Примечание ИЗПИ!
Вводится в действие с 01.01.2025.
В соответствии с подпунктом 41-10) статьи 16 Трудового кодекса Республики Казахстан ПРИКАЗЫВАЮ:
1. Утвердить прилагаемые единые межотраслевые типовые нормы и нормативы по труду для всех сфер деятельности.
2. Департаменту труда и социального партнерства Министерства труда и социальной защиты населения Республики Казахстан в установленном законодательством порядке обеспечить:
1) в течение пяти календарных дней после подписания настоящего приказа направление его на казахском и русском языках в Республиканское государственное предприятие на праве хозяйственного ведения «Институт законодательства и правовой информации Республики Казахстан» Министерства юстиции Республики Казахстан для официального опубликования и включения в Эталонный контрольный банк нормативных правовых актов Республики Казахстан;
2) размещение настоящего приказа на интернет-ресурсе Министерства труда и социальной защиты населения Республики Казахстан.
3. Контроль за исполнением настоящего приказа возложить на первого вице-министра труда и социальной защиты населения Республики Казахстан.
4. Настоящий приказ вводится в действие с 1 января 2025 года и подлежит официальному опубликованию.
| Исполняющий обязанности Министра |
А. Сарбасов |
| Утвержден приказом Министра труда и социальной защиты населения Республики Казахстан от 26 августа 2024 г. № 330 |
Единые межотраслевые типовые нормы и нормативы по труду для всех сфер деятельности
Раздел 1. Общая часть
1. Настоящие единые межотраслевые типовые нормы и нормативы по труду для всех сфер деятельности (далее – нормативы по труду) разработаны для определения и обоснования необходимой нормативной численности, норм времени, норм обслуживания работников, занятых обслуживанием административных и общественных зданий.
2. В основу разработки нормативов по труду положены:
материалы изучения существующей организации труда в структурных подразделениях организации (предприятия);
данные хронометражных наблюдений;
результаты анализа и исследования затрат времени на работы по их видам, трудовых процессов в целях рационализации приемов и методов труда и организации рабочих мест;
технические расчеты.
3. Наименования профессий рабочих и должностей служащих приведены в соответствии с единым тарифно-квалификационным справочником работ и профессий рабочих, квалификационным справочником должностей руководителей, специалистов и других служащих.
4. Приведенные в сборнике пределы числовых значений, в которых указано «до», следует понимать включительно.
5. Нормативами по труду учтено время на подготовительно-заключительные работы, обслуживание рабочего места, отдых и личные надобности, включая физкультурные паузы, в размере 10 % от оперативного времени.
Расчет норм времени (Нвр.) по видам работ проведен по формуле 1:
Нвр. = Топ. Х (1 + К/100), (1)
где Топ. — оперативное время;
К — сумма времени на подготовительно-заключительные работы, организационно-техническое обслуживание рабочего места, отдых (включая физкультурные паузы) и личные надобности, % от оперативного времени.
6. Нормативами по труду предусмотрено выполнение работ с соблюдением порядка по безопасности и охране труда.
«7. При обслуживании оборудования, участка, рабочего места меньшим количеством работников, чем это предусмотрено настоящими нормативами, а также при соблюдении требований порядка по безопасности и охране труда, технологии и качества работ сохраняется фактическая численность работников.
Численность работников по участкам обслуживания распределяются администрацией здания, исходя из производственной необходимости и объемов работ на основании расчетов нормативной численности работников по статистическим показателям за календарный предшествующий год.
8. В нормативах по труду предусмотрена списочная численность обслуживающего персонала в сутки или смену.
Для работы инженерных служб предусмотрена явочная сменная численность при продолжительности смены 8 часов.
При определении численности рабочего персонала среднемесячная норма рабочего времени принимается согласно балансу рабочего времени на год.
8.1. Списочная численность рабочих (Чсп) на конкретный вид работы определяется по формуле 2:
Чсп = Чя x Кн, (2)
где: Чсп – списочная численность;
Чя –явочная численность,
Кн = 1,1 — коэффициент планируемых невыходов во время отпусков, по болезни и иное для всех профессий.
8.2. При определении численности рабочих по каждой профессии, во время отсутствия которых требуется выполнение их обязанностей, учитывается коэффициент планируемых невыходов во время отпуска, по болезни и иное.
8.3. Явочная численность рабочих при использовании норм обслуживания, определяется по формуле 4:
где: Q1, Q2, Q3, …Qn — объем отдельных видов работ;
Нo1, Нo2, Нo3 …Ноn — нормы обслуживания на соответствующий вид работы.
8.4. Явочная численность рабочих при использовании норм времени, приведенных в нормативах по труду определенным по формуле 5:
где: Тн — нормативная трудоемкость по видам работ, охваченных нормами;
Фп — плановый полезный фонд рабочего времени одного работника в расчетном периоде.
8.5. Нормативная трудоемкость определяется по формуле 6:
Тн = Нвр x V, (6)
где: Нвр — норма времени на выполнение единицы объема конкретного нормируемого вида работ;
V — объем конкретного вида работы, выполняемой в расчетном периоде.
9. Характеристика зданий, относящихся к зданиям управлений, охватываемых сборником приведена в приложении 1 к нормативам по труду.
Периодичность выполнения основных работ по уборке помещения зданий приведена в приложении 2 к нормативам по труду.
Периодичность уборки помещения, лестничных клеток, двора прилегающей территории приведены в приложении 3 к нормативам по труду.
Нормы обслуживания по технической эксплуатации и текущему ремонту здания приведены в приложении 4 к нормативам по труду.
Пример расчета численности рабочих, для обслуживания здания организации приведен в приложении 5 к нормативам по труду.
Содержание нормативов по труду приведено в приложении 6 к нормативам по труду.
Раздел 2. Организация труда
10. Деятельность рабочих в организациях и предприятиях, регламентируется положением о структурном подразделении, должностными инструкциями.
Работа по обслуживанию оборудования осуществляется соответствующими структурными подразделениями.
11. Трудовая деятельность работников осуществляется как в пределах нормальной продолжительности рабочего времени, так и в сменном режиме согласно трудовому законодательству Республики Казахстан.
12. Организация труда на рабочих местах соответствует требованиям безопасности и охраны труда, промышленной санитарии и гигиены.
Раздел 3. Нормативная часть
Глава 1. Нормативы численности работников
Параграф 1. Нормативы численности гардеробщиков
13. Примерное наименование професии: гардеробщик.
14. Примерный состав работ:
прием, хранение и выдача верхней одежды и иных мелких личных вещей работников и посетителей, приходящих в находящиеся в здании организации;
при приеме верхней одежды и вещей выдача владельцу жетона;
выдача вещей производится при предъявлении жетона;
при передаче смены принятие вещей и номерных знаков, находящихся в гардеробе.
таблица 1
|
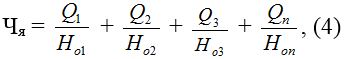
Количество мест в гардеробе |
Нормативы численности (человек в смену на 1 гардероб) |
|
До 100 |
0,86 |
|
101-200 |
0,97 |
|
201-300 |
1,18 |
|
301-400 |
1,39 |
|
401-500 |
1,60 |
|
501-600 |
1,81 |
|
601-700 |
2,02 |
|
701-800 |
2,23 |
|
801-900 |
2,44 |
|
901-1000 |
2,65 |
|
1001-1100 |
2,86 |
Параграф 2. Нормативы численности работников бюро пропусков
15. Примерное наименование должностей: заведующий бюро пропусков, дежурный бюро пропусков.
16. Примерный состав работ:
заполнение и выдача разового пропуска;
запись в бланк пропуска фамилии, имени, отчества (при его наличии), даты и времени выдачи, подпись и проставление печати на основании заявки и удостоверения личности (паспорта) посетителя;
при наличии компьютера производится ввод данных удостоверения личности (паспорта) посетителя в бланк пропуска, бланк распечатывается на принтере;
регистрация в журнале;
выдача посетителю бланка пропуска;
составление реестра выдачи пропусков.
таблица 2
|
Наименование операции |
Единица измерения |
Норма времени, час |
|
Заполнение и выдача разового пропуска |
Один бланк пропуска |
0,05 |
Параграф 3. Нормативы численности лифтеров
17. Примерное наименование профессии: лифтер.
18. Примерный состав работ:
наблюдение за правильной работой лифтов и соблюдением пассажирами порядка его эксплуатации;
проверка работы телефона или аварийной сигнализации;
доставка уборочных средств;
уборка кабины лифта;
пробная поездка без пассажиров с остановкой на каждом этаже, а также опробование кнопки «Стоп»;
при обнаружении неисправностей — выключение лифта и сообщение об этом механику по лифтам и администрации, запись в лифтовом журнале о неисправности;
в лифтовом журнале проставление отметки об исправлении и разрешении пользоваться лифтом;
после прекращения работы постановка кабины на нижний этаж, выключение мотор-генератора и освещения кабины, закрытие шахтной двери, отметка своего ухода в журнале;
оказание необходимой помощи при проведении контрольных технических осмотров.
19. Норматив численности лифтера установлен в зависимости от двух способов обслуживание лифтов:
в первом случае — лифтер сопровождает кабину лифта и в течение смены постоянно находится в кабине;
во втором случае — лифтер находится на наблюдательном пункте на площадке нижнего этажа (при переводе лифтов на самостоятельное пользование пассажирами).
20. Для определения численности лифтеров устанавливается:
количество действующих лифтов в здании (при этом следует иметь в виду, что резервные лифты не включаются в общее количество учитываемых при расчете лифтеров);
порядок обслуживания лифтов (самостоятельное пользование лифтом или сопровождение кабины лифта);
сменность работы каждого лифта;
по установленному количеству лифтов и сменности их работы определяют явочную численность лифтеров.
21. Нормативы численности лифтеров:
а) при сопровождении кабины лифта в смену на 1 лифт — 1 человек;
б) при самостоятельном пользовании лифтами в смену на 1 пост — 1 человек.
Параграф 4. Нормативы численности рабочих, занятых обслуживанием и ремонтом инженерного оборудования зданий
22. Организация труда и технология работ:
обеспечение рабочими нормальной эксплуатации инженерного оборудования зданий (систем отопления, водоснабжения, водоотведения, электроосвещения, электрооборудования, контрольно-измерительных приборов и автоматических устройств, установленных на данном оборудовании, системы вентиляции и дымоудаления);
контроль за техническим состоянием инженерного оборудования здания осуществляется путем проведения осмотров с использованием современных средств технической диагностики;
проведение общих осмотров, при которых уточняются объемы работ для включения в план текущего ремонта, которые проводятся два раза в год;
при проведении частичных осмотров устраняются неисправности, которые могут быть устранены в течение времени, отводимого на осмотр;
проведение технического обслуживания постоянно в течение всего периода эксплуатации оборудования;
проведение текущего ремонта систем инженерного оборудования заключается в проведении планово-предупредительных работ с целью предотвращения его преждевременного износа, а также работ по устранению мелких повреждений, возникающих в процессе эксплуатации;
работы, связанные с исправлением повреждений и неисправностей оборудования, выполняются по заявкам и указаниям администрации.
23. Норматив численности рабочих, занятых обслуживанием и ремонтом инженерного оборудования зданий приведен в таблице 3.
Параграф 4.1. Нормативы численности слесарей-сантехников
24. Примерное наименование профессии: слесарь-сантехник.
25. Примерный состав работ:
проведение осмотров (обследований) инженерного оборудования и коммуникаций зданий перед началом отопительного сезона, а также после аварийных повреждений, пожаров, явлений стихийного характера с целью выявления неисправностей и их устранения;
обеспечение удовлетворительного функционирования, устранения неисправностей в системах водоснабжения и канализации, замены прокладок, набивки сальников водоразборной и водозаборной арматуры с устранением утечки, уплотнения сгонов;
прочистка внутренней канализации до колодца на выпуске;
устранение течи или смена гибкой подводки сантехнических приборов, смена выпусков, переливов сифонов, участков трубопроводов к сантехническим приборам, замена резиновых манжет унитаза, подчеканка раструбов, регулировка смывного бачка с устранением утечки, укрепление сантехнических приборов;
устранение засоров внутренней канализации и сантехнических приборов с проверкой исправности канализационных вытяжек;
устранение неисправностей в системах отопления и горячего водоснабжения (трубопроводов, приборов, арматуры, расширительных баков), обеспечивающих их удовлетворительное функционирование;
наладка и регулировка систем с ликвидацией непрогревов, завоздушивания, замена при течи отопительных приборов, полотенцесушителей, крепление трубопроводов и приборов, восстановление тепловой изоляции на трубопроводах, расширительных баках, регулирующей арматуре;
ремонт, промывка и гидравлическое испытание систем отопления;
укомплектование тепловых вводов, элеваторных и тепловых узлов контрольно-измерительными приборами;
консервация, расконсервация и ремонт поливочной системы;
устройство дополнительной сети поливочных систем.
выполнение работ по устранению неисправностей оборудования выполняются по заявкам администрации организации.
Параграф 4.2. Нормативы численности электромонтеров по ремонту и обслуживанию электрооборудования
26. Примерное наименование профессии: электромонтер по ремонту и обслуживанию электрооборудования.
27. Примерный состав работ:
проведение осмотров (обследований) электросетей и электрооборудования в период подготовки к сезонной эксплуатации (весенне-летний и осенне-зимний периоды), а также после аварийных повреждений, пожаров, явлений стихийного характера с целью выявления неисправностей и их устранения;
ремонт электрооборудования служебных и вспомогательных помещений (лестничных клеток, вестибюлей, подвалов, чердаков);
ремонт распределительных щитов и вводно-распределительных устройств;
ремонт и смена светильников;
замена ламп накаливания и люминесцентных;
смена автоматов, пакетных переключателей, устройств защитного отключения, выключателей;
смена отдельными местами электропроводки;
восстановление освещения в подвалах, технических подпольях, технических коридорах во взрывобезопасном исполнении;
эксплуатация световых домовых знаков и уличных указателей;
устранение неисправностей по заявкам администрации организации.
Параграф 4.3. Нормативы численности слесарей по контрольно-измерительным приборам и автоматике
28. Примерное наименование профессии: слесарь по контрольно-измерительным приборам и автоматике.
29. Примерный состав работ:
ремонт, сборка, регулировка, испытание, юстировка, монтаж, наладка и сдача контрольно-измерительных автоматических и иных приборов и механизмов;
составление и монтаж схем соединений;
окраска приборов;
пайка различными припоями;
настройка и наладка устройств релейной защиты, электроавтоматики, телемеханики;
выявление и устранение дефектов в работе аппаратуры;
регулировка и проверка по классам точности всех видов контрольно-измерительных приборов, авторегуляторов и автоматов питания;
составление дефектных ведомостей и заполнение паспортов и аттестатов на приборы и автоматы.
Параграф 4.4. Нормативы численности электрогазосварщиков
30. Примерное наименование профессии: электрогазосварщик.
31. Примерный состав работ:
проведение ежегодных осмотров инженерного оборудования и коммуникаций здания перед началом отопительного сезона в целях выявления течи сварочных швов;
выполнение сварки деталей, узлов, конструкций и трубопроводов во всех пространственных положениях сварного шва на заданные размеры;
замена аварийных участков трубопроводов длиной до двух метров систем центрального отопления и горячего водоснабжения;
наплавка раковин и трещин;
сварочные работы при ремонте мусоропровода.
Параграф 4.5. Нормативы численности слесарей-ремонтников
32. Примерное наименование профессии: слесарь-ремонтник.
33. Примерный состав работ:
осмотр коммуникационных коллекторов, проверка их на отсутствие загазованности и их проветривание;
очистка охранной зоны коллекторов от мусора;
обеспечение доступа к положенным в коллекторах коммуникациям;
проведение откачек воды при подтоплении коллекторов;
восстановление гидроизоляции строительных конструкций;
герметизация люков, а также мест примыкания к коллектору полупроходных каналов;
выполнение штукатурных и малярных работ при ремонте и окраске люков, решеток, кронштейнов;
проверка крепления лестниц, площадок, переходов и перил к ним, их ремонт;
очистка люков коллектора от снега и наледи;
поддержание температуры в коллекторе не выше 30° С путем проветривания или включения механической вентиляции;
осмотр и проверка работы дренажных систем;
промывка и прочистка дренажей;
проверка работы электроосвещения коллекторов и устранение неисправностей по всем видам работ.
таблица 3
|
№ п/п |
Наименование профессии |
Единица измерения |
Норматив численности |
|
1. |
Слесарь — сантехник |
1000 метров квадратных (далее — м²) общей площади здания |
0,2 |
|
2. |
Электромонтер по ремонту и обслуживанию электрооборудования |
1000 м² общей площади здания |
0,37 |
|
3. |
Слесарь КИПиА |
1000 м² общей площади здания |
0,18 |
|
4. |
Электрогазосварщик |
1000 м² общей площади здания |
0,01 |
|
5. |
Слесарь — ремонтник |
1000 м² общей площади здания |
0,01 |
Параграф 5. Нормативы численности рабочих, занятых ремонтом конструктивных элементов зданий
34. Организация труда и технология работ:
текущий ремонт зданий заключается в проведении планово-предупредительных работ по сохранению конструкций, по отделке зданий, предотвращающей преждевременный их износ, работ по устранению мелких повреждений и неисправностей, возникающих в процессе эксплуатации;
работы по текущему ремонту подразделяются на планируемые и непредвиденные;
к планируемым работам относятся периодические осмотры и профилактический ремонт;
к непредвиденным работам относятся работы по устранению мелких повреждений и неисправностей, выявляемые в процессе эксплуатации здания;
в процессе технических осмотров конструкций и отделки здания устраняются выявленные мелкие неисправности;
профилактический текущий ремонт производится в соответствии с пообъектным планом работ;
в соответствии с полученным заданием рабочие получают со склада (мастерской) необходимый инструмент, приспособления, материалы, погружают на транспортные средства (или переносят сами), выгружают на объекте (рабочей зоне) со складированием в определенном порядке;
после окончания работы рабочие производят очистку и уборку рабочего места, транспортируют отходы и мусор в установленные места, неиспользованные материалы, инструменты и приспособления погружают на транспортные средства (или переносят сами), разгружают и складируют на складе (или в мастерской);
при производстве профилактического ремонта операции по заготовке отдельных деталей, конструктивных элементов выполняются на постоянных рабочих местах в мастерских.
35. Норматив численности рабочих, занятых ремонтом конструктивных элементов зданий приведен в таблице 4.
Параграф 5.1. Нормативы численности кровельщиков по металлическим кровлям
36. Примерное наименование профессии: кровельщик по металлическим кровлям.
37. Примерный состав работ:
проведение осмотров (обследований) в период подготовки к сезонной эксплуатации (весенне-летней и осенне-зимний периоды), а также конструктивных элементов кровли после аварийных повреждений, пожаров, явлений стихийного характера с целью выявления неисправностей и их устранения;
выборочный ремонт стальной кровли;
ремонт, смена и укрепление водосточных труб, колен, воронок, желобов, обрамлений, карнизов, парапетных решеток, свесов наружных покрытий на выступающих частях фасадов зданий, зонтов;
установка и снятие крышек-лотков с воронок наружных водостоков;
смена патрубков, установка флюгарок на патрубках;
укрепление дымовых и вентиляционных труб, смена колпаков дымовых и вентиляционных труб;
устранение неисправностей конструктивных элементов кровли по заявкам администрации организации;
очистка кровли от снега и наледи, мусора, грязи, листьев и посторонних предметов;
поджатие фальцев, гребней.
Параграф 5.2. Нормативы численности кровельщиков по рулонным кровлям и по кровлям из штучных материалов
38. Примерное наименование профессии: кровельщик по рулонным кровлям и по кровлям из штучных материалов.
39. Примерный состав работ:
проведение осмотров (обследований) в период подготовки к сезонной эксплуатации (весенне-летней и осенне-зимний периоды), а также конструктивных элементов кровли после аварийных повреждений, пожаров, явлении стихийного характера с целью выявления неисправностей и их устранения;
покрытие мягкой кровли мастикой;
смена отдельных листов асбоцементной, шиферной и черепичной кровли;
переключение внутреннего водостока на летний и зимний режимы работы;
ремонт внутренних водостоков;
очистка кровли от снега и наледи, мусора, грязи, листьев и посторонних предметов;
устранение неисправностей конструктивных элементов кровли по заявкам администрации организации;
локализация протечек, устранение неисправностей в системах организованного водоотлива с кровли и иные работы.
Параграф 5.3. Нормативы численности маляров
40. Примерное наименование профессии: маляр.
41. Примерный состав работ:
проведение осмотров (обследований) окрашенных поверхностей в период подготовки к сезонной эксплуатации (весенне-летней и осенне-зимний периоды), а также после аварийных повреждений, пожаров, явлений стихийного характера с целью выявления неисправностей и их устранения;
выполнение малярных работ, связанных с устранением неисправностей отдельных конструктивных элементов здания или оборудования в нем;
выполнение работ по ликвидации последствий протечек, проведению клеевой и известковой окраски фасадов, стен, потолков, масляной окраске стен, окон, дверей потолков, радиаторов, труб отопления, крыш и их конструктивных элементов;
устранение неисправностей по заявкам администрации организации.
Параграф 5.4. Нормативы численности плотников
42. Примерное наименование профессии: плотник.
43. Примерный состав работ:
проведение осмотров (обследований) помещений здания, его деревянных конструкций в период подготовки к сезонной эксплуатации (весенне-летней и осенне-зимний периоды), а также после аварийных повреждений, пожаров, явлений стихийного характера с целью выявления неисправностей и их устранения;
укрепление и ремонт стропил, подстропильных брусьев и обрешетки;
усиление и ремонт межэтажных и чердачных деревянных перекрытий;
ремонт и укрепление деревянных стен и перегородок;
смена и ремонт дощатых полов;
ремонт сухой штукатурки стен, встроенных шкафов и потолков;
смена лаг, плинтусов, галтелей;
ремонт деревянных лестниц, перил и противопожарных площадок;
работы по антисептической и противопожарной защите деревянных конструкций;
укрепление флагодержателей и домовых знаков;
устранение неисправностей по заявкам администрации организации.
Параграф 5.5. Нормативы численности стекольщиков
44. Примерное наименование профессии: стекольщик.
45. Примерный состав работ:
резка стекол по размерам и конфигурации и их обточка;
приготовление стекольных замазок;
обмазка стекол замазкой или герметиком, вставка стекол в деревянные, металлические, железобетонные, пластмассовые и другие проемы, закрепление стекол;
выполнение иных родственных работ по заявкам администрации организации.
Параграф 5.6. Нормативы численности штукатуров
46. Примерное наименование профессии: штукатур.
47. Примерный состав работ:
проведение осмотров (обследований) состояния облицовки и штукатурки фасадов в период подготовки к сезонной эксплуатации (весенне-летней и осенне-зимний периоды), а также после аварийных повреждений, пожаров, явлений стихийного характера с целью выявления неисправностей и их устранения;
ремонт штукатурки стен, потолков, карнизов, откосов оконных и дверных проемов помещений;
проверка состояния облицовки и штукатурки фасадов, мелкий ремонт, ремонт цементных полов в подвалах и на лестничных клетках (заделка выбоин);
укрепление элементов облицовки стен, лепных изделий и иных выступающих конструкций, угрожающих безопасности людей;
устранение неисправностей конструктивных элементов здания.
Параграф 5.7. Нормативы численности столяров
48. Примерное наименование профессии: столяр.
49. Примерный состав работ:
проведение осмотров (обследований) помещений здания, его конструктивных элементов (заполнение оконных и дверных проемов) в период подготовки к сезонной эксплуатации (весенне-летней и осенне-зимний периоды), а также после аварийных повреждений, пожаров, явлений стихийного характера с целью выявления неисправностей и их устранения;
работы по поддержанию в исправном состоянии оконных и дверных заполнений и их ремонт;
замена створок оконных переплетов, форточек, дверных полотен, витражных и витринных заполнений, стеклоблоков в помещениях;
ремонт и установка пружин и доводчиков на входных дверях;
выполнение работ по созданию нормативного температурно-влажностного режима в чердачном и подвальном помещении, в техническом подполье (установка регулируемых решеток, остекление и закрытие чердачных слуховых окон, входных дверей);
периодические осмотры мебели и наблюдение за правильностью ее эксплуатации и содержанием, текущий ремонт мебели;
устранение неисправностей по заявкам администрации организации.
Параграф 5.8. Нормативы численности подсобных рабочих
50. Примерное наименование профессии: подсобный рабочий.
51. Примерный состав работ:
приведение в порядок чердачных и подвальных помещений после производства ремонтно-строительных работ, после ликвидации аварий, от случайного мусора;
погрузка крупногабаритного мусора, металлолома, вторичного сырья;
водоотлив из подвала;
окраска металлических контейнеров;
складские работы.
таблица 4
|
№ п/п |
Наименование профессии |
Единица измерения |
Норматив численности, человек |
|
1. |
Кровельщик по металлическим кровлям |
1000 м2 кровли из кровельной стали |
0,06 |
|
2. |
Кровельщик по рулонным кровлям и по кровлям из штучных материалов |
1000 м2 кровли из рубероида толя и других рулонных |
0,07 |
|
1000 м2 кровли из шифера асбоцемента, черепицы и прочих материалов |
0,05 |
||
|
3. |
Маляр |
1000 м2 общей площади здания |
0,01 |
|
4. |
Плотник |
1000 м2 общей площади здания |
0,02 |
|
5. |
Стекольщик |
1000 м2 общей площади здания |
0,01 |
|
6. |
Штукатур |
1000 м2 общей площади здания |
0,01 |
|
7. |
Столяр |
100 единиц мебели |
0,08 |
|
8. |
Подсобный рабочий |
1000 м2 общей площади чердаков, подвалов, технических этажей |
0,03 |
Параграф 6. Нормативы численности слесарей по ремонту и обслуживанию систем вентиляции и кондиционирования
52. Примерное наименование профессии: слесарь по ремонту и обслуживанию систем вентиляции и кондиционирования.
53. Примерный состав работ:
устранение механических повреждений воздуховодов, воздухоприемников в виде вмятин, разрывов, поломанных дроссель-клапанов и задвижек;
устранение неплотностей в воздуховодах;
проверка затяжки болтов во фланцевых соединениях;
особый контроль за воздуховодами, транспортирующими воздух;
проверка прочности крепления всех элементов вентиляционной сети;
замена прокладок между фланцами.
таблица 5
|
Наименование оборудования |
Норматив численности рабочих на ед. оборудования, человек |
|
Электровентиляторы производительностью, |
|
|
Вентиляторы осевые производительностью м3/ч |
|
|
Воздушно-отопительные агрегаты с производительностью по воздуху, м3/ч до 3400 |
|
|
Кондиционеры автономные производительностью по воздуху, м3/ч |
|
|
Кондиционеры центральные производительностью по воздуху, тыс. куб. м/ч |
|
|
Калориферы, на 10 метров квадратных поверхности нагрева |
0,001 |
|
Фильтры масляные самоочищающиеся: однопанельные |
|
|
Фильтры масляные с заполнением сеткой, кольцами, металлической стружкой и т.п. (на одну кассету) с подачей воздуха, м3/ч: |
|
|
Фильтры матерчатые, бумажные |
|
|
Воздуховоды круглого сечения с фасонными частями на 10 метров длины воздуховода диаметром, миллиметров: |
|
Параграф 7. Нормативы численности операторов котельных
54. Примерное наименование профессии: оператор котельной.
55. Примерный состав работ:
обслуживание водогрейных и паровых котлов, работающих на газообразном, жидком топливе или электронагреве;
растопка, пуск и остановка котлов и питание их водой;
чистка арматуры и приборов котла;
регулирование и наблюдение за работой экономайзеров, воздухоподогревателей, пароперегревателей питательных насосов, форсунок;
обслуживание теплосетевых бойлерных установок или станций мятого пара, расположенных в зоне обслуживания основных агрегатов;
пуск, остановка и переключение обслуживаемых агрегатов в схемах теплопроводов;
учет теплоты, отпускаемой потребителям;
наблюдение по контрольно-измерительным приборам за уровнем воды в котлах, давлением и температурой пара, воды и отходящих газов;
регулирование работы (нагрузки) котлов в соответствии с температурным графиком;
профилактический осмотр котлов, их вспомогательных механизмов, контрольно-измерительных приборов и участие в ремонте обслуживаемого оборудования;
приемка котлов и их вспомогательных механизмов из ремонта и подготовка их к работе;
уборка рабочего места в пределах рабочей зоны.
таблица 6
|
Кол-во |
Суммарная производительность котлов, гикокалорий в час (далее — Гкал/ч) |
|||||||||
|
0,1-5 |
5,1-10 |
10,1-25 |
25,1-60 |
60,1-100 |
100,1-150 |
150,1-200 |
200,1-300 |
300,1-500 |
500,1-700 |
|
|
Нормативы численности в смену, человек |
||||||||||
|
1 |
1,0 |
1,0 |
1,2 |
1,3 |
1,5 |
— |
— |
— |
— |
— |
|
2 |
1,2 |
1,5 |
1,6 |
2,0 |
2,2 |
2,25 |
— |
— |
— |
— |
|
3 |
1,3 |
1,6 |
2,0 |
2,0 |
2,2 |
2,25 |
2,4 |
2,5 |
2,7 |
2,9 |
|
4 |
1,5 |
2,0 |
2,0 |
2,0 |
2,2 |
2,4 |
2,5 |
2,6 |
2,9 |
3,0 |
|
5 |
1,6 |
2,0 |
2,0 |
2,25 |
2,25 |
2,5 |
2,6 |
2,7 |
3,0 |
3,1 |
|
6 |
2,0 |
2,0 |
2,0 |
2,25 |
2,3 |
2,6 |
2,7 |
2,8 |
3,0 |
3,1 |
|
7 |
2,0 |
2,0 |
2,0 |
2,25 |
2,4 |
2,7 |
2,8 |
2,9 |
3,1 |
3,2 |
|
8-9 |
2,0 |
2,25 |
2,25 |
2,4 |
2,5 |
2,8 |
2,9 |
3,0 |
3,1 |
3,2 |
|
10-11 |
2,0 |
2,25 |
2,3 |
2,5 |
2,6 |
2,9 |
3,0 |
3,0 |
3,2 |
3,3 |
|
более 11 |
2,3 |
2,5 |
2,6 |
2,7 |
3,0 |
3,0 |
3,0 |
3,2 |
3,3 |
|
Примечания:
1. при установлении численности рабочих в расчет принимается количество котлов, подготовленных к эксплуатации в период максимальной нагрузки в отопительный период;
2. в котельных, оснащенных дистанционными пультами управления, численность операторов котельных устанавливается на основе нормативов с применением коэффициента 0,4;
3. при установлении численности операторов котельных, оборудованных паровыми котлами, применяется коэффициент 1,15;
4. при невозможности одновременного обслуживания котлов, установленных в обособленных помещениях котельной, численность рабочих устанавливается по каждому участку;
5. в случае неполной загрузки котельной, в связи с несоответствием присоединенной нагрузки, при расчете численности принимается фактическое количество и суммарная производительность фактически работающих котлов.
Параграф 8. Нормативы численности машинистов (кочегаров) котельной
56. Примерное наименование профессии: машинист (кочегар) котельной.
57. Примерный состав работ:
обслуживание водогрейных и паровых котлов, работающих на твердом топливе;
растопка, пуск, остановка котлов и питание их водой;
дробление топлива, загрузка и шуровка топки котла;
регулирование горения топлива;
наблюдение по контрольно-измерительным приборам за уровнем воды в котле, давлением пара и температурой воды, подаваемой в отопительную систему;
пуск, остановка, регулирование и наблюдение за работой тяговых и золошлакоудаляющих устройств, стокера, экономайзеров, воздухоподогревателей, пароперегревателей и питательных насосов;
обслуживание теплосетевых бойлерных установок или станции мятого пара, расположенных в зоне обслуживания основных агрегатов;
удаление вручную и механизированным способом шлака и золы из топок и бункеров паровых и водогрейных котлов;
погрузка золы и шлака вручную или при помощи механизмов в тачки, вагонетки или вагоны с транспортировкой их в установленное место;
смыв шлака и золы специальными аппаратами;
планировка шлаковых и зольных отвалов;
предупреждение и устранение неисправностей в работе оборудования;
профилактический осмотр котлов, вспомогательных механизмов, контрольно-измерительных приборов;
участие в планово-предупредительном ремонте котлоагрегатов;
приемка котлов и вспомогательных механизмов из ремонта и подготовка их к работе;
уборка рабочего места.
таблица 7
|
Тип котлов |
Количество котлов в котельной |
||||
|
1 |
2 |
3 |
4 |
5 и более |
|
|
Норматив численности рабочих с механизированной загрузкой котлов в смену, человек |
|||||
|
Водогрейные котлы при средней номинальной производительности, Гкал/ч: |
1,1 |
1,3 |
1,5 |
1,8 |
2,2 |
|
свыше 10,0 до 20,0 |
1,3 |
1,5 |
1,8 |
2,2 |
2,4 |
|
свыше 20,0 до 50,0 |
1,4 |
1,8 |
2,2 |
2,5 |
2,9 |
|
Паровые котлы при средней номинальной производительности, тонн в час: |
1,2 |
1,4 |
1,7 |
2,0 |
2,4 |
|
свыше 10,0 до 50,0 |
1,6 |
2,0 |
2,4 |
2,8 |
3,2 |
таблица 8
|
Средний расход угля за отопительный период на 1 котел в смену, тонн |
Количество котлов в котельной |
|||
|
1 |
2 |
3 |
4 |
|
|
Норматив численности рабочих с ручной загрузкой котлов в смену, человек |
||||
|
до 0,5 |
1,0 |
1,0 |
1,2 |
1,5 |
|
св. 0,5 до 1,0 |
1,2 |
1,8 |
2,0 |
2,2 |
|
св. 1,0 до 2,0 |
1,4 |
2,3 |
2,6 |
3,0 |
|
св. 2,0 до 3,0 |
1,6 |
2,7 |
3,3 |
4,0 |
|
свыше 3,0 |
2,0 |
3,2 |
4,0 |
5,0 |
Параграф 9. Нормативы численности сторожей (вахтеров)
58. Примерное наименование профессии: сторож (вахтер).
59. Примерный состав работ:
дежурство у входных дверей вестибюля;
проверка целостности охраняемого объекта (замков и иных запорных устройств, наличия пломб, исправности сигнализационных устройств, телефонов, освещения, наличия противопожарного инвентаря);
проверка документов и отметка в журнале.
60. Норматив численности сторожа в смену: на 1 пост — 1 чел.
Параграф 10. Нормативы численности диспетчеров
61. Примерное наименование должности: диспетчер.
62. Примерный состав работ:
прием и регистрация заявок по телефону, выяснение их причин и характера;
оперативное решение вопроса о направлении бригад на место аварии;
ведение диспетчерского журнала и другой технической документации;
осуществление связи с рабочими бригадами, находящимися на линии, для оперативного контроля за ходом ликвидации аварии и предупреждения нарушений хода выполнения работ, а также причин, их вызвавших;
прием и сдача дежурства по смене.
63. Норматив численности на 1 диспетчерский пункт:
при односменном режиме работы — 1 человек;
при круглосуточном режиме работы — 4 человека.
Параграф 11. Нормативы численности электромонтеров линейных сооружений телефонной связи и радиофикации
64. Примерное наименование профессии: электромонтер линейных сооружений телефонной связи и радиофикации.
65. Примерный состав работ:
определение места и характера повреждения и устранение повреждений;
ремонт телефонных аппаратов, громкоговорителей и соединительной проводки;
установление и включение дополнительных телефонных аппаратов по специальной схеме, а также спаренных телефонных аппаратов;
устройство заземлений;
установка, регулировка проводов;
составление инвентарных справок на изменения в составе сооружений связи, происшедшие в результате работ;
наладка и испытание автоматических систем, электронной, телемеханической, разнолинейной и высокочастотной аппаратуры;
сборка и проверка схем, собранных на бесконтактных элементах, средств управления, диспетчерских телефонных станций, средств сигнализации, а также обслуживание аппаратуры, приборов, установок автоматического действия, средств телемеханики;
выявление и устранение дефектов в их работе;
осмотр аппаратуры и сооружений связи.
таблица 9
|
Наименование оборудования |
Норматив численности, человек |
|
Аппаратура радио- и радиорелейной связи |
0,254 |
|
Электропитающие устройства |
0,277 |
|
Аппаратура диспетчерской связи |
0,460 |
|
Аппаратура громкоговорящей связи |
0,602 |
|
Аппаратура автоматики и сигнализации |
0,164 |
|
Аппаратура производственной связи |
0,20 |
|
Телевизионные промышленные установки |
0,730 |
Глава 2. Нормы времени на погрузочно-разгрузочные работы, выполняемые вручную с применением простейших приспособлений
Параграф 1. Нормы времени на работы по погрузке или выгрузке тарно-упаковочных и штучных грузов на автотранспорт
66. Примерное наименование профессии: грузчик.
67. Примерный состав работ:
погрузка, выгрузка грузов – сортировка, укладка, переноска, перевеска и иные работы вручную с применением простейших погрузочно-разгрузочных приспособлений и средств транспортировки (тачек, тележек, транспорта и иных подъемно-транспортных механизмов);
крепление и укрытие грузов на складах и транспортных средствах;
взятие груза из штабеля на складе (в подвижном составе), перемещение на расстояние до 20 метров и укладка в подвижном составе (на складе);
очистка подвижного состава после произведенной выгрузки груза.
таблица 10
|
№ п/п |
Наименование груза и масса одного места, |
Норма времени на погрузку или выгрузку, человеко-час на тонну груза |
|
1. |
Грузы в мешках и кулях: до 15 |
0,47 |
|
16-30 |
0,38 |
|
|
31-100 |
0,34 |
|
|
2. |
Грузы в кипах, тюках, ящиках открытых и закрытых, баллонах, бидонах, неупакованные места: до 15 |
0,51 |
|
до 30 |
0,41 |
|
|
31-50 |
0,37 |
|
|
51-80 |
0,35 |
|
|
81-120 |
0,36 |
|
|
более 120 |
0,37 |
|
|
3. |
Грузы катко-бочковые и тара бочковая: до 15 |
0,59 |
|
16-30 |
0,48 |
|
|
31-50 |
0,38 |
|
|
51-80 |
0,30 |
|
|
81-300 |
0,27 |
|
|
более 300 |
0,29 |
|
|
4. |
Стекло оконное и зеркальное, стеклянная и эмалированная посуда, изделия из стекла и фарфор |
0,43 |
|
5. |
Ящики, бидоны, корзины, посуда металлическая и стеклянная с набором в тару, пенопласт |
0,82 |
|
6. |
Электролампы в упаковке, легковесные грузы, имеющие погрузочный объем более 8 метров кубических |
0,79 |
|
7. |
Жидкость в стеклянной посуде емкостью до 1 литра в открытых ящиках |
0,49 |
|
8. |
Сборные и мелкопартионные грузы в различной таре |
0,42 |
|
9. |
Мебель без упаковки (столы, стулья и иная мебель): до 30 |
0,46 |
|
31-50 |
0,42 |
|
|
51-80 |
0,36 |
|
|
81-100 |
0,37 |
|
|
более 100 |
0,38 |
|
|
10. |
Клепка, планки, дощечки и паркет в пачках: |
|
|
до 10 |
0,75 |
|
|
10,1-20 |
0,55 |
|
|
20,1-30 |
0,47 |
|
|
30,1-50 |
0,43 |
Примечание:
к простейшим приспособлениям относятся тележки, тачки, тележки-медведки, носилки и иные приспособления.
Глава 3. Нормы обслуживания и времени на работы, выполняемые уборщиками служебных помещений
68. Организация труда и технология работ:
к категории служебных помещений отнесены следующие помещения: комнаты для работы сотрудников, кабинеты руководителей, приемные, помещения общественных организаций, помещения ожидания и приема посетителей, медицинские пункты;
к обслуживанию рабочего места отнесено время на доставку средств уборки и приспособлений (швабра, пылесос, веник, щетка, тряпка, ведро, совок, моющие средства);
время на передвижения, связанные с выполнением работ учтено нормативами по труду;
нормы времени на уборку пола установлены дифференцированно в зависимости от назначения помещения, способа уборки, заставленности помещения, а также с передвижением мебели и без передвижения ее;
коэффициент заставленности определяется отношением площади метров квадратных, занимаемой предметами, расположенными в помещениях одного назначения, ко всей площади этого помещения;
при уборке помещении применяются ручные средства уборки;
при чистке ковровых покрытий, дорожек, мягких диванов, кресел и стульев применяются пылесосы;
нормы обслуживания уборщиков служебных помещений разработаны дифференцированно в зависимости от назначения помещений и их заставленности.
69. Нормы обслуживания (Но) рассчитаны по формуле 7:
где Тсм — сменный фонд рабочего времени;
Тно — норма времени по обслуживанию единицы объема основных работ.
70. Норма времени обслуживания (Тно) определяется по формуле 8:
Тно = (Тн1+Тн2 + Тн3 +Тнп) х К, (8)
где Тн1, Тн2, Тн3 … Тнп — время, затрачиваемое на выполнение отдельных уборочных работ и определяется по формуле 9:
Тн1 = t х V х q, (9)
где t — норматив оперативного времени на единицу объема работ;
V — количество на обслуживаемом объекте единиц одноименных работ;
q — повторяемость данной работы в смену;
К — коэффициент, учитывающий затраты времени на обслуживание рабочего места, а также отдых и личные надобности, который определяется по формуле 10:
где, а1 — время на обслуживание рабочего места в % к оперативному времени,
а2 — время на отдых и личные надобности в % к оперативному времени.
71. Нормативная явочная численность (Чя) уборщиков служебных помещений рассчитывается, исходя из типов помещений, их уборочной площади и заставленности, по формуле 11:
где, N1, N2, N3 — объемы уборочных площадей различных помещений, по которым установлены различные нормы;
Но1, Но2, Но3; Ноn- нормы обслуживания площадей соответствующих типов помещений, определяемые по таблице 11.
Параграф 1. Нормы обслуживания на работы, выполняемые уборщиками служебных помещений с применением ручных средств уборки
72. Примерное наименование профессии: уборщик служебных помещений.
73. Примерный состав работ:
в начале смены доставка к месту работы и по окончании смены уборка к месту хранения необходимых средств уборки и приспособлений – веник, щетку, тряпку, ведро, совок, моющие средства;
приготовление раствора из моющих средств;
периодическая замена воды и моющего раствора;
сухое и влажное подметание и мытье полов;
влажная протирка и мытье мебели, панелей, стен, оконных рам и стекол, подоконников, батарей, дверей и дверных блоков;
при мытье пола отодвижка мебели, кроме станционарно установленной, мытье пола и постановка мебели на место;
опорожнение корзин с бумагой в специальную тару;
вынесение собранного мусора на специально отведенные места.
таблица 11
|
№ п/п |
Наименование помещений |
Нормы обслуживания в смену, метров квадратных |
|||
|
Коэффициент заставленности |
|||||
|
До 0,20 |
0,21-0,40 |
0,41-0,60 |
Более 0,60 |
||
|
1. |
Служебные помещения |
560 |
480 |
400 |
320 |
|
2. |
Конференц-залы, залы заседаний и совещаний |
— |
— |
770 |
600 |
|
3. |
Вестибюли, холлы, коридоры, кулуары, курительные |
1110 |
960 |
— |
— |
|
4. |
Лестницы |
730 |
— |
— |
— |
|
5. |
Техническая библиотека, архив |
— |
— |
— |
510 |
Примечания:
представленными в таблице 11 нормами обслуживания не учтены работы по чистке ковров, ковровых дорожек и мягкой мебели, так как периодичность их уборки устанавливается на местах в соответствии с местными организационно-техническими условиями;
на чистку с помощью пылесоса установлены следующие нормы времени: 1 м² ковра или ковровой дорожки – 0,36 минут, 1 мягкое кресло – 0,68 минут, 1 мягкий диван – 0,75 минут.
таблица 12
|
Наименование помещения |
Норма обслуживания в смену, метров квадратных |
|
Туалет женский |
200 |
|
Туалет мужской |
185 |
|
Душевая комната |
300 |
Примечания:
при расчете норм обслуживания туалетов принято следующее количество санитарно-технического оборудования: для женских туалетов – три унитаза и две раковины, для мужских туалетов – три унитаза, три писсуара и две раковины;
при увеличении количества оборудования на одно наименование норма обслуживания умножается на коэффициент 0,98; при уменьшении количества оборудования на одно наименование норма обслуживания умножается на коэффициент 1,02;
при ежедневной влажной уборке полов к нормам обслуживания применять следующие коэффициенты: для служебных помещений – 0,863; для конференц-залов, залов совещаний и заседаний – 0,729; для вестибюлей, холлов, коридоров, кулуаров, курительных – 0,789; для лестниц – 0,834; для технических библиотек, архивов – 0,804.
Параграф 2. Нормы времени на механическую уборку, выполняемые уборщиками служебных помещений
74. Примерное наименование профессии: уборщик служебных помещений.
75. Примерный состав работ:
машинная уборка площадей с покрытием ленолиума;
наливка воды и моющего раствора в машину;
мытье пола машиной.
таблица 13
|
Единица измерения |
Норма времени, час |
|
1 метр квадратный |
0,002 |
Примечание:
в нормах времени учтены затраты времени на заправку машины моющим раствором.
Глава 4. Нормы обслуживания на работы, выполняемые уборщиками территорий (дворниками)
76. Организация труда и технология работ:
укрупненные нормы обслуживания установлены по видам покрытий и классам территорий для двух периодов года (холодного и теплого) с учетом количества дней с осадками;
принято единое для всех территорий Республики Казахстан деление года на два периода в зависимости от вида атмосферных осадков:
холодный (ноябрь — март, 152 дня), когда выпадают осадки преимущественно в твердом виде;
теплый (апрель — октябрь, 213 дней) когда выпадают осадки преимущественно в жидком виде;
нормы установлены, дифференцировано для территорий с усовершенствованными покрытиями (асфальтированные, брусчатые) неусовершенствованными (щебеночные, булыжные) и территории без покрытий в зависимости от классов территорий;
территории классифицированы по интенсивности пешеходного движения:
I класс — до 50 человеко-час;
II класс — от 50 до 100 человеко-час;
III класс — свыше 100 человеко-час;
интенсивность пешеходного движения определяется на полосе тротуара шириной 0,75 метров по пиковой нагрузке утром и вечером (суммарно с учетом движения пешеходов в обе стороны).
Параграф 1.А. Нормы обслуживания для холодного периода года
77. Примерное наименование профессии: уборщик территорий, дворник.
78. Примерный состав работ:
подметание свежевыпавшего снега толщиной слоя до 2 сантиметров со сбором снега в кучи или валы;
сдвигание снега толщиной слоя более 2 сантиметров движком в кучи или валы;
посыпка территорий песком или смесью с песком, или смесью песка с хлоридами во время гололеда;
скалывание наледи под водосточными трубами, с крышек канализационных, газовых и пожарных колодцев;
очистка территории от снега наносного происхождения (или подметание территорий, свободных от снежного покрова);
очистка и санитарная обработка урн, дворовых мусоросборников и мест их установки;
протирка номерных фонарей и указателей.
таблица 14
|
№ п/п |
Число дней с твердыми осадками |
Вид территории |
||||||
|
с усовершенствованным покрытием |
с неусовершенствованным покрытием |
без покрытия |
||||||
|
классы территорий |
||||||||
|
I |
II |
III |
I |
II |
III |
I |
||
|
нормы обслуживания, м² |
||||||||
|
1. |
До 10 |
6670 |
3020 |
2270 |
5190 |
2460 |
1920 |
4530 |
|
2. |
11 – 20 |
6060 |
2890 |
2050 |
4770 |
2360 |
1740 |
4150 |
|
3. |
21 – 30 |
5450 |
2760 |
1830 |
4350 |
2260 |
1570 |
3770 |
|
4. |
31 – 40 |
5000 |
2650 |
1660 |
4000 |
2180 |
1420 |
3440 |
|
5. |
41 — 50 |
4610 |
2550 |
1510 |
3700 |
2100 |
1300 |
3170 |
|
6. |
51 – 60 |
4270 |
2460 |
1390 |
3420 |
2030 |
1200 |
2920 |
|
7. |
61 – 70 |
3980 |
2370 |
1290 |
3200 |
1960 |
1110 |
2710 |
|
8. |
71 — 80 |
3740 |
2290 |
1200 |
3000 |
1900 |
1040 |
2570 |
|
9. |
81 – 90 |
3510 |
2220 |
1120 |
2820 |
1840 |
970 |
2430 |
|
10. |
91 – 100 |
3320 |
2150 |
1050 |
2670 |
1780 |
910 |
2310 |
|
11. |
101 – 110 |
3140 |
2080 |
970 |
2530 |
1730 |
860 |
2200 |
|
12. |
111 – 120 |
2990 |
2020 |
940 |
2400 |
1680 |
810 |
2100 |
|
13. |
121 — 130 |
2850 |
1960 |
890 |
2290 |
1630 |
770 |
2000 |
Примечания:
на перекидывание собранного снега или скола на газоны и свободные участки территорий (c последующим равномерным разбрасыванием) установлена норма времени на 1 метр кубический снега (или скола) — 23,9 минут; нa погрузку снега и скола вручную на автотранспорт (при выводке снега) норма времени на 1 метр кубический снега (или скола) — 14,1 минут;
на основании этих норм времени (с учетом периодичности, установленной на месте) определяются затраты времени на данные работы, и укрупненные нормы обслуживания соответственно пересчитываются.
Параграф 2.Б. Нормы обслуживания для теплого периода года
79. Примерное наименование профессии: уборщик территорий, дворник.
80. Примерный состав работ:
подметание территории и сбор мусора;
транспортировка мусора в установленное место нa расстояние до 100 метров;
удаление травы между тротуарными плитами;
очистка и санитарная обработка урн дворовых мусоросборников и мест их установки;
протирка номерных фонарей и указателей, скамеек;
очистка решеток ливневой канализации, крышек канализационных, газовых и пожарных колодцев.
таблица 15
|
№ п/п |
Число дней с твердыми осадками |
Вид территории |
||||||
|
с усовершенствованным покрытием |
с неусовершенствованным покрытием |
без покрытия |
||||||
|
классы территорий |
||||||||
|
I |
II |
III |
I |
II |
III |
I |
||
|
нормы обслуживания, метр квадратный |
||||||||
|
1. |
До 10 |
8860 |
3930 |
1700 |
6760 |
3070 |
1380 |
5850 |
|
2. |
11 – 20 |
8980 |
3990 |
1730 |
6850 |
3120 |
1400 |
5940 |
|
3. |
21 – 30 |
9100 |
4050 |
1760 |
6940 |
3170 |
1420 |
6030 |
|
4. |
31 – 40 |
9230 |
4110 |
1790 |
7040 |
3220 |
1440 |
6120 |
|
5. |
41 — 50 |
9360 |
4170 |
1820 |
7140 |
3270 |
1460 |
6210 |
|
6. |
51 – 60 |
9490 |
4230 |
1830 |
7240 |
3320 |
1490 |
6300 |
|
7. |
61 – 70 |
9620 |
4300 |
1880 |
7340 |
3370 |
1520 |
6400 |
|
8. |
71 — 80 |
9760 |
4370 |
1910 |
7450 |
3420 |
1550 |
6500 |
|
9. |
81 – 90 |
9900 |
4440 |
1940 |
7560 |
3470 |
1580 |
6600 |
|
10. |
91 – 100 |
10040 |
4510 |
1970 |
7670 |
3530 |
1610 |
6700 |
|
11. |
101 – 110 |
10180 |
4590 |
2010 |
7780 |
3600 |
1650 |
6800′ |
|
12. |
111 – 120 |
10340 |
4670 |
2050 |
7900 |
3670 |
1690 |
6910 |
|
13. |
121 — 130 |
10510 |
4750 |
2090 |
8030 |
3740 |
1730 |
7030 |
Примечания:
выполнение работ по поливке и мытью территорий, a также по уборке газонов устанавливаются на местах в соответствии с местными организационно-техническими и климатическими условиями, при расчете укрупненных норм затраты времени на эти работы не учитываются;
при выполнении данных работ следует использовать следующие нормы времени:
на поливку из шланга 1 метра квадратного территории:
I класса — 0,04 минуты;
П класса- 0,07 минуты;
III класса — 0,08 минуты;
на мытье 1 м2 территории из шланга:
I класса — 0,09 минуты;
II класса- 0,12 минут;
III класса — 0,15 минут;
на уборку 1 метра квадратного газонов — 0,05 минуты;
на поливку 1 метра квадратного газонов — 0, 08 минуты;
на основании этих норм времени (с учетом периодичности, установленной на месте) определяются затраты времени на данные работы укрепленные нормы обслуживания соответственно пересчитываются.
| Приложение 1 к нормативам по труду |
Характеристика зданий, относящихся к зданиям управлений, охватываемых нормативами по труду
|
Группа зданий |
Наименование зданий |
|
Группа А |
Здание государственного управления |
|
Группа В |
Здания управлений областей, городов и районов |
В зависимости от материала конструктивных элементов здания подразделяются на две группы.
Первая группа: стены – кирпичные, панельные; фундаменты — каменные и бетонные.
Вторая группа: облицовка натуральным гранитом, стены монолитные железобетонные.
К непредвиденным работам относятся: устранение мелких повреждений и неисправностей, устранение последствий аварий и стихийных бедствий, проведение внеочередных осмотров после стихийных бедствий и аварий.
Осмотры проводятся по графикам, которые составляются на каждый месяц.
В процессе осмотров рабочие устраняют выявленные мелкие неисправности.
Внеочередные осмотры проводятся после ливней, сильных снегопадов, ветров и иных сезонных условий.
Профилактический текущий ремонт производится согласно по объектному плану работ.
Все неисправности, ликвидация которых носит, неотложный характер, выполняются в определенные сроки согласно действующему порядку и нормам технической эксплуатации зданий.
Неисправности, ликвидация которых не носит неотложного характера, устраняются при профилактическом ремонте.
Объемы работ по устранению последствий аварий и стихийных бедствий устанавливаются в результате специальных, внеплановых осмотров.
Здания оснащаются высокотехнологическими системами жизнеобеспечения, что включает в себя современные модели отопления, вентиляции, кондиционирования, лифтов и иных сложных приборов, оборудования ведущих мировых фирм.
Управление и контроль за работой всех систем обеспечиваются компьютерным центром автоматического контроля и регулирования.
Таким образом, техническими системами жизнеобеспечения зданий являются:
внутренняя система водоснабжения и канализации;
система вентиляции и кондиционирования воздуха;
система теплоснабжения;
системы связи и пожарной сигнализации.
| Приложение 2 к нормативам по труду |
Периодичность выполнения основных работ по уборке помещения зданий
|
№ п/п |
Объект работы |
Вид уборки |
Периодичность выполнения работ |
|
1. |
Полы |
Влажная протирка. |
Ежедневно |
|
2. |
Мебель и инвентарь для помещении: |
||
|
стол (письменный, для заседаний, телефонный, журнальный) |
Сухая протирка |
ежедневно |
|
|
стул |
Влажная протирка |
1 раз в неделю |
|
|
шкаф (для верхней одежды, книг, шкаф-сейф) |
Сухая протирка |
1 раз в неделю |
|
|
книжная полка |
Сухая протирка |
ежедневно |
|
|
сейф |
Сухая протирка |
через день |
|
|
стенд |
Сухая протирка |
1 раз в неделю |
|
|
вешалка – стойка с круглой подставкой |
Сухая протирка |
1 раз в неделю |
|
|
настольный вентилятор |
Сухая протирка |
1 раз в неделю |
|
|
телефон |
Сухая протирка |
ежедневно |
|
|
компьютер, оргтехника |
Сухая протирка |
1 раз в неделю |
|
|
настольная лампа |
Сухая протирка |
через день |
|
|
настольный календарь |
Сухая протирка |
через день |
|
|
подставка для бумаг |
Сухая протирка |
через день |
|
|
3. |
Окрашенные поверхности: |
||
|
двери |
Влажная протирка |
4 раза в год |
|
|
оконные блоки с подоконниками |
Влажная протирка |
1 раз в неделю |
|
|
отопительные приборы (радиаторы) |
Влажная протирка |
4 раза в год |
|
|
стены |
Влажная протирка |
2 раза в год |
|
|
потолок |
Обметание пыли |
2 раза в год |
|
|
4. |
Санитарный узел: |
||
|
полы |
Влажная протирка. |
ежедневно |
|
|
раковина |
Мытье |
ежедневно |
|
|
унитаз, писсуар |
Мытье |
ежедневно |
|
|
поддоны для душа |
Мытье |
ежедневно |
|
|
полотенцесушитель |
Влажная протирка |
1 раз в неделю |
|
|
стены кафельные |
Влажная протирка |
1 раз в неделю |
|
|
5. |
Малоценный инвентарь: |
||
|
графин с подносом |
Мытье |
ежедневно |
|
|
стакан |
Мытье |
ежедневно |
|
|
пепельница |
Мытье |
ежедневно |
|
|
портрет, картины (репродукция) |
Влажная протирка |
1 раз в месяц |
|
|
урны, корзины |
Опорожнение |
ежедневно |
|
|
вазоны с цветами |
Поливка цветов и протирание вазонов |
через день |
|
|
зеркала |
Чистка |
1 раз в неделю |
|
|
6. |
Мытье окон (открывающихся вовнутрь) |
Мытье |
2 раза в год |
| Приложение 3 к нормативам по труду |
Периодичность уборки помещения, лестничных клеток, двора прилегающей территории
|
№ п/п |
Виды производимых работ |
Сроки проведения |
|
1. |
Мытье, чистка лифтов |
Ежедневно |
|
2. |
Удаление пыли с искусственных растений |
Еженедельно |
|
3. |
Мытье лестничных перилл и пластиковых дверей |
Ежедневно |
|
4. |
Чистка настенных светильников снаружи и внутри |
Еженедельно |
|
5. |
Мытье оконных и дверных проемов входных групп |
Ежедневно |
|
6. |
Уборка и чистка мебели стоящая в холлах входных групп |
Ежедневно |
|
7. |
Побелка и покраска бордюр |
Ежедекадно |
|
8. |
Мытье облицовочных плит и контейнеров д/мусора на улице |
Еженедельно |
|
9. |
Уход и поливка цветов в помещении. |
Еженедельно |
|
10. |
Мытье плинтусов на площадках и лестничных проемах |
Ежедневно |
|
11. |
Уборка двора прилегающей территории. |
Ежедневно |
|
12. |
Уборка в кабинетах и местах общего пользования |
Ежедневно |
|
13. |
Мытье площадок и лестничных клеток |
Ежедневно |
| Приложение 4 к нормативам по труду |
Нормы обслуживания по технической эксплуатации и текущему ремонту здания
Нормы обслуживания установлены для выполнения объема работ одним рабочим соответствующей профессии в течение года и дифференцированы по видам работ и группам зданий, а также срокам их эксплуатации.
В зависимости от материала конструктивных элементов здания подразделяются на две группы.
Первая группа:
стены — кирпичные, панельные;
фундаменты — каменные или бетонные.
Вторая группа:
стены монолитные железобетонные;
облицовка натуральный гранит; витражи – алюминиевые, входное остекление с наружным цветным рефлекторным стеклом;
окна металлопластиковые со сложным открыванием;
двери алюминиевые; кровля – наплавленная мембрана с эффективным утеплением.
Текущий ремонт зданий заключается в проведении планово-предупредительных работ по сохранению частей зданий, инженерного оборудования от преждевременного износа и работ по устранению мелких повреждений и неисправностей, возникших в процессе эксплуатации зданий.
В связи с этим работы по текущему ремонту подразделяются на планируемые и непредвиденные.
К планируемым работам относятся: периодические осмотры и профилактический ремонт.
К непредвиденным относятся: устранение мелких повреждений и неисправностей, устранение последствий аварий и стихийных бедствий, проведение внеочередных осмотров после стихийных бедствий и аварий.
Осмотры проводятся по графикам, которые составляются на каждый месяц. В процессе осмотров рабочие устраняют выявленные мелкие неисправности.
Внеочередные осмотры проводятся после ливней, сильных снегопадов, ветров и иных погодных явлений.
Профилактический текущий ремонт производится в соответствии с планом работ.
Все неисправности, ликвидация которых носит неотложный характер, выполняются в определенные сроки согласно действующему порядку и нормам технической эксплуатации зданий.
Неисправности, ликвидация которых не носит неотложного характера, устраняются при профилактическом ремонте.
Объемы работ по устранению последствий аварий и стихийных бедствий устанавливаются в результате специальных, внеплановых осмотров.
| Приложение 5 к нормативам по труду |
Пример расчета численности рабочих для обслуживания здания организации
Определить численность обслуживающего персонала здания организации
Исходные данные:
В здании организации, имеющем один парадный вход, работают 640 чел.
Общая площадь помещений (метров квадратных) – 3458, в том числе:
площадь служебных помещений — 1970 (с коэффициентом заставленности от 0,2 до 0,4),
площадь зала заседаний 490 (с коэффициентом заставленности 0,6),
площадь коридоров — 555 (с коэффициентом заставленности до 0,2),
площадь вестибюля — 108 (с коэффициентом 0,3),
площадь мужских туалетов — 55, женских 70, площадь лестниц — 210.
Здание имеет три лифта для самостоятельного пользования (два лифта расположены рядом и один — отдельно).
Здание оборудовано естественной вентиляцией, гардероб рассчитан — 850 мест и работает в одну смену.
Количество физических единиц оборудования – 550.
Количество единиц мебели – 800.
Коэффициент планируемых невыходов (Кн) во время отпусков, по болезни и т.д. для всех профессий 1,1 (принят условно) и определен по формуле:
Кн = % планируемых невыходов/100
Списочная численность (Чсп) определяется по формуле:
Чсп = Чя х Кн
1. Уборщики служебных помещений
Исходя из указанных площадей здания, по таблице 11 и 12, подставив числовые значения, определяем нормативную явочную численность уборщиков служебных помещений.
Списочная численность: Чсп = 6,28 х 1,1 = 6,91 ≈ 7 чел.
2. Уборщики территорий (дворники)
Площадь территории вокруг здания -7554 метров квадратных.
Норма обслуживания на 1 человека для холодного периода (число дней с твердыми осадками в году — 55 и по интенсивности пешеходного движения до 100 человеко-час) составляет 2460 метров квадратных.
Норма обслуживания на 1 чел. для теплого периода (число дней с жидкими осадками в году -50 и по интенсивности пешеходного движения до 100 человеко-час) составляет 4170 метров квадратных.
Расчетная численность составит 7554 : 2460 = 3,07
Расчетная численность составит 7554 : 4170 = 1,81
Итого: 3,07 + 1,81 = 4,88
Списочная численность: Чсп = 4,88 х 1,1 = 5,36 ≈ 5 человек
3. Гардеробщики
По таблице 1, исходя из количества мест в гардеробе (850), определяем нормативную явочную численность гардеробщиков в смену (Чя).
Для данного здания она составляет 2,44 человек.
Списочная численность гардеробщиков: Чсп = 2,44 х 1,1 = 2,68 ≈ 3 человек.
4. Работники бюро пропусков:
Согласно таблице 2 норма времени на заполнение и выдачу разового пропуска на 1 бланк составляет 0,05 часа.
Объем, выполняемых работ за год составляет 2000 часов.
Норматив численности дежурных бюро пропусков определяется по формуле:
где: Т — суммарная трудоемкость нормируемых работ, рассчитанная по данным нормам за год, час (в примере – 2000 часов);
К1 — коэффициент невыходов — 1,1
Ф — полезный фонд рабочего времени одного работника за год, час (в примере принят 1984 часов).
Ч = (2000 х 1,1)/1984 = 1,1
5. Лифтеры
Исходя из количества постов в здании (одного), определяем норматив явочной численности в смену, который равен 1 человеку.
Списочная численность лифтеров при работе в 3 смены равна: Чсп = 1 х 3 х 1,1 = 3,3
6. Рабочие, занятые содержанием и ремонтом инженерного оборудования
Исходные данные:
Общая площадь здания — 3000 метров квадратных.
Коэффициент невыхода — 1,1
|
№ п/п |
Наименование профессии |
Норматив численности |
|
1. |
Слесарь — сантехник |
0,2х3,0=0,6 |
|
2. |
Электромонтер по ремонту и обслуживанию электрооборудования |
0,37х3,0=1,11 |
|
3. |
Слесарь КИПиА |
0,18х3,0=0,54 |
|
4. |
Электрогазосварщик |
0,01х3,0=0,03 |
|
5. |
Слесарь — ремонтник |
0,01х3,0=0,03 |
|
Итого: |
2,31 |
Списочная численность равна Чсп = 2,31х1,1= 2,5 ≈ 3 человек.
7. Рабочие, занятые ремонтом конструктивных элементов зданий
Исходные данные:
Площадь кровли из рубероида — 500 метров квадратных.
Общая площадь здания — 3000 метров квадратных.
Количество единиц мебели – 800.
Общая площадь подвалов, технических этажей — 750 метров квадратных.
|
№ п/п |
Наименование профессии |
Норматив численности |
|
1. |
Кровельщик по рулонным кровлям и по кровлям из штучных материалов |
0,07х0,5=0,035 |
|
2. |
Маляр |
0,01х3,0=0,03 |
|
3. |
Плотник |
0,02х3,0=0,06 |
|
4. |
Стекольщик |
0,01х3,0=0,03 |
|
5. |
Штукатур |
0,01х3,0=0,03 |
|
6. |
Столяр |
0,08х8=0,64 |
|
7. |
Подсобный рабочий |
0,03х0,75=0,02 |
|
8. |
Итого: |
0,85 |
Списочная численность составляет: Чсп = 0,85х1,1= 1,0 человек.
8. Рабочие, занятые обслуживанием и ремонтом вентиляционного оборудования
Годовой фонд рабочего времени – (в примере принят 1984 часов)
Коэффициент невыхода — 1,1
Шахта лифтов:
три вентилятора подпора воздуха – ВF1, тип осевой, производительность W = 50 000 метров кубических в час (далее — м3/час) — 0,006 человек.
два вентилятора подпора воздуха – ВF2, тип осевой производительность W = 33 000 м3/час — 0,005 человек.
два вентилятора подпора воздуха – ВF3, тип осевой производительность W = 16 500 м3/час — 0,003 человек.
Лестничная клетка :
два вентилятора подпора воздуха – ВF4, тип осевой производительность W = 44 000 м3/час — 0,0064 человек.
четыре вентилятора подпора воздуха – ВF5, тип осевой производительность W = 13 000 м3/час — 0,003 человек.
пять кондиционеров автономных производительностью по воздуху, м3/час до 3000 — 0,030 человек.
один кондиционер центральный производительностью по воздуху, 40 тысяч м3/час — 0,162 человек.
пять фильтров матерчатых с подачей 1500 м3/час — 0,003 человек.
калориферы, 100 метров квадратных поверхности нагрева — 0,001 человек.
воздуховод круглого сечения с фасонными частями на 200 метров длины воздуховода диаметром 300 миллиметров — 0,003 человек.
Итого: 0,006х3 + 0,005х2+ 0,003х2 + 0,006х2+0,003х4 + 0,030х5 + 0,162х1 + 0,003х5 + 100х0,001 + 200 х 0,003 = 1,085
Списочная численность cоставляет: Чсп = 1,085 х 1,1 ≈1,2 человек.
9. Рабочие, занятые эксплуатацией систем связи
Исходные данные:
Годовой фонд рабочего времени — (в примере принят 1984 часов)
Коэффициент планируемых невыходов — 1,1.
|
Наименование оборудования |
Единица измерения (штук) |
Норматив численности рабочих, человек |
|
Аппаратура радио- и радиорелейной связи |
2 |
0,254 |
|
Электропитающие устройства |
3 |
0,277 |
|
Аппаратура диспетчерской связи |
1 |
0,460 |
|
Аппаратура громкоговорящей связи |
1 |
0,602 |
|
Аппаратура автоматики и сигнализации |
1 |
0,164 |
|
Аппаратура производственной связи |
1 |
0,20 |
|
Телевизионные промышленные установки |
1 |
0,730 |
Итого: 2х0,254 + 3х0,277 + 1х0,460 + 1х0,602 + 1х0,164 + 1х0,20 +1х0,730 = 3, 49 чел.
Чсп = 3,495 х 1,1 = 3,8 ≈ 4 человек.
10. Рабочие, занятые на погрузочно-разгрузочных
|
№ п/п |
Состав работ |
Годовой объем погрузочно-разгрузочных работ, тонн |
Норма времени, человеко/час на 1 тонну груза |
Годовая нормативная трудоемкость, человеко/час |
|
1. |
Погрузка груза в мешках (до 30 килограмм) (далее — кг) на автотранспорт |
287,5 |
0,38 |
109,25 |
|
2. |
Погрузка груза в кипах и ящиках (до 30 кг) на автотранспорт |
315 |
0,41 |
129,15 |
|
3. |
Погрузка мебели без упаковки (столы, стулья, шкафы и иная мебель) на автотранспорт |
150 |
0,38 |
57,0 |
|
4. |
Стекло оконное и зеркальное, стеклянная и эмалированная посуда, изделия из стекла и фарфор |
100 |
0,43 |
43,0 |
|
5. |
Выгрузка паркета в пачках |
50 |
0,43 |
21,5 |
|
6. |
Выгрузка груза в мешках (до 30 кг) с автотранспорта |
305 |
0,38 |
115,9 |
|
7. |
Выгрузка груза в ящиках (до 20 кг) с автотранспорта |
285 |
0,41 |
285,41 |
|
8. |
Погрузка посуды металлической и стеклянной с набором в тару на автотранспорт |
225 |
0,82 |
184,5 |
|
Итого: |
945,71 |
Списочная численность рабочих, необходимых для выполнения объема погрузочно-разгрузочных работ за год составляет: (945,71/1984)х1,1=0,52 ≈ 0,5 человек.
| Приложение 6 к нормативам по труду |
Содержание
1. Раздел
1. Общая часть
2. Раздел 2. Организация труда
3. Раздел 3. Нормативная часть
3.1. Глава 1. Нормативы численности работников
3.2. Параграф 1. Нормативы численности гардеробщиков
3.3. Параграф 2. Нормативы численности работников бюро пропусков
3.4. Параграф 3. Нормативы численности лифтеров
3.5. Параграф 4. Нормативы численности рабочих, обслуживающие и занимающиеся ремонтом инженерного оборудования здания
3.6. Параграф 4.1. Нормативы численности слесарей-сантехников
3.7. Параграф 4.2. Нормативы численности электромонтеров по ремонту и обслуживанию электрооборудования
3.8. Параграф 4.3. Нормативы численности слесарей по контрольно-измерительным приборам и автоматике
3.9. Параграф 4.4. Нормативы численности электрогазосварщиков №…..
3.10. Параграф 4.5. Нормативы численности слесарей-ремонтников.
3.11. Параграф 5. Нормативы численности рабочих, занятых ремонтом конструктивных элементов зданий №…..
3.12. Параграф 5.1. Нормативы численности кровельщиков по металлическим кровлям
3.13. Параграф 5.2. Нормативы численности кровельщиков по рулонным кровлям и по кровлям из штучных материалов
3.14. Параграф 5.3. Нормативы численности маляров
3.15. Параграф 5.4. Нормативы численности плотников
3.16. Параграф 5.5. Нормативы численности стекольщиков
3.17. Параграф 5.6. Нормативы численности штукатуров
3.18. Параграф 5.7. Нормативы численности столяров
3.19. Параграф 5.8. Нормативы численности подсобных рабочих
3.20. Параграф 6. Нормативы численности слесарей по ремонту и обслуживанию систем вентиляции и кондиционирования
3.21. Параграф 7. Нормативы численности операторов котельных
3.22. Параграф 8. Нормативы численности машинистов (кочегаров) котельной
3.23. Параграф 9. Нормативы численности сторожей (вахтеров)
3.24. Параграф 10. Нормативы численности диспетчеров
3.25. Параграф 11. Нормативы численности электромонтеров линейных сооружений телефонной связи и радиофикации
3.26. Глава 2. Нормы времени на погрузочно-разгрузочные работы, выполняемые вручную с применением простейших приспособлений
3.27. Параграф 1. Нормы времени на работы по погрузке или выгрузке тарно- упаковочных и штучных грузов на автотранспорт
3.28. Глава 3. Нормы обслуживания и на работы, выполняемые уборщиками служебных помещений
3.29. Параграф 1. Нормы обслуживания на работы, выполняемые уборщиками служебных помещений с применением ручных средств уборки
3.30. Параграф 2. Нормы времени на механическую уборку, выполняемые уборщиками служебных помещений
3.31. Глава 4. Нормы обслуживания на работы, выполняемые уборщиками территорий (дворниками)
3.32. Параграф 1.А. Нормы обслуживания для холодного периода года
3.33. Параграф 2.Б. Нормы обслуживания для теплого периода года
Приложение 1
Приложение 2
Приложение 3
Приложение 4
Приложение 5




