Сноска. Заголовок — в редакции постановления Правительства РК от 26.12.2023 № 1183 (вводится в действие с 01.01.2024).
Примечание ИЗПИ!
Вводится в действие с 01.07.2023.
В соответствии с подпунктом 10) статьи 11 Социального кодекса Республики Казахстан Правительство Республики Казахстан ПОСТАНОВЛЯЕТ:
1. Утвердить прилагаемые:
1) Правила осуществления пенсионных выплат, сформированных за счет обязательных пенсионных взносов, обязательных профессиональных пенсионных взносов, единовременных пенсионных выплат в целях улучшения жилищных условий и (или) оплаты лечения, сформированных за счет обязательных пенсионных взносов из единого накопительного пенсионного фонда, возврата их в единый накопительный пенсионный фонд;
2) методику осуществления расчета размера пенсионных выплат;
3) методику определения коэффициента замещения среднемесячного дохода получателя пенсионными выплатами;
4) методику определения порога минимальной достаточности пенсионных накоплений.
Сноска. Пункт 1 с изменением, внесенным постановлением Правительства РК от 26.12.2023 № 1183 (вводится в действие с 01.01.2024).
2. Настоящее постановление вводится в действие с 1 июля 2023 года и подлежит официальному опубликованию.
| Премьер-Министр Республики Казахстан |
А. Смаилов |
| Утверждены постановлением Правительства Республики Казахстан от 30 июня 2023 года № 521 |
Правила осуществления пенсионных выплат, сформированных за счет обязательных пенсионных взносов, обязательных профессиональных пенсионных взносов, единовременных пенсионных выплат в целях улучшения жилищных условий и (или) оплаты лечения, сформированных за счет обязательных пенсионных взносов, из единого накопительного пенсионного фонда, возврата их в единый накопительный пенсионный фонд
Сноска. Заголовок правил — в редакции постановления Правительства РК от 26.12.2023 № 1183 (вводится в действие с 01.01.2024).
Глава 1. Общие положения
1. Настоящие Правила осуществления пенсионных выплат, сформированных за счет обязательных пенсионных взносов, обязательных профессиональных пенсионных взносов, единовременных пенсионных выплат в целях улучшения жилищных условий и (или) оплаты лечения, сформированных за счет обязательных пенсионных взносов из единого накопительного пенсионного фонда, возврата их в единый накопительный пенсионный фонд (далее – Правила) разработаны в соответствии с подпунктом 10) статьи 11 Социального кодекса Республики Казахстан (далее – Социальный кодекс) и определяют порядок осуществления пенсионных выплат, сформированных за счет обязательных пенсионных взносов, обязательных профессиональных пенсионных взносов, единовременных пенсионных выплат в целях улучшения жилищных условий и (или) оплаты лечения из пенсионных накоплений, сформированных за счет обязательных пенсионных взносов из единого накопительного пенсионного фонда, возврата их в единый накопительный пенсионный фонд.
Сноска. Пункт 1 — в редакции постановления Правительства РК от 26.12.2023 № 1183 (вводится в действие с 01.01.2024).
2. Для целей настоящих Правил используются следующие понятия:
1) Государственная корпорация «Правительство для граждан» (далее – Государственная корпорация) – юридическое лицо, созданное по решению Правительства Республики Казахстан для оказания государственных услуг в соответствии с законодательством Республики Казахстан, организации работы по приему заявлений на оказание государственных услуг и выдаче их результатов услугополучателю по принципу «одного окна», обеспечения оказания государственных услуг в электронной форме;
1-1) специальная социальная выплата – денежные выплаты, осуществляемые лицам, занятым на работах с вредными условиями труда;
2) единый накопительный пенсионный фонд (далее – ЕНПФ) – юридическое лицо, осуществляющее деятельность по привлечению пенсионных взносов и пенсионным выплатам, а также иные функции, определенные Социальным кодексом;
3) пенсионные выплаты из ЕНПФ (далее – пенсионные выплаты) – выплата денег физическим лицам, за которых уплачены обязательные пенсионные взносы и (или) обязательные пенсионные взносы работодателя, и (или) обязательные профессиональные пенсионные взносы, и (или) добровольные пенсионные взносы;
4) единовременная пенсионная выплата – сумма пенсионных накоплений, сформированных за счет обязательных пенсионных взносов, изымаемая вкладчиком обязательных пенсионных взносов (получателем пенсионных выплат) из ЕНПФ в целях улучшения жилищных условий и (или) оплаты лечения в порядке, установленном Социальным кодексом и настоящими Правилами;
5) пенсионные накопления – деньги вкладчика обязательных пенсионных взносов, физического лица, за которого перечислены обязательные профессиональные пенсионные взносы, добровольные пенсионные взносы (получателя пенсионных выплат), учитываемые на его индивидуальном пенсионном счете, включающие обязательные пенсионные взносы, обязательные профессиональные пенсионные взносы и добровольные пенсионные взносы, инвестиционный доход пенсионных активов, пеню и иные поступления в соответствии с договорами, Социальным кодексом, законодательством Республики Казахстан;
6) порог минимальной достаточности пенсионных накоплений – минимальный размер пенсионных накоплений, сформированных за счет обязательных пенсионных взносов, необходимый для обеспечения ежемесячной пенсии не ниже размера минимальной пенсии, установленного законом о республиканском бюджете и действующего на 1 января соответствующего финансового года, определенный в соответствии с методикой, определения порога минимальной достаточности пенсионных накоплений;
7) получатель пенсионных выплат (далее – получатель) – физическое лицо, которому назначены государственная базовая пенсионная выплата и (или) пенсионные выплаты по возрасту, и (или) пенсионные выплаты за выслугу лет, и (или) пенсионные выплаты из ЕНПФ и (или) добровольного накопительного пенсионного фонда, и (или) страховые выплаты из страховой организации в соответствии с договором пенсионного аннуитета;
8) уполномоченный орган по регулированию, контролю и надзору финансового рынка и финансовых организаций – государственный орган, осуществляющий государственное регулирование, контроль и надзор финансового рынка и финансовых организаций.
9) информационная система «Централизованный банк данных лиц, имеющих инвалидность» (далее – ИС «ЦБДИ») – аппаратно-программный комплекс, предназначенный для автоматизации бизнес-процессов по установлению инвалидности, утрате трудоспособности, разработке индивидуальной программы абилитации и реабилитации, а также для хранения и обработки данных по лицам, прошедшим освидетельствование в отделах медико-социальной экспертизы;
10) проактивная услуга – государственная услуга, оказываемая без заявления услугополучателя по инициативе услугодателя;
11) уполномоченный оператор – юридическое лицо (юридические лица), определяемое (определяемые) Правительством Республики Казахстан, осуществляющее (осуществляющие) открытие и ведение специальных счетов для единовременных пенсионных выплат из ЕНПФ в целях улучшения жилищных условий и (или) оплаты лечения, на которые ЕНПФ осуществляется перевод единовременных пенсионных выплат из пенсионных накоплений, сформированных за счет обязательных пенсионных взносов;
12) уполномоченный государственный орган – центральный исполнительный орган, осуществляющий руководство и межотраслевую координацию в сфере социальной защиты населения в соответствии с законодательством Республики Казахстан;
Сноска. Пункт 2 с изменениями, внесенными постановлениями Правительства РК от 26.12.2023 № 1183 (вводится в действие с 01.01.2024); от 27.03.2024 № 228 (вводится в действие по истечении десяти календарных дней после дня его первого официального опубликования).
3. Пенсионные выплаты осуществляются:
1) ежемесячно по установленному графику при наступлении условий, предусмотренных подпунктами 1) и 2) пункта 1, пунктом 1-1 статьи 220, подпунктами 1), 2) и 2-1) пункта 1 статьи 221 Социального кодекса.
Размер ежемесячной пенсионной выплаты определяется как одна двенадцатая годовой суммы пенсионных выплат, исчисленной в соответствии с методикой осуществления расчета размера пенсионных выплат.
При этом выплата исчисленного размера ежемесячной пенсионной выплаты осуществляется в размере не менее 70 процентов от прожиточного минимума, установленного на соответствующий финансовый год законом о республиканском бюджете, за исключением лиц, указанных в пункте 1-1 статьи 220 и подпункте 2-1) пункта 1 статьи 221 Социального кодекса.
В случае, если сумма пенсионных накоплений на дату осуществления выплаты из ЕНПФ не превышает двенадцатикратного размера минимальной пенсии, установленного законом о республиканском бюджете на соответствующий финансовый год, данная сумма выплачивается получателю из ЕНПФ единовременно, за исключением лиц, указанных в пункте 1-1 статьи 220 и подпункте 2-1) пункта 1 статьи 221 Социального кодекса.
При этом по лицам, достигшим пенсионного возраста в соответствии с пунктом 1 статьи 207 Социального кодекса и (или) имеющим инвалидность первой и второй групп, если инвалидность установлена бессрочно, реализовавшим свое право на получение пенсионных выплат из ЕНПФ до 1 января 2018 года, пенсионные выплаты осуществляются в размере не менее тридцатикратного размера минимальной пенсии, установленного на соответствующий финансовый год законом о республиканском бюджете, но не более имеющихся на индивидуальном пенсионном счете средств получателя.
В случае, если остаток пенсионных накоплений на индивидуальном пенсионном счете после осуществления очередной пенсионной выплаты составляет сумму менее 70 процентов от прожиточного минимума, установленного на соответствующий финансовый год законом о республиканском бюджете, данный остаток выплачивается вместе с суммой очередной пенсионной выплаты, за исключением лиц, указанных в пункте 1-1 статьи 220 и подпункте 2-1) пункта 1 статьи 221 Социального кодекса;
2) единовременно в случаях, предусмотренных подпунктом 3) пункта 1, пунктом 4 статьи 220, подпунктом 3) пункта 1, пунктом 3 статьи 221 Социального кодекса;
3) путем перевода пенсионных накоплений в страховую организацию на основании договора пенсионного аннуитета в случаях, предусмотренных подпунктом 4) пункта 1 статьи 220, подпунктом 4) пункта 1 статьи 221 Социального кодекса.
Сноска. Пункт 3 — в редакции постановления Правительства РК от 26.12.2023 № 1183 (вводится в действие с 01.01.2024).
4. Единовременные пенсионные выплаты за счет обязательных пенсионных взносов в целях улучшения жилищных условий в свою пользу или супруга (супруги), или близких родственников и (или) для оплаты лечения для себя или супруга (супруги), или близких родственников осуществляются лицам, имеющим пенсионные накопления в ЕНПФ, при наличии одного из условий, предусмотренных пунктом 3 статьи 220 Социального кодекса.
При этом размер единовременной пенсионной выплаты для лиц, указанных:
1) в абзаце втором пункта 3 статьи 220 Социального кодекса, не может превышать сумму разницы между суммой пенсионных накоплений за счет обязательных пенсионных взносов, находящихся в доверительном управлении Национального Банка Республики Казахстан, вкладчика обязательных пенсионных взносов и порогом минимальной достаточности пенсионных накоплений, рассчитанным в соответствии с методикой определения порога минимальной достаточности пенсионных накоплений, на дату получения электронного уведомления от уполномоченного оператора;
2) в абзаце третьем пункта 3 статьи 220 Социального кодекса, не может превышать 50 процентов от размера пенсионных накоплений за счет обязательных пенсионных взносов получателя, находящихся в доверительном управлении Национального Банка Республики Казахстан, на дату получения первичного электронного уведомления от уполномоченного оператора;
3) в абзацах четвертом и пятом пункта 3 статьи 220 Социального кодекса, не может превышать размер пенсионных накоплений за счет обязательных пенсионных взносов получателя, находящихся в доверительном управлении Национального Банка Республики Казахстан.
При этом для расчета единовременной пенсионной выплаты используются следующие сведения, получаемые ЕНПФ из информационных систем государственных органов:
для лиц, являющихся получателями пенсионных выплат по возрасту, о размере государственной базовой пенсионной выплаты, пенсионной выплаты по возрасту, установленных на дату их назначения;
для лиц, являющихся получателями пенсионных выплат за выслугу лет, судей в отставке – о принадлежности к указанным категориям лиц.
5. Оплата банковских услуг, связанных с переводами, зачислениями и выплатами пенсионных накоплений, за исключением услуг по их конвертации и зачислению на банковские счета получателей, открытые в иностранных банках, а также оплата банковских услуг, связанных с переводами единовременных пенсионных выплат, осуществляются за счет собственных средств ЕНПФ.
6. В случае, если нотариальные действия в части свидетельствования верности копии документа с оригиналом, подлинности подписи получателя на заявлении, удостоверения доверенности производятся в иностранном государстве, то их необходимо легализовать, за исключением случаев, когда иное установлено международными договорами, ратифицированными Республикой Казахстан.
Глава 2. Порядок осуществления пенсионных выплат из ЕНПФ
Параграф 1. В случаях достижения пенсионного возраста, установления инвалидности первой и второй групп бессрочно
7. В целях получения пенсионных выплат из ЕНПФ лицо, имеющее в ЕНПФ индивидуальный пенсионный счет для учета обязательных пенсионных взносов и (или) обязательных профессиональных пенсионных взносов (далее – заявитель), при наступлении условий, предусмотренных:
1) подпунктом 1) пункта 1 статьи 220, подпунктом 1) пункта 1 статьи 221 Социального кодекса, обращается с заявлением в Государственную корпорацию с представлением документа, удостоверяющего личность, а также сведений о банковском счете;
2) подпунктом 2) пункта 1 статьи 220, подпунктом 2) пункта 1 статьи 221 Социального кодекса, представляет при личном обращении в ЕНПФ:
заявление о назначении пенсионных выплат по форме, утвержденной внутренним документом ЕНПФ (далее – заявление);
документ, удостоверяющий личность заявителя (для идентификации);
сведения о банковском счете заявителя.
При обращении посредством интернет-ресурса ЕНПФ представляет заявление, удостоверенное электронной цифровой подписью (далее – ЭЦП) заявителя.
Порядок обращения посредством интернет-ресурса ЕНПФ утверждается внутренним документом ЕНПФ.
8. В случае, если заявителями являются лица, указанные в подпункте 2) пункта 1 статьи 220, подпункте 2) пункта 1 статьи 221 Социального кодекса, ЕНПФ запрашивает сведения об установлении инвалидности заявителю из ИС «ЦБДИ» уполномоченного органа в сфере социальной защиты населения.
В случае отсутствия сведений в ИС «ЦБДИ» о наличии у заявителя установленной инвалидности первой или второй группы бессрочно, ЕНПФ отказывает в приеме заявления в день обращения заявителя с вручением расписки об отказе в приеме документов с указанием причины отказа по форме, утвержденной внутренним документом ЕНПФ.
9. В случае снятия инвалидности первой или второй группы, установленной бессрочно у лиц, указанных в подпункте 2) пункта 1 статьи 220 и подпункте 2) пункта 1 статьи 221 Социального кодекса, пенсионные выплаты из ЕНПФ прекращаются с месяца, следующего за месяцем получения сведений из ИС «ЦБДИ» о снятии инвалидности.
Порядок и сроки предоставления сведений о снятии инвалидности установлены соответствующим соглашением, заключенным между ЕНПФ и уполномоченным органом в сфере социальной защиты.
10. По заявлениям, представленным заявителями в Государственную корпорацию в соответствии с подпунктом 1) пункта 7 настоящих Правил, Государственная корпорация осуществляет взаимодействие с ЕНПФ в порядке и сроки, установленные соответствующим соглашением, заключенным между ЕНПФ и Государственной корпорацией, в рамках которого в ЕНПФ передаются сведения о зарегистрированных в Государственной корпорации заявлениях получателей.
ЕНПФ переводит в Государственную корпорацию суммы пенсионных выплат получателей, рассчитанные в соответствии с подпунктом 1) пункта 3 настоящих Правил, согласно установленным Государственной корпорацией графиком пенсионных выплат.
Государственная корпорация перечисляет суммы пенсионных выплат, полученные из ЕНПФ, на банковские счета получателей в соответствии с установленным Государственной корпорацией графиком пенсионных выплат, но не ранее даты возникновения права на пенсионные выплаты из ЕНПФ.
В случаях представления получателем неполного пакета документов, установленных в соответствии с подпунктом 1) пункта 7 настоящих Правил, и (или) недействительных документов Государственная корпорация отказывает получателю в приеме заявления в день обращения с вручением расписки об отказе в приеме заявления либо в исполнении заявления путем направления уведомления в течение десяти рабочих дней со дня получения документов, предусмотренных настоящими Правилами, с указанием причины отказа.
В случае отсутствия у заявителя пенсионных накоплений в ЕНПФ, либо, если он является получателем по установленному графику пенсионных выплат из ЕНПФ, Государственная корпорация уведомляет заявителя о данных фактах в момент приема заявления.
11. В целях оказания проактивной услуги по пенсионным выплатам из ЕНПФ лицам, достигшим пенсионного возраста в соответствии с пунктом 1 статьи 207 Социального кодекса, имеющим пенсионные накопления в ЕНПФ и не обратившимся в ЕНПФ за их выплатой, ЕНПФ ежегодно до 1 марта года, следующего за отчетным годом, осуществляет сверку с Государственной корпорацией на наличие у указанных лиц в информационной системе уполномоченного органа в сфере социальной защиты населения назначенных за счет бюджетных средств пенсионных выплат по возрасту или за выслугу лет, государственной базовой пенсионной выплаты.
По результатам сверки Государственная корпорация:
формирует список лиц, являющихся получателями пенсионных выплат по возрасту или за выслугу лет, государственной базовой пенсионной выплаты за счет бюджетных средств;
формирует в журнале электронных заявок и уведомлений на каждого получателя отдельно заявку, удостоверенную ЭЦП уполномоченного государственного органа в сфере информатизации;
по зарегистрированным Государственной корпорацией в информационной системе уполномоченного органа в сфере социальной защиты населения электронным заявкам направляет в информационную систему ЕНПФ электронные сообщения в формате, определенном соглашением, указанным в пункте 10 настоящих Правил, не позднее одного рабочего дня с даты регистрации в информационной системе уполномоченного органа в сфере социальной защиты населения электронных заявок.
ЕНПФ переводит в Государственную корпорацию суммы пенсионных выплат получателей, рассчитанные в соответствии с подпунктом 1) пункта 3 настоящих Правил, в соответствии с графиком пенсионных выплат Государственной корпорации.
Государственная корпорация перечисляет суммы пенсионных выплат, полученные из ЕНПФ, на банковские счета получателей, указанные в заявлениях о назначении пенсионных выплат по возрасту или за выслугу лет и государственной базовой пенсионной выплаты за счет бюджетных средств.
При этом сбор и обработка персональных данных получателей осуществляются на основании согласий, предоставленных при назначении пенсионных выплат по возрасту или за выслугу лет и государственной базовой пенсионной выплаты.
Сноска. Пункт 11 – в редакции постановления Правительства РК от 18.08.2025 № 636 (вводится в действие по истечении десяти календарных дней после дня его первого официального опубликования).
12. Пенсионные выплаты устанавливаются со дня обращения и осуществляются до исчерпания пенсионных накоплений.
Днем обращения за пенсионной выплатой считаются:
1) для получателей, указанных в подпункте 1) пункта 7 настоящих Правил, – день регистрации заявления получателя в Государственной корпорации, при этом, в случае, если заявление зарегистрировано:
после наступления условий, указанных в подпункте 1) пункта 7 настоящих Правил, днем обращения считается день регистрации заявления;
до наступления условий, указанных в подпункте 1) пункта 7 настоящих Правил, днем обращения считается день наступления условий, указанных в подпункте 1) пункта 7 настоящих Правил;
2) для получателей, реализовавших свое право на получение пенсионных выплат из ЕНПФ до 1 января 2018 года, а также указанных в подпункте 2) пункта 7 настоящих Правил, – дата приема либо поступления документов в ЕНПФ.
ЕНПФ ежегодно самостоятельно производит перерасчет размера пенсионных выплат по установленному графику с учетом положений, предусмотренных настоящими Правилами.
Параграф 1.1. В случае достижения пятидесятипятилетнего возраста и уплаты обязательных профессиональных пенсионных взносов в совокупности не менее восьмидесяти четырҰх месяцев
Сноска. Глава 2 дополнена параграфом 1.1 в соответствии с постановлением Правительства РК от 26.12.2023 № 1183 (вводится в действие с 01.01.2024).
12-1. Пенсионные выплаты за счет обязательных профессиональных пенсионных взносов назначаются лицам, имеющим пенсионные накопления в ЕНПФ, при наступлении условий, предусмотренных подпунктом 2-1) пункта 1 статьи 221 Социального кодекса, посредством оказания проактивной услуги в соответствии с Законом Республики Казахстан «О государственных услугах» в рамках назначения специальной социальной выплаты либо при обращении с заявлением по форме согласно приложению 1 к Правилам назначения, осуществления, приостановления, возобновления и прекращения выплаты специального профессионального государственного пособия, утвержденным приказом Министра труда и социальной защиты населения Республики Казахстан от 25 декабря 2023 года № 521 (далее ₋₋ заявление), в Государственную корпорацию с представлением документа, удостоверяющего личность, а также сведений о банковском счете.
В случае, если лицо, указанное в подпункте 2-1) пункта 1 статьи 221 Социального кодекса, имеет пенсионные накопления, сформированные за счет обязательных пенсионных взносов, и соответствует условиям, предусмотренным пунктом 1-1 статьи 220 Социального кодекса, данному лицу могут быть назначены дополнительно пенсионные выплаты из ЕНПФ за счет обязательных пенсионных взносов при наличии его согласия на их получение.
12-2. По электронным заявкам, зарегистрированным в информационной системе уполномоченного государственного органа, при оказании проактивной услуги по назначению специальной социальной выплаты либо зарегистрированным заявлениям, представленным вкладчиками обязательных пенсионных взносов, физическими лицами, за которых уплачены обязательные профессиональные пенсионные взносы, Государственная корпорация осуществляет взаимодействие с ЕНПФ в порядке и сроки, установленные соглашением, указанным в пункте 10 настоящих Правил, в рамках которого в ЕНПФ передаются сведения о зарегистрированных в Государственной корпорации электронных заявках, заявлениях, в том числе согласие вкладчика обязательных пенсионных взносов на получение пенсионной выплаты за счет обязательных пенсионных взносов, а также о приостановлении, возобновлении, прекращении специальной социальной выплаты.
ЕНПФ переводит в Государственную корпорацию суммы пенсионных выплат, рассчитанные в соответствии с подпунктом 1) пункта 3 настоящих Правил, согласно установленному Государственной корпорацией графику пенсионных выплат.
При этом пенсионные выплаты за счет обязательных пенсионных взносов осуществляются при наличии согласия вкладчика обязательных пенсионных взносов на их получение, указанного в заявлении.
Государственная корпорация перечисляет суммы пенсионных выплат, полученные из ЕНПФ, на банковские счета получателей, указанные в заявлении.
Сбор и обработка персональных данных получателей пенсионной выплаты осуществляются на основании согласий, предоставленных в Государственную корпорацию.
Сноска. Пункт 12-2 – в редакции постановления Правительства РК от 18.08.2025 № 636 (вводится в действие по истечении десяти календарных дней после дня его первого официального опубликования).
12-3. Пенсионные выплаты устанавливаются со дня назначения и осуществляются до достижения получателем, указанным в пункте 12-1 настоящих Правил, пенсионного возраста, установленного пунктом 1 статьи 207 Социального кодекса, или до исчерпания пенсионных накоплений.
Днем назначения пенсионной выплаты считается день регистрации электронной заявки либо заявления получателя пенсионной выплаты в Государственной корпорации.
ЕНПФ ежегодно самостоятельно производит перерасчет размера пенсионных выплат с учетом положений, предусмотренных настоящими Правилами.
Сноска. Пункт 12-3 – в редакции постановления Правительства РК от 18.08.2025 № 636 (вводится в действие по истечении десяти календарных дней после дня его первого официального опубликования).
12-4. Пенсионная выплата прекращается с первого числа месяца, следующего за месяцем поступления сведений, в том числе из информационных систем государственных органов:
1) о смерти получателя пенсионной выплаты;
2) о выявлении факта прекращения гражданства Республики Казахстан получателя пенсионной выплаты;
3) о выявлении факта уплаты обязательных профессиональных пенсионных взносов работодателем в пользу получателя пенсионной выплаты.
Параграф 2. В случае выезда на постоянное место жительства за пределы Республики Казахстан
13. Иностранцы и лица без гражданства, имеющие пенсионные накопления, выехавшие на постоянное место жительства за пределы Республики Казахстан, если иное не предусмотрено законами Республики Казахстан и международными договорами, ратифицированными Республикой Казахстан, представляют в ЕНПФ при личном обращении:
1) заявление;
2) оригинал заграничного паспорта (для идентификации).
При этом лицо без гражданства в качестве заграничного паспорта предоставляет документ, удостоверяющий личность лица без гражданства, выданный иностранным государством и подтверждающий правовой статус лица без гражданства;
3) сведения о банковском счете иностранца или лица без гражданства.
При получении вышеуказанных документов ЕНПФ запрашивает сведения из информационных систем государственных органов Республики Казахстан о наличии у обратившегося иностранца или лица без гражданства документов, удостоверяющих личность гражданина Республики Казахстан, либо вида на жительство иностранца в Республике Казахстан, либо удостоверения лица без гражданства, выданного уполномоченным органом Республики Казахстан, и его действительности.
В случае получения сведений об отсутствии или недействительности документов, удостоверяющих личность гражданина Республики Казахстан, либо вида на жительство иностранца в Республике Казахстан, либо удостоверения лица без гражданства, выданного уполномоченным органом Республики Казахстан, в связи с выездом обратившегося иностранца или лица без гражданства за пределы Республики Казахстан на постоянное место жительства либо аннулированием иностранцу или лицу без гражданства разрешения на постоянное проживание в Республике Казахстан, либо в связи с утратой гражданства Республики Казахстан, выходом из гражданства Республики Казахстан, ЕНПФ осуществляет пенсионную выплату в сроки, установленные пунктом 26 настоящих Правил.
В случаях получения сведений о наличии и действительности документов, удостоверяющих личность гражданина Республики Казахстан, либо вида на жительство иностранца в Республике Казахстан, либо удостоверения лица без гражданства, выданного уполномоченным органом Республики Казахстан, ЕНПФ отказывает в приеме либо исполнении заявления в сроки, установленные пунктом 24 настоящих Правил.
Сноска. Пункт 13 с изменением, внесенным постановлением Правительства РК от 18.08.2025 № 636 (вводится в действие по истечении десяти календарных дней после дня его первого официального опубликования).
14. Пенсионные выплаты иностранцам и лицам без гражданства, выехавшим на постоянное место жительства за пределы Республики Казахстан, осуществляются единовременно, если иное не предусмотрено международными договорами, ратифицированными Республикой Казахстан.
Параграф 3. В случае смерти лица, имеющего пенсионные накопления
15. В случае смерти лица, имеющего пенсионные накопления в ЕНПФ, членам его семьи ЕНПФ производится единовременная выплата на погребение за счет средств пенсионных накоплений умершего лица в пределах размера 94-кратного месячного расчетного показателя, установленного на соответствующий финансовый год законом о республиканском бюджете, но не более имеющихся на индивидуальном пенсионном счете средств умершего лица.
В случае, если остаток пенсионных накоплений на индивидуальном пенсионном счете умершего лица после осуществления единовременной выплаты на погребение составит сумму, не превышающую размера минимальной пенсии, установленного на соответствующий финансовый год законом о республиканском бюджете, данный остаток выплачивается как выплата на погребение членам семьи умершего лица в порядке, определенном внутренними документами ЕНПФ.
Сноска. Пункт 15 – в редакции постановления Правительства РК от 18.08.2025 № 636 (вводится в действие по истечении десяти календарных дней после дня его первого официального опубликования).
16. Для получения единовременной выплаты на погребение членом семьи умершего лица, имеющего пенсионные накопления, при личном обращении в ЕНПФ представляются следующие документы:
1) заявление;
2) документ, удостоверяющий личность члена семьи умершего лица, имеющего пенсионные накопления (для идентификации);
3) в случае отсутствия в информационных системах государственных органов сведений о смерти лица, имеющего пенсионные накопления, предоставляется оригинал свидетельства о смерти или нотариально засвидетельствованная копия свидетельства о смерти, имеющего пенсионные накопления;
4) в случае отсутствия в информационных системах государственных органов сведений, подтверждающих родственную связь обратившегося лица с умершим лицом, представляется оригинал документа, подтверждающего родственную связь обратившегося лица с умершим лицом;
5) сведения о банковском счете члена семьи умершего лица, имеющего пенсионные накопления.
Заявление может быть предоставлено в ЕНПФ членом семьи умершего лица в электронной форме посредством интернет-ресурса ЕНПФ в порядке, предусмотренном внутренним документом ЕНПФ, при условии наличия в информационных системах государственных органов сведений о документах, предусмотренных в подпунктах 2) – 4) настоящего пункта Правил.
В случае, если выдача свидетельства о смерти лица, имеющего пенсионные накопления в ЕНПФ и умершего за пределами Республики Казахстан, осуществлена в иностранном государстве, то свидетельство о смерти необходимо легализовать в соответствии с действующим законодательством Республики Казахстан.
17. Для получения пенсионных накоплений умершего лица, имеющего пенсионные накопления в ЕНПФ, его наследником (наследниками) представляются следующие документы:
1) заявление;
2) документ, удостоверяющий личность наследника (для идентификации);
3) в случае отсутствия в информационных системах государственных органов сведений о смерти лица, имеющего пенсионные накопления, оригинал свидетельства о смерти или нотариально засвидетельствованная копия свидетельства о смерти, имеющего пенсионные накопления;
4) оригинал или нотариально засвидетельствованная копия свидетельства о праве на наследство либо оригинал или нотариально засвидетельствованная копия соглашения о разделе наследуемого имущества, либо решение суда, вступившее в законную силу;
5) сведения о банковском счете наследника.
18. Лицами, обратившимися по судебному акту за пенсионными накоплениями, признанными выморочным имуществом в соответствии со статьей 1083 Гражданского кодекса Республики Казахстан, в ЕНПФ представляются следующие документы:
1) судебный акт, вступивший в законную силу;
2) сведения о банковском счете.
Параграф 4. Общие положения к порядку пенсионных выплат из ЕНПФ
19. В случае подачи заявления через третье лицо, в дополнение к документам, указанным в пунктах 7, 13 и 17 настоящих Правил третьим лицом (поверенное лицо, законный представитель) представляются:
1) оригинал нотариально удостоверенной доверенности или ее нотариально засвидетельствованная копия;
2) документ, удостоверяющий личность третьего лица (для идентификации).
При этом копия документа, удостоверяющего личность заявителя, иностранца, лица без гражданства, наследника, нотариально свидетельствуется (при условии, что нотариальное свидетельствование производится в государстве проживания);
3) документ, подтверждающий статус законного представителя, в случае обращения законного представителя.
20. При передаче заявления через средства почтовой связи копия документа, удостоверяющего личность заявителя, иностранца, лица без гражданства, наследника, указанного в подпункте 2) пункта 7, пунктах 13 и 17 настоящих Правил, а также подпись заявителя, иностранца, лица без гражданства, наследника в заявлении нотариально свидетельствуются (при условии, что нотариальное свидетельствование производится в государстве проживания).
21. Представление документов, указанных в настоящих Правилах, не требуется при возможности получения их из информационных систем государственных органов, в том числе из сервиса цифровых документов.
22. На основании принятых документов и сведений из информационных систем государственных органов ЕНПФ формирует электронный макет дела и хранит его в порядке и сроки, установленные постановлением Правления Национального Банка Республики Казахстан.
При этом сведения о банковском счете получателей, а также сведения, полученные из информационных систем государственных органов, могут подлежать хранению в электронном виде.
23. Лицам, указанным в настоящих Правилах, обратившимся в ЕНПФ за выплатами, вручается расписка о приеме документов по форме, утвержденной внутренним документом ЕНПФ, за исключением лица, передавшего в ЕНПФ пакет документов через средства почтовой связи.
Информация о приеме заявления и документов, предусмотренных положениями настоящих Правил, может быть направлена ЕНПФ посредством sms-сообщения на телефонный номер абонентского устройства сотовой связи, указанный в заявлении.
24. В случае представления заявителем, иностранцем, лицом без гражданства, наследником, членом семьи умершего лица, имеющего пенсионные накопления, либо третьим лицом пакета документов, не соответствующих требованиям настоящих Правил или законодательства Республики Казахстан, ЕНПФ отказывает в приеме заявления в день обращения с вручением расписки об отказе в приеме документов по форме, определяемой внутренним документом ЕНПФ, либо в исполнении заявления путем направления уведомления в течение 10 (десять) рабочих дней с момента получения документов, предусмотренных настоящими Правилами, с указанием причины отказа.
25. В случае смерти получателя пенсионные выплаты из ЕНПФ прекращаются с месяца, следующего за месяцем получения ЕНПФ сведений о смерти.
26. Пенсионные выплаты осуществляются лицам, указанным в подпункте 2) пункта 7, пунктах 13, 17 и 18 настоящих Правил, в течение 10 (десять) рабочих дней со дня приема либо поступления в ЕНПФ документов, предусмотренных настоящими Правилами.
Единовременная выплата на погребение осуществляется лицу, указанному в пункте 16 настоящих Правил, в течение 5 (пять) рабочих дней со дня приема документов, предусмотренных настоящими Правилами.
27. Пенсионные выплаты, единовременная выплата на погребение переводятся ЕНПФ на банковский счет получателя либо члена семьи умершего лица, имеющего пенсионные накопления, реквизиты которого указываются в заявлении.
27-1. В случае изменения банковских реквизитов, представленных получателем в Государственную корпорацию или ЕНПФ в целях получения пенсионных выплат, получатель уведомляет Государственную корпорацию или ЕНПФ об изменении банковских реквизитов в течение десяти календарных дней с даты таких изменений.
По заявлениям, поданным в ЕНПФ в соответствии с настоящими Правилами, получатель пенсионных выплат обращается в ЕНПФ с документом, удостоверяющим личность, и заявлением по форме, утвержденной внутренними документами ЕНПФ, либо посредством интернет-ресурса ЕНПФ для внесения изменений банковских реквизитов при наличии электронной цифровой подписи.
Сноска. Параграф 4 дополнен пунктом 27-1 в соответствии с постановлением Правительства РК от 26.12.2023 № 1183 (вводится в действие с 01.01.2024).
Глава 3. Порядок осуществления единовременных пенсионных выплат в целях улучшения жилищных условий и (или) оплаты лечения, возврата их в ЕНПФ
28. В целях получения единовременных пенсионных выплат из ЕНПФ лицо, имеющее пенсионные накопления в ЕНПФ, сформированные за счет обязательных пенсионных взносов, или его законный представитель при наличии условий, предусмотренных пунктом 3 статьи 220 Социального кодекса, обращаются к уполномоченному оператору с заявлением на единовременную пенсионную выплату (далее – заявление на выплату) посредством интернет-ресурса уполномоченного оператора.
Порядок использования единовременных пенсионных выплат в целях улучшения жилищных условий определяется центральным исполнительным органом в сфере жилищных отношений и жилищно-коммунального хозяйства в соответствии с подпунктом 10-27) статьи 10-2 Закона Республики Казахстан «О жилищных отношениях».
Порядок использования единовременных пенсионных выплат для оплаты лечения определяется центральным исполнительным органом в сфере здравоохранения в соответствии с подпунктом 60-1) статьи 7 Кодекса Республики Казахстан «О здоровье народа и системе здравоохранения».
29. Порядок информационного взаимодействия и обмена информацией ЕНПФ с уполномоченным оператором устанавливается соответствующим соглашением, заключенным между ЕНПФ и уполномоченным оператором, в рамках которого в ЕНПФ в течение двух рабочих дней передаются электронные уведомления о зарегистрированных у уполномоченного оператора заявлениях на выплату, поданных лицами, указанными в пункте 3 статьи 220 Социального кодекса, согласно пункту 28 настоящих Правил, а также заявления об удержании индивидуального подоходного налога.
Учет единовременных пенсионных выплат на индивидуальных пенсионных счетах получателей осуществляется в порядке, определенном уполномоченным органом, осуществляющим государственное регулирование, контроль и надзор финансового рынка и финансовых организаций.
30. Лица, указанные в пункте 3 статьи 220 Социального кодекса, или их законные представители самостоятельно представляют уполномоченному оператору сведения о сумме пенсионных накоплений, сформированных за счет обязательных пенсионных взносов, доступной к изъятию в целях улучшения жилищных условий и (или) оплаты лечения посредством получения указанных сведений из ЕНПФ, в том числе через электронные способы получения информации о состоянии пенсионных накоплений в соответствии с внутренними документами ЕНПФ.
31. ЕНПФ в течение 5 (пять) рабочих дней со дня поступления в соответствии с пунктом 29 настоящих Правил электронного уведомления от уполномоченного оператора переводит уполномоченному оператору сумму единовременной пенсионной выплаты лица, указанного в пункте 3 статьи 220 Социального кодекса, указанную им или его законным представителем в заявлении на выплату, но не выше суммы, рассчитанной в соответствии с пунктом 4 настоящих Правил, для последующего зачисления на специальный счет лица, указанного в пункте 3 статьи 220 Социального кодекса, открытый уполномоченным оператором для единовременных пенсионных выплат в целях улучшения жилищных условий и (или) оплаты лечения.
32. ЕНПФ в течение 5 (пять) рабочих дней с даты получения электронного уведомления, предусмотренного пунктом 29 настоящих Правил, направляет уполномоченному оператору электронное уведомление об отказе в перечислении суммы единовременной пенсионной выплаты с указанием причины отказа в следующих случаях:
наличие в информационных системах государственных органов сведений о недействительности документов, удостоверяющих личность лица, указанного в пункте 3 статьи 220 Социального кодекса или его законного представителя, и (или) смерти;
отсутствие у лица, указанного в пункте 3 статьи 220 Социального кодекса, пенсионных накоплений в ЕНПФ;
отсутствие у лица, указанного в пункте 3 статьи 220 Социального кодекса, условий, предусмотренных пунктом 4 настоящих Правил;
если сумма пенсионных накоплений за счет обязательных пенсионных взносов лица, указанного в пункте 3 статьи 220 Социального кодекса, на дату получения электронного уведомления от уполномоченного оператора не превышает порог минимальной достаточности пенсионных накоплений согласно методике определения порога минимальной достаточности пенсионных накоплений;
если размер пенсионных выплат получателя пенсионных выплат по возрасту в совокупности не обеспечивает коэффициент замещения среднемесячного дохода получателя на уровне не ниже 40 процентов согласно методике определения коэффициента замещения среднемесячного дохода получателя пенсионными выплатами.
33. Оплата услуг уполномоченного оператора, в том числе оплата банковских услуг, связанных с единовременными пенсионными выплатами за счет обязательных пенсионных взносов в целях улучшения жилищных условий и (или) оплаты лечения лицам, указанным в пункте 3 статьи 220 Социального кодекса, осуществляется за счет средств указанных лиц.
34. Уполномоченный оператор осуществляет мониторинг за целевым использованием единовременных пенсионных выплат на цели улучшения жилищных условий и (или) оплаты лечения.
Взаимодействие между уполномоченным оператором и ЕНПФ по возврату единовременных пенсионных выплат осуществляется в порядке, определенном соответствующим соглашением, указанным в пункте 29 настоящих Правил.
В случае обнаружения уполномоченным оператором нецелевого использования единовременных пенсионных выплат на улучшение жилищных условий и (или) оплату лечения уполномоченный оператор осуществляет их возврат в ЕНПФ в соответствии с правилами, предусмотренными абзацами вторым и третьим пункта 28 настоящих Правил.
Возврат осуществляется в случаях:
1) подачи уполномоченному оператору заявления лица, указанного в пункте 3 статьи 220 Социального кодекса, на возврат в ЕНПФ всей суммы или части суммы единовременной пенсионной выплаты, зачисленной на специальный счет лица, указанного в пункте 3 статьи 220 Социального кодекса;
2) непредставления лицом, указанным в пункте 3 статьи 220 Социального кодекса, или его законным представителем уполномоченному оператору документов, подтверждающих использование единовременных пенсионных выплат на улучшение жилищных условий и (или) оплату лечения;
3) нецелевого использования единовременных пенсионных выплат, переведенных на улучшения жилищных условий и (или) оплату лечения.
В случае, указанном в подпункте 2) настоящего пункта, уполномоченный оператор направляет в течение 5 (пять) рабочих дней посредством интернет-ресурса уполномоченного оператора электронное уведомление лицу, указанному в пункте 3 статьи 220 Социального кодекса, или его законному представителю о необходимости представления документов, подтверждающих использование единовременных пенсионных выплат.
Лицо, указанное в пункте 3 статьи 220 Социального кодекса, в случаях, указанных в подпунктах 2) и 3) настоящего пункта, возвращает всю сумму или часть суммы единовременной пенсионной выплаты, изъятой им на улучшения жилищных условий и (или) оплату лечения на свой специальный счет, открытый у уполномоченного оператора.
Уполномоченный оператор в течение 10 (десять) рабочих дней со дня поступления возвращаемой лицом, указанным в пункте 3 статьи 220 Социального кодекса, суммы осуществляет их возврат в ЕНПФ.
В случае, указанном в подпункте 1) настоящего пункта, уполномоченный оператор в течение 3 (три) рабочих дней с даты получения заявления на возврат от лица, указанного в пункте 3 статьи 220 Социального кодекса, осуществляет возврат в ЕНПФ единовременных пенсионных выплат.
Суммы единовременных пенсионных выплат, возвращенные уполномоченным оператором, ЕНПФ зачисляет на индивидуальный пенсионный счет лиц, указанных в пункте 3 статьи 220 Социального кодекса, в порядке и сроки, определенные внутренними документами ЕНПФ.
| Утверждена постановлением Правительства Республики Казахстан от 30 июня 2023 года № 521 |
Методика осуществления расчета размера пенсионных выплат
1. Настоящая методика осуществления расчета размера пенсионных выплат (далее – методика) разработана в соответствии с подпунктом 10) статьи 11 Социального кодекса Республики Казахстан (далее – Социальный кодекс) и устанавливает порядок расчета размера пенсионных выплат.
2. Для осуществления расчета размера пенсионных выплат используются следующие параметры:
1) ставка выплат пенсионных накоплений (в %);
2) ставка индексации пенсионных выплат (в %);
3) поправочные коэффициенты к ставке выплат пенсионных накоплений.
3. Параметры, указанные в пункте 2 настоящей методики, принимаются в размерах согласно приложению к настоящей методике.
4. Годовая сумма пенсионных выплат лицам, указанным в подпунктах 1) и 2) пункта 1, пункте 1-1 статьи 220, подпунктах 1), 2) и 2-1) пункта 1 статьи 221 Социального кодекса, в первый год осуществления пенсионных выплат рассчитывается как произведение суммы пенсионных накоплений на ставку выплат пенсионных накоплений.
Сноска. Пункт 4 — в редакции постановления Правительства РК от 26.12.2023 № 1183 (вводится в действие с 01.01.2024).
5. Годовая сумма пенсионных выплат в первый год осуществления пенсионных выплат умножается на поправочный коэффициент, указанный в приложении к настоящей методике, в случае, если физическое лицо удовлетворяет одному из следующих условий:
1) имеется инвалидность первой группы, установленная бессрочно;
2) имеется инвалидность второй группы, установленная бессрочно;
3) наступление пенсионного возраста в соответствии с пунктом 1 статьи 207 Социального кодекса и наличие пенсионных накоплений, сформированных за счет обязательных профессиональных пенсионных взносов в совокупности не менее шестидесяти месяцев.
К лицам, удовлетворяющих более чем одному условию, предусмотренному частью первой настоящего пункта, применяется поправочный коэффициент с наибольшим значением.
К лицам, указанным в пункте 1-1 статьи 220 и подпункте 2-1) пункта 1 статьи 221 Социального кодекса, обратившимся за пенсионной выплатой до достижения пенсионного возраста в соответствии с пунктом 1 статьи 207 Социального кодекса, поправочный коэффициент, установленный подпунктом 3) пункта 2 настоящей методики, не применяется.
Сноска. Пункт 5 с изменением, внесенным постановлением Правительства РК от 26.12.2023 № 1183 (вводится в действие с 01.01.2024).
6. Размер ежемесячной пенсионной выплаты в первый год осуществления пенсионных выплат определяется как одна двенадцатая годовой суммы пенсионных выплат в первый год осуществления пенсионных выплат, исчисленной в соответствии с пунктами 4 и 5 настоящей методики.
При этом выплата исчисленного размера ежемесячной пенсионной выплаты лицам, указанным в подпунктах 1) и 2) пункта 1 статьи 220, подпунктах 1) и 2) пункта 1 статьи 221 Социального кодекса, в первый год осуществления пенсионных выплат осуществляется в размере не менее 70 процентов от прожиточного минимума, установленного на 1 января соответствующего финансового года Законом Республики Казахстан «О республиканском бюджете».
В последующие годы осуществления пенсионных выплат лицам, указанным в подпунктах 1) и 2) пункта 1, пункте 1-1 статьи 220, подпунктах 1), 2) и 2-1) пункта 1 статьи 221 Социального кодекса, размер ежемесячной пенсионной выплаты определяется путем увеличения размера ежемесячной пенсионной выплаты за предыдущий год на ставку индексации пенсионных выплат.
Сноска. Пункт 6 — в редакции постановления Правительства РК от 26.12.2023 № 1183 (вводится в действие с 01.01.2024).
7. В случае получения ЕНПФ сведений из ИС «ЦБДИ» о снятии инвалидности получателям пенсионных выплат, которым были назначены пенсионные выплаты в соответствии с подпунктом 2) пункта 1 статьи 220, подпунктом 2) пункта 1 статьи 221 Социального кодекса, и которые достигли пенсионного возраста согласно пункту 1 статьи 207 Социального кодекса, ЕНПФ осуществляет перерасчет пенсионных выплат без учета поправочных коэффициентов к ставке выплат пенсионных накоплений согласно подпункту 3) пункта 2 настоящей методики.
Перерасчет пенсионных выплат осуществляется за месяцем получения сведений из ИС «ЦБДИ» о снятии инвалидности.
| Приложение к методике осуществления расчета размера пенсионных выплат |
Размеры параметров для осуществления расчета размера пенсионных выплат
Сноска. Приложение с изменением, внесенным Правительства РК от 26.12.2023 № 1183 (вводится в действие с 01.01.2024).
1) ставка выплат пенсионных накоплений – 6,5 %;
2) ставка индексации пенсионных выплат – 5 %;
3) поправочный коэффициент для получателей пенсионных выплат, достигших пенсионного возраста в соответствии с пунктом 1 статьи 207 Социального кодекса, за которых уплачены обязательные профессиональные пенсионные взносы в совокупности не менее шестидесяти месяцев, – 1,45;
4) поправочные коэффициенты к ставке выплат пенсионных накоплений для получателей пенсионных выплат, имеющих инвалидность первой группы, если инвалидность установлена бессрочно:
|
Возраст |
Поправочный коэффициент |
|
18 |
0,74 |
|
19 |
0,75 |
|
20 |
0,77 |
|
21 |
0,78 |
|
22 |
0,79 |
|
23 |
0,81 |
|
24 |
0,82 |
|
25 |
0,84 |
|
26 |
0,86 |
|
27 |
0,87 |
|
28 |
0,90 |
|
29 |
0,91 |
|
30 |
0,94 |
|
31 |
0,96 |
|
32 |
0,98 |
|
33 |
1,01 |
|
34 |
1,03 |
|
35 |
1,06 |
|
36 |
1,09 |
|
37 |
1,12 |
|
38 |
1,15 |
|
39 |
1,18 |
|
40 |
1,21 |
|
41 |
1,24 |
|
42 |
1,28 |
|
43 |
1,31 |
|
44 |
1,34 |
|
45 |
1,38 |
|
46 |
1,42 |
|
47 |
1,45 |
|
48 |
1,48 |
|
49 |
1,51 |
|
50 |
1,54 |
|
51 |
1,56 |
|
52 |
1,58 |
|
53 |
1,58 |
|
54 |
1,58 |
|
55 |
1,56 |
|
56 |
1,54 |
|
57 |
1,49 |
|
58 |
1,42 |
|
59 |
1,40 |
|
60 |
1,37 |
|
61 |
1,87 |
|
62 |
1,79 |
|
63 |
1,69 |
5) поправочные коэффициенты к ставке выплат пенсионных накоплений для получателей пенсионных выплат, имеющих инвалидность второй группы, если инвалидность установлена бессрочно:
|
Возраст |
Поправочный коэффициент |
|
18 |
0,59 |
|
19 |
0,59 |
|
20 |
0,60 |
|
21 |
0,61 |
|
22 |
0,62 |
|
23 |
0,63 |
|
24 |
0,64 |
|
25 |
0,65 |
|
26 |
0,66 |
|
27 |
0,68 |
|
28 |
0,69 |
|
29 |
0,70 |
|
30 |
0,72 |
|
31 |
0,73 |
|
32 |
0,75 |
|
33 |
0,76 |
|
34 |
0,78 |
|
35 |
0,79 |
|
36 |
0,81 |
|
37 |
0,83 |
|
38 |
0,85 |
|
39 |
0,87 |
|
40 |
0,89 |
|
41 |
0,91 |
|
42 |
0,93 |
|
43 |
0,95 |
|
44 |
0,98 |
|
45 |
1,00 |
|
46 |
1,03 |
|
47 |
1,05 |
|
48 |
1,08 |
|
49 |
1,10 |
|
50 |
1,12 |
|
51 |
1,15 |
|
52 |
1,17 |
|
53 |
1,19 |
|
54 |
1,21 |
|
55 |
1,23 |
|
56 |
1,24 |
|
57 |
1,24 |
|
58 |
1,24 |
|
59 |
1,25 |
|
60 |
1,26 |
|
61 |
1,32 |
|
62 |
1,30 |
|
63 |
1,27 |
| Утверждена постановлением Правительства Республики Казахстан от 30 июня 2023 года № 521 |
Методика определения коэффициента замещения среднемесячного дохода получателя пенсионными выплатами
1. Настоящая методика определения коэффициента замещения среднемесячного дохода получателя пенсионными выплатами (далее – методика) разработана в соответствии с подпунктом 10) статьи 11 Социального кодекса Республики Казахстан (далее – Социальный кодекс) и устанавливает требования к расчету коэффициента замещения среднемесячного дохода получателя пенсионными выплатами.
Расчет коэффициента замещения среднемесячного дохода вкладчика обязательных пенсионных взносов осуществляет ЕНПФ на основании сведений, полученных из информационных систем государственного органа, осуществляющего руководство, а также в пределах, предусмотренных законодательством Республики Казахстан, межотраслевую координацию в сфере социальной защиты населения.
2. Для целей настоящей методики используются следующие основные понятия:
1) пенсионные выплаты (далее – ежемесячная пенсия) – совокупность ежемесячных пенсионных выплат получателя пенсионных выплат, включая государственную базовую пенсионную выплату, пенсионные выплаты по возрасту, определенные на дату их назначения;
2) получатель пенсионных выплат (далее – получатель) – физическое лицо, которому назначены государственная базовая пенсионная выплата и (или) пенсионные выплаты по возрасту, и (или) пенсионные выплаты за выслугу лет, и (или) пенсионные выплаты из ЕНПФ и (или) добровольного накопительного пенсионного фонда, и (или) страховые выплаты из страховой организации в соответствии с договором пенсионного аннуитета;
3) коэффициент замещения среднемесячного дохода – коэффициент, который определяется как отношение размера ежемесячной пенсии к среднемесячному доходу получателя;
4) исключен постановлением Правительства РК от 18.08.2025 № 636 (вводится в действие по истечении десяти календарных дней после дня его первого официального опубликования);
Сноска. Пункт 2 с изменением, внесенным постановлением Правительства РК от 18.08.2025 № 636 (вводится в действие по истечении десяти календарных дней после дня его первого официального опубликования)
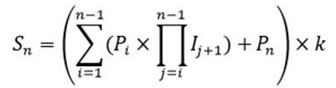
3. Для расчета среднемесячного дохода получателя на момент назначения пенсии используется сумма фактически внесенных обязательных пенсионных взносов получателя с учетом уровня инфляции за соответствующий период, которая рассчитывается по следующей формуле:
где:
Sn – сумма фактически внесенных обязательных пенсионных взносов получателя с учетом уровня инфляции за последовательные 60 календарных месяцев, предшествовавших дате наступления пенсионного возраста в соответствии с пунктом 1 статьи 207 Социального кодекса;
Pi – поступление обязательных пенсионных взносов в месяц i;
Pn – поступление обязательных пенсионных взносов в месяц n;
Ij+1 – отношение индекса потребительских цен в месяц j+1по отношению к предыдущему месяцу j, в процентах;
n – количество календарных месяцев, которое принимается равным 60;
i – переменная по месяцу, принимающая значение от 1 до n-1;
j – переменная по месяцу, принимающая значение от i до n-1;
m – количество последовательных календарных месяцев между датой назначения пенсии и датой наступления пенсионного возраста в соответствии с пунктом 1 статьи 207 Социального кодекса;
Il+n – отношение индекса потребительских цен в месяц по отношению к предыдущему месяцу, в процентах;
L – переменная по месяцу, принимающая значение от 1 до m.
При этом показатели индекса потребительских цен за соответствующий период принимаются в соответствии с данными Бюро национальной статистики Агентства по стратегическому планированию и реформам Республики Казахстан, размещенными на его официальном интернет-ресурсе.
Сноска. Пункт 3 с изменением, внесенным постановлением Правительства РК от 26.12.2023 № 1183 (вводится в действие с 01.01.2024).
4. Среднемесячный доход получателя рассчитывается по следующей формуле:
где:
СДП – среднемесячный доход получателя на дату назначения пенсии, но не менее размера минимальной заработной платы, установленного на 1 января соответствующего финансового года Законом Республики Казахстан «О республиканском бюджете», и не более среднемесячного дохода по республике;
СМД – среднемесячный доход по республике, принимаемый как средний размер заработной платы за календарный год, предшествующий дате обращения, размещенный на официальном интернет-ресурсе Бюро национальной статистики Агентства по стратегическому планированию и реформам Республики Казахстан (при отсутствии размещенных данных о среднем размере заработной платы за полный календарный год для расчета принимаются последние фактические данные года, предшествующего дате обращения);
Sn – сумма фактически внесенных обязательных пенсионных взносов получателя с учетом уровня инфляции за последовательных календарных месяцев, предшествовавших дате наступления пенсионного возраста в соответствии с пунктом 1 статьи 207 Социального кодекса;
N – количество месяцев с ненулевыми обязательными пенсионными взносами получателя из последовательных календарных месяцев, предшествовавших дате наступления пенсионного возраста в соответствии с пунктом 1 статьи 207 Социального кодекса;
СОПВ – ставка обязательных пенсионных взносов в соответствии с пунктом 1 статьи 249 Социального кодекса;
n – количество календарных месяцев, которое принимается равным 60.
В случае, если значение N равно нулю, то размер СДП принимается равным минимальной заработной плате в размере, установленном на 1 января соответствующего финансового года законом о республиканском бюджете.
5. Коэффициент замещения среднемесячного дохода получателя ежемесячной пенсией рассчитывается согласно следующей формуле:
где:
КЗД – коэффициент замещения среднемесячного дохода получателя пенсионными выплатами, в %;
СДП – среднемесячный доход получателя на дату назначения пенсии.
6. Расчет коэффициента замещения среднемесячного дохода получателя ежемесячной пенсией осуществляется ЕНПФ в соответствии с настоящей методикой.
Сноска. Пункт 6 – в редакции постановления Правительства РК от 18.08.2025 № 636 (вводится в действие по истечении десяти календарных дней после дня его первого официального опубликования).
7. Для лиц с инвалидностью первой и второй групп, если инвалидность установлена бессрочно, при расчете сумм фактически внесенных обязательных пенсионных взносов и среднемесячного дохода получателя принимаются последние перечисленные обязательные пенсионные взносы, но не более чем за 60 месяцев.
Для судей в отставке, которым выплачивается ежемесячное пожизненное содержание согласно положениям пункта 2-1 статьи 35 Конституционного закона Республики Казахстан «О судебной системе и статусе судей Республики Казахстан», коэффициент замещения среднемесячного дохода получателя ежемесячной пенсией принимается равным 40 процентам.
Сноска. Пункт 7 — в редакции постановления Правительства РК от 26.12.2023 № 1183 (вводится в действие с 01.01.2024).
| Утверждена постановлением Правительства Республики Казахстан от 30 июня 2023 года № 521 |
Методика определения порога минимальной достаточности пенсионных накоплений
1. Настоящая методика определения порога минимальной достаточности пенсионных накоплений (далее – методика) разработана в соответствии с подпунктом 10) статьи 11 Социального кодекса Республики Казахстан (далее – Социальный кодекс) и устанавливает требования к расчету порога минимальной достаточности пенсионных накоплений.
2. Для целей настоящей методики используются следующие основные понятия:
1) единый накопительный пенсионный фонд (далее – ЕНПФ) – юридическое лицо, осуществляющее деятельность по привлечению пенсионных взносов и пенсионным выплатам, а также иные функции, определенные Социальным кодексом;
2) порог минимальной достаточности пенсионных накоплений – минимальный размер пенсионных накоплений, сформированных за счет обязательных пенсионных взносов, необходимый для обеспечения ежемесячной пенсии не ниже размера минимальной пенсии, установленного на соответствующий финансовый год законом о республиканском бюджете, определяемый в соответствии с настоящей методикой
3. Для определения порога минимальной достаточности пенсионных накоплений используются следующие параметры:
1) годовая процентная ставка доходности (в %), установленная в соответствии с приложением к настоящей методике, но не более 9 %;
2) годовая ставка индексации пенсионных выплат из ЕНПФ (в %), установленная в соответствии с приложением к настоящей методике, но не менее 5 %;
3) ставка индексации размера минимальной пенсии, но не менее 5 %;
4) годовая ставка индексации минимального размера заработной платы (в %), установленная в соответствии с приложением к настоящей методике, но не менее 5 %;
5) прогнозная частота обязательных пенсионных взносов, устанавливаемая в соответствии с пунктом 5 настоящей методики;
6) начальный и предельный возраст осуществления пенсионных выплат (при этом начальный возраст осуществления пенсионных выплат устанавливается на уровне полного пенсионного возраста женщин в соответствии с пунктом 1 статьи 207 Социального кодекса; предельный возраст осуществления пенсионных выплат устанавливается в соответствии с приложением к настоящей методике, но не может быть ниже 82 (восемьдесят два) года);
7) размер ежемесячной пенсии определяется не ниже размера минимальной пенсии, который включает две составляющие:
минимальный размер государственной базовой пенсионной выплаты (далее – базовая пенсия в минимальном размере), установленный на 1 января соответствующего финансового года законом о республиканском бюджете, гарантированно выплачиваемый всем лицам, достигшим пенсионного возраста, установленного пунктом 1 статьи 207 Социального кодекса (за исключением получателей пенсионных выплат за выслугу лет и судей в отставке, находящихся на пожизненном содержании);
выплата за счет пенсионных накоплений (исходя из приведенной стоимости будущих пенсионных взносов за счет обязательных пенсионных взносов), определяемая как разница между минимальной заработной платой и базовой пенсией в минимальном размере.
4. При расчете порога минимальной достаточности пенсионных накоплений параметры, указанные в подпунктах 1), 2), 3), 4), 5) и 6) пункта 3 настоящей методики, принимаются согласно приложению к настоящей методике на ежегодной основе по представлению Министерства труда и социальной защиты населения Республики Казахстан и по согласованию с Министерством национальной экономики Республики Казахстан.
5. Прогнозная частота обязательных пенсионных взносов определяется ежегодно на скользящей основе как среднеарифметическое значение годовых показателей частоты обязательных пенсионных взносов по вкладчикам за последние 5 (пять) полных календарных лет, предшествовавших календарному году, в котором осуществляется расчет порога минимальной достаточности пенсионных накоплений на предстоящий календарный год. При этом годовые показатели частоты обязательных пенсионных взносов до 2020 года (включительно) принимаются равными 12 (двенадцать).
6. Для расчета порога минимальной достаточности пенсионных накоплений используется текущая стоимость пенсионных выплат из ЕНПФ и обязательных пенсионных взносов.
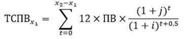
7. Текущая стоимость пенсионных выплат из ЕНПФ рассчитывается по следующей формуле:
где:
ТСПВх1– текущая стоимость пенсионных выплат из ЕНПФ для получателя в возрасте;
ПВ – оценка размера первоначальной пенсионной выплаты из ЕНПФ, определяемая как разница между максимум {МЗП; МП} и МБП;
МЗП – минимальный размер заработной платы, установленный на 1 января соответствующего финансового года Законом Республики Казахстан «О республиканском бюджете»;
МП – минимальный размер пенсии, установленный на 1 января соответствующего финансового года Законом Республики Казахстан «О республиканском бюджете»;
МБП – базовая пенсия в минимальном размере;
і – годовая процентная ставка;
j – годовая ставка индексации пенсионных выплат из ЕНПФ;
t – переменная, принимающая значения от 0 до x2-x1;
x1 – начальный возраст осуществления пенсионных выплат;
x2 – предельный возраст осуществления пенсионных выплат.
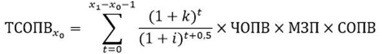
8. Текущая стоимость обязательных пенсионных взносов рассчитывается по следующей формуле:
где:
ТСОПВхо – текущая стоимость обязательных пенсионных взносов для вкладчика в возрасте;
ЧОПВ– прогнозная частота обязательных пенсионных взносов;
МЗП– минимальный размер заработной платы, установленный на 1 января соответствующего финансового года Законом Республики Казахстан «О республиканском бюджете»;
СОПВ– ставка обязательных пенсионных взносов в соответствии с пунктом 1 статьи 249 Социального кодекса;
i – годовая процентная ставка доходности (в %);
k – годовая ставка индексации минимального размера заработной платы;
t – переменная, принимающая значения от 0 до x1-x0-1;
x0– возраст вкладчика, где x0
x1– возраст, с которого осуществляются выплаты за счет пенсионных накоплений.
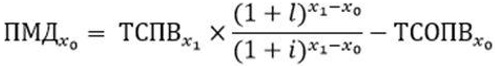
9. Порог минимальной достаточности пенсионных накоплений рассчитывается по следующей формуле:</x1;
где:
ПМДхо – порог минимальной достаточности пенсионных накоплений для вкладчика в возрасте Хо;
ТСПВх1 – текущая стоимость пенсионных выплат из ЕНПФ для получателя в возрасте Х1;
ТСПОВхо – текущая стоимость обязательных пенсионных взносов для вкладчика в возрасте Хо;
і – годовая процентная ставка доходности;
l – годовая ставка индексации размера минимальной пенсии;
Xo – возраст вкладчика, где Xo1;
X1 – возраст, с которого осуществляются выплаты за счет пенсионных накоплений.
При этом для вкладчиков в возрасте X1 и старше, но не достигших пенсионного возраста в соответствии с пунктом 1 статьи 207 Социального кодекса, порог минимальной достаточности пенсионных накоплений приравнивается к ПМДх1-1, то есть к порогу на возраст меньшему на один год от начального возраста осуществления пенсионных выплат.
Порог минимальной достаточности пенсионных накоплений, рассчитанный в соответствии с настоящим пунктом, округляется с точностью до десяти тысяч тенге.
10. Порог минимальной достаточности не может быть ниже размера порога минимальной достаточности за предыдущий год для соответствующих возрастов.
| Приложение к методике определения порога минимальной достаточности пенсионных накоплений |
Размеры параметров для расчета порога минимальной достаточности пенсионных накоплений
1) годовая процентная ставка доходности – 6,5 %;
2) ставка индексации пенсионных выплат из ЕНПФ – 5 %;
3) ставка индексации размера минимальной пенсии – 5 %
4) ставка индексации минимального размера заработной платы – 5 %;
5) прогнозная частота обязательных пенсионных взносов – 12;
6) начальный и предельный возраст осуществления пенсионных выплат – 60 и 82 соответственно.






