноска. Приложение 7 — в редакции совместного приказа и.о. Министра энергетики РК от 13.06.2023 № 222 и Министра национальной экономики РК от 13.06.2023 № 112 (вводится в действие по истечении десяти календарных дней после дня его первого официального опубликования); с изменениями, внесенными совместным приказом Министра энергетики РК от 17.04.2024 № 164 и Заместителя Премьер-Министра — Министра национальной экономики РК от 22.04.2024 № 17 (вводится в действие по истечении десяти календарных дней после дня его первого официального опубликования).
|
№ п/п |
Требования |
Степень нарушения |
|
1 |
Соблюдение приоритетного права государства на приобретение отчуждаемых объектов единой системы снабжения товарным газом, долей в праве общей собственности на объекты единой системы снабжения товарным газом и пакетов акций (долей участия) юридических лиц-собственников объектов единой системы снабжения товарным газом, за исключением: |
Грубое |
|
2 |
Соблюдение преимущественного права государства на приобретение отчуждаемого сырого газа, принадлежащего недропользователям, а также товарного газа, произведенного недропользователями в процессе переработки добытого ими сырого газа, за исключением случаев отчуждения: |
Грубое |
|
3 |
Соблюдение требований по реализации товарного и (или) сжиженного природного газа с обязательным их перемещением через контрольные приборы учета |
Значительное |
|
4 |
Соблюдение преимущественного права бытовых и коммунально-бытовых потребителей на пользование товарным газом |
Грубое |
|
5 |
Соблюдение условий по бесперебойному снабжению товарным газом потребителей, подключенных к газораспределительной системе за исключением: |
Грубое |
|
6 |
Соблюдение установленных предельных цен оптовой реализации товарного газа на внутреннем рынке Республики Казахстан |
Грубое |
|
7 |
Соблюдение требований по предоставлению, ежемесячно не позднее двадцатого числа месяца, следующего за отчетным, в уполномоченный орган сведений о реализации товарного газа, в том числе ввезенного для потребления на территорию Республики Казахстан |
Незначительное |
|
8 |
Соблюдение требований по представлению ежемесячно не позднее пятого числа месяца, следующего за отчетным, национальному оператору сведений об объемах транспортировки и хранения товарного газа |
Незначительное |
|
9 |
Соблюдение требований: |
Грубое |
|
10 |
Соблюдение запрета на осуществление оптовой реализации товарного газа, за исключением национальному оператору и (или) владельцам автогазонаполнительных компрессорных станций |
Грубое |
|
11 |
Соблюдение требований по ведению учета объема товарного газа, транспортируемого по газораспределительным системам, по приборам учета и обеспечению передачи данных по учету объема реализуемого товарного газа национальному оператору |
Значительное |
|
12 |
Соблюдение требований по отчуждению по согласованию с уполномоченным органом объектов единой системы снабжения товарным газом, находящиеся в собственности национального оператора или газотранспортных и (или) газораспределительных организаций, пятьдесят и более процентов голосующих акций (долей участия) которых принадлежат национальному оператору |
Значительное |
|
13 |
Соблюдение запрета на осуществление перевозки сжиженного нефтяного и сжиженного природного газа железнодорожным, автомобильным, морским и внутренним водным транспортом за пределы территории Республики Казахстан самостоятельно либо с привлечением лиц, оказывающих услуги по перевозке сжиженного нефтяного и (или) сжиженного природного газа |
Грубое |
|
14 |
Соблюдение запрета на осуществление оптовой реализации сжиженного нефтяного газа |
Грубое |
|
15 |
Соблюдение запрета на осуществление реализации сжиженного нефтяного газа за пределы территории Республики Казахстан |
Грубое |
|
16 |
Соблюдение запрета на осуществление розничной реализации сжиженного нефтяного газа |
Грубое |
| Приложение 8 Критериям оценки степени риска в сфере газа и газоснабжения |
Перечень субъективных критериев для определения степени риска по субъективным критериям в отношении производителей сжиженного нефтяного газа
Сноска. Критерии дополнены приложением 8 в соответствии с совместным приказом и.о. Министра энергетики РК от 13.06.2023 № 222 и Министра национальной экономики РК от 13.06.2023 № 112 (вводится в действие по истечении десяти календарных дней после дня его первого официального опубликования).
|
№ п/п |
Показатель субъективного критерия |
Источник данных по показателю субъективного критерия |
Удельный вес по значимости, балл |
Условия /значения, xi |
|
|
условие 1/значение |
условие 2/значение |
||||
|
1 |
2 |
3 |
4 |
5 |
6 |
|
1 |
Невыполнение сформированного уполномоченным органом в сфере газа и газоснабжения плана поставки сжиженного нефтяного газа на внутренний рынок Республики Казахстан |
результаты мониторинга отчетности и сведений |
Включение в список на профилактический контроль с посещением субъекта (объекта) контроля |
0 |
1 нарушение |
|
0 % |
100 % |
||||
| Приложение 9 Критериям оценки степени риска в сфере газа и газоснабжения |
Перечень субъективных критериев для определения степени риска по субъективным критериям в отношении собственников сжиженного нефтяного газа, произведенного в процессе переработки принадлежащего им на праве собственности или иных законных основаниях углеводородного сырья
Сноска. Критерии дополнены приложением 9 в соответствии с совместным приказом и.о. Министра энергетики РК от 13.06.2023 № 222 и Министра национальной экономики РК от 13.06.2023 № 112 (вводится в действие по истечении десяти календарных дней после дня его первого официального опубликования)
|
№ п/п |
Показатель субъективного критерия |
Источник данных по показателю субъективного критерия |
Удельный вес по значимости, балл |
Условия /значения, xi |
|
|
условие 1/значение |
условие 2/значение |
||||
|
1 |
2 |
3 |
4 |
5 |
6 |
|
1 |
Невыполнение сформированного уполномоченным органом в сфере газа и газоснабжения плана поставки сжиженного нефтяного газа на внутренний рынок Республики Казахстан |
результаты мониторинга отчетности и сведений |
Включение в список на профилактический контроль с посещением субъекта (объекта) контроля |
0 |
1 нарушение |
|
0 % |
100 % |
||||
| Приложение 2 к совместному приказу Министра энергетики Республики Казахстан от 24 декабря 2015 года № 748 и Министра национальной экономики Республики Казахстан от 29 декабря 2015 года № 824 |
Проверочный лист в сфере газа и газоснабжения в отношении производителей товарного газа
Сноска. Приложение 2 — в редакции cовместного приказа и.о. Министра энергетики РК от 29.11.2022 № 383 и и.о. Министра национальной экономики РК от 30.11.2022 № 99 (вводится в действие с 01.01.2023).
Государственный орган, назначивший проверку/ профилактический контроль
с посещением субъекта (объекта) контроля
______________________________________________________________________
______________________________________________________________________
Акт о назначении проверки/ профилактического контроля с посещением субъекта
(объекта) контроля _____________________________________________ (№, дата)
Наименование субъекта (объекта) контроля ________________________________
______________________________________________________________________
Индивидуальный идентификационный номер/ бизнес-идентификационный номер
субъекта (объекта) контроля _____________________________________________
______________________________________________________________________
Адрес места нахождения ________________________________________________
______________________________________________________________________
|
№ |
Перечень требований |
Соответствует требованиям |
Не соответствует требованиям |
|
1 |
2 |
3 |
4 |
|
1 |
Соблюдение приоритетного права государства на приобретение отчуждаемых объектов единой системы снабжения товарным газом, долей в праве общей собственности на объекты единой системы снабжения товарным газом и пакетов акций (долей участия) юридических лиц-собственников объектов единой системы снабжения товарным газом, за исключением: |
||
|
2 |
Соблюдение преимущественного права государства на приобретение товарного газа, произведенного недропользователями в процессе переработки добытого ими сырого газа |
||
|
3 |
Соблюдение требований по поставке потребителям только товарного и (или) сжиженного нефтяного газа, за исключением реализации сырого газа промышленным потребителям для использования в качестве сырья |
||
|
4 |
Соблюдение требований по реализации товарного газа с обязательным их перемещением через контрольные приборы учета |
||
|
5 |
Соблюдение преимущественного права бытовых и коммунально-бытовых потребителей на пользование товарным газом |
||
|
6 |
Соблюдение установленных предельных цен оптовой реализации товарного газа на внутреннем рынке Республики Казахстан |
||
|
7 |
Соблюдение требований по предоставлению, ежемесячно не позднее двадцатого числа месяца, следующего за отчетным, в уполномоченный орган сведений о реализации товарного газа, в том числе ввезенного для потребления на территорию Республики Казахстан |
||
|
8 |
Соблюдение требований по предоставлению производителями в уполномоченный орган: |
Должностное (ые) лицо (а)
__________ ______________ __________________________________________
должность подпись фамилия, имя, отчество (при его наличии)
__________ ______________ __________________________________________
должность подпись фамилия, имя, отчество (при его наличии)
Руководитель субъекта контроля
__________ ______________ __________________________________________
должность подпись фамилия, имя, отчество (при его наличии)
| Приложение 3 к совместному приказу Министра энергетики Республики Казахстан от 24 декабря 2015 года № 748 и Министра национальной экономики Республики Казахстан от 29 декабря 2015 года № 824 |
Проверочный лист в сфере газа и газоснабжения в отношении производителей сжиженного нефтяного газа
Сноска. Приложение 3 — в редакции cовместного приказа и.о. Министра энергетики РК от 29.11.2022 № 383 и и.о. Министра национальной экономики РК от 30.11.2022 № 99 (вводится в действие с 01.01.2023); с изменением, внесенным совместным приказом Министра энергетики РК от 27.08.2024 № 302 и Заместителя Премьер-Министра – Министра национальной экономики РК от 02.09.2024 № 70 (вводится в действие по истечении десяти календарных дней после дня его первого официального опубликования).
Государственный орган, назначивший проверку/ профилактический контроль
с посещением субъекта (объекта) контроля _________________________________
______________________________________________________________________
Акт о назначении проверки/ профилактического контроля с посещением субъекта
(объекта) контроля _____________________________________________ (№, дата)
Наименование субъекта (объекта) контроля ________________________________
______________________________________________________________________
Индивидуальный идентификационный номер/ бизнес-идентификационный номер
субъекта (объекта) контроля _____________________________________________
______________________________________________________________________
Адрес места нахождения ________________________________________________
______________________________________________________________________
|
№ |
Перечень требований |
Соответствует требованиям |
Не соответствует требованиям |
|
1 |
2 |
3 |
4 |
|
1 |
Соблюдение требований по поставке потребителям только товарного и (или) сжиженного нефтяного газа, за исключением реализации сырого газа промышленным потребителям для использования в качестве сырья |
||
|
2 |
Соблюдение требований по реализации сжиженного нефтяного газа с обязательным их перемещением через контрольные приборы учета |
||
|
3 |
Соблюдение преимущественного права бытовых и коммунально-бытовых потребителей на пользование сжиженным нефтяным газом |
||
|
4 |
Соблюдение установленной предельной цены сжиженного нефтяного газа, реализуемого в рамках плана поставки на внутренний рынок Республики Казахстан вне товарных бирж |
||
|
5 |
Соблюдение требований по предоставлению производителями в уполномоченный орган прогнозного объема производства сжиженного нефтяного газа на предстоящие пять лет ежегодно не позднее чем за три месяца до начала планируемого периода |
||
|
6 |
Соблюдение требований по предоставлению производителями сжиженного нефтяного газа в уполномоченный орган, ежемесячно не позднее пятого числа месяца, следующего за отчетным, сведений: |
||
|
7 |
Выполнение плана поставки сжиженного нефтяного газа на внутренний рынок |
||
|
8 |
Соблюдение требований по оптовой реализации сжиженного нефтяного газа через собственные эстакады налива производственных объектов сжиженного нефтяного газа |
Должностное (ые) лицо (а)
__________ ______________ __________________________________________
должность подпись фамилия, имя, отчество (при его наличии)
__________ ______________ __________________________________________
должность подпись фамилия, имя, отчество (при его наличии)
Руководитель субъекта контроля
__________ ______________ __________________________________________
должность подпись фамилия, имя, отчество (при его наличии)
| Приложение 4 к совместному приказу Министра энергетики Республики Казахстан от 24 декабря 2015 года № 748 и Министра национальной экономики Республики Казахстан от 29 декабря 2015 года № 824 |
Проверочный лист в сфере газа и газоснабжения в отношении производителей сжиженного природного газа
Сноска. Приложение 4 — в редакции cовместного приказа и.о. Министра энергетики РК от 29.11.2022 № 383 и и.о. Министра национальной экономики РК от 30.11.2022 № 99 (вводится в действие с 01.01.2023).
Государственный орган, назначивший проверку/ профилактический контроль
с посещением субъекта (объекта) контроля _________________________________
______________________________________________________________________
Акт о назначении проверки/ профилактического контроля с посещением субъекта
(объекта) контроля _____________________________________________ (№, дата)
Наименование субъекта (объекта) контроля ________________________________
______________________________________________________________________
Индивидуальный идентификационный номер/ бизнес-идентификационный номер
субъекта (объекта) контроля _____________________________________________
______________________________________________________________________
Адрес места нахождения ________________________________________________
______________________________________________________________________
|
№ |
Перечень требований |
Соответствует требованиям |
Не соответствует требованиям |
|
1 |
2 |
3 |
4 |
|
1 |
Соблюдение преимущественного права государства на приобретение отчуждаемого сырого газа, принадлежащего недропользователям |
||
|
2 |
Соблюдение требований по реализации сжиженного природного газа с обязательным их перемещением через контрольные приборы учета |
||
|
3 |
Соблюдение требований по предоставлению производителями в уполномоченный орган: |
||
|
4 |
Соблюдение требований по предоставлению ежемесячно не позднее пятого числа месяца, следующего за отчетным, в уполномоченный орган сведений о реализации сжиженного природного газа, в том числе произведенного за пределами территории Республики Казахстан и ввезенного для потребления на территорию Республики Казахстан |
Должностное (ые) лицо (а)
__________ ______________ __________________________________________
должность подпись фамилия, имя, отчество (при его наличии)
__________ ______________ __________________________________________
должность подпись фамилия, имя, отчество (при его наличии)
Руководитель субъекта контроля
__________ ______________ __________________________________________
должность подпись фамилия, имя, отчество (при его наличии)
| Приложение 5 к совместному приказу Министра энергетики Республики Казахстан от 24 декабря 2015 года № 748 и Министра национальной экономики Республики Казахстан от 29 декабря 2015 года № 824 |
Проверочный лист в сфере газа и газоснабжения в отношении недропользователей, являющихся собственниками товарного газа, произведенного в процессе переработки добытого ими сырого газа
Сноска. Приложение 5 — в редакции cовместного приказа и.о. Министра энергетики РК от 29.11.2022 № 383 и и.о. Министра национальной экономики РК от 30.11.2022 № 99 (вводится в действие с 01.01.2023).
Государственный орган, назначивший проверку/ профилактический контроль
с посещением субъекта (объекта) контроля _________________________________
______________________________________________________________________
Акт о назначении проверки/ профилактического контроля с посещением субъекта
(объекта) контроля _____________________________________________ (№, дата)
Наименование субъекта (объекта) контроля ________________________________
______________________________________________________________________
Индивидуальный идентификационный номер/ бизнес-идентификационный номер
субъекта (объекта) контроля _____________________________________________
______________________________________________________________________
Адрес места нахождения ________________________________________________
______________________________________________________________________
|
№ |
Перечень требований |
Соответствует требованиям |
Не соответствует требованиям |
|
1 |
2 |
3 |
4 |
|
1 |
Соблюдение приоритетного права государства на приобретение отчуждаемых объектов единой системы снабжения товарным газом, долей в праве общей собственности на объекты единой системы снабжения товарным газом и пакетов акций (долей участия) юридических лиц-собственников объектов единой системы снабжения товарным газом, за исключением: |
||
|
2 |
Соблюдение преимущественного права государства на приобретение отчуждаемого товарного газа, произведенного недропользователями в процессе переработки добытого ими сырого газа |
||
|
3 |
Соблюдение недропользователями, имеющими намерение произвести отчуждение товарного газа, в срок не позднее чем за пять месяцев до начала планируемого периода требования по направлению национальному оператору коммерческого предложения с указанием: |
||
|
4 |
Соблюдение недропользователями, производящими товарный газ из попутного газа, принадлежащего Республике Казахстан, требований по передаче по решению уполномоченного органа товарного газа национальному оператору или товарный газ привлекаемому инвестору для дальнейшего использования в рамках партнерства в сфере газа и газоснабжения по цене, согласованной сторонами |
||
|
5 |
Соблюдение требований по поставке потребителям только товарного газа, за исключением реализации сырого газа промышленным потребителям для использования в качестве сырья |
||
|
6 |
Соблюдение требований по реализации товарного газа с обязательным их перемещением через контрольные приборы учета |
||
|
7 |
Соблюдение преимущественного права бытовых и коммунально-бытовых потребителей на пользование товарным газом |
||
|
8 |
Соблюдение установленных предельных цен оптовой реализации товарного газа на внутреннем рынке Республики Казахстан |
||
|
9 |
Соблюдение требований по предоставлению, ежемесячно не позднее двадцатого числа месяца, следующего за отчетным, в уполномоченный орган сведений о реализации товарного газа, в том числе ввезенного для потребления на территорию Республики Казахстан |
||
|
10 |
Соблюдение запрета на осуществление перевозки сжиженного нефтяного и сжиженного природного газа железнодорожным, автомобильным, морским и внутренним водным транспортом за пределы территории Республики Казахстан самостоятельно либо с привлечением лиц, оказывающих услуги по перевозке сжиженного нефтяного и (или) сжиженного природного газа |
||
|
11 |
Соблюдение запрета на осуществление оптовой реализации сжиженного нефтяного газа |
||
|
12 |
Соблюдение запрета на осуществление реализации сжиженного нефтяного газа за пределы территории Республики Казахстан |
||
|
13 |
Соблюдение запрета на осуществление розничной реализации сжиженного нефтяного газа |
Должностное (ые) лицо (а)
__________ ______________ __________________________________________
должность подпись фамилия, имя, отчество (при его наличии)
__________ ______________ __________________________________________
должность подпись фамилия, имя, отчество (при его наличии)
Руководитель субъекта контроля
__________ ______________ __________________________________________
должность подпись фамилия, имя, отчество (при его наличии)
| Приложение 6 к совместному приказу Министра энергетики Республики Казахстан от 24 декабря 2015 года № 748 и Министра национальной экономики Республики Казахстан от 29 декабря 2015 года № 824 |
Проверочный лист в сфере газа и газоснабжения в отношении собственников сжиженного нефтяного газа, произведенного в процессе переработки принадлежащего им на праве собственности или иных законных основаниях углеводородного сырья
Сноска. Приложение 6 — в редакции cовместного приказа и.о. Министра энергетики РК от 29.11.2022 № 383 и и.о. Министра национальной экономики РК от 30.11.2022 № 99 (вводится в действие с 01.01.2023); с изменением, внесенным совместным приказом Министра энергетики РК от 27.08.2024 № 302 и Заместителя Премьер-Министра – Министра национальной экономики РК от 02.09.2024 № 70 (вводится в действие по истечении десяти календарных дней после дня его первого официального опубликования).
Государственный орган, назначивший проверку/ профилактический контроль
с посещением субъекта (объекта) контроля _________________________________
______________________________________________________________________
Акт о назначении проверки/ профилактического контроля с посещением субъекта
(объекта) контроля _____________________________________________ (№, дата)
Наименование субъекта (объекта) контроля ________________________________
______________________________________________________________________
Индивидуальный идентификационный номер/ бизнес-идентификационный номер
субъекта (объекта) контроля _____________________________________________
______________________________________________________________________
Адрес места нахождения ________________________________________________
______________________________________________________________________
|
№ |
Перечень требований |
Соответствует требованиям |
Не соответствует требованиям |
|
1 |
2 |
3 |
4 |
|
1 |
Соблюдение требований по поставке потребителям только товарного и (или) сжиженного нефтяного газа, за исключением реализации сырого газа промышленным потребителям для использования в качестве сырья |
||
|
2 |
Соблюдение требований по реализации сжиженного нефтяного газа с обязательным их перемещением через контрольные приборы учета |
||
|
3 |
Соблюдение преимущественного права бытовых и коммунально-бытовых потребителей на пользование сжиженным нефтяным газом |
||
|
4 |
Соблюдение установленной предельной цены сжиженного нефтяного газа, реализуемого в рамках плана поставки на внутренний рынок Республики Казахстан вне товарных бирж |
||
|
5 |
Соблюдение требований по предоставлению ежемесячно не позднее пятого числа месяца, следующего за отчетным, в уполномоченный орган сведений по отгрузке и (или) реализации сжиженного нефтяного газа в рамках плана поставки |
||
|
6 |
Соблюдение запрета на осуществление оптовой реализации товарного газа |
||
|
7 |
Соблюдение запрета на осуществление розничной реализации товарного газа |
||
|
8 |
Выполнение плана поставки сжиженного нефтяного газа на внутренний рынок |
||
|
9 |
Соблюдение требований по оптовой реализации сжиженного нефтяного газа через эстакады налива производственных объектов сжиженного нефтяного газа |
Должностное (ые) лицо (а)
__________ ______________ __________________________________________
должность подпись фамилия, имя, отчество (при его наличии)
__________ ______________ __________________________________________
должность подпись фамилия, имя, отчество (при его наличии)
Руководитель субъекта контроля
__________ ______________ __________________________________________
должность подпись фамилия, имя, отчество (при его наличии)
| Приложение 7 к совместному приказу Министра энергетики Республики Казахстан от 24 декабря 2015 года № 748 и Министра национальной |
|
| Экономики Республики Казахстан от 29 декабря 2015 года № 824 |
Проверочный лист в сфере газа и газоснабжения в отношении собственников сжиженного нефтяного газа, произведенного за пределами территории Республики Казахстан и ввезенного для потребления на территорию Республики Казахстан
Сноска. Приложение 7 — в редакции cовместного приказа и.о. Министра энергетики РК от 29.11.2022 № 383 и и.о. Министра национальной экономики РК от 30.11.2022 № 99 (вводится в действие с 01.01.2023).
Государственный орган, назначивший проверку/ профилактический контроль
с посещением субъекта (объекта) контроля _________________________________
______________________________________________________________________
Акт о назначении проверки/ профилактического контроля с посещением субъекта
(объекта) контроля _____________________________________________ (№, дата)
Наименование субъекта (объекта) контроля ________________________________
______________________________________________________________________
Индивидуальный идентификационный номер/ бизнес-идентификационный номер
субъекта (объекта) контроля _____________________________________________
______________________________________________________________________
Адрес места нахождения ________________________________________________
______________________________________________________________________
|
№ |
Перечень требований |
Соответствует требованиям |
Не соответствует требованиям |
|
1 |
2 |
3 |
4 |
|
1 |
Соблюдение требований по поставке потребителям только сжиженного нефтяного газа, за исключением реализации сырого газа промышленным потребителям для использования в качестве сырья |
||
|
2 |
Соблюдение требований по реализации сжиженного нефтяного газа с обязательным их перемещением через контрольные приборы учета |
||
|
3 |
Соблюдение преимущественного права бытовых и коммунально-бытовых потребителей на пользование сжиженным нефтяным газом |
||
|
4 |
Соблюдение установленной предельной цены сжиженного нефтяного газа, реализуемого в рамках плана поставки на внутренний рынок Республики Казахстан вне товарных бирж |
||
|
5 |
Соблюдение требований по предоставлению ежемесячно не позднее пятого числа месяца, следующего за отчетным, в уполномоченный орган сведений о реализации сжиженного природного газа, в том числе произведенного за пределами территории Республики Казахстан и ввезенного для потребления на территорию Республики Казахстан |
||
|
6 |
Соблюдение запрета на осуществление розничной реализации товарного газа |
||
|
7 |
Соблюдение запрета на осуществление перевозки сжиженного нефтяного и сжиженного природного газа железнодорожным, автомобильным, морским и внутренним водным транспортом за пределы территории Республики Казахстан самостоятельно либо с привлечением лиц, оказывающих услуги по перевозке сжиженного нефтяного и (или) сжиженного природного газа, за исключением: |
Должностное (ые) лицо (а)
__________ ______________ __________________________________________
должность подпись фамилия, имя, отчество (при его наличии)
__________ ______________ __________________________________________
должность подпись фамилия, имя, отчество (при его наличии)
Руководитель субъекта контроля
__________ ______________ __________________________________________
должность подпись фамилия, имя, отчество (при его наличии)
| Приложение 8 к совместному приказу Министра энергетики Республики Казахстан от 24 декабря 2015 года № 748 и Министра национальной экономики Республики Казахстан от 29 декабря 2015 года № 824 |
Проверочный лист в сфере газа и газоснабжения в отношении собственников товарного газа, произведенного за пределами территории Республики Казахстан и ввезенного для потребления на территорию Республики Казахстан
Сноска. Приложение 8 — в редакции cовместного приказа и.о. Министра энергетики РК от 29.11.2022 № 383 и и.о. Министра национальной экономики РК от 30.11.2022 № 99 (вводится в действие с 01.01.2023).
Государственный орган, назначивший проверку/ профилактический контроль
с посещением субъекта (объекта) контроля ___________________________________
_________________________________________________________________________
Акт о назначении проверки/ профилактического контроля с посещением субъекта
(объекта) контроля ________________________________________________ (№, дата)
Наименование субъекта (объекта) контроля ___________________________________
_________________________________________________________________________
Индивидуальный идентификационный номер/ бизнес-идентификационный номер
субъекта (объекта) контроля ________________________________________________
_________________________________________________________________________
Адрес места нахождения ___________________________________________________
_________________________________________________________________________
|
№ |
Перечень требований |
Соответствует требованиям |
Не соответствует требованиям |
|
1 |
2 |
3 |
4 |
|
1 |
Соблюдение приоритетного права государства на приобретение отчуждаемых объектов единой системы снабжения товарным газом, долей в праве общей собственности на объекты единой системы снабжения товарным газом и пакетов акций (долей участия) юридических лиц-собственников объектов единой системы снабжения товарным газом, за исключением: |
||
|
2 |
Соблюдение требований по поставке потребителям только товарного газа, за исключением реализации сырого газа промышленным потребителям для использования в качестве сырья |
||
|
3 |
Соблюдение требований по реализации товарного газа с обязательным их перемещением через контрольные приборы учета |
||
|
4 |
Соблюдение преимущественного права бытовых и коммунально-бытовых потребителей на пользование товарным газом |
||
|
5 |
Соблюдение установленных предельных цен оптовой реализации товарного газа на внутреннем рынке Республики Казахстан |
||
|
6 |
Соблюдение требований по предоставлению, ежемесячно не позднее двадцатого числа месяца, следующего за отчетным, в уполномоченный орган сведений о реализации товарного газа, в том числе ввезенного для потребления на территорию Республики Казахстан |
||
|
7 |
Соблюдение запрета на осуществление перевозки сжиженного нефтяного и сжиженного природного газа железнодорожным, автомобильным, морским и внутренним водным транспортом за пределы территории Республики Казахстан самостоятельно либо с привлечением лиц, оказывающих услуги по перевозке сжиженного нефтяного и (или) сжиженного природного газа |
||
|
8 |
Соблюдение запрета на осуществление оптовой реализации сжиженного нефтяного газа |
||
|
9 |
Соблюдение запрета на осуществление реализации сжиженного нефтяного газа за пределы территории Республики Казахстан обладают, за исключением: |
||
|
10 |
Соблюдение запрета на осуществление розничной реализации сжиженного нефтяного газа |
Должностное (ые) лицо (а)
__________ ______________ __________________________________________
должность подпись фамилия, имя, отчество (при его наличии)
__________ ______________ __________________________________________
должность подпись фамилия, имя, отчество (при его наличии)
Руководитель субъекта контроля
__________ ______________ __________________________________________
должность подпись фамилия, имя, отчество (при его наличии)
| Приложение 9 к совместному приказу Министра энергетики Республики Казахстан от 24 декабря 2015 года № 748 и Министра национальной экономики Республики Казахстан от 29 декабря 2015 года № 824 |
Проверочный лист в сфере газа и газоснабжения в отношении собственников товарного газа, произведенного за пределами территории Республики Казахстан из сырого газа, добываемого в Республике Казахстан, на основании международных договоров Республики Казахстан
Сноска. В наименование приложения 9 внесены изменения на казахском языке, текст на русском не меняется в соответствии с совместным приказом и.о. Министра энергетики РК от 13.06.2023 № 222 и Министра национальной экономики РК от 13.06.2023 № 112 (вводится в действие по истечении десяти календарных дней после дня его первого официального опубликования).
Сноска. Совместный приказ дополнен приложением 9 в соответствии с совместным приказом и.о. Министра энергетики РК от 29.11.2022 № 383 и и.о. Министра национальной экономики РК от 30.11.2022 № 99 (вводится в действие с 01.01.2023); с изменениями, внесенными совместным приказом и.о. Министра энергетики РК от 13.06.2023 № 222 и Министра национальной экономики РК от 13.06.2023 № 112 (вводится в действие по истечении десяти календарных дней после дня его первого официального опубликования).
Государственный орган, назначивший проверку/ профилактический контроль
с посещением субъекта (объекта) контроля __________________________________
_______________________________________________________________________
Акт о назначении проверки/ профилактического контроля с посещением субъекта
(объекта) контроля ______________________________________________ (№, дата)
Наименование субъекта (объекта) контроля _________________________________
_______________________________________________________________________
Индивидуальный идентификационный номер/ бизнес-идентификационный номер
субъекта (объекта) контроля ______________________________________________
_______________________________________________________________________
Адрес места нахождения _________________________________________________
_______________________________________________________________________
|
№ |
Перечень требований |
Соответствует требованиям |
Не соответствует требованиям |
|
1 |
2 |
3 |
4 |
|
1 |
Соблюдение приоритетного права государства на приобретение отчуждаемых объектов единой системы снабжения товарным газом, долей в праве общей собственности на объекты единой системы снабжения товарным газом и пакетов акций (долей участия) юридических лиц-собственников объектов единой системы снабжения товарным газом, за исключением: |
||
|
2 |
Соблюдение требований по поставке потребителям только товарного, за исключением реализации сырого газа промышленным потребителям для использования в качестве сырья |
||
|
3 |
Соблюдение требований по реализации товарного газа с обязательным их перемещением через контрольные приборы учета |
||
|
4 |
Соблюдение преимущественного права бытовых и коммунально-бытовых потребителей на пользование товарным газом |
||
|
5 |
Соблюдение установленных предельных цен оптовой реализации товарного газа на внутреннем рынке Республики Казахстан |
||
|
6 |
Соблюдение требований по предоставлению, ежемесячно не позднее двадцатого числа месяца, следующего за отчетным, в уполномоченный орган сведений о реализации товарного газа, в том числе ввезенного для потребления на территорию Республики Казахстан |
||
|
7 |
Соблюдение запрета на осуществление оптовой реализации сжиженного нефтяного газа |
||
|
8 |
Соблюдение запрета на осуществление реализации сжиженного нефтяного газа за пределы территории Республики Казахстан обладают, за исключением: |
||
|
9 |
Соблюдение запрета на осуществление розничной реализации сжиженного нефтяного газа, за исключением производителей, собственников сжиженного нефтяного газа, произведенного в процессе переработки принадлежащего им на праве собственности или иных законных основаниях углеводородного сырья, собственников сжиженного нефтяного газа, произведенного за пределами территории Республики Казахстан и ввезенного для потребления на территорию Республики Казахстан, в случае розничной реализации сжиженного нефтяного газа промышленным потребителям |
||
|
10 |
Соблюдение запрета на осуществление перевозки сжиженного нефтяного и сжиженного природного газа железнодорожным, автомобильным, морским и внутренним водным транспортом за пределы территории Республики Казахстан самостоятельно либо с привлечением лиц, оказывающих услуги по перевозке сжиженного нефтяного и (или) сжиженного природного газа |
Должностное (ые) лицо (а)
__________ ______________ __________________________________________
должность подпись фамилия, имя, отчество (при его наличии)
__________ ______________ __________________________________________
должность подпись фамилия, имя, отчество (при его наличии)
Руководитель субъекта контроля
__________ ______________ __________________________________________
должность подпись фамилия, имя, отчество (при его наличии)
| Приложение 10 к совместному приказу Министра энергетики Республики Казахстан от 24 декабря 2015 года № 748 и Министра национальной экономики Республики Казахстан от 29 декабря 2015 года № 824 |
Проверочный лист в сфере газа и газоснабжения в отношении национального оператора
Сноска. Совместный приказ дополнен приложением 10 в соответствии с совместным приказом и.о. Министра энергетики РК от 29.11.2022 № 383 и и.о. Министра национальной экономики РК от 30.11.2022 № 99 (вводится в действие с 01.01.2023).
Государственный орган, назначивший проверку/ профилактический контроль
с посещением субъекта (объекта) контроля __________________________________
_______________________________________________________________________
Акт о назначении проверки/ профилактического контроля с посещением субъекта
(объекта) контроля ______________________________________________ (№, дата)
Наименование субъекта (объекта) контроля _________________________________
_______________________________________________________________________
Индивидуальный идентификационный номер/ бизнес-идентификационный номер
субъекта (объекта) контроля ______________________________________________
_______________________________________________________________________
Адрес места нахождения _________________________________________________
_______________________________________________________________________
|
№ |
Перечень требований |
Соответствует требованиям |
Не соответствует требованиям |
|
1 |
2 |
3 |
4 |
|
1 |
Обеспечение бесперебойной транспортировки и хранения товарного газа, в том числе путем заключения договоров с газотранспортными и газораспределительными организациями |
||
|
2 |
Обеспечение централизованного оперативно-диспетчерского управления технологическим режимом работы объектов единой системы снабжения товарным газом |
||
|
3 |
Представление в уполномоченный орган сведений по транспортировке, хранению и реализации товарного газа на территории Республики Казахстан, по приобретению сырого и товарного газа в рамках преимущественного права государства, а также прогноза внутренних потребностей Республики Казахстан в товарном газе на предстоящий календарный год |
||
|
4 |
Обеспечение взаимодействия с газотранспортными системами сопредельных государств по управлению и обеспечению устойчивости режимов транспортировки товарного газа |
||
|
5 |
Обеспечение создания и функционирования автоматизированной системы коммерческого учета товарного газа, находящегося в единой системе снабжения товарным газом |
||
|
6 |
Обеспечение бесперебойного снабжения товарным газом потребителей, подключенных к объектам единой системы снабжения товарным газом |
||
|
7 |
Обеспечение строительства, эксплуатации, модернизации и (или) реконструкции объектов единой системы снабжения товарным газом в соответствии с генеральной схемой газификации Республики Казахстан |
||
|
8 |
Соблюдение требований по отчуждению по согласованию с уполномоченным органом объектов единой системы снабжения товарным газом, находящиеся в собственности национального оператора или газотранспортных и (или) газораспределительных организаций, пятьдесят и более процентов голосующих акций (долей участия) которых принадлежат национальному оператору |
||
|
9 |
Соблюдение приоритетного права государства на приобретение отчуждаемых объектов единой системы снабжения товарным газом, долей в праве общей собственности на объекты единой системы снабжения товарным газом и пакетов акций (долей участия) юридических лиц-собственников объектов единой системы снабжения товарным газом, за исключением: |
||
|
10 |
Соблюдение требований по поставке потребителям только товарного газа, за исключением реализации сырого газа промышленным потребителям для использования в качестве сырья |
||
|
11 |
Соблюдение требований по реализации товарного газа с обязательным их перемещением через контрольные приборы учета |
||
|
12 |
Соблюдение установленных предельных цен оптовой реализации товарного газа на внутреннем рынке Республики Казахстан |
||
|
13 |
Соблюдение требований по предоставлению, ежемесячно не позднее двадцатого числа месяца, следующего за отчетным, в уполномоченный орган сведений о реализации товарного газа, в том числе ввезенного для потребления на территорию Республики Казахстан |
||
|
14 |
Соблюдение требований по предоставлению в уполномоченный орган: |
||
|
15 |
Соблюдение запрета на осуществление розничной реализации товарного газа |
||
|
16 |
Соблюдение требований по осуществлению учета объема товарного газа при его транспортировке, хранении и реализации |
||
|
17 |
Соблюдение запрета на осуществление перевозки сжиженного нефтяного и сжиженного природного газа железнодорожным, автомобильным, морским и внутренним водным транспортом за пределы территории Республики Казахстан самостоятельно либо с привлечением лиц, оказывающих услуги по перевозке сжиженного нефтяного и (или) сжиженного природного газа |
||
|
18 |
Соблюдение запрета на осуществление оптовой реализации сжиженного нефтяного газа |
||
|
19 |
Соблюдение запрета на осуществление реализации сжиженного нефтяного газа за пределы территории Республики Казахстан |
||
|
20 |
Соблюдение запрета на осуществление розничной реализации сжиженного нефтяного газа |
Должностное (ые) лицо (а)
__________ ______________ __________________________________________
должность подпись фамилия, имя, отчество (при его наличии)
__________ ______________ __________________________________________
должность подпись фамилия, имя, отчество (при его наличии)
Руководитель субъекта контроля
__________ ______________ __________________________________________
должность подпись фамилия, имя, отчество (при его наличии)
| Приложение 11 к совместному приказу Министра энергетики Республики Казахстан от 24 декабря 2015 года № 748 и Министра национальной экономики Республики Казахстан от 29 декабря 2015 года № 824 |
Проверочный лист в сфере газа и газоснабжения в отношении владельцев газонаполнительных станций
Сноска. Совместный приказ дополнен приложением 11 в соответствии с совместным приказом и.о. Министра энергетики РК от 29.11.2022 № 383 и и.о. Министра национальной экономики РК от 30.11.2022 № 99 (вводится в действие с 01.01.2023); с изменением, внесенным совместным приказом Министра энергетики РК от 27.08.2024 № 302 и Заместителя Премьер-Министра – Министра национальной экономики РК от 02.09.2024 № 70 (вводится в действие по истечении десяти календарных дней после дня его первого официального опубликования).
Государственный орган, назначивший проверку/ профилактический контроль
с посещением субъекта (объекта) контроля _________________________________
______________________________________________________________________
Акт о назначении проверки/ профилактического контроля с посещением субъекта
(объекта) контроля _____________________________________________ (№, дата)
Наименование субъекта (объекта) контроля ________________________________
______________________________________________________________________
Индивидуальный идентификационный номер/ бизнес-идентификационный номер
субъекта (объекта) контроля _____________________________________________
______________________________________________________________________
Адрес места нахождения ________________________________________________
______________________________________________________________________
|
№ |
Перечень требований |
Соответствует требованиям |
Не соответствует требованиям |
|
1 |
2 |
3 |
4 |
|
1 |
Наличие газонаполнительной станции на территории которой расположены – комплекс технологически взаимосвязанных производственных и иных объектов, предназначенных для хранения, слива и налива сжиженного нефтяного газа в железнодорожные цистерны, автогазовозы, бытовые баллоны, а также ремонта и утилизации бытовых баллонов |
||
|
2 |
Соблюдение преимущественного права бытовых и коммунально-бытовых потребителей на пользование сжиженным нефтяным газом |
||
|
3 |
Соблюдение запрета на осуществление оптовой реализации товарного газа |
||
|
4 |
Соблюдение запрета на осуществление розничной реализации товарного газа |
||
|
5 |
Соблюдение запрета на осуществление перевозки сжиженного нефтяного и сжиженного природного газа железнодорожным, автомобильным, морским и внутренним водным транспортом за пределы территории Республики Казахстан самостоятельно либо с привлечением лиц, оказывающих услуги по перевозке сжиженного нефтяного и (или) сжиженного природного газа |
||
|
6 |
Соблюдение запрета на осуществление реализации сжиженного нефтяного газа за пределы территории Республики Казахстан |
||
|
7 |
Недопущение эксплуатации одних и тех же газонаполнительных станций одновременно двумя и более физическим и (или) юридическим лицам |
||
|
8 |
Соблюдение требований по учету сжиженного нефтяного газа, реализуемого потребителям, по приборам учета, за исключением случая, реализуемого бытовым потребителям через групповые резервуарные установки, производимым объемным методом по нормам потребления, утверждаемым местными исполнительными органами областей, городов республиканского значения и столицы, – при отсутствии индивидуальных приборов учета, их неисправности либо несоответствии параметрам газового оборудования |
||
|
9 |
Соблюдение требований по реализации сжиженного нефтяного газа с обязательным их перемещением через контрольные приборы учета |
||
|
10 |
Соблюдение запрета на осуществление розничной реализации сжиженного нефтяного газа, за исключением розничной реализации посредством заправки емкостей хранения сжиженного нефтяного газа бытовых, коммунально-бытовых и промышленных потребителей |
||
|
11 |
Соблюдение запрета по передаче во владение и (или) пользование третьим лицам технологически взаимосвязанных производственных и иных объектов, инженерных сооружений, предназначенных для хранения, слива и налива сжиженного нефтяного газа. |
Должностное (ые) лицо (а)
__________ ______________ __________________________________________
должность подпись фамилия, имя, отчество (при его наличии)
__________ ______________ __________________________________________
должность подпись фамилия, имя, отчество (при его наличии)
Руководитель субъекта контроля
__________ ______________ __________________________________________
должность подпись фамилия, имя, отчество (при его наличии)
| Приложение 12 к совместному приказу Министра энергетики Республики Казахстан от 24 декабря 2015 года № 748 и Министра национальной экономики Республики Казахстан от 29 декабря 2015 года № 824 |
Проверочный лист в сфере газа и газоснабжения в отношении газораспределительных организаций
Сноска. Совместный приказ дополнен приложением 12 в соответствии с совместным приказом и.о. Министра энергетики РК от 29.11.2022 № 383 и и.о. Министра национальной экономики РК от 30.11.2022 № 99 (вводится в действие с 01.01.2023); с изменениями, внесенными совместным приказом Министра энергетики РК от 17.04.2024 № 164 и Заместителя Премьер-Министра — Министра национальной экономики РК от 22.04.2024 № 17 (вводится в действие по истечении десяти календарных дней после дня его первого официального опубликования).
Государственный орган, назначивший проверку/ профилактический контроль
с посещением субъекта (объекта) контроля _________________________________
______________________________________________________________________
Акт о назначении проверки/ профилактического контроля с посещением субъекта
(объекта) контроля _____________________________________________ (№, дата)
Наименование субъекта (объекта) контроля ________________________________
______________________________________________________________________
Индивидуальный идентификационный номер/ бизнес-идентификационный номер
субъекта (объекта) контроля _____________________________________________
______________________________________________________________________
Адрес места нахождения ________________________________________________
____________________________________________________________________
|
№ |
Перечень требований |
Соответствует требованиям |
Не соответствует требованиям |
|
1 |
2 |
3 |
4 |
|
1 |
Соблюдение приоритетного права государства на приобретение отчуждаемых объектов единой системы снабжения товарным газом, долей в праве общей собственности на объекты единой системы снабжения товарным газом и пакетов акций (долей участия) юридических лиц-собственников объектов единой системы снабжения товарным газом, за исключением: |
||
|
2 |
Соблюдение преимущественного права государства на приобретение отчуждаемого сырого газа, принадлежащего недропользователям, а также товарного газа, произведенного недропользователями в процессе переработки добытого ими сырого газа, за исключением случаев отчуждения: |
||
|
3 |
Соблюдение требований по реализации товарного и (или) сжиженного природного газа с обязательным их перемещением через контрольные приборы учета |
||
|
4 |
Соблюдение преимущественного права бытовых и коммунально-бытовых потребителей на пользование товарным газом |
||
|
5 |
Соблюдение условий по бесперебойному снабжению товарным газом потребителей, подключенных к газораспределительной системе за исключением: |
Грубое |
|
|
6 |
Соблюдение установленных предельных цен оптовой реализации товарного газа на внутреннем рынке Республики Казахстан |
||
|
7 |
Соблюдение требований по предоставлению, ежемесячно не позднее двадцатого числа месяца, следующего за отчетным, в уполномоченный орган сведений о реализации товарного газа, в том числе ввезенного для потребления на территорию Республики Казахстан |
||
|
8 |
Соблюдение требований по представлению ежемесячно не позднее пятого числа месяца, следующего за отчетным, национальному оператору сведений об объемах транспортировки и хранения товарного газа |
||
|
9 |
Соблюдение требований: |
||
|
10 |
Соблюдение запрета на осуществление оптовой реализации товарного газа, за исключением национальному оператору и (или) владельцам автогазонаполнительных компрессорных станций |
||
|
11 |
Соблюдение требований по ведению учета объема товарного газа, транспортируемого по газораспределительным системам, по приборам учета и обеспечению передачи данных по учету объема реализуемого товарного газа национальному оператору |
||
|
12 |
Соблюдение требований по отчуждению по согласованию с уполномоченным органом объектов единой системы снабжения товарным газом, находящиеся в собственности национального оператора или газотранспортных и (или) газораспределительных организаций, пятьдесят и более процентов голосующих акций (долей участия) которых принадлежат национальному оператору |
||
|
13 |
Соблюдение запрета на осуществление перевозки сжиженного нефтяного и сжиженного природного газа железнодорожным, автомобильным, морским и внутренним водным транспортом за пределы территории Республики Казахстан самостоятельно либо с привлечением лиц, оказывающих услуги по перевозке сжиженного нефтяного и (или) сжиженного природного газа |
||
|
14 |
Соблюдение запрета на осуществление оптовой реализации сжиженного нефтяного газа |
||
|
15 |
Соблюдение запрета на осуществление реализации сжиженного нефтяного газа за пределы территории Республики Казахстан |
Грубое |
|
|
16 |
Соблюдение запрета на осуществление розничной реализации сжиженного нефтяного газа |
||
Должностное (ые) лицо (а)
__________ ______________ __________________________________________
должность подпись фамилия, имя, отчество (при его наличии)
__________ ______________ __________________________________________
должность подпись фамилия, имя, отчество (при его наличии)
Руководитель субъекта контроля
__________ ______________ __________________________________________
должность подпись фамилия, имя, отчество (при его наличии)
| Приложение 13 к совместному приказу Министра энергетики Республики Казахстан от 24 декабря 2015 года № 748 и Министра национальной экономики Республики Казахстан от 29 декабря 2015 года № 824 |
Проверочный лист в сфере газа и газоснабжения в отношении газотранспортных организаций
Сноска. Совместный приказ дополнен приложением 13 в соответствии с совместным приказом и.о. Министра энергетики РК от 29.11.2022 № 383 и и.о. Министра национальной экономики РК от 30.11.2022 № 99 (вводится в действие с 01.01.2023); с изменениями, внесенными совместным приказом Министра энергетики РК от 17.04.2024 № 164 и Заместителя Премьер-Министра — Министра национальной экономики РК от 22.04.2024 № 17 (вводится в действие по истечении десяти календарных дней после дня его первого официального опубликования).
Государственный орган, назначивший проверку/ профилактический контроль
с посещением субъекта (объекта) контроля _________________________________
______________________________________________________________________
Акт о назначении проверки/ профилактического контроля с посещением субъекта
(объекта) контроля _____________________________________________ (№, дата)
Наименование субъекта (объекта) контроля ________________________________
______________________________________________________________________
Индивидуальный идентификационный номер/ бизнес-идентификационный номер
субъекта (объекта) контроля _____________________________________________
______________________________________________________________________
Адрес места нахождения ________________________________________________
______________________________________________________________________
|
№ |
Перечень требований |
Соответствует требованиям |
Не соответствует требованиям |
|
1 |
2 |
3 |
4 |
|
1 |
Соблюдение требований по отчуждению по согласованию с уполномоченным органом объектов единой системы снабжения товарным газом, находящихся в собственности газотранспортных организаций, пятьдесят и более процентов голосующих акций (долей участия) которых принадлежат национальному оператору |
||
|
2 |
Соблюдение приоритетного права государства на приобретение отчуждаемых объектов единой системы снабжения товарным газом, долей в праве общей собственности на объекты единой системы снабжения товарным газом и пакетов акций (долей участия) юридических лиц-собственников объектов единой системы снабжения товарным газом, за исключением: |
||
|
3 |
Соблюдение требований по предоставлению, ежемесячно не позднее пятого числа месяца, следующего за отчетным, национальному оператору сведений об объемах транспортировки и хранения товарного газа |
||
|
4 |
Соблюдение требований по недопущению эксплуатации одних и тех же соединительных, магистральных газопроводов и хранилищ товарного газа двумя и более газотранспортными организациями |
||
|
5 |
Оказание услуг по транспортировке товарного газа по магистральным газопроводам за пределы территории Республики Казахстан исключительно: |
||
|
6 |
Соблюдение требований: |
||
|
7 |
Соблюдение требований по недопущению в транспортировке и (или) хранении товарного газа в случаях: |
||
|
8 |
Соблюдение требований по ведению учета объема товарного газа, транспортируемого по магистральным газопроводам, на газоизмерительных станциях по приборам учета газа с постоянным подтверждением данных по приборам учета товарного газа, установленным на пунктах приема (передачи) товарного газа и обеспечение передачи данных по учету объема транспортируемого товарного газа национальному оператору |
||
|
9 |
Соблюдение условий по бесперебойному снабжению товарным газом потребителей, подключенных к газораспределительной системе за исключением: |
Грубое |
|
|
10 |
Соблюдение запрета на осуществление оптовой реализации сжиженного нефтяного газа |
||
|
11 |
Соблюдение запрета на осуществление розничной реализации сжиженного нефтяного газа |
||
|
12 |
Соблюдение запрета на осуществление оптовой реализации товарного газа |
||
|
13 |
Соблюдение запрета на осуществление перевозки сжиженного нефтяного и сжиженного природного газа железнодорожным, автомобильным, морским и внутренним водным транспортом за пределы территории Республики Казахстан самостоятельно либо с привлечением лиц, оказывающих услуги по перевозке сжиженного нефтяного и (или) сжиженного природного газа |
||
|
14 |
Соблюдение запрета на осуществление реализации сжиженного нефтяного газа за пределы территории Республики Казахстан |
Грубое |
|
Должностное (ые) лицо (а)
__________ ______________ __________________________________________
должность подпись фамилия, имя, отчество (при его наличии)
__________ ______________ __________________________________________
должность подпись фамилия, имя, отчество (при его наличии)
Руководитель субъекта контроля
__________ ______________ __________________________________________
должность подпись фамилия, имя, отчество (при его наличии)
| Приложение 14 к совместному приказу Министра энергетики Республики Казахстан от 24 декабря 2015 года № 748 и Министра национальной экономики Республики Казахстан от 29 декабря 2015 года № 824 |
Проверочный лист в сфере газа и газоснабжения в отношении владельцев газонаполнительных пунктов
Сноска. Совместный приказ дополнен приложением 14 в соответствии с совместным приказом и.о. Министра энергетики РК от 29.11.2022 № 383 и и.о. Министра национальной экономики РК от 30.11.2022 № 99 (вводится в действие с 01.01.2023); с изменением, внесенным совместным приказом Министра энергетики РК от 27.08.2024 № 302 и Заместителя Премьер-Министра – Министра национальной экономики РК от 02.09.2024 № 70 (вводится в действие по истечении десяти календарных дней после дня его первого официального опубликования).
Государственный орган, назначивший проверку/ профилактический контроль
с посещением субъекта (объекта) контроля _________________________________
______________________________________________________________________
Акт о назначении проверки/ профилактического контроля с посещением субъекта
(объекта) контроля _____________________________________________ (№, дата)
Наименование субъекта (объекта) контроля ________________________________
______________________________________________________________________
Индивидуальный идентификационный номер/ бизнес-идентификационный номер
субъекта (объекта) контроля _____________________________________________
______________________________________________________________________
Адрес места нахождения ________________________________________________
______________________________________________________________________
|
№ |
Перечень требований |
Соответствует требованиям |
Не соответствует требованиям |
|
1 |
2 |
3 |
4 |
|
1 |
Соблюдение требований по реализации сжиженного нефтяного газа с обязательным их перемещением через контрольные приборы учета |
||
|
2 |
Соблюдение запрета по перевозке сжиженного нефтяного и сжиженного природного газа железнодорожным, автомобильным, морским и внутренним водным транспортом за пределы территории Республики Казахстан самостоятельно либо с привлечением лиц, оказывающих услуги по перевозке сжиженного нефтяного и (или) сжиженного природного газа |
||
|
3 |
Соблюдение запрета на осуществление оптовой реализации сжиженного нефтяного газа |
||
|
4 |
Соблюдение запрета на осуществление реализации сжиженного нефтяного газа за пределы территории Республики Казахстан |
||
|
5 |
Соблюдение запрета на осуществление розничной реализации сжиженного нефтяного газа, за исключением розничной реализации сжиженного нефтяного газа бытовым и коммунально-бытовым потребителям в бытовых баллонах |
||
|
6 |
Осуществление абонентского учета потребителей, приобретающих сжиженный нефтяной газ в бытовых баллонах |
||
|
7 |
Осуществление идентификации бытовых баллонов уникальным кодом, присваиваемым системами учета бытовых баллонов, и (или) товарным знаком владельца газонаполнительного пункта |
||
|
8 |
Соблюдение запрета по использованию газонаполнительных пунктов для реализации сжиженного нефтяного газа одновременно двумя и более физическими и (или) юридическими лицами |
||
|
9 |
Соблюдение требований по учету сжиженного нефтяного газа, реализуемого потребителям, по приборам учета, за исключением случая, реализуемого бытовым потребителям через групповые резервуарные установки, производимым объемным методом по нормам потребления, утверждаемым местными исполнительными органами областей, городов республиканского значения и столицы, – при отсутствии индивидуальных приборов учета, их неисправности либо несоответствии параметрам газового оборудования |
||
|
10 |
Соблюдение требований по реализации сжиженного нефтяного газа, приобретенного в рамках плана поставки для целей его дальнейшей реализации, исключительно на внутреннем рынке Республики Казахстан |
||
|
11 |
Соблюдение запрета по передаче во владение и (или) пользование третьим лицам технологически взаимосвязанных производственных и иных объектов, инженерных сооружений, предназначенных для хранения, слива и налива сжиженного нефтяного газа. |
Должностное (ые) лицо (а)
__________ ______________ __________________________________________
должность подпись фамилия, имя, отчество (при его наличии)
__________ ______________ __________________________________________
должность подпись фамилия, имя, отчество (при его наличии)
Руководитель субъекта контроля
__________ ______________ __________________________________________
должность подпись фамилия, имя, отчество (при его наличии)
| Приложение 15 к совместному приказу Министра энергетики Республики Казахстан от 24 декабря 2015 года № 748 и Министра национальной экономики Республики Казахстан от 29 декабря 2015 года № 824 |
Проверочный лист в сфере газа и газоснабжения в отношении владельцев автогазозаправочных станций
Сноска. Совместный приказ дополнен приложением 15 в соответствии с совместным приказом и.о. Министра энергетики РК от 29.11.2022 № 383 и и.о. Министра национальной экономики РК от 30.11.2022 № 99 (вводится в действие с 01.01.2023).
Государственный орган, назначивший проверку/ профилактический контроль
с посещением субъекта (объекта) контроля __________________________________
_______________________________________________________________________
Акт о назначении проверки/ профилактического контроля с посещением субъекта
(объекта) контроля ______________________________________________ (№, дата)
Наименование субъекта (объекта) контроля _________________________________
_______________________________________________________________________
Индивидуальный идентификационный номер/ бизнес-идентификационный номер
субъекта (объекта) контроля ______________________________________________
_______________________________________________________________________
Адрес места нахождения _________________________________________________
_______________________________________________________________________
|
№ |
Перечень требований |
Соответствует требованиям |
Не соответствует требованиям |
|
1 |
2 |
3 |
4 |
|
1 |
Соблюдение требований по реализации сжиженного газа с обязательным их перемещением через контрольные приборы учета |
||
|
2 |
Соблюдение запрета по перевозке сжиженного нефтяного и сжиженного природного газа железнодорожным, автомобильным, морским и внутренним водным транспортом за пределы территории Республики Казахстан самостоятельно либо с привлечением лиц, оказывающих услуги по перевозке сжиженного нефтяного и (или) сжиженного природного газа |
||
|
3 |
Соблюдение запрета на осуществление оптовой реализации сжиженного нефтяного газа |
||
|
4 |
Соблюдение запрета на осуществление реализации сжиженного нефтяного газа за пределы территории Республики Казахстан |
||
|
5 |
Соблюдение запрета на осуществление розничной реализации сжиженного нефтяного газа, за исключением розничной реализации посредством заправки сжиженным нефтяным газом автомобильных транспортных средств |
||
|
6 |
Соблюдение запрета по использованию автогазозаправочных станций для реализации сжиженного нефтяного газа одновременно двумя и более физическими и (или) юридическими лицами |
||
|
7 |
Соблюдение требований по учету сжиженного нефтяного газа, реализуемого потребителям, по приборам учета |
Должностное (ые) лицо (а)
__________ ______________ __________________________________________
должность подпись фамилия, имя, отчество (при его наличии)
__________ ______________ __________________________________________
должность подпись фамилия, имя, отчество (при его наличии)
Руководитель субъекта контроля
__________ ______________ __________________________________________
должность подпись фамилия, имя, отчество (при его наличии)
| Приложение 16 к совместному приказу Министра энергетики Республики Казахстан от 24 декабря 2015 года № 748 и Министра национальной экономики Республики Казахстан от 29 декабря 2015 года № 824 |
Проверочный лист в сфере газа и газоснабжения в отношении владельцев автогазонаполнительных компрессорных станций
Сноска. Совместный приказ дополнен приложением 16 в соответствии с совместным приказом и.о. Министра энергетики РК от 29.11.2022 № 383 и и.о. Министра национальной экономики РК от 30.11.2022 № 99 (вводится в действие с 01.01.2023).
Государственный орган, назначивший проверку/ профилактический контроль
с посещением субъекта (объекта) контроля __________________________________
_______________________________________________________________________
Акт о назначении проверки/ профилактического контроля с посещением субъекта
(объекта) контроля ______________________________________________ (№, дата)
Наименование субъекта (объекта) контроля _________________________________
_______________________________________________________________________
Индивидуальный идентификационный номер/ бизнес-идентификационный номер
субъекта (объекта) контроля ______________________________________________
_______________________________________________________________________
Адрес места нахождения _________________________________________________
_______________________________________________________________________
|
№ |
Перечень требований |
Соответствует требованиям |
Не соответствует требованиям |
|
1 |
2 |
3 |
4 |
|
1 |
Соблюдение приоритетного права государства на приобретение отчуждаемых объектов единой системы снабжения товарным газом, долей в праве общей собственности на объекты единой системы снабжения товарным газом и пакетов акций (долей участия) юридических лиц-собственников объектов единой системы снабжения товарным газом, за исключением: |
||
|
2 |
Соблюдение требований по реализации товарного газа с обязательным их перемещением через контрольные приборы учета |
||
|
3 |
Соблюдение требований по предоставлению, ежемесячно не позднее двадцатого числа месяца, следующего за отчетным, в уполномоченный орган сведений о реализации товарного газа, в том числе ввезенного для потребления на территорию Республики Казахстан |
||
|
4 |
Соблюдение запрета на осуществление оптовой реализации товарного газа |
||
|
5 |
Соблюдение запрета по осуществлению подачи товарного газа в газопотребляющие системы потребителей |
||
|
6 |
Соблюдение требований по осуществлению учета объема товарного газа при его транспортировке, хранении и реализации |
||
|
7 |
Соблюдение запрета по перевозке сжиженного нефтяного и сжиженного природного газа железнодорожным, автомобильным, морским и внутренним водным транспортом за пределы территории Республики Казахстан самостоятельно либо с привлечением лиц, оказывающих услуги по перевозке сжиженного нефтяного и (или) сжиженного природного газа |
||
|
8 |
Соблюдение запрета на осуществление оптовой реализации сжиженного нефтяного газа |
||
|
9 |
Соблюдение запрета на осуществление реализации сжиженного нефтяного газа за пределы территории Республики Казахстан |
||
|
10 |
Соблюдение запрета на осуществление розничной реализации сжиженного нефтяного газа |
Должностное (ые) лицо (а)
__________ ______________ __________________________________________
должность подпись фамилия, имя, отчество (при его наличии)
__________ ______________ __________________________________________
должность подпись фамилия, имя, отчество (при его наличии)
Руководитель субъекта контроля
__________ ______________ __________________________________________
должность подпись фамилия, имя, отчество (при его наличии)
| Приложение 17 к совместному приказу Министра энергетики Республики Казахстан от 24 декабря 2015 года № 748 и Министра национальной экономики Республики Казахстан от 29 декабря 2015 года № 824 |
Проверочный лист в сфере газа и газоснабжения в отношении владельцев групповых резервуарных установок
Сноска. Совместный приказ дополнен приложением 17 в соответствии с совместным приказом и.о. Министра энергетики РК от 29.11.2022 № 383 и и.о. Министра национальной экономики РК от 30.11.2022 № 99 (вводится в действие с 01.01.2023); с изменениями, внесенными совместным приказом Министра энергетики РК от 17.04.2024 № 164 и Заместителя Премьер-Министра — Министра национальной экономики РК от 22.04.2024 № 17 (вводится в действие по истечении десяти календарных дней после дня его первого официального опубликования).
Государственный орган, назначивший проверку/ профилактический контроль
с посещением субъекта (объекта) контроля _________________________________
______________________________________________________________________
Акт о назначении проверки/ профилактического контроля с посещением субъекта
(объекта) контроля _____________________________________________ (№, дата)
Наименование субъекта (объекта) контроля ________________________________
______________________________________________________________________
Индивидуальный идентификационный номер/ бизнес-идентификационный номер
субъекта (объекта) контроля ______________________________________________
_______________________________________________________________________
Адрес места нахождения _________________________________________________
_______________________________________________________________________
|
№ |
Перечень требований |
Соответствует требованиям |
Не соответствует требованиям |
|
1 |
2 |
3 |
4 |
|
1 |
Соблюдение требований по реализации сжиженного газа с обязательным их перемещением через контрольные приборы учета |
||
|
2 |
Соблюдение запрета по перевозке сжиженного нефтяного и сжиженного природного газа железнодорожным, автомобильным, морским и внутренним водным транспортом за пределы территории Республики Казахстан самостоятельно либо с привлечением лиц, оказывающих услуги по перевозке сжиженного нефтяного и (или) сжиженного природного газа |
||
|
3 |
Соблюдение запрета на осуществление оптовой реализации сжиженного нефтяного газа |
||
|
4 |
Соблюдение запрета на осуществление реализации сжиженного нефтяного газа за пределы территории Республики Казахстан |
||
|
5 |
Соблюдение запрета на осуществление розничной реализации сжиженного нефтяного газа, за исключением розничной реализации сжиженного нефтяного газа бытовым и коммунально-бытовым потребителям через групповые резервуарные установки |
||
|
6 |
Соблюдение требований по реализации сжиженного нефтяного газа, приобретенного в рамках плана поставки для целей его дальнейшей реализации, исключительно на внутреннем рынке Республики Казахстан |
||
|
7 |
Соблюдение запрета на осуществление оптовой реализации товарного газа |
||
|
8 |
Соблюдение запрета на осуществление розничной реализации товарного газа |
||
|
9 |
Соблюдение условий по бесперебойному снабжению товарным газом потребителей, подключенных к групповой резервуарной установке за исключением: |
Грубое |
|
Должностное (ые) лицо (а)
__________ ______________ __________________________________________
должность подпись фамилия, имя, отчество (при его наличии)
__________ ______________ __________________________________________
должность подпись фамилия, имя, отчество (при его наличии)
Руководитель субъекта контроля
__________ ______________ __________________________________________
должность подпись фамилия, имя, отчество (при его наличии)
| Приложение 18 к совместному приказу Министра энергетики Республики Казахстан от 24 декабря 2015 года № 748 и Министра национальной экономики Республики Казахстан от 29 декабря 2015 года № 824 |
Проверочный лист в сфере газа и газоснабжения в отношении промышленных потребителей товарного газа
Сноска. Совместный приказ дополнен приложением 18 в соответствии с совместным приказом и.о. Министра энергетики РК от 29.11.2022 № 383 и и.о. Министра национальной экономики РК от 30.11.2022 № 99 (вводится в действие с 01.01.2023).
Государственный орган, назначивший проверку/ профилактический контроль
с посещением субъекта (объекта) контроля __________________________________
_______________________________________________________________________
Акт о назначении проверки/ профилактического контроля с посещением субъекта
(объекта) контроля ______________________________________________ (№, дата)
Наименование субъекта (объекта) контроля _________________________________
_______________________________________________________________________
Индивидуальный идентификационный номер/ бизнес-идентификационный номер
субъекта (объекта) контроля ______________________________________________
_______________________________________________________________________
Адрес места нахождения _________________________________________________
_______________________________________________________________________
|
№ |
Перечень требований |
Соответствует требованиям |
Не соответствует требованиям |
|
1 |
2 |
3 |
4 |
|
1 |
Соблюдение запрета на осуществление оптовой реализации товарного газа |
||
|
2 |
Соблюдение запрета на осуществление розничной реализация товарного газа |
||
|
3 |
Соблюдение требований по учету объема товарного газа, используемого промышленными потребителями: |
Должностное (ые) лицо (а)
__________ ______________ __________________________________________
должность подпись фамилия, имя, отчество (при его наличии)
__________ ______________ __________________________________________
должность подпись фамилия, имя, отчество (при его наличии)
Руководитель субъекта контроля
__________ ______________ __________________________________________
должность подпись фамилия, имя, отчество (при его наличии)
| Приложение 19 к совместному приказу Министра энергетики Республики Казахстан от 24 декабря 2015 года № 748 и Министра национальной экономики Республики Казахстан от 29 декабря 2015 года № 824 |
Проверочный лист в сфере газа и газоснабжения в отношении промышленных потребителей сжиженного нефтяного газа
Сноска. Совместный приказ дополнен приложением 19 в соответствии с совместным приказом и.о. Министра энергетики РК от 29.11.2022 № 383 и и.о. Министра национальной экономики РК от 30.11.2022 № 99 (вводится в действие с 01.01.2023); с изменением, внесенным совместным приказом Министра энергетики РК от 27.08.2024 № 302 и Заместителя Премьер-Министра – Министра национальной экономики РК от 02.09.2024 № 70 (вводится в действие по истечении десяти календарных дней после дня его первого официального опубликования).
Государственный орган, назначивший проверку/ профилактический контроль
с посещением субъекта (объекта) контроля _________________________________
______________________________________________________________________
Акт о назначении проверки/ профилактического контроля с посещением субъекта
(объекта) контроля _____________________________________________ (№, дата)
Наименование субъекта (объекта) контроля _________________________________
_______________________________________________________________________
Индивидуальный идентификационный номер/ бизнес-идентификационный номер
субъекта (объекта) контроля_______________________________________________
_______________________________________________________________________
Адрес места нахождения _________________________________________________
_______________________________________________________________________
|
№ |
Перечень требований |
Соответствует требованиям |
Не соответствует требованиям |
|
1 |
2 |
3 |
4 |
|
1 |
Соблюдение запрета на осуществление оптовой реализацию сжиженного нефтяного газа |
||
|
2 |
Соблюдение запрета на осуществление реализации сжиженного нефтяного газа за пределы территории Республики Казахстан |
||
|
3 |
Соблюдение запрета на осуществление розничной реализации сжиженного нефтяного газа |
||
|
4 |
Соблюдение требований по поставке и отгрузке неиспользованной фракции при использовании сжиженного нефтяного газа в качестве сырья для производства нефтехимической продукции в рамках плана поставки. |
Должностное (ые) лицо (а)
__________ ______________ __________________________________________
должность подпись фамилия, имя, отчество (при его наличии)
__________ ______________ __________________________________________
должность подпись фамилия, имя, отчество (при его наличии)
Руководитель субъекта контроля
__________ ______________ __________________________________________
должность подпись фамилия, имя, отчество (при его наличии)
| Приложение 20 к совместному приказу Министра энергетики Республики Казахстан от 24 декабря 2015 года № 748 и Министра национальной экономики Республики Казахстан от 29 декабря 2015 года № 824 |
Проверочный лист в сфере газа и газоснабжения в отношении промышленных потребителей-инвесторов, потребителей, включенных в перечень электростанций
Сноска. Совместный приказ дополнен приложением 20 в соответствии с совместным приказом и.о. Министра энергетики РК от 29.11.2022 № 383 и и.о. Министра национальной экономики РК от 30.11.2022 № 99 (вводится в действие с 01.01.2023).
Государственный орган, назначивший проверку/ профилактический контроль
с посещением субъекта (объекта) контроля ________________________________
______________________________________________________________________
Акт о назначении проверки/ профилактического контроля с посещением субъекта
(объекта) контроля _____________________________________________ (№, дата)
Наименование субъекта (объекта) контроля ________________________________
______________________________________________________________________
Индивидуальный идентификационный номер/ бизнес-идентификационный номер
субъекта (объекта) контроля _____________________________________________
______________________________________________________________________
Адрес места нахождения ________________________________________________
______________________________________________________________________
|
№ |
Перечень требований |
Соответствует требованиям |
Не соответствует требованиям |
|
1 |
2 |
3 |
4 |
|
1 |
Соблюдение запрета на осуществление оптовой реализации товарного газа |
||
|
2 |
Соблюдение запрета на осуществление розничной реализация товарного газа |
||
|
3 |
Соблюдение требований по учету объема используемого товарного газа, производится по приборам учета, установленным на пунктах приема (передачи) товарного газа |
||
|
4 |
Соблюдение запрета на осуществление оптовой реализацию сжиженного нефтяного газа |
||
|
5 |
Соблюдение запрета на осуществление реализации сжиженного нефтяного газа за пределы территории Республики Казахстан |
||
|
6 |
Соблюдение запрета на осуществление розничной реализации сжиженного нефтяного газа |
Должностное (ые) лицо (а)
__________ ______________ __________________________________________
должность подпись фамилия, имя, отчество (при его наличии)
__________ ______________ __________________________________________
должность подпись фамилия, имя, отчество (при его наличии)
Руководитель субъекта контроля
__________ ______________ __________________________________________
должность подпись фамилия, имя, отчество (при его наличии)
| Приложение 21 к совместному приказу Министра энергетики Республики Казахстан от 24 декабря 2015 года № 748 и Министра национальной экономики Республики Казахстан от 29 декабря 2015 года № 824 |
Проверочный лист в сфере газа и газоснабжения в отношении крупных коммерческих потребителей
Сноска. Совместный приказ дополнен приложением 21 в соответствии с совместным приказом Министра энергетики РК от 27.08.2024 № 302 и Заместителя Премьер-Министра – Министра национальной экономики РК от 02.09.2024 № 70 (вводится в действие по истечении десяти календарных дней после дня его первого официального опубликования).
Государственный орган, назначивший проверку /профилактический контроль
с посещением субъекта (объекта) контроля _____________________________
__________________________________________________________________
Акт о назначении проверки/профилактического контроля с посещением субъекта
(объекта) контроля _________________________________________ (№, дата)
Наименование субъекта (объекта) контроля
__________________________________________________________________
Индивидуальный идентификационный номер/ бизнес-идентификационный номер
субъекта (объекта) контроля _________________________________________
Адрес места нахождения ____________________________________________
|
№ |
Перечень требований |
Соответствует требованиям |
Не соответствует требованиям |
|
1 |
2 |
3 |
4 |
|
1 |
Соблюдение запрета на осуществление оптовой реализации товарного газа |
||
|
2 |
Соблюдение запрета на осуществление розничной реализация товарного газа |
||
|
3 |
Соблюдение требований по учету объема используемого товарного газа, производится по приборам учета, установленным на пунктах приема (передачи) товарного газа. |
||
|
4 |
Соблюдение требований по ведению раздельного учета использования товарного газа для производства социально значимых продовольственных товаров, а также тепловой и (или) электрической энергии для населения и юридических лиц и других товаров |
Должностное (ые) лицо (а)
___________ _________ ____________________________________
(должность) (подпись) (фамилия, имя, отчество (при его наличии))
___________ _________ ____________________________________
(должность) (подпись) (фамилия, имя, отчество (при его наличии))
Руководитель субъекта контроля
______ __________ ________________________________________
(должность) (подпись) (фамилия, имя, отчество (при его наличии))
| Приложение 22 к совместному приказу Министра энергетики Республики Казахстан от 24 декабря 2015 года № 748 и Министра национальной экономики Республики Казахстан от 29 декабря 2015 года № 824 |
Проверочный лист в сфере газа и газоснабжения в отношении лиц, осуществляющие цифровой майнинг
Сноска. Совместный приказ дополнен приложением 22 в соответствии с совместным приказом Министра энергетики РК от 27.08.2024 № 302 и Заместителя Премьер-Министра – Министра национальной экономики РК от 02.09.2024 № 70 (вводится в действие по истечении десяти календарных дней после дня его первого официального опубликования).
Государственный орган, назначивший проверку /профилактический контроль
с посещением субъекта (объекта) контроля _____________________________
___________________________________________________________________
Акт о назначении проверки/профилактического контроля с посещением субъекта
(объекта) контроля _________________________________________ (№, дата)
Наименование субъекта (объекта) контроля
___________________________________________________________________
Индивидуальный идентификационный номер/ бизнес-идентификационный номер
субъекта (объекта) контроля ___________________________________________
Адрес места нахождения ______________________________________________
|
№ |
Перечень требований |
Соответствует требованиям |
Не соответствует требованиям |
|
1 |
2 |
3 |
4 |
|
1 |
Соблюдение запрета на осуществление оптовой реализации товарного газа |
||
|
2 |
Соблюдение запрета на осуществление розничной реализация товарного газа |
||
|
3 |
Соблюдение требований по учету объема используемого товарного газа, производится по приборам учета, установленным на пунктах приема (передачи) товарного газа. |
||
|
4 |
Соблюдение требований по ведению раздельного учета использования товарного газа на осуществление цифрового майнинга и иную деятельность |
| Должностное (ые) лицо (а) __________ _________ _____________________________________ (должность) (подпись) (фамилия, имя, отчество (при его наличии)) __________ _________ _____________________________________ (должность) (подпись) (фамилия, имя, отчество (при его наличии)) Руководитель субъекта контроля __________ _________ _____________________________________ (должность) (подпись) (фамилия, имя, отчество (при его наличии)) |

