Сноска. Утратил силу Налоговым кодекском РК от 18.07.2025 № 214-VIII (вводится в действие с 01.01.2026), за исключением пункта 1-1 статьи 68, который признается утратившим силу с 01.01.2027, и пункта 23 статьи 26, который признается утратившим силу с 01.01.2029.
Примечание ИЗПИ!
Для удобства пользования ИЗПИ создано Содержание
Сноска. Оглавление исключено Законом РК от 24.06. 2021 № 53-VII (вводится в действие по истечении десяти календарных дней после дня его первого официального опубликования).
Сноска. По всему тексту:
слова «соглашения об урегулировании неплатежеспособности», «процедуры урегулирования неплатежеспособности», «соглашение об урегулировании неплатежеспособности» заменены соответственно словами «соглашения о реструктуризации задолженности», «процедуры реструктуризации задолженности», «соглашение о реструктуризации задолженности» в соответствии с Законом РК от 27.12.2019 № 290-VІ (вводится в действие по истечении десяти календарных дней после дня его первого официального опубликования);
слова «оралманов» и «оралманы» заменены соответственно словами «кандасов» и «кандасы» в соответствии с Законом РК от 10.12.2020 № 382-VI (вводится в действие с 01.01.2021);
слова «инвалидов», «инвалидам», «инвалидами», «ребенка-инвалида», «инвалидом», «инвалиды», «инвалиду», «ребенком-инвалидом», «инвалид», «инвалида» заменены соответственно словами «лиц с инвалидностью», «лицам с инвалидностью», «лицами с инвалидностью», «ребенка с инвалидностью», «лицом с инвалидностью», «лица с инвалидностью», «лицу с инвалидностью», «ребенком с инвалидностью», «лицо с инвалидностью», «лица с инвалидностью»;
слова «I, II группы», «I или II группы», «I, II или III групп» заменены соответственно словами «первой, второй групп», «первой или второй группы», «первой, второй или третьей групп»; в соответствии с Законом РК от 11.07.2022 № 135-VII (вводится в действие с 01.07.2022);
слова «о пенсионном обеспечении, об обязательном социальном страховании», «законами Республики Казахстан «Об обязательном социальном страховании», «О пенсионном обеспечении в Республике Казахстан» и «Об обязательном социальном медицинском страховании», «законами Республики Казахстан «Об обязательном социальном страховании» и «О пенсионном обеспечении в Республике Казахстан», «Об обязательном социальном медицинском страховании», «законодательством Республики Казахстан о пенсионном обеспечении», «законодательством Республики Казахстан об обязательном социальном страховании», «законами Республики Казахстан «О пенсионном обеспечении в Республике Казахстан», «Об обязательном социальном страховании» и «Об обязательном социальном медицинском страховании», «законами Республики Казахстан «О пенсионном обеспечении в Республике Казахстан», «Об обязательном социальном страховании», «Об обязательном социальном медицинском страховании», «Законом Республики Казахстан «О пенсионном обеспечении в Республике Казахстан», «Законом Республики Казахстан «Об обязательном социальном страховании» заменены соответственно словами «о социальной защите», «Социальным кодексом Республики Казахстан и Законом Республики Казахстан «Об обязательном социальном медицинском страховании», «Социальным кодексом Республики Казахстан и Законом Республики Казахстан «Об обязательном социальном медицинском страховании», «законодательством Республики Казахстан о социальной защите», «законодательством Республики Казахстан о социальной защите», «Социальным кодексом Республики Казахстан и Законом Республики Казахстан «Об обязательном социальном медицинском страховании», «Социальным кодексом Республики Казахстан и Законом Республики Казахстан «Об обязательном социальном медицинском страховании», «Социальным кодексом Республики Казахстан», «Социальным кодексом Республики Казахстан»; в соответствии с Закона РК от 12.12.2023 № 45-VIII (вводится в действие с 01.07.2023).
Настоящий Кодекс устанавливает основополагающие принципы налогообложения, регулирует властные отношения по установлению, введению, изменению, отмене, порядку исчисления и уплаты налогов и других обязательных платежей в бюджет, а также отношения, связанные с исполнением налогового обязательства.
1. ОБЩАЯ ЧАСТЬ
РАЗДЕЛ 1. ОБЩИЕ ПОЛОЖЕНИЯ
Глава 1.ОСНОВНЫЕ ПОЛОЖЕНИЯ
Статья 1. Основные понятия, используемые в настоящем Кодексе
1. Основные понятия, используемые в настоящем Кодексе для целей налогообложения:
1) услуги по обработке информации – услуги по осуществлению сбора и обобщению информации, систематизации информационных массивов (данных) и предоставлению в распоряжение пользователя результатов обработки этой информации;
2) специальный налоговый режим – особый порядок исчисления и уплаты отдельных видов налогов и других обязательных платежей в бюджет, а также представления налоговой отчетности по ним для отдельных категорий налогоплательщиков;
2-1) организация органа Международного финансового центра «Астана» – юридическое лицо, зарегистрированное в соответствии с действующим правом Международного финансового центра «Астана», 50 и более процентов доли участия (голосующих акций) которого прямо или косвенно принадлежат органу Международного финансового центра «Астана».
Косвенное владение означает владение органом Международного финансового центра «Астана» через другое юридическое лицо, которое прямо принадлежит органу Международного финансового центра «Астана»;
3) социальные платежи – обязательные пенсионные взносы, обязательные профессиональные пенсионные взносы, обязательные пенсионные взносы работодателя, социальные отчисления, уплачиваемые в соответствии с Социальным кодексом Республики Казахстан, отчисления и взносы на обязательное социальное медицинское страхование, уплачиваемые в соответствии с Законом Республики Казахстан «Об обязательном социальном медицинском страховании»;
4) ценные бумаги – акции, долговые ценные бумаги, депозитарные расписки, паи паевых инвестиционных фондов, исламские ценные бумаги;
5) недоимка – исчисленные, начисленные и не уплаченные в срок суммы налогов и платежей в бюджет, в том числе авансовых и (или) текущих платежей по ним, за исключением сумм, отраженных в уведомлении о результатах проверки, уведомлении о результатах горизонтального мониторинга в период обжалования в установленном законодательством Республики Казахстан порядке в обжалуемой части;
6) долговые ценные бумаги – государственные эмиссионные ценные бумаги, облигации и другие ценные бумаги, признанные долговыми ценными бумагами в соответствии с законодательством Республики Казахстан;
7) дисконт по долговым ценным бумагам (далее – дисконт) – разница между номинальной стоимостью и стоимостью первичного размещения (без учета купона) или стоимостью приобретения (без учета купона) долговых ценных бумаг;
8) купон по долговым ценным бумагам (далее – купон) – сумма, выплачиваемая (подлежащая выплате) эмитентом сверх номинальной стоимости долговых ценных бумаг в соответствии с условиями выпуска;
9) премия по долговым ценным бумагам – разница между стоимостью первичного размещения (без учета купона) или стоимостью приобретения (без учета купона) и номинальной стоимостью долговых ценных бумаг, условиями выпуска которых предусматривается выплата купона;
10) другие обязательные платежи в бюджет (далее – платежи в бюджет) – обязательные отчисления денег в бюджет в виде плат, сборов, пошлин, за исключением таможенных платежей, производимые в размерах и случаях, установленных настоящим Кодексом;
11) рыночный курс обмена валюты – курс тенге к иностранной валюте, определенный в порядке, определенном Национальным Банком Республики Казахстан совместно с уполномоченным государственным органом, осуществляющим регулирование деятельности в сфере бухгалтерского учета и финансовой отчетности;
12) веб-приложение – персонифицированный и защищенный от несанкционированного доступа интернет-ресурс уполномоченного органа, предназначенный для получения налогоплательщиком электронных налоговых услуг и исполнения им налоговых обязательств;
13) грант – имущество, предоставляемое на безвозмездной основе для достижения определенных целей (задач):
государствами, правительствами государств – Республике Казахстан, Правительству Республики Казахстан, физическим, а также юридическим лицам;
международными и государственными организациями, зарубежными и казахстанскими неправительственными общественными организациями и фондами, чья деятельность носит благотворительный и (или) международный характер и не противоречит Конституции Республики Казахстан, включенными в перечень, устанавливаемый Правительством Республики Казахстан по заключениям государственных органов, – Республике Казахстан, Правительству Республики Казахстан, физическим, а также юридическим лицам;
иностранцами и лицами без гражданства – Республике Казахстан и Правительству Республики Казахстан;
14) гуманитарная помощь – имущество, предоставляемое безвозмездно Республике Казахстан в виде продовольствия, товаров народного потребления, техники, снаряжения, оборудования, лекарственных средств и медицинских изделий, иного имущества, направленных из зарубежных стран и международных организаций для улучшения условий жизни и быта населения, а также предупреждения и ликвидации чрезвычайных ситуаций военного, экологического, природного и техногенного характера, распределяемое Правительством Республики Казахстан через уполномоченные организации;
15) спонсорская помощь – имущество, предоставляемое на безвозмездной основе с целью распространения информации о лице, оказывающем данную помощь:
физическим лицам в виде финансовой (кроме социальной) поддержки для участия в соревнованиях, конкурсах, выставках, смотрах и развития творческой, научной, научно-технической, изобретательской деятельности, повышения уровня образования и спортивного мастерства;
некоммерческим организациям для реализации их уставных целей;
16) дивиденды – доход:
в виде чистого дохода или его части, подлежащих выплате по акциям, в том числе по акциям, являющимся базовыми активами депозитарных расписок;
подлежащий выплате по паям паевого инвестиционного фонда, за исключением дохода по паям при их выкупе управляющей компанией фонда;
в виде чистого дохода или его части, распределяемых юридическим лицом между его учредителями, участниками;
от распределения имущества при ликвидации юридического лица или уменьшении уставного капитала, а также выкупе юридическим лицом у учредителя, участника доли участия или ее части в этом юридическом лице, выкупе юридическим лицом-эмитентом у акционера акций, выпущенных этим эмитентом;
подлежащий выплате по исламским сертификатам участия;
получаемый акционером, участником, учредителем или их взаимосвязанной стороной от юридического лица в виде:
положительной разницы между рыночной ценой товаров, работ, услуг и ценой, по которой такие товары, работы, услуги реализованы акционеру, участнику, учредителю или их взаимосвязанной стороне;
отрицательной разницы между рыночной ценой товаров, работ, услуг и ценой, по которой такие товары, работы, услуги приобретены у акционера, участника, учредителя или их взаимосвязанной стороны;
стоимости расходов или обязательств, не связанных с предпринимательской деятельностью юридического лица, возникающих у его акционера, участника, учредителя или их взаимосвязанной стороны перед третьим лицом, погашаемой юридическим лицом без ее возмещения акционером, учредителем, участником или их взаимосвязанной стороной юридическому лицу;
любого имущества и материальной выгоды, предоставляемых юридическим лицом своему акционеру, участнику, учредителю или их взаимосвязанной стороне, за исключением доходов, отраженных в статьях 322 – 324 настоящего Кодекса, и доходов от реализации товаров, работ, услуг.
Доход от распределения имущества, указанный в настоящем подпункте, определяется в следующем порядке:
Д = Сп – Су,
где:
Д – доход от распределения имущества;
Сп – балансовая стоимость имущества, получаемого (полученного) акционером, участником, учредителем при распределении имущества, в том числе получаемого (полученного) взамен ранее внесенного, на дату передачи, подлежащая отражению (отраженная) в бухгалтерском учете передающего лица, без учета переоценки и обесценения;
Су:
размер оплаченного уставного капитала, приходящийся на количество акций, на которые осуществляется распределение имущества;
размер оплаченного уставного капитала, приходящийся на долю участия, на которую осуществляется распределение имущества, но не более первоначальной стоимости такой доли участия, определяемой в порядке, предусмотренном пунктом 7 статьи 228 настоящего Кодекса, у участника, в пользу которого осуществляется распределение имущества.
Положительная или отрицательная разница, указанная в настоящем подпункте, определяется при корректировке объектов налогообложения. При этом корректировка объектов налогообложения производится в случаях и порядке, установленных законодательством Республики Казахстан о трансфертном ценообразовании. Для целей настоящего подпункта взаимосвязанные стороны определяются в соответствии с пунктом 2 настоящей статьи;
17) дизайнерские услуги – услуги по проектированию художественных форм, внешнего вида изделий, фасадов зданий, интерьеров помещений; художественное конструирование;
18) общеустановленный порядок налогообложения – порядок исчисления, уплаты налогов и платежей в бюджет, представления налоговой отчетности по ним, установленный Особенной частью настоящего Кодекса, за исключением порядка, определенного разделом 20 настоящего Кодекса;
19) лицо, занимающееся частной практикой, – частный нотариус, частный судебный исполнитель, адвокат, профессиональный медиатор;
20) социальная поддержка физического лица – безвозмездная передача налоговым агентом за год имущества в пределах 647-кратного размера месячного расчетного показателя, установленного законом о республиканском бюджете и действующего на начало соответствующего финансового года, физическому лицу, имеющему право на социальную поддержку в соответствии с законодательством Республики Казахстан.
Перечень категорий лиц, предусмотренных настоящим подпунктом, утверждается центральным уполномоченным органом по государственному планированию по согласованию с уполномоченным органом;
21) личное имущество физического лица – вещи физического лица в материальной форме, находящиеся на праве собственности или являющиеся его долей в общей собственности, при одновременном выполнении следующих условий:
не используются физическим лицом в целях предпринимательской деятельности;
не являются объектом обложения индивидуальным подоходным налогом с доходов, подлежащих налогообложению физическим лицом самостоятельно;
22) контракт на недропользование – договор между компетентным органом или уполномоченным органом по изучению и использованию недр или местным исполнительным органом области, города республиканского значения, столицы в соответствии с компетенцией, установленной законодательством Республики Казахстан о недрах и недропользовании, и физическим и (или) юридическим лицом на проведение разведки, добычи, совмещенной разведки и добычи полезных ископаемых либо строительство и (или) эксплуатацию подземных сооружений, не связанных с разведкой и (или) добычей, либо на государственное геологическое изучение недр.
Для целей настоящего Кодекса к контракту на недропользование также относятся лицензии на недропользование и другие виды предоставления права недропользования и (или) водопользования в соответствии с законодательством Республики Казахстан.
При этом термины «контракт на разведку», «контракт на добычу», «контракт на совмещенную разведку и добычу» и «лицензия на разведку или добычу», используемые в настоящем Кодексе, идентичны понятию «контракт на недропользование», термин «контракт на разведку и добычу» идентичен понятию «контракт на совмещенную разведку и добычу»;
23) операции по недропользованию – работы, относящиеся к геологическому изучению недр, разведке и (или) добыче полезных ископаемых, в том числе связанные с разведкой и добычей подземных вод, лечебных грязей, разведкой недр для сброса сточных вод, а также по строительству и (или) эксплуатации подземных сооружений, не связанные с разведкой и (или) добычей;
24) недропользователи – физические или юридические лица, обладающие правом проведения операций по недропользованию, включая нефтяные операции, и (или) водопользованию на территории Республики Казахстан в соответствии с законами Республики Казахстан;
25) работник:
физическое лицо, состоящее в трудовых отношениях с работодателем и непосредственно выполняющее работу по трудовому договору (контракту);
государственный служащий;
член совета директоров или иного органа управления налогоплательщика, не являющегося высшим органом управления, за исключением государственных служащих;
иностранец или лицо без гражданства, предоставленные для работы по контракту на предоставление персонала нерезидентом, деятельность которого не образует постоянного учреждения в соответствии с положениями пункта 7 статьи 220 настоящего Кодекса, резиденту или иному нерезиденту, осуществляющему деятельность в Республике Казахстан через постоянное учреждение;
26) структурное подразделение юридического лица – филиал, представительство;
27) инвестиционное золото – золото, соответствующее следующим условиям:
для золотых монет:
такие золотые монеты не обладают нумизматической ценностью;
чистота золотых монет равна или превышает 900 тысячных долей на 1 000 долей общей массы (что соответствует 900 пробе, 900 промилле, 90,0 процентам, или 21,6 карата).
При этом золотая монета признается обладающей нумизматической ценностью при соответствии одному из следующих условий:
отчеканена до 1800 года;
отчеканена по технологии, обеспечивающей получение зеркальной поверхности, качества «пруф» (proof);
имеет тираж выпуска не более 1 000 экземпляров;
ее рыночная цена превышает стоимость золота, содержащегося в монете, более чем на 80 процентов.
Стоимость золота, содержащегося в монете, определяется путем умножения утреннего фиксинга (котировки цены) золота, который установлен (которая установлена) Лондонской ассоциацией рынка драгоценных металлов на дату реализации золотой монеты, на рыночный курс обмена валюты, определенный в последний рабочий день, предшествующий указанной дате.
Для остального золота:
такое золото является аффинированным (чистота такого золота равна или превышает 995 тысячных долей на 1 000 долей лигатурной массы (что соответствует 995 пробе, 995 промилле, 99,5 процента, или 23,88 карата);
такое золото соответствует национальному или международному стандарту, изготовлено в виде мерного или стандартного слитка и (или) пластины с нанесенной на них следующей маркировкой:
для стандартного слитка и (или) пластины:
серийный номер (может включать год изготовления);
товарный знак изготовителя;
чистота (массовая доля) золота;
год изготовления, если он не включен в серийный номер;
для мерного слитка:
наименование металла;
товарный знак изготовителя;
чистота (массовая доля) золота;
масса слитка;
28) инжиниринговые услуги – инженерно-консультационные услуги, работы исследовательского, проектно-конструкторского, расчетно-аналитического характера, подготовка технико-экономических обоснований проектов, выработка рекомендаций в области организации производства и управления, реализации продукции;
29) интернет-площадка – информационная система, размещенная в Интернете, которая оказывает посреднические услуги по организации электронной торговли товарами;
30) интернет-магазин – информационная система, размещенная в Интернете, предназначенная для реализации товаров на собственном интернет-ресурсе;
31) исламские ценные бумаги – исламские арендные сертификаты и исламские сертификаты участия;
32) профессиональный медиатор – медиатор, осуществляющий деятельность на профессиональной основе в соответствии с требованиями Закона Республики Казахстан «О медиации»;
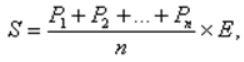
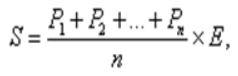
33) среднеарифметический рыночный курс обмена валюты за период – курс, определенный по следующей формуле:
R = (R1 + R2 + … + Rn)/n,
где:
R – среднеарифметический рыночный курс обмена валюты за период;
R1, R2.., Rn – ежедневный рыночный курс обмена соответствующей валюты, определенный в последний рабочий день, предшествующий каждому дню периода в течение периода;
n – количество календарных дней в периоде;
34) внеконтрактная деятельность – любая иная деятельность недропользователя, которая прямо не предусмотрена положениями контракта на недропользование;
35) контрактная деятельность – деятельность недропользователя, осуществляемая в соответствии с положениями контракта на недропользование;
36) консультационные услуги – услуги по предоставлению разъяснений, рекомендаций, советов и иных форм консультаций, включая определение и (или) оценку проблем и (или) возможностей лица, в целях решения управленческих, экономических, финансовых, инвестиционных вопросов, в том числе вопросов стратегического планирования, организации и осуществления предпринимательской деятельности, управления персоналом;
37) подготовка углеводородов – комплекс технологических процессов подготовки углеводородов, в том числе сбор, доставка для подготовки, поступление скважинной жидкости в замерные установки, дегазация, обезвоживание, обессоливание, стабилизация, демеркаптанизация;
38) благотворительная помощь – имущество, предоставляемое на безвозмездной основе:
в виде спонсорской помощи;
в виде социальной поддержки физического лица;
физическому лицу, пострадавшему в результате чрезвычайной ситуации;
некоммерческой организации с целью поддержки ее уставной деятельности;
организации, осуществляющей деятельность в социальной сфере, с целью осуществления данной организацией видов деятельности, указанных в пункте 2 статьи 290 настоящего Кодекса;
организации, осуществляющей деятельность в социальной сфере, которая соответствует условиям, указанным в пункте 3 статьи 290 настоящего Кодекса;
39) доля участия – долевое участие физического и (или) юридического лица в совместной деятельности, уставном капитале юридического лица, за исключением акционерных обществ и паевых инвестиционных фондов;
40) соглашение о конфиденциальности – договор (соглашение) между недропользователем и уполномоченным органом по изучению и использованию недр, на основании которого предоставлена в пользование геологическая информация. К такому договору (соглашению) в том числе относится договор (соглашение) о приобретении информации;
41) изделие с нагреваемым табаком – вид табачного изделия, состоящего из табачного сырья с добавлением или без добавления ингредиентов табачного изделия, предназначенного для использования в системе для нагрева табака;
42) маркетинговые услуги – услуги, связанные с исследованием, анализом, планированием и прогнозированием в сфере производства и обращения товаров, работ, услуг в целях определения мер по созданию лучших экономических условий производства и обращения товаров, работ, услуг, включая характеристику товаров, работ, услуг, выработку ценовой стратегии и стратегии рекламы;
43) получатель от имени государства – юридическое лицо, определенное Правительством Республики Казахстан, действующее от имени государства в качестве получателя полезных ископаемых, передаваемых в натуральной форме недропользователем в счет исполнения налогового обязательства, предусмотренного налоговым законодательством Республики Казахстан и (или) соглашениями (контрактами) о разделе продукции, контрактом на недропользование, утвержденным Президентом Республики Казахстан, предусмотренными статьей 722 настоящего Кодекса;
44) орган государственных доходов – государственный орган, в пределах своей компетенции осуществляющий обеспечение поступлений налогов и платежей в бюджет, таможенное регулирование в Республике Казахстан, полномочия по предупреждению, выявлению, пресечению и раскрытию административных правонарушений, отнесенных законодательством Республики Казахстан к ведению этого органа, а также выполняющий иные полномочия, предусмотренные законодательством Республики Казахстан;
45) минеральное сырье – извлеченная на поверхность часть недр (горная порода, рудное сырье и другие), содержащая полезное ископаемое (полезные ископаемые), без учета разубоживания;
46) первичная переработка (обогащение) минерального сырья – вид горнопромышленной деятельности, который включает сбор на месте, дробление или измельчение, классификацию (сортировку), брикетирование, агломерацию и обогащение физико-химическими методами (без качественного изменения минеральных форм полезных ископаемых, их агрегатно-фазового состояния, кристаллохимической структуры), а также может включать перерабатывающие технологии, являющиеся специальными видами работ по добыче полезных ископаемых (подземная газификация и выплавление, химическое и бактериальное выщелачивание, дражная и гидравлическая разработка россыпных месторождений);
47) нефтяные операции – работы по разведке, добыче углеводородов, строительству и (или) эксплуатации необходимых технологических и производственных объектов;
48) оператор – юридическое лицо, создаваемое или определяемое в соответствии с законами Республики Казахстан, недропользователями, осуществляющими операции по недропользованию в составе простого товарищества (консорциума) в рамках соглашения (контракта) о разделе продукции;
49) добыча – весь комплекс работ (операций), непосредственно связанных с извлечением минерального сырья или твердых полезных ископаемых из недр на поверхность и (или) отделением полезных ископаемых из мест их залегания, в том числе из техногенных минеральных образований, а также связанных с забором подземных вод;
49-1) исключен Законом РК от 21.12.2022 № 165-VII (вводится в действие с 01.01.2024).
50) реализация – отгрузка и (или) передача товаров либо иного имущества, выполнение работ, оказание услуг с целью продажи, обмена, безвозмездной передачи, передача имущества по договору лизинга, а также передача заложенных товаров залогодержателю при неисполнении должником обеспеченного залогом обязательства;
51) полезные ископаемые – содержащиеся в недрах природные минеральные образования, углеводороды и подземные воды, а также содержащие полезные компоненты природные минеральные образования и органические вещества, химический состав и физические свойства которых позволяют использовать их в сфере материального производства и (или) потребления и (или) иных нужд непосредственно или после переработки;
52) роялти – платеж за:
право пользования недрами в процессе добычи полезных ископаемых и переработки техногенных образований;
использование или право на использование авторских прав, программного обеспечения, чертежей или моделей, за исключением полной или частичной реализации имущественных (исключительных) прав на объект интеллектуальной собственности; использование или право на использование патентов, товарных знаков или других подобных видов прав;
использование или право использования промышленного оборудования, в том числе морских судов, арендуемых по договорам бербоут-чартера или димайз-чартера, и воздушных судов, арендуемых по договорам димайз-чартера, а также торгового или научно-исследовательского оборудования; использование «ноу-хау»; использование или право использования кинофильмов, видеофильмов, звукозаписи или иных средств записи;
53) налоговый агент – индивидуальный предприниматель, лицо, занимающееся частной практикой, юридическое лицо, в том числе его структурные подразделения, а также юридическое лицо-нерезидент, на которых в соответствии с настоящим Кодексом возложена обязанность по исчислению, удержанию и перечислению налогов, удерживаемых у источника выплаты, и (или) единого платежа, а также оператор интернет-платформы, определенный Социальным кодексом Республики Казахстан (далее – оператор интернет-платформы);
При этом налоговыми агентами признаются операторы интернет-платформ, у которых оплата за оказанные услуги, выполненные работы производится через интернет-платформу;
54) налоговый режим – совокупность норм налогового законодательства Республики Казахстан, применяемых налогоплательщиком при исчислении всех налоговых обязательств по уплате налогов и платежей в бюджет, установленных настоящим Кодексом;
55) налоги – законодательно установленные государством в одностороннем порядке обязательные денежные платежи в бюджет, за исключением случаев, предусмотренных настоящим Кодексом, производимые в определенных размерах, носящие безвозвратный и безвозмездный характер;
56) заключение аудита по налогам – заключение, составленное по результатам аудита по налогам в соответствии с законодательством Республики Казахстан;
57) налогоплательщик – лицо и (или) структурное подразделение юридического лица, являющиеся плательщиком налогов и платежей в бюджет;
57-1) паспорт налогоплательщика – информационная карта субъекта предпринимательства, не являющаяся налоговой тайной и содержащаяся в штрих-коде, формируемом налоговым органом;
58) лицевой счет налогоплательщика (налогового агента) – документ, в том числе в электронной форме, для учета исчисленных, начисленных (уменьшенных), перечисленных и уплаченных (с учетом зачтенных и возвращенных) сумм налогов и платежей в бюджет, социальных платежей, а также сумм пени и штрафов;
59) электронный документ налогоплательщика – электронный документ, переданный в установленном электронном формате, удостоверенный электронной цифровой подписью налогоплательщика, после его приема и подтверждения аутентичности;
60) электронная цифровая подпись налогоплательщика – набор электронных цифровых символов, созданная средствами электронной цифровой подписи и подтверждающая достоверность электронного документа, его принадлежность налогоплательщику и неизменность содержания, полученная в соответствии с законодательством Республики Казахстан об электронном документе и электронной цифровой подписи;
61) налоговая задолженность – сумма недоимки, а также неуплаченные суммы пени и штрафов. В налоговую задолженность не включаются сумма пени, отраженная в уведомлении о результатах проверки, уведомлении о результатах горизонтального мониторинга, а также сумма штрафов, отраженная в постановлении о наложении административного взыскания, в период обжалования в порядке, определенном законодательством Республики Казахстан в обжалуемой части;
61-1) налоговое мобильное приложение – программный продукт, установленный и запущенный на абонентском устройстве сотовой связи и предоставляющий доступ к электронным услугам для налогоплательщиков;
62) вознаграждение – все выплаты:
связанные с кредитом (займом, микрокредитом), за исключением полученной (выданной) суммы кредита (займа, микрокредита), комиссий за перевод денег банками второго уровня и иных выплат лицу, не являющемуся для заемщика заимодателем, взаимосвязанной стороной;
связанные с кредитом (займом, микрокредитом), право требования по которому уступлено юридическому лицу, указанному в законах Республики Казахстан «О банках и банковской деятельности в Республике Казахстан» и «О микрофинансовой деятельности», за исключением полученной (выданной) суммы кредита (займа, микрокредита), комиссий за перевод денег и иных выплат лицу, не являющемуся для заемщика заимодателем, взаимосвязанной стороной;
связанные с передачей имущества по договору финансового лизинга, в том числе связанные с таким договором выплаты взаимосвязанной стороне, за исключением:
стоимости, по которой такое имущество получено (передано);
выплат в связи с изменением размера лизинговых платежей при применении коэффициента (индекса) в соответствии с условиями договора финансового лизинга;
выплат лицу, которое не является для лизингополучателя лизингодателем, взаимосвязанной стороной;
по вкладам (депозитам), за исключением суммы вклада (депозита), а также выплат лицу, не являющемуся для стороны, принявшей вклад (депозит), вкладчиком (депозитором), взаимосвязанной стороной;
связанные с договором накопительного страхования, за исключением размера страховой суммы, выплат лицу, не являющемуся для страхователя страховщиком, взаимосвязанной стороной;
по долговым ценным бумагам в виде дисконта либо купона (с учетом дисконта либо премии от стоимости первичного размещения и (или) стоимости приобретения), выплаты лицу, являющемуся для лица, выплачивающего вознаграждение, держателем его долговых ценных бумаг, взаимосвязанной стороной;
по векселю, за исключением суммы, указанной в векселе, выплат лицу, не являющемуся для векселедателя держателем его векселей, взаимосвязанной стороной;
по операциям репо – в виде разницы между ценой закрытия и ценой открытия репо;
по исламским арендным сертификатам.
В целях настоящего подпункта вознаграждением также признаются:
вознаграждения, выплачиваемые по договорам банковского счета;
выплачиваемая по сделке исламским банком наценка на товар продавцу такого товара при его приобретении в целях использования денег исламским банком для осуществления деятельности исламского банка в соответствии с законодательством Республики Казахстан о банках и банковской деятельности;
63) сопроводительная накладная на товары – документ, оформляемый в электронной форме в случаях, порядке, по форме и в сроки, которые установлены настоящим Кодексом;
64) импорт товаров – ввоз товаров на таможенную территорию Евразийского экономического союза, осуществляемый в соответствии с таможенным законодательством Евразийского экономического союза и (или) таможенным законодательством Республики Казахстан, а также ввоз товаров на территорию Республики Казахстан с территории другого государства-члена Евразийского экономического союза;
65) электронная торговля товарами – предпринимательская деятельность по реализации товаров физическим лицам, осуществляемая посредством информационных технологий через интернет-магазин и (или) интернет-площадку при одновременном соблюдении следующих условий:
оформление сделок по реализации товаров осуществляется в электронной форме;
оплата за товары производится безналичным платежом;
наличие собственной службы доставки товаров покупателю (получателю), либо наличие договоров с лицами, осуществляющими услуги по перевозке грузов, курьерскую и (или) почтовую деятельность;
66) услуги туроператора – услуги индивидуального предпринимателя и юридического лица, имеющих лицензию на туристскую операторскую деятельность (туроператорскую деятельность) в соответствии с законодательством Республики Казахстан о туристской деятельности, по реализации сформированного ими туристского продукта турагентам и туристам;
67) лицо – физическое лицо и юридическое лицо; физическое лицо – гражданин Республики Казахстан, иностранец или лицо без гражданства; юридическое лицо – организация, созданная в соответствии с законодательством Республики Казахстан или иностранного государства (юридическое лицо-нерезидент). Для целей настоящего Кодекса под юридическим лицом-нерезидентом понимается компания, партнерство, организация или другое корпоративное образование, созданные в соответствии с законодательством иностранного государства, которые рассматриваются в качестве самостоятельных юридических лиц независимо от того, обладают ли они статусом юридического лица иностранного государства, где они созданы;
67-1) регистрирующие органы – государственные органы и Государственная корпорация «Правительство для граждан», осуществляющие регистрацию сведений и выдачу документов с идентификационным номером;
68) уполномоченное юридическое лицо – юридическое лицо, определенное уполномоченным органом, в сфере реализации ограниченного в распоряжении и (или) заложенного в соответствии с настоящим Кодексом имущества налогоплательщика (налогового агента) и (или) третьего лица;
69) уполномоченные государственные органы – государственные органы Республики Казахстан, за исключением налоговых органов и местных исполнительных органов, уполномоченные Правительством Республики Казахстан осуществлять исчисление и (или) сбор с платежей в бюджет, а также взаимодействующие в соответствии с настоящим Кодексом с налоговыми органами в пределах их компетенции, установленной законодательством Республики Казахстан;
70) уполномоченный орган – государственный орган, осуществляющий руководство в сфере обеспечения поступлений налогов и платежей в бюджет;
71) уполномоченное лицо – лицо, на которое возложена обязанность по представлению в уполномоченный орган имеющихся у него сведений по физическим лицам в соответствии со статьей 26 настоящего Кодекса в пределах его компетенции, установленной законодательством Республики Казахстан;
72) выигрыши – любые виды доходов в натуральном и денежном выражении, получаемые налогоплательщиками на конкурсах, соревнованиях (олимпиадах), фестивалях, по лотереям, розыгрышам, включая розыгрыши по вкладам и долговым ценным бумагам, а также доходы в виде имущественной выгоды, полученной в азартной игре и (или) пари;
72-1) трехкомпонентная интегрированная система – интегрированная система, состоящая из контрольно-кассовой машины с функцией фиксации и передачи данных, системы (устройства) для приема безналичных платежей, а также оборудования (устройства), оснащенного системой автоматизации управления торговли, оказания услуг, выполнения работ и учета товаров, или программно-аппаратного комплекса, заменяющего все три компонента интегрированной системы.
Требования к трехкомпонентной интегрированной системе и ее учету, порядок ее установки и применения устанавливаются уполномоченным органом по согласованию с центральным государственным органом в области государственного планирования, уполномоченным государственным органом, осуществляющим реализацию государственной политики в области связи, и Национальным Банком Республики Казахстан;
73) электронный налогоплательщик – налогоплательщик, взаимодействующий с налоговыми органами электронным способом в соответствии с законодательством Республики Казахстан об электронном документе и электронной цифровой подписи;
74) электронные сигареты – изделия без табака, которые с помощью электронных технологий нагревают никотиносодержащую жидкость (в картриджах, резервуарах и других контейнерах для использования в электронных сигаретах) и образуют аэрозоль, предназначенный для вдыхания;
74-1) никотиносодержащая жидкость для использования в электронных системах потребления – жидкость, содержащая никотин, или жидкость без содержания никотина, предназначенная для использования в электронных системах потребления (в картриджах, резервуарах и других контейнерах), при нагревании которой образуется аэрозоль (пар), предназначенный для вдыхания;
75) информационная система электронных счетов-фактур – информационная система уполномоченного органа, посредством которой осуществляются прием, обработка, регистрация, передача и хранение счетов-фактур, выписанных в электронной форме.
2. В целях настоящего Кодекса взаимосвязанными сторонами признаются физические и (или) юридические лица, имеющие взаимоотношения, которые соответствуют одному либо нескольким из следующих условий:
1) одно лицо признается аффилированным лицом другого лица в соответствии с законами Республики Казахстан;
2) одно лицо является крупным участником другого лица;
3) лица связаны договором, в соответствии с которым одно из них вправе определять решения, принимаемые другим;
4) юридическое лицо находится под контролем крупного участника или должностного лица другого юридического лица;
5) крупный акционер, крупный участник или должностное лицо одного юридического лица являются крупным акционером, крупным участником либо должностным лицом другого юридического лица;
6) юридическое лицо совместно с другим юридическим лицом находится под контролем третьего лица;
7) лицо совместно со своими аффилированными лицами владеет, пользуется, распоряжается 10 и более процентами долей участия юридического лица либо юридических лиц, указанных в подпунктах 2) – 6) настоящего пункта;
8) физическое лицо является должностным лицом юридического лица, указанного в подпунктах 2) – 7) настоящего пункта, за исключением независимого директора акционерного общества;
9) физическое лицо является близким родственником либо свойственником (брат, сестра, родитель, сын или дочь супруга (супруги) крупного участника либо должностного лица юридического лица.
Под крупным участником в целях настоящего пункта понимается участник, доля которого в имуществе юридического лица, за исключением акционерных обществ, составляет 10 и более процентов.
Под контролем над юридическим лицом понимается возможность определять решения, принимаемые юридическим лицом.
2-1. В целях настоящего Кодекса положения, предусмотренные для банков второго уровня, страховых (перестраховочных) организаций, страховых брокеров, распространяются на филиалы банков-нерезидентов Республики Казахстан, филиалы страховых (перестраховочных) организаций-нерезидентов Республики Казахстан, филиалы страховых брокеров-нерезидентов Республики Казахстан, открытые на территории Республики Казахстан и осуществляющие деятельность на основании лицензии уполномоченного органа по регулированию, контролю и надзору финансового рынка и финансовых организаций.
3. Другие специальные понятия и термины налогового законодательства Республики Казахстан используются в значениях, определяемых в соответствующих статьях настоящего Кодекса.
4. Понятия гражданского и других отраслей законодательства Республики Казахстан, используемые в настоящем Кодексе, применяются в том значении, в каком они используются в этих отраслях законодательства Республики Казахстан, если иное не предусмотрено настоящим Кодексом.
Сноска. Статья 1 с изменениями, внесенными законами РК от 26.12.2018 № 203-VI (вводится в действие с 01.01.2019); от 28.12.2018 № 210-VI (вводится в действие с 01.01.2019); от 28.12.2018 № 211-VI (вводится в действие по истечении десяти календарных дней после дня его первого официального опубликования); от 02.04.2019 № 241-VI (порядок введения в действие см. ст. 2); от 03.07.2019 № 262-VI (вводится в действие с 01.01.2020); от 10.12.2020 № 382-VI (порядок введения в действие см. ст. 2); от 20.12.2021 № 85-VII (порядок введения в действие см. ст. 2); от 21.12.2022 № 165-VII (порядок введения в действие см. ст. 4); Сноска. Преамбула — в редакции Закона РК от 12.12.2023 № 45-VIII (вводится в действие с 01.07.2023); от 01.07.2024 № 105-VIII (вводится в действие по истечении шестидесяти календарных дней со дня его первого официального опубликования); от 15.07.2025 № 208-VIII (порядок введения в действие см. ст. 2.).
Статья 2. Налоговое законодательство Республики Казахстан
1. Налоговое законодательство Республики Казахстан основывается на Конституции Республики Казахстан, состоит из настоящего Кодекса, а также нормативных правовых актов, принятие которых предусмотрено настоящим Кодексом.
2. Ни на кого не может быть возложена обязанность по уплате налогов и платежей в бюджет, не предусмотренных настоящим Кодексом.
3. При наличии противоречия между настоящим Кодексом и другими законами Республики Казахстан в целях налогообложения действуют нормы настоящего Кодекса.
4. Запрещается включение в неналоговое законодательство Республики Казахстан норм, регулирующих налоговые отношения, кроме случаев, предусмотренных настоящим Кодексом.
5. Если международным договором, ратифицированным Республикой Казахстан, установлены иные правила, чем те, которые содержатся в настоящем Кодексе, применяются правила указанного договора.
Статья 3. Действие налогового законодательства Республики Казахстан
1. Налоговое законодательство Республики Казахстан действует на всей территории Республики Казахстан и распространяется на всех физических лиц, юридические лица и их структурные подразделения, которые определены настоящим Кодексом в качестве плательщиков налогов и платежей в бюджет, а также в качестве участников соответствующих налоговых и иных процедур по взиманию и администрированию налогов и платежей в бюджет.
2. Законы Республики Казахстан, вносящие изменения и дополнения в настоящий Кодекс в части установления нового налога и (или) платежа в бюджет, повышения ставки, изменения объекта налогообложения и (или) налоговой базы, увеличения категорий налогоплательщиков (налоговых агентов), отмены или уменьшения вычета или льготы по уплате налогов и платежей в бюджет, могут быть приняты не позднее 1 июля текущего года и введены в действие не ранее 1 января года, следующего за годом их принятия.
Примечание ИЗПИ!
Положения пункта 3 статьи 3 настоящего Кодекса с 01.01.2025 до 01.01.2026 не распространяются на налогоплательщиков при применении ими пункта 1 статьи 302, статей 223 и 313 настоящего Кодекса в соответствии со ст.782.
3. Законы, вносящие изменения и дополнения в настоящий Кодекс по налоговому администрированию, особенностям установления налоговой отчетности, улучшению положения налогоплательщика (налогового агента), могут быть приняты не позднее 31 декабря текущего года.
4. Внесение изменений и (или) дополнений в настоящий Кодекс осуществляется законом, не предусматривающим внесение изменений и дополнений в другие законодательные акты Республики Казахстан, за исключением Закона Республики Казахстан о введении в действие настоящего Кодекса.
При этом при внесении изменений и (или) дополнений в настоящий Кодекс в порядке законодательной инициативы Правительства Республики Казахстан проект такого закона разрабатывается уполномоченным органом в области налоговой политики.
Примечание ИЗПИ!
Положения пункта 5 статьи 3 настоящего Кодекса с 01.01.2025 до 01.01.2026 не распространяются на налогоплательщиков при применении ими пункта 1 статьи 302, статей 223 и 313 настоящего Кодекса в соответствии со ст.782.
5. Положения законов Республики Казахстан, устанавливающие новые виды налогов и (или) платежей в бюджет, повышающие ставки, устанавливающие новые обязанности, а также ухудшающие положение налогоплательщика (налогового агента), обратной силы не имеют.
Сноска. Статья 3 с изменениями, внесенными законами РК от 28.12.2018 № 210-VI (вводится в действие с 01.01.2019); от 27.12.2019 № 291-VІ (вводится в действие с 01.01.2020); от 10.12.2020 № 382-VI (порядок введения в действие см. ст. 2); от 26.12.2025 № 244-VIII (вводится в действие с 01.12.2025).
Статья 4. Принципы налогообложения
1. Налоговое законодательство Республики Казахстан основывается на принципах налогообложения, установленных настоящим Кодексом.
К принципам налогообложения относятся принципы обязательности, определенности налогообложения, справедливости налогообложения, добросовестности налогоплательщика, единства налоговой системы и гласности налогового законодательства Республики Казахстан.
Положения налогового законодательства Республики Казахстан не должны противоречить принципам налогообложения.
2. При выявлении противоречий положений налогового законодательства Республики Казахстан принципам налогообложения такие положения не подлежат применению, если противоречия выявлены при рассмотрении жалоб на уведомления о результатах проверки, последние подлежат пересмотру.
Статья 5. Принцип обязательности налогообложения
Налогоплательщик обязан исполнять налоговое обязательство, налоговый агент – исчислять, удерживать и перечислять налоги в соответствии с налоговым законодательством Республики Казахстан в полном объеме и в установленные сроки.
Статья 6. Принцип определенности налогообложения
Налоги и платежи в бюджет Республики Казахстан должны быть определенными. Определенность налогообложения означает установление в налоговом законодательстве Республики Казахстан всех оснований и порядка возникновения, исполнения и прекращения налогового обязательства налогоплательщика, обязанности налогового агента по исчислению, удержанию и перечислению налогов.
Статья 7. Принцип справедливости налогообложения
1. Налогообложение в Республике Казахстан является всеобщим и обязательным.
2. Запрещается предоставление налоговых льгот индивидуального характера.
3. Никто не может быть подвергнут повторному обложению одним и тем же видом налога, одним и тем же видом платежа в бюджет по одному и тому же объекту обложения за один и тот же период.
Статья 8. Принцип добросовестности налогоплательщиков
1. Добросовестность осуществления налогоплательщиком (налоговым агентом) действий (бездействия) по исполнению им налогового обязательства предполагается.
2. Не допускается извлечение налогоплательщиком (налоговым агентом) выгоды из своих незаконных действий в целях получения налоговых выгод (налоговой экономии) и уменьшения налоговых платежей.
3. Если налоговое обязательство, исполненное налогоплательщиком (налоговым агентом) в соответствии с предварительно полученным индивидуальным письменным разъяснением налогового органа, которое впоследствии отозвано, признано ошибочным или направлено новое, иное по смыслу разъяснение, то налоговое обязательство подлежит корректировке (исправлению) при рассмотрении жалобы на уведомление о результатах проверки без начисления налогоплательщику штрафов и пени.
4. Нарушение налогового законодательства Республики Казахстан, допущенное налогоплательщиком (налоговым агентом), должно быть описано в ходе проведения налоговых проверок. Обоснование доводов и раскрытие обстоятельств, свидетельствующих о факте нарушения налогового законодательства Республики Казахстан, возлагаются на налоговые органы.
5. При рассмотрении жалобы на уведомление о результатах проверки все неопределенности и неурегулированные вопросы налогового законодательства Республики Казахстан толкуются в пользу налогоплательщика (налогового агента).
Статья 9. Принцип единства налоговой системы
Налоговая система Республики Казахстан является единой на всей территории Республики Казахстан в отношении всех налогоплательщиков (налоговых агентов).
Статья 10. Принцип гласности налогового законодательства Республики Казахстан
Нормативные правовые акты, регулирующие вопросы налогообложения, подлежат обязательному официальному опубликованию.
Статья 11. Налоговая политика
Налоговой политикой является совокупность мер по установлению новых и отмене действующих налогов и платежей в бюджет, изменению ставок, объектов налогообложения и объектов, связанных с налогообложением, налоговой базы по налогам и платежам в бюджет в целях обеспечения финансовых потребностей государства на основе соблюдения баланса экономических интересов государства и налогоплательщиков.
Уполномоченный орган в области налоговой политики осуществляет анализ эффективности применения налоговых льгот в соответствии с порядком, определенным Правительством Республики Казахстан.
Статья 12. Консультационный совет по вопросам налогообложения
1. В целях устранения неясностей, неточностей и противоречий, которые могут возникнуть в ходе исполнения налоговых обязательств, а также пресечения возможных схем уклонения от уплаты налогов и платежей в бюджет Правительство Республики Казахстан вправе создать Консультационный совет по вопросам налогообложения.
2. Положение о Консультационном совете и его составе утверждаются Правительством Республики Казахстан.
Глава 2. ПРАВА И ОБЯЗАННОСТИ НАЛОГОПЛАТЕЛЬЩИКА И НАЛОГОВОГО АГЕНТА. ПРЕДСТАВИТЕЛЬСТВО В НАЛОГОВЫХ ОТНОШЕНИЯХ
Статья 13. Права и обязанности налогоплательщика
1. Налогоплательщик вправе:
1) получать от налоговых органов информацию о действующих налогах и платежах в бюджет, изменениях в налоговом законодательстве Республики Казахстан, разъяснения по применению налогового законодательства Республики Казахстан;
2) представлять свои интересы в отношениях, регулируемых налоговым законодательством Республики Казахстан, лично или через законного или уполномоченного представителя в соответствии со статьей 16 настоящего Кодекса, или с участием налогового консультанта;
3) заключать договор на проведение аудита по налогам в соответствии с законодательством Республики Казахстан;
4) получать результаты налогового контроля в случаях, установленных настоящим Кодексом;
5) получать бесплатно в налоговом органе бланки установленных форм налоговых заявлений и (или) программное обеспечение, необходимое для представления налоговой отчетности и заявления в электронной форме;
6) обжаловать уведомление о результатах проверки, уведомление о результатах горизонтального мониторинга, уведомление об итогах рассмотрения жалобы налогоплательщика (налогового агента) на уведомление о результатах проверки, а также действия (бездействие) должностных лиц налоговых органов;
7) не представлять информацию и документы, не относящиеся к объектам налогообложения и (или) объектам, связанным с налогообложением, за исключением информации и документов, представление которых предусмотрено налоговым законодательством Республики Казахстан, законодательством Республики Казахстан о трансфертном ценообразовании, а также законодательством Республики Казахстан, регулирующим производство и оборот отдельных видов подакцизных товаров, авиационного топлива, биотоплива и мазута;
8) получать информацию о благонадежности и добросовестности контрагента из информационной системы, указанной в пункте 15 статьи 22 настоящего Кодекса.
2. Налогоплательщик вправе представить в налоговый орган сведения о своих номерах телефонов и адресах электронной почты для целей информирования о наличии налоговых обязательств.
3. Налогоплательщик обязан:
1) своевременно и в полном объеме исполнять налоговые обязательства;
2) представлять по требованию налоговых органов договор на проведение аудита по налогам и заключение аудита по налогам в случае заключения такого договора;
3) представлять информацию и документы, предусмотренные налоговым законодательством Республики Казахстан, законодательством Республики Казахстан о трансфертном ценообразовании, а также законодательством Республики Казахстан, регулирующим производство и оборот отдельных видов подакцизных товаров, авиационного топлива, биотоплива и мазута;
4) соблюдать требования, предъявляемые при применении контрольно-кассовых машин;
5) хранить в течение пяти лет с даты печати или полного заполнения сменные отчеты, книги учета наличных денег и товарных чеков, а также чеки аннулирования, возврата и чеки контрольно-кассовых машин, по которым проведены операции аннулирования и возврата.
Положение настоящего подпункта не распространяется на налогоплательщика, применяющего контрольно-кассовые машины с функцией фиксации и (или) передачи данных.
4. Налогоплательщик имеет иные права и выполняет иные обязанности, установленные налоговым законодательством Республики Казахстан.
Сноска. Статья 13 с изменениями, внесенными законами РК от 10.12.2020 № 382-VI (порядок введения в действие см. ст. 2); от 24.06. 2021 № 53-VII (вводится в действие с 01.07.2021); от 12.12.2023 № 45-VIII (вводится в действие с 01.01.2024).
Статья 14. Права и обязанности налогового агента
Налоговый агент имеет такие же права и выполняет такие же обязанности, что и налогоплательщик, за исключением случаев, предусмотренных настоящим Кодексом.
Налоговый агент в лице оператора интернет-платформы производит удержание и перечисление индивидуального подоходного налога и социальных платежей, указанных в пункте 1 статьи 102-1 Социального кодекса Республики Казахстан, за индивидуальных предпринимателей, применяющих специальный налоговый режим с использованием специального мобильного приложения, которые являются исполнителями в соответствии с Социальным кодексом Республики Казахстан.
Операторы интернет-платформ, у которых оплата за оказанные услуги, выполненные работы не производится через интернет-платформу, обязаны представлять в налоговые органы сведения о лицах, зарегистрированных на интернет-платформе, оказывающих заказчикам услуги или выполняющих заказчикам работы с использованием интернет-платформы в порядке и сроки, которые определены уполномоченным органом.
Сноска. Статья 14 с изменениями, внесенными Законами РК от 01.07.2024 № 105-VIII (вводится в действие по истечении шестидесяти календарных дней со дня его первого официального опубликования); от 15.07.2025 № 208-VIII (вводится в действие по истечении шестидесяти календарных дней после дня его первого официального опубликования)..
Статья 15. Обеспечение и защита прав налогоплательщика (налогового агента)
1. Налогоплательщику (налоговому агенту) гарантируется защита его прав и законных интересов.
2. Защита прав и законных интересов налогоплательщика (налогового агента) осуществляется в порядке, определенном настоящим Кодексом и иными законами Республики Казахстан.
3. Налоговым органам, их должностным лицам и работникам запрещается требовать от налогоплательщиков выполнения обязанностей, не предусмотренных налоговым законодательством Республики Казахстан.
Статья 16. Представительство в налоговых отношениях, регулируемых настоящим Кодексом
1. Налогоплательщик (налоговый агент) вправе участвовать в отношениях, регулируемых налоговым законодательством Республики Казахстан, через законного или уполномоченного представителя, если иное не предусмотрено настоящим пунктом.
Положение настоящего пункта не применяется в случае представления:
1) налоговой отчетности по налогу на добавленную стоимость налогоплательщиком, снятым с регистрационного учета по налогу на добавленную стоимость по решению налогового органа в соответствии с пунктом 4 статьи 85 настоящего Кодекса;
2) налогового заявления о постановке на регистрационный учет по налогу на добавленную стоимость.
2. Законным представителем налогоплательщика (налогового агента) признается лицо, уполномоченное представлять налогоплательщика (налогового агента) в соответствии с законами Республики Казахстан.
3. Уполномоченным представителем налогоплательщика (налогового агента) признается физическое или юридическое лицо, уполномоченное налогоплательщиком (налоговым агентом) представлять его интересы в отношениях с налоговыми органами, иными участниками отношений, регулируемых налоговым законодательством Республики Казахстан.
Уполномоченный представитель налогоплательщика (налогового агента) — физического лица, в том числе индивидуального предпринимателя, действует на основе нотариально удостоверенной или приравненной к ней доверенности, выданной в соответствии с гражданским законодательством Республики Казахстан, в которой указываются соответствующие полномочия представителя.
Электронный налогоплательщик вправе определить уполномоченного представителя путем оформления электронного документа налогоплательщика посредством веб-приложения налоговых органов, в котором указываются соответствующие полномочия представителя.
Уполномоченный представитель налогоплательщика (налогового агента) — юридического лица либо его структурного подразделения действует на основе учредительных документов и (или) доверенности, выданной в соответствии с гражданским законодательством Республики Казахстан, в которой указываются соответствующие полномочия представителя.
4. Личное участие налогоплательщика (налогового агента) в отношениях, регулируемых налоговым законодательством Республики Казахстан, не лишает его права иметь представителя, равно как участие представителя не лишает налогоплательщика (налогового агента) права на личное участие в указанных отношениях.
5. Действия (бездействие) уполномоченного представителя налогоплательщика (налогового агента), совершенные от имени налогоплательщика (налогового агента), признаются действиями (бездействием) налогоплательщика (налогового агента).
6. Действия (бездействие) законного представителя физического лица, совершенные от имени этого физического лица, признаются действиями (бездействием) законного представителя физического лица.
Сноска. Статья 16 с изменением, внесенным Законом РК от 21.12.2022 № 165-VII (вводится в действие с 01.01.2024).
Статья 17. Участие в налоговых отношениях через оператора при осуществлении операций по недропользованию на основании соглашения (контракта) о разделе продукции
1. Недропользователи, осуществляющие операции по недропользованию в составе простого товарищества (консорциума) в рамках соглашения (контракта) о разделе продукции, вправе участвовать в отношениях, регулируемых налоговым законодательством Республики Казахстан, через оператора.
2. Полномочия оператора в отношениях, регулируемых налоговым законодательством Республики Казахстан, определяются в соответствии с соглашением (контрактом) о разделе продукции в части, не противоречащей настоящему Кодексу.
3. При исполнении налоговых обязательств в соответствии с подпунктом 2) пункта 3 статьи 722 настоящего Кодекса оператор обладает всеми правами и обязанностями, предусмотренными настоящим Кодексом для налогоплательщиков (налоговых агентов), а также к нему применяется порядок налогового администрирования, предусмотренный настоящим Кодексом для налогоплательщиков (налоговых агентов).
4. Действия (бездействие) оператора, совершенные от имени и (или) по поручению недропользователей, в связи с участием этих недропользователей в отношениях, регулируемых налоговым законодательством Республики Казахстан, признаются действиями (бездействием) таких недропользователей и оператора, выступающего от их имени и (или) по их поручению.
Глава 3. Налоговые органы. Взаимодействие налоговых органов С УПОЛНОМОЧЕННЫМИ ГОСУДАРСТВЕННЫМИ ОРГАНАМИ И ИНЫМИ ЛИЦАМИ
Статья 18. Налоговые органы, их задачи и система
1. Налоговые органы являются органами государственных доходов и выполняют следующие задачи:
1) обеспечение соблюдения налогового законодательства Республики Казахстан;
2) обеспечение полноты и своевременности поступления налогов и платежей в бюджет;
3) обеспечение полноты и своевременности исчисления, удержания и перечисления социальных платежей в соответствии с законодательством Республики Казахстан и настоящим Кодексом;
4) участие в реализации налоговой политики Республики Казахстан;
5) обеспечение в пределах своей компетенции экономической безопасности Республики Казахстан;
6) формирование, обеспечение развития информационно-коммуникационной инфраструктуры и доступности электронных услуг для налогоплательщиков;
7) выполнение иных задач, предусмотренных законодательством Республики Казахстан.
2. Система налоговых органов состоит из уполномоченного органа и его территориальных подразделений по областям, городам республиканского значения и столице, по районам, городам и районам в городах, а также межрайонных территориальных подразделений. В случае создания специальных экономических зон могут быть образованы территориальные подразделения уполномоченного органа на территориях этих зон.
Налоговые органы имеют коды, утвержденные уполномоченным органом.
3. Уполномоченный орган осуществляет руководство налоговыми органами.
4. Налоговые органы имеют символ, описание и порядок использования которого утверждаются уполномоченным органом.
Сноска. Статья 18 с изменением, внесенным Законом РК от 28.12.2018 № 210-VI (вводится в действие с 01.01.2019).
Статья 19. Права и обязанности налоговых органов
1. Налоговые органы вправе:
1) в пределах своей компетенции разрабатывать и утверждать нормативные правовые акты, предусмотренные настоящим Кодексом;
2) осуществлять международное сотрудничество по вопросам налогообложения, в том числе обмениваться информацией с уполномоченными органами иностранных государств;
3) требовать в ходе налогового контроля от налогоплательщика (налогового агента) предоставления права доступа к просмотру данных программного обеспечения, предназначенного для автоматизации бухгалтерского и налогового учетов, и (или) информационной системы, содержащих данные первичных учетных документов, регистров бухгалтерского учета, информацию об объектах налогообложения и (или) объектах, связанных с налогообложением, в случае использования налогоплательщиком (налоговым агентом) такого программного обеспечения и (или) информационной системы, за исключением права доступа к просмотру данных программного обеспечения и (или) информационной системы банков второго уровня и организаций, осуществляющих отдельные виды банковских операций, содержащих сведения, составляющие банковскую тайну в соответствии с законами Республики Казахстан.
Исключение, установленное частью первой настоящего подпункта, не распространяется на требования налоговых органов, предъявляемых в ходе осуществления горизонтального мониторинга и проведения налоговой проверки в отношении доходов и расходов;
4) требовать от налогоплательщика (налогового агента):
представления документов, подтверждающих правильность исчисления и своевременность уплаты (удержания и перечисления) налогов и платежей в бюджет, полноту и своевременность исчисления, удержания и перечисления социальных платежей;
письменных пояснений по составленным налогоплательщиком (налоговым агентом) налоговым формам, а также финансовой отчетности налогоплательщика (налогового агента), в том числе консолидированной финансовой отчетности налогоплательщика-резидента (налогового агента), включая финансовую отчетность его дочерних организаций, расположенных за пределами Республики Казахстан, с приложением аудиторского отчета в случае, если для такого лица законами Республики Казахстан установлено обязательное проведение аудита;
5) получать от банков второго уровня и организаций, осуществляющих отдельные виды банковских операций, кастодианов, центрального депозитария, брокеров и (или) дилеров, обладающих правом ведения счетов клиентов в качестве номинальных держателей ценных бумаг, управляющих инвестиционным портфелем, а также страховых организаций сведения, представление которых предусмотрено подпунктами 1), 2), 3) и 6) статьи 24 и статьей 27 настоящего Кодекса;
6) получать от банков второго уровня и организаций, осуществляющих отдельные виды банковских операций, сведения о наличии и номерах банковских счетов, об остатках и движении денег на этих счетах с соблюдением установленных законами Республики Казахстан требований к разглашению сведений, составляющих коммерческую, банковскую и иную охраняемую законом тайну, в отношении лиц, указанных в подпунктах 13), 13-1) и 13-2) части первой статьи 24 настоящего Кодекса;
7) в ходе налоговой проверки в порядке, определенном Кодексом Республики Казахстан об административных правонарушениях, производить у налогоплательщика (налогового агента) изъятие документов, свидетельствующих о совершении административных правонарушений;
8) в ходе налоговой проверки физического лица, на которого в соответствии с настоящим Кодексом возложена обязанность по представлению декларации об активах и обязательствах, о доходах и имуществе, осуществлять проверку в части достоверности сведений об имуществе, отраженных в указанной декларации, подлежащем государственной или иной регистрации, а также имуществе, по которому права и (или) сделки подлежат государственной или иной регистрации;
9) привлекать к налоговым проверкам специалистов;
10) предъявлять в суды иски о признании сделок недействительными, ликвидации юридического лица по основаниям, предусмотренным подпунктами 1), 2), 3) и 4) пункта 2 статьи 49 Гражданского кодекса Республики Казахстан, а также иные иски в соответствии с компетенцией и задачами, установленными законодательством Республики Казахстан;
11) применять средство биометрической идентификации в информационных системах налоговых органов при налоговом администрировании.
2. Налоговые органы обязаны:
1) соблюдать права налогоплательщика (налогового агента);
2) защищать интересы государства;
3) предоставлять налогоплательщику (налоговому агенту) информацию о действующих налогах и платежах в бюджет, об изменениях в налоговом законодательстве Республики Казахстан, разъяснять вопросы по применению налогового законодательства Республики Казахстан;
4) в пределах своей компетенции осуществлять разъяснение и давать комментарии по возникновению, исполнению и прекращению налогового обязательства.
Для налогоплательщиков, состоящих на горизонтальном мониторинге, осуществление разъяснений и предоставление комментариев, предусмотренных частью первой настоящего подпункта, производится уполномоченным органом. При этом для таких налогоплательщиков уполномоченным органом также предоставляются предварительные разъяснения и комментарии в отношении планируемых сделок (операций);
5) обеспечивать в течение срока исковой давности сохранность сведений, подтверждающих факт уплаты налогов и платежей в бюджет;
6) предоставлять доступ к информационной системе налоговых органов уполномоченному государственному органу, осуществляющему финансовый мониторинг и принимающему иные меры по противодействию легализации (отмыванию) доходов, в соответствии с законодательством Республики Казахстан;
7) размещать на интернет-ресурсе уполномоченного органа в порядке и случаях, которые определены настоящим Кодексом, сведения о налогоплательщиках (налоговых агентах):
имеющих налоговую задолженность;
признанных бездействующими в соответствии с налоговым законодательством Республики Казахстан;
которым ограничена выписка электронных счетов-фактур в информационной системе электронных счетов-фактур в соответствии с пунктом 1 статьи 120-1 настоящего Кодекса;
регистрация которых признана недействительной на основании вступившего в законную силу судебного акта;
8) предоставлять бесплатно налогоплательщику (налоговому агенту) бланки установленных форм налоговых заявлений и (или) программное обеспечение, необходимое для представления налоговой отчетности и заявления в электронной форме;
9) рассматривать жалобу налогоплательщика (налогового агента) на действия (бездействие) должностных лиц налоговых органов;
10) ежегодно по запросу Национальной палаты предпринимателей Республики Казахстан представлять сведения о наименовании и идентификационном номере субъектов предпринимательства, совокупный годовой доход которых соответствует критериям, установленным Законом Республики Казахстан «О Национальной палате предпринимателей Республики Казахстан»;
11) применять способы обеспечения исполнения налогового обязательства и взыскивать налоговую задолженность налогоплательщика (налогового агента) в принудительном порядке;
12) осуществлять контроль за соблюдением порядка учета, хранения, оценки, дальнейшего использования и реализации имущества, обращенного в собственность государства, за полнотой и своевременностью его передачи соответствующему уполномоченному государственному органу в соответствии с законодательством Республики Казахстан, а также за полнотой и своевременностью поступления в бюджет денег в случае его реализации;
13) осуществлять контроль за деятельностью уполномоченных государственных органов и местных исполнительных органов по вопросам правильности исчисления, полноты взимания и своевременности перечисления налогов и платежей в бюджет;
14) по налоговому заявлению налогоплательщика (налогового агента) представлять в порядке и сроки, которые установлены настоящим Кодексом, справку о суммах, полученных нерезидентом доходов из источников в Республике Казахстан и удержанных (уплаченных) налогов;
15) размещать на сайте уполномоченного органа информацию об индивидуальном идентификационном номере физических лиц, представивших:
декларации об активах и обязательствах;
декларации о доходах и имуществе;
16) предоставлять доступ к информационной системе налоговых органов органам национальной безопасности Республики Казахстан в целях и порядке, предусмотренных Законом Республики Казахстан «Об органах национальной безопасности Республики Казахстан»;
17) в ходе проведения тематической налоговой проверки по вопросам соответствия наименования, количества (объема) товаров сведениям, указанным в сопроводительных накладных на товары при осуществлении международных автомобильных перевозок с территории одного государства-члена Евразийского экономического союза на территорию другого государства-члена Евразийского экономического союза через территорию Республики Казахстан, производить изъятие документов, товаров и вещей, свидетельствующих о совершении административных правонарушений, в порядке, определенном Кодексом Республики Казахстан об административных правонарушениях.
3. Налоговые органы имеют иные права и выполняют иные обязанности, установленные законодательством Республики Казахстан.
4. При выявлении фактов уклонения от уплаты налогов и платежей в бюджет в ходе налоговой проверки, а также преднамеренного банкротства, указывающих на признаки уголовного правонарушения, налоговые органы направляют соответствующим правоохранительным органам материалы, отнесенные к их подследственности, для принятия процессуального решения в соответствии с законами Республики Казахстан.
Сноска. Статья 19 с изменениями, внесенными законами РК от 02.07.2018 № 166-VI (вводится в действие с 01.01.2019); от 27.12.2019 № 290-VІ (вводится в действие по истечении десяти календарных дней после дня его первого официального опубликования); от 10.12.2020 № 382-VI (вводится в действие с 01.01.2021); от 21.12.2022 № 165-VII (порядок введения в действие см. ст. 4); от 15.07.2025 № 208-VIII (вводится в действие по истечении шестидесяти календарных дней после дня его первого официального опубликования)..
Статья 20. Материальное обеспечение, правовая и социальная защита должностных лиц налоговых органов
1. Должностное лицо налоговых органов при исполнении служебных обязанностей охраняется законом.
2. Неисполнение законных требований должностного лица налоговых органов, оскорбление, угроза, насилие или посягательство на жизнь, здоровье, имущество должностного лица налоговых органов или членов его семьи в связи с его служебной деятельностью, другие действия, препятствующие выполнению должностным лицом налоговых органов служебных обязанностей, влекут установленную законами Республики Казахстан ответственность.
3. При получении средней тяжести вреда здоровью в связи с осуществлением служебной деятельности должностному лицу налоговых органов выплачивается единовременная компенсация в размере пяти месячных заработных плат из средств бюджета.
4. При получении тяжкого вреда здоровью в связи с осуществлением служебной деятельности, исключающего дальнейшую возможность заниматься профессиональной деятельностью, должностному лицу налоговых органов выплачивается единовременная компенсация в размере пятилетнего денежного содержания из средств бюджета, а также разница между размерами его должностного оклада и пенсии (пожизненно).
5. В случае гибели должностного лица налоговых органов при исполнении им служебных обязанностей семье погибшего или его иждивенцам (наследникам):
1) выплачивается единовременное пособие в размере десятилетнего денежного содержания по последней занимаемой должности погибшего из средств бюджета;
2) назначается государственное социальное пособие по случаю потери кормильца в размерах и порядке, установленных законодательством Республики Казахстан о социальной защите.
6. Ущерб, причиненный здоровью и имуществу должностного лица налоговых органов, а также ущерб, причиненный здоровью и имуществу членов семьи и близких родственников должностного лица налоговых органов в связи с выполнением им служебных обязанностей, возмещается в соответствии с законодательством Республики Казахстан.
Сноска. Статья 20 с изменением, внесенным Законом РК от 12.12.2023 № 45-VIII (вводится в действие с 01.07.2023).
Статья 21. Полномочия местных исполнительных органов
1. Акимы городов районного значения, поселков, сел, сельских округов (далее – акимы) организуют сбор налогов на имущество, транспортные средства, земельного налога, уплачиваемых налогоплательщиком — физическим лицом.
2. Сбор налогов, указанных в пункте 1 настоящей статьи, осуществляется на основе квитанции, являющейся документом строгой отчетности. Форма квитанции устанавливается уполномоченным органом.
3. При организации сбора налогов, указанных в пункте 1 настоящей статьи, акимы обеспечивают:
1) вручение налогоплательщику — физическому лицу уведомления о сумме налога не позднее пяти рабочих дней со дня получения указанного уведомления от налоговых органов;
2) при уплате суммы налогов наличными деньгами выдачу налогоплательщику — физическому лицу квитанции, подтверждающей факт такой уплаты;
3) сдачу сумм налогов в банк второго уровня или организацию, осуществляющую отдельные виды банковских операций, ежедневно не позднее следующего операционного дня, когда был осуществлен прием денег, для последующего зачисления их в бюджет. В случае, если ежедневные поступления денег составляют сумму менее 10-кратного месячного расчетного показателя, установленного законом о республиканском бюджете и действующего на 1 января соответствующего финансового года, а также при отсутствии банка второго уровня или организации, осуществляющей отдельные виды банковских операций, в населенном пункте сдача денег осуществляется один раз в три операционных дня;
4) правильность заполнения и сохранность квитанций;
5) предоставление в налоговый орган отчетов об использовании квитанций, а также сдаче сумм налогов в банк второго уровня или организацию, осуществляющую отдельные виды банковских операций, в порядке и сроки, которые установлены уполномоченным органом.
Статья 22. Взаимодействие налоговых органов с уполномоченными государственными органами, местными исполнительными органами и иными лицами
1. Налоговые органы взаимодействуют с уполномоченными государственными и местными исполнительными органами, разрабатывают и принимают совместные меры контроля в соответствии с законодательством Республики Казахстан, обеспечивают взаимный обмен информацией.
2. Уполномоченные государственные и местные исполнительные органы обязаны оказывать содействие налоговым органам в выполнении задач по осуществлению налогового контроля.
3. Уполномоченный государственный орган в области охраны окружающей среды и его территориальные органы обязаны представлять в порядке, определенном пунктом 3 статьи 573 настоящего Кодекса, сведения по результатам осуществления ими проверок по соблюдению экологического законодательства Республики Казахстан (государственный экологический контроль).
4. Уполномоченные государственные органы обязаны представлять в уполномоченный орган сведения по физическим лицам по перечню в порядке и сроки, которые установлены статьей 26 настоящего Кодекса.
5. Налоговые органы и местные исполнительные органы взаимодействуют между собой по осуществлению сбора налогов в порядке, определенном статьей 21 настоящего Кодекса.
6. Полномочия уполномоченных государственных и местных исполнительных органов по взиманию платежей в бюджет и представлению сведений по ним определяются Особенной частью настоящего Кодекса.
7. Налоговые органы вправе осуществлять взаимодействие с уполномоченными государственными органами, местными исполнительными органами и иными лицами электронным способом в порядке, определенном настоящим Кодексом.
8. Налоговые органы в ходе налоговой проверки взаимодействуют с уполномоченным органом по регулированию, контролю и надзору финансового рынка и финансовых организаций по получению в отношении проверяемого налогоплательщика заключения о соответствии размера страховых резервов по незаработанным премиям, непроизошедшим убыткам, заявленным, но неурегулированным убыткам, произошедшим, но незаявленным убыткам требованиям, установленным законодательством Республики Казахстан о страховании и страховой деятельности.
Уполномоченный орган по регулированию, контролю и надзору финансового рынка и финансовых организаций по запросу уполномоченного органа представляет такое заключение в порядке, определенном уполномоченным органом совместно с уполномоченным органом по регулированию, контролю и надзору финансового рынка и финансовых организаций.
8-1. Налоговые органы в ходе налоговой проверки взаимодействуют с уполномоченным органом в области регулирования торговой деятельности по получению в отношении проверяемого налогоплательщика заключения о соответствии размера страховых резервов по незаработанным премиям, непроизошедшим убыткам, заявленным, но неурегулированным убыткам, произошедшим, но незаявленным убыткам по договорам страхования и перестрахования, заключаемым Экспортно-кредитным агентством Казахстана, требованиям, установленным законодательством Республики Казахстан о регулировании торговой деятельности.
Уполномоченный орган в области регулирования торговой деятельности по запросу налогового органа представляет такое заключение в порядке, определенном уполномоченным органом в области регулирования торговой деятельности совместно с уполномоченным органом.
9. Уполномоченный орган, Национальный Банк Республики Казахстан и уполномоченный орган по регулированию, контролю и надзору финансового рынка и финансовых организаций разрабатывают и принимают совместные меры контроля, в соответствии с законодательством Республики Казахстан обеспечивают взаимный обмен информацией.
Уполномоченный орган оказывает содействие Национальному Банку Республики Казахстан в выполнении задач по осуществлению валютного контроля.
Уполномоченный орган вправе осуществлять информационное взаимодействие с Национальным Банком Республики Казахстан и уполномоченным органом по регулированию, контролю и надзору финансового рынка и финансовых организаций электронным способом. Порядок взаимодействия уполномоченного органа с Национальным Банком Республики Казахстан и уполномоченным органом по регулированию, контролю и надзору финансового рынка и финансовых организаций определяется совместными актами.
10. Национальный Банк Республики Казахстан предоставляет уполномоченному органу полученную от уполномоченных банков информацию о платежах и (или) переводах денежных средств из Республики Казахстан и в Республику Казахстан физического лица (физическому лицу), юридического лица (юридическому лицу), а также структурного подразделения (структурному подразделению) юридического лица по валютным операциям на сумму свыше 50 000 долларов США в эквиваленте, проведенных через банки второго уровня и организации, осуществляющие отдельные виды банковских операций, по сделкам (контрактам), в том числе по безтоварным операциям.
Указанная в части первой настоящего пункта информация направляется в порядке, по форме и в сроки, которые установлены совместным актом уполномоченного органа и Национального Банка Республики Казахстан.
11. Налоговые органы предоставляют ежеквартально уполномоченному государственному органу в области охраны окружающей среды информацию по производителям с указанием их юридических адресов, объемов и видов произведенной (произведенных) на территории Республики Казахстан продукции (товаров), на которую (которые) распространяются расширенные обязательства производителей (импортеров).
12. Уполномоченные государственные органы по предоставлению права недропользования и местные исполнительные органы представляют в налоговый орган копии контрактов на недропользование и (или) соглашений о конфиденциальности, заключенных с недропользователями, и (или) протоколы Государственной комиссии по запасам полезных ископаемых Республики Казахстан об утверждении запасов полезных ископаемых и постановке на государственный баланс запасов полезных ископаемых, а также дополнения и изменения к ним не позднее пяти рабочих дней с даты их заключения или внесения изменений и дополнений в них, в том числе путем автоматизированного обмена информацией.
13. Местные исполнительные органы представляют в налоговые органы по месту нахождения сведения об использовании налогоплательщиками билетов в части оказания услуг населению по перевозкам в общественном городском транспорте по форме, утвержденной уполномоченным органом.
14. Лица, располагающие информацией о нарушениях применения контрольно-кассовой машины и оборудования (устройства), предназначенного для приема платежей с использованием платежных карточек, вправе сообщить в налоговый орган об известных им фактах нарушений, подтвержденных видеофиксацией.
Лицо, сообщившее о фактах нарушения применения контрольно-кассовой машины и оборудования (устройства), предназначенного для приема платежей с использованием платежных карточек, в случае подтверждения такого факта подлежит вознаграждению в порядке, определяемом Правительством Республики Казахстан.
Положения части второй настоящего пункта не распространяются на лиц, сообщивших заведомо ложную информацию о фактах совершенных правонарушений. При этом лица, сообщившие заведомо ложную информацию, несут ответственность, установленную законами Республики Казахстан.
15. Уполномоченный орган взаимодействует с уполномоченными государственными органами и Национальной палатой предпринимателей Республики Казахстан в целях ведения информационной системы для самостоятельной проверки налогоплательщиком контрагентов на основе индексов, рассчитанных по методике, утверждаемой уполномоченным органом по согласованию с Национальной палатой предпринимателей Республики Казахстан. Порядок взаимодействия определяется уполномоченным органом.
Сноска. Статья 22 с изменениями, внесенными законами РК от 08.01.2019 № 215-VI (вводится в действие по истечении трех месяцев после дня его первого официального опубликования); от 03.07.2019 № 262-VI (вводится в действие с 01.01.2020); от 10.12.2020 № 382-VI (вводится в действие с 01.01.2021); от 15.07.2025 № 208-VIII (вводится в действие с 01.01.2024).
Статья 23. Взаимодействие уполномоченного органа с органами военного управления
1. Местные органы военного управления представляют в уполномоченный орган сведения о физических лицах, призванных на срочную воинскую службу и уволенных со срочной воинской службы, в следующие сроки:
1) не позднее 31 июля года, в котором физические лица в апреле – июне:
призваны на срочную воинскую службу;
уволены со срочной воинской службы;
2) не позднее 31 января года, следующего за годом, в котором физические лица в октябре – декабре:
призваны на срочную воинскую службу;
уволены со срочной воинской службы.
2. Министерство обороны Республики Казахстан представляет в порядке, определенном законодательством Республики Казахстан, в уполномоченный орган перечень местных органов военного управления в следующие сроки:
1) не позднее 1 января года, указанного в подпункте 2) пункта 1 настоящей статьи;
2) не позднее 1 июля года, указанного в подпункте 1) пункта 1 настоящей статьи.
Статья 24. Обязанности банков второго уровня и организаций, осуществляющих отдельные виды банковских операций
Банки второго уровня и организации, осуществляющие отдельные виды банковских операций, обязаны:
1) при открытии банковских счетов налогоплательщику — юридическому лицу, включая нерезидента, его структурным подразделениям, физическому лицу, состоящему на регистрационном учете в качестве индивидуального предпринимателя или лица, занимающегося частной практикой, иностранцу и лицу без гражданства либо изменении у банковского счета индивидуального идентификационного кода в случаях, предусмотренных статьями 60-1, 61-2, 61-11, 61-12 Закона Республики Казахстан «О банках и банковской деятельности в Республике Казахстан», уведомить уполномоченный орган об открытии либо изменении указанных счетов посредством передачи через сети телекоммуникаций, обеспечивающие гарантированную доставку сообщений, не позднее двух рабочих дней, следующих за днем их открытия либо изменения, с указанием идентификационного номера.
Уведомление не требуется по банковским счетам, предназначенным для хранения пенсионных активов единого накопительного пенсионного фонда и добровольных накопительных пенсионных фондов, активов фонда социального медицинского страхования, активов Государственного фонда социального страхования, активов, являющихся обеспечением выпуска облигаций специальной финансовой компании, и активов инвестиционного фонда, сберегательным счетам юридических лиц-нерезидентов, иностранцев и лиц без гражданства, корреспондентским счетам иностранных банков-корреспондентов, банковским счетам, предназначенным для получения пособий и социальных выплат, выплачиваемых из государственного бюджета и (или) Государственного фонда социального страхования, материальной помощи, предоставляемой в соответствии с подпунктом 1) пункта 4 статьи 112 Социального кодекса Республики Казахстан, текущим счетам, предназначенным для зачисления денег на условиях депозита нотариуса, текущему счету частного судебного исполнителя, предназначенного для хранения взысканных сумм в пользу взыскателей, эскроу-счетам, банковским счетам по договору об образовательном накопительном вкладе, заключенному в соответствии с Законом Республики Казахстан «О Государственной образовательной накопительной системе».
Информация о налогоплательщиках, в том числе физических лицах, состоящих на регистрационном учете в качестве индивидуального предпринимателя или лица, занимающегося частной практикой, предоставляется банкам второго уровня и организациям, осуществляющим отдельные виды банковских операций, в целях исполнения ими обязанностей, предусмотренных настоящим подпунктом и подпунктами 4), 6), 8), 11), 13) и 15) настоящей статьи, в порядке, определенном уполномоченным органом по согласованию с Национальным Банком Республики Казахстан.
При невозможности уведомления об открытии либо изменении указанных счетов посредством сети телекоммуникаций из-за технических проблем уведомление направляется на бумажном носителе в налоговый орган по месту нахождения (жительства) налогоплательщика в течение двух рабочих дней;
2) в соответствии с международным договором Республики Казахстан об обмене информацией представлять по сети телекоммуникаций в уполномоченный орган сведения о наличии банковских счетов и их номерах, об остатках денег на этих счетах, а также сведения о наличии, виде и стоимости иного имущества, в том числе размещенного на металлических счетах или находящегося в управлении физических лиц-нерезидентов, юридических лиц-нерезидентов, а также юридических лиц, бенефициарными собственниками которых являются нерезиденты, в порядке и сроки, которые установлены уполномоченным органом по согласованию с Национальным Банком Республики Казахстан;
3) представлять по запросу уполномоченного органа сведения о наличии банковских счетов и их номерах, об остатках и движении денег на этих счетах, иную информацию, относящуюся к заключенному между физическим или юридическим лицом и банком второго уровня, организацией, осуществляющей отдельные виды банковских операций, договору, предусматривающему оказание банковских услуг, а также сведения о наличии, виде и стоимости иного имущества, в том числе размещенного на металлических счетах или находящегося в управлении физических и юридических лиц, указанных в запросе уполномоченного органа иностранного государства, направленном в соответствии с международным договором Республики Казахстан;
4) при приеме платежных документов в уплату налогов и платежей в бюджет, социальных платежей проверять правильность указания идентификационного номера в соответствии с правилами формирования идентификационного номера.
В случаях несоответствия идентификационного номера, указанного в платежном документе, данным уполномоченного государственного органа, осуществляющего формирование идентификационных номеров и ведение национальных реестров идентификационных номеров, либо его отсутствия банки второго уровня или организации, осуществляющие отдельные виды банковских операций, отказывают в исполнении такого платежного документа.
Положения частей первой и второй настоящего подпункта не применяются при уплате платежей в бюджет, предусмотренных подпунктом 2) пункта 1 статьи 189 настоящего Кодекса, иностранцем и лицом без гражданства;
5) отказывать в исполнении платежного документа по уплате налога на транспортные средства с физических лиц в случае несоответствия идентификационного номера легковых и грузовых автомобилей, автобусов, указанного в платежном документе, данным, представленным уполномоченным органом по обеспечению безопасности дорожного движения.
В случае отсутствия идентификационного номера транспортного средства в данных, представленных уполномоченным органом по обеспечению безопасности дорожного движения, банки второго уровня или организации, осуществляющие отдельные виды банковских операций, не вправе отказывать в исполнении платежного документа на уплату налога на транспортные средства с физических лиц;
6) при закрытии налогоплательщику банковских счетов, указанных в подпункте 1) настоящей статьи, уведомить уполномоченный орган об их закрытии по сети телекоммуникаций, обеспечивающей гарантированную доставку сообщений, не позднее двух рабочих дней, следующих за днем их закрытия, с указанием идентификационного номера.
При невозможности уведомления о закрытии указанных счетов по сети телекоммуникаций из-за технических проблем уведомление направляется на бумажном носителе в налоговый орган по месту нахождения (жительства) налогоплательщика в течение двух рабочих дней;
7) при прекращении признания доходов в виде вознаграждения по выданному кредиту (займу) путем приостановления начисления такого вознаграждения физическому лицу, состоящему на регистрационном учете в качестве индивидуального предпринимателя, или юридическому лицу уведомить об этом уполномоченный орган не позднее 31 марта года, следующего за отчетным налоговым периодом, определяемым в соответствии со статьей 314 настоящего Кодекса, в котором было прекращено такое признание, по форме, установленной уполномоченным органом;
8) при достаточности денег клиента на банковских счетах для удовлетворения всех требований, предъявляемых к клиенту, в первоочередном порядке исполнять платежные поручения налогоплательщика по уплате налогов и платежей в бюджет с банковского счета. В таком же порядке исполнять инкассовые распоряжения налоговых органов о взыскании суммы налоговой задолженности не позднее одного операционного дня, следующего за днем получения указания налоговых органов.
В случае отсутствия или недостаточности денег на банковских счетах для удовлетворения всех требований, предъявляемых к клиенту, банк второго уровня производит изъятие денег в счет погашения налоговой задолженности в порядке очередности, определенной Гражданским кодексом Республики Казахстан;
9) перечислять суммы налогов, платежей в бюджет и социальных платежей:
в день их инициирования налогоплательщиком, за исключением случаев, когда платеж производится с использованием платежной карточки;
не позднее одного операционного дня со дня списания денег с банковского счета налогоплательщика в случаях, когда платеж производится с использованием платежной карточки;
в течение операционного дня, но не позднее следующего операционного дня со дня внесения наличных денег в кассы банков второго уровня или организаций, осуществляющих отдельные виды банковских операций, либо внесения наличных денег посредством электронных терминалов банков второго уровня или организаций, осуществляющих отдельные виды банковских операций;
10) при наличии предписания допускать должностное лицо налоговых органов к проверке наличия денег и совершаемых операций по банковским счетам проверяемого физического лица, состоящего на регистрационном учете в качестве индивидуального предпринимателя или лица, занимающегося частной практикой или юридического лица;
11) по решению налогового органа в случаях, предусмотренных настоящим Кодексом, приостановить все расходные операции на банковских счетах, за исключением корреспондентских, физического лица, состоящего на регистрационном учете в качестве индивидуального предпринимателя или лица, занимающегося частной практикой, юридического лица, структурного подразделения юридического лица или структурного подразделения юридического лица-нерезидента, осуществляющего деятельность в Республике Казахстан через постоянное учреждение, в порядке, определенном законами Республики Казахстан, с учетом положений пункта 2 статьи 118 настоящего Кодекса;
12) при прекращении в соответствии с гражданским законодательством Республики Казахстан обязательств по кредитам (займам), выданным заемщику, являющемуся физическим лицом, состоящим на дату прекращения обязательства на регистрационном учете в качестве индивидуального предпринимателя, или юридическим лицом, уведомить в течение тридцати календарных дней налоговый орган по месту нахождения (жительства) заемщика о размере прекращенного обязательства.
Положения части первой настоящего подпункта не применяются при прекращении обязательства путем его исполнения;
13) представлять в течение десяти рабочих дней со дня получения запроса налогового органа сведения о наличии банковских счетов и их номерах, об остатках и движении денег на этих счетах:
проверяемого юридического лица и (или) его структурного подразделения по вопросам, связанным с налогообложением;
проверяемого физического лица, в том числе состоящего на регистрационном учете в качестве индивидуального предпринимателя или лица, занимающегося частной практикой, по вопросам, связанным с налогообложением;
индивидуального предпринимателя, лица, занимающегося частной практикой, юридического лица, на которых распространяются особенности исполнения налогового обязательства при прекращении деятельности в соответствии со статьями 59 и 66 настоящего Кодекса;
физического лица, состоящего на регистрационном учете в качестве индивидуального предпринимателя или лица, занимающегося частной практикой, юридического лица и (или) его структурного подразделения, фактическое отсутствие которых по месту нахождения подтверждено в порядке, определенном статьей 70 настоящего Кодекса, и не представивших налоговую отчетность до истечения шести месяцев после установленного настоящим Кодексом срока ее представления, за исключением периода продления такого срока в случаях, предусмотренных настоящим Кодексом;
физического лица, снятого с регистрационного учета в качестве индивидуального предпринимателя в соответствии со статьей 67 настоящего Кодекса, за период времени, не превышающий срока исковой давности, установленного пунктом 2 статьи 48 настоящего Кодекса;
физического лица, состоящего на регистрационном учете в качестве индивидуального предпринимателя, юридического лица, структурного подразделения юридического лица, имеющих налоговую задолженность, не погашенную в течение двух месяцев со дня ее возникновения, в размере более 5 000-кратного размера месячного расчетного показателя, установленного законом о республиканском бюджете и действующего на 1 января соответствующего финансового года;
бездействующих физического лица, состоящего на регистрационном учете в качестве индивидуального предпринимателя, юридического лица в порядке, определенном уполномоченным органом по согласованию с Национальным Банком Республики Казахстан;
лица, зарегистрированного в порядке, определенном законом Республики Казахстан, в качестве кандидата в Президенты Республики Казахстан, депутаты Парламента Республики Казахстан и маслихата, а также в члены органов местного самоуправления, и его супруги (супруга);
лица, являющегося кандидатом на государственную должность либо на должность, связанную с выполнением государственных или приравненных к ним функций, и его супруги (супруга);
лица, занимающего государственную должность, в период выполнения им своих полномочий, и его супруги (супруга) в этот же период;
лица, освобожденного условно-досрочно от отбывания наказания.
юридического лица, деятельностью которого является организация и проведение азартных игр и (или) пари.
13-1) представлять в течение десяти рабочих дней со дня получения запроса налогового органа сведения о наличии банковских счетов и их номерах, об остатках денег на этих счетах физического лица, у которого возникла обязанность по представлению деклараций об активах и обязательствах, о доходах и имуществе;
13-2) представлять в течение десяти рабочих дней со дня получения запроса налогового органа сведения о движении денег на банковских счетах физического лица, у которого возникла обязанность по представлению декларации о доходах в связи с приобретением в течение календарного года имущества стоимостью свыше 20 000-кратного размера месячного расчетного показателя, установленного законом о республиканском бюджете и действующего на 31 декабря отчетного налогового периода;
14) представлять в течение десяти рабочих дней со дня получения запроса налогового органа сведения о предоставленных кредитах физическому лицу, у которого возникла обязанность по представлению декларации об активах и обязательствах, о доходах и имуществе с указанием сумм погашения, включая вознаграждение.
Сведения, предусмотренные подпунктом 13) части первой настоящей статьи, за исключением абзаца седьмого, а также сведения, предусмотренные подпунктами 13-1) и 13-2) части первой настоящей статьи, представляются по форме, установленной уполномоченным органом по согласованию с Национальным Банком Республики Казахстан. Сведения, предусмотренные частью первой настоящего подпункта, представляются по форме, установленной уполномоченным органом по согласованию с уполномоченным органом по регулированию, контролю и надзору финансового рынка и финансовых организаций;
15) отказать в открытии банковских счетов, за исключением корреспондентских счетов, а также банковских счетов, предназначенных для получения пособий и социальных выплат, выплачиваемых из государственного бюджета и Государственного фонда социального страхования, материальной помощи, предоставляемой в соответствии с подпунктом 1) пункта 4 статьи 112 Социального кодекса Республики Казахстан, пенсий, выплачиваемых из государственного бюджета и (или) единого накопительного пенсионного фонда, и (или) добровольного накопительного пенсионного фонда, алиментов (денег, предназначенных на содержание несовершеннолетних и нетрудоспособных совершеннолетних детей), а также банковских счетов по договору об образовательном накопительном вкладе, заключенному в соответствии с Законом Республики Казахстан «О Государственной образовательной накопительной системе, банковских счетов, предназначенных для зачисления платежей и субсидий в целях оплаты за арендованное жилье в частном жилищном фонде, единовременных пенсионных выплат, зачисляемых из единого накопительного пенсионного фонда в целях улучшения жилищных условий и (или) оплаты лечения, возмещения материального ущерба и предоставления необходимой помощи из государственного бюджета и (или) от благотворительных организаций вследствие чрезвычайной ситуации природного или техногенного характера»:
налогоплательщику, признанному бездействующим, в порядке, определенным статьей 91 настоящего Кодекса;
налогоплательщику, имеющему в данном банке второго уровня открытый банковский счет, на который налоговыми органами выставлены инкассовые распоряжения или распоряжения о приостановлении расходных операций по банковским счетам налогоплательщика;
налогоплательщику, имеющему налоговую задолженность, задолженность по социальным платежам.
При этом в случае согласия налогоплательщика, имеющего налоговую задолженность, задолженность по социальным платежам, банк вправе открыть банковский счет при условии осуществления расходных операций по такому банковскому счету после полного погашения налоговой задолженности, задолженности по социальным платежам, в том числе путем перечисления данных видов задолженности налогоплательщиком с указанного банковского счета.
Положения части первой настоящего подпункта не применяются:
при открытии банковских счетов родительским банком взамен банковских счетов, переданных банком второго уровня в рамках операций по одновременной передаче активов и обязательств банков второго уровня в соответствии с законодательством Республики Казахстан о банках и банковской деятельности, и банковских счетов, открываемых банком-правопреемником взамен переданных банком второго уровня в случае его присоединения в рамках их реорганизации;
при открытии банковских счетов налогоплательщиком, в отношении которого вступило в законную силу решение суда о признании его банкротом и ликвидации с возбуждением процедуры банкротства;
при оплате налогоплательщиком суммы задолженности, предусмотренной абзацем четвертым части первой настоящего подпункта, в день обращения в банк второго уровня или организацию, осуществляющую отдельные виды банковских операций, для открытия банковского счета;
16) представлять по налогоплательщикам, осуществляющим коллекторскую деятельность, сведения по договорам, содержащим условия перехода права (требования) в налоговый орган по месту нахождения указанных налогоплательщиков не позднее 25 числа месяца, следующего за кварталом, по форме, установленной уполномоченным органом по согласованию с уполномоченным органом по регулированию, контролю и надзору финансового рынка и финансовых организаций;
16-1) представлять по налогоплательщикам, реализующим права кредитора в отношении уступленного ему права (требования) по договору банковского займа в рамках договора доверительного управления, заключенного с коллекторским агентством, сведения в налоговый орган по месту нахождения указанных налогоплательщиков не позднее 25 числа месяца, следующего за кварталом, по форме, установленной уполномоченным органом по согласованию с уполномоченным органом по регулированию, контролю и надзору финансового рынка и финансовых организаций;
17) представлять по налогоплательщикам, состоящим на регистрационном учете по деятельности, предусмотренной подпунктом 10) пункта 1 статьи 88 настоящего Кодекса, сведения о наличии банковских счетов и их номерах, об остатках и движении денег на этих счетах в порядке и сроки, которые установлены уполномоченным органом по согласованию с Национальным Банком Республики Казахстан;
18) исключен, в соответствии с Законом РК от 20.12.2021 № 85-VII (вводится в действие с 01.01.2022).
19) по запросу уполномоченного органа представлять по налогоплательщикам – физическому лицу, состоящему на регистрационном учете в качестве индивидуального предпринимателя или лица, занимающегося частной практикой, юридическому лицу сведения по итоговым суммам платежей за календарный год, поступившим на текущий счет посредством применения оборудования (устройства), предназначенного для осуществления платежей с использованием платежных карточек и мобильных платежей;
Категории налогоплательщиков, порядок, форма и сроки представления сведений устанавливаются уполномоченным органом по согласованию с Национальным Банком Республики Казахстан.
20) представлять в уполномоченный орган сведения и (или) документы в соответствии с правилами снятия субъектами предпринимательства наличных денег с банковских счетов, утвержденными совместным актом Национального Банка Республики Казахстан, уполномоченного органа и уполномоченного органа по регулированию, контролю и надзору финансового рынка и финансовых организаций.
21) представлять в уполномоченный орган по налогоплательщикам – физическим лицам, состоящим на регистрационном учете в качестве индивидуальных предпринимателей, применяющих отдельные специальные налоговые режимы и являющихся пользователями специального мобильного приложения, сведения по итоговым суммам платежей, поступивших на счет для осуществления предпринимательской деятельности за календарный месяц, за исключением сумм платежей, сведения по которым поступают в специальное мобильное приложение по чекам такого приложения в соответствии с положениями пункта 4 статьи 686-1 настоящего Кодекса.
Порядок, форма и сроки представления сведений устанавливаются уполномоченным органом по согласованию с Национальным Банком Республики Казахстан;
22) предоставлять уполномоченному органу информацию об итоговых суммах платежей и переводов за календарный год, осуществленных в пользу и в разрезе иностранных компаний, указанных в пунктах 1 и 2 статьи 779 настоящего Кодекса, не позднее 15 числа второго месяца, следующего за отчетным годом.
В целях получения информации уполномоченный орган направляет в банки второго уровня и организации, осуществляющие отдельные виды банковских операций, сведения, указанные в подпункте 4-1) пункта 1 статьи 778 настоящего Кодекса, не позднее 10 числа месяца, следующего за отчетным годом.
Информация и сведения, указанные в частях первой и второй настоящего подпункта, предоставляются в порядке, по форме и в сроки, которые установлены уполномоченным органом по согласованию с Национальным Банком Республики Казахстан;
23) представлять в уполномоченный орган сведения по физическим лицам, не состоящим на регистрационном учете в качестве индивидуальных предпринимателей или лиц, занимающихся частной практикой, по выявленным операциям, имеющим признаки получения дохода от осуществления предпринимательской деятельности по определенным критериям.
Критерии отнесения операций, проводимых на банковских счетах физических лиц, к операциям, имеющим признаки получения дохода от осуществления предпринимательской деятельности, порядок, форма и сроки представления сведений устанавливаются уполномоченным органом по согласованию с Национальным Банком Республики Казахстан.
Для целей настоящей статьи счета государственных учреждений, открытые в центральном уполномоченном органе по исполнению бюджета, приравниваются к банковским счетам, а центральный уполномоченный орган по исполнению бюджета приравнивается к организации, осуществляющей отдельные виды банковских операций.
Отчеты и сведения, предусмотренные подпунктами 7), 12), 13) и 16) части первой настоящей статьи, представляются посредством сети телекоммуникаций. В случае невозможности их представления посредством сети телекоммуникаций из-за технических проблем указанные отчеты и сведения направляются на бумажном носителе.
Сведения, представляемые банками второго уровня и организациями, осуществляющими отдельные виды банковских операций, в соответствии с настоящим Кодексом используются налоговыми органами в порядке, определенном уполномоченным органом.
Сноска. Статья 24 с изменениями, внесенными законами РК от 02.07.2018 № 168-VІ (вводится в действие с 01.01.2019); от 21.01.2019 № 217-VI (вводится в действие по истечении десяти календарных дней после дня его первого официального опубликования); от 02.04.2019 № 241-VI (порядок введения в действие см. ст. 2); от 03.07.2019 № 262-VI (вводится в действие с 01.01.2020); от 27.12.2019 № 290-VІ (вводится в действие по истечении десяти календарных дней после дня его первого официального опубликования); от 02.07.2020 № 354-VI (вводится в действие с 01.01.2021); от 10.12.2020 № 382-VI (вводится в действие с 01.01.2021); от 20.12.2021 № 85-VII (порядок введения в действие см. ст. 2); от 21.12.2022 № 165-VII (порядок введения в действие см. ст. 4); от 20.03.2023 № 213-VII (вводится в действие по истечении шестидесяти календарных дней после дня его первого официального опубликования); от 12.12.2023 № 45-VIII (вводится в действие по истечении шестидесяти календарных дней после дня его первого официального опубликования); от 01.07.2024 № 105-VIII (вводится в действие по истечении десяти календарных дней со дня его первого официального опубликования); от 15.07.2025 № 208-VIII (вводится в действие по истечении шестидесяти календарных дней после дня его первого официального опубликования).
Статья 24-1. Обязанность платежных организаций по предоставлению информации в уполномоченный орган
Платежные организации обязаны предоставлять уполномоченному органу информацию об итоговых суммах платежей и переводов за календарный год, осуществленных в пользу и в разрезе иностранных компаний, указанных в пунктах 1 и 2 статьи 779 настоящего Кодекса, не позднее 15 числа второго месяца, следующего за отчетным годом.
В целях получения информации уполномоченный орган направляет в платежные организации сведения, указанные в подпункте 4-1) пункта 1 статьи 778 настоящего Кодекса, не позднее 10 числа месяца, следующего за отчетным годом.
Информация и сведения, указанные в частях первой и второй настоящей статьи, предоставляются в порядке, по форме и в сроки, которые установлены уполномоченным органом по согласованию с Национальным Банком Республики Казахстан.
Сноска. Закон дополнен статьей 24-1, в соответствии с Законом РК от 20.12.2021 № 85-VII (вводится в действие с 01.01.2022).
Статья 25. Взаимодействие уполномоченных государственных органов и Государственной корпорации «Правительство для граждан» при осуществлении налогового администрирования
Сноска. Заголовок статьи 25 с изменением, внесенным Законом РК от 24.05.2018 № 156-VI (вводится в действие по истечении десяти календарных дней после дня его первого официального опубликования).
Налоговые органы при осуществлении налогового администрирования взаимодействуют со следующими уполномоченными государственными органами и Государственной корпорацией «Правительство для граждан»:
1) осуществляющими государственную регистрацию, перерегистрацию юридических лиц, государственную регистрацию прекращения деятельности юридических лиц, учетную регистрацию, перерегистрацию, снятие с учетной регистрации структурных подразделений;
2) в области государственной статистики;
3) осуществляющими учет и (или) регистрацию объектов налогообложения и объектов, связанных с налогообложением, в том числе:
государственную регистрацию прав на недвижимое имущество;
государственную регистрацию залога движимого имущества и ипотеки судна;
государственную регистрацию радиоэлектронных средств и высокочастотных устройств;
государственную регистрацию космических объектов и прав на них;
государственную регистрацию транспортных средств;
государственную регистрацию лекарственных средств и медицинских изделий;
государственную регистрацию прав на произведения и объекты смежных прав, лицензионных договоров на использование произведений и объектов смежных прав;
постановку на учет средств массовой информации;
4) выдающими лицензии, свидетельства или иные документы разрешительного и регистрационного характера;
5) осуществляющими регистрацию физических лиц по месту их жительства в Республике Казахстан;
6) осуществляющими регистрацию актов гражданского состояния;
7) осуществляющими совершение нотариальных действий;
8) опеки и попечительства;
9) транспорта и коммуникаций;
10) осуществляющими государственное регулирование в сфере недропользования в соответствии с законодательством Республики Казахстан о недрах и недропользовании;
11) осуществляющими внешнеполитическую деятельность;
11-1) осуществляющими руководство и межотраслевую координацию в сфере цифровых активов;
12) другими уполномоченными государственными органами, определяемыми Правительством Республики Казахстан.
Сноска. Статья 25 с изменениями, внесенными законами РК от 24.05.2018 № 156-VI (вводится в действие по истечении десяти календарных дней после дня его первого официального опубликования); от 28.12.2018 № 211-VI (вводится в действие по истечении десяти календарных дней после дня его первого официального опубликования); от 21.12.2022 № 165-VII (вводится в действие с 01.07.2023); от 06.02.2023 № 196-VII (вводится в действие с 01.01.2024).
Статья 26. Обязанности уполномоченных государственных органов, Национального Банка Республики Казахстан, уполномоченного органа по регулированию, контролю и надзору финансового рынка и финансовых организаций, местных исполнительных органов, организаций и уполномоченных лиц при взаимодействии с налоговыми органами
Сноска. Заголовок статьи 26 с изменениями, внесенными законами РК от 02.04.2019 № 241-VI (вводится в действие с 01.01.2019); от 03.07.2019 № 262-VI (вводится в действие с 01.01.2020).
1. Уполномоченные государственные органы, осуществляющие государственную регистрацию, перерегистрацию юридических лиц, государственную регистрацию прекращения деятельности юридических лиц, учетную регистрацию, перерегистрацию, снятие с учетной регистрации структурных подразделений, обязаны не позднее трех рабочих дней с даты государственной регистрации, перерегистрации юридического лица, государственной регистрации прекращения деятельности юридических лиц, постановки на учетную регистрацию, перерегистрации, снятия с учетной регистрации структурного подразделения представить посредством электронного извещения в налоговый орган, банки второго уровня или организации, осуществляющие отдельные виды банковских операций, сведения о государственной регистрации, перерегистрации юридического лица, государственной регистрации прекращения деятельности юридических лиц, постановке на учетную регистрацию, перерегистрации, снятии с учетной регистрации структурного подразделения.
2. Если иное не установлено настоящей статьей, уполномоченные государственные органы, осуществляющие выдачу лицензий, свидетельств или иных документов разрешительного и регистрационного характера, обязаны представлять в налоговые органы по месту своего нахождения сведения о налогоплательщиках, которым выданы (прекращены) лицензии и приложение (приложения) к ним, свидетельства или иные документы разрешительного и регистрационного характера, и об объектах обложения платежами в бюджет в порядке и сроки, которые установлены разделом 18 настоящего Кодекса, и по формам, установленным уполномоченным органом.
Органы внутренних дел, осуществляющие выдачу разрешений трудовому иммигранту, обязаны представлять в налоговые органы по месту своего нахождения сведения о налогоплательщиках, которым выданы разрешения трудовому иммигранту, в порядке, сроки и по формам, которые установлены уполномоченным органом.
3. Уполномоченные государственные органы и Государственная корпорация «Правительство для граждан», осуществляющие учет и (или) регистрацию объектов налогообложения и (или) объектов, связанных с налогообложением, обязаны представлять сведения о налогоплательщиках, имеющих объекты налогообложения и (или) объекты, связанные с налогообложением, а также об объектах налогообложения и (или) объектах, связанных с налогообложением, в налоговые органы в порядке, сроки и по формам, которые установлены уполномоченным органом.
4. Уполномоченные государственные органы и Государственная корпорация «Правительство для граждан», осуществляющие сбор платежей в бюджет, учет и (или) регистрацию объектов налогообложения и объектов, связанных с налогообложением, обязаны указывать в представляемых сведениях идентификационный номер налогоплательщика, за исключением физических лиц, использующих особо охраняемые природные территории в научных, эколого-просветительских, туристских, рекреационных и ограниченных хозяйственных целях.
5. Уполномоченный государственный орган, осуществляющий регистрацию прибытия (выбытия) иностранцев, обязан не позднее десяти рабочих дней после регистрации их прибытия (выбытия) представить в налоговый орган сведения о прибывших иностранцах с указанием цели, места и срока их пребывания в порядке, определенном уполномоченным органом.
6. Уполномоченный орган по инвестициям обязан представлять в уполномоченный орган сведения об инвестиционных контрактах, заключенных в соответствии с законодательством Республики Казахстан в сфере предпринимательства и предусматривающих реализацию инвестиционных приоритетных проектов, а также сведения о прекращении действия данных инвестиционных контрактов и иные сведения в порядке, сроки и по формам, которые установлены уполномоченным органом по согласованию с уполномоченным органом по инвестициям.
6-1. Уполномоченный орган в области государственной поддержки индустриальной деятельности обязан представлять в уполномоченный орган сведения по юридическим лицам, осуществляющим деятельность по сбору (заготовке), хранению, переработке и реализации лома и отходов цветных и черных металлов, и лицам, осуществляющим реализацию такого лома и отходов, в порядке, сроки и по форме, которые установлены уполномоченным органом в области государственной поддержки индустриальной деятельности по согласованию с уполномоченным органом.
7. Уполномоченные государственные и местные исполнительные органы, осуществляющие государственное регулирование в пределах компетенции в сфере недропользования в соответствии с законодательством Республики Казахстан о недрах и недропользовании, обязаны представлять в налоговый орган по месту своего нахождения сведения об участниках и параметрах сделки, по которой возникают налоговые обязательства в соответствии со статьей 650 настоящего Кодекса, включая сведения о нерезиденте, являющемся налоговым агентом, в течение десяти рабочих дней с даты осуществления сделок по купле-продаже акций или долей участия по форме, установленной уполномоченным органом.
8. Министерство иностранных дел Республики Казахстан обязано представить в налоговый орган по месту нахождения дипломатического или приравненного к нему представительства иностранного государства, аккредитованного в Республике Казахстан, документы, подтверждающие аккредитацию и место нахождения такого дипломатического и приравненного к нему представительства, в течение десяти рабочих дней с даты аккредитации.
9. Уполномоченный орган по регулированию, контролю и надзору финансового рынка и финансовых организаций по запросу уполномоченного органа в ходе налоговой проверки в отношении проверяемого налогоплательщика представляет заключение о соответствии размера страховых резервов по незаработанным премиям, непроизошедшим убыткам, заявленным, но неурегулированным убыткам, произошедшим, но незаявленным убыткам требованиям, установленным законодательством Республики Казахстан о страховании и страховой деятельности, в порядке, определенном уполномоченным органом совместно с уполномоченным органом по регулированию, контролю и надзору финансового рынка и финансовых организаций.
9-1. Уполномоченный орган в области регулирования торговой деятельности по запросу налогового органа в ходе налоговой проверки в отношении проверяемого налогоплательщика представляет заключение о соответствии размера страховых резервов по незаработанным премиям, непроизошедшим убыткам, заявленным, но неурегулированным убыткам, произошедшим, но незаявленным убыткам по договорам страхования и перестрахования, заключаемым Экспортно-кредитным агентством Казахстана, требованиям, установленным законодательством Республики Казахстан о регулировании торговой деятельности, в порядке, определенном уполномоченным органом в области регулирования торговой деятельности совместно с уполномоченным органом.
10. Уполномоченный орган по регулированию, контролю и надзору финансового рынка и финансовых организаций обязан не позднее 25 числа месяца, следующего за кварталом, представлять в уполномоченный орган сведения по договорам, содержащим условия перехода права (требования), в отношении налогоплательщика, осуществляющего коллекторскую деятельность, по форме, установленной уполномоченным органом по согласованию с уполномоченным органом по регулированию, контролю и надзору финансового рынка и финансовых организаций.
11. Территориальные подразделения Национального Банка Республики Казахстан обязаны не позднее 25 числа месяца, следующего за кварталом, представлять налоговым органам сведения по обменным пунктам юридических лиц, осуществляющих деятельность исключительно через обменные пункты на основании лицензии Национального Банка Республики Казахстан на обменные операции с наличной иностранной валютой, по форме, установленной уполномоченным органом по согласованию с Национальным Банком Республики Казахстан.
12. Действовал до 01.01.2021 в соответствии с Законом РК от 25.12.2017 № 121-VI.
13. Нотариусы обязаны представлять в уполномоченный орган следующие сведения по физическим лицам о (об):
1) сделках и договорах по имуществу, подлежащему государственной или иной регистрации, а также имуществу, по которому права и (или) сделки подлежат государственной или иной регистрации;
2) выданных свидетельствах о праве на наследство;
3) других сделках и договорах, не указанных в настоящем пункте, в случае, если цена, предусмотренная сделкой (договором), превышает 2000-кратный размер месячного расчетного показателя, установленного законом о республиканском бюджете и действующего на 1 января соответствующего финансового года, за исключением договоров, указанных в подпунктах 4) и 5) настоящего пункта;
4) договорах займа, заключенных между физическими лицами;
5) иных договорах по передаче имущества, не подлежащих государственной или иной регистрации.
Форма, порядок и сроки представления сведений, указанных в части первой настоящего пункта, устанавливаются уполномоченным органом по согласованию с Министерством юстиции Республики Казахстан.
14. Организация, осуществляющая деятельность по ведению системы реестров держателей ценных бумаг, обязана представлять в течение тридцати рабочих дней со дня получения запроса налогового органа имеющиеся сведения о физических лицах – держателях ценных бумаг, а также о сделках физических лиц с ценными бумагами в порядке и по форме, которые установлены уполномоченным органом по согласованию с уполномоченным органом по регулированию, контролю и надзору финансового рынка и финансовых организаций.
15. Брокеры обязаны представлять в течение тридцати рабочих дней со дня получения запроса налогового органа сведения о сделках физических лиц с ценными бумагами, а товарные биржи – сведения о сделках физических лиц с биржевыми товарами, реализованными на товарной бирже, в порядке и по форме, которые установлены уполномоченным органом по согласованию с уполномоченным органом по регулированию, контролю и надзору финансового рынка и финансовых организаций и уполномоченным органом в области регулирования торговой деятельности.
15-1. Уполномоченный орган в области регулирования торговой деятельности обязан представлять сведения о сделках физических лиц с биржевыми товарами в порядке, сроки и по форме, которые установлены уполномоченным органом.
16. Юридическое лицо, созданное по решению Правительства Республики Казахстан, обеспечивающее в соответствии с законодательством Республики Казахстан учет пенсионных взносов, социальных отчислений и социальных выплат, взносов и отчислений на обязательное социальное медицинское страхование, обязано представлять в уполномоченный орган имеющиеся сведения о физических лицах в порядке, сроки и по форме, которые установлены уполномоченным органом по согласованию с уполномоченным органом в сфере оказания государственных услуг.
17. Страховые (перестраховочные) организации, страховые брокеры обязаны представлять в течение тридцати рабочих дней со дня получения запроса налогового органа сведения по заключенным физическими лицами договорам страхования по форме и в порядке, определенным уполномоченным органом по согласованию с уполномоченным органом по регулированию, контролю и надзору финансового рынка и финансовых организаций.
18. Организации образования обязаны в течение тридцати рабочих дней со дня получения требования налогового органа о подтверждении расходов на образование, произведенных физическими лицами на территории Республики Казахстан, представлять сведения в порядке, определенном статьей 112 настоящего Кодекса.
19. Субъекты здравоохранения обязаны в течение тридцати рабочих дней со дня получения требования налогового органа о подтверждении расходов на медицину, произведенных физическими лицами на территории Республики Казахстан, представлять сведения в порядке, определенном статьей 112 настоящего Кодекса.
19-1. Уполномоченный орган в сфере долевого участия в жилищном строительстве обязан в порядке, сроки и по форме, которые установлены уполномоченным органом, представлять в налоговые органы сведения о физических лицах, заключивших договор о долевом участии в жилищном строительстве, а также о физических лицах, заключивших договор о переуступке прав требований по ним.
19-2. Уполномоченный государственный орган по труду обязан представлять сведения о физических лицах, являющихся безработными, выданных разрешениях на привлечение иностранной рабочей силы для осуществления трудовой деятельности в порядке, сроки и по форме, которые установлены уполномоченным органом.
19-3. Уполномоченный орган по делам государственной службы обязан представлять сведения по политическим и административным государственным служащим из единой автоматизированной базы данных (информационной системы) по персоналу государственной службы в порядке, сроки и по форме, которые установлены уполномоченным органом по согласованию с уполномоченным органом по делам государственной службы.
19-4. Уполномоченный орган в области культуры обязан представлять сведения по физическим лицам, владеющим материальными культурными ценностями, имеющими особое значение для истории и культуры страны и включенными в Государственный реестр объектов национального культурного достояния, в порядке, определенном уполномоченным органом.
19-5. Уполномоченный орган в области государственной статистики обязан представлять административные данные, учтенные в книге похозяйственного учета, в порядке, сроки и по форме, которые установлены уполномоченным органом.
19-6. Центральный исполнительный орган, осуществляющий руководство, а также в пределах, предусмотренных законодательством Республики Казахстан, межотраслевую координацию в сфере социальной защиты населения, обязан представлять сведения по лицам, получающим социальные пособия, и о размерах выплачиваемых им пособий, по лицам, получающим пенсионные выплаты, и их размерах, за исключением пенсионных выплат из страховых организаций, в порядке, сроки и по форме, которые установлены уполномоченным органом.
20. Представление сведений о налогоплательщиках, объектах налогообложения (объектах обложения (взимания) платежами в бюджет) и (или) объектах, связанных с налогообложением, в электронной форме с использованием соответствующего программного обеспечения, предназначенного для автоматизированного взаимодействия налоговых органов и уполномоченных государственных органов, Государственной корпорации «Правительство для граждан», осуществляется в течение десяти рабочих дней в порядке и по формам, которые установлены уполномоченным органом.
В случае представления уполномоченными государственными органами и Государственной корпорацией «Правительство для граждан» сведений о налогоплательщиках, объектах налогообложения (объектах обложения (взимания) платежами в бюджет) и (или) объектах, связанных с налогообложением, в электронной форме представление сведений уполномоченными государственными органами и Государственной корпорацией «Правительство для граждан» на бумажном носителе не требуется.
21. Уполномоченный орган по обеспечению безопасности дорожного движения при передаче сведений о государственной регистрации транспортных средств обеспечивает передачу сведений о дате первичного ввоза на территорию Республики Казахстан, а также о стране-изготовителе такого транспортного средства.
22. Местные исполнительные органы не позднее 20 числа месяца, следующего за отчетным кварталом, представляют в налоговые органы по месту нахождения отчет об использовании налогоплательщиками билетов в части оказания услуг населению по перевозкам в общественном городском транспорте по форме, утвержденной уполномоченным органом.
Примечание РЦПИ!
Пункт 23 действует до 01.01.2029 в соответствии с Законом РК от 26.12.2018 № 203-VI.
23. Уполномоченный орган в сфере информатизации обязан представлять сведения об участниках международного технологического парка «Астана Хаб» в налоговые органы в порядке, сроки, и по форме, которые установлены уполномоченным органом по согласованию с уполномоченным органом в сфере информатизации.
24. Организации, оказывающие услуги водоснабжения, водоотведения, канализации, газоснабжения, электроснабжения, теплоснабжения, сбора отходов (мусороудаления), обслуживания лифтов и (или) услуги в сфере перевозок, представляют в налоговые органы сведения о предоставленных услугах третьим лицам.
Данные сведения используются налоговыми органами для осуществления налогового администрирования в случаях, предусмотренных настоящим Кодексом.
Порядок представления сведений определяется уполномоченным органом.
25. Уполномоченный государственный орган, уполномоченный Правительством Республики Казахстан на заключение соглашения об инвестициях, обязан представлять в уполномоченный орган сведения о заключенных соглашениях об инвестициях и расторжении таких соглашений, а также иные сведения в порядке, сроки и по формам, которые установлены уполномоченным органом по согласованию с уполномоченным органом по инвестициям.
26. Цифровой майнинговый пул представляет в уполномоченный орган сведения о распределенных им цифровых активах между лицами, осуществляющими деятельность по цифровому майнингу, ежемесячно не позднее 25 числа месяца, следующего за месяцем представления таких сведений, по форме, утвержденной уполномоченным органом.
27. Биржи цифровых активов, а также иные участники Международного финансового центра «Астана» представляют сведения о проведенных резидентами Республики Казахстан операциях на биржах цифровых активов и выплаченных вознаграждениях резидентам и нерезидентам от осуществления деятельности, связанной с цифровыми активами, в уполномоченный орган не позднее 15 числа второго месяца, следующего за отчетным кварталом, в соответствии с порядком, определенным уполномоченным органом.
28. Организаторы игорного бизнеса, осуществляющие деятельность букмекерской конторы и (или) тотализатора, обязаны обеспечить интеграцию аппаратно-программных комплексов с информационными системами налогового органа в целях обеспечения автоматизированного взаимодействия по передаче сведений.
Порядок, перечень и форма сведений, подлежащих передаче посредством интеграции аппаратно-программных комплексов организаторов игорного бизнеса, осуществляющих деятельность букмекерской конторы и (или) тотализатора, с информационными системами налогового органа, определяются уполномоченным органом.
29. Участник Международного финансового центра «Астана», имеющий лицензию на осуществление деятельности по управлению заемной краудфандинговой платформой, представляет в уполномоченный орган сведения о заключенных договорах на краудфандинговых платформах, а также выплаченных вознаграждениях резидентам и нерезидентам в порядке и по форме, которые установлены уполномоченным органом.
30. Кредитные бюро обязаны представлять сведения из кредитного отчета по задолженности физических лиц, у которых возникла обязанность по представлению деклараций об активах и обязательствах, о доходах и имуществе, перед коллекторскими и (или) микрофинансовыми организациями, в порядке и по форме, которые установлены уполномоченным органом по согласованию с уполномоченным органом по регулированию, контролю и надзору финансового рынка и финансовых организаций.
Положение настоящего пункта не распространяется на сведения, представляемые в кредитные бюро банками второго уровня и организациями, осуществляющими отдельные виды банковских операций, созданными в соответствии с законодательством Республики Казахстан, для формирования кредитной истории физического лица.
Сноска. Статья 26 с изменениями, внесенными законами РК от 24.05.2018 № 156-VI (вводится в действие по истечении десяти календарных дней после дня его первого официального опубликования); от 26.12.2018 № 203-VI (вводится в действие с 01.01.2019); от 02.04.2019 № 241-VI (вводится в действие с 01.01.2019); от 03.07.2019 № 262-VI (вводится в действие с 01.01.2020); от 26.12.2019 № 284-VІ (вводится в действие по истечении десяти календарных дней после дня его первого официального опубликования); от 10.12.2020 № 382-VI (вводится в действие с 01.01.2021); от 06.02.2023 № 196-VII (вводится в действие с 01.01.2024); от 20.03.2023 № 213-VII (вводится в действие по истечении шестидесяти календарных дней после дня его первого официального опубликования); от 12.12.2023 № 45-VIII (вводится в действие по истечении шестидесяти календарных дней после дня его первого официального опубликования); от 15.07.2025 № 208-VIII (порядок введения в действие см. ст. 2.).
Статья 27. Обязанности кастодианов, центрального депозитария, брокеров и (или) дилеров, обладающих правом ведения счетов клиентов в качестве номинальных держателей ценных бумаг, управляющих инвестиционным портфелем, а также страховых организаций при взаимодействии с налоговыми органами
Сноска. Заголовок статьи 27 в редакции Закона РК от 02.07.2018 № 166-VI (вводится в действие с 01.01.2019).
1. Кастодианы, центральный депозитарий, брокеры и (или) дилеры, обладающие правом ведения счетов клиентов в качестве номинальных держателей ценных бумаг, обязаны:
1) представлять по сети телекоммуникаций в уполномоченный орган сведения о наличии счетов для учета ценных бумаг, открытых физическим лицам-нерезидентам, юридическим лицам-нерезидентам, юридическим лицам, бенефициарными собственниками которых являются нерезиденты, а также об остатках и движении ценных бумаг на этих счетах;
2) представлять по запросу уполномоченного органа сведения о наличии лицевых счетов для учета ценных бумаг, открытых физическим и юридическим лицам, указанным в запросе уполномоченного органа иностранного государства, направленном в соответствии с международным договором Республики Казахстан, а также об остатках и движении ценных бумаг на этих счетах и иную информацию, относящуюся к заключенному договору между физическим или юридическим лицом и кастодианами, центральным депозитарием, брокерами и (или) дилерами, обладающими правом ведения счетов клиентов в качестве номинальных держателей ценных бумаг.
2. Кастодианы, управляющие инвестиционным портфелем, обязаны:
1) представлять по сети телекоммуникаций в уполномоченный орган сведения о наличии иных активов, за исключением ценных бумаг, принадлежащих физическим лицам-нерезидентам, юридическим лицам-нерезидентам, а также юридическим лицам, бенефициарными собственниками которых являются нерезиденты;
2) представлять по запросу уполномоченного органа сведения о наличии иных активов, за исключением указанных в пункте 1 настоящей статьи, принадлежащих физическим и юридическим лицам, указанным в запросе уполномоченного органа иностранного государства, направленном в соответствии с международным договором Республики Казахстан, а также иную информацию, относящуюся к заключенному договору между физическим или юридическим лицом и кастодианами, управляющими инвестиционным портфелем.
3. Страховые организации, осуществляющие деятельность по отрасли «страхование жизни», обязаны:
1) представлять по сети телекоммуникаций в уполномоченный орган сведения о заключенных договорах накопительного страхования, выгодоприобретателями по которым являются физические лица-нерезиденты;
2) представлять по запросу уполномоченного органа сведения о заключенных договорах накопительного страхования, выгодоприобретателями по которым являются физические лица, указанные в запросе уполномоченного органа иностранного государства, направленном в соответствии с международным договором Республики Казахстан, а также иную информацию, относящуюся к данным заключенным договорам страхования.
4. Сведения, предусмотренные в пунктах 1, 2 и 3 настоящей статьи, представляются в соответствии с международным договором Республики Казахстан об обмене информацией в порядке и сроки, которые установлены уполномоченным органом по согласованию с уполномоченным органом по регулированию, контролю и надзору финансового рынка и финансовых организаций.
Сноска. Статья 27 с изменениями, внесенными законами РК от 02.07.2018 № 166-VI (вводится в действие с 01.01.2019); от 03.07.2019 № 262-VI (вводится в действие с 01.01.2020); от 10.12.2020 № 382-VI (вводится в действие с 01.01.2021).
Статья 28. Обязанности коллекторских агентств и налогоплательщиков, осуществляющих деятельность, связанную с электронной торговлей товарами
1. Коллекторские агентства обязаны представлять сведения по договорам, содержащим условия перехода права (требования) к коллекторскому агентству, а также по налогоплательщикам, реализующим права кредитора в отношении уступленного ему права (требования) по договору банковского займа в рамках договора доверительного управления, заключенного с коллекторским агентством, в налоговый орган по месту своего нахождения не позднее 25 числа месяца, следующего за кварталом, по форме, установленной уполномоченным органом по согласованию с уполномоченным органом по регулированию, контролю и надзору финансового рынка и финансовых организаций.
2. Лица, осуществляющие электронную торговлю товарами и применяющие нормы налогового законодательства Республики Казахстан в части уменьшения исчисленной суммы корпоративного подоходного налога, уменьшения облагаемой суммы дохода индивидуального предпринимателя на облагаемый доход индивидуального предпринимателя, уменьшения облагаемого дохода физического лица на налогооблагаемый доход индивидуального предпринимателя, обязаны предоставлять информацию по такой деятельности в налоговый орган по месту нахождения в порядке, сроки и по форме, которые утверждены уполномоченным органом.
3. Лица, осуществляющие пересылку, перевозку, доставку товаров при электронной торговле товарами представляют сведения по запросу налогового органа в порядке, сроки и по форме, которые утверждены уполномоченным органом.
Сноска. Статья 28 с изменениями, внесенными законами РК от 03.07.2019 № 262-VI (вводится в действие с 01.01.2020); от 20.03.2023 № 213-VII (вводится в действие по истечении шестидесяти календарных дней после дня его первого официального опубликования).
Статья 29. Обязанности лица и (или) структурных подразделений юридического лица при получении, расходовании денег и (или) иного имущества от иностранных государств, международных и иностранных организаций, иностранцев, лиц без гражданства в отдельных случаях
1. Лица и (или) структурные подразделения юридического лица обязаны:
1) в порядке, по форме и в сроки, которые установлены уполномоченным органом, уведомлять налоговые органы о получении денег и (или) иного имущества от иностранных государств, международных и иностранных организаций, иностранцев, лиц без гражданства в размере, превышающем установленный уполномоченным органом размер, в случае, когда деятельность получателя денег и (или) иного имущества направлена на:
оказание юридической помощи, в том числе правовое информирование, защиту и представительство интересов граждан и организаций, а также их консультирование;
изучение и проведение опросов общественного мнения, социологических опросов, за исключением опросов общественного мнения и социологических опросов, проводимых в коммерческих целях, а также распространение и размещение их результатов;
сбор, анализ и распространение информации, за исключением случаев, когда указанная деятельность осуществляется в коммерческих целях;
2) в случае, предусмотренном подпунктом 1) части первой настоящего пункта, представлять в налоговые органы сведения о получении и расходовании денег и (или) иного имущества, полученных от иностранных государств, международных и иностранных организаций, иностранцев, лиц без гражданства, в порядке, сроки и по форме, которые установлены уполномоченным органом.
Требования, предусмотренные настоящим пунктом, не распространяются на:
1) государственные учреждения;
2) лиц, занимающих ответственные государственные должности, лиц, уполномоченных на выполнение государственных функций, депутатов Парламента Республики Казахстан и маслихатов, за исключением депутатов маслихатов, осуществляющих свою деятельность на неосвобожденной основе, военнослужащих, сотрудников правоохранительных и специальных государственных органов при выполнении должностных обязанностей;
3) банки второго уровня, организации, осуществляющие отдельные виды банковских операций, страховые организации;
4) налогоплательщиков, подлежащих налоговому мониторингу;
5) организации дошкольного и среднего образования, организации образования, реализующие образовательные программы технического и профессионального, послесреднего, высшего и послевузовского образования, а также автономные организации образования и международные школы;
6) деньги и (или) иное имущество, полученные в связи с осуществлением деятельности лиц, занимающихся частной практикой, арбитров, оценщиков, аудиторов;
7) субъекты квазигосударственного сектора;
8) дипломатические и приравненные к ним представительства иностранного государства, консульские учреждения иностранного государства, аккредитованные в Республике Казахстан, а также на их сотрудников;
9) деньги и (или) иное имущество, направленные на развитие национальных, технических и прикладных видов спорта, поддержку и стимулирование физической культуры и спорта, а также предназначенные для проведения спортивных мероприятий, в том числе международных спортивных соревнований, спортивно-массовых мероприятий;
10) деньги и (или) иное имущество, получаемые на основании международных договоров Республики Казахстан;
11) деньги и (или) иное имущество, получаемые в целях оплаты лечения или прохождения оздоровительных, профилактических процедур;
12) деньги и (или) иное имущество, получаемые в виде выручки по внешнеторговым контрактам;
13) деньги и (или) иное имущество, получаемые за организацию и осуществление международных перевозок, оказание услуг международной почтовой связи;
14) деньги и (или) иное имущество, получаемые в рамках заключенных в соответствии с законодательством Республики Казахстан инвестиционных контрактов;
15) суммы дивидендов, вознаграждений, выигрышей, ранее обложенные индивидуальным подоходным налогом у источника выплаты, при наличии документов, подтверждающих удержание такого налога у источника выплаты;
16) иные установленные Правительством Республики Казахстан случаи.
2. Информация и материалы, публикуемые, распространяемые и (или) размещаемые лицами, указанными в подпунктах 1) и 2) части первой пункта 1 настоящей статьи, за счет средств иностранных государств, международных и иностранных организаций, иностранцев и лиц без гражданства, должны содержать сведения о лицах, сделавших заказ, указание об изготовлении, распространении и (или) размещении информации и материалов за счет средств иностранных государств, международных и иностранных организаций, иностранцев и лиц без гражданства.
3. Порядок ведения налоговыми органами базы данных о лицах, указанных в подпунктах 1) и 2) части первой пункта 1 настоящей статьи, указанные сведения и иные сведения, подлежащие к размещению, а также порядок включения и исключения из базы данных определяются уполномоченным органом.
Уполномоченный орган публикует реестр лиц, указанных в подпунктах 1) и 2) части первой пункта 1 настоящей статьи, на своем интернет-ресурсе.
Сноска. Статья 29 с изменением, внесенным Законом РК от 21.12.2022 № 165-VII (вводится в действие с 01.01.2023).
Статья 30. Налоговая тайна
1. Налоговую тайну составляют любые полученные налоговым органом сведения о налогоплательщике (налоговом агенте), за исключением сведений:
1) о сумме налогов и платежей в бюджет, уплаченных (перечисленных) налогоплательщиком (налоговым агентом), за исключением физических лиц;
2) о сумме возврата налогоплательщику из бюджета превышения суммы налога на добавленную стоимость, относимого в зачет, над суммой начисленного налога;
3) о сумме налоговой задолженности налогоплательщика (налогового агента);
4) о бездействующих налогоплательщиках;
5) подлежащих к размещению в базе данных на интернет-ресурсе уполномоченного органа в случае, предусмотренном статьями 19 и 29 настоящего Кодекса;
6) о представлении налогоплательщиком налогового заявления о проведении налоговой проверки в связи с ликвидацией (прекращением деятельности);
7) о начисленной сумме налогов и платежей в бюджет налогоплательщику (налоговому агенту), за исключением физических лиц;
8) о начисленной сумме налога на имущество, земельного налога, налога на транспортные средства физическим лицам;
9) о мерах ответственности, примененных в отношении налогоплательщика (налогового агента), нарушившего налоговое законодательство Республики Казахстан;
10) о наличии (отсутствии) регистрации в качестве налогоплательщика нерезидента, осуществляющего деятельность через постоянное учреждение, структурное подразделение или без образования постоянного учреждения в соответствии со статьей 650 настоящего Кодекса;
11) о следующих регистрационных данных налогоплательщика (налогового агента):
идентификационный номер;
фамилия, имя, отчество (если оно указано в документе, удостоверяющем личность) физического лица, руководителя юридического лица;
наименование индивидуального предпринимателя, юридического лица;
дата постановки на регистрационный учет, дата снятия с регистрационного учета, причина снятия с регистрационного учета налогоплательщика (налогового агента);
вид деятельности;
дата начала и окончания приостановления деятельности;
резидентство налогоплательщика;
регистрационный номер контрольно-кассовой машины в налоговом органе;
место использования контрольно-кассовой машины;
применяемый налоговый режим;
11-1) о полугодовом графике периодических налоговых проверок на основе оценки степени риска;
12) о непредставлении налогоплательщиком (налоговым агентом) налоговой отчетности;
13) не являющихся конфиденциальной информацией в соответствии с законодательством Республики Казахстан о реабилитации и банкротстве;
14) о коэффициенте налоговой нагрузки налогоплательщика (налогового агента), рассчитываемом в порядке, определенном уполномоченным органом, за исключением физических лиц, не зарегистрированных в налоговых органах в качестве индивидуальных предпринимателей и не занимающихся частной практикой;
15) об индивидуальном идентификационном номере физического лица, представившего декларации физических лиц;
16) о наличии (отсутствии) в декларации о доходах и имуществе требования по возврату суммы превышения индивидуального подоходного налога;
17) подлежащих опубликованию в соответствии с Законом Республики Казахстан «О противодействии коррупции»;
18) о результатах категорирования налогоплательщиков в зависимости от степени риска.
19) о численности наемных работников, отраженной в налоговой отчетности.
2. Сведения о налогоплательщике (налоговом агенте), являющиеся налоговой тайной, не могут быть представлены налоговыми органами другому лицу без письменного разрешения налогоплательщика (налогового агента), если иное не установлено настоящей статьей.
3. Налоговые органы представляют сведения о налогоплательщике (налоговом агенте), составляющие налоговую тайну, без получения письменного разрешения налогоплательщика (налогового агента) в следующих случаях:
1) правоохранительным органам и Службе государственной охраны Республики Казахстан в пределах их компетенции, установленной законодательством Республики Казахстан, на основании мотивированного запроса на бумажном носителе либо в форме электронного документа, санкционированного следственным судьей, прокурором. Санкция не требуется в случае запрашивания таких сведений следственным судьей, прокурором;
2) суду и судьям на основании их обращения (распоряжения, требования, поручения, запроса), направленного при отправлении правосудия в случаях, если налогоплательщик является стороной по рассматриваемому делу;
3) судебному исполнителю в пределах его компетенции, установленной законодательством Республики Казахстан, по находящимся в его производстве делам исполнительного производства на основании постановления, заверенного печатью частного судебного исполнителя либо территориального отдела;
3-1) финансовому управляющему в пределах его компетенции в отношении должника, по которому проводит процедуры, предусмотренные законодательством Республики Казахстан о восстановлении платежеспособности и банкротстве граждан Республики Казахстан;
4) центральным государственным органам Республики Казахстан в области государственного планирования, государственной статистики, регулирования торговой деятельности, внешнеторговой деятельности, охраны окружающей среды, ветеринарии, в сфере нефтегазовой, нефтегазохимической промышленности, транспортировки углеводородов, в области недропользования в части углеводородов, государственного регулирования производства нефтепродуктов, газа и газоснабжения, магистрального трубопровода, в сфере социальной защиты населения, информатизации, уполномоченному органу внешнего государственного аудита и финансового контроля, антимонопольному органу и уполномоченному органу в сфере взаимодействия с неправительственными организациями в случаях, предусмотренных настоящим Кодексом и (или) законами Республики Казахстан.
Государственные органы Республики Казахстан, указанные в настоящем подпункте, утверждают перечень должностных лиц, имеющих доступ к сведениям, составляющим налоговую тайну.
Порядок и перечень представляемых сведений, составляющих налоговую тайну, устанавливаются совместными актами с уполномоченным органом;
5) центральному уполномоченному государственному органу по государственному планированию, уполномоченному государственному органу, осуществляющему финансовый мониторинг и принимающему иные меры по противодействию легализации (отмыванию) доходов, и уполномоченному органу по внутреннему государственному аудиту, и уполномоченному органу по возврату активов в случаях, предусмотренных законами Республики Казахстан.
Уполномоченные государственные органы, указанные в настоящем подпункте, утверждают перечень должностных лиц, имеющих доступ к сведениям, составляющим налоговую тайну;
5-1) кадровым службам государственных органов в части сведений о наличии денег в иностранных банках, расположенных за пределами Республики Казахстан, у лиц, занимающих ответственную государственную должность, лиц, уполномоченных на выполнение государственных функций.
Уполномоченный государственный орган, указанный в настоящем подпункте, утверждает перечень должностных лиц, имеющих доступ к сведениям;
6) лицу, привлеченному к проведению налоговой проверки в качестве специалиста;
7) налоговым или правоохранительным органам других государств, международным организациям в соответствии с международными договорами (соглашениями) о взаимном сотрудничестве между налоговыми или правоохранительными органами, одной из сторон которых является Республика Казахстан, а также договорами, заключенными Республикой Казахстан с международными организациями;
8) Государственной корпорации «Правительство для граждан» и государственным органам в части сведений, необходимых для оказания государственных услуг;
9) местным исполнительным органам, органам местного самоуправления в части сведений по физическим лицам по налогу на имущество, земельному налогу, налогу на транспортные средства, а также по плате за размещение наружной (визуальной) рекламы и индивидуальному подоходному налогу по доходам, подлежащим налогообложению физическим лицом самостоятельно.
Органы, указанные в настоящем подпункте, утверждают перечень должностных лиц, имеющих доступ к сведениям, составляющим налоговую тайну;
10) государственным органам и (или) лицам, которым законами Республики Казахстан предусмотрено предоставление сведений об отсутствии (наличии) задолженности, учет по которым ведется в налоговых органах;
11) Национальному Банку Республики Казахстан в части сведений, необходимых для осуществления валютного контроля и последующей их передачи уполномоченным банкам, являющимся агентами валютного контроля.
Перечень и порядок представления сведений, составляющих налоговую тайну, определяется совместным актом Национального Банка Республики Казахстан и уполномоченного органа;
11-1) банкам второго уровня, организациям, осуществляющим отдельные виды банковских операций, платежным организациям в части сведений, указанных в статье 778 настоящего Кодекса, в целях получения уполномоченным органом информации в отношении сумм платежей и переводов, осуществленных физическими лицами в пользу иностранных компаний, указанных в пунктах 1 и 2 статьи 779 настоящего Кодекса;
12) членам апелляционной комиссии при рассмотрении жалобы налогоплательщика (налогового агента) на уведомление о результатах проверки;
13) структурному подразделению уполномоченного органа, осуществляющему рассмотрение жалоб на уведомление о результатах проверки и (или) уведомление об устранении нарушений, в части сведений, необходимых при рассмотрении жалоб налогоплательщиков (налоговых агентов) на уведомление о результатах проверки;
14) уполномоченным государственным органам в части сведений о представленных декларациях о доходах и имуществе, с указанием даты представления и кода налогового органа, лицами, на которых Законом Республики Казахстан «О противодействии коррупции» возложена такая обязанность.
Порядок представления указанных сведений определяется уполномоченным органом;
15) органам национальной безопасности Республики Казахстан в целях и порядке, предусмотренных Законом Республики Казахстан «Об органах национальной безопасности Республики Казахстан».
4. Нормы пункта 3 настоящей статьи не распространяются на сведения и информацию о налогоплательщике, полученные налоговыми органами в процессе проведения легализации в соответствии с Законом Республики Казахстан «Об амнистии граждан Республики Казахстан, оралманов и лиц, имеющих вид на жительство в Республике Казахстан, в связи с легализацией ими имущества».
5. Налоговая тайна не подлежит разглашению лицами, имеющими доступ к налоговой тайне, как в период исполнения ими своих обязанностей, так и после завершения их исполнения.
6. Утрата документов, содержащих сведения, составляющие налоговую тайну, либо разглашение таких сведений влечет ответственность, установленную законами Республики Казахстан.
7. Не является разглашением налоговой тайны:
1) передача на хранение резервной копии электронного информационного ресурса на единую платформу резервного хранения электронных информационных ресурсов.
При этом использование таких данных, переданных на хранение, осуществляется только уполномоченным органом.
Передача и хранение резервной копии электронного информационного ресурса осуществляются в соответствии с порядком и сроками, определяемыми уполномоченными органами в сфере обеспечения информационной безопасности и по национальной безопасности по согласованию с уполномоченным органом;
2) передача сведений, полученных центральным государственным органом в области охраны окружающей среды для осуществления контроля за правильностью исчисления, полнотой и своевременностью перечисления производителями (импортерами) платы за организацию сбора, транспортировки, переработки, обезвреживания, использования и (или) утилизации отходов, в порядке, установленном законодательством Республики Казахстан;
3) передача сведений, полученных уполномоченным органом в области регулирования внешнеторговой деятельности:
компетентному органу третьей страны и (или) союза третьих стран при проведении в отношении товаров, происходящих из Республики Казахстан, специальных защитных, антидемпинговых, компенсационных расследований;
компетентному органу государства-члена Евразийского экономического союза и (или) Евразийской экономической комиссии в случае проведения в отношении товаров, происходящих из Республики Казахстан, компенсирующего расследования;
Евразийской экономической комиссии для целей расследований в соответствии с законодательством Республики Казахстан о специальных защитных, антидемпинговых и компенсационных мерах по отношению к третьим странам.
Передача такой информации осуществляется в порядке и на условиях, предусмотренных законодательством Республики Казахстан о регулировании торговой деятельности и специальных защитных, антидемпинговых и компенсационных мерах по отношению к третьим странам.
4) передача банкам второго уровня сведений об идентификационном номере транспортного средства для уплаты физическим лицом налога на транспортные средства;
5) передача банкам второго уровня сведений об юридическом адресе индивидуального предпринимателя для исполнения налоговых обязательств, предусмотренных настоящим Кодексом.
6) передача центральным государственным органом в сфере информатизации оператору информационно-коммуникационной инфраструктуры «электронного правительства» сведений, полученных для формирования системы оценки рисков, в целях проведения государственного контроля и надзора.
Сноска. Статья 30 с изменениями, внесенными законами РК от 24.05.2018 № 156-VI (вводится в действие по истечении десяти календарных дней после дня его первого официального опубликования); от 05.10.2018 № 184-VI (вводится в действие по истечении десяти календарных дней после дня его первого официального опубликования); от 02.04.2019 № 241-VI (вводится в действие с 01.01.2019); от 10.12.2020 № 382-VI (вводится в действие с 01.01.2021); от 20.12.2021 № 85-VII (вводится в действие с 01.01.2022); от 21.12.2022 № 165-VII (порядок введения в действие см. ст. 4); от 20.03.2023 № 213-VII (порядок введения в действие см. ст. 2); от 12.07.2023 № 25-VIII (вводится в действие по истечении шестидесяти календарных дней после дня его первого официального опубликования); от 12.12.2023 № 45-VIII (вводится в действие с 01.01.2024); от 15.07.2025 № 208-VIII (порядок введения в действие см. ст. 2.).
РАЗДЕЛ 2. НАЛОГОВОЕ ОБЯЗАТЕЛЬСТВО
Глава 4. ОБЩИЕ ПОЛОЖЕНИЯ
Статья 31. Налоговое обязательство
1. Налоговым обязательством признается обязательство налогоплательщика перед государством, возникающее в соответствии с налоговым законодательством Республики Казахстан, в силу которого налогоплательщик обязан совершать действия, указанные в пункте 2 статьи 36 настоящего Кодекса.
2. Государство в лице налогового органа имеет право требовать от налогоплательщика (налогового агента) исполнения его налогового обязательства в полном объеме, а в случае неисполнения или ненадлежащего исполнения налогового обязательства применять способы по его обеспечению и меры принудительного исполнения в порядке, определенном настоящим Кодексом.
Статья 32. Объект налогообложения и (или) объект, связанный с налогообложением
Объектом налогообложения и (или) объектом, связанным с налогообложением, являются имущество и действия, с наличием и (или) на основании которых у налогоплательщика возникает налоговое обязательство.
Статья 33. Налоговая база
Налоговая база представляет собой стоимостную, физическую или иные характеристики объекта налогообложения, на основании которых определяются суммы налогов и платежей, подлежащие уплате в бюджет.
Статья 34. Налоговая ставка
1. Налоговая ставка представляет собой величину налогового обязательства по исчислению налога и платежа в бюджет на единицу измерения объекта налогообложения или налоговой базы.
2. Налоговая ставка устанавливается в процентах или в абсолютной сумме на единицу измерения объекта налогообложения или налоговой базы.
Статья 35. Налоговый период
Под налоговым периодом понимается период времени, установленный применительно к отдельным видам налогов и платежей в бюджет, по окончании которого определяются объект налогообложения, налоговая база, исчисляются суммы налогов и платежей, подлежащие уплате в бюджет.
Глава 5. ИСПОЛНЕНИЕ НАЛОГОВОГО ОБЯЗАТЕЛЬСТВА
Статья 36. Исполнение налогового обязательства
1. Исполнение налогового обязательства осуществляется налогоплательщиком самостоятельно, если иное не установлено настоящим Кодексом.
2. Во исполнение налогового обязательства налогоплательщик совершает следующие действия:
1) встает на регистрационный учет в налоговом органе;
2) ведет учет объектов налогообложения и (или) объектов, связанных с налогообложением;
3) исчисляет, исходя из объектов налогообложения и (или) объектов, связанных с налогообложением, налоговой базы и налоговых ставок, суммы налогов и платежей, подлежащие уплате в бюджет, а также авансовые и текущие платежи по ним в соответствии с Особенной частью настоящего Кодекса;
4) составляет и представляет, за исключением налоговых регистров, налоговые формы и иные формы, установленные настоящим Кодексом, налоговым органам в установленном порядке;
5) уплачивает исчисленные и начисленные суммы налогов и платежей в бюджет, авансовые и текущие платежи по налогам и платежам в бюджет в соответствии с Особенной частью настоящего Кодекса.
3. Налоговое обязательство должно быть исполнено налогоплательщиком в порядке и сроки, которые установлены налоговым законодательством Республики Казахстан.
В случаях, предусмотренных Особенной частью настоящего Кодекса, налоговое обязательство может быть исполнено налогоплательщиком-физическим лицом путем внесения в течение налогового периода нескольких платежей, общая сумма которых не может быть менее исчисленной суммы налога.
4. Налоговое обязательство налогоплательщика по уплате налогов и платежей в бюджет, а также обязательство по уплате пени и штрафов, исполняемые в безналичной форме, считаются исполненными со дня получения к исполнению платежного поручения на сумму налогов и платежей в бюджет, пени и штрафов банком второго уровня или организацией, осуществляющей отдельные виды банковских операций, или со дня осуществления платежа через банкоматы или электронные терминалы, а в наличной форме – со дня внесения налогоплательщиком указанных сумм в банк второго уровня или организацию, осуществляющую отдельные виды банковских операций, уполномоченный государственный орган, местный исполнительный орган.
5. При уплате налогов, платежей в бюджет, перечислении социальных платежей уполномоченным представителем налогоплательщика в случаях, установленных настоящим Кодексом, в платежных документах отправителем денег указываются фамилия, имя, отчество (если оно указано в документе, удостоверяющем личность) или наименование налогоплательщика и его идентификационный номер.
6. Налоговое обязательство налогоплательщика по уплате налога, исполняемое налоговым агентом, считается исполненным со дня удержания налога.
7. Налоговое обязательство по уплате налогов, платежей в бюджет, а также обязательство по уплате пени и штрафов могут быть исполнены путем проведения зачетов в порядке, определенном статьей 102 настоящего Кодекса.
8. Налоговое обязательство по уплате налогов, платежей в бюджет, а также обязательство по уплате пени и штрафов исполняются в национальной валюте, за исключением случаев, предусмотренных настоящим Кодексом, Законом Республики Казахстан «Об акционерных обществах», а также случаев, когда законодательством Республики Казахстан и соглашениями (контрактами) о разделе продукции, контрактом на недропользование, утвержденным Президентом Республики Казахстан, указанными в статье 722 настоящего Кодекса, предусмотрена натуральная форма уплаты или уплата в иностранной валюте.
Статья 37. Особенности исчисления налогов и платежей в бюджет при исполнении налогового обязательства
1. Исчисление суммы налогов, удерживаемых у источника выплаты, осуществляется налоговым агентом.
2. В случаях, предусмотренных Особенной частью настоящего Кодекса, обязанность по исчислению суммы отдельных видов налогов и платежей в бюджет может быть возложена на налоговый орган и уполномоченные государственные органы.
Статья 38. Сроки исполнения налогового обязательства
1. Сроки исполнения налогового обязательства устанавливаются настоящим Кодексом.
2. Течение срока начинается со дня, следующего за днем, в течение которого произошло фактическое событие или юридическое действие, которым определено начало срока исполнения налогового обязательства.
Срок истекает в конце последнего дня налогового периода. Если последний день срока приходится на нерабочий день, то срок истекает в конце следующего рабочего дня.
3. Налогоплательщик (налоговый агент) вправе исполнить налоговое обязательство досрочно.
Если иное не установлено настоящим Кодексом, налоговое обязательство по представлению налоговой отчетности исполняется налогоплательщиком (налоговым агентом) по окончании налогового периода.
Статья 39. Порядок погашения налоговой задолженности
Погашение налоговой задолженности производится в следующем порядке:
1) сумма недоимки;
2) начисленная пеня;
3) сумма штрафов.
Статья 40. Исполнение налогового обязательства при передаче имущества в доверительное управление
1. Для целей настоящего Кодекса под налоговым обязательством по деятельности по доверительному управлению понимается налоговое обязательство, возникающее в результате учреждения доверительного управления имуществом, в процессе его осуществления и (или) прекращения.
Исполнение налогового обязательства по корпоративному и индивидуальному подоходным налогам по деятельности по доверительному управлению осуществляется:
1) учредителем доверительного управления по договору доверительного управления имуществом, акту об учреждении доверительного управления имуществом или выгодоприобретателем в иных случаях возникновения доверительного управления имуществом (далее по тексту настоящего Кодекса – учредитель доверительного управления) по:
переданным в доверительное управление доле участия и (или) акциям;
переданному в доверительное управление Национальному Банку Республики Казахстан имуществу, за исключением активов Национального фонда Республики Казахстан;
имуществу, переданному в доверительное управление по акту об учреждении доверительного управления имуществом;
доходу, полученному юридическим лицом, индивидуальным предпринимателем от банка второго уровня по доверительным операциям;
составлению и представлению декларации в соответствии с Конституционным законом Республики Казахстан «О выборах в Республике Казахстан», Уголовно-исполнительным кодексом Республики Казахстан и Законом Республики Казахстан «О противодействии коррупции», если учредитель доверительного управления является физическим лицом, на которого возложена такая обязанность.
Для целей настоящего Кодекса под актом об учреждении доверительного управления имуществом понимается документ, который служит основанием возникновения доверительного управления имуществом, по которому доверительными управляющим является физическое лицо-нерезидент или юридическое лицо-нерезидент, не осуществляющее деятельность в Республике Казахстан;
2) доверительным управляющим – в иных случаях. При этом налоговое обязательство по доходу, полученному физическим лицом, кроме индивидуального предпринимателя, и юридическим лицом — нерезидентом, осуществляющим деятельность в Республике Казахстан без образования постоянного учреждения, от доверительных операций, осуществляемых банком второго уровня, являющимся налоговым агентом, исполняется таким банком второго уровня в виде исполнения обязанностей налогового агента.
Доверительный управляющий исполняет налоговые обязательства, возникающие с даты:
государственной регистрации права доверительного управления имуществом, – в случае, если в соответствии с законодательством Республики Казахстан такое право подлежит государственной регистрации;
заключения договора доверительного управления имуществом или документа, подтверждающего наступление иного случая возникновения доверительного управления имуществом, – в случае, если в соответствии с законодательством Республики Казахстан право доверительного управления не подлежит государственной регистрации.
2. Исполнение налогового обязательства, возникающего по налогу на добавленную стоимость по деятельности по доверительному управлению, осуществляется доверительным управляющим в порядке, определенном разделом 10 и статьями 82 и 83 настоящего Кодекса.
3. Исполнение налогового обязательства, возникающего по налогам, не указанным в пунктах 1 и 2 настоящей статьи, и платежам в бюджет, осуществляется лицом, признаваемым плательщиком такого налога, платежа в бюджет в соответствии с настоящим Кодексом, если иное не установлено статьей 41 настоящего Кодекса.
4. Доверительный управляющий-физическое лицо, являющийся резидентом, должен встать на регистрационный учет в налоговом органе в качестве индивидуального предпринимателя в порядке, определенном статьей 79 настоящего Кодекса, кроме случаев получения в доверительное управление имущества в виде доли участия и акций.
5. Положения настоящей статьи и статей 41 – 45 настоящего Кодекса не применяются к налоговым обязательствам, возникающим в результате учреждения, осуществления и (или) прекращения управляющей компанией доверительного управления активами инвестиционного фонда в соответствии с законодательством Республики Казахстан об инвестиционных и венчурных фондах.
Сноска. Статья 40 с изменениями, внесенными законами РК от 04.07.2018 № 174-VІ (вводится в действие по истечении десяти календарных дней после дня его первого официального опубликования); от 10.12.2020 № 382-VI (вводится в действие с 01.01.2021).
Статья 41. Особенности исполнения налогового обязательства при передаче государственными учреждениями имущества в доверительное управление
1. При передаче государственными учреждениями имущества в доверительное управление налоговые обязательства по налогу на имущество, земельному налогу и налогу на транспортные средства подлежат исполнению доверительным управляющим, если иное не установлено договором доверительного управления имуществом или актом об учреждении доверительного управления имуществом, за исключением электрических сетей, находящихся на праве хозяйственного ведения или оперативного управления государственных юридических лиц, переданных в доверительное управление или безвозмездное пользование энергопередающим организациям, непосредственно к электрическим сетям которых они подключены в соответствии со статьей 13-1 Закона Республики Казахстан «Об электроэнергетике».
2. Доверительный управляющий исполняет налоговые обязательства, если иное не установлено договором доверительного управления имуществом или актом об учреждении доверительного управления имуществом, по исчислению и уплате налогов, составлению и представлению налоговой отчетности с даты:
государственной регистрации права доверительного управления – в случае, если в соответствии с законодательством Республики Казахстан требуется государственная регистрация такого права;
заключения договора доверительного управления имуществом или акта об учреждении доверительного управления имуществом – в случае, если в соответствии с законодательством Республики Казахстан не требуется государственная регистрация права доверительного управления.
3. Доверительный управляющий:
исполняет налоговые обязательства, если иное не установлено договором доверительного управления имуществом или актом об учреждении доверительного управления имуществом, по исчислению и уплате налогов, составлению и представлению налоговой отчетности от своего имени, по ставкам и в порядке, которые установлены Особенной частью настоящего Кодекса для лиц, к числу которых относится такой доверительный управляющий;
обязан, в целях исполнения налогового обязательства при передаче имущества в доверительное управление, вести раздельный учет в соответствии со статьей 194 настоящего Кодекса.
4. В случае если при передаче государственными учреждениями имущества в доверительное управление имущество государственного учреждения не учитывается у доверительного управляющего в составе основных средств, инвестиций в недвижимость в соответствии с международными стандартами финансовой отчетности и (или) требованиями законодательства Республики Казахстан о бухгалтерском учете и финансовой отчетности, то в акте приема-передачи такого имущества должна быть отражена балансовая стоимость такого имущества на дату его составления.
Сноска. Статься 41 с изменениями, внесенными Законом РК от 10.12.2020 № 382-VI (порядок введения в действие см. ст. 2).
Статья 42. Общие положения по учету доходов, затрат и имущества, возникающих в результате доверительного управления имуществом, по корпоративному и индивидуальному подоходным налогам
1. Для целей настоящего Кодекса под доходами, затратами и имуществом от доверительного управления имуществом понимаются возникающие в процессе осуществления доверительным управляющим обязанностей по доверительному управлению имуществом от своего имени и в интересах учредителя доверительного управления, соответственно:
подлежащие получению (полученные) доходы;
подлежащие выплате (произведенные) затраты, возмещение которых предусмотрено договором доверительного управления имуществом, актом об учреждении доверительного управления имуществом или в иных случаях возникновения доверительного управления имуществом, в том числе вознаграждение;
имущество, приобретенное и (или) полученное доверительным управляющим в процессе осуществления обязанностей по доверительному управлению имуществом от своего имени и в интересах учредителя доверительного управления.
2. Доверительный управляющий в целях исполнения налогового обязательства по корпоративному и индивидуальному подоходным налогам по деятельности по договору доверительного управления обязан вести раздельный учет в соответствии со статьями 194 и 195 настоящего Кодекса.
3. Передача доверительному управляющему имущества учредителем доверительного управления не является для данного учредителя реализацией такого имущества и не признается доходом доверительного управляющего.
4. Возврат доверительным управляющим имущества учредителю доверительного управления при прекращении действия договора доверительного управления имуществом, акта об учреждении доверительного управления имуществом или в иных случаях возникновения доверительного управления имуществом не является для данного управляющего реализацией такого имущества и не признается доходом (убытком) учредителя доверительного управления.
5. Положительная разница между доходами и затратами от доверительного управления за налоговый период, определяемая на основании предусмотренного гражданским законодательством Республики Казахстан отчета доверительного управляющего о своей деятельности, является чистым доходом от доверительного управления учредителя доверительного управления.
6. В случаях, когда в соответствии с пунктом 1 статьи 40 настоящего Кодекса исполнение налоговых обязательств по корпоративному и индивидуальному подоходным налогам по деятельности по доверительному управлению имуществом осуществляется доверительным управляющим, учредитель доверительного управления не вправе относить на вычеты сумму вознаграждения, предусмотренного договором доверительного управления имуществом или в иных случаях возникновения доверительного управления имуществом и выплачиваемого доверительному управляющему.
Статья 43. Особенности налогового учета доверительного управляющего, исполняющего налоговое обязательство по корпоративному и индивидуальному подоходным налогам
1. В случае, когда исполнение налогового обязательства по корпоративному и индивидуальному подоходным налогам по деятельности по доверительному управлению в соответствии со статьей 40 настоящего Кодекса осуществляется доверительным управляющим, доходы, затраты и имущество от доверительного управления имуществом являются для целей налогового учета доходами, затратами и имуществом доверительного управляющего.
Вознаграждение, предусмотренное договором доверительного управления или в иных случаях возникновения доверительного управления имуществом, включается в совокупный годовой доход доверительного управляющего, учитываемый раздельно от доходов от доверительного управления имуществом.
Доверительный управляющий при определении объекта обложения по деятельности по доверительному управлению относит на вычеты сумму вознаграждения, включенную в его совокупный годовой доход, учитываемый раздельно от доходов от доверительного управления имуществом.
2. Доверительный управляющий составляет и представляет единую декларацию по корпоративному подоходному налогу в целом по всей деятельности, включая деятельность, осуществляемую в интересах учредителя доверительного управления, и приложения к декларации – по деятельности по доверительному управлению отдельно по каждому договору доверительного управления имуществом или иному случаю возникновения доверительного управления имуществом и прочей деятельности.
3. Доверительный управляющий-юридическое лицо исполняет обязательства по корпоративному подоходному налогу в порядке, определенном настоящим Кодексом, с учетом следующих особенностей:
применяет ставку корпоративного подоходного налога по деятельности по доверительному управлению имуществом, указанную в пункте 1 статьи 313 настоящего Кодекса;
не применяет положения главы 29 и раздела 21 настоящего Кодекса по деятельности по доверительному управлению имуществом;
не применяет специальные налоговые режимы по деятельности по доверительному управлению имуществом.
4. Доверительный управляющий-физическое лицо в случаях, когда учредителем доверительного управления является юридическое лицо:
исполняет налоговое обязательство по исчислению индивидуального подоходного налога по деятельности по доверительному управлению имуществом по ставке, указанной в пункте 1 статьи 313 настоящего Кодекса без применения положений статьи 341 настоящего Кодекса;
не вправе применять специальные налоговые режимы по деятельности по доверительному управлению имуществом;
исполняет прочие налоговые обязательства по индивидуальному подоходному налогу в порядке, который определен Особенной частью настоящего Кодекса для лиц, к числу которых относится доверительный управляющий.
5. Доверительный управляющий-физическое лицо в случаях, когда учредителем доверительного управления является физическое лицо-резидент:
исполняет налоговое обязательство по исчислению индивидуального подоходного налога по деятельности по доверительному управлению имуществом без применения положений статьи 341 настоящего Кодекса;
не вправе применять специальный налоговый режим по деятельности по доверительному управлению;
исполняет прочие налоговые обязательства по индивидуальному подоходному налогу в порядке, который определен Особенной частью настоящего Кодекса для лиц, к числу которых относится доверительный управляющий.
6. Доверительный управляющий-физическое лицо в случаях, когда учредителем доверительного управления является физическое лицо-нерезидент, исполняет налоговые обязательства по индивидуальному подоходному налогу в порядке, определенном настоящим Кодексом, с учетом следующих особенностей:
применяет ставку, указанную в подпункте 1) пункта 1 статьи 646 настоящего Кодекса, по деятельности по доверительному управлению имуществом;
не применяет положения статьи 341 настоящего Кодекса;
не применяет специальные налоговые режимы.
Сноска. Статья 43 с изменением, внесенным Законом РК от 02.04.2019 № 241-VI (вводится в действие с 01.01.2018).
Статья 44. Особенности налогового учета по корпоративному и индивидуальному подоходным налогам при доверительном управлении имуществом в виде доли участия и акций
1. Для целей налогового учета:
доход в виде дивидендов по доле участия и акциям, находящимся в доверительном управлении, уменьшенный на сумму затрат, произведенных доверительным управляющим, возмещенных (подлежащих возмещению) на основании договора доверительного управления имуществом, акта об учреждении доверительного управления имуществом или иных случаев возникновения доверительного управления имуществом и отчета доверительного управляющего о своей деятельности (далее – дивиденды от доверительного управления), является доходом учредителя доверительного управления;
имущество от доверительного управления долей участия и акциями является имуществом учредителя доверительного управления.
Вознаграждение, предусмотренное договором доверительного управления имуществом, актом об учреждении доверительного управления имуществом или в иных случаях возникновения доверительного управления имуществом, подлежащее выплате доверительному управляющему, является затратами учредителя доверительного управления.
В доход доверительного управляющего от доверительного управления долей участия и акциями включаются:
вознаграждение, предусмотренное актом об учреждении доверительного управления имуществом;
сумма затрат, произведенных доверительным управляющим, возмещение которых предусмотрено договором доверительного управления имуществом, актом об учреждении доверительного управления имуществом или в иных случаях возникновения доверительного управления имуществом и отчетом доверительного управляющего о своей деятельности.
Затраты от доверительного управления долей участия и акциями, произведенные доверительным управляющим, возмещение которых предусмотрено договором доверительного управления имуществом, актом об учреждении доверительного управления имуществом или в иных случаях возникновения доверительного управления имуществом и отчетом доверительного управляющего о своей деятельности, являются для целей налогового учета затратами такого доверительного управляющего.
Такие затраты уменьшают доход учредителя доверительного управления в виде дивидендов по доле участия и акциям, находящимся в доверительном управлении, и не учитываются в качестве затрат, расходов у учредителя доверительного управления.
2. Учредитель доверительного управления исполняет налоговое обязательство по корпоративному и индивидуальному подоходным налогам в порядке, определенном настоящим Кодексом.
3. Доверительный управляющий исполняет налоговое обязательство по корпоративному и индивидуальному подоходным налогам по доходам, затратам и имуществу от доверительного управления долей участия и акциями в порядке, который определен Особенной частью настоящего Кодекса для лиц, к числу которых относится такой управляющий.
Сноска. Статья 44 с изменением, внесенным Законом РК от 21.12.2022 № 165-VII (вводится в действие с 01.01.2023).
Статья 45. Особенности налогового учета по корпоративному и индивидуальному подоходным налогам по актам об учреждении доверительного управления имуществом, кроме доли участия и акций
1. Для целей налогового учета:
доход по имуществу, находящемуся в доверительном управлении, кроме доли участия и акций, уменьшенный на сумму затрат, произведенных доверительным управляющим — нерезидентом, возмещенных (подлежащих возмещению) на основании акта об учреждении доверительного управления имуществом и отчета доверительного управляющего о своей деятельности, является доходом учредителя доверительного управления;
имущество от доверительного управления таким имуществом является имуществом учредителя доверительного управления;
вознаграждение, предусмотренное актом об учреждении доверительного управления имуществом, подлежащее выплате доверительному управляющему, является затратами учредителя доверительного управления.
В доход доверительного управляющего от доверительного управления имуществом, кроме доли участия и акций, включаются:
вознаграждение, предусмотренное актом об учреждении доверительного управления имуществом;
сумма затрат, произведенных доверительным управляющим, возмещение которых предусмотрено актом об учреждении доверительного управления имуществом и отчетом доверительного управляющего о своей деятельности.
Затраты от доверительного управления имуществом, кроме доли участия и акций, произведенные доверительным управляющим, возмещение которых предусмотрено актом об учреждении доверительного управления имуществом и отчетом доверительного управляющего о своей деятельности, являются затратами такого доверительного управляющего.
Такие затраты уменьшают доход учредителя доверительного управления по имуществу, находящемуся в доверительном управлении, и не учитываются в качестве затрат у учредителя доверительного управления.
2. Учредитель доверительного управления исполняет налоговое обязательство по корпоративному и индивидуальному подоходным налогам по доходу от доверительного управления и имуществу от доверительного управления в порядке, определенном настоящим Кодексом для лиц, к числу которых относится такой учредитель.
3. Доверительный управляющий исполняет налоговое обязательство по корпоративному и индивидуальному подоходным налогам по доходам, затратам и имуществу от доверительного управления в порядке, определенном настоящим Кодексом для лиц, к числу которых относится такой управляющий.
Статья 46. Исполнение налогового обязательства физического лица, признанного безвестно отсутствующим
1. Налоговое обязательство физического лица приостанавливается с момента признания его безвестно отсутствующим на основании вступившего в силу решения суда.
2. Налоговая задолженность физического лица, признанного судом безвестно отсутствующим, погашается лицом, на которого возложена обязанность по опеке над имуществом физического лица, признанного безвестно отсутствующим.
3. Если имущества физического лица, признанного безвестно отсутствующим, недостаточно для погашения налоговой задолженности, то непогашенная часть его налоговой задолженности списывается налоговым органом на основании решения суда о недостаточности имущества.
4. При отмене судом решения о признании лица безвестно отсутствующим действие ранее списанной налоговым органом налоговой задолженности возобновляется в судебном порядке независимо от срока исковой давности, установленного статьей 48 настоящего Кодекса.
Статья 47. Погашение налоговой задолженности умершего физического лица
1. Налоговая задолженность, образовавшаяся на день смерти физического лица или на дату объявления его умершим на основании вступившего в силу решения суда, погашается наследником (наследниками) в пределах стоимости наследуемого имущества и пропорционально доле в наследстве на дату его получения.
Если имущества умершего физического лица, а также физического лица, объявленного умершим на основании вступившего в силу решения суда, недостаточно для погашения налоговой задолженности, то непогашенная часть налоговой задолженности списывается налоговым органом на основании решения суда о недостаточности имущества.
2. В случае если наследник (наследники) является (являются) несовершеннолетним (несовершеннолетними), то обязательство по погашению налоговой задолженности физического лица, образовавшейся на день его смерти или на дату объявления его умершим, в пределах стоимости наследуемого имущества и пропорционально доле в наследстве на дату его получения возлагается на такого (таких) наследника (наследников) только на основании вступившего в силу решения суда.
3. Налоговая задолженность физического лица, образовавшаяся на день его смерти или на дату объявления его умершим на основании вступившего в силу решения суда, считается погашенной в случаях, если:
1) несовершеннолетний (несовершеннолетние) наследник (наследники) освобожден (освобождены) от исполнения налогового обязательства по погашению такой задолженности на основании вступившего в силу решения суда;
2) отсутствует наследник (наследники).
При отмене судом решения об объявлении физического лица умершим действие ранее списанной налоговым органом налоговой задолженности возобновляется в судебном порядке независимо от срока исковой давности, установленного статьей 48 настоящего Кодекса.
4. Положения настоящей статьи применяются при погашении налоговой задолженности, образовавшейся на дату смерти или объявления умершим на основании вступившего в силу решения суда индивидуального предпринимателя, лица, занимающегося частной практикой.
Статья 48. Сроки исковой давности по налоговому обязательству и требованию
1. Исковой давностью по налоговому обязательству и требованию признается период времени, в течение которого:
1) налоговый орган вправе исчислить, начислить или пересмотреть исчисленную, начисленную сумму налогов и платежей в бюджет;
2) налогоплательщик (налоговый агент) обязан представить налоговую отчетность, вправе внести изменения и дополнения в налоговую отчетность, отозвать налоговую отчетность;
3) налогоплательщик, (налоговый агент) вправе потребовать зачет и (или) возврат налогов и платежей в бюджет, пени.
2. Если иное не предусмотрено настоящей статьей, срок исковой давности составляет три года.
3. Срок исковой давности составляет пять лет с учетом особенностей, установленных настоящей статьей, для следующих категорий налогоплательщиков:
1) субъектов крупного предпринимательства, отнесенных к такой категории субъектов в соответствии с Предпринимательским кодексом Республики Казахстан;
2) осуществляющих деятельность в соответствии с контрактом на недропользование;
3) резидентов Республики Казахстан, соответствующих условиям главы 30 настоящего Кодекса.
4) физических лиц, к единовременным пенсионным выплатам которых не применены налоговым агентом стандартные налоговые вычеты по причине обращения физического лица с заявлением и подтверждающими документами на применение стандартных налоговых вычетов позже даты удержания индивидуального подоходного налога с дохода в виде единовременных пенсионных выплат, – в части указанного дохода.
4. Течение срока исковой давности начинается после окончания соответствующего налогового периода, за исключением случаев, предусмотренных пунктами 5, 6, 7, 8 и 12 настоящей статьи.
5. Налогоплательщик вправе исчислить, а налоговый орган вправе исчислить и начислить сумму налогов:
1) при применении глав 80 и 80-1 настоящего Кодекса по налогам, указанным в инвестиционном контракте, предусматривающем реализацию инвестиционного приоритетного проекта, или соглашении об инвестициях, – в течение периода действия такого контракта или соглашения и пяти лет с даты истечения срока действия или иного прекращения действия инвестиционного контракта или соглашения;
2) при применении подпункта 4) пункта 1 статьи 288 настоящего Кодекса – в период обучения физического лица и пяти лет со дня завершения обучения физического лица.
6. По налогоплательщикам, осуществляющим деятельность в соответствии с контрактом на недропользование, налоговый орган в течение периода действия контракта на недропользование и пяти лет после завершения срока действия контракта на недропользование вправе начислить или пересмотреть исчисленную, начисленную сумму следующих налогов, платежей в бюджет:
налога на сверхприбыль;
доли Республики Казахстан по разделу продукции;
налогов и платежей в бюджет, в методике расчета которых используется один из следующих показателей: внутренняя норма рентабельности (ВНР) или внутренняя норма прибыли или R-фактор (показатель доходности).
6-1. Налогоплательщик вправе исчислить, а налоговый орган вправе исчислить и начислить сумму налогов и платежей в бюджет за период действия соглашения об инвестиционных обязательствах, заключенного в соответствии с Предпринимательским кодексом Республики Казахстан, в течение периода действия такого соглашения и пяти лет с даты истечения срока действия или иного прекращения действия соглашения об инвестиционных обязательствах, начиная с первого января года, следующего за годом прекращения действия такого соглашения.
7. Течение срока исковой давности начинается в случаях:
1) применения пункта 1 статьи 432 настоящего Кодекса по налоговому обязательству и требованию о возврате суммы превышения налога на добавленную стоимость за период строительства зданий и сооружений производственного назначения – после окончания налогового периода, в котором впервые введены в эксплуатацию на территории Республики Казахстан такие здания и сооружения;
2) применения пункта 2 статьи 432 настоящего Кодекса по налоговому обязательству и требованию о возврате суммы превышения налога на добавленную стоимость за период проведения геологоразведочных работ и обустройства месторождения – после окончания налогового периода, на который приходится начало экспорта полезных ископаемых, добытых в рамках соответствующего контракта на недропользование, за исключением общераспространенных полезных ископаемых, подземных вод и лечебных грязей.
Если экспорт осуществлен до 1 января 2016 года, течение срока исковой давности начинается с 1 января 2016 года;
3) проведения возврата и (или) зачета в соответствии со статьей 104 настоящего Кодекса подтвержденной суммы превышения налога на добавленную стоимость, указанного в статье 432 настоящего Кодекса, – после окончания налогового периода, в котором подтверждена достоверность предъявленной к возврату суммы превышения налога на добавленную стоимость, в том числе по итогам обжалования результатов проверки в соответствии с законодательством Республики Казахстан.
8. Для целей начисления или пересмотра исчисленной, начисленной суммы налога на добавленную стоимость, указанного в подпунктах 1) и 2) пункта 7 настоящей статьи, течение срока исковой давности начинается после окончания налогового периода, в котором налогоплательщиком представлена декларация по налогу на добавленную стоимость с требованием о возврате суммы превышения налога на добавленную стоимость.
9. Срок исковой давности продлевается:
1) на один календарный год – в случае представления налогоплательщиком (налоговым агентом) дополнительной налоговой отчетности за период, по которому срок исковой давности, установленный пунктами 2 и 3 настоящей статьи, истекает менее чем через один календарный год, в части начисления и (или) пересмотра исчисленной суммы налогов и платежей в бюджет;
2) на три календарных года – в случае представления налогоплательщиком (налоговым агентом) дополнительной налоговой отчетности с изменениями и дополнениями в части переноса убытков за период, по которому срок исковой давности, установленный пунктами 2 и 3 настоящей статьи, истекает менее чем через один календарный год, в части начисления и (или) пересмотра исчисленной суммы корпоративного подоходного налога в бюджет;
3) до исполнения решения, вынесенного по результатам рассмотрения жалобы (заявления), в следующих случаях:
обжалования налогоплательщиком (налоговым агентом) в порядке, определенном законодательством Республики Казахстан, уведомления о результатах проверки, уведомления по результатам горизонтального мониторинга, а также действий (бездействие) должностных лиц налоговых органов – в обжалуемой части;
рассмотрения налогового заявления нерезидента на возврат подоходного налога из бюджета на основании международного договора;
обжалования нерезидентом в порядке, определенном законодательством Республики Казахстан, решения налогового органа, вынесенного по результатам рассмотрения налогового заявления на возврат подоходного налога из бюджета на основании международного договора;
обжалования нерезидентом решения уполномоченного органа, вынесенного по результатам рассмотрения жалобы нерезидента на указанное в абзаце четвертом настоящего подпункта решение налогового органа;
4) до исполнения решения уполномоченного органа и (или) компетентного органа иностранного государства, принятого по итогам процедуры взаимного согласования, – в случае проведения уполномоченным органом процедуры взаимного согласования в соответствии со статьей 221 настоящего Кодекса;
5) до исполнения уведомления об устранении нарушений, выявленных налоговыми органами по результатам камерального контроля, направленного и врученного до истечения срока исковой давности, в части выявленных нарушений;
6) со дня вручения рекомендации по результатам горизонтального мониторинга до исполнения решения по результатам горизонтального мониторинга;
7) в случае если инвестором инициировано разбирательство в международном арбитраже, то налоговый орган вправе начислить или пересмотреть исчисленную, начисленную сумму налогов и платежей в бюджет налогоплательщика, по которой инвестором инициировано разбирательство, за период с момента обжалуемого инвестором периода и до момента вынесения окончательного решения по данному арбитражному разбирательству – в течение пяти лет после завершения такого арбитражного разбирательства;
8) на три календарных года со дня завершения оказания услуги по коллекторской деятельности в отношении задолженности по договору о взыскании задолженности, установленного законодательством Республики Казахстан, в части начисления и (или) пересмотра исчисленной, начисленной суммы налогов и платежей в бюджет налогоплательщика, осуществляющего коллекторскую деятельность.
10. Срок исковой давности в части начисления или пересмотра исчисленной, начисленной суммы налогов и платежей в бюджет приостанавливается на период:
подготовки и подачи письменного возражения налогоплательщиком (налоговым агентом) на предварительный акт налоговой проверки и его рассмотрения налоговым органом в порядке, определенном законодательством Республики Казахстан;
направления запросов и получения по ним документов и (или) информации во время проведения налоговой проверки в соответствии с законодательством Республики Казахстан о трансфертном ценообразовании. При этом общий срок исковой давности в части пересмотра исчисленной, начисленной суммы налогов и платежей в бюджет с учетом его приостановления не может превышать семь лет;
времени с даты завершения налоговой проверки до завершения производства по уголовному делу в случае проведенной налоговой проверки в рамках досудебного расследования.
11. Начисление или пересмотр исчисленной суммы налогов и платежей в бюджет по действию (действиям) по выписке счета-фактуры, совершенному (совершенным) с субъектом частного предпринимательства без фактической отгрузки товаров, выполнения работ, оказания услуг, производится налоговым органом по налоговому обязательству и (или) требованию на основании вступивших в законную силу решения, приговора, постановления суда – в пределах срока исковой давности.
12. Излишне (ошибочно) уплаченная сумма налога и платежа в бюджет, пеней подлежит зачету и (или) возврату в размере сумм, уплаченных в течение текущего года и предыдущих календарных лет в пределах срока исковой давности, установленного пунктами 2 и 3 настоящей статьи, за исключением случая, установленного статьей 108 настоящего Кодекса.
Сноска. Статья 48 с изменениями, внесенными законами РК от 10.12.2020 № 382-VI (порядок введения в действие см. ст. 2); от 20.12.2021 № 85-VII (вводится в действие с 01.01.2022); от 15.07.2025 № 208-VIII (вводится в действие с 01.01.2021).
Глава 6. Изменение сроков исполнения налогового обязательства по уплате налогов, государственной пошлины и (или) плат. Основание прекращения налогового обязательства. Инвестиционный налоговый кредит
Сноска. Заголовок главы 6 — в редакции Закона РК от 12.12.2023 № 45-VIII (вводится в действие с 01.01.2024).
Статья 49. Общие положения об изменении сроков исполнения налогового обязательства по уплате налогов и (или) плат
1. Изменением сроков исполнения налогового обязательства по уплате налогов и (или) плат, признается перенос установленного настоящим Кодексом срока их уплаты на более поздний срок либо продление сроков погашения налоговой задолженности. Положения настоящего пункта не применяются в отношении сумм штрафов.
Для целей настоящей главы под платами понимаются платы за:
пользование земельными участками;
пользование водными ресурсами поверхностных источников;
негативное воздействие на окружающую среду.
2. Изменение сроков исполнения налогового обязательства по уплате налогов и (или) плат осуществляется в форме отсрочки, рассрочки по уплате налогов и (или) плат, исчисленных налогоплательщиком согласно представленной налоговой отчетности, а также начисленных налоговым органом по результатам налоговых проверок, по данным уполномоченных государственных органов.
Срок уплаты налогов и (или) плат может быть изменен в отношении всей подлежащей уплате суммы налога и (или) платы либо ее части.
3. Сроки исполнения налогового обязательства по налогам, удерживаемым у источника выплаты, акцизам, налогу на добавленную стоимость на товары, импортируемые с территории государств-членов Евразийского экономического союза, подписному бонусу, а также налогам, поступающим в соответствии с бюджетным законодательством Республики Казахстан в Национальный фонд Республики Казахстан, изменению не подлежат.
Изменение срока уплаты косвенных налогов по импортируемым товарам, за исключением товаров, импортируемых с территории государств-членов Евразийского экономического союза, производится по налогу на добавленную стоимость и акцизу, за исключением акциза по импортируемым товарам, подлежащим маркировке в соответствии с настоящим Кодексом в порядке, определенном пунктами 9 и 10 настоящей статьи.
4. Сроки исполнения налогового обязательства по уплате налогов и (или) плат не могут быть изменены в случае прекращения налоговым органом действия ранее вынесенного решения об изменении сроков исполнения налогового обязательства по уплате налогов и (или) плат в связи с нарушением налогоплательщиком графика исполнения налогового обязательства в течение трех лет, предшествующих дню подачи налогоплательщиком заявления об изменении сроков исполнения налогового обязательства по уплате налогов и (или) плат.
5. Изменение сроков исполнения налогового обязательства по уплате налогов и (или) плат производится под залог имущества налогоплательщика и (или) третьего лица, и (или) под банковскую гарантию.
6. Налоговое заявление об изменении сроков исполнения налогового обязательства по уплате налогов и (или) плат представляется налогоплательщиком по форме, установленной уполномоченным органом, с приложением предполагаемого графика по уплате налогов и (или) плат.
7. Изменение сроков исполнения налогового обязательства по уплате налогов и (или) плат не освобождает налогоплательщика от уплаты пени за несвоевременную их уплату в соответствии со статьей 117 настоящего Кодекса, за исключением случая предоставления отсрочки или рассрочки по уплате налогов и (или) плат:
в рамках процедуры реструктуризации задолженности, предусмотренной законодательством Республики Казахстан о реабилитации и банкротстве;
по основанию, предусмотренному подпунктом 1) пункта 2 статьи 51 настоящего Кодекса.
8. Положения настоящей главы применяются также при предоставлении отсрочки или рассрочки по уплате пени.
9. Основанием изменения срока уплаты косвенных налогов по импортируемым товарам является представленная в соответствии с таможенным законодательством Евразийского экономического союза и (или) таможенным законодательством Республики Казахстан в таможенный орган декларация на товары, помещенные под таможенную процедуру выпуска для внутреннего потребления.
Изменение срока уплаты косвенных налогов по импортируемым товарам производится при условии:
1) представления в таможенный орган документов, предусмотренных таможенным законодательством Евразийского экономического союза и (или) таможенным законодательством Республики Казахстан, для таможенной очистки таких импортируемых товаров в полном объеме;
2) если лица, которые в результате применения установленной уполномоченным органом системы управления рисками, отнесены к категории лиц низкой степени риска.
Изменение срока уплаты косвенных налогов по импортируемым товарам в соответствии с настоящей статьей предоставляется путем отражения налоговым органом исчисленной суммы налога в лицевом счете по сроку 20 числа месяца, следующего за месяцем, в котором произведен выпуск импортируемых товаров для внутреннего потребления в соответствии с таможенным законодательством Евразийского экономического союза и (или) таможенным законодательством Республики Казахстан.
10. Изменение срока уплаты налога на добавленную стоимость по импортируемым товарам производится при условии:
1) представления в таможенный орган документов, предусмотренных таможенным законодательством Евразийского экономического союза и (или) таможенным законодательством Республики Казахстан, для таможенной очистки таких импортируемых товаров в полном объеме;
2) лицо, импортирующее товар является уполномоченным экономическим оператором в соответствии с таможенным законодательством Евразийского экономического союза и (или) таможенным законодательством Республики Казахстан;
3) лицо, импортирующее товар на таможенную территорию Евразийского экономического союза с территории портовой специальной экономической зоны или логистической специальной экономической зоны, является участником портовой специальной экономической зоны или участником логистической специальной экономической зоны.
Дополнительным основанием изменения срока уплаты косвенных налогов по импортируемым товарам для лиц, указанных в подпункте 3) части первой настоящего пункта, является наличие обеспечения уплаты налогов в размере не менее 167 000-кратного месячного расчетного показателя.
Основанием изменения срока уплаты косвенных налогов по импортируемым товарам является представленная в соответствии с таможенным законодательством Евразийского экономического союза и (или) таможенным законодательством Республики Казахстан в таможенный орган декларация на товары, помещенные под таможенную процедуру выпуска для внутреннего потребления.
Изменение срока уплаты косвенных налогов по импортируемым товарам в соответствии с настоящей статьей предоставляется путем отражения налоговым органом исчисленной суммы налога в лицевом счете по сроку 20 числа третьего месяца, следующего за месяцем, в котором произведен выпуск импортируемых товаров для внутреннего потребления в соответствии с таможенным законодательством Евразийского экономического союза и (или) таможенным законодательством Республики Казахстан.
Сноска. Статья 49 с изменениями, внесенными законами РК от 03.04.2019 № 243-VI (вводится в действие по истечении десяти календарных дней после дня его первого официального опубликования); от 10.12.2020 № 382-VI (вводится в действие с 01.01.2021); от 02.01.2021 № 402-VI (вводится в действие с 01.01.2022); К от 20.12.2021 № 85-VII (вводится в действие с 01.01.2022); от 21.12.2022 № 165-VII (вводится в действие с 01.01.2023).
Статья 49-1. Инвестиционный налоговый кредит
1. Инвестиционный налоговый кредит представляет собой такое изменение срока уплаты налогов предстоящих периодов, при котором налогоплательщикам предоставляется возможность в течение определенного срока уменьшать на 100 процентов свои платежи по налогу с последующей поэтапной уплатой суммы кредита.
Инвестиционный налоговый кредит может быть предоставлен по корпоративному подоходному налогу и (или) налогу на имущество на срок до трех лет.
2. Порядок уменьшения налоговых платежей определяется заключенным соглашением об инвестиционном налоговом кредите.
3. Если налогоплательщик имеет убыток, перенос убытка осуществляется в порядке, определенном статьей 300 настоящего Кодекса. При этом срок инвестиционного налогового кредита не продлевается.
Сноска. Глава 6 дополнена статьей 49-1 в соответствии с Законом РК от 10.12.2020 № 382-VI (вводится в действие с 01.01.2021).
Статья 50. Орган, уполномоченный принимать решение об изменении срока исполнения налогового обязательства по уплате налогов и (или) плат или предоставлении инвестиционного налогового кредита
Сноска. Заголовок статьи 50 в редакции Закона РК от 10.12.2020 № 382-VI (вводится в действие с 01.01.2021).
1. Решение об изменении срока исполнения налогового обязательства по уплате налогов и (или) плат, поступающих в республиканский бюджет, а также распределяемых между республиканским и местными бюджетами, принимается налоговым органом по месту нахождения налогоплательщика.
2. Решение об изменении срока исполнения налогового обязательства по уплате налогов и (или) плат, поступающих в полном объеме в местные бюджеты, принимается налоговым органом по месту их уплаты, установленному Особенной частью настоящего Кодекса.
3. Решение о предоставлении инвестиционного налогового кредита принимается на основании заявления налогоплательщика и оформляется соглашением установленной формы между заявителем и уполномоченным органом по инвестициям.
Соглашение об инвестиционном налоговом кредите должно содержать следующие положения:
порядок уменьшения налоговых платежей;
срок действия соглашения;
запрет на реализацию или передачу во владение, пользование или распоряжение другим лицам оборудования или иного имущества, приобретение которого налогоплательщиком явилось условием для предоставления инвестиционного налогового кредита;
ответственность сторон.
Копия соглашения не позднее пяти календарных дней со дня его подачи в уполномоченный орган по инвестициям направляется налогоплательщиком в налоговый орган по месту регистрационного учета налогоплательщика.
Порядок заключения соглашения об инвестиционном налоговом кредите для получения инвестиционного налогового кредита определяется уполномоченным органом по инвестициям по согласованию с уполномоченным органом и центральным уполномоченным органом по государственному планированию.
Сноска. Статья 50 с изменениями, внесенными Законом РК от 10.12.2020 № 382-VI (вводится в действие с 01.01.2021).
Статья 51. Порядок и условия предоставления отсрочки или рассрочки по уплате налогов и (или) плат
1. Отсрочка или рассрочка по уплате налогов и (или) плат представляет собой изменение срока уплаты налогов и (или) плат при наличии оснований, предусмотренных настоящей статьей, соответственно с единовременной или поэтапной уплатой сумм налогов и (или) плат. При этом к решению о предоставлении рассрочки по уплате налогов и (или) плат прилагается график исполнения налогового обязательства.
Отсрочка с единовременной уплатой сумм налогов и (или) плат предоставляется на срок, не превышающий шести месяцев.
Рассрочка с ежемесячной или ежеквартальной уплатой сумм налогов и (или) плат равными долями предоставляется на срок, не превышающий трех лет. При этом рассрочка по уплате налогов и (или) плат на срок более одного года может быть предоставлена только под залог недвижимого имущества налогоплательщика и (или) третьего лица и (или) под банковскую гарантию.
Отсрочка или рассрочка может быть предоставлена по одному или нескольким налогам и (или) платам.
2. Отсрочка или рассрочка по уплате налогов и (или) плат может быть предоставлена налогоплательщику, финансовое положение которого не позволяет уплатить налог и (или) плату в установленный срок, однако имеются достаточные основания полагать, что возможность их уплаты возникнет в течение срока, на который предоставляется отсрочка или рассрочка, при наличии одного из следующих оснований:
1) причинение налогоплательщику ущерба в результате непреодолимой силы (чрезвычайные ситуации социального, природного, техногенного, экологического характера, военные действия и иные обстоятельства непреодолимой силы);
2) производство и (или) реализация товаров, работ или услуг налогоплательщиком носит сезонный характер;
3) имущественное положение физического лица, не состоящего на регистрационном учете в качестве индивидуального предпринимателя (без учета имущества, на которое в соответствии с законодательством Республики Казахстан не может быть обращено взыскание), исключает возможность единовременной уплаты налога;
4) принятие судом решения о применении процедуры реструктуризации задолженности;
5) основной вид деятельности налогоплательщика относится к отрасли экономики, имеющей стратегическое значение согласно законам Республики Казахстан;
6) представление налогоплательщиком дополнительной налоговой отчетности;
7) согласие налогоплательщика с суммами начисленных налогов и (или) плат, указанными в уведомлении о результатах проверки. Положения настоящего подпункта не распространяются на налогоплательщиков, период с даты регистрации которых в качестве налогоплательщика до даты подачи заявления о предоставлении отсрочки или рассрочки составляет менее пяти лет.
3. К заявлению об изменении срока исполнения налогового обязательства по уплате налогов и (или) плат прилагаются следующие документы:
1) перечень контрагентов-дебиторов налогоплательщика с указанием цен договоров, заключенных с соответствующими контрагентами-дебиторами (размеров иных обязательств и оснований их возникновения), и сроков их исполнения, а также копии данных договоров (документов, подтверждающих наличие иных оснований возникновения обязательства). Положения настоящего подпункта не распространяются на физическое лицо, не состоящее на регистрационном учете в качестве индивидуального предпринимателя, лица, занимающегося частной практикой;
2) документы, подтверждающие наличие оснований для изменения срока уплаты налогов и (или) плат, указанные в пункте 4 настоящей статьи;
3) документы об имуществе, которое может быть предметом залога с приложением отчета оценщика об оценке рыночной стоимости имущества, предоставляемого в залог, либо договор банковской гарантии, заключенный между банком-гарантом и налогоплательщиком, и банковская гарантия. При этом отчет оценщика об оценке рыночной стоимости залогового имущества должен быть составлен не ранее десяти рабочих дней до даты подачи налогоплательщиком заявления о предоставлении отсрочки или рассрочки.
4. Документы, подтверждающие наличие оснований для изменения срока уплаты налогов и (или) плат по основанию, предусмотренному:
подпунктом 1) пункта 2 настоящей статьи, – подтверждение факта наступления в отношении налогоплательщика обстоятельств непреодолимой силы соответствующими уполномоченными государственными органами;
подпунктом 2) пункта 2 настоящей статьи, – документ, составленный налогоплательщиком и подтверждающий, что в общем доходе от реализации товаров, работ, услуг такого лица доля его дохода от отраслей и видов деятельности, имеющих сезонный характер, составляет не менее 50 процентов;
подпунктом 3) пункта 2 настоящей статьи, – сведения о доходах за год, предшествующий дате подачи заявления, движимом и недвижимом имуществе физического лица, выданные соответствующим уполномоченным органом не ранее десяти рабочих дней до даты подачи заявления.
5. Решение об изменении срока исполнения налогового обязательства по уплате налогов и (или) плат или об отказе его изменении принимается органом, уполномоченным принимать такое решение в соответствии со статьей 50 настоящего Кодекса, в течение двадцати рабочих дней со дня получения заявления налогоплательщика по форме, установленной уполномоченным органом.
Решение об изменении срока исполнения налогового обязательства по уплате налогов и (или) плат вводится в действие со дня его подписания.
6. Решение об отказе в изменении срока исполнения налогового обязательства по уплате налогов и (или) плат должно быть мотивированным.
7. График исполнения налогового обязательства может быть пересмотрен на основании мотивированного заявления налогоплательщика.
При этом график исполнения налогового обязательства может быть пересмотрен не более одного раза.
Сноска. Статья 51 с изменениями, внесенными законами РК от 03.01.2019 № 213-VI (вводится в действие по истечении десяти календарных дней после дня его первого официального опубликования); от 10.12.2020 № 382-VI (вводится в действие с 01.01.2021); от 20.12.2021 № 85-VII (вводятся в действие с 01.03.2022); от 21.12.2022 № 165-VII (порядок введения в действие см. ст. 4).
Статья 51-1. Условия предоставления инвестиционного налогового кредита
1. Инвестиционный налоговый кредит предоставляется налогоплательщикам на основе заключенного соглашения об инвестиционном налоговом кредите.
2. Не имеют права на применение инвестиционного налогового кредита налогоплательщики, соответствующие одному из следующих условий:
1) применяющие специальные налоговые режимы, предусмотренные разделом 20 настоящего Кодекса;
2) осуществляющие производство и (или) реализацию всех видов спирта, алкогольной продукции, табачных изделий;
3) налогообложение налогоплательщиков осуществляется в соответствии с разделами 21 и 23 настоящего Кодекса.
Сноска. Глава 6 дополнена статьей 51-1 в соответствии с Законом РК от 10.12.2020 № 382-VI (вводится в действие с 01.01.2021).
Статья 51-2. Порядок и условия предоставления отсрочки по уплате государственной пошлины в судах
1. Изменение сроков по уплате государственной пошлины осуществляется в форме отсрочки по уплате государственной пошлины при вынесении судом определения об отсрочке по уплате государственной пошлины.
2. Отсрочка по уплате государственной пошлины в судах представляет собой изменение срока уплаты государственной пошлины исходя из имущественного положения физического лица или финансового положения юридического лица, за исключением субъекта крупного предпринимательства.
3. Отсрочка предоставляется при наличии оснований, предусмотренных настоящей статьей, на срок, не превышающий одного года со дня вынесения судом определения об отсрочке по уплате государственной пошлины.
При этом физическое или юридическое лицо имеет право уплачивать сумму государственной пошлины частично и (или) досрочно до окончания срока отсрочки.
4. Отсрочка может быть предоставлена физическому лицу исходя из его имущественного положения, или юридическому лицу, за исключением субъекта крупного предпринимательства, исходя из финансового положения, которое не позволяет уплатить государственную пошлину при подаче иска, однако имеются достаточные основания полагать, что возможность ее уплаты возникнет в течение срока, на который предоставляется отсрочка при наличии одного из следующих оснований:
1) причинение ущерба в результате стихийного бедствия, технологической катастрофы;
2) несвоевременная выплата заработной платы физическому лицу;
3) постановка на учет в качестве безработного лица;
4) наличие тяжелой болезни физического лица и нахождение на лечении более трех месяцев;
5) неуплата юридическому лицу денег за поставленный товар, выполненные работы, оказанные им услуги;
6) сезонный характер производства и (или) реализации товаров, работ или услуг юридическим лицом;
7) предоставление адресной социальной помощи.
5. Суды после вынесения определения об отсрочке по уплате государственной пошлины направляют в налоговые органы по месту рассмотрения дел копию определения об отсрочке по уплате государственной пошлины.
Сноска. Глава 6 дополнена статьей 51-2 в соответствии с Законом РК от 12.12.2023 № 45-VIII (вводится в действие с 01.01.2024).
Статья 52. Условия заключения договора залога имущества
Договор залога имущества заключается в срок не позднее десяти рабочих дней со дня представления налогоплательщиком заявления об изменении срока исполнения налогового обязательства по уплате налогов и (или) плат при соблюдении следующих условий:
1) содержание договора залога соответствует требованиям, установленным законодательством Республики Казахстан;
2) имущество, предоставляемое в залог, должно быть застрахованным от утраты или повреждения, и его рыночная стоимость должна быть не меньше суммы налогов и (или) плат, указанных в заявлении об изменении срока исполнения налогового обязательства по уплате налогов и (или) плат, с учетом начисленной пени за период действия отсрочки или рассрочки, а также расходов на его реализацию в случае нарушения налогоплательщиком графика по уплате налогов и (или) плат. Не могут быть предметами залога:
объекты жизнеобеспечения;
электрическая, тепловая и иные виды энергии;
арестованное имущество;
имущество, на которое наложены ограничения государственными органами, за исключением ограничений, наложенных органами государственных доходов;
имущество, обремененное правами третьих лиц;
единственное жилище физического лица, индивидуального предпринимателя, лица, занимающегося частной практикой;
скоропортящееся сырье, продукты питания;
3) перезалог имущества, предоставляемого в залог, не допускается;
4) в случаях, когда законами Республики Казахстан предусмотрена обязательная государственная регистрация договора залога имущества, налогоплательщик не позднее пяти рабочих дней со дня заключения договора залога представляет налоговому органу, принимающему решение об изменении срока исполнения налогового обязательства по уплате налогов и (или) плат, документ, подтверждающий регистрацию договора залога в Государственной корпорации «Правительство для граждан».
Сноска. Статья 52 с изменениями, внесенными законами РК от 02.04.2019 № 241-VI (вводится в действие с 01.07.2019); от 20.12.2021 № 85-VII (вводятся в действие с 01.03.2022); от 21.12.2022 № 165-VII (порядок введения в действие см. ст. 4).
Статья 53. Банковская гарантия
1. В силу банковской гарантии у банка (гаранта) возникает обязанность по исполнению обязательства налогоплательщика по уплате налогов и (или) плат в случае нарушения налогоплательщиком условий предоставления отсрочки, рассрочки по уплате налогов и (или) плат.
2. Банковская гарантия должна отвечать следующим требованиям:
1) содержание банковской гарантии должно соответствовать требованиям, установленным законодательством Республики Казахстан;
2) банковская гарантия должна быть безотзывной;
3) срок действия банковской гарантии должен истекать не ранее чем через шесть месяцев со дня истечения установленного срока исполнения налогоплательщиком обязанности по уплате налогов и (или) плат, обеспеченной банковской гарантией;
4) сумма, на которую выдана банковская гарантия, должна обеспечивать исполнение гарантом в полном объеме обязанности налогоплательщика по уплате налогов и (или) плат.
3. Обязательство по банковской гарантии подлежит исполнению гарантом в течение трех рабочих дней со дня получения им требования об уплате денежной суммы по банковской гарантии.
4. Гарант не вправе отказать налоговому органу в удовлетворении требования об уплате денежной суммы по банковской гарантии (за исключением случая, если такое требование предъявлено гаранту после окончания срока, на который выдана банковская гарантия).
Статья 54. Прекращение действия отсрочки, рассрочки и инвестиционного налогового кредита
Сноска. Заголовок статьи 54 с изменением, внесенным Законом РК от 10.12.2020 № 382-VI (вводится в действие с 01.01.2021).
1. Действие отсрочки, рассрочки и инвестиционного налогового кредита прекращается по истечении срока действия соответствующего решения или соглашения.
2. Действие отсрочки, рассрочки и инвестиционного налогового кредита прекращается, в том числе досрочно, в случаях:
1) уплаты налогоплательщиком всей суммы налогов и (или) плат до истечения установленного срока;
2) нарушения налогоплательщиком условий предоставления отсрочки, рассрочки и инвестиционного налогового кредита по уплате налогов и (или) плат;
3) подачи жалобы на уведомление о результатах проверки в течение срока, указанного в решении налогового органа об изменении срока исполнения налогового обязательства по уплате налогов и (или) плат, указанных в уведомлении о результатах проверки, – в случае, если отсрочка или рассрочка предоставлена по основанию, предусмотренному подпунктом 7) пункта 2 статьи 51 настоящего Кодекса. При наступлении случая, предусмотренного настоящим подпунктом, действие решения об изменении срока исполнения налогового обязательства по уплате налогов и (или) плат прекращается со дня принятия налоговым органом соответствующего решения;
4) по решению суда.
5) нарушения срока, установленного графиком исполнения налогового обязательства по уплате сумм налогов и (или) плат, более чем на пять рабочих дней.
3. Действие решения об изменении срока исполнения налогового обязательства по уплате налогов и (или) плат прекращается принявшим это решение налоговым органом с направлением налогоплательщику извещения об отмене решения об изменении срока исполнения налогового обязательства по уплате налогов и (или) плат в течение пяти рабочих дней со дня принятия решения.
4. Если в течение срока действия соглашения об инвестиционном налоговом кредите заключивший его налогоплательщик нарушит предусмотренные соглашением условия реализации либо передачи во владение, пользование или распоряжение другим лицам оборудования или иного имущества, приобретение которого явилось основанием предоставления инвестиционного налогового кредита, этот налогоплательщик в течение налогового периода, следующего за отчетным со дня расторжения соглашения об инвестиционном налоговом кредите, обязан уплатить все неуплаченные ранее в соответствии с соглашением суммы налога, а также соответствующие пени, начисленные за каждый календарный день действия соглашения об инвестиционном налоговом кредите в размере 1,25-кратной базовой ставки Национального Банка Республики Казахстан на дату платежа за период от заключения до расторжения указанного соглашения.
Сноска. Статья 54 с изменениями, внесенными законами РК от 10.12.2020 № 382-VI (вводится в действие с 01.01.2021); от 21.12.2022 № 165-VII (порядок введения в действие см. ст. 4).
Статья 55. Порядок обращения взыскания и реализации заложенного имущества, а также требования исполнения банковской гарантии
1. При прекращении действия отсрочки или рассрочки в случаях, установленных подпунктами 2) и 5) пункта 2 статьи 54 настоящего Кодекса, налоговый орган обращает взыскание на заложенное имущество налогоплательщика и (или) третьего лица либо требует исполнения банковской гарантии.
2. Реализация имущества, заложенного налогоплательщиком и (или) третьим лицом, производится уполномоченным юридическим лицом путем проведения торгов.
Порядок реализации имущества, заложенного налогоплательщиком и (или) третьим лицом, а также ограниченного в распоряжении имущества налогоплательщика (налогового агента), определяется уполномоченным органом.
3. Налоговый орган в течение пяти рабочих дней со дня истечения срока исполнения требования об уплате налогов и (или) плат направляет гаранту требование об уплате денежной суммы по банковской гарантии.
Сноска. Статья 55 с изменением, внесенным Законом РК от 21.12.2022 № 165-VII (вводится в действие с 01.01.2023).
Статья 56. Прекращение налогового обязательства
1. Налоговое обязательство физического лица прекращается в случае:
1) его смерти;
2) объявления его умершим на основании вступившего в законную силу решения суда.
2. Налоговое обязательство индивидуального предпринимателя прекращается после прекращения индивидуальным предпринимателем деятельности в порядке, определенном законодательством Республики Казахстан.
3. Налоговое обязательство юридического лица прекращается:
1) после его ликвидации;
2) после его реорганизации путем присоединения (в отношении присоединившегося юридического лица), слияния и разделения.
Глава 7. ИСПОЛНЕНИЕ НАЛОГОВОГО ОБЯЗАТЕЛЬСТВА ПРИ ЛИКВИДАЦИИ, РЕОРГАНИЗАЦИИ, ПРЕКРАЩЕНИИ ДЕЯТЕЛЬНОСТИ НАЛОГОПЛАТЕЛЬЩИКА
Статья 57. Общие положения
Положения настоящей главы применяются в случае принятия налогоплательщиком решения о реорганизации путем слияния, присоединения, разделения, ликвидации или прекращении деятельности.
Статья 58. Исполнение налогового обязательства ликвидируемого юридического лица, а также при прекращении деятельности в Республике Казахстан структурного подразделения, постоянного учреждения юридического лица-нерезидента
1. Юридическое лицо-резидент в течение трех рабочих дней со дня принятия решения о ликвидации письменно сообщает об этом налоговому органу по месту своего нахождения.
2. В течение трех рабочих дней со дня утверждения промежуточного ликвидационного баланса ликвидируемое юридическое лицо представляет в налоговый орган по месту своего нахождения одновременно:
1) налоговое заявление о проведении налоговой проверки;
2) ликвидационную налоговую отчетность.
3. Ликвидационная налоговая отчетность составляется по видам налогов, платежей в бюджет и социальным платежам, по которым ликвидируемое юридическое лицо является плательщиком и (или) налоговым агентом, за период с начала налогового периода, в котором представлено налоговое заявление о проведении налоговой проверки, до даты представления такого заявления.
В случае, если срок представления очередной налоговой отчетности наступает после представления ликвидационной налоговой отчетности, представление такой очередной налоговой отчетности производится не позднее даты представления ликвидационной налоговой отчетности.
4. Ликвидируемое юридическое лицо уплачивает налоги, платежи в бюджет и социальные платежи, отраженные в ликвидационной налоговой отчетности, не позднее десяти календарных дней со дня представления в налоговый орган ликвидационной налоговой отчетности.
В случае, если срок уплаты налогов, платежей в бюджет и социальных платежей, отраженных в налоговой отчетности, представленной перед ликвидационной налоговой отчетностью, наступает после истечения срока, указанного в части первой настоящего пункта, уплата (перечисление) производится не позднее десяти календарных дней со дня представления в налоговый орган ликвидационной налоговой отчетности.
5. Налоговая проверка должна быть начата налоговыми органами не позднее двадцати рабочих дней после получения налоговым органом налогового заявления ликвидируемого юридического лица.
6. Налоговая задолженность ликвидируемого юридического лица, возникающая в том числе по основаниям, указанным в пунктах 4 и 11 настоящей статьи, погашается за счет его денег, в том числе полученных от реализации его имущества, в порядке очередности, установленной законами Республики Казахстан. При этом также погашается налоговая задолженность структурных подразделений ликвидируемого юридического лица, постоянных учреждений, структурных подразделений юридического лица-нерезидента в случае исполнения таким юридическим лицом-нерезидентом налоговых обязательств совокупно по группе постоянных учреждений, структурных подразделений юридических лиц через прекращающее деятельность постоянное учреждение, структурное подразделение.
7. Если имущества ликвидируемого юридического лица недостаточно для погашения в полном объеме налоговой задолженности, остающаяся часть налоговой задолженности погашается учредителями (участниками) ликвидируемого юридического лица в случаях, которые установлены законами Республики Казахстан.
8. Если ликвидируемое юридическое лицо имеет излишне уплаченные суммы налогов, платежей в бюджет и пени, то указанные суммы подлежат зачету в счет погашения налоговой задолженности ликвидируемого юридического лица в порядке, определенном статьей 102 настоящего Кодекса.
В случае если ликвидируемое юридическое лицо имеет ошибочно уплаченные суммы налогов, платежей в бюджет и пени, то указанные суммы подлежат зачету в порядке, определенном статьей 103 настоящего Кодекса.
9. В случае, если ликвидируемое юридическое лицо до даты снятия с регистрационного учета по налогу на добавленную стоимость имеет сумму превышения налога на добавленную стоимость, относимого в зачет, над суммой начисленного налога, подлежащую возврату в соответствии с главой 49 настоящего Кодекса, указанное превышение подлежит возврату ликвидируемому юридическому лицу в порядке, определенном статьей 104 настоящего Кодекса.
10. При отсутствии у ликвидируемого юридического лица налоговой задолженности:
1) ошибочно уплаченные суммы налогов, платежей в бюджет и пени подлежат возврату этому юридическому лицу в порядке, определенном статьей 103 настоящего Кодекса;
2) излишне уплаченные суммы налогов, платежей в бюджет и пени подлежат возврату этому юридическому лицу в порядке, определенном статьей 101 настоящего Кодекса;
3) уплаченные суммы штрафов подлежат возврату этому юридическому лицу по основаниям и в порядке, которые установлены статьей 106 настоящего Кодекса;
4) излишне (ошибочно) уплаченные в бюджет суммы таможенных пошлин, налогов, таможенных сборов и пени, взимаемых таможенными органами, подлежат возврату этому юридическому лицу в порядке, определенном таможенным законодательством Республики Казахстан.
11. В случае возникновения обязательств по исчислению и уплате налогов и платежей в бюджет, социальных платежей за период с даты представления ликвидационной налоговой отчетности до даты завершения ликвидационной налоговой проверки ликвидируемое юридическое лицо обязано исполнить такие обязательства на основании уведомления налогового органа, указанного в подпункте 3) пункта 2 статьи 114 настоящего Кодекса.
12. В случае возникновения доходов физических лиц и нерезидентов, подлежащих налогообложению у источника выплаты, в виде дивидендов в течение периода со дня, следующего за днем завершения ликвидационной налоговой проверки, до дня утверждения ликвидационного баланса ликвидируемое юридическое лицо обязано представить в налоговый орган по месту своего нахождения дополнительную налоговую отчетность к ликвидационной налоговой отчетности по такому налоговому обязательству и исполнить его в полном объеме.
13. После завершения налоговой проверки и выполнения положений, установленных пунктом 12 настоящей статьи, ликвидируемое юридическое лицо представляет ликвидационный баланс в налоговый орган по месту нахождения.
Ликвидируемое юридическое лицо представляет ликвидационный баланс в течение трех рабочих дней со дня завершения налоговой проверки и выполнения положений, установленных пунктом 12 настоящей статьи, в случае одновременного соблюдения следующих условий:
1) отсутствие налоговой задолженности, задолженности по социальным платежам;
2) отсутствие излишне (ошибочно) уплаченных сумм налогов, платежей в бюджет, пени и штрафов;
3) отсутствие превышения налога на добавленную стоимость, относимого в зачет, над суммой начисленного налога, подлежащего возврату в соответствии с главой 49 настоящего Кодекса;
4) отсутствие неисполненного налогового заявления на проведение зачета и (или) возврата излишне (ошибочно) уплаченных сумм таможенных пошлин, налогов, таможенных сборов и пени, взимаемых таможенными органами.
В случае наличия налоговой задолженности, задолженности по социальным платежам, излишне (ошибочно) уплаченных сумм налогов, платежей в бюджет, пени и штрафов и (или) превышения налога на добавленную стоимость, относимого в зачет, над суммой начисленного налога, подлежащего возврату в соответствии с главой 49 настоящего Кодекса, ликвидируемое юридическое лицо представляет ликвидационный баланс в течение трех рабочих дней с даты, которая наступит последней:
1) с даты погашения налоговой задолженности, задолженности по социальным платежам;
2) с даты возврата излишне (ошибочно) уплаченных сумм налогов, платежей в бюджет, пени и штрафов;
3) с даты возврата превышения налога на добавленную стоимость, относимого в зачет, над суммой начисленного налога, подлежащего возврату в соответствии с главой 49 настоящего Кодекса;
4) с даты возврата излишне (ошибочно) уплаченных сумм таможенных пошлин, налогов, таможенных сборов и пени, взимаемых таможенными органами.
14. Исполнение налогового обязательства прекращающего деятельность в Республике Казахстан структурного подразделения юридического лица-нерезидента, а также постоянного учреждения юридического лица-нерезидента производится в порядке, определенном настоящей статьей.
15. Положения настоящей статьи не распространяются на ликвидируемые юридические лица-резиденты в случае выбора ими особенностей исполнения налоговых обязательств, установленных статьями 59 или 60 настоящего Кодекса.
Статья 59. Особенности исполнения налогового обязательства отдельными категориями ликвидируемых юридических лиц-резидентов
1. Настоящая статья устанавливает особенности исполнения налогового обязательства ликвидируемого юридического лица-резидента, которое одновременно соответствует следующим условиям:
1) является плательщиком налога на добавленную стоимость, не осуществляющим финансово-хозяйственную деятельность с даты постановки на регистрационный учет по налогу на добавленную стоимость, либо не является плательщиком налога на добавленную стоимость;
2) не применяет специальный налоговый режим для производителей сельскохозяйственной продукции, продукции аквакультуры (рыбоводства) и сельскохозяйственных кооперативов;
3) не реорганизовано или не является правопреемником реорганизованного юридического лица.
Положение настоящего подпункта не распространяется в отношении юридических лиц, реорганизованных путем преобразования;
4) не включено в список выборочных налоговых проверок на основании результатов мероприятий системы оценки рисков либо не включено в полугодовой график налоговых проверок, проводимых по особому порядку на основе оценки степени риска, а также периодических налоговых проверок на основе оценки степени риска;
5) не состоит на регистрационном учете в качестве налогоплательщика, осуществляющего отдельные виды деятельности.
Настоящая статья применяется в отношении юридических лиц-резидентов, соответствующих условиям, определенным настоящим пунктом, в течение срока исковой давности, установленного статьей 48 настоящего Кодекса. Положения настоящего пункта распространяются также на юридические лица, период с даты создания которых менее чем срок исковой давности, установленный статьей 48 настоящего Кодекса.
2. Юридическое лицо в случае принятия решения о ликвидации одновременно представляет в налоговый орган по месту нахождения:
1) налоговое заявление о прекращении деятельности;
2) ликвидационную налоговую отчетность;
3) промежуточный ликвидационный баланс;
4) налоговое заявление о снятии с учета контрольно-кассовой машины в порядке, определенном статьей 169 настоящего Кодекса.
Документ, указанный в подпункте 4) части первой настоящего пункта, представляется ликвидируемым юридическим лицом в случае постановки контрольно-кассовой машины на учет в налоговом органе.
3. Ликвидационная налоговая отчетность составляется по видам налогов, платежей в бюджет и социальным платежам, по которым ликвидируемое юридическое лицо является плательщиком и (или) налоговым агентом, за период с начала налогового периода, в котором представлено налоговое заявление о прекращении деятельности, до даты представления такого заявления.
В случае, если срок представления очередной налоговой отчетности наступает после представления ликвидационной налоговой отчетности, представление такой очередной налоговой отчетности производится не позднее даты представления ликвидационной налоговой отчетности.
4. Ликвидируемое юридическое лицо уплачивает налоги, платежи в бюджет и социальные платежи, отраженные в ликвидационной налоговой отчетности, не позднее десяти календарных дней со дня представления в налоговый орган ликвидационной налоговой отчетности.
В случае, если срок уплаты налогов, платежей в бюджет и социальных платежей, отраженных в налоговой отчетности, представленной перед ликвидационной налоговой отчетностью, наступает после истечения срока, указанного в части первой настоящего пункта, уплата (перечисление) производится не позднее десяти календарных дней со дня представления в налоговый орган ликвидационной налоговой отчетности.
5. Налоговый орган в течение трех рабочих дней со дня получения налогового заявления о прекращении деятельности ликвидируемого юридического лица направляет запрос за период, в течение которого не проводилась налоговая проверка в отношении юридического лица, в пределах срока исковой давности, установленного статьей 48 настоящего Кодекса:
1) в уполномоченные государственные органы – о представлении сведений о сделках с имуществом, подлежащим государственной регистрации, совершенных юридическим лицом, прекращающим деятельность, а также о его имуществе по состоянию на дату получения запроса налогового органа;
2) в банки второго уровня и (или) организации, осуществляющие отдельные виды банковских операций, – о представлении сведений об остатках и движении денег на банковских счетах юридического лица, прекращающего деятельность, на дату получения запроса налогового органа.
Сведения по запросам налогового органа, указанные в настоящем пункте, подлежат представлению не позднее двадцати рабочих дней со дня их получения, если иное не установлено подпунктом 13) части первой статьи 24 настоящего Кодекса.
6. Налоговый орган в течение десяти рабочих дней со дня получения всех сведений, предусмотренных пунктом 5 настоящей статьи, осуществляет камеральный контроль и составляет заключение в порядке, которые определены настоящим Кодексом.
В заключении отражаются результаты камерального контроля и состояние расчетов по налогам, платежам в бюджет и социальным платежам.
Заключение составляется в количестве не менее двух экземпляров и подписывается должностными лицами налогового органа. Один экземпляр заключения вручается не позднее трех рабочих дней после его подписания ликвидируемому юридическому лицу под роспись или направляется ему по почте заказным письмом с уведомлением.
В случае возврата почтовой или иной организацией связи заключения, направленного налоговым органом ликвидируемому налогоплательщику (налоговому агенту) по почте заказным письмом с уведомлением, датой вручения такого заключения является дата проведения налогового обследования с привлечением понятых по основаниям и в порядке, которые определены настоящим Кодексом.
7. В случае выявления нарушений по результатам камерального контроля ликвидируемому юридическому лицу не позднее пяти рабочих дней с даты получения заключения вручается уведомление об устранении нарушений, выявленных по результатам камерального контроля, в порядке, определенном главой 12 настоящего Кодекса.
Исполнение уведомления об устранении нарушений, выявленных по результатам камерального контроля, осуществляется ликвидируемым юридическим лицом в порядке, определенном статьей 96 настоящего Кодекса.
В случае неисполнения уведомления и (или) несогласия налоговых органов с пояснениями, представленными налогоплательщиком, в отношении ликвидируемого юридического лица проводится налоговая проверка. При этом налоговая проверка должна быть начата не позднее десяти рабочих дней после истечения срока исполнения такого уведомления и (или) получения пояснения о несогласии по выявленным нарушениям.
8. Налоговая задолженность ликвидируемого юридического лица, возникающая в том числе по основаниям, указанным в пункте 4 настоящей статьи, погашается за счет его денег, в том числе полученных от реализации его имущества, в порядке очередности, установленной законами Республики Казахстан.
9. Если имущества ликвидируемого юридического лица недостаточно для погашения в полном объеме налоговой задолженности, остающаяся часть налоговой задолженности погашается учредителями (участниками) ликвидируемого юридического лица в случаях, установленных законами Республики Казахстан.
10. При отсутствии у ликвидируемого юридического лица налоговой задолженности:
1) ошибочно уплаченные суммы налогов, платежей в бюджет и пени подлежат возврату этому юридическому лицу в порядке, определенном статьей 103 настоящего Кодекса;
2) излишне уплаченные суммы налогов, платежей в бюджет и пени подлежат возврату этому юридическому лицу в порядке, определенном статьей 101 настоящего Кодекса;
3) уплаченные суммы штрафов подлежат возврату этому юридическому лицу по основаниям и в порядке, которые установлены статьей 106 настоящего Кодекса;
4) излишне (ошибочно) уплаченные в бюджет суммы таможенных пошлин, налогов, таможенных сборов и пени, взимаемых таможенными органами, подлежат возврату этому юридическому лицу в порядке, определенном таможенным законодательством Республики Казахстан.
11. В случае возникновения доходов физических лиц и нерезидентов, подлежащих налогообложению у источника выплаты, в виде дивидендов в течение периода со дня, следующего за днем получения юридическим лицом заключения по результатам камерального контроля, до дня утверждения ликвидационного баланса ликвидируемое юридическое лицо обязано представить в налоговый орган по месту своего нахождения дополнительную налоговую отчетность к ликвидационной налоговой отчетности по такому налоговому обязательству и исполнить его в полном объеме.
12. Ликвидируемое юридическое лицо представляет в налоговый орган по месту нахождения ликвидационный баланс.
Ликвидационный баланс ликвидируемое юридическое лицо представляет в течение трех рабочих дней со дня получения заключения по результатам камерального контроля в случае отсутствия налоговой задолженности, задолженности по социальным платежам и выполнения положений, установленных пунктом 11 настоящей статьи.
13. В случае наличия нарушений, выявленных по результатам камерального контроля, налоговой задолженности, задолженности по социальным платежам ликвидируемое юридическое лицо представляет ликвидационный баланс в течение трех рабочих дней с даты погашения налоговой задолженности, задолженности по социальным платежам при условии устранения нарушений, выявленных по результатам камерального контроля, и выполнения положений, установленных пунктом 11 настоящей статьи.
14. После представления ликвидационного баланса, указанного в пункте 12 настоящей статьи, и выполнения положений, установленных пунктом 13 настоящей статьи, налоговый орган направляет регистрирующему органу, осуществляющему государственную регистрацию, перерегистрацию юридических лиц, государственную регистрацию прекращения деятельности юридических лиц, учетную регистрацию, перерегистрацию, снятие с учетной регистрации структурных подразделений, сведения об отсутствии (наличии) задолженности, учет по которым ведется в налоговых органах, по ликвидируемому юридическому лицу в порядке и сроки, которые установлены статьей 100 настоящего Кодекса.
Сноска. Статья 59 с изменениями, внесенными законами РК от 24.05.2018 № 156-VI (вводится в действие по истечении десяти календарных дней после дня его первого официального опубликования); от 02.04.2019 № 241-VI (вводится в действие с 01.07.2019); от 20.12.2021 № 85-VII (вводится в действие с 01.01.2022); от 21.12.2022 № 165-VII (порядок введения в действие см. ст. 4).
Статья 60. Особенности исполнения налогового обязательства отдельными категориями ликвидируемых юридических лиц-резидентов и индивидуальных предпринимателей, прекращающих деятельность по результатам заключения аудита по налогам
1. Настоящая статья устанавливает особенности исполнения налогового обязательства отдельными категориями ликвидируемых юридических лиц-резидентов и индивидуальных предпринимателей, прекращающих деятельность, которые одновременно соответствуют следующим условиям:
1) общая сумма совокупных годовых доходов с учетом корректировок ликвидируемого юридического лица и индивидуального предпринимателя, прекращающего деятельность, за период срока исковой давности, установленного статьей 48 настоящего Кодекса, составляет не более 150 000-кратного месячного расчетного показателя, установленного законом о республиканском бюджете и действующего на 1 января соответствующего финансового года;
2) имеют в наличии заключение аудита по налогам, составленное не более чем за двадцать календарных дней до даты представления в налоговый орган налогового заявления о прекращении деятельности;
3) не состоят либо не состояли в течение срока исковой давности, установленного статьей 48 настоящего Кодекса, на регистрационном учете в качестве налогоплательщика, осуществляющего отдельные виды деятельности.
При этом, если по результатам заключения аудита по налогам возникают обязательства по исчислению и уплате налогов и платежей в бюджет, исчислению, удержанию, перечислению социальных платежей, такие обязательства подлежат исполнению ликвидируемым юридическим лицом или индивидуальным предпринимателем, прекращающим деятельность, в течение десяти календарных дней со дня, следующего за днем вручения налогоплательщику соответствующего заключения аудита по налогам.
2. Юридическое лицо-резидент в случае принятия решения о ликвидации, индивидуальный предприниматель в случае принятия решения о прекращении деятельности одновременно представляют в налоговый орган по месту своего нахождения:
1) налоговое заявление о прекращении деятельности;
2) ликвидационную налоговую отчетность;
3) заключение аудита по налогам;
4) налоговое заявление о снятии с учета контрольно-кассовой машины в порядке, определенном статьей 169 настоящего Кодекса.
Документ, указанный в подпункте 4) части первой настоящего пункта, представляется ликвидируемым юридическим лицом или индивидуальным предпринимателем, прекращающим деятельность, в случае постановки контрольно-кассовой машины на учет в налоговом органе.
3. Ликвидационная налоговая отчетность составляется по видам налогов, платежей в бюджет и социальным платежам, по которым ликвидируемое юридическое лицо или индивидуальный предприниматель, прекращающий деятельность, является плательщиком и (или) налоговым агентом, за период с начала налогового периода, в котором представлено налоговое заявление о прекращении деятельности, до даты представления такого заявления.
В случае, если срок представления очередной налоговой отчетности наступает после представления ликвидационной налоговой отчетности, представление такой очередной налоговой отчетности производится не позднее даты представления ликвидационной налоговой отчетности.
4. Ликвидируемое юридическое лицо или индивидуальный предприниматель, прекращающий деятельность, уплачивает налоги, платежи в бюджет и перечисляет социальные платежи, отраженные в ликвидационной налоговой отчетности, не позднее десяти календарных дней со дня представления в налоговый орган ликвидационной налоговой отчетности.
В случае, если срок уплаты налогов, платежей в бюджет и перечисления социальных платежей, отраженных в налоговой отчетности, представленной перед ликвидационной налоговой отчетностью, наступает после истечения срока, указанного в части первой настоящего пункта, уплата (перечисление) производится не позднее десяти календарных дней со дня представления в налоговый орган ликвидационной налоговой отчетности.
5. При отсутствии у ликвидируемого юридического лица или индивидуального предпринимателя, прекращающего деятельность, налоговой задолженности:
1) ошибочно уплаченные суммы налогов, платежей в бюджет и пени подлежат возврату этому налогоплательщику в порядке, определенном статьей 103 настоящего Кодекса;
2) излишне уплаченные суммы налогов, платежей в бюджет и пени подлежат возврату этому налогоплательщику в порядке, определенном статьей 101 настоящего Кодекса;
3) уплаченные суммы штрафов подлежат возврату этому налогоплательщику по основаниям и в порядке, которые установлены статьей 106 настоящего Кодекса;
4) излишне (ошибочно) уплаченные в бюджет суммы таможенных пошлин, налогов, таможенных сборов и пени, взимаемых таможенными органами, подлежат возврату этому налогоплательщику в порядке, определенном таможенным законодательством Республики Казахстан.
6. Налоговый орган не позднее десяти рабочих дней со дня получения документов, указанных в пункте 2 настоящей статьи, обязан осуществить камеральный контроль в порядке, определяемом статьей 95 настоящего Кодекса.
В случае выявления налоговыми органами нарушений по результатам камерального контроля ликвидируемому юридическому лицу или индивидуальному предпринимателю, прекращающему деятельность, вручается уведомление об устранении нарушений в порядке, определенном главой 12 настоящего Кодекса.
Исполнение уведомления об устранении нарушений, выявленных по результатам камерального контроля, осуществляется ликвидируемым юридическим лицом или индивидуальным предпринимателем, прекращающим деятельность, в порядке, определенном статьей 96 настоящего Кодекса.
Уплата (перечисление) налоговой задолженности, задолженности по социальным платежам производится налогоплательщиком не позднее десяти календарных дней со дня исполнения уведомления об устранении нарушений, выявленных по результатам камерального контроля.
7. В случаях неисполнения уведомления и (или) несогласия налоговых органов с пояснениями, представленными налогоплательщиком, в отношении ликвидируемого юридического лица или индивидуального предпринимателя, прекращающего деятельность, налоговым органом проводится налоговая проверка по фактам и обстоятельствам, выявленным в отношении такого налогоплательщика, которые послужили основанием для назначения данной проверки.
8. В случае возникновения доходов физических лиц и нерезидентов, подлежащих налогообложению у источника выплаты, в виде дивидендов в течение периода со дня, следующего за днем завершения камерального контроля, до дня утверждения ликвидационного баланса ликвидируемое юридическое лицо обязано представить в налоговый орган по месту своего нахождения дополнительную налоговую отчетность к ликвидационной налоговой отчетности по такому налоговому обязательству и исполнить его в полном объеме.
9. В случаях исполнения положений, установленных в пунктах 4, 5, 6 и 8 настоящей статьи, и отсутствия налоговой задолженности, задолженности по социальным платежам, а также при условии устранения нарушений, выявленных по результатам камерального контроля, проведенного налоговым органом, ликвидируемое юридическое лицо представляет в налоговый орган по месту нахождения ликвидационный баланс.
Ликвидируемое юридическое лицо представляет ликвидационный баланс в течение пятнадцати рабочих дней со дня получения налоговым органом документов, указанных в пункте 2 настоящей статьи, при условии отсутствия налоговой задолженности, задолженности по социальным платежам и выполнения положений, установленных пунктом 8 настоящей статьи.
В случаях наличия нарушений, выявленных по результатам камерального контроля, налоговой задолженности, задолженности по социальным платежам ликвидируемое юридическое лицо представляет ликвидационный баланс в течение трех рабочих дней с даты погашения налоговой задолженности, задолженности по социальным платежам при условии устранения нарушений, выявленных по результатам камерального контроля, и выполнения положений, установленных пунктом 8 настоящей статьи.
10. После выполнения положений, установленных пунктом 9 настоящей статьи, налоговый орган направляет регистрирующему органу, осуществляющему государственную регистрацию, перерегистрацию юридических лиц, государственную регистрацию прекращения деятельности юридических лиц, учетную регистрацию, перерегистрацию, снятие с учетной регистрации структурных подразделений, сведения об отсутствии (наличии) задолженности, учет по которым ведется в налоговых органах, по ликвидируемому юридическому лицу в порядке и сроки, которые установлены статьей 100 настоящего Кодекса.
11. Налоговое обязательство индивидуального предпринимателя, прекратившего деятельность, считается исполненным после осуществления камерального контроля при условии отсутствия или погашения налоговой задолженности, задолженности по социальным платежам, устранения нарушений, выявленных по результатам камерального контроля, в полном объеме.
12. Датой снятия индивидуального предпринимателя с регистрационного учета в налоговом органе является дата исполнения налогового обязательства в соответствии с пунктом 11 настоящей статьи.
13. Налоговый орган не позднее трех рабочих дней с даты, указанной в пункте 12 настоящей статьи, снимает индивидуального предпринимателя с регистрационного учета.
Информация о снятии индивидуального предпринимателя с регистрационного учета размещается на интернет-ресурсе уполномоченного органа.
14. Налоговый орган не позднее трех рабочих дней после истечения срока уплаты (перечисления) налоговой задолженности, задолженности по социальным платежам, установленного пунктом 6 настоящей статьи, отказывает в снятии индивидуального предпринимателя с регистрационного учета.
Основанием для отказа в снятии с регистрационного учета в качестве индивидуального предпринимателя также является неисполнение индивидуальным предпринимателем положений, установленных настоящей статьей.
Сноска. Статья 60 с изменением, внесенным Законом РК от 02.04.2019 № 241-VI (вводится в действие с 01.07.2019).
Статья 61. Исполнение налогового обязательства прекращающего деятельность структурного подразделения юридического лица-резидента
1. В случае принятия юридическим лицом-резидентом решения о прекращении деятельности своего структурного подразделения одновременно представляются в налоговый орган по месту нахождения структурного подразделения юридического лица-резидента:
1) налоговое заявление о прекращении деятельности;
2) копия решения юридического лица-резидента о прекращении деятельности его структурного подразделения;
3) ликвидационная налоговая отчетность структурного подразделения юридического лица, если иное не установлено настоящей статьей.
2. Ликвидационная налоговая отчетность составляется по видам налогов, платежей в бюджет и социальных платежей, по которым прекращающее деятельность структурное подразделение юридического лица признано самостоятельным плательщиком, за период с начала налогового периода, в котором принято решение о прекращении деятельности структурного подразделения юридического лица, до даты представления налогового заявления о прекращении деятельности.
В случае, если срок представления очередной налоговой отчетности наступает после представления ликвидационной налоговой отчетности, представление такой очередной налоговой отчетности производится не позднее даты представления ликвидационной налоговой отчетности.
3. Уплата налогов, платежей в бюджет и социальных платежей, отраженных в ликвидационной налоговой отчетности, предусмотренной пунктом 2 настоящей статьи, производится прекращающим деятельность структурным подразделением юридического лица не позднее десяти календарных дней со дня представления в налоговый орган ликвидационной налоговой отчетности.
В случае, если срок уплаты налогов, платежей в бюджет и социальных платежей, отраженных в налоговой отчетности, представленной перед ликвидационной налоговой отчетностью, наступает по истечении срока, указанного в части первой настоящего пункта, уплата (перечисление) производится не позднее десяти календарных дней со дня представления ликвидационной налоговой отчетности.
4. В случае, если прекращающее деятельность структурное подразделение юридического лица не признано самостоятельным плательщиком налогов, платежей в бюджет и социальных платежей, ликвидационная налоговая отчетность не представляется.
5. Налоговая задолженность, задолженность по социальным платежам прекращающего деятельность структурного подразделения юридического лица погашается за счет денег юридического лица, создавшего данное структурное подразделение.
Статья 62. Исполнение налогового обязательства при реорганизации юридического лица путем слияния, присоединения, выделения
1. Юридическое лицо в течение трех рабочих дней со дня принятия решения о реорганизации путем слияния, присоединения, выделения письменно сообщает об этом налоговому органу по месту нахождения.
В течение трех рабочих дней со дня утверждения передаточного акта юридическое лицо, реорганизуемое путем слияния, присоединения, представляет в налоговый орган по месту своего нахождения одновременно:
1) ликвидационную налоговую отчетность;
2) передаточный акт.
Ликвидационная налоговая отчетность составляется по видам налогов, платежей в бюджет и социальным платежам, по которым юридическое лицо, реорганизуемое путем слияния, присоединения, является плательщиком и (или) налоговым агентом, за период с начала налогового периода, в котором возникло обязательство по представлению такой отчетности, до даты ее представления в налоговый орган.
Обязательство по представлению ликвидационной налоговой отчетности при реорганизации путем слияния возлагается на каждое юридическое лицо, вошедшее в состав вновь возникшего юридического лица, при реорганизации путем присоединения – на присоединившееся юридическое лицо.
В случае, если срок представления очередной налоговой отчетности наступает после представления ликвидационной налоговой отчетности, представление такой очередной налоговой отчетности производится не позднее даты представления ликвидационной налоговой отчетности.
При реорганизации юридического лица путем выделения такое лицо в течение трех рабочих дней со дня утверждения разделительного баланса представляет в налоговый орган по месту своего нахождения указанный баланс.
2. Исполнение налогового обязательства реорганизованного юридического лица возлагается на его правопреемника (правопреемников), за исключением представления ликвидационной налоговой отчетности.
3. Установление правопреемника (правопреемников), а также доли участия правопреемника (правопреемников) в погашении налоговой задолженности реорганизованного юридического лица осуществляется в соответствии с гражданским законодательством Республики Казахстан.
4. Реорганизация юридического лица не является основанием изменения сроков исполнения его налогового обязательства по уплате налогов, платежей в бюджет правопреемником (правопреемниками) этого юридического лица.
5. Если реорганизуемое юридическое лицо имеет излишне уплаченные суммы налогов, платежей в бюджет и пени, указанные суммы подлежат зачету в счет погашения налоговой задолженности реорганизуемого юридического лица в порядке, определенном статьей 102 настоящего Кодекса.
В случае если реорганизуемое юридическое лицо имеет ошибочно уплаченные суммы налогов, платежей в бюджет и пени, то указанные суммы подлежат зачету реорганизуемому юридическому лицу в порядке, определенном статьей 103 настоящего Кодекса.
6. При отсутствии у реорганизуемого юридического лица налоговой задолженности:
1) ошибочно уплаченные суммы налогов, платежей в бюджет и пени подлежат возврату его правопреемнику (правопреемникам) пропорционально доле в имуществе, полученном им (ими) при реорганизации, в порядке, определенном статьей 103 настоящего Кодекса;
2) излишне уплаченные суммы налогов, платежей в бюджет и пени подлежат возврату его правопреемнику (правопреемникам) пропорционально доле в имуществе, полученном им (ими) при реорганизации, в порядке, определенном статьей 101 настоящего Кодекса.
7. При реорганизации юридического лица путем выделения в соответствии с решением Правительства Республики Казахстан превышение налога на добавленную стоимость, сложившееся у реорганизуемого юридического лица — плательщика налога на добавленную стоимость на дату реорганизации, подлежит передаче его правопреемнику (правопреемникам).
При этом превышение налога на добавленную стоимость, подлежащее передаче правопреемнику (правопреемникам) реорганизуемого путем выделения юридического лица, определяется пропорционально доле остаточной стоимости основных средств, передаваемых правопреемнику (правопреемникам).
Остаточная стоимость основных средств определяется на основании разделительного баланса реорганизуемого путем выделения юридического лица.
Настоящий пункт применяется при условии, что контрольный пакет акций реорганизуемого путем выделения юридического лица принадлежит национальному управляющему холдингу.
8. Налоговый орган в течение десяти рабочих дней со дня получения сведений национальных реестров идентификационных номеров о реорганизации юридического лица путем:
1) слияния – передает сальдо по лицевым счетам юридических лиц, вошедших в состав вновь возникшего юридического лица, в налоговый орган по месту нахождения вновь возникшего юридического лица на основании передаточного акта;
2) присоединения – передает сальдо по лицевому счету присоединившегося юридического лица в налоговый орган по месту нахождения юридического лица, к которому присоединилось указанное юридическое лицо, на основании передаточного акта;
3) выделения – передает сальдо по лицевому счету юридического лица, выделившего вновь возникшее юридическое лицо, в налоговый орган по месту нахождения вновь возникшего юридического лица на основании разделительного баланса.
Статья 63. Исполнение налогового обязательства постоянного учреждения без открытия структурного подразделения юридического лица-нерезидента при передаче им прав и обязанностей в связи с наличием места эффективного управления (места нахождения фактического органа управления) в Республике Казахстан
1. Юридическое лицо-нерезидент при наличии у него в Республике Казахстан постоянного учреждения без открытия структурного подразделения и принятии решения о переносе места эффективного управления (места нахождения фактического органа управления) из иностранного государства в Республику Казахстан обязано в течение трех рабочих дней после подачи налогового заявления о постановке на регистрационный учет в качестве налогоплательщика в соответствии с пунктом 2 статьи 76 настоящего Кодекса письменно сообщить налоговому органу по месту нахождения такого постоянного учреждения о передаче прав и обязанностей таким постоянным учреждением юридическому лицу, место эффективного управления (место нахождения фактического органа управления) которого находится в Республике Казахстан.
В течение пятнадцати календарных дней со дня постановки на регистрационный учет в качестве налогоплательщика постоянное учреждение указанного юридического лица-нерезидента обязано представить в налоговый орган:
1) налоговое заявление о снятии с регистрационного учета;
2) ликвидационную налоговую отчетность;
3) передаточный акт.
Ликвидационная налоговая отчетность составляется по видам налогов, платежей в бюджет и социальным платежам, по которым постоянное учреждение, передающее права и обязанности, является плательщиком и (или) налоговым агентом, за период с начала налогового периода, в котором возникло обязательство по представлению такой отчетности, до даты ее представления в налоговый орган.
В случае, если срок представления очередной налоговой отчетности наступает после представления ликвидационной налоговой отчетности, представление такой очередной налоговой отчетности производится не позднее даты представления ликвидационной налоговой отчетности.
2. Исполнение налогового обязательства постоянного учреждения, передающего права и обязанности юридическому лицу, возлагается на такое юридическое лицо, созданное по законодательству иностранного государства, место эффективного управления (место нахождения фактического органа управления) которого находится в Республике Казахстан (правопреемника).
3. Передача прав и обязанностей постоянным учреждением юридическому лицу не является основанием для изменения сроков исполнения его налогового обязательства по уплате налогов, платежей в бюджет юридическим лицом, созданным по законодательству иностранного государства, место эффективного управления (место нахождения фактического органа управления) которого находится в Республике Казахстан.
4. При отсутствии у постоянного учреждения, передающего права и обязанности юридическому лицу, налоговой задолженности излишне (ошибочно) уплаченные суммы налогов, платежей в бюджет и пени подлежат возврату юридическому лицу, созданному по законодательству иностранного государства, место эффективного управления (место нахождения фактического органа управления) которого находится в Республике Казахстан.
5. Налоговый орган в течение десяти рабочих дней со дня получения документов, указанных в пункте 1 настоящей статьи, передает сальдо по лицевому счету постоянного учреждения, передающего права и обязанности юридическому лицу, в налоговый орган по месту нахождения юридического лица, которому переданы права и обязанности постоянного учреждения, на основании передаточного акта.
Статья 64. Исполнение налогового обязательства юридического лица при реорганизации путем разделения
1. Юридическое лицо в течение трех рабочих дней со дня принятия решения о реорганизации путем разделения письменно сообщает об этом налоговому органу по месту нахождения.
Юридическое лицо при реорганизации путем разделения в течение трех рабочих дней со дня утверждения разделительного баланса одновременно представляет в налоговый орган по месту нахождения:
1) налоговое заявление о проведении налоговой проверки;
2) ликвидационную налоговую отчетность.
2. Ликвидационная налоговая отчетность составляется по видам налогов, платежей в бюджет и социальным платежам, по которым реорганизуемое юридическое лицо является плательщиком и (или) налоговым агентом, за период с начала налогового периода, в котором представлено налоговое заявление о проведении налоговой проверки, до даты представления такого заявления.
В случае, если срок представления очередной налоговой отчетности наступает после представления ликвидационной налоговой отчетности, представление такой очередной налоговой отчетности производится не позднее даты представления ликвидационной налоговой отчетности.
3. Уплата налогов, платежей в бюджет и социальных платежей, отраженных в ликвидационной налоговой отчетности, производится реорганизуемым юридическим лицом не позднее десяти календарных дней со дня представления в налоговый орган ликвидационной налоговой отчетности.
В случае, если срок уплаты налогов, платежей в бюджет и социальных платежей, отраженных в налоговой отчетности, представленной перед ликвидационной налоговой отчетностью, наступает по истечении срока, указанного в части первой настоящего пункта, уплата (перечисление) производится не позднее десяти календарных дней со дня представления ликвидационной налоговой отчетности.
4. Налоговая проверка должна быть начата налоговым органом не позднее двадцати рабочих дней после получения им налогового заявления реорганизуемого юридического лица.
5. После завершения налоговой проверки при реорганизации путем разделения реорганизуемое юридическое лицо представляет в налоговый орган по месту нахождения разделительный баланс.
Если реорганизуемое юридическое лицо имеет излишне уплаченные суммы налогов, платежей в бюджет и пени, указанные суммы подлежат зачету в счет погашения налоговой задолженности реорганизуемого юридического лица в порядке, определенном статьей 102 настоящего Кодекса.
В случае если реорганизуемое юридическое лицо имеет ошибочно уплаченные суммы налогов, платежей в бюджет и пени, то указанные суммы подлежат зачету в порядке, определенном статьей 103 настоящего Кодекса.
При отсутствии у реорганизуемого юридического лица налоговой задолженности:
1) ошибочно уплаченные суммы налогов, платежей в бюджет и пени подлежат возврату его правопреемнику (правопреемникам) пропорционально доле в имуществе, полученном им (ими) при реорганизации, в порядке, определенном статьей 103 настоящего Кодекса;
2) излишне уплаченные суммы налогов, платежей в бюджет и пени подлежат возврату его правопреемнику (правопреемникам) пропорционально доле в имуществе, полученном им (ими) при реорганизации, в порядке, определенном статьей 101 настоящего Кодекса;
3) излишне (ошибочно) уплаченные в бюджет суммы таможенных пошлин, налогов, таможенных сборов и пени, взимаемых таможенными органами, подлежат возврату его правопреемнику (правопреемникам) пропорционально доле в имуществе, полученном им (ими) при реорганизации, в порядке, определенном таможенным законодательством Республики Казахстан;
4) излишне (ошибочно) уплаченные суммы штрафов подлежат возврату его правопреемнику (правопреемникам) пропорционально доле в имуществе, полученном им (ими) при реорганизации, в порядке, определенном статьей 106 настоящего Кодекса.
Реорганизуемое юридическое лицо представляет документы, указанные в настоящем пункте, в течение трех рабочих дней со дня завершения налоговой проверки в случае одновременного соблюдения следующих условий:
1) отсутствие налоговой задолженности, задолженности по социальным платежам;
2) отсутствие излишне (ошибочно) уплаченных сумм налогов, платежей в бюджет, пени и штрафов;
3) отсутствие неисполненного налогового заявления на проведение зачета и (или) возврата излишне (ошибочно) уплаченных сумм таможенных пошлин, налогов, таможенных сборов и пени, взимаемых таможенными органами.
В случае наличия налоговой задолженности, задолженности по социальным платежам, излишне (ошибочно) уплаченных сумм налогов, платежей в бюджет, пени и штрафов реорганизуемое юридическое лицо представляет документы, указанные в настоящем пункте, в течение трех рабочих дней с даты, которая наступит последней:
1) с даты погашения налоговой задолженности, задолженности по социальным платежам;
2) с даты возврата излишне (ошибочно) уплаченных сумм налогов, платежей в бюджет, пени и штрафов;
3) с даты возврата излишне (ошибочно) уплаченных сумм таможенных пошлин, налогов, таможенных сборов и пени, взимаемых таможенными органами.
6. Налоговый орган в течение десяти рабочих дней со дня получения сведений национальных реестров идентификационных номеров передает сальдо по лицевым счетам разделившегося юридического лица в налоговый орган по месту нахождения вновь возникших юридических лиц на основании разделительного баланса.
7. Исполнение налогового обязательства реорганизованного юридического лица возлагается на его правопреемника (правопреемников), за исключением представления ликвидационной налоговой отчетности.
8. Установление правопреемника (правопреемников), а также доли участия правопреемника (правопреемников) в погашении налоговой задолженности реорганизованного юридического лица осуществляется в соответствии с гражданским законодательством Республики Казахстан.
9. Реорганизация юридического лица не является основанием изменения сроков исполнения его налогового обязательства по уплате налогов, платежей в бюджет правопреемником (правопреемниками) этого юридического лица.
Статья 65. Исполнение налогового обязательства индивидуального предпринимателя, лица, занимающегося частной практикой, при прекращении деятельности
Сноска. Заголовок статьи 65 с изменением, внесенным Законом РК от 10.12.2020 № 382-VI (вводится в действие с 01.01.2021).
1. Индивидуальный предприниматель или лицо, занимающееся частной практикой, в течение месяца со дня принятия решения о прекращении деятельности одновременно представляет в налоговый орган по месту своего нахождения:
1) налоговое заявление о проведении налоговой проверки;
2) ликвидационную налоговую отчетность.
2. Ликвидационная налоговая отчетность составляется по видам налогов, платежей в бюджет и социальным платежам, по которым индивидуальный предприниматель или лицо, занимающееся частной практикой, прекращающий деятельность, является плательщиком и (или) налоговым агентом, за период с начала налогового периода, в котором представлено налоговое заявление о проведении налоговой проверки, до даты представления такого заявления.
В случае, если срок представления очередной налоговой отчетности наступает после представления ликвидационной налоговой отчетности, представление такой очередной налоговой отчетности производится не позднее даты представления ликвидационной налоговой отчетности.
3. Уплата налогов, платежей в бюджет и социальных платежей, отраженных в ликвидационной налоговой отчетности, производится индивидуальным предпринимателем или лицом, занимающимся частной практикой, прекращающим деятельность, не позднее десяти календарных дней со дня представления в налоговый орган ликвидационной налоговой отчетности.
В случае, если срок уплаты налогов, платежей в бюджет и социальных платежей, отраженных в налоговой отчетности, представленной перед ликвидационной налоговой отчетностью, наступает после истечения срока, указанного в части первой настоящего пункта, уплата (перечисление) производится не позднее десяти календарных дней со дня представления ликвидационной налоговой отчетности.
4. Налоговая проверка должна быть начата не позднее двадцати рабочих дней после получения налоговым органом налогового заявления индивидуального предпринимателя или лица, занимающегося частной практикой, прекращающего деятельность.
5. Налоговая задолженность индивидуального предпринимателя или лица, занимающегося частной практикой, прекращающего деятельность, погашается за счет денег указанного индивидуального предпринимателя или лица, занимающегося частной практикой, в том числе полученных от реализации его имущества, в порядке очередности, установленной законами Республики Казахстан.
6. Если индивидуальный предприниматель или лицо, занимающееся частной практикой, прекращающий деятельность, имеет излишне уплаченные суммы налогов, платежей в бюджет и пени, то указанные суммы подлежат зачету в счет погашения налоговой задолженности индивидуального предпринимателя или лица, занимающегося частной практикой, прекращающего деятельность, в порядке, определенном статьей 102 настоящего Кодекса.
В случае если индивидуальный предприниматель или лицо, занимающееся частной практикой, прекращающий деятельность, имеет ошибочно уплаченные суммы налогов, платежей в бюджет и пени, то указанные суммы подлежат зачету в порядке, определенном статьей 103 настоящего Кодекса.
7. При отсутствии у индивидуального предпринимателя или лица, занимающегося частной практикой, прекращающего деятельность, налоговой задолженности:
1) ошибочно уплаченные суммы налогов, платежей в бюджет и пени подлежат возврату этому налогоплательщику в порядке, определенном статьей 103 настоящего Кодекса;
2) излишне уплаченные суммы налогов, платежей в бюджет и пени подлежат возврату этому налогоплательщику в порядке, определенном статьей 101 настоящего Кодекса;
3) уплаченные суммы штрафов подлежат возврату этому налогоплательщику в порядке, определенном статьей 106 настоящего Кодекса;
4) излишне (ошибочно) уплаченные в бюджет суммы таможенных пошлин, налогов, таможенных сборов и пени, взимаемых таможенными органами, подлежат возврату этому налогоплательщику в порядке, определенном таможенным законодательством Республики Казахстан.
8. Налоговое обязательство индивидуального предпринимателя или лица, занимающегося частной практикой, прекратившего деятельность, считается исполненным после завершения налоговой проверки и при отсутствии или погашении налоговой задолженности, задолженности по социальным платежам, в том числе образовавшейся по результатам налоговой проверки, в сроки, установленные статьей 115 настоящего Кодекса.
9. Датой снятия индивидуального предпринимателя или лица, занимающегося частной практикой, с регистрационного учета в налоговом органе является дата исполнения налогового обязательства в соответствии с пунктом 8 настоящей статьи.
10. Налоговый орган не позднее трех рабочих дней со дня исполнения налогового обязательства в соответствии с пунктом 8 настоящей статьи осуществляет снятие с регистрационного учета в качестве индивидуального предпринимателя или лица, занимающегося частной практикой, и размещает на интернет-ресурсе уполномоченного органа информацию о снятии такого налогоплательщика с регистрационного учета.
11. Основанием для отказа в снятии с регистрационного учета в качестве индивидуального предпринимателя или лица, занимающегося частной практикой, является наличие налоговой задолженности, задолженности по социальным платежам, не уплаченных в сроки, установленные статьей 115 настоящего Кодекса.
12. Положения настоящей статьи не распространяются на индивидуальных предпринимателей или лиц, занимающихся частной практикой, применяющих особенности исполнения налогового обязательства при прекращении деятельности в соответствии с настоящим Кодексом.
Сноска. Статья 65 с изменениями, внесенными Законом РК от 10.12.2020 № 382-VI (вводится в действие с 01.01.2021).
Статья 66. Особенности исполнения налогового обязательства отдельными категориями индивидуальных предпринимателей и лиц, занимающихся частной практикой, при прекращении деятельности
1. Настоящая статья устанавливает особенности исполнения налогового обязательства индивидуальными предпринимателями и лицами занимающимися частной практикой, прекращающими деятельность, одновременно соответствующими следующим условиям:
1) являются плательщиками налога на добавленную стоимость, не осуществляющими финансово-хозяйственную деятельность с даты постановки на регистрационный учет по налогу на добавленную стоимость, либо не являются плательщиками налога на добавленную стоимость;
2) не включены в список выборочных налоговых проверок по результатам мероприятий системы оценки рисков либо не включены в полугодовой график налоговых проверок, проводимых по особому порядку на основе оценки степени риска, а также периодических налоговых проверок на основе оценки степени риска.
Настоящая статья применяется в отношении индивидуальных предпринимателей или лиц, занимающихся частной практикой, соответствующих условиям, определенным настоящим пунктом, в течение срока исковой давности, установленного статьей 48 настоящего Кодекса. Положения настоящего пункта применяются также в отношении индивидуальных предпринимателей, у которых период времени с даты государственной регистрации в качестве индивидуальных предпринимателей менее срока исковой давности, установленного статей 48 настоящего Кодекса.
2. Индивидуальный предприниматель или лицо, занимающееся частной практикой, в случае принятия решения о прекращении деятельности одновременно представляет в налоговый орган по месту нахождения:
1) налоговое заявление о прекращении деятельности;
2) уведомление о начале или прекращении деятельности в качестве налогоплательщика, осуществляющего отдельные виды деятельности по форме, утвержденной уполномоченным органом в сфере разрешений и уведомлений, при наличии такого учета;
3) ликвидационную налоговую отчетность;
4) налоговое заявление о снятии с учета контрольно-кассовой машины в порядке, определенном статьей 169 настоящего Кодекса.
Документ, указанный в подпункте 4) части первой настоящего пункта, представляется индивидуальным предпринимателем, прекращающим деятельность, в случае постановки контрольно-кассовой машины на учет в налоговом органе.
3. Ликвидационная налоговая отчетность составляется по видам налогов, платежей в бюджет и социальным платежам, по которым индивидуальный предприниматель или лицо, занимающееся частной практикой, прекращающие деятельность, являются налогоплательщиками (налоговыми агентами), за период с начала налогового периода, в котором представлено налоговое заявление о прекращении деятельности, до даты представления такого заявления.
В случае, если срок представления очередной налоговой отчетности наступает после представления ликвидационной налоговой отчетности, представление такой очередной налоговой отчетности производится не позднее даты представления ликвидационной налоговой отчетности.
4. Уплата налогов, платежей в бюджет и социальных платежей, отраженных в ликвидационной налоговой отчетности, производится индивидуальным предпринимателем или лицом, занимающимся частной практикой, прекращающими деятельность, не позднее десяти календарных дней со дня представления в налоговый орган ликвидационной налоговой отчетности.
В случае, если срок уплаты налогов, платежей в бюджет и социальных платежей, отраженных в налоговой отчетности, представленной перед ликвидационной налоговой отчетностью, наступает по истечении срока, указанного в части первой настоящего пункта, уплата (перечисление) производится не позднее десяти календарных дней со дня представления в налоговый орган ликвидационной налоговой отчетности.
5. Налоговый орган в течение трех рабочих дней со дня получения налогового заявления индивидуального предпринимателя или лица, занимающегося частной практикой, о прекращении деятельности обязан направить запрос:
1) в уполномоченные государственные органы – о представлении сведений о сделках с имуществом, подлежащим государственной регистрации, совершенных индивидуальным предпринимателем, или лицом, занимающимся частной практикой, прекращающими деятельность, а также об их имуществе по состоянию на дату получения налогового заявления о прекращении деятельности;
2) в банки второго уровня и (или) организации, осуществляющие отдельные виды банковских операций, – о представлении сведений об остатках и движении денег на банковских счетах индивидуального предпринимателя или лица, занимающегося частной практикой, прекращающих деятельность, на дату получения налогового заявления о прекращении деятельности.
Сведения о сделках, предусмотренные подпунктом 1) части первой настоящего пункта, а также о движении денег на банковских счетах представляются за период, в течение которого не проводилась налоговая проверка в отношении индивидуального предпринимателя или лица, занимающегося частной практикой, прекращающих деятельность, в пределах срока исковой давности, установленного статьей 48 настоящего Кодекса, до дня получения налоговым органом налогового заявления о прекращении деятельности.
6. Сведения по запросам налогового органа, указанные в пункте 5 настоящей статьи, должны быть представлены не позднее двадцати рабочих дней со дня их получения, если иное не установлено подпунктом 13) части первой статьи 24 настоящего Кодекса.
7. Налоговый орган в течение десяти рабочих дней со дня получения всех сведений, предусмотренных пунктом 5 настоящей статьи, обязан осуществить камеральный контроль и составить заключение в порядке, определенном настоящим Кодексом.
В заключении отражаются результаты камерального контроля и состояние расчетов по налогам, платежам в бюджет и социальным платежам.
Заключение составляется в количестве не менее двух экземпляров и подписывается должностными лицами налогового органа. Один экземпляр заключения вручается не позднее трех рабочих дней после его подписания индивидуальному предпринимателю или лицу, занимающемуся частной практикой, под роспись или направляется ему по почте заказным письмом с уведомлением.
В случае возврата почтовой или иной организацией связи заключения, направленного налоговым органом индивидуальному предпринимателю или лицу, занимающемуся частной практикой, по почте заказным письмом с уведомлением, датой вручения такого заключения является дата проведения налогового обследования по основаниям и в порядке, которые определены настоящим Кодексом.
8. В случае выявления нарушений по результатам камерального контроля индивидуальному предпринимателю или лицу, занимающемуся частной практикой, не позднее пяти рабочих дней с даты получения заключения вручается уведомление об устранении нарушений, выявленных по результатам камерального контроля, в порядке, определенном главой 12 настоящего Кодекса.
Исполнение уведомления об устранении нарушений, выявленных по результатам камерального контроля, осуществляется индивидуальным предпринимателем или лицом, занимающимся частной практикой, в порядке, определенном статьей 96 настоящего Кодекса.
В случае неисполнения уведомления и (или) несогласия налоговых органов с пояснениями, представленными налогоплательщиком, в отношении индивидуального предпринимателя или лица, занимающегося частной практикой, прекращающих деятельность, проводится налоговая проверка. При этом налоговая проверка должна быть начата не позднее десяти рабочих дней после истечения срока исполнения такого уведомления и (или) получения пояснения о несогласии по выявленным нарушениям.
9. Налоговая задолженность индивидуального предпринимателя или лица, занимающегося частной практикой, прекращающих деятельность, погашается за счет денег указанного индивидуального предпринимателя или лица, занимающегося частной практикой, в том числе полученных от реализации его имущества, в порядке очередности, установленной законами Республики Казахстан.
10. Если индивидуальный предприниматель или лицо, занимающееся частной практикой, прекращающие деятельность, имеют излишне уплаченные суммы налогов, платежей в бюджет и пени, то указанные суммы подлежат зачету в счет погашения налоговой задолженности этого индивидуального предпринимателя или лица, занимающегося частной практикой, в порядке, определенном статьей 102 настоящего Кодекса.
В случае если индивидуальный предприниматель или лицо, занимающееся частной практикой, прекращающие деятельность, имеют ошибочно уплаченные суммы налогов, платежей в бюджет и пени, то указанные суммы подлежат зачету в порядке, определенном статьей 103 настоящего Кодекса.
11. При отсутствии у индивидуального предпринимателя или лица, занимающегося частной практикой, прекращающих деятельность, налоговой задолженности:
1) ошибочно уплаченные суммы налогов, платежей в бюджет и пени подлежат возврату этому налогоплательщику в порядке, определенном статьей 103 настоящего Кодекса;
2) излишне уплаченные суммы налогов, платежей в бюджет и пени подлежат возврату этому налогоплательщику в порядке, определенном статьей 101 настоящего Кодекса;
3) уплаченные суммы штрафов подлежат возврату этому налогоплательщику в порядке, определенном статьей 106 настоящего Кодекса;
4) излишне (ошибочно) уплаченные в бюджет суммы таможенных пошлин, налогов, таможенных сборов и пени, взимаемых таможенными органами, подлежат возврату этому налогоплательщику в порядке, определенном таможенным законодательством Республики Казахстан.
12. Уплата (перечисление) налоговой задолженности, задолженности по социальным платежам производится налогоплательщиком не позднее десяти календарных дней со дня составления заключения или исполнения уведомления об устранении нарушений, выявленных по результатам камерального контроля.
13. Индивидуальный предприниматель или лицо, занимающееся частной практикой, признаются снятыми с регистрационного учета со дня:
1) составления заключения – при отсутствии нарушений по результатам камерального контроля и налоговой задолженности, задолженности по социальным платежам;
2) исполнения уведомления об устранении нарушений, выявленных по результатам камерального контроля, – при наличии таких нарушений и отсутствии налоговой задолженности, задолженности по социальным платежам;
3) погашения налоговой задолженности, задолженности по социальным платежам – при наличии налоговой задолженности и условии устранения нарушений, выявленных по результатам камерального контроля, в полном объеме.
Информация о снятии индивидуального предпринимателя или лица, занимающегося частной практикой, с регистрационного учета в порядке, определенном настоящим пунктом, размещается на интернет-ресурсе уполномоченного органа в течение трех рабочих дней со дня снятия таких налогоплательщиков с регистрационного учета.
Основанием для отказа в снятии с регистрационного учета в качестве индивидуального предпринимателя или лица, занимающегося частной практикой, является наличие налоговой задолженности, задолженности по социальным платежам, не уплаченных в сроки, установленные пунктом 12 настоящей статьи.
Сноска. Статья 66 с изменениями, внесенными законами РК от 24.05.2018 № 156-VI (вводится в действие по истечении десяти календарных дней после дня его первого официального опубликования); от 20.12.2021 № 85-VII (вводится в действие с 01.01.2022); от 21.12.2022 № 165-VII (порядок введения в действие см. ст. 4).
Статья 67. Прекращение деятельности отдельных категорий индивидуальных предпринимателей в упрощенном порядке
1. Прекращение деятельности отдельных категорий индивидуальных предпринимателей в упрощенном порядке осуществляется без проведения камерального контроля, установленного статьей 95 настоящего Кодекса, на основании:
1) налогового заявления налогоплательщика о прекращении деятельности;
2) письменного согласия, содержащегося в налоговом заявлении о приостановлении (продлении, возобновлении) представления налоговой отчетности или в расчете стоимости патента, – в случаях, предусмотренных пунктом 5 настоящей статьи.
3) согласия, указанного в специальном мобильном приложении при переходе на специальный налоговый режим с его использованием, – в случаях, предусмотренных пунктом 5 настоящей статьи.
2. Прекращению деятельности в упрощенном порядке подлежат индивидуальные предприниматели, соответствующие на момент подачи налогового заявления о прекращении деятельности одновременно следующим условиям:
1) не состоящие на регистрационном учете в качестве плательщика налога на добавленную стоимость;
2) не осуществляющие деятельность в форме совместного предпринимательства;
3) не осуществляющие отдельные виды деятельности, указанные в пункте 1 статьи 88 настоящего Кодекса;
4) отсутствующие в списке выборочных налоговых проверок по результатам мероприятий системы оценки рисков либо отсутствующие в полугодовом графике налоговых проверок, проводимых по особому порядку на основе оценки степени риска, а также периодических налоговых проверок на основе оценки степени риска;
5) не имеющие налоговой задолженности, задолженности по социальным платежам;
6) не имеющие высокий уровень рисков по системе управления рисками.
Настоящая статья применяется в отношении индивидуальных предпринимателей, соответствующих условиям, определенным подпунктами 1), 2), 3) и 4) части первой настоящего пункта, в течение срока исковой давности, установленного статьей 48 настоящего Кодекса, до даты подачи налогового заявления о прекращении деятельности или наступления случаев, установленного пунктом 5 настоящей статьи.
3. При прекращении деятельности в упрощенном порядке по основанию, предусмотренному подпунктом 1) пункта 1 настоящей статьи, индивидуальный предприниматель представляет в налоговый орган по месту своего нахождения одновременно:
1) налоговое заявление о прекращении деятельности;
2) ликвидационную налоговую отчетность;
3) налоговое заявление о снятии с учета контрольно-кассовой машины (при ее наличии) в порядке, определенном статьей 169 настоящего Кодекса.
Ликвидационная налоговая отчетность составляется по видам налогов, платежей в бюджет и социальным платежам, по которым индивидуальный предприниматель, прекращающий деятельность, является плательщиком и (или) налоговым агентом, за период с начала налогового периода, в котором представлено налоговое заявление о прекращении деятельности, до даты представления такого заявления.
В случае, если срок представления очередной налоговой отчетности наступает после представления ликвидационной налоговой отчетности, представление такой очередной налоговой отчетности производится не позднее даты представления ликвидационной налоговой отчетности.
4. При прекращении деятельности в упрощенном порядке по основанию, предусмотренному подпунктом 1) пункта 1 настоящей статьи, уплата налогов, платежей в бюджет и социальных платежей, отраженных в ликвидационной налоговой отчетности, производится не позднее десяти календарных дней со дня представления в налоговый орган ликвидационной налоговой отчетности.
В случае если срок уплаты налогов, платежей в бюджет и социальных платежей, отраженных в налоговой отчетности, представленной перед ликвидационной налоговой отчетностью, наступает после истечения срока, указанного в части первой настоящего пункта, то уплата (перечисление) производится не позднее десяти календарных дней со дня представления ликвидационной налоговой отчетности.
Налоговый орган не позднее трех рабочих дней со дня исполнения налогового обязательства в соответствии с настоящим пунктом осуществляет снятие индивидуального предпринимателя с регистрационного учета и размещает на интернет-ресурсе уполномоченного органа информацию о снятии индивидуального предпринимателя с регистрационного учета.
Налоговый орган отказывает в снятии с регистрационного учета в качестве индивидуального предпринимателя и размещает информацию на интернет-ресурсе уполномоченного органа при:
1) несоответствии условиям, предусмотренным пунктом 2 настоящей статьи, и (или) невыполнении требований пункта 3 настоящей статьи в течение трех рабочих дней с даты подачи налогового заявления о прекращении деятельности;
2) невыполнении требований, предусмотренных настоящим пунктом, в течение трех рабочих дней с даты истечения срока уплаты налогов, платежей в бюджет и социальных платежей.
5. Прекращению деятельности в упрощенном порядке по основаниям, предусмотренным подпунктами 2) и 3) пункта 1 настоящей статьи, подлежат индивидуальные предприниматели в следующих случаях:
1) применяющие специальный налоговый режим на основе патента и не представившие в течение шестидесяти календарных дней со дня истечения срока действия патента или окончания периода приостановления деятельности очередной расчет стоимости патента;
1-1) применяющие специальный налоговый режим с использованием специального мобильного приложения и не отражающие в таком приложении доход в течение шестидесяти календарных дней со дня последнего месяца, за который исчислены и уплачены индивидуальный подоходный налог и социальные платежи;
2) приостановившие представление налоговой отчетности и не представившие после окончания периода приостановления деятельности налоговую отчетность в течение шестидесяти календарных дней со дня истечения срока представления налоговой отчетности, установленного настоящим Кодексом.
Снятие с регистрационного учета в качестве индивидуального предпринимателя в случаях, указанных в настоящем пункте, осуществляется налоговым органом по месту нахождения индивидуального предпринимателя:
при соответствии условиям, предусмотренным пунктом 2 настоящей статьи;
при условии отсутствия контрольно-кассовой машины, состоящей на регистрационном учете в налоговом органе;
в течение трех рабочих дней со дня истечения одного из сроков, установленных подпунктами 1), 1-1) и 2) части первой настоящего пункта.
Информация о снятии индивидуального предпринимателя с регистрационного учета в порядке, определенном настоящим пунктом, размещается на интернет-ресурсе уполномоченного органа в течение трех рабочих дней со дня истечения одного из сроков, установленных подпунктами 1), 1-1) и 2) части первой настоящего пункта.
6. Налогоплательщик признается снятым с регистрационного учета в качестве индивидуального предпринимателя со дня, следующего за днем:
уплаты налогов, платежей в бюджет и социальных платежей при прекращении деятельности в упрощенном порядке по основанию, предусмотренному подпунктом 1) пункта 1 настоящей статьи;
истечения срока действия последнего патента (за исключением случаев приостановления деятельности) при прекращении деятельности в упрощенном порядке по основанию, предусмотренному подпунктом 2) пункта 1 настоящей статьи;
окончания периода приостановления деятельности, указанного в налоговом заявлении о приостановлении (продлении, возобновлении) представления налоговой отчетности при прекращении деятельности в упрощенном порядке по основаниям, предусмотренным подпунктами 2) и 3) пункта 1 настоящей статьи;
истечения последнего месяца, за который исчислены и уплачены индивидуальный подоходный налог и социальные платежи (за исключением случаев приостановления деятельности) при прекращении деятельности в упрощенном порядке по основаниям, предусмотренным подпунктом 3) пункта 1 и подпунктом 1-1) части первой пункта 5 настоящей статьи.
7. В случае выявления налоговым органом нарушений в течение срока исковой давности после прекращения деятельности индивидуального предпринимателя в соответствии с настоящей статьей исчисление налоговых обязательств по налогам, платежам в бюджет и социальным платежам по деятельности, осуществляемой в период регистрации в качестве индивидуального предпринимателя, производится физическим лицом в соответствии с налоговым законодательством Республики Казахстан, действующим на момент возникновения обязательств по их уплате.
Сноска. Статья 67 с изменениями, внесенными законами РК от 24.05.2018 № 156-VI (вводится в действие по истечении десяти календарных дней после дня его первого официального опубликования); от 24.06. 2021 № 53-VII (вводится в действие с 01.01.2022); от 21.12.2022 № 165-VII (порядок введения в действие см. ст. 4).
РАЗДЕЛ 3. НАЛОГОВЫЙ КОНТРОЛЬ И ПРОЧИЕ ФОРМЫ НАЛОГОВОГО АДМИНИСТРИРОВАНИЯ
Глава 8. ОБЩИЕ ПОЛОЖЕНИЯ
Статья 68. Налоговое администрирование
1. Налоговое администрирование является системой (совокупностью) мер и способов, осуществляемых налоговыми органами и другими уполномоченными государственными органами по сбору налогов и платежей в бюджет, заключающихся в том числе в осуществлении налогового контроля, применении способов обеспечения исполнения не выполненного в срок налогового обязательства и мер принудительного взыскания налоговой задолженности, а также оказании государственных услуг и иных форм налогового администрирования, установленных настоящим Кодексом.
1-1. В целях модернизации и совершенствования налогового администрирования налоговые органы вправе осуществлять реализацию (внедрение) пилотных проектов, предусматривающих иной порядок налогового администрирования и исполнения налоговых обязательств налогоплательщиками.
При этом категории налогоплательщиков, на которых будет распространяться пилотный проект, права и обязанности налогоплательщиков, налоговых и иных уполномоченных государственных органов, а также организации, территория (участок) и (или) регион осуществления реализации (внедрения) пилотных проектов, правила и сроки реализации (внедрения) пилотных проектов определяются уполномоченным органом.
1-2. При налоговом администрировании налоговые органы вправе применять средство биометрической идентификации в информационных системах налоговых органов.
Порядок использования средств биометрической идентификации в информационных системах налоговых органов определяется уполномоченным органом.
2. Налоговое администрирование основывается на принципах:
1) законности;
2) повышения эффективности взаимодействия между налогоплательщиком и налоговыми органами;
3) дифференцированного подхода при осуществлении налогового администрирования, основанного на оценке рисков.
Сноска. Статья 68 с изменениями, внесенными Законами РК от 02.04.2019 № 241-VI (вводится в действие по истечении десяти календарных дней после дня его первого официального опубликования); от 15.07.2025 № 208-VIII (вводится в действие по истечении шестидесяти календарных дней после дня его первого официального опубликования)..
Статья 69. Налоговый контроль
1. Налоговым контролем является государственный контроль, осуществляемый налоговыми органами, за исполнением норм налогового законодательства Республики Казахстан, иного законодательства Республики Казахстан, контроль за исполнением которого возложен на налоговые органы.
2. Налоговый контроль осуществляется в:
1) форме налоговой проверки;
2) иных формах государственного контроля.
3. В рамках данных форм налогового контроля осуществляются:
1) учет исполнения налогового обязательства, обязанности по исчислению, удержанию и перечислению социальных платежей;
2) контроль за соблюдением порядка применения контрольно-кассовых машин;
3) контроль за подакцизными товарами, а также за авиационным топливом, биотопливом и мазутом;
4) контроль при трансфертном ценообразовании;
5) контроль за соблюдением порядка учета, хранения, оценки, дальнейшего использования и реализации имущества, обращенного (поступившего) в собственность государства;
6) контроль за деятельностью уполномоченных государственных органов, местных исполнительных органов и Государственной корпорации «Правительство для граждан в части исполнения задач по осуществлению функций, направленных на исполнение налогового законодательства Республики Казахстан;
7) контроль за соблюдением порядка оформления сопроводительных накладных на товары;
8) контроль за оборотом товаров, подлежащих маркировке и прослеживаемости, в пределах компетенции.
4. В рамках иных форм государственного контроля также осуществляется:
1) регистрация налогоплательщиков в налоговых органах;
2) прием налоговых форм;
3) камеральный контроль;
4) налоговый мониторинг;
5) налоговое обследование;
6) контроль за учетом этилового спирта в организациях, осуществляющих производство этилового спирта;
7) действовал до 01.01.2019 в соответствии с Законом РК от 25.12.2017 № 121-VI.
8) прослеживаемость оборота товаров.
5. Уполномоченный орган совместно со специальными государственными органами, органами военной разведки Министерства обороны Республики Казахстан, правоохранительными органами определяет особый порядок проведения камерального контроля, налоговой проверки и перечень лиц, в отношении которых проводится такой порядок.
6. Общий порядок проведения налоговой проверки определяется настоящим Кодексом, а также Предпринимательским кодексом Республики Казахстан в части, не урегулированной настоящим Кодексом.
7. Особенности порядка и сроки проведения налоговой проверки определяются настоящим Кодексом.
8. Таможенные органы осуществляют в пределах своей компетенции налоговый контроль, применяют способы обеспечения не выполненного в срок налогового обязательства и меры принудительного взыскания по налогам, подлежащим уплате в связи с перемещением товаров через таможенную границу Евразийского экономического союза, в соответствии с настоящим Кодексом, таможенным законодательством Евразийского экономического союза и (или) таможенным законодательством Республики Казахстан.
Сноска. Статья 69 с изменениями, внесенными законами РК от 02.04.2019 № 241-VI (вводится в действие по истечении десяти календарных дней после дня его первого официального опубликования); от 20.12.2021 № 85-VII (вводится в действие с 01.01.2022); от 21.12.2022 № 165-VII (порядок введения в действие см. ст. 4).
Статья 70. Налоговое обследование
1. Налоговым обследованием является иная форма государственного контроля, осуществляемая налоговыми органами с целью подтверждения фактического нахождения или отсутствия налогоплательщика (налогового агента).
Налоговое обследование проводится в рабочее время по месту нахождения, указанному в регистрационных данных налогоплательщика (налогового агента).
Для участия в проведении налогового обследования привлекаются понятые в порядке, определенном настоящим Кодексом.
2. Основанием для проведения налогового обследования являются:
1) невозможность вручения налогоплательщику (налоговому агенту) извещения о проведении налоговой проверки, предписания, заключения по результатам камерального контроля, предварительного акта налоговой проверки, акта налоговой проверки, решения об ограничении в распоряжении имуществом и (или) акта описи ограниченного в распоряжении имущества;
2) возврат почтовой или иной организацией связи уведомления, предусмотренного подпунктами 2), 3) и 7) пункта 2 статьи 114 настоящего Кодекса, направленного налоговым органом по почте заказным письмом с уведомлением, по причине отсутствия налогоплательщика (налогового агента) по месту нахождения.
При этом налоговое обследование по основанию, предусмотренному настоящим подпунктом, в отношении налогоплательщика (налогового агента) проводится после дня возврата такого письма почтовой или иной организацией связи.
Положения настоящего подпункта не применяются в случае, предусмотренном пунктом 3 статьи 115 настоящего Кодекса;
3) необходимость в подтверждении фактического нахождения или отсутствия налогоплательщика, являющегося плательщиком налога на добавленную стоимость в соответствии с подпунктом 1) пункта 1 статьи 367 настоящего Кодекса, по месту нахождения, указанному в регистрационных данных.
Основание для проведения налогового обследования, предусмотренное настоящим подпунктом, не применяется в отношении налогоплательщиков, приостановивших представление налоговой отчетности в порядке, определенном статьями 213 и 214 настоящего Кодекса, а также налогоплательщиков, в отношении которых применена процедура банкротства;
4) необходимость в подтверждении фактического нахождения или отсутствия налогоплательщика, не исполнившего уведомление, предусмотренное подпунктом 10) пункта 2 статьи 114 настоящего Кодекса, а также налогоплательщика, признанного бездействующим в соответствии со статьей 91 настоящего Кодекса.
3. По результатам налогового обследования составляется акт налогового обследования, в котором указываются:
место, дата и время составления;
должность, фамилия, имя и отчество (если оно указано в документе, удостоверяющем личность) должностного лица налогового органа, составившего акт;
наименование налогового органа;
фамилия, имя и отчество (если оно указано в документе, удостоверяющем личность), наименование и номер документа, удостоверяющего личность, адрес места жительства привлеченного понятого;
фамилия, имя и отчество (если оно указано в документе, удостоверяющем личность) и (или) наименование налогоплательщика, его идентификационный номер;
информация о результатах налогового обследования.
Налоговый орган не позднее дня, следующего за днем составления акта налогового обследования, которым установлено отсутствие налогоплательщика по месту нахождения, указанному в его регистрационных данных, размещает на интернет-ресурсе уполномоченного органа информацию о таком налогоплательщике с указанием его идентификационного номера, наименования или фамилии, имени, отчества (если оно указано в документе, удостоверяющем личность), даты проведения акта налогового обследования.
4. В случае установления в результате налогового обследования, проведенного по основанию, указанному в подпункте 3) пункта 2 настоящей статьи, фактического отсутствия налогоплательщика по месту нахождения, указанному в регистрационных данных, налоговый орган направляет такому налогоплательщику уведомление о подтверждении места нахождения (отсутствия) налогоплательщика.
5. В течение двадцати рабочих дней с даты направления налоговым органом уведомления, указанного в пункте 4 настоящей статьи, налогоплательщик обязан в явочном порядке представить в налоговый орган письменное пояснение о причинах отсутствия в момент налогового обследования с приложением копий документов и оригинала (для сверки) или нотариально засвидетельствованных копий документов, подтверждающих место нахождения налогоплательщика.
Документом, подтверждающим место нахождения налогоплательщика, является один из следующих документов:
подтверждающий право собственности на недвижимое имущество (пользования им);
письменное согласие физического лица, на праве собственности которого находится недвижимое имущество, заявленное в качестве места нахождения.
Срок между датами нотариального засвидетельствования копии документа, подтверждающего место нахождения налогоплательщика, и его представления в налоговый орган не должен превышать десять рабочих дней.
В случае неисполнения налогоплательщиком требования, указанного в части первой настоящего пункта, налоговый орган осуществляет одно из следующих действий:
1) приостанавливает расходные операции по банковским счетам такого налогоплательщика в соответствии с подпунктом 6) пункта 1 статьи 118 настоящего Кодекса;
2) производит снятие с регистрационного учета по налогу на добавленную стоимость в порядке, определенном пунктом 4 статьи 85 настоящего Кодекса, в случае отсутствия у такого налогоплательщика открытых банковских счетов на последнюю дату срока, установленного настоящим пунктом для представления письменного пояснения.
6. В случае, указанном в подпункте 1) части четвертой пункта 5 настоящей статьи, налогоплательщик в течение пяти рабочих дней со дня приостановления расходных операций по его банковским счетам обязан в явочном порядке представить в налоговый орган письменное пояснение о причинах отсутствия по месту нахождения в момент налогового обследования.
В случае неисполнения налогоплательщиком требования, установленного частью первой настоящего пункта, налоговый орган производит снятие такого налогоплательщика с регистрационного учета по налогу на добавленную стоимость в порядке, определенном пунктом 4 статьи 85 настоящего Кодекса.
Сноска. Статья 70 с изменениями, внесенными законами РК от 24.05.2018 № 156-VI (вводится в действие по истечении десяти календарных дней после дня его первого официального опубликования); от 12.12.2023 № 45-VIII (вводится в действие с 01.01.2024).
Статья 71. Участие понятых
1. Совершение следующих действий должностных лиц налоговых органов по их требованию или требованию налогоплательщика (налогового агента) может осуществляться с участием понятых:
1) вручение должностным лицом налоговых органов уведомления по исполнению налогового обязательства, распоряжения о приостановлении расходных операций по кассе, решения об ограничении в распоряжении имуществом, акта описи имущества, извещения о проведении налоговой проверки, предписания, акта налоговой проверки и иных документов налоговых органов, предусмотренных настоящим Кодексом;
2) ограничение в распоряжении имуществом налогоплательщика (налогового агента);
3) обследование имущества, являющегося объектом налогообложения и (или) объектом, связанным с налогообложением, независимо от его места нахождения, проводимое на основании предписания;
4) проведение на основании предписания инвентаризации имущества (кроме жилых помещений) налогоплательщика (налогового агента), в том числе с применением специальных средств (фото-, аудио-, видеоаппаратуры), в порядке, определенном настоящим Кодексом;
5) налоговое обследование.
2. В качестве понятых могут быть привлечены совершеннолетние, дееспособные граждане в количестве не менее двух человек, не заинтересованные в исходе действий должностного лица налоговых органов и налогоплательщика (налогового агента).
3. Не допускается участие в качестве понятых должностных лиц государственных органов и работников, учредителей налогоплательщика (налогового агента), в отношении которого проводится действие.
4. Понятые удостоверяют факт, содержание и результаты действий должностных лиц налоговых органов и налогоплательщика (налогового агента), при совершении которых они присутствовали, зафиксированные в протоколе (акте), составляемом должностным лицом налоговых органов.
5. Понятой вправе делать замечания по поводу совершенных действий. Замечания понятого подлежат занесению в протокол (акт), составляемый должностным лицом налоговых органов.
6. В протоколе (акте), составляемом должностным лицом налоговых органов с участием понятых, указываются:
1) должность, фамилия, имя, отчество (если оно указано в документе, удостоверяющем личность) должностного лица налоговых органов, составившего протокол (акт);
2) наименование налогового органа;
3) место и дата совершения действия;
4) фамилия, имя, отчество (если оно указано в документе, удостоверяющем личность), дата рождения, место жительства, наименование и номер документа, удостоверяющего личность каждого лица, участвовавшего в действии или присутствовавшего при его проведении;
5) содержание действия и последовательность его проведения;
6) время начала и окончания действия;
7) выявленные при совершении действия факты и обстоятельства.
7. Должностное лицо налоговых органов обязано ознакомить с протоколом (актом) всех лиц, участвовавших в совершении действия или присутствовавших при его совершении. После ознакомления с протоколом (актом) должностное лицо налоговых органов, а также все лица, участвовавшие в совершении действия или присутствовавшие при его совершении, подписывают протокол (акт).
8. К протоколу (акту) прилагаются фотографические снимки и негативы, видеозаписи или другие материалы, выполненные при совершении действия (при их наличии).
9. Протокол (акт), составленный должностным лицом налоговых органов в порядке, определенном настоящей статьей, фиксирует и подтверждает факт совершения действий, указанных в пункте 1 настоящей статьи.
Статья 72. Определение дохода физического лица, подлежащего налогообложению, в отдельных случаях, в том числе косвенным методом
1. Определение дохода физического лица, подлежащего налогообложению, в отдельных случаях, в том числе косвенным методом, применяется в ходе осуществления налогового контроля в отношении физического лица с целью определения полноты и достоверности сведений, указанных им в налоговых декларациях физического лица, а также по данным уполномоченных органов и третьих лиц, влекущих возникновение налогового обязательства по индивидуальному подоходному налогу.
2. Сведения, отраженные в налоговых декларациях, предусмотренных настоящим Кодексом, а также данные уполномоченных органов и третьих лиц могут быть учтены для подтверждения доходов, направленных на осуществление расходов физического лица, вне зависимости от срока исковой давности по налоговому обязательству и требованию, установленного статьей 48 настоящего Кодекса.
3. Отраженные в налоговых декларациях, предусмотренных настоящим Кодексом, следующие сведения могут быть учтены для подтверждения доходов, направленных на осуществление расходов физического лица, исключительно при наличии подтверждающих документов, выданных компетентным органом иностранного государства в соответствии с законодательством иностранного государства:
1) об имуществе, находящемся в иностранном государстве, в том числе с льготным налогообложением, определяемом в соответствии с пунктом 3 статьи 294 настоящего Кодекса;
2) о задолженности других лиц перед физическим лицом (дебиторской задолженности) и (или) задолженности физического лица перед другими лицами (кредиторской задолженности) в случае, когда физическое или юридическое лицо, являющееся дебитором и (или) кредитором, расположено и (или) зарегистрировано в иностранном государстве, в том числе с льготным налогообложением, определяемом в соответствии со статьей 294 настоящего Кодекса.
4. В целях определения дохода физического лица, подлежащего налогообложению, в отдельных случаях, в том числе косвенным методом, налоговые органы используют сведения, полученные от уполномоченных органов, банков второго уровня и организаций, осуществляющих отдельные виды банковских операций, третьих лиц, компетентных органов иностранных государств и из других источников информации.
5. Действия настоящей статьи не применяются в отношении физического лица, состоявшего на регистрационном учете в качестве индивидуального предпринимателя, лица, занимающегося частной практикой, в части определения доходов от осуществления им такой деятельности.
6. В случае, если доходы физического лица, отраженные в налоговых декларациях, не соответствуют его расходам, произведенным в том числе на приобретение имущества, налоговые органы в ходе осуществления налогового контроля физических лиц вправе применить следующие виды косвенного метода определения дохода физического лица:
1) метод прироста стоимости активов используется в случае наличия у физического лица в период, охваченный налоговым контролем, расходов на приобретение имущества, подлежащего государственной или иной регистрации, а также имущества, по которому права и (или) сделки подлежат государственной или иной регистрации.
Данный метод применяется путем сравнения стоимости прироста имущества, указанного в настоящем подпункте, за определенный период с доходами, отраженными в налоговых декларациях;
2) метод учета затрат используется в случае наличия у физического лица в период, охваченный налоговым контролем, расходов, не указанных в подпункте 1) настоящего пункта.
Данный метод применяется путем сравнения расходов физического лица, не указанных в подпункте 1) настоящего пункта, с доходами, отраженными в налоговых декларациях;
3) метод учета движения средств на банковских счетах используется в случае изменения у физического лица в период, охваченный налоговым контролем, денежных накоплений физического лица на счетах в банках второго уровня и организациях, осуществляющих отдельные виды банковских операций.
Данный метод применяется путем сравнения изменения денежных накоплений физического лица на счетах в банках второго уровня и организациях, осуществляющих отдельные виды банковских операций, с доходами, отраженными в налоговых декларациях.
7. При осуществления налогового контроля в случае необходимости налоговые органы могут использовать комбинацию методов, определенных настоящей статьей.
8. При применении методов, определенных настоящей статьей, в ходе осуществления налогового контроля учитываются обязательства физического лица.
9. Порядок определения доходов физического лица методами, указанными в настоящей статье, определяется уполномоченным органом.
Сноска. Статья 72 с изменениями, внесенными Законом РК от 10.12.2020 № 382-VI (вводится в действие с 01.01.2021).
Статья 73. Содействие налогоплательщикам
1. Налоговые органы оказывают содействие налогоплательщикам (налоговым агентам) путем:
1) разъяснения налогового законодательства Республики Казахстан;
2) представления сведений о порядке осуществления расчетов с бюджетом по исполнению налогового обязательства;
3) предоставления программного обеспечения для представления налоговой отчетности, иной отчетности, установленной настоящим Кодексом, в электронной форме с формированием электронного платежного документа по уплате налогов и платежей в бюджет;
4) представления сведений о наличии налоговых обязательств по налогу на транспортные средства, земельному налогу и налогу на имущество физических лиц;
5) обеспечения функционирования интернет-ресурсов налоговых органов;
6) приема мобильными группами налоговых органов деклараций физических лиц в порядке, определенном уполномоченным органом.
В целях настоящего Кодекса мобильной группой налогового органа является выездная группа, состоящая из сотрудников налоговых органов, оказывающих консультации по составлению деклараций физических лиц и осуществляющих прием таких деклараций от отдельных категорий налогоплательщиков;
7) проведения мероприятий, направленных на повышение налоговой культуры;
8) проведения мероприятий по устранению причин и условий, способствующих совершению нарушений налогового законодательства Республики Казахстан.
9) направления информационных сообщений посредством сервисных программных продуктов, в том числе руководителю и (или) ответственному работнику по расчетам с бюджетом.
Положения настоящего подпункта не распространяются на субъекты крупного предпринимательства.
2. Пропаганда налогового законодательства Республики Казахстан имеет своей целью повышение информированности налогоплательщиков (налоговых агентов) по налоговым вопросам, в том числе путем доведения до их сведения положений налогового законодательства Республики Казахстан и внесенных в него изменений и дополнений, а также информации по вопросам, связанным с исполнением налогового обязательства.
Налоговые органы осуществляют пропаганду налогового законодательства Республики Казахстан путем проведения семинаров, заседаний, встреч с налогоплательщиками (налоговыми агентами), размещения информации с использованием средств массовой информации, информационных стендов, буклетов и иных печатных материалов, а также видео-, аудио- и других технических средств, применяемых для распространения информации, средств телефонной и сотовой связи.
3. Налоговые органы представляют налогоплательщикам (налоговым агентам) сведения о порядке осуществления расчетов с бюджетом по исполнению налогового обязательства, включая сведения о порядке заполнения платежного документа, реквизитах, необходимых для заполнения платежного документа.
4. Программное обеспечение предоставляется с приложением инструктивного материала по его установке, что дает возможность для формирования электронного платежного документа на уплату налогов и платежей в бюджет.
5. Налоговые органы представляют физическим лицам сведения об исчисленных налоговыми органами суммах налоговых обязательств по налогу на имущество, земельному налогу и налогу на транспортные средства физических лиц и (или) об имеющейся сумме налоговой задолженности путем:
1) размещения на интернет-ресурсах налоговых органов;
2) указания в документах, применяемых для расчетов поставщиком коммунальных услуг;
3) направления на адреса электронной почты налогоплательщика;
4) направления короткого текстового сообщения на номера сотовых телефонов, представленные налогоплательщиком.
5) направления через налоговое мобильное приложение.
Для получения данных услуг налогоплательщик предоставляет в налоговый орган по месту жительства в письменной форме адреса электронной почты, номера сотовых телефонов.
6. Налоговые органы оказывают помощь налогоплательщикам (налоговым агентам) в получении ими на бесплатной основе информации через интернет-ресурсы.
Сноска. Статья 73 с изменениями, внесенными законами РК от 20.12.2021 № 85-VII (вводится в действие с 01.01.2022); от 21.12.2022 № 165-VII (порядок введения в действие см. ст. 4).
Глава 9. РЕГИСТРАЦИЯ НАЛОГОПЛАТЕЛЬЩИКА В НАЛОГОВЫХ ОРГАНАХ
Статья 74. Общие положения
1. Уполномоченный орган ведет учет налогоплательщиков путем формирования государственной базы данных налогоплательщиков.
2. Государственная база данных налогоплательщиков является информационной системой, предназначенной для осуществления учета налогоплательщиков.
3. Формирование государственной базы данных налогоплательщиков заключается:
1) в регистрации физического лица, юридического лица, структурного подразделения юридического лица в налоговых органах в качестве налогоплательщика;
2) в регистрационном учете налогоплательщика:
в качестве индивидуального предпринимателя и лица, занимающегося частной практикой;
по налогу на добавленную стоимость;
в качестве налогоплательщика, осуществляющего отдельные виды деятельности.
4. Регистрация физического лица, юридического лица, структурных подразделений юридического лица в качестве налогоплательщика включает в себя:
1) внесение сведений о данных лицах в государственную базу данных налогоплательщиков;
2) изменение и (или) дополнение регистрационных данных в государственной базе данных налогоплательщиков;
3) исключение сведений о налогоплательщике из государственной базы данных налогоплательщиков.
5. Регистрационный учет налогоплательщика включает в себя постановку налогоплательщика на регистрационный учет, указанный в подпункте 2) пункта 3 настоящей статьи, внесение изменений и (или) дополнений в регистрационные данные налогоплательщика, снятие налогоплательщика с соответствующего регистрационного учета.
6. Регистрационными данными налогоплательщика являются сведения о налогоплательщике, представленные или заявленные в налоговые органы:
1) уполномоченными государственными органами;
2) банками второго уровня или организациями, осуществляющими отдельные виды банковских операций, в соответствии с подпунктами 1) и 7) статьи 24 настоящего Кодекса;
3) налогоплательщиком.
7. В целях настоящего Кодекса признается:
1) местом жительства физического лица – место регистрации гражданина в соответствии с законодательством Республики Казахстан в области миграции населения;
2) местом жительства гражданина Республики Казахстан, проживающего за пределами Республики Казахстан, не имеющего места регистрации в Республике Казахстан, – место последней регистрации гражданина в Республике Казахстан в соответствии с законодательством Республики Казахстан в области миграции населения;
3) местом нахождения индивидуального предпринимателя и лица, занимающегося частной практикой, – место преимущественного осуществления деятельности индивидуального предпринимателя и лица, занимающегося частной практикой, заявленное при постановке на регистрационный учет в налоговом органе в качестве индивидуального предпринимателя и лица, занимающегося частной практикой;
4) местом нахождения юридического лица-резидента, его структурного подразделения, структурного подразделения юридического лица-нерезидента – место нахождения его постоянно действующего органа, внесенное в Национальный реестр бизнес-идентификационных номеров;
5) местом нахождения юридического лица-нерезидента, осуществляющего деятельность через постоянное учреждение без открытия филиала, представительства, – место осуществления деятельности в Республике Казахстан, заявленное при регистрации в качестве налогоплательщика в налоговом органе;
6) местом нахождения юридического лица, созданного в соответствии с законодательством иностранного государства, место эффективного управления которого находится в Республике Казахстан, – место нахождения фактического органа управления в Республике Казахстан, определенное собранием совета директоров или аналогичным органом управления, заявленное при регистрации в качестве налогоплательщика в налоговом органе и указанное в соответствующем протоколе органа управления;
7) местом пребывания иностранца или лица без гражданства – место временного пребывания иностранца или лица без гражданства, определенное в соответствии с законодательством Республики Казахстан в области миграции населения.
При этом для иностранца или лица без гражданства, не пребывающего в Республике Казахстан, у которого возникает налоговое обязательство по уплате налога в соответствии со статьей 658 настоящего Кодекса, местом пребывания признается место жительства лица, выплачивающего такому иностранцу или лицу без гражданства доходы из источников в Республике Казахстан.
Сноска. Статья 74 с изменением, внесенным Законом РК от 10.12.2020 № 382-VI (вводится в действие с 01.01.2021).
Параграф 1. Регистрация в качестве налогоплательщика
Статья 75. Внесение сведений о физическом, юридическом лицах, структурном подразделении юридического лица в государственную базу данных налогоплательщиков
1. Если иное не установлено пунктом 12 статьи 76 настоящего Кодекса, внесение сведений в государственную базу данных налогоплательщиков осуществляется налоговым органом после присвоения физическому, юридическому лицам, структурному подразделению юридического лица идентификационного номера на основании сведений национальных реестров идентификационных номеров.
2. Налоговые органы осуществляют внесение сведений в государственную базу данных налогоплательщиков о:
1) физическом лице, в том числе иностранце или лице без гражданства, – по месту жительства или пребывания;
2) юридическом лице-резиденте и его структурном подразделении, структурном подразделении юридического лица-нерезидента, юридическом лице, созданном в соответствии с законодательством иностранного государства, место эффективного управления (место нахождения фактического органа управления) которого находится в Республике Казахстан, – по месту нахождения;
3) юридическом лице-нерезиденте, осуществляющем деятельность в Республике Казахстан через постоянное учреждение без открытия филиала, представительства, – по месту нахождения постоянного учреждения;
4) юридическом лице-нерезиденте, являющемся налоговым агентом в соответствии с пунктом 8 статьи 650 настоящего Кодекса или исчисляющем подоходный налог в соответствии с пунктом 11 статьи 650 настоящего Кодекса, приобретающем (реализующем) акции, доли участия, указанные в подпунктах 3), 4) и 5) пункта 1 статьи 650 настоящего Кодекса, – по месту нахождения юридического лица, являющегося недропользователем, указанного в подпунктах 3), 4) и 5) пункта 1 статьи 650 настоящего Кодекса. Положения настоящего подпункта не применяются в случае, если юридическое лицо-нерезидент, являющееся налоговым агентом в соответствии с пунктом 8 статьи 650 настоящего Кодекса или исчисляющий подоходный налог в соответствии с пунктом 11 статьи 650 настоящего Кодекса, осуществляет деятельность в Республике Казахстан через постоянное учреждение, зарегистрированное в налоговых органах в качестве налогоплательщика.
В случае если таким юридическим лицом-нерезидентом приобретаются (реализуются) ценные бумаги, доли участия в юридическом лице, 50 и более процентов стоимости активов которого составляет имущество двух и более лиц, являющихся недропользователями, то внесение сведений в государственную базу данных налогоплательщиков о нерезиденте осуществляется налоговым органом по месту нахождения уполномоченного органа;
5) юридическом лице-нерезиденте, приобретающем ценные бумаги, доли участия, в случае невыполнения условий, установленных подпунктом 8) пункта 9 статьи 645, подпунктом 7) статьи 654 настоящего Кодекса, – по месту нахождения юридического лица, чьи ценные бумаги или доли участия в котором приобретаются;
6) юридическом лице-нерезиденте, являющемся налоговым агентом в соответствии с пунктом 8 статьи 650 настоящего Кодекса или исчисляющем подоходный налог в соответствии с пунктом 11 статьи 650 настоящего Кодекса, приобретающем (реализующем) имущество, за исключением имущества, указанного в подпункте 4) настоящего пункта, в Республике Казахстан, – по месту нахождения имущества. Положения настоящего подпункта не применяются в случае, если юридическое лицо-нерезидент, являющееся налоговым агентом в соответствии с пунктом 8 статьи 650 настоящего Кодекса или исчисляющий подоходный налог в соответствии с пунктом 11 статьи 650 настоящего Кодекса, осуществляет деятельность в Республике Казахстан через постоянное учреждение, зарегистрированное в налоговых органах в качестве налогоплательщика;
7) дипломатическом и приравненном к нему представительстве иностранного государства, аккредитованном в Республике Казахстан, – по месту нахождения дипломатического и приравненного к нему представительства;
8) юридическом лице-нерезиденте, осуществляющем деятельность через зависимого агента, который рассматривается как постоянное учреждение нерезидента согласно пункту 3 статьи 220 настоящего Кодекса, – по месту нахождения (жительства, пребывания) зависимого агента;
9) юридическом лице-нерезиденте, осуществляющем деятельность через страховую организацию или страхового брокера, которые рассматриваются как постоянное учреждение нерезидента согласно пункту 1 статьи 220 настоящего Кодекса, – по месту нахождения страховой организации или страхового брокера;
10) юридическом лице-нерезиденте, осуществляющем деятельность в рамках договора о совместной деятельности, который рассматривается как постоянное учреждение нерезидента согласно пункту 1 статьи 220 настоящего Кодекса, – по месту нахождения (жительства, пребывания) резидента-участника договора о совместной деятельности;
11) юридическом лице-нерезиденте, открывающем текущие счета в банках второго уровня -резидентах, – по месту нахождения такого банка-резидента.
3. Внесение сведений в государственную базу данных налогоплательщиков осуществляется в течение трех рабочих дней налоговыми органами со дня получения сведений национальных реестров идентификационных номеров.
Внесение в государственную базу данных налогоплательщиков сведений о юридическом лице, указанном в подпунктах 3), 4) и 5) пункта 1 статьи 650 настоящего Кодекса, являющемся недропользователем, осуществляется налоговым органом по месту его нахождения в течение трех рабочих дней со дня получения сведений от уполномоченного органа о приобретении нерезидентом акций, долей участия, указанных в подпунктах 3), 4) и 5) пункта 1 статьи 650 настоящего Кодекса.
Сноска. Статья 75 с изменениями, внесенными Законом РК от 10.12.2020 № 382-VI (вводится в действие с 01.01.2021).
Статья 75-1. Паспорт налогоплательщика
1. Паспорт налогоплательщика размещается налогоплательщиками, осуществляющими деятельность в сферах общественного питания и торговли, в местах непосредственного нахождения контрольно-кассовых машин и общедоступных для информирования населения.
2. Паспорт налогоплательщика содержит следующие сведения:
1) идентификационный номер;
2) наименование индивидуального предпринимателя, юридического лица;
3) фамилию, имя, отчество (если оно указано в документе, удостоверяющем личность) индивидуального предпринимателя, руководителя юридического лица;
4) статус налогоплательщика – действующий, бездействующий, приостановивший представление налоговой отчетности;
5) дату постановки на регистрационный учет, дату снятия с регистрационного учета;
6) регистрационный номер контрольно-кассовой машины в налоговом органе, место использования контрольно-кассовой машины;
7) наличие или отсутствие лицензии на хранение и розничную реализацию алкогольной продукции, за исключением деятельности по хранению и розничной реализации алкогольной продукции на территории ее производства.
3. Сведения паспорта налогоплательщика формируются налоговым органом один раз в месяц в срок не позднее 15 числа второго месяца, следующего за отчетным месяцем, и подлежат опубликованию на сайте уполномоченного органа.
Сноска. Глава 9 дополнена статьей 75-1, в соответствии с Законом РК от 20.12.2021 № 85-VII (вводятся в действие с 01.03.2022).
Статья 76. Особенности регистрации нерезидента в качестве налогоплательщика
1. Юридическое лицо-нерезидент, осуществляющее деятельность через постоянное учреждение без открытия филиала, представительства, для регистрации в качестве налогоплательщика с учетом положений статьи 220 настоящего Кодекса обязано в течение тридцати календарных дней с даты начала осуществления деятельности в Республике Казахстан через постоянное учреждение подать в налоговый орган по месту нахождения постоянного учреждения налоговое заявление о постановке на регистрационный учет с приложением нотариально засвидетельствованных копий следующих документов:
1) учредительных;
2) подтверждающих государственную регистрацию в стране инкорпорации нерезидента, с указанием номера государственной регистрации (или его аналога);
3) подтверждающих налоговую регистрацию в стране инкорпорации нерезидента, с указанием номера налоговой регистрации (или его аналога) при наличии такого документа;
4) содержащих сведения о бенефициарном собственнике.
2. Юридическое лицо, созданное в соответствии с законодательством иностранного государства, место эффективного управления (место нахождения фактического органа управления) которого находится в Республике Казахстан, обязано в течение тридцати календарных дней со дня принятия решения о признании местом эффективного управления (местом нахождения фактического органа управления) Республики Казахстан подать в налоговый орган по месту нахождения налоговое заявление о постановке на регистрационный учет в качестве налогоплательщика с приложением нотариально засвидетельствованных копий следующих документов:
1) учредительных;
2) подтверждающих государственную регистрацию в стране инкорпорации нерезидента, с указанием номера государственной регистрации (или его аналога);
3) подтверждающих налоговую регистрацию при ее наличии в стране инкорпорации или стране резидентства нерезидента, с указанием номера налоговой регистрации (или его аналога) при наличии такого документа;
4) протокола собрания совета директоров или аналогичного органа управления;
5) содержащих сведения о бенефициарном собственнике.
3. В случае представления юридическим лицом, созданным в соответствии с законодательством иностранного государства, место эффективного управления (место нахождения фактического органа управления) которого находится в Республике Казахстан, налогового заявления о постановке на учет по месту нахождения и наличия в Республике Казахстан постоянного учреждения без открытия филиала (представительства) такое постоянное учреждение обязано передать свои права и обязанности данному юридическому лицу в порядке, определенном статьей 63 настоящего Кодекса.
В случае принятия решения юридическим лицом о переносе места эффективного управления (места нахождения фактического органа управления) в Республику Казахстан и наличия в Республике Казахстан филиала (представительства) зарегистрированного в качестве постоянного учреждения, регистрационные данные такого филиала (представительства) подлежат изменению в порядке, определенном статьей 77 настоящего Кодекса.
4. Юридическое лицо-нерезидент, являющееся налоговым агентом в соответствии с пунктом 8 статьи 650 настоящего Кодекса или исчисляющее подоходный налог в соответствии с пунктом 11 статьи 650 настоящего Кодекса, приобретающий (реализующий) имущество в Республике Казахстан, до приобретения (реализации) имущества для регистрации в качестве налогоплательщика обязано представить в налоговый орган по месту нахождения имущества налоговое заявление о постановке на регистрационный учет с приложением нотариально засвидетельствованных копий следующих документов:
1) учредительных документов юридического лица-нерезидента;
2) подтверждающего государственную регистрацию в стране инкорпорации нерезидента, с указанием номера государственной регистрации (или его аналога) для юридического лица-нерезидента;
3) подтверждающего налоговую регистрацию в стране инкорпорации нерезидента, с указанием номера налоговой регистрации (или его аналога) при наличии такого документа.
5. Страховая организация (страховой брокер) или зависимый агент, деятельность которых в соответствии с пунктами 1 и 3 статьи 220 настоящего Кодекса рассматривается как постоянное учреждение нерезидента, для регистрации такого нерезидента в качестве налогоплательщика обязаны в течение тридцати календарных дней с даты начала осуществления деятельности, определенной в соответствии с пунктом 10 статьи 220 настоящего Кодекса, представить в налоговый орган по месту нахождения налоговое заявление о постановке на регистрационный учет с приложением нотариально засвидетельствованных копий следующих документов:
1) договора (соглашения, контракта или иного документа), при его наличии, на предоставление полномочий на осуществление предпринимательской деятельности от имени нерезидента, подписание контрактов или на иные цели;
2) учредительных документов юридического лица-нерезидента, постоянным учреждением которого он является;
3) документа, подтверждающего государственную регистрацию в стране инкорпорации нерезидента, постоянным учреждением которого он является, с указанием номера государственной регистрации (или его аналога) для юридического лица-нерезидента;
4) документа, подтверждающего налоговую регистрацию в стране инкорпорации нерезидента, постоянным учреждением которого он является, с указанием номера налоговой регистрации (или его аналога) при его наличии у нерезидента;
5) документа, содержащего сведения о бенефициарном собственнике.
6. Юридическое лицо-нерезидент – участник договора о совместной деятельности, заключенного с резидентом, деятельность которого приводит к образованию постоянного учреждения, для регистрации в качестве налогоплательщика обязано в течение тридцати календарных дней с даты начала осуществления деятельности, определенной в соответствии с пунктом 10 статьи 220 настоящего Кодекса, представить в налоговый орган по месту нахождения (жительства, пребывания) резидента – участника договора о совместной деятельности налоговое заявление о постановке на регистрационный учет с приложением нотариально засвидетельствованных копий следующих документов:
1) договора о совместной деятельности;
2) учредительных документов юридического лица-нерезидента;
3) документа, подтверждающего государственную регистрацию в стране инкорпорации нерезидента, с указанием номера государственной регистрации (или его аналога);
4) документа, подтверждающего налоговую регистрацию в стране инкорпорации нерезидента, с указанием номера налоговой регистрации (или его аналога) при его наличии;
5) документа, содержащего сведения о бенефициарном собственнике.
7. Юридическое лицо-нерезидент, открывающее текущие счета в банках-резидентах, обязано до открытия счета зарегистрироваться в качестве налогоплательщика. Для регистрации в качестве налогоплательщика такой нерезидент представляет в налоговый орган по месту нахождения банка налоговое заявление о постановке на регистрационный учет с приложением нотариально засвидетельствованных копий документов, установленных пунктом 2 настоящей статьи.
8. Исключен Законом РК от 10.12.2020 № 382-VI (вводится в действие с 01.01.2021).
9. Исключен Законом РК от 10.12.2020 № 382-VI (вводится в действие с 01.01.2021).
10. Исключен Законом РК от 10.12.2020 № 382-VI (вводится в действие с 01.01.2021).
11. Исключен Законом РК от 10.12.2020 № 382-VI (вводится в действие с 01.01.2021).
12. Юридическое лицо-нерезидент, указанное в подпункте 4) пункта 2 статьи 75 настоящего Кодекса, подлежит регистрации в качестве налогоплательщика на основании сведений уполномоченных государственных и местных исполнительных органов, осуществляющих государственное регулирование в пределах компетенции в сфере недропользования в соответствии с законодательством Республики Казахстан о недрах и недропользовании, о приобретении юридическим лицом-нерезидентом акций, долей участия, указанных в подпунктах 3), 4) и 5) пункта 1 статьи 650 настоящего Кодекса, или налогового заявления о постановке на регистрационный учет, представленного таким нерезидентом, с приложением нотариально засвидетельствованных копий документов, установленных пунктом 4 настоящей статьи.
13. Юридическое лицо-нерезидент, указанное в подпункте 5) пункта 2 статьи 75 настоящего Кодекса, для регистрации в качестве налогоплательщика обязано представить в налоговый орган по месту нахождения юридического лица-эмитента или юридического лица-резидента, указанного в подпункте 8) пункта 9 статьи 645 настоящего Кодекса, налоговое заявление о постановке на регистрационный учет с приложением нотариально засвидетельствованных копий документов, установленных пунктом 4 настоящей статьи.
14. Дипломатическое и приравненное к нему представительство иностранного государства, консульское учреждение иностранного государства, аккредитованные в Республике Казахстан, подлежат регистрации в качестве налогоплательщика. Для регистрации в качестве налогоплательщика такое представительство или учреждение представляет в налоговый орган по месту своего нахождения налоговое заявление о постановке на регистрационный учет с приложением нотариально засвидетельствованной копии документа, подтверждающего аккредитацию в Республике Казахстан.
15. В целях формирования идентификационного номера и регистрационного свидетельства лицам, указанным в пунктах 1, 2, 3, 4, 5, 6, 7, 12, 13 и 14 настоящей статьи, налоговый орган направляет в регистрирующий орган электронное извещение в течение одного рабочего дня со дня получения налогового заявления о постановке на регистрационный учет или сведений уполномоченных государственных органов.
16. Электронное извещение о присвоении идентификационного номера нерезидентам, указанным в пунктах 1, 2, 3, 4, 5, 6, 7, 12, 13 и 14 настоящей статьи, направляется регистрирующим органом в налоговые органы не позднее одного рабочего дня с даты получения электронного извещения налоговых органов.
17. Регистрация нерезидентов, указанных в пунктах 1, 2, 3, 4, 5, 6, 7, 12, 13 и 14 настоящей статьи, в качестве налогоплательщиков осуществляется налоговым органом с выдачей регистрационного свидетельства по форме, утвержденной уполномоченным органом, в срок, установленный пунктом 3 статьи 75 настоящего Кодекса.
18. Регистрационное свидетельство юридического лица-нерезидента, указанного в подпункте 4) пункта 2 статьи 75 настоящего Кодекса, приобретающего ценные бумаги, доли участия, связанные с недропользованием в Республике Казахстан, хранится в налоговом органе по месту нахождения резидента или консорциума, обладающего правом недропользования в Республике Казахстан, указанного в подпунктах 2) – 4) пункта 1 статьи 650 настоящего Кодекса, до его востребования юридическим лицом-нерезидентом.
19. В случае получения сведений от уполномоченного государственного органа, налогового заявления о постановке на регистрационный учет в отношении нерезидентов, указанных в пунктах 1, 2, 3, 4, 5, 6, 7, 12, 13 и 14 настоящей статьи, имеющих идентификационные номера, направление налоговым органом электронного извещения в регистрирующий орган в целях формирования идентификационного номера и регистрационного свидетельства не производится. При этом постановка на регистрационный учет лиц, указанных в подпункте 8) пункта 2 статьи 75 настоящего Кодекса, осуществляется по месту нахождения их зависимых агентов.
Сноска. Статья 76 с изменениями, внесенными законами РК от 02.04.2019 № 241-VI (вводится в действие с 01.07.2019); от 10.12.2020 № 382-VI (вводится в действие с 01.01.2021).
Статья 77. Изменение и дополнение регистрационных данных в государственной базе данных налогоплательщиков
1. Налоговые органы осуществляют внесение изменений и дополнений в регистрационные данные, представленные при регистрации в качестве налогоплательщика:
1) физического лица – на основании сведений Национального реестра индивидуальных идентификационных номеров;
2) юридического лица-резидента и его структурного подразделения, структурного подразделения юридического лица-нерезидента – на основании сведений Национального реестра бизнес-идентификационных номеров или налогового заявления о постановке на регистрационный учет в качестве юридического лица, созданного в соответствии с законодательством иностранного государства, место эффективного управления (место нахождения фактического органа управления) которого находится в Республике Казахстан;
3) юридического лица-нерезидента, осуществляющего деятельность в Республике Казахстан через постоянное учреждение без открытия филиала, представительства, – на основании налогового заявления о постановке на регистрационный учет;
4) юридического лица-нерезидента, являющегося налоговым агентом в соответствии с пунктом 8 статьи 650 настоящего Кодекса, при изменении места нахождения лица, обладающего правом недропользования в Республике Казахстан, указанного в подпунктах 3), 4) и 5) пункта 1 статьи 650 настоящего Кодекса, – на основании налогового заявления о постановке на регистрационный учет в качестве налогоплательщика такого нерезидента или сведений уполномоченных государственных и местных исполнительных органов, осуществляющих государственное регулирование в пределах компетенции в сфере недропользования в соответствии с законодательством Республики Казахстан о недрах и недропользовании, о приобретении юридическим лицом-нерезидентом акций, долей участия, указанных в подпунктах 3), 4) и 5) пункта 1 статьи 650 настоящего Кодекса;
5) юридического лица-нерезидента, указанного в подпункте 5) пункта 2 статьи 75, при изменении места нахождения юридического лица-резидента – на основании сведений Национального реестра бизнес-идентификационных номеров о таком резиденте;
6) дипломатического и приравненного к нему представительства иностранного государства, консульского учреждения иностранного государства, аккредитованных в Республике Казахстан, – на основании налогового заявления о постановке на регистрационный учет;
7) юридического лица-нерезидента, осуществляющего деятельность через зависимого агента, который рассматривается как постоянное учреждение юридического лица-нерезидента в соответствии с пунктом 3 статьи 220 настоящего Кодекса, – на основании налогового заявления, представленного в налоговый орган зависимым агентом;
8) юридического лица-нерезидента, имеющего текущий счет в банке -резиденте, – на основании уведомления банка.
2. Изменение сведений об ответственном работнике по расчетам с бюджетом, номере телефона, адресе электронной почты юридического лица, его структурного подразделения осуществляется на основании налогового заявления о постановке на регистрационный учет.
3. Изменение сведений о банковских счетах налогоплательщиков осуществляется на основании сведений банков или организаций, осуществляющих отдельные виды банковских операций, представленных в порядке и в срок, которые установлены статьей 24 настоящего Кодекса.
4. Налоговое заявление для изменения регистрационных данных налогоплательщика представляется в налоговый орган по месту нахождения налогоплательщика (налогового агента) не позднее десяти рабочих дней с момента возникновения изменений.
5. Налоговые органы осуществляют внесение изменений в регистрационные данные налогоплательщика в течение трех рабочих дней со дня получения сведений национальных реестров идентификационных номеров, уполномоченных государственных органов, банков или организаций, осуществляющих отдельные виды банковских операций, налогового заявления о постановке на регистрационный учет.
Сноска. Статья 77 с изменениями, внесенными Законом РК от 10.12.2020 № 382-VI (вводится в действие с 01.01.2021).
Статья 78. Исключение налогоплательщика из государственной базы данных налогоплательщиков
1. Налоговые органы исключают налогоплательщика из государственной базы данных налогоплательщиков на основании сведений национальных реестров идентификационных номеров или по налоговому заявлению по причине:
1) смерти или объявления умершим физического лица;
2) выезда физического лица из Республики Казахстан на постоянное место жительства и прекращения гражданства при условии отсутствия неисполненных налоговых обязательств либо объектов налогообложения и (или) объектов, связанных с налогообложением, находящихся на территории Республики Казахстан;
3) исключен Законом РК от 10.12.2020 № 382-VI (вводится в действие с 01.01.2021);
4) исключения юридических лиц, их структурных подразделений из Национального реестра бизнес-идентификационных номеров или снятия с учетной регистрации структурных подразделений юридических лиц;
5) изменения места эффективного управления (места нахождения фактического органа управления) в Республике Казахстан юридического лица, созданного в соответствии с законодательством иностранного государства;
6) прекращения нерезидентом деятельности через постоянное учреждение;
7) прекращения иностранцем или лицом без гражданства деятельности в Республике Казахстан;
8) прекращения прав на имущество, акции и (или) доли участия нерезидента, указанного в подпунктах 4), 5) и 6) пункта 2 статьи 75 настоящего Кодекса, в случае, если такой нерезидент не имеет иного объекта налогообложения в Республике Казахстан;
9) прекращения деятельности дипломатического и приравненного к нему представительства иностранного государства, консульского учреждения иностранного государства, аккредитованных в Республике Казахстан;
10) прекращения деятельности нерезидента через зависимого агента в Республике Казахстан, который рассматривается как постоянное учреждение этого нерезидента в соответствии с пунктом 3 статьи 220 настоящего Кодекса;
11) закрытия юридическому лицу-нерезиденту, зарегистрированному в качестве налогоплательщика в целях открытия текущего счета в банке-резиденте при условии отсутствия у такого нерезидента текущих счетов в банках-резидентах, а также отсутствия сведений об открытии текущих счетов в течение шести месяцев со дня получения уведомления банка.
2. С целью исключения из государственной базы данных налогоплательщиков лиц, указанных в подпунктах 3) – 11) пункта 2 статьи 75 настоящего Кодекса, налоговый орган направляет в регистрирующий орган электронное извещение о снятии с регистрационного учета:
1) юридического лица-нерезидента, осуществляющего деятельность в Республике Казахстан через постоянное учреждение без открытия филиала, представительства, – на основании налогового заявления о снятии с регистрационного учета;
2) юридического лица-нерезидента, являющегося налоговым агентом, исчисляющего подоходный налог, приобретающего (реализующего) имущество, акции, ценные бумаги, доли участия в соответствии со статьей 650 настоящего Кодекса, – на основании налогового заявления о снятии с регистрационного учета;
3) исключен Законом РК от 10.12.2020 № 382-VI (вводится в действие с 01.01.2021);
4) дипломатического и приравненного к нему представительства иностранного государства, консульского учреждения иностранного государства, аккредитованных в Республике Казахстан, – на основании сведений уполномоченного государственного органа, осуществляющего внешнеполитическую деятельность, о прекращении деятельности дипломатического и приравненного к нему представительства иностранного государства, консульского учреждения иностранного государства, аккредитованных в Республике Казахстан;
5) юридического лица-нерезидента, указанного в подпункте 8) пункта 2 статьи 75 настоящего Кодекса, – на основании налогового заявления зависимого агента о снятии с регистрационного учета;
6) юридического лица-нерезидента, имеющего текущий счет в банке-резиденте, – на основании уведомления банка о закрытии текущего счета нерезиденту.
3. Электронное извещение с указанием сведений о нерезидентах, указанных в пункте 2 настоящей статьи, представляется налоговыми органами в регистрирующий орган в течение одного рабочего дня с даты получения налогового заявления о снятии с регистрационного учета, уведомления банка.
4. Исключение налогоплательщика из государственной базы данных налогоплательщиков производится налоговым органом на основании сведений национальных реестров идентификационных номеров при условии отсутствия не исполненных налогоплательщиком налоговых обязательств.
Сноска. Статья 78 с изменениями, внесенными законами РК от 02.04.2019 № 241-VI (вводится в действие с 01.07.2019); от 10.12.2020 № 382-VI (вводится в действие с 01.01.2021).
Параграф 2. Регистрационный учет индивидуального предпринимателя и лица, занимающегося частной практикой
Статья 79. Постановка на регистрационный учет в качестве индивидуального предпринимателя и лица, занимающегося частной практикой
1. Для постановки на регистрационный учет в качестве индивидуального предпринимателя физическое лицо направляет в налоговый орган уведомление в порядке, определенном законодательством Республики Казахстан о разрешениях и уведомлениях.
При этом уведомление, указанное в части первой настоящего пункта, может быть направлено посредством специального мобильного приложения.
2. Налоговые органы не производят постановку на регистрационный учет в качестве индивидуального предпринимателя физического лица, которому законодательством Республики Казахстан запрещено осуществлять индивидуальное предпринимательство.
3. Постановка физического лица на регистрационный учет в качестве лица, занимающегося частной практикой, производится на основании налогового заявления физического лица о регистрационном учете лица, занимающегося частной практикой, представленного в электронной форме посредством сервисных программных продуктов» до начала осуществления нотариальной деятельности, деятельности по исполнению исполнительных документов, адвокатской деятельности, деятельности по урегулированию споров в порядке медиации.
4. Налоговые органы в течение одного рабочего дня с даты получения налогового заявления производят постановку физического лица на регистрационный учет в качестве лица, занимающегося частной практикой.
Сноска. Статья 79 с изменениями, внесенными законами РК от 10.12.2020 № 382-VI (вводится в действие с 01.01.2021); от 24.06. 2021 № 53-VII (вводится в действие с 01.01.2022); от 21.12.2022 № 165-VII (порядок введения в действие см. ст. 4).
Статья 80. Изменение регистрационных данных индивидуального предпринимателя и лица, занимающегося частной практикой
1. Изменение регистрационных данных производится налоговым органом на основании:
1) уведомления, представляемого индивидуальным предпринимателем в порядке, определенном законодательством Республики Казахстан о разрешениях и уведомлениях;
2) налогового заявления о регистрационном учете лица, занимающегося частной практикой.
2. Индивидуальный предприниматель обязан представить уведомление, указанное в пункте 1 настоящей статьи, в налоговый орган по месту нахождения не позднее десяти рабочих дней со дня изменения его регистрационных данных и (или) данных об участниках (членах) совместного предпринимательства.
3. Лицо, занимающееся частной практикой, обязано представить в электронной форме налоговое заявление, указанное в пункте 1 настоящей статьи, посредством сервисных программных продуктов» не позднее десяти рабочих дней со дня изменения своего места нахождения.
4. Изменение регистрационных данных производится налоговым органом в течение одного рабочего дня, следующего за днем получения уведомления, представленного для изменения регистрационных данных.
5. Изменение сведений о месте нахождения лица, занимающегося частной практикой, производится налоговым органом в течение одного рабочего дня, следующего за днем получения налогового заявления, представленного для изменения регистрационных данных.
Сноска. Статья 80 с изменениями, внесенными законами РК от 10.12.2020 № 382-VI (вводится в действие с 01.01.2021); от 21.12.2022 № 165-VII (порядок введения в действие см. ст. 4).
Статья 81. Снятие с регистрационного учета в качестве индивидуального предпринимателя и лица, занимающегося частной практикой
1. Снятие физического лица с регистрационного учета в качестве индивидуального предпринимателя производится налоговым органом в порядке, определенном настоящим Кодексом, и (или) в соответствии с законодательством Республики Казахстан в сфере предпринимательства.
2. Снятие физического лица с регистрационного учета в качестве лица, занимающегося частной практикой, производится налоговым органом в порядке, определенном статьей 66 настоящего Кодекса.
3. Снятие физического лица с регистрационного учета в качестве индивидуального предпринимателя и лица, занимающегося частной практикой, производится налоговым органом при условии отсутствия неисполненных налоговых обязательств, за исключением случаев, предусмотренных законодательством Республики Казахстан в сфере предпринимательства.
4. Налогоплательщик вправе получить в налоговом органе по месту нахождения письменное подтверждение о снятии (отказе в снятии) его с регистрационного учета в качестве индивидуального предпринимателя и лица, занимающегося частной практикой.
Параграф 3. Регистрационный учет плательщиков налога на добавленную стоимость
Статья 82. Обязательная постановка на регистрационный учет по налогу на добавленную стоимость
1. Обязательной постановке на регистрационный учет по налогу на добавленную стоимость подлежат юридические лица-резиденты, нерезиденты, осуществляющие деятельность в Республике Казахстан через филиал, представительство, индивидуальные предприниматели, лица, занимающиеся частной практикой, в порядке, определенном настоящей статьей, за исключением:
1) государственных учреждений;
2) структурных подразделений юридических лиц-резидентов;
3) действовал до 01.01.2019 в соответствии с Законом РК от 25.12.2017 № 121-VI;
4) налогоплательщиков, применяющих специальный налоговый режим для крестьянских или фермерских хозяйств, по деятельности, на которую распространяется такой специальный налоговый режим.
2. В случае, если размер оборота для целей постановки на регистрационный учет по налогу на добавленную стоимость превышает в течение календарного года минимум оборота, лица, подлежащие постановке на регистрационный учет по налогу на добавленную стоимость, указанные в пункте 1 настоящей статьи, обязаны подать в налоговый орган по месту нахождения налоговое заявление о регистрационном учете по налогу на добавленную стоимость.
Налоговое заявление подается не позднее десяти рабочих дней со дня окончания месяца, в котором возникло превышение размера оборота над минимумом оборота, одним из следующих способов:
1) на бумажном носителе в явочном порядке;
2) в электронной форме.
Положение о подаче налогового заявления в электронной форме не распространяется на налогоплательщиков, имеющих высокий уровень риска по системе управления рисками.
Размер оборота определяется нарастающим итогом:
1) вновь созданными юридическими лицами-резидентами, филиалами, представительствами, через которые нерезидент осуществляет деятельность в Республике Казахстан, – с даты государственной (учетной) регистрации в регистрирующем органе;
2) физическими лицами, вновь вставшими на регистрационный учет в налоговых органах в качестве индивидуальных предпринимателей, лиц, занимающихся частной практикой, – с даты постановки на регистрационный учет в налоговых органах;
3) налогоплательщиками, снятыми с регистрационного учета по налогу на добавленную стоимость на основании решения налогового органа в текущем календарном году, – с даты, следующей за датой снятия с регистрационного учета по налогу на добавленную стоимость на основании решения налогового органа;
4) иными налогоплательщиками – с 1 января текущего календарного года.
3. Размер оборота для целей постановки на регистрационный учет по налогу на добавленную стоимость определяется как сумма оборотов, указанных в подпунктах 1) и 2) пункта 1 статьи 369 настоящего Кодекса.
Для целей постановки на регистрационный учет по налогу на добавленную стоимость налогоплательщик, осуществляющий расчеты с бюджетом в специальном налоговом режиме для крестьянских или фермерских хозяйств, при определении оборота не учитывает оборот по реализации от осуществления деятельности, подпадающей под данный специальный налоговый режим.
4. Минимум оборота составляет 20 000-кратный размер месячного расчетного показателя, установленного законом о республиканском бюджете и действующего на 1 января соответствующего финансового года.
В минимум оборота, установленный частью первой настоящего пункта, не включаются обороты индивидуального предпринимателя, применяющего специальный налоговый режим на основе упрощенной декларации, в пределах 124 184-кратного размера месячного расчетного показателя, установленного законом о республиканском бюджете и действующего на 1 января соответствующего финансового года, совершенные в безналичной форме расчетов с обязательным применением трехкомпонентной интегрированной системы.
Также в минимум оборота не включаются обороты налогоплательщика, применяющего специальный налоговый режим розничного налога.
5. Доверительный управляющий обязан в явочном порядке подать в налоговый орган по месту нахождения налоговое заявление о регистрационном учете по налогу на добавленную стоимость не позднее пяти рабочих дней с даты заключения договора доверительного управления либо даты иного документа, являющегося основанием возникновения доверительного управления, если учредитель по договору доверительного управления либо выгодоприобретатель в иных случаях возникновения доверительного управления является плательщиком налога на добавленную стоимость. В иных случаях обязательная постановка такого учредителя или выгодоприобретателя, а также доверительного управляющего осуществляется в соответствии с пунктом 2 настоящей статьи.
6. Налоговое заявление о регистрационном учете по налогу на добавленную стоимость подается в порядке, определенном пунктом 2 настоящей статьи, первым руководителем юридического лица-резидента Республики Казахстан, нерезидента, осуществляющего деятельность в Республике Казахстан через филиал, представительство, индивидуальным предпринимателем, лицом, занимающимся частной практикой, в налоговый орган по месту нахождения.
Лица, указанные в пункте 1 настоящей статьи, становятся плательщиками налога на добавленную стоимость со дня подачи налогового заявления для постановки на регистрационный учет по налогу на добавленную стоимость.
Налоговый орган в течение одного рабочего дня со дня подачи налогового заявления производит постановку налогоплательщика на регистрационный учет по налогу на добавленную стоимость.
7. При выявлении лица, указанного в пункте 1 настоящей статьи, не представившего налоговое заявление для постановки на регистрационный учет по налогу на добавленную стоимость, в порядке, определенном пунктом 2 настоящей статьи, налоговый орган не позднее пяти рабочих дней с момента выявления такого налогоплательщика направляет ему уведомление об устранении нарушений налогового законодательства Республики Казахстан в порядке, определенном статьей 115 настоящего Кодекса.
8. В случае непредставления налогоплательщиком налогового заявления для постановки на регистрационный учет по уведомлению налогового органа, направленному в соответствии с пунктом 7 настоящей статьи, по истечении срока, установленного пунктом 5 статьи 115 настоящего Кодекса, налоговый орган выносит распоряжение о приостановлении расходных операций по банковским счетам налогоплательщика в порядке, определенном статьей 118 настоящего Кодекса.
Сноска. Статья 82 с изменениями, внесенными законами РК от 24.05.2018 № 156-VI (вводится в действие с 01.01.2018); от 02.04.2019 № 241-VI (порядок введения в действие см. ст. 2); от 10.12.2020 № 382-VI (порядок введения в действие см. ст. 2).
Статья 83. Добровольная постановка на регистрационный учет по налогу на добавленную стоимость
1. Если иное не предусмотрено настоящим пунктом, лица, не подлежащие обязательной постановке на регистрационный учет по налогу на добавленную стоимость в соответствии с пунктом 1 статьи 82 настоящего Кодекса, вправе встать на регистрационный учет по налогу на добавленную стоимость путем подачи налогового заявления о регистрационном учете по налогу на добавленную стоимость одним из следующих способов:
1) на бумажном носителе, в явочном порядке;
2) в электронной форме;
3) при государственной регистрации юридического лица-резидента в Национальном реестре бизнес-идентификационных номеров.
Положение подпункта 2) части первой настоящего пункта не распространяется на налогоплательщиков, имеющих высокий уровень риска по системе управления рисками.
Не имеют права добровольной постановки на регистрационный учет по налогу на добавленную стоимость:
физические лица, не являющиеся индивидуальными предпринимателями, лицами, занимающимися частной практикой;
государственные учреждения;
нерезиденты, не осуществляющие деятельность в Республике Казахстан через филиал, представительство;
структурные подразделения юридических лиц-резидентов;
лица, указанные в статье 534 настоящего Кодекса, по деятельности, подлежащей обложению налогом на игорный бизнес;
налогоплательщики, не исполнившие налоговые обязательства, предусмотренные пунктом 4 статьи 424 настоящего Кодекса.
2. Налоговый орган в течение одного рабочего дня со дня подачи налогового заявления для постановки на регистрационный учет по налогу на добавленную стоимость производит постановку налогоплательщика на регистрационный учет по налогу на добавленную стоимость с формированием свидетельства о постановке на регистрационный учет по налогу на добавленную стоимость.
Лица, указанные в пункте 1 настоящей статьи, становятся плательщиками налога на добавленную стоимость:
1) со дня подачи налогового заявления для постановки на регистрационный учет по налогу на добавленную стоимость – для лиц, указанных в подпунктах 1) и 2) части первой пункта 1 настоящей статьи;
2) со дня государственной регистрации в Национальном реестре бизнес-идентификационных номеров – для лиц, указанных в подпункте 3) части первой пункта 1 настоящей статьи.
Сноска. Статья 83 с изменениями, внесенными законами РК от 24.05.2018 № 156-VI (вводится в действие с 01.01.2018); от 10.12.2020 № 382-VI (вводится в действие с 01.01.2021).
Статья 84. Свидетельство о постановке на регистрационный учет по налогу на добавленную стоимость
1. Свидетельство о постановке на регистрационный учет по налогу на добавленную стоимость удостоверяет факт постановки налогоплательщика на регистрационный учет по налогу на добавленную стоимость, является бессрочным и представляется в форме электронного документа, удостоверенного электронной цифровой подписью должностного лица налогового органа. Форма свидетельства устанавливается уполномоченным органом.
2. Свидетельство о постановке на регистрационный учет по налогу на добавленную стоимость содержит следующие обязательные реквизиты:
1) наименование и (или) фамилию, имя, отчество (если оно указано в документе, удостоверяющем личность) налогоплательщика;
2) идентификационный номер;
3) дату постановки налогоплательщика на регистрационный учет по налогу на добавленную стоимость;
4) наименование налогового органа, сформировавшего свидетельство.
3. В случае снятия налогоплательщика с регистрационного учета по налогу на добавленную стоимость свидетельство о постановке на регистрационный учет по налогу на добавленную стоимость считается недействительным.
4. Замена свидетельства о постановке на регистрационный учет по налогу на добавленную стоимость производится налоговым органом в течение трех рабочих дней в случае изменения фамилии, имени, отчества (если оно указано в документе, удостоверяющем личность) или наименования плательщика налога на добавленную стоимость – на основании сведений национальных реестров идентификационных номеров об изменении фамилии, имени, отчества (если оно указано в документе, удостоверяющем личность) или наименования налогоплательщика.
Сноска. Статья 84 с изменением, внесенным Законом РК от 02.04.2019 № 241-VI (вводится в действие по истечении десяти календарных дней после дня его первого официального опубликования).
Статья 85. Снятие с регистрационного учета по налогу на добавленную стоимость
1. Для снятия с регистрационного учета по налогу на добавленную стоимость плательщик налога на добавленную стоимость вправе подать в налоговый орган по месту нахождения налоговое заявление о регистрационном учете по налогу на добавленную стоимость при одновременном соблюдении следующих условий:
1) если за календарный год, предшествующий году подачи налогового заявления, размер облагаемого оборота не превысил минимума оборота по реализации, установленного пунктом 4 статьи 82 настоящего Кодекса;
2) если за период с начала текущего календарного года, в котором подано такое налоговое заявление, размер облагаемого оборота не превысил минимума оборота по реализации, установленного статьей 82 настоящего Кодекса.
Положение настоящего пункта не распространяется на налогоплательщиков, в отношении которых применена процедура банкротства.
Плательщик налога на добавленную стоимость для снятия с регистрационного учета по налогу на добавленную стоимость в связи с переходом на специальный налоговый режим розничного налога не позднее пяти рабочих дней до начала применения такого специального налогового режима представляет налоговое заявление, указанное в настоящем пункте, без соблюдения условий, установленных частью первой настоящего пункта.
2. К налоговому заявлению, указанному в части первой пункта 1 настоящей статьи, прилагается ликвидационная декларация по налогу на добавленную стоимость.
3. Если иное не установлено настоящим пунктом, налоговые органы обязаны произвести снятие налогоплательщика с регистрационного учета по налогу на добавленную стоимость в течение пяти рабочих дней с даты подачи налогоплательщиком налогового заявления при условии соблюдения требования, установленного пунктом 2 настоящей статьи. Датой снятия с регистрационного учета по налогу на добавленную стоимость является дата подачи в налоговый орган налогового заявления таким налогоплательщиком.
Налоговые органы отказывают налогоплательщику в снятии с регистрационного учета по налогу на добавленную стоимость в течение пяти рабочих дней с даты подачи налогового заявления налогоплательщиком в следующих случаях:
1) за календарный год, предшествующий году подачи налогового заявления, размер облагаемого оборота налогоплательщика превысил минимум оборота по реализации, установленный пунктом 4 статьи 82 настоящего Кодекса;
2) за период с 1 января текущего календарного года, в котором подано такое налоговое заявление, размер облагаемого оборота налогоплательщика превысил минимум оборота по реализации, установленный пунктом 4 статьи 82 настоящего Кодекса.
Положения настоящего пункта не распространяются на налогоплательщиков, представивших налоговое заявление о регистрационном учете по налогу на добавленную стоимость в целях снятия с такого регистрационного учета в порядке, определенном пунктом 1 статьи 213 настоящего Кодекса, а также частью третьей пункта 1 настоящей статьи.
Налоговые органы обязаны произвести снятие налогоплательщика, указанного в части третьей настоящего пункта, с регистрационного учета по налогу на добавленную стоимость с даты начала применения специального налогового режима розничного налога.
Решение об отказе в снятии с регистрационного учета по налогу на добавленную стоимость с указанием причины такого отказа по форме, установленной уполномоченным органом, вручается налогоплательщику лично под роспись или иным способом, подтверждающим факт отправки.
4. Снятие с регистрационного учета по налогу на добавленную стоимость на основании решения налогового органа по форме, установленной уполномоченным органом, производится без уведомления налогоплательщика в случаях:
1) непредставления плательщиком налога на добавленную стоимость налоговой отчетности по налогу на добавленную стоимость или игорному бизнесу по истечении шести месяцев после установленного настоящим Кодексом срока ее представления;
2) неисполнения налогоплательщиком требования, указанного в части первой пункта 5 статьи 70 настоящего Кодекса, в случае отсутствия у такого налогоплательщика открытых банковских счетов на последнюю дату срока, установленного частью первой пункта 5 статьи 70 настоящего Кодекса, для представления письменного пояснения;
3) неисполнения налогоплательщиком требования, установленного частью первой пункта 6 статьи 70 настоящего Кодекса;
4) признания недействительной регистрации индивидуального предпринимателя или юридического лица на основании вступившего в законную силу решения суда;
5) признания недействительной перерегистрации юридического лица на основании вступившего в законную силу решения суда;
6) если первый руководитель или единственный учредитель (участник) юридического лица, или индивидуальный предприниматель, лицо, занимающееся частной практикой, являются:
недееспособным или ограниченно дееспособным и (или) безвестно отсутствующим физическим лицом;
умершим (объявленным умершим) в случае, если с момента смерти (объявления умершим) истекло шесть месяцев;
физическим лицом, имеющим непогашенную или неснятую судимость по статьям 192-1, 216 и 222 Уголовного кодекса Республики Казахстан от 16 июля 1997 года;
физическим лицом, имеющим непогашенную или неснятую судимость по статьям 216, 238 и 245 Уголовного кодекса Республики Казахстан от 3 июля 2014 года;
физическим лицом, находящимся в розыске;
физическим лицом-иностранцем или лицом без гражданства, цель пребывания которого не связана с осуществлением трудовой деятельности в Республике Казахстан либо разрешенный срок его пребывания на территории Республики Казахстан истек;
бездействующим индивидуальным предпринимателем или юридическим лицом;
первым руководителем или единственным учредителем (участником) бездействующего юридического лица;
7) признания налогоплательщика бездействующим в порядке, определенном статьей 91 настоящего Кодекса.
5. Решение о снятии с регистрационного учета по налогу на добавленную стоимость выносится налоговым органом по месту нахождения налогоплательщика не позднее пяти рабочих дней:
1) со дня установления случаев, указанных в подпунктах 1), 6) и 7) пункта 4 настоящей статьи, если иное не установлено настоящим подпунктом.
Решение о снятии с регистрационного учета по налогу на добавленную стоимость в случаях, указанных в абзацах восьмом и девятом подпункта 6) пункта 4 настоящей статьи, выносится налоговым органом не позднее трех рабочих дней с даты постановки на регистрационный учет по налогу на добавленную стоимость;
2) со дня истечения срока, установленного частью первой пункта 5 статьи 70 настоящего Кодекса, в случае, предусмотренном подпунктом 2) пункта 4 настоящей статьи;
3) со дня истечения срока, установленного частью первой пункта 6 статьи 70 настоящего Кодекса, в случае, предусмотренном подпунктом 3) пункта 4 настоящей статьи;
4) со дня получения налоговым органом вступившего в законную силу решения суда о признании недействительной регистрации индивидуального предпринимателя или юридического лица;
5) со дня получения налоговым органом вступившего в законную силу решения суда о признании недействительной перерегистрации юридического лица.
6. Плательщик налога на добавленную стоимость по решению налогового органа признается снятым с регистрационного учета в качестве плательщика налога на добавленную стоимость:
1) с даты вынесения данного решения – для лиц, указанных в подпунктах 1), 2), 3) и 7) пункта 4 настоящей статьи;
2) с даты постановки на регистрационный учет по налогу на добавленную стоимость – для лиц, указанных в подпункте 4) пункта 4 настоящей статьи;
3) с даты перерегистрации в регистрирующем органе, осуществляющем ведение Национального реестра бизнес-идентификационных номеров, признанной недействительной на основании вступившего в законную силу решения суда – для лица, указанного в подпункте 5) пункта 4 настоящей статьи;
4) с даты возникновения случаев, установленных в подпункте 6) пункта 4 настоящей статьи, если иное не установлено настоящим подпунктом.
Плательщик налога на добавленную стоимость в случаях, указанных в абзацах восьмом и девятом подпункта 6) пункта 4 настоящей статьи, признается снятым по решению налогового органа с регистрационного учета в качестве плательщика налога на добавленную стоимость с даты постановки на регистрационный учет по налогу на добавленную стоимость.
7. Снятие с регистрационного учета по налогу на добавленную стоимость производится:
1) в случае прекращения деятельности лица, являющегося плательщиком налога на добавленную стоимость, если иное не предусмотрено настоящим пунктом, – с даты представления налогового заявления о проведении налоговой проверки либо налогового заявления о прекращении деятельности, указанных в статьях 58, 60, 65 и 66 настоящего Кодекса;
2) в случаях реорганизации юридических лиц путем слияния, присоединения – с даты представления ликвидационной налоговой отчетности и передаточного акта;
3) в случае реорганизации юридического лица путем разделения – с даты представления налогового заявления о проведении налоговой проверки, указанного в статье 64 настоящего Кодекса;
4) в случае смерти физического лица, зарегистрированного в качестве индивидуального предпринимателя, лица, занимающегося частной практикой, и являющегося плательщиком налога на добавленную стоимость, – с даты исключения из государственной базы данных налогоплательщиков в порядке, определенном пунктом 1 статьи 78 настоящего Кодекса.
8. При ликвидации плательщика налога на добавленную стоимость по причине банкротства снятие с регистрационного учета по налогу на добавленную стоимость производится со дня исключения из Национального реестра бизнес-идентификационных номеров или снятия с регистрационного учета в качестве индивидуального предпринимателя.
9. Информация о снятии плательщика налога на добавленную стоимость с регистрационного учета по налогу на добавленную стоимость по решению налогового органа размещается на интернет-ресурсе уполномоченного органа в течение одного рабочего дня, следующего за днем вынесения решения о снятии с регистрационного учета по налогу на добавленную стоимость.
Сноска. Статья 85 с изменениями, внесенными законами РК от 24.05.2018 № 156-VI (вводится в действие с 01.01.2018); от 27.12.2019 № 290-VІ (вводится в действие по истечении десяти календарных дней после дня его первого официального опубликования); от 10.12.2020 № 382-VI (вводится в действие с 01.01.2021) от 21.12.2022 № 165-VII (порядок введения в действие см. ст. 4).
Параграф 4. Регистрационный учет в качестве электронного налогоплательщика
Сноска. Параграф 4 главы 9 действовал до 01.01.2020 в соответствии с Законом РК от 25.12.2017 № 121-VI.
Параграф 5. Регистрационный учет налогоплательщика, осуществляющего отдельные виды деятельности
Статья 88. Постановка на регистрационный учет в качестве налогоплательщика, осуществляющего отдельные виды деятельности
1. Постановке на регистрационный учет в качестве налогоплательщика, осуществляющего отдельные виды деятельности, подлежат налогоплательщики, осуществляющие следующие виды деятельности:
1) производство бензина (кроме авиационного), дизельного топлива, газохола, бензанола, нефраса, смеси легких углеводородов, экологического топлива;
2) оптовая и (или) розничная реализация бензина (кроме авиационного), дизельного топлива, газохола, бензанола, нефраса, смеси легких углеводородов, экологического топлива;
3) производство этилового спирта и (или) алкогольной продукции;
4) оптовая и (или) розничная реализация алкогольной продукции;
5) производство и (или) оптовая реализация табачных изделий;
6) игорный бизнес;
7) действовал до 01.01.2020 в соответствии с Законом РК от 25.12.2017 № 121-VI;
8) производство, сборка (комплектация) подакцизных товаров, предусмотренных подпунктом 6) части первой статьи 462 настоящего Кодекса, за исключением импорта подакцизных товаров, по которым произведена уплата акциза, в соответствии с таможенным законодательством Республики Казахстан, также при наличии соглашения о промышленной сборке;
9) действовал до 01.01.2020 в соответствии с Законом РК от 25.12.2017 № 121-VI;
10) электронная торговля товарами.
2. Постановка на регистрационный учет в качестве налогоплательщика, осуществляющего отдельные виды деятельности, производится в налоговых органах по месту нахождения объектов налогообложения и (или) объектов, связанных с налогообложением, используемых при осуществлении отдельных видов деятельности, указанных в пункте 1 настоящей статьи.
3. Постановка на регистрационный учет в качестве налогоплательщика, осуществляющего отдельные виды деятельности, подлежащие лицензированию, при условии наличия соответствующей лицензии производится на срок, не превышающий срока действия лицензии.
4. Если иное не установлено настоящим пунктом, постановка на регистрационный учет в качестве налогоплательщика, осуществляющего отдельные виды деятельности, подлежащие лицензированию по видам деятельности, указанным в подпунктах 3), 4) и 5) (за исключением оптовой реализации табачных изделий) пункта 1 настоящей статьи, производится при условии наличия соответствующей лицензии на основании данных государственного электронного реестра разрешений и уведомлений.
Постановка на регистрационный учет в качестве налогоплательщика, осуществляющего отдельные виды деятельности, указанные в подпунктах 1), 2), 5) (за исключением производства табачных изделий), 6) – 10) пункта 1 настоящей статьи, производится на основании уведомления о начале или прекращении деятельности в качестве налогоплательщика, осуществляющего отдельные виды деятельности, в порядке, определяемом Законом Республики Казахстан «О разрешениях и уведомлениях».
5. Уведомление, указанное в части второй пункта 4 настоящей статьи, представляется в налоговый орган не позднее трех рабочих дней до начала осуществления отдельного вида деятельности. К уведомлению прилагаются копии следующих документов:
при осуществлении деятельности, указанной в подпункте 1) пункта 1 настоящей статьи, – подтверждающих право собственности или аренды производственного объекта производителя нефтепродуктов;
при осуществлении деятельности, указанной в подпункте 2) пункта 1 настоящей статьи, – подтверждающих право собственности или аренды базы нефтепродуктов (резервуара), автозаправочной станции или договора поручения с владельцем автозаправочной станции, согласно которому владелец автозаправочной станции (поверенный) по договору поручения осуществляет розничную реализацию бензина (кроме авиационного), дизельного топлива, газохола и (или) бензанола от имени и по поручению заявителя (доверителя), либо договора переработки нефти поставщика нефти с производителем нефтепродуктов;
при осуществлении деятельности, указанной в подпункте 5) пункта 1 настоящей статьи, – подтверждающих право собственности или аренды складского помещения при оптовой реализации табачных изделий.
Срок действия договоров, за исключением договора поручения и договора переработки нефти поставщика нефти с производителем нефтепродуктов, должен быть не менее одного года.
В случае непредставления оригиналов договоров для сверки копии договоров должны быть нотариально засвидетельствованы.
6. Налоговый орган производит постановку налогоплательщика на регистрационный учет в качестве налогоплательщика, осуществляющего отдельные виды деятельности, в течение трех рабочих дней:
1) с даты подачи уведомления;
2) со дня получения сведений из государственного электронного реестра разрешений и уведомлений по видам деятельности, подлежащим лицензированию.
7. В случае наличия у налогоплательщика нескольких игорных заведений (стационарных мест) постановка на регистрационный учет осуществляется по каждому игорному заведению (стационарному месту) отдельно.
Стационарное место является местом осуществления предпринимательской деятельности по оказанию услуг с использованием игровых автоматов без выигрыша, персональных компьютеров для игр, игровых дорожек, картов, бильярдных столов.
8. Запрещаются использование и нахождение на территории игорного заведения (стационарного места) объектов налогообложения и (или) объектов, связанных с налогообложением, не зарегистрированных в налоговых органах.
9. При наличии у налогоплательщика нескольких объектов налогообложения и (или) объектов, связанных с налогообложением, используемых при осуществлении видов деятельности, указанных в подпунктах 1) – 5) пункта 1 настоящей статьи, регистрационный учет каждого объекта налогообложения и (или) объекта, связанного с налогообложением, производится отдельно.
10. Для целей подпунктов 1) – 5) пункта 1 настоящей статьи под объектами, связанными с налогообложением, понимаются производственный объект производителя нефтепродуктов, база нефтепродуктов, резервуар, заправочная станция, объемы нефти и (или) газового конденсата и выхода нефтепродуктов, указанные в договоре переработки нефти и (или) газового конденсата или приложении (спецификации) к договору с производителем нефтепродуктов (для поставщиков нефти), стационарное и (или) складское помещения, которые используются для осуществления видов деятельности, указанных в подпунктах 1) – 5) пункта 1 настоящей статьи.
Сноска. Статья 88 с изменениями, внесенными законами РК от 10.12.2020 № 382-VI (порядок введения в действие см. ст. 2); от 11.07.2022 № 135-VII (вводится в действие с 01.01.2022); от 15.07.2025 № 208-VIII (вводится в действие с 01.01.2025).
Статья 89. Изменение и дополнение регистрационных данных налогоплательщика, осуществляющего отдельные виды деятельности
1. При изменении сведений об объектах налогообложения и (или) объектах, связанных с налогообложением, указанных в регистрационных данных, налогоплательщик обязан в течение трех рабочих дней с даты возникновения изменений подать уведомление, указанное в пункте 4 статьи 88 настоящего Кодекса, в налоговый орган по месту регистрации объектов налогообложения и (или) объектов, связанных с налогообложением.
2. Внесение изменений в регистрационные данные налогоплательщика производится налоговым органом в течение трех рабочих дней с даты получения уведомления, указанного в части второй пункта 4 статьи 88 настоящего Кодекса, в случае изменения сведений об объектах налогообложения и (или) объектах, связанных с налогообложением.
Налогоплательщиком, осуществляющим отдельные виды деятельности, указанные в подпунктах 1) и 2) пункта 1 статьи 88 настоящего Кодекса, к уведомлению прилагается документ, указанный в пункте 5 статьи 88 настоящего Кодекса, подтверждающий изменение сведений об объектах налогообложения и (или) объектах, связанных с налогообложением.
В случае непредставления оригинала договора для сверки копии договоров и (или) приложений к договорам должны быть нотариально засвидетельствованы.
Статья 90. Снятие с регистрационного учета в качестве налогоплательщика, осуществляющего отдельные виды деятельности
1. Налогоплательщик подлежит снятию налоговым органом с регистрационного учета в качестве налогоплательщика, осуществляющего отдельные виды деятельности, не подлежащие лицензированию, на основании уведомления, указанного в части второй пункта 4 статьи 88 настоящего Кодекса, в случаях:
1) прекращения осуществления видов деятельности, указанных в пункте 1 статьи 88 настоящего Кодекса;
2) снятия с учета всех объектов налогообложения и (или) объектов, связанных с налогообложением, указанных в регистрационных данных.
2. Снятие налогоплательщика с регистрационного учета в качестве налогоплательщика, осуществляющего отдельные виды деятельности, подлежащие лицензированию, производится налоговым органом на основании сведений из государственного электронного реестра разрешений и уведомлений о прекращении действия лицензии.
3. Уведомление для снятия с регистрационного учета в качестве налогоплательщика, осуществляющего отдельные виды деятельности, представляется в налоговый орган по месту регистрации объектов налогообложения и (или) объектов, связанных с налогообложением, в течение трех рабочих дней с даты прекращения осуществления видов деятельности, установленных пунктом 1 статьи 88 настоящего Кодекса, или снятия с учета общего количества объектов налогообложения и (или) объектов, связанных с налогообложением, указанных в регистрационных данных.
4. Снятие налогоплательщика с регистрационного учета в качестве налогоплательщика, осуществляющего отдельные виды деятельности, производится на основании решения налогового органа в случаях:
1) прекращения действия договора налогоплательщика, осуществляющего виды деятельности, указанные в подпунктах 1), 2) и 5) пункта 1 статьи 88 настоящего Кодекса:
аренды производственного объекта производителя нефтепродуктов;
аренды базы нефтепродуктов (резервуара), автозаправочной станции;
поручения с владельцем автозаправочной станции, согласно которому владелец автозаправочной станции (поверенный) по договору поручения осуществляет розничную реализацию бензина (кроме авиационного) и (или) дизельного топлива от имени и по поручению заявителя (доверителя);
переработки нефти поставщика нефти с производителем нефтепродуктов;
аренды складского помещения при оптовой реализации табачных изделий;
2) отсутствия налогоплательщика, осуществляющего виды деятельности, указанные в подпункте 4) пункта 1 статьи 88 настоящего Кодекса, по адресу, указанному в лицензии;
3) непредставления декларации и (или) расчета по акцизу налогоплательщиком, осуществляющим виды деятельности, указанные в подпунктах 1), 2), 3), 5) и 8) пункта 1 статьи 88 настоящего Кодекса, в течение трехмесячного периода после установленного настоящим Кодексом срока их представления.
5. Решение о снятии с регистрационного учета в качестве налогоплательщика, осуществляющего отдельные виды деятельности, выносится налоговым органом по месту регистрации объектов налогообложения и (или) объектов, связанных с налогообложением, по форме, установленной уполномоченным органом, не позднее пяти рабочих дней с даты наступления случаев, указанных в пункте 4 настоящей статьи.
6. Информация о налогоплательщике, снятого с регистрационного учета в качестве налогоплательщика, осуществляющего отдельные виды деятельности, подлежит размещению на интернет-ресурсе уполномоченного органа в течение трех рабочих дней со дня снятия с регистрационного учета.
Параграф 6. Признание налогоплательщика бездействующим, находящимся на стадии ликвидации, прекращения деятельности в принудительном порядке
Статья 91. Бездействующий налогоплательщик
1. К бездействующим налогоплательщикам относятся бездействующие юридические лица и индивидуальные предприниматели.
2. Бездействующим юридическим лицом признаются юридическое лицо-резидент, юридическое лицо-нерезидент, осуществляющее деятельность в Республике Казахстан через постоянное учреждение, а также структурное подразделение юридического лица-нерезидента, не представившие за налоговый период по истечении одного года после установленного настоящим Кодексом срока представления:
1) декларацию по корпоративному подоходному налогу;
2) декларацию по налогу на игорный бизнес, по фиксированному налогу при условии, если за три налоговых периода, последующих за указанным налоговым периодом, такая декларация не представлена;
3) упрощенную декларацию при условии, если за два налоговых периода, последующих за указанным налоговым периодом, такая декларация не представлена.
3. Бездействующим индивидуальным предпринимателем признается индивидуальный предприниматель, не представивший за налоговый период по истечении одного года после установленного настоящим Кодексом срока представления:
1) декларацию по индивидуальному подоходному налогу;
2) декларацию по налогу на игорный бизнес, по фиксированному налогу при условии, если за три налоговых периода, последующих за указанным налоговым периодом, такая декларация не представлена;
3) упрощенную декларацию при условии, если за два налоговых периода, последующих за указанным налоговым периодом, такая декларация не представлена;
4) расчет стоимости патента в течение двух лет с даты окончания срока действия последнего патента.
4. Действие пунктов 2 и 3 настоящей статьи не распространяется на юридические лица-резиденты, юридические лица-нерезиденты, осуществляющие деятельность в Республике Казахстан через постоянное учреждение, структурные подразделения юридического лица-нерезидента, и индивидуальных предпринимателей, которые приостановили деятельность, на период ее приостановления.
5. Налоговые органы ежегодно, не позднее 30 апреля выносят приказ о признании налогоплательщиков бездействующими, сведения о которых публикуются на интернет-ресурсе уполномоченного органа не позднее даты вынесения такого приказа.
6. Сведения о налогоплательщиках, признанных бездействующими, исключаются из интернет-ресурса уполномоченного органа в соответствии с приказом налогового органа, принятым в течение пяти рабочих дней после:
1) исполнения налогоплательщиком налогового обязательства по представлению налоговой отчетности;
2) уплаты штрафов за непредставление налоговой отчетности в срок, установленный настоящим Кодексом, в случае их применения к налогоплательщику в соответствии с законодательством Республики Казахстан.
7. Сведения о налогоплательщиках, признанных бездействующими, исключаются из интернет-ресурса уполномоченного органа не позднее одного рабочего дня, следующего за днем принятия соответствующего приказа налогового органа.
8. В случае исключения налогоплательщика из Государственного регистра юридических лиц или снятия с регистрационного учета в качестве индивидуального предпринимателя такие налогоплательщики одновременно исключаются из списка бездействующих налогоплательщиков.
Статья 92. Налогоплательщик, находящийся на стадии ликвидации (прекращения деятельности)
1. Налогоплательщиком, находящимся на стадии ликвидации (прекращения деятельности), признается лицо, представившее налоговое заявление на проведение налоговой проверки в связи с ликвидацией (прекращением деятельности) или налоговое заявление о прекращении деятельности. При этом информация о таком налогоплательщике размещается на интернет-ресурсе уполномоченного органа в течение трех рабочих дней с даты представления соответствующего заявления.
2. Исключение лица из списка налогоплательщиков, находящихся на стадии ликвидации (прекращения деятельности), производится налоговыми органами в случаях:
1) исключения из Национального реестра бизнес-идентификационных номеров – в течение трех рабочих дней со дня получения таких сведений;
2) снятия с регистрационного учета в качестве индивидуального предпринимателя и лица, занимающегося частной практикой, – в течение трех рабочих дней со дня снятия с регистрационного учета.
Статья 93. Особенности прекращения деятельности налогоплательщиков в принудительном порядке
1. Прекращению деятельности в принудительном порядке подлежат юридические лица-резиденты, их структурные подразделения, структурные подразделения юридического лица-нерезидента, юридические лица-нерезиденты, осуществляющие деятельность через постоянное учреждение без открытия структурного подразделения, индивидуальные предприниматели, соответствующие одновременно следующим условиям:
1) до 1 января календарного года, но не менее срока исковой давности, установленного статьей 48 настоящего Кодекса:
не представлявшие налоговую отчетность;
не совершавшие экспортно-импортные операции;
не осуществлявшие платежи и (или) переводы денег по банковским счетам, за исключением случаев, если сумма платежа и (или) перевода денег за календарный год не превышает 141-кратный размер месячного расчетного показателя, установленного законом о республиканском бюджете и действующего на 1 января соответствующего финансового года, а также получения пенсионных и (или) социальных выплат;
не состоявшие на регистрационном учете в качестве плательщика налога на добавленную стоимость;
2) по состоянию на 1 января календарного года:
не состоящие на регистрационном учете в качестве плательщика налога на добавленную стоимость;
не приостановившие представление налоговой отчетности в порядке, определенном статьями 213 и 214 настоящего Кодекса;
не имеющие на праве собственности объекты обложения налогами на имущество, транспортные средства, земельным налогом, единым земельным налогом, за исключением объектов обложения указанными налогами с физических лиц;
не имеющие задолженность по социальным платежам;
не имеющие налоговую задолженность по налогам и платежам в бюджет, таможенным платежам и налогам в размере более 6-кратного месячного расчетного показателя, установленного законом о республиканском бюджете и действующего на 1 января соответствующего финансового года.
Положения настоящего пункта не распространяются на налогоплательщиков:
1) подлежащих налоговому мониторингу в соответствии с настоящим Кодексом;
2) осуществляющих деятельность в соответствии с контрактом на недропользование.
2. Налоговые органы ежегодно:
1) не позднее 1 марта формируют первоначальный перечень субъектов, соответствующих условиям пункта 1 настоящей статьи;
2) не позднее 1 апреля размещают в средствах массовой информации сформированный перечень субъектов, подлежащих принудительной ликвидации, с указанием следующих сведений:
идентификационного номера (при его наличии);
регистрационного номера налогоплательщика;
фамилии, имени, отчества (если оно указано в документе, удостоверяющем личность) физического лица либо наименования субъекта;
наименования налогового органа по месту нахождения субъекта;
адреса налогового органа для приема заявлений (претензий) кредиторов и (или) иных лиц, чьи права и законные интересы затрагиваются в случае принудительной ликвидации (снятия с учетной регистрации, прекращения деятельности) субъекта;
3) не позднее 1 мая после размещения в средствах массовой информации сформированного перечня субъектов для получения сведений направляют запросы в:
банки второго уровня и организации, осуществляющие отдельные виды банковских операций, – о платежах и (или) переводах денег, определенных подпунктом 1) части первой пункта 1 настоящей статьи;
уполномоченные государственные органы – о наличии имущества, транспортных средств, земельных участков;
регистрирующий орган – о наличии (отсутствии) сведений в Национальном реестре идентификационных номеров.
3. Заявления (претензии) кредиторов или иных лиц принимаются налоговыми органами с приложением документов, подтверждающих правомерность предъявляемых претензий, до 1 июня календарного года.
4. Окончательный перечень субъектов, подлежащих принудительной ликвидации (снятию с учетной регистрации, прекращению деятельности), формируется не позднее 1 июля календарного года, при условии получения сведений, указанных в подпункте 3) пункта 2 настоящей статьи, и отсутствия заявлений (претензий) кредиторов или иных лиц.
5. Исковые заявления для принудительной ликвидации (снятия с учетной регистрации, прекращения деятельности) в отношении субъектов, включенных в перечень, указанный в пункте 4 настоящей статьи, направляются налоговыми органами в суд не позднее 1 сентября календарного года.
Сноска. Статья 93 с изменениями, внесенными законами РК от 26.12.2018 № 203-VI (вводится в действие с 01.01.2019); от 02.04.2019 № 241-VI (вводится в действие с 01.07.2019).
Глава 10. КАМЕРАЛЬНЫЙ КОНТРОЛЬ
Статья 94. Камеральный контроль
1. Камеральным контролем является контроль, осуществляемый налоговыми органами на основе изучения и анализа представленной налогоплательщиком (налоговым агентом) налоговой отчетности, сведений уполномоченных государственных органов, а также других документов и сведений о деятельности налогоплательщика.
Камеральный контроль является составной частью системы управления рисками.
2. Целью камерального контроля является предоставление налогоплательщику права самостоятельного устранения нарушений, выявленных налоговыми органами по результатам камерального контроля, путем постановки на регистрационный учет в налоговых органах и (или) представления налоговой отчетности в соответствии со статьей 96 настоящего Кодекса и (или) уплаты налогов и платежей в бюджет.
Статья 95. Порядок и сроки проведения камерального контроля
1. Камеральный контроль проводится путем сопоставления следующих данных, имеющихся в налоговых органах:
1) налоговой отчетности;
2) сведений иных государственных органов об объектах налогообложения и (или) объектах, связанных с налогообложением;
3) сведений, полученных из различных источников информации, по деятельности налогоплательщика;
4) иной отчетности, установленной настоящим Кодексом.
2. Камеральный контроль проводится после выписки счетов-фактур в электронной форме и (или) за соответствующий налоговый период после истечения срока представления налоговой отчетности за такой период, установленного настоящим Кодексом.
3. Камеральный контроль осуществляется в течение срока исковой давности с учетом положений, установленных статьей 48 настоящего Кодекса.
Сноска. Статья 95 с изменением, внесенным Законом РК от 21.12.2022 № 165-VII (вводится в действие с 01.01.2023).
Статья 96. Результаты камерального контроля
1. В случае выявления нарушений по результатам камерального контроля оформляются:
по нарушениям с высокой степенью риска – уведомление об устранении нарушений, выявленных налоговыми органами по результатам камерального контроля, с приложением описания выявленных нарушений и их степени риска.
При этом нарушениями с высокой степенью риска являются нарушения, выявленные по результатам камерального контроля, проведенного после выписки счетов-фактур в электронной форме в целях установления фактического совершения оборота по реализации товаров, оказанию работ и услуг;
по нарушениям со средней степенью риска – уведомление об устранении нарушений, выявленных налоговыми органами по результатам камерального контроля, с приложением описания выявленных нарушений и их степени риска;
по нарушениям с низкой степенью риска – извещение о нарушениях, выявленных по результатам камерального контроля, с приложением описания выявленных нарушений и их степени риска.
Извещение о нарушениях, выявленных по результатам камерального контроля, направляется налогоплательщику (налоговому агенту) в срок не позднее десяти рабочих дней со дня выявления нарушений в налоговой отчетности для сведения.
Форма извещения о нарушениях, выявленных по результатам камерального контроля, устанавливается уполномоченным органом.
2. Исполнение уведомления об устранении нарушений, выявленных налоговыми органами по результатам камерального контроля, осуществляется налогоплательщиком (налоговым агентом) в течение тридцати рабочих дней со дня, следующего за днем его вручения (получения).
Исполнением налогоплательщиком (налоговым агентом) уведомления об устранении нарушений, выявленных налоговыми органами по результатам камерального контроля, признается:
1) в случае согласия с указанными в уведомлении нарушениями – устранение выявленных нарушений налогоплательщиком (налоговым агентом) путем:
постановки на регистрационный учет в налоговых органах;
представления налоговой отчетности по уведомлению за налоговый период, к которому относятся выявленные нарушения;
уплаты суммы налога на добавленную стоимость в бюджет, ранее возвращенной из бюджета по требованию налогоплательщика о возврате налога на добавленную стоимость, а также уплаты пени в размере, указанном в пункте 4 статьи 104 настоящего Кодекса, за каждый день с даты перечисления налогоплательщику таких сумм;
отзыва, исправления или дополнения счетов-фактур, выписанных в электронной форме, в порядке, установленном налоговым законодательством Республики Казахстан;
2) в случае несогласия с указанными в уведомлении нарушениями со средней степенью риска – представление в налоговый орган, направивший уведомление об устранении нарушений, выявленных налоговыми органами по результатам камерального контроля, налогоплательщиком (налоговым агентом) на бумажном или электронном носителе пояснения об отсутствии нарушений;
3) в случае несогласия с указанными в уведомлении нарушениями с высокой степенью риска – представление в налоговый орган, направивший уведомление об устранении нарушений, выявленных налоговыми органами по результатам камерального контроля, налогоплательщиком (налоговым агентом) на бумажном или электронном носителе пояснения с указанием обстоятельств, подтвержденных документами по осуществлению операций (сделок), указанных в уведомлении.
2-1. В пояснениях, предусмотренных подпунктами 2) и 3) части второй пункта 2 настоящей статьи, должны быть указаны:
дата подписания пояснения налогоплательщиком (налоговым агентом);
фамилия, имя и отчество (если оно указано в документе, удостоверяющем личность) либо полное наименование лица, представившего пояснение, его место жительства (место нахождения);
идентификационный номер налогоплательщика (налогового агента);
наименование налогового органа, направившего уведомление об устранении нарушений, выявленных налоговыми органами по результатам камерального контроля;
номер и дата уведомления, на которое представляется пояснение;
обстоятельства несогласия лица при представлении пояснения, предусмотренного подпунктом 3) части второй пункта 2 настоящей статьи, с обязательным приложением копий документов, подтверждающих факт осуществления операций (сделок), указанных в нарушениях.
При представлении пояснения, предусмотренного подпунктом 2) части второй пункта 2 настоящей статьи, налогоплательщик (налоговый агент) вправе представить выписки из регистров налогового и (или) бухгалтерского учетов (учета) и (или) подтверждающие документы и (или) указать обстоятельства несогласия.
В рамках исполнения уведомления об устранении нарушений, выявленных налоговыми органами по результатам камерального контроля, истребование документов, не относящихся к описанным в уведомлении нарушениям, не допускается.
3. Налогоплательщик не вправе представлять пояснение, указанное в подпункте 2) пункта 2 настоящей статьи, по следующим нарушениям, выявленным налоговыми органами по результатам камерального контроля:
1) при отнесении на вычеты расходов при исчислении корпоративного подоходного налога и в зачет суммы налога на добавленную стоимость по приобретенным товарам, работам, услугам:
на основании счета-фактуры и (или) иного документа, действие (действия) по выписке которых признаны вступившим в законную силу судебным актом или постановлением органа уголовного преследования о прекращении досудебного расследования по нереабилитирующим основаниям, совершенным (совершенными) субъектом частного предпринимательства без фактического выполнения работ, оказания услуг, отгрузки товаров;
по сделкам, признанным недействительными на основании вступившего в законную силу решения суда;
2) при отнесении на вычеты расходов при исчислении корпоративного подоходного налога по операциям, совершенным без фактического выполнения работ, оказания услуг, отгрузки товаров с налогоплательщиком, руководитель и (или) учредитель (участник) которого не причастен к регистрации (перерегистрации) и (или) осуществлению финансово-хозяйственной деятельности такого юридического лица, установленных решением суда, вступившим в законную силу;
3) при отнесении в зачет суммы налога на добавленную стоимость по приобретенным товарам, работам, услугам:
по сделкам (операциям) с юридическими лицами и (или) индивидуальными предпринимателями, чья регистрация признана недействительной на основании вступившего в законную силу решения суда;
по сделкам (операциям) с юридическими лицами, чья перерегистрация признана недействительной на основании вступившего в законную силу решения суда.
4. Уведомление об устранении нарушений, выявленных налоговыми органами по результатам камерального контроля, признается неисполненным, если налогоплательщик (налоговый агент) не исполнил его в порядке и сроки, которые установлены пунктом 2 настоящей статьи.
При этом решение налоговым органом по таким случаям не выносится.
Уведомление об устранении нарушений с высокой степенью риска, выявленных налоговыми органами по результатам камерального контроля, признается налоговым органом неисполненным при представлении пояснения, указанного в подпункте 3) части второй пункта 2 настоящей статьи, в случаях:
нарушения требования пункта 2-1 настоящей статьи;
несогласия с обстоятельствами, указанными в пояснении.
При признании уведомления об устранении нарушений с высокой степенью риска, выявленных налоговыми органами по результатам камерального контроля, неисполненным выносится решение о признании уведомления об устранении нарушений, выявленных налоговыми органами по результатам камерального контроля, неисполненным.
Решение о признании уведомления об устранении нарушений, выявленных налоговыми органами по результатам камерального контроля, неисполненным направляется налогоплательщику (налоговому агенту) одним из следующих способов:
1) по почте заказным письмом с уведомлением – с даты отметки налогоплательщиком (налоговым агентом) в уведомлении почтовой или иной организации связи. При этом такое решение должно быть доставлено почтовой или иной организацией связи в срок не позднее десяти рабочих дней с даты отметки о приеме почтовой или иной организацией связи;
2) электронным способом:
с даты доставки решения налоговым органом в веб-приложение.
Данный способ распространяется на налогоплательщика, взаимодействующего с налоговыми органами электронным способом в соответствии с законодательством Республики Казахстан об электронном документе и электронной цифровой подписи;
с даты доставки решения в личный кабинет пользователя на веб-портале «электронного правительства».
Данный способ распространяется на налогоплательщика, зарегистрированного на веб-портале «электронного правительства»;
3) через Государственную корпорацию «Правительство для граждан» – с даты его получения в явочном порядке.
Форма и сроки вынесения решения о признании уведомления об устранении нарушений, выявленных налоговыми органами по результатам камерального контроля, неисполненным устанавливаются уполномоченным органом.
4-1. Обжалование налогоплательщиком (налоговым агентом) решения, указанного в пункте 4 настоящей статьи, производится в течение десяти рабочих дней со дня его вручения (получения) в вышестоящий налоговый орган и (или) уполномоченный орган или суд.
При этом копия жалобы должна быть направлена налогоплательщиком (налоговым агентом) в налоговый орган, направивший решение, указанное в пункте 4 настоящей статьи.
4-2. В случае пропуска по уважительной причине срока, установленного пунктом 4-1 настоящей статьи, этот срок по ходатайству налогоплательщика (налогового агента), подающего жалобу, восстанавливается налоговым органом и (или) уполномоченным органом, рассматривающим жалобу.
В целях восстановления пропущенного срока подачи жалобы налоговым органом, рассматривающим жалобу, в качестве уважительной причины признается временная нетрудоспособность физического лица, которому направлено решение, указанное в пункте 4 настоящей статьи, а также руководителя и (или) главного бухгалтера (при его наличии) налогоплательщика (налогового агента).
Положения настоящего пункта применяются к физическим лицам, которым направлено решение, указанное в пункте 4 настоящей статьи, а также к налогоплательщикам (налоговым агентам), организационная структура которых не предусматривает наличия лиц, замещающих вышеуказанных лиц во время их отсутствия.
При этом налогоплательщиком (налоговым агентом) к ходатайству о восстановлении пропущенного срока подачи жалобы должны быть приложены документ, подтверждающий период временной нетрудоспособности лиц, указанных в части второй настоящего пункта, и документ, устанавливающий организационную структуру такого налогоплательщика (налогового агента).
Ходатайство налогоплательщика (налогового агента) о восстановлении пропущенного срока подачи жалобы удовлетворяется налоговым органом и (или) уполномоченным органом, рассматривающим жалобу, при условии, что налогоплательщиком (налоговым агентом) жалоба и ходатайство поданы не позднее десяти рабочих дней со дня окончания периода временной нетрудоспособности лиц, указанных в части второй настоящего пункта.
4-3. Исключен Законом РК от 12.12.2023 № 45-VIII (вводится в действие по истечении шестидесяти календарных дней после дня его первого официального опубликования).
5. При подаче жалобы на уведомление об устранении нарушений, выявленных налоговыми органами по результатам камерального контроля, в вышестоящий налоговый орган и (или) уполномоченный орган или суд, течение срока исполнения уведомления об устранении нарушений, выявленных налоговыми органами по результатам камерального контроля, приостанавливается:
1) со дня принятия жалобы вышестоящим налоговым органом и (или) уполномоченным органом – до вынесения письменного решения вышестоящего налогового органа и (или) уполномоченного органа;
2) со дня принятия судом жалобы (заявления) к производству – до вступления в законную силу судебного акта.
При этом в случаях подачи жалобы в суд на действия (бездействие) должностных лиц налоговых органов по направлению уведомления об устранении нарушений, предусмотренных подпунктами 2) и 3) пункта 3 настоящей статьи, выявленных налоговыми органами по результатам камерального контроля, налогоплательщик вправе доказать фактическое получение товаров, работ, услуг от юридического лица и (или) индивидуального предпринимателя, регистрация (перерегистрация) которых признана недействительной на основании вступившего в законную силу решения суда.
6. Неисполнение уведомления об устранении нарушений, выявленных налоговыми органами по результатам камерального контроля, в срок, установленный частью первой пункта 2 настоящей статьи, влечет приостановление расходных операций по банковским счетам налогоплательщика в соответствии со статьей 118 настоящего Кодекса.
6-1. По нарушениям с высокой степенью риска неисполнение в установленный срок и (или) признание неисполненным уведомления об устранении нарушений, выявленных налоговыми органами по результатам камерального контроля, влекут ограничение выписки электронных счетов-фактур в информационной системе электронных счетов-фактур в соответствии со статьей 120-1 настоящего Кодекса.
7. По результатам камерального контроля, проводимого в соответствии с пунктом 6 статьи 59 и пунктом 7 статьи 66 настоящего Кодекса, налоговый орган составляет заключение по форме, установленной уполномоченным органом.
При этом датой завершения камерального контроля является дата составления заключения, указанного в настоящем пункте.
Сноска. Статья 96 с изменениями, внесенными законами РК от 02.04.2019 № 241-VI (вводится в действие с 01.01.2020); от 10.12.2020 № 382-VI (вводится в действие с 01.01.2021); от 21.12.2022 № 165-VII (вводится в действие с 01.01.2023); от 12.12.2023 № 45-VIII (вводится в действие по истечении шестидесяти календарных дней после дня его первого официального опубликования).
Глава 11. УЧЕТ ИСПОЛНЕНИЯ НАЛОГОВОГО ОБЯЗАТЕЛЬСТВА, ОБЯЗАННОСТИ ПО ПЕРЕЧИСЛЕНИЮ СОЦИАЛЬНЫХ ПЛАТЕЖЕЙ, ШТРАФОВ И ПЕНИ
Статья 97.Общие положения
1. Учет исчисленных, начисленных, уплаченных сумм налогов и платежей в бюджет, социальных платежей, штрафов и пени осуществляется налоговыми органами путем ведения лицевого счета налогоплательщика.
2. Порядок ведения лицевого счета налогоплательщика определяется уполномоченным органом.
3. Лицевой счет налогоплательщика ведется в национальной валюте.
4. Исчисленной суммой налогов, платежей в бюджет, социальных платежей является сумма (в том числе сумма, подлежащая увеличению или уменьшению), определенная:
налогоплательщиком в налоговой отчетности;
налоговыми органами – на основании сведений уполномоченных государственных органов в случаях, установленных статьями 493 и 532 настоящего Кодекса;
уполномоченными государственными органами по основаниям, предусмотренным настоящим Кодексом.
5. Начисленной суммой налогов, платежей в бюджет и социальных платежей является сумма налогов, платежей в бюджет и социальных платежей (в том числе сумма, подлежащая увеличению или уменьшению), определенная налоговым органом:
по результатам налоговой проверки;
по итогам рассмотрения жалобы налогоплательщика (налогового агента) на уведомление о результатах проверки;
по результатам горизонтального мониторинга;
по итогам рассмотрения жалобы налогоплательщика (налогового агента) на уведомление о результатах горизонтального мониторинга;
на основании сведений, представленных уполномоченным государственным органом в области охраны окружающей среды и его территориальными органами по результатам осуществления ими проверок по соблюдению экологического законодательства Республики Казахстан (государственный экологический контроль) в соответствии с пунктом 3 статьи 573 настоящего Кодекса.
6. Для целей применения пунктов 4 и 5 настоящей статьи уменьшением суммы налога на добавленную стоимость является также превышение налога на добавленную стоимость, относимого в зачет, над суммой начисленного налога.
7. Сальдо расчетов в лицевом счете налогоплательщика по налогам, платежам в бюджет, социальным платежам, штрафам, пени исчисляется в порядке, определенном уполномоченным органом.
8. Выписка из лицевого счета налогоплательщика о состоянии расчетов с бюджетом по всем или отдельным видам налогов, платежей в бюджет, социальных платежей, штрафов, пени выдается налоговыми органами по запросу налогоплательщика в течение одного рабочего дня со дня получения запроса.
Сноска. Статья 97 с изменениями, внесенными законами РК от 10.12.2020 № 382-VI (порядок введения в действие см. ст. 2); от 21.12.2022 № 165-VII (вводится в действие с 01.01.2023).
Статья 98. Проведение сверки расчетов по налогам и платежам в бюджет, социальным платежам
1. По требованию налогоплательщика (налогового агента) налоговым органом в течение одного рабочего дня проводится сверка расчетов по налогам и платежам в бюджет, социальным платежам.
2. В случае наличия расхождений по данным налогоплательщика (налогового агента) и данным налогового органа в течение трех рабочих дней со дня установления расхождений налоговый орган и налогоплательщик (налоговый агент) принимают меры по устранению возникших расхождений. В случае необходимости вносятся корректировки в лицевой счет налогоплательщика (налогового агента).
Статья 99. Прекращение обязательства по уплате штрафа в силу истечения срока давности исполнения постановления
Сумма штрафа по постановлению о наложении административного взыскания за правонарушения в области налогообложения, а также законодательства Республики Казахстан о социальной защите, об обязательном социальном медицинском страховании, исполнение которого невозможно в силу истечения срока давности исполнения постановления, установленного законодательством Республики Казахстан, подлежит списанию налоговым органом с лицевого счета налогоплательщика (налогового агента) на основании решения налогового органа не позднее пяти рабочих дней с даты вынесения такого решения.
Статья 100. Порядок предоставления сведений об отсутствии (наличии) задолженности, учет по которым ведется в налоговом органе
1. Налоговый орган на основании запроса о предоставлении сведений об отсутствии (наличии) задолженности, учет по которым ведется в налоговом органе, предоставляет такие сведения:
1) регистрирующему органу – не позднее трех рабочих дней со дня поступления запроса;
2) другим государственным органам и (или) лицам, предоставление которым предусмотрено законодательством Республики Казахстан, налогоплательщику – не позднее одного рабочего дня со дня поступления запроса.
Запрос и предоставление лицам, указанным в подпунктах 1) и 2) части первой настоящего пункта, сведений об отсутствии (наличии) задолженности, учет по которым ведется в налоговом органе, осуществляется в электронной форме.
2. Сведения об отсутствии (наличии) задолженности, учет по которым ведется в налоговом органе, формируются в порядке, определенном уполномоченным органом.
3. В случае ликвидации юридического лица или прекращения деятельности филиала (представительства) иностранного юридического лица сведения об отсутствии (наличии) задолженности, учет по которым ведется в налоговом органе, у таких лиц предоставляются при соблюдении условий, установленных статьями 58, 59 и 60 настоящего Кодекса.
4. При выезде из Республики Казахстан на постоянное место жительства физического лица, состоящего на регистрационном учете в качестве индивидуального предпринимателя или лица, занимающегося частной практикой, сведения об отсутствии (наличии) задолженности, учет по которым ведется в налоговом органе, у таких лиц предоставляются при условии снятия с регистрационного учета в качестве индивидуального предпринимателя или лица, занимающегося частной практикой.
Сноска. Статья 100 с изменениями, внесенными законами РК от 02.04.2019 № 241-VI (вводится в действие с 01.07.2019); от 10.12.2020 № 382-VI (вводится в действие с 01.01.2021).
Параграф 1. Зачет и возврат налогов, платежей в бюджет, пени и штрафов
Статья 101. Общие положения
1. Излишне уплаченной (взысканной) суммой налога (за исключением налога на добавленную стоимость), платежа в бюджет, пени является положительная разница между уплаченной (взысканной) в бюджет (за минусом зачтенной и возвращенной) и исчисленной, начисленной (за минусом уменьшенной) суммами по данному виду налога (за исключением налога на добавленную стоимость), платежа в бюджет, пени на дату проведения зачета и (или) возврата.
Излишне уплаченной (взысканной) суммой налога на добавленную стоимость является положительная разница между уплаченной (взысканной) в бюджет (за минусом зачтенной и возвращенной) и исчисленной, начисленной (за минусом уменьшенной) суммами налога на добавленную стоимость за налоговый период с учетом расчетов по налогу на добавленную стоимость за предыдущие налоговые периоды.
Излишне уплаченными признаются уплаченные суммы регистрационных сборов, сборов за выдачу лицензий на занятие отдельными видами деятельности, разрешения на использование радиочастотного спектра, документа, подтверждающего резидентство иностранца или лица без гражданства, являющегося инвестиционным резидентом Международного финансового центра «Астана», платы за размещение наружной (визуальной) рекламы, государственной пошлины – при условии подтверждения соответствующим уполномоченным государственным органом посредством электронной базы и (или) на бумажных носителях факта несовершения им действий (в том числе в результате отказа налогоплательщика от совершения действий до подачи соответствующих документов), для осуществления которых требуется уплата таких платежей.
Уплаченные суммы платы за лесные пользования признаются излишне уплаченными платежами в случае неиспользования лесорубочного билета на лесопользование.
2. Излишне уплаченной суммой подоходного налога является также сумма подоходного налога, подлежащая возврату налогоплательщику-нерезиденту в соответствии со статьей 672 настоящего Кодекса.
3. Зачет и возврат излишне уплаченной (взысканной) суммы налога, платежа в бюджет (за исключением сборов и плат, не подлежащих зачету и возврату), пени производятся налоговым органом в национальной валюте в следующем порядке:
по месту ведения лицевых счетов по соответствующему налогу, платежу в бюджет, пени – на основании сведений таких лицевых счетов;
по месту уплаты платежей в бюджет, по которым лицевые счета не ведутся, – на основании представленных налогоплательщиком документов, выданных соответствующим уполномоченным государственным органом либо полученных посредством электронной базы и (или) на бумажных носителях, подтверждающих несовершение действий, для осуществления которых предусмотрена уплата платежей в бюджет.
4. Зачет и возврат излишне уплаченной (взысканной) суммы налога, платежа в бюджет, пени производятся налоговым органом в течение пяти рабочих дней, исчисляемых в следующем порядке:
1) в случае проведения зачета и возврата на основании налогового заявления – со дня регистрации такого заявления налоговыми органами;
2) в случае проведения зачета без заявления – со дня образования излишне уплаченной суммы на лицевом счете налогоплательщика.
Возврат излишне уплаченной (взысканной) суммы налога, платежа в бюджет, пени производится налоговым органом на банковский счет налогоплательщика на основании его налогового заявления при отсутствии налоговой задолженности в бюджет.
При наличии налоговой задолженности налоговый орган производит зачет излишне уплаченной суммы налога, платежа в бюджет, пени в счет погашения имеющейся налоговой задолженности без представления налогового заявления на зачет.
В случае, если налогоплательщиком является юридическое лицо, зачет излишне уплаченной суммы налога, платежа в бюджет, пени производится в счет погашения имеющейся налоговой задолженности юридического лица и его структурных подразделений без представления налогового заявления на зачет.
Возврату подлежит остаток суммы излишне уплаченного налога, платежа в бюджет, пени после проведения зачета, предусмотренного настоящим пунктом.
5. Не подлежат:
1) зачету:
излишне уплаченная (взысканная) сумма налога, платежа в бюджет, пени в счет погашения налоговой задолженности другого налогоплательщика, кроме зачета между юридическим лицом и его структурным подразделением;
уплаченная сумма государственной пошлины;
2) зачету и возврату:
уплаченная сумма сбора за проезд автотранспортных средств по территории Республики Казахстан, консульского сбора, платы за:
пользование земельными участками, предоставление государством участка недр в соответствии с законодательством Республики Казахстан о недрах и недропользовании на основании лицензии на разведку или добычу твердых полезных ископаемых, пользование животным миром, использование особо охраняемых природных территорий, за исключением случаев ошибочной уплаты таких сумм;
излишне уплаченная сумма акцизов за подакцизные товары, подлежащие маркировке учетно-контрольными марками, за исключением случаев прекращения деятельности налогоплательщика по производству таких товаров и возврата ранее полученных учетно-контрольных марок в налоговый орган по акту приема-передачи;
излишне уплаченная (взысканная) сумма налога, платы за пользование земельными участками, пользование водными ресурсами поверхностных источников, негативное воздействие на окружающую среду – в случае продления срока представления налоговой отчетности по таким налогам, платам до даты ее представления;
уплаченная сумма подписного бонуса, за исключением случая признания аукциона на предоставление права недропользования недействительным в связи с нарушением правил его проведения, установленных законодательством Республики Казахстан о недрах и недропользовании, которое повлияло на определение победителя аукциона;
уплаченная сумма сбора за выдачу документа, подтверждающего резидентство иностранца или лица без гражданства, являющегося инвестиционным резидентом Международного финансового центра «Астана», за исключением случаев ошибочной уплаты таких сумм или отказа в выдаче документа, подтверждающего резидентство иностранца или лица без гражданства, являющегося инвестиционным резидентом Международного финансового центра «Астана»;
6. При нарушении налоговым органом срока проведения зачета и (или) возврата по налоговому заявлению налогоплательщика на излишне уплаченную (взысканную) сумму налога, платежа в бюджет, по которым зачет и (или) возврат произведен с нарушением срока, за каждый день просрочки налоговый орган начисляет в пользу налогоплательщика пеню. Пеня начисляется в размере 1,25-кратной базовой ставки Национального Банка Республики Казахстан, действовавшей на каждый день просрочки, начиная со дня, следующего за окончанием срока проведения зачета и (или) возврата, включая день проведения такого зачета и (или) возврата.
Начисленная сумма пени подлежит перечислению на банковский счет налогоплательщика, указанный в налоговом заявлении, в день проведения зачета и (или) возврата излишне уплаченной (взысканной) суммы налога, платежа в бюджет, пени за счет поступлений в бюджет по соответствующему коду бюджетной классификации.
7. Порядок проведения зачета и (или) возврата излишне уплаченной (взысканной) суммы налога, платежа в бюджет, пени определяется уполномоченным органом.
Сноска. Статья 101 с изменениями, внесенными законами РК от 19.04.2019 № 249-VI (вводится в действие с 01.08.2019); от 10.12.2020 № 382-VI (вводится в действие с 01.01.2021); от 02.01.2021 № 402-VI (вводится в действие с 01.01.2022); от 21.12.2022 № 165-VII (вводится в действие с 01.07.2023).
Статья 102. Зачет сумм налогов, платежей в бюджет, пени
1. Излишне уплаченная (взысканная) сумма налога, платежа в бюджет, пени подлежит зачету:
1) без заявления налогоплательщика – в соответствии с пунктами 2 и 3 настоящей статьи;
2) по налоговому заявлению налогоплательщика – в соответствии с пунктом 4 настоящей статьи.
2. Зачет излишне уплаченной (взысканной) суммы налога, платежа в бюджет производится без заявления налогоплательщика в следующей последовательности:
1) в счет налогового обязательства по уплате исчисленных, начисленных сумм налогов и платежей в бюджет, срок исполнения которых наступил по определенному виду налога, плате за: пользование земельными участками, пользование водными ресурсами поверхностных источников, негативное воздействие на окружающую среду, использование радиочастотного спектра, предоставление междугородной и (или) международной телефонной связи, а также сотовой связи (далее в целях настоящей статьи – плата) – по которым образовалась излишне уплаченная сумма;
2) в счет погашения недоимки по иным видам налогов и (или) платежей в бюджет;
3) в счет погашения пени по определенному виду налога, плате – по которым образовалась излишне уплаченная сумма;
4) в счет погашения пени по иным видам налогов и (или) платежей в бюджет;
5) в счет погашения штрафа по определенному виду налога, плате, по которым образовалась излишне уплаченная сумма, и по иным видам налогов и (или) платежей в бюджет.
3. Зачет излишне уплаченной (взысканной) суммы пени производится без заявления налогоплательщика в следующей последовательности:
1) в счет налогового обязательства по уплате начисленных сумм пени по определенному виду налога, плате – по которым образовалась излишне уплаченная сумма пени;
2) в счет погашения недоимки по определенному виду налога, плате – по которым образовалась излишне уплаченная сумма пени;
3) в счет погашения недоимки по иным видам налогов и (или) платежей в бюджет;
4) в счет погашения пени по иным видам налогов и (или) платежей в бюджет;
5) в счет погашения штрафа по определенному виду налога, плате, по которым образовалась излишне уплаченная сумма, и по иным видам налогов и (или) платежей в бюджет.
4. Зачет излишне уплаченной (взысканной) суммы налога, платежа в бюджет, пени производится по налоговому заявлению налогоплательщика:
1) в счет предстоящих платежей по соответствующему виду налога и (или) платежа в бюджет, указанных в таком заявлении, при отсутствии налоговой задолженности в бюджет;
2) являющегося юридическим лицом, имеющим структурное подразделение (структурные подразделения), – в счет погашения налоговой задолженности структурного подразделения (структурных подразделений) такого юридического лица по соответствующему виду налога и (или) платежа в бюджет, указанных в таком заявлении;
3) являющегося структурным подразделением юридического лица, – в счет погашения налоговой задолженности юридического лица по соответствующему виду налога и (или) платежа в бюджет, указанных в таком заявлении.
5. В случае согласия налогоплательщика, направленного посредством электронных каналов связи, зачет излишне уплаченной (взысканной) суммы налога, платежа в бюджет производится без заявления налогоплательщика в счет предстоящих платежей по соответствующему виду налога, платежа в бюджет при отсутствии налоговой задолженности в бюджет.
Сноска. Статья 102 с изменениями, внесенными законами РК от 10.12.2020 № 382-VI (вводится в действие с 01.01.2021); от 02.01.2021 № 402-VI (вводится в действие с 01.01.2022).
Статья 103. Зачет, возврат ошибочно уплаченной суммы налога, платежа в бюджет, пени
1. Ошибочно уплаченной суммой налога, платежа в бюджет, пени является сумма, при перечислении которой допущена любая из следующих ошибок:
1) в платежном документе:
неверно указан идентификационный номер налогоплательщика:
вместо идентификационного номера налогового органа, по месту нахождения которого подлежит уплате сумма налога и платежа в бюджет, пени, указан идентификационный номер другого налогового органа;
текстовое назначение платежа не соответствует коду назначения платежа и (или) коду бюджетной классификации доходов;
2) ошибочное исполнение банком второго уровня или организацией, осуществляющей отдельные виды банковских операций, платежного документа налогоплательщика;
3) уплата произведена в налоговый орган, в котором налогоплательщик — отправитель денег не состоит на регистрационном учете;
4) налогоплательщик – отправитель денег не является плательщиком по данному виду налога или платежа в бюджет, пени.
2. Зачет, возврат ошибочно уплаченной суммы налога, платежа в бюджет, пени производятся по:
1) налоговому заявлению налогоплательщика;
2) заявлению банка второго уровня или организации, осуществляющей отдельные виды банковских операций (далее в целях настоящей статьи – заявление банка второго уровня);
3) составленному налоговым органом протоколу о причинах возникновения ошибочно уплаченной суммы налога, платежа в бюджет, пени в случае выявления факта ошибки.
3. Зачет, возврат ошибочно уплаченной суммы налога, платежа в бюджет, пени производятся в течение пяти рабочих дней со дня:
представления налогового заявления налогоплательщика, заявления банка второго уровня;
поступления ошибочно уплаченной суммы налога, платежа в бюджет, пени.
4. Налоговое заявление налогоплательщика, заявление банка второго уровня представляются в налоговый орган, в котором ведется учет ошибочно уплаченной суммы налога, платежа в бюджет, пени.
5. В случае подтверждения налоговым органом наличия одной из указанных в пункте 1 настоящей статьи ошибки такой налоговый орган:
1) проводит зачет ошибочно уплаченной суммы на надлежащий код бюджетной классификации и (или) в надлежащий налоговый орган;
2) производит возврат на банковский счет налогоплательщика.
6. В случаях ошибочного исполнения банком второго уровня или организацией, осуществляющей отдельные виды банковских операций, платежного документа налогоплательщика, приведшего к повторному перечислению суммы налога, платежа в бюджет, пени по одному и тому же платежному документу, налоговый орган по заявлению банка второго уровня производит возврат ошибочно уплаченной суммы при подтверждении факта ошибки:
в случае списания денег с банковского счета или осуществления платежа через банкоматы – на банковский счет налогоплательщика;
в случае внесения денег в банк второго уровня наличными или осуществления платежа через электронные терминалы – на банковский счет банка второго уровня.
7. При неподтверждении налоговыми органами наличия ошибок, указанных в пункте 1 настоящей статьи, такой налоговый орган по основаниям, предусмотренным подпунктами 1) и 2) пункта 2 настоящей статьи, направляет налогоплательщику письменное сообщение о неподтверждении ошибки.
Сноска. Статья 103 с изменением, внесенным Законом РК от 10.12.2020 № 382-VI (вводится в действие с 01.01.2021).
Статья 104. Возврат суммы превышения налога на добавленную стоимость
1. Возврат суммы превышения налога на добавленную стоимость по требованию плательщика налога на добавленную стоимость о возврате суммы превышения налога на добавленную стоимость, указанному в декларации по налогу на добавленную стоимость в соответствии со статьями 431, 432 и 434 настоящего Кодекса, производится на основании представленного налогового заявления путем проведения зачета, предусмотренного статьей 102 настоящего Кодекса, и (или) перечисления на банковский счет налогоплательщика.
2. Сумма превышения налога на добавленную стоимость, подлежащая возврату в соответствии со статьями 429, 431, 432 и 434 настоящего Кодекса, не должна превышать сумму превышения по налогу на добавленную стоимость на лицевом счете по налогу на добавленную стоимость на дату составления налоговым органом платежного документа на возврат суммы превышения налога на добавленную стоимость.
3. Возврат суммы превышения по налогу на добавленную стоимость производится по месту нахождения налогоплательщика на его банковский счет в течение предусмотренного настоящим Кодексом срока возврата суммы превышения по налогу на добавленную стоимость при отсутствии налоговой задолженности.
При наличии налоговой задолженности налоговый орган производит зачет превышения по налогу на добавленную стоимость в счет погашения имеющейся налоговой задолженности, в том числе налоговой задолженности структурных подразделений юридических лиц, без представления налогового заявления на зачет.
Возврату подлежит остаток суммы превышения по налогу на добавленную стоимость после проведения зачета, предусмотренного настоящим пунктом.
4. При нарушении налоговым органом срока проведения возврата суммы превышения налога на добавленную стоимость на такую сумму превышения, возврат которой произведен с нарушением срока, за каждый день просрочки налоговый орган начисляет в пользу налогоплательщика пеню. Пеня начисляется в размере 1,25-кратной базовой ставки Национального Банка Республики Казахстан на каждый день просрочки, начиная со дня, следующего за окончанием срока возврата, включая день возврата.
5. Начисленная в пользу налогоплательщика сумма пени подлежит перечислению на банковский счет налогоплательщика в день возврата суммы превышения налога на добавленную стоимость за счет поступлений в бюджет по соответствующему коду бюджетной классификации.
Сноска. Статья 104 с изменениями, внесенными законами РК от 10.12.2020 № 382-VI (вводится в действие с 01.01.2021); от 20.12.2021 № 85-VII (вводится в действие с 01.01.2022).
Статья 105. Возврат налога на добавленную стоимость по иным основаниям
1. Возврату из бюджета подлежит сумма налога на добавленную стоимость по основаниям, предусмотренным Особенной частью настоящего Кодекса:
1) уплаченная по товарам, работам, услугам, приобретенным за счет средств гранта;
2) уплаченная дипломатическим и приравненным к нему представительством, аккредитованным в Республике Казахстан.
2. Возврат налога на добавленную стоимость, подлежащего возврату грантополучателю, производится налоговым органом по месту нахождения грантополучателя на его банковский счет после проведения зачетов в соответствии со статьей 102 настоящего Кодекса в течение срока возврата, установленного статьей 435 настоящего Кодекса.
3. Возврат налога на добавленную стоимость дипломатическим и приравненным к ним представительствам иностранных государств, консульским учреждениям иностранного государства, аккредитованным в Республике Казахстан, и лицам, относящимся к дипломатическому, административно-техническому персоналу этих представительств, включая членов их семей, проживающих вместе с ними, консульским должностным лицам, консульским служащим, включая членов их семей, проживающих вместе с ними, производится налоговым органом на их банковский счет в порядке и сроки, которые установлены статьей 436 настоящего Кодекса.
Статья 106. Возврат уплаченной суммы неправомерно наложенного штрафа по правонарушениям в области налогообложения, законодательства Республики Казахстан о социальной защите, об обязательном социальном медицинском страховании, а также излишне уплаченной суммы
1. Возврат уплаченной суммы неправомерно наложенного штрафа по правонарушениям в области налогообложения, законодательства Республики Казахстан о социальной защите, об обязательном социальном медицинском страховании вследствие отмены штрафа или уменьшения его размера производится на основании налогового заявления налогоплательщика (далее в целях настоящей статьи – заявление на возврат суммы штрафа).
К заявлению на возврат суммы штрафа должны быть приложены вступившие в законную силу решение суда или решение вышестоящего налогового органа (должностного лица), предусматривающие отмену или уменьшение размера штрафа вследствие его неправомерного наложения.
2. Заявление на возврат суммы штрафа представляется налогоплательщиком в налоговый орган, в котором по лицевому счету числится сумма штрафа, подлежащая возврату.
3. Возврат уплаченной суммы штрафа в соответствии с пунктом 1 настоящей статьи производится налоговым органом на банковский счет налогоплательщика в течение пяти рабочих дней со дня представления заявления на возврат суммы штрафа.
4. Возврат излишне уплаченной суммы при уплате штрафа в целях исполнения постановления о наложении административного взыскания производится в порядке и сроки, которые установлены пунктом 3 настоящей статьи.
Сноска. Статья 106 с изменением, внесенным Законом РК от 10.12.2020 № 382-VI (вводится в действие с 01.01.2021).
Статья 107. Возврат уплаченной суммы налога, платежа в бюджет, пени и штрафа в результате отмены итогов электронных аукционов по решению суда
1. В случае отмены по решению суда, вступившему в законную силу, итогов электронного аукциона, проведенного уполномоченным юридическим лицом, возврат уплаченной суммы налога, платежа в бюджет, пени и штрафа производится на основании налогового заявления уполномоченного юридического лица по форме, утвержденной уполномоченным органом (далее в целях настоящей статьи – заявление на возврат).
К заявлению на возврат прилагаются:
1) копия вступившего в законную силу решения суда;
2) копия платежного документа уполномоченного юридического лица об уплате налога, платежа в бюджет, пени и штрафа.
2. Возврат уплаченной суммы налога, платежа в бюджет, пени, штрафа производится в национальной валюте на банковский счет уполномоченного юридического лица налоговым органом по месту уплаты в течение пяти рабочих дней со дня подачи заявления на возврат.
Сноска. Статья 107 с изменением, внесенным Законом РК от 10.12.2020 № 382-VI (вводится в действие с 01.01.2021).
Статья 108. Особенности возврата уплаченных сумм государственной пошлины
1. Излишне уплаченная сумма государственной пошлины подлежит возврату частично или полностью в случаях:
1) внесения государственной пошлины в большем размере, чем это требуется по настоящему Кодексу, за исключением случаев уменьшения истцом своих требований при подаче исковых и иных заявлений (жалоб) в суд;
2) передачи дела в арбитраж;
3) окончания дела мировым соглашением сторон, соглашением об урегулировании спора (конфликта) в порядке медиации или соглашением об урегулировании спора в порядке партисипативной процедуры в судах первой и апелляционной инстанций – в полном объеме, в суде кассационной инстанции – в размере 50 процентов от суммы, уплаченной при подаче ходатайства о пересмотре судебного акта в кассационном порядке;
4) возвращения обращения гражданина Конституционным Судом Республики Казахстан, искового или иного заявления (жалобы) судом или отказа в его (ее) принятии, а также отказа нотариусов или уполномоченных на то лиц в совершении нотариальных действий;
5) прекращения конституционного производства, производства по делу или оставления иска без рассмотрения, если дело не подлежит рассмотрению в Конституционном Суде Республики Казахстан, суде, а также если истцом не соблюден установленный для данной категории дел порядок предварительного разрешения спора либо иск предъявлен недееспособным лицом;
6) отказа лиц, уплативших государственную пошлину, от совершения юридически значимого действия или от получения документа до обращения в орган, совершающий данное юридически значимое действие;
7) возвращения ходатайства о пересмотре судебного акта в кассационном порядке;
8) в иных случаях, установленных законами Республики Казахстан.
2. Государственная пошлина не возвращается в случаях:
1) отзыва гражданином своего обращения в Конституционный Суд Республики Казахстан, отказа истца от иска;
2) уменьшения истцом своих требований;
3) отмены судебного приказа.
3. Возврат излишне уплаченной суммы государственной пошлины производится налоговым органом на основании представленных налогоплательщиком налогового заявления и документа соответствующего государственного органа, подтверждающего правомерность возврата.
4. Возврат суммы государственной пошлины налогоплательщику, в пользу которого состоялось решение суда о взыскании государственной пошлины с государственного учреждения, являющегося стороной по делу, производится налоговым органом на основании представленных налогоплательщиком налогового заявления и вступившего в законную силу решения суда.
5. Возврат излишне уплаченной суммы государственной пошлины производится налоговым органом по месту ее уплаты на банковский счет налогоплательщика с соответствующего кода бюджетной классификации, на который была зачислена сумма государственной пошлины, в течение пяти рабочих дней со дня подачи налогового заявления на возврат.
6. Документы на возврат излишне уплаченной суммы государственной пошлины, предусмотренные настоящей статьей, должны быть представлены в налоговый орган до истечения трехлетнего срока со дня уплаты такой суммы государственной пошлины в бюджет.
Сноска. Статья 108 с изменениями, внесенными законами РК от 10.12.2020 № 382-VI (вводится в действие с 01.01.2021); от 21.12.2022 № 165-VII (вводится в действие с 01.01.2024).
Статья 108-1. Особенности зачета по налоговому обязательству по доле Республики Казахстан по разделу продукции в натуральной форме
1. При ведении лицевого счета в натуральной форме излишне переданным объемом полезных ископаемых, передаваемых недропользователем в натуральной форме в счет исполнения налогового обязательства по доле Республики Казахстан по разделу продукции в натуральной форме, является положительная разница между переданным объемом полезных ископаемых в счет исполнения налогового обязательства в натуральной форме и объемом полезных ископаемых, подлежащих передаче в счет исполнения налогового обязательства в натуральной форме, на дату проведения зачета.
2. При ведении лицевого счета в натуральной форме зачет излишне переданного объема полезных ископаемых, передаваемых недропользователем в натуральной форме в счет исполнения налогового обязательства по доле Республики Казахстан по разделу продукции в натуральной форме, производится налоговым органом по месту ведения лицевого счета недропользователя по доле Республики Казахстан по разделу продукции на основании сведений такого лицевого счета.
3. При ведении лицевого счета в натуральной форме зачет излишне переданного объема полезных ископаемых, передаваемых недропользователем в натуральной форме в счет исполнения налогового обязательства по доле Республики Казахстан по разделу продукции в натуральной форме, производится налоговым органом в счет погашения не исполненного в срок налогового обязательства по доле Республики Казахстан по разделу продукции в натуральной форме без налогового заявления на зачет недропользователя.
Сноска. Глава 11 дополнена статьей 108-1 в соответствии с Законом РК от 21.12.2022 № 165-VII (вводится в действие с 01.01.2018).
Параграф 2. Зачет и (или) возврат превышения по индивидуальному подоходному налогу
Статья 109. Общие положения
1. Физическое лицо при возникновении превышения по индивидуальному подоходному налогу, определенного статьей 640 настоящего Кодекса, вправе после проведения сверки, осуществляемой налоговым органом в порядке, определенном настоящей главой, зачесть и (или) вернуть такое превышение по индивидуальному подоходному налогу в порядке и сроки, которые установлены настоящим параграфом.
2. Основанием для проведения сверки по индивидуальному подоходному налогу является требование о зачете и (или) возврате превышения по индивидуальному подоходному налогу, заявленное в декларации о доходах и имуществе.
Статья 110. Сверка по индивидуальному подоходному налогу
1. Сверка по индивидуальному подоходному налогу является процедурой, проводимой налоговым органом в целях подтверждения суммы превышения по индивидуальному подоходному налогу, заявленной в декларации о доходах и имуществе.
2. В ходе сверки производится:
1) сопоставление сведений, отраженных в декларации о доходах и имуществе, с данными налоговых агентов и уполномоченных лиц;
2) подтверждение обоснованности применения налоговых вычетов и сумм расходов, признаваемых налоговыми вычетами в соответствии со статьей 342 настоящего Кодекса;
3) подтверждение суммы превышения по индивидуальному подоходному налогу, заявленной к зачету и (или) возврату.
3. При выявлении расхождений сведений, указанных в подпунктах 1) и 2) пункта 2 настоящей статьи, физическому лицу направляется уведомление в соответствии с главой 12 настоящего Кодекса.
Статья 111. Порядок проведения сверки по индивидуальному подоходному налогу на основе сведений налоговых агентов
Налоговый орган сверяет следующие сведения, отраженные в декларации о доходах и имуществе, с соответствующими сведениями налоговых агентов:
1) доходы, подлежащие налогообложению у источника выплаты;
2) корректировка дохода, предусмотренная статьей 341 настоящего Кодекса;
3) налоговые вычеты, установленные статьей 342 настоящего Кодекса, примененные к доходу, подлежащему налогообложению у источника выплаты;
4) сумма индивидуального подоходного налога, исчисленная с доходов, подлежащих обложению у источника выплаты.
Статья 112. Порядок проведения сверки по индивидуальному подоходному налогу для подтверждения суммы налоговых вычетов по расходам на образование, медицину, погашение вознаграждения по ипотечным жилищным займам
1. Налоговый орган не позднее 15 октября года, в котором представлена декларация о доходах и имуществе с указанием требования о возврате и (или) зачете суммы превышения по индивидуальному подоходному налогу, направляет:
1) соответствующим уполномоченным лицам – требование о подтверждении сведений о расходах на образование, медицину, произведенных физическим лицом на территории Республики Казахстан;
2) физическому лицу – запрос о необходимости представления оригиналов или нотариально засвидетельствованных копий документов, подтверждающих получение медицинских услуг за пределами Республики Казахстан;
3) банкам второго уровня или организациям, осуществляющим отдельные виды банковских операций – требование о подтверждении расходов на погашение вознаграждения по ипотечным жилищным займам, полученным физическим лицом на приобретение жилья в Республике Казахстан, на основании согласия физического лица (владельца счета), указанного в декларации о доходах и имуществе физического лица.
2.Требование лицам, указанным в подпунктах 1) и 3) пункта 1 настоящей статьи направляются одним из следующих способов:
1) по почте заказным письмом с уведомлением.
При этом такое требование должно быть доставлено почтовой или иной организацией связи в срок не позднее десяти рабочих дней с даты отметки о приеме почтовой или иной организацией связи;
2) вручает налогоплательщику лично под роспись;
3) электронным способом в веб-приложение.
3. Подтверждение сведений о расходах на образование, медицину, погашение вознаграждения по ипотечным жилищным займам, произведенных физическим лицом на территории Республики Казахстан, указанных в требовании налоговых органов, представляется в сроки, установленные статьями 24 и 26 настоящего Кодекса, уполномоченными лицами, банками или организациями, осуществляющими отдельные виды банковских операций.
4. Формы требований налоговых органов, предусмотренных настоящей статьей, и правила их составления утверждаются уполномоченным органом по согласованию соответственно с уполномоченным органом по регулированию, контролю и надзору финансового рынка и финансовых организаций, уполномоченным органом в области образования, уполномоченным органом в области здравоохранения.
5. В случае непредставления уполномоченными лицами, банками или организациями, осуществляющими отдельные виды банковских операций, сведений, указанных в требовании налоговых органов, в сроки, установленные статьями 24 и 26 настоящего Кодекса, налоговый орган не позднее 1 января года, следующего за годом, в котором представлена декларация о доходах и имуществе с указанием требования о возврате и (или) зачете суммы превышения по индивидуальному подоходному налогу, направляет физическому лицу запрос о необходимости представления копий документов с предъявлением в налоговый орган оригиналов, подтверждающих расходы по оплате медицинских услуг и услуг образования, а также расходов на погашение вознаграждения по ипотечным жилищным займам.
6. В случае, предусмотренном пунктом 5 настоящей статьи, физическое лицо в явочном порядке не позднее 15 февраля года, следующего за годом, в котором представлена декларация о доходах и имуществе с указанием требования о возврате и (или) зачете суммы превышения по индивидуальному подоходному налогу, обязано предоставить в налоговый орган по месту жительства копии с предъявлением оригиналов следующих документов:
1) договоров на предоставление медицинских услуг, услуг образования, ипотечных жилищных займов;
2) документов, подтверждающих фактические расходы на оплату медицинских услуг, услуг образования, погашение вознаграждения по ипотечным жилищным займам;
3) иных документов, подтверждающих получение медицинских услуг, услуг образования, погашение вознаграждения по ипотечным жилищным займам.
В случае, если документы, указанные в части первой настоящего подпункта, составлены на иностранном языке, обязательно наличие нотариально засвидетельствованного перевода таких документов на казахский или русский язык.
При проведении безналичных платежей по оплате услуг, предусмотренных частью первой настоящего пункта, в качестве документа, подтверждающего фактические расходы на оплату таких услуг, является один из следующих документов при условии наличия в нем наименования и идентификационного номера лица, в пользу которого была произведена оплата таких расходов:
платежный документ, составляемый при осуществлении платежей и переводов денег с использованием банковского счета либо без использования банковского счета;
чек, составляемый при осуществлении платежей и переводов денег с использованием платежной карточки либо через электронные терминалы (далее – чек);
выписка о движении денег по банковскому счету (далее – выписка).
В случае получения и оплаты указанных услуг за пределами Республики Казахстан указание в чеках и выписках идентификационного номера лица, в пользу которого была произведена оплата таких услуг, не требуется.
Непредставление в установленный срок копий документов, указанных в части первой настоящего пункта, и не подтверждение их подлинности предъявлением оригиналов является основанием неподтверждения суммы превышения по индивидуальному подоходному налогу и направления заключения, предусмотренного подпунктом 3) пункта 7 настоящей статьи.
7. На основании полученных сведений уполномоченных лиц, банков или организаций, осуществляющих отдельные виды банковских операций, оригиналов или нотариально засвидетельствованных копий документов физического лица, представленных в соответствии с пунктом 6 настоящей статьи, налоговый орган проверяет обоснованность применения физическим лицом налоговых вычетов, подтверждает сумму превышения по индивидуальному подоходному налогу, заявленную к зачету и (или) возврату, и формирует следующие заключения о:
1) подтверждении суммы превышения по индивидуальному подоходному налогу полностью;
2) подтверждении суммы превышения по индивидуальному подоходному налогу в части с указанием причин неполного подтверждения;
3) неподтверждении суммы превышения по индивидуальному подоходному налогу с указанием причин.
8. Заключения, указанные в подпунктах 2) и 3) пункта 7 настоящей статьи, направляются:
1) электронному налогоплательщику – электронным способом через веб-приложение;
2) остальным налогоплательщикам – по почте заказным письмом с уведомлением.
Сноска. Статья 112 с изменением, внесенным Законом РК от 10.12.2020 № 382-VI (вводится в действие с 01.01.2021).
Статья 113. Порядок зачета и (или) возврата суммы превышения по индивидуальному подоходному налогу физического лица
1. Зачет и (или) возврат суммы превышения по индивидуальному подоходному налогу, определенного статьей 640 настоящего Кодекса, производятся на основании заключения о подтверждении суммы превышения по индивидуальному подоходному налогу полностью или в части, предусмотренного пунктом 7 статьи 112 настоящего Кодекса, в пределах заявленной физическим лицом суммы превышения по индивидуальному подоходному налогу.
2. При наличии налоговой задолженности у физического лица налоговый орган производит зачет суммы превышения по индивидуальному подоходному налогу в счет погашения имеющейся налоговой задолженности по налогам и платежам в бюджет в порядке, определенном статьей 102 настоящего Кодекса для проведения зачета излишне уплаченной суммы налога, платежей в бюджет и пени.
3. После погашения имеющейся налоговой задолженности, в зависимости от требования, указанного в декларации о доходах и имуществе, производится зачет в счет предстоящих платежей и (или) возврат на банковский счет.
При этом зачет суммы превышения по индивидуальному подоходному налогу физического лица в счет предстоящих платежей по индивидуальному подоходному налогу, удерживаемому у источника выплаты, не производится.
4. Зачет суммы превышения по индивидуальному подоходному налогу производится в счет предстоящих платежей по налогам, указанным физическим лицом в требовании о зачете суммы превышения по индивидуальному подоходному налогу.
5. Возврат суммы превышения по индивидуальному подоходному налогу производится на банковский счет, указанный в требовании о возврате суммы превышения по индивидуальному подоходному налогу.
6. В случае указания физическим лицом в декларации о доходах и имуществе одновременно требования по зачету и возврату суммы превышения по индивидуальному подоходному налогу налоговый орган последовательно производит зачет суммы превышения по индивидуальному подоходному налогу в счет предстоящих платежей, а в части, оставшейся после зачета суммы превышения по индивидуальному подоходному налогу, – возврат на банковский счет.
7. Зачет и (или) возврат суммы превышения по индивидуальному подоходному налогу физического лица производятся не позднее 15 сентября года, следующего за годом представления декларации о доходах и имуществе.
При представлении декларации о доходах и имуществе, в которой указано требование по зачету и (или) возврату суммы превышения по индивидуальному подоходному налогу, но не указаны реквизиты банковского счета, зачет и (или) возврат суммы превышения по индивидуальному подоходному налогу производятся в соответствии с частью третьей настоящего пункта.
В случае представления декларации о доходах и имуществе позже срока, установленного статьей 635 настоящего Кодекса, а также дополнительной декларации о доходах и имуществе в части указания требования по зачету и (или) возврату суммы превышения по индивидуальному подоходному налогу и указания реквизитов банковского счета зачет и (или) возврат суммы превышения по индивидуальному подоходному налогу физического лица производятся в срок не позднее двенадцати месяцев с даты представления такой декларации о доходах и имуществе.
8. Если последний день срока приходится на нерабочий день, то срок зачета и (или) возврата истекает в конце следующего рабочего дня.
9. Порядок проведения зачета и (или) возврата суммы превышения по индивидуальному подоходному налогу физического лица определяется уполномоченным органом.
Сноска. Статья 113 с изменением, внесенным Законом РК от 10.12.2020 № 382-VI (вводится в действие с 01.01.2021).
Глава 12. УВЕДОМЛЕНИЕ ПО ИСПОЛНЕНИЮ НАЛОГОВОГО ОБЯЗАТЕЛЬСТВА, ОБЯЗАТЕЛЬСТВ ПО ИСЧИСЛЕНИЮ, УДЕРЖАНИЮ И ПЕРЕЧИСЛЕНИЮ СОЦИАЛЬНЫХ ПЛАТЕЖЕЙ
Статья 114. Общие положения
1. Уведомлением признается направленное налоговым органом налогоплательщику (налоговому агенту) на бумажном носителе или электронным способом сообщение о необходимости исполнения последним налогового обязательства, а также полноты исчисления и своевременной уплаты социальных платежей, контроль за которыми возложен на налоговые органы. Формы уведомлений утверждаются уполномоченным органом.
2. Уведомления ограничиваются нижеперечисленными видами и направляются налогоплательщику (налоговому агенту) в следующие сроки:
1) о сумме налогов, исчисленных налоговым органом в соответствии с пунктом 2 статьи 37 настоящего Кодекса, – не позднее десяти рабочих дней со дня исчисления;
2) о результатах проверки – не позднее пяти рабочих дней со дня вручения налогоплательщику (налоговому агенту) акта налоговой проверки, за исключением случая, установленного пунктом 4 статьи 159 настоящего Кодекса;
3) о начисленных суммах налогов, платежей в бюджет и социальных платежей за период с даты представления ликвидационной налоговой отчетности до даты завершения ликвидационной налоговой проверки – не позднее пяти рабочих дней со дня вручения налогоплательщику (налоговому агенту) акта ликвидационной налоговой проверки;
4) о начисленной сумме платы за негативное воздействие на окружающую среду на основании сведений уполномоченного органа в области охраны окружающей среды – не позднее десяти рабочих дней со дня получения сведений, указанных в пункте 3 статьи 573 настоящего Кодекса;
5) о непредставлении налоговой отчетности в срок, установленный налоговым законодательством Республики Казахстан, – со дня выявления нарушения, за исключением налоговой отчетности по корпоративному подоходному налогу и налогу на добавленную стоимость, срок направления уведомления по которым производится не позднее десяти рабочих дней с установленного настоящим Кодексом срока ее представления.
В случае нарушения срока направления уведомления, указанного в настоящем подпункте, по причине возникновения технических ошибок в программном обеспечении, подтвержденных уполномоченным органом, данное уведомление считается направленным в срок. При этом налоговое обязательство и (или) обязательства по исчислению, удержанию и перечислению социальных платежей, по такому уведомлению подлежат исполнению налогоплательщиком в срок, установленный пунктом 5 статьи 115 настоящего Кодекса;
6) исключен Законом РК от 12.12.2023 № 45-VIII (вводится в действие с 01.01.2024).
7) о погашении налоговой задолженности – не позднее пяти рабочих дней со дня образования налоговой задолженности или перехода налогоплательщика из категории низкого уровня риска в категорию среднего или высокого уровня риска;
8) о налоговой задолженности физических лиц – не позднее двадцати рабочих дней со дня образования налоговой задолженности;
9) об обращении взыскания на деньги на банковских счетах дебиторов – не позднее двадцати рабочих дней до обращения взыскания;
10) об устранении нарушений, выявленных налоговыми органами по результатам камерального контроля, – не позднее десяти рабочих дней со дня выявления нарушений в налоговой отчетности, за исключением случаев, установленных пунктом 7 статьи 59 и пунктом 8 статьи 66 настоящего Кодекса;
11) об итогах рассмотрения жалобы налогоплательщика (налогового агента) на уведомление о результатах проверки – не позднее пяти рабочих дней со дня принятия решения по жалобе;
12) об устранении нарушений налогового законодательства Республики Казахстан – не позднее пяти рабочих дней со дня их выявления;
13) о подтверждении места нахождения (отсутствия) налогоплательщика – не позднее трех рабочих дней со дня составления должностными лицами налоговых органов акта налогового обследования;
14) о результатах мониторинга, вынесенного по результатам решения в рамках горизонтального мониторинга (далее в целях настоящего Кодекса – уведомление о результатах горизонтального мониторинга), – не позднее пяти рабочих дней со дня вынесения такого решения.
3. В уведомлении должны быть указаны:
1) идентификационный номер налогоплательщика (налогового агента);
2) фамилия, имя, отчество (если оно указано в документе, удостоверяющем личность) или полное наименование налогоплательщика;
3) наименование налогового органа;
4) дата уведомления;
5) сумма налогового обязательства и (или) обязательств по исчислению, удержанию и перечислению социальных платежей – в случаях, установленных настоящим Кодексом и (или) законами Республики Казахстан;
6) банковские реквизиты, необходимые для погашения налоговой задолженности по налогу на имущество, земельному налогу и налогу на транспортные средства физических лиц;
7) требование об исполнении налогового обязательства и (или) обязательств по исчислению, удержанию и перечислению социальных платежей;
8) основание для направления уведомления;
9) порядок обжалования.
4. В случае, указанном в подпункте 1) части второй пункта 1 статьи 115 настоящего Кодекса, налоговые органы направляют налогоплательщику (налоговому агенту) копии уведомлений, указанных в подпунктах 4), 7) и 8) пункта 2 настоящей статьи.
Для получения оригинала уведомлений, указанных в подпунктах 4), 7) и 8) пункта 2 настоящей статьи, налогоплательщик (налоговый агент) вправе обратиться в налоговые органы.
Сноска. Статья 114 с изменениями, внесенными законами РК от 02.01.2021 № 402-VI (вводится в действие с 01.01.2022); от 12.12.2023 № 45-VIII (вводится в действие с 01.01.2024).
Статья 115. Порядок вручения и исполнения уведомления
1. Уведомление должно быть вручено налогоплательщику (налоговому агенту) лично под роспись или иным способом, подтверждающим факт отправки и получения, если иное не установлено настоящей статьей.
При этом уведомление, направленное одним из нижеперечисленных способов, считается врученным налогоплательщику (налоговому агенту) в следующих случаях:
1) по почте заказным письмом с уведомлением – с даты отметки налогоплательщиком (налоговым агентом) в уведомлении почтовой или иной организации связи;
При этом такое уведомление должно быть доставлено почтовой или иной организацией связи в срок не позднее десяти рабочих дней с даты отметки о приеме почтовой или иной организацией связи;
2) электронным способом:
с даты доставки уведомления налоговым органом в веб-приложение и (или) специальное мобильное приложение.
Данный способ распространяется на налогоплательщика, взаимодействующего с налоговыми органами электронным способом в соответствии с законодательством Республики Казахстан об электронном документе и электронной цифровой подписи и (или) использующего специальное мобильное приложение;
с даты доставки уведомления в кабинет пользователя на веб-портале «электронного правительства» с отправлением короткого текстового сообщения на абонентский номер сотовой связи, зарегистрированный на веб-портале «электронного правительства».
Данный способ распространяется на налогоплательщика, зарегистрированного на веб-портале «электронного правительства»;
с даты доставки уведомления в налоговое мобильное приложение.
Данный способ распространяется на уведомление о сумме исчисленных налогов за отчетный налоговый период, указанное в подпункте 1) пункта 2 статьи 114 настоящего Кодекса;
3) через Государственную корпорацию «Правительство для граждан» – с даты его получения в явочном порядке. При этом уведомление о сумме исчисленных налогов за отчетный налоговый период, указанное в подпункте 1) пункта 2 статьи 114 настоящего Кодекса, подлежит получению физическим лицом в период начиная с 15 июля года, следующего за отчетным налоговым периодом.
2. Если иное не установлено пунктами 3 и 4 настоящей статьи, в случае возврата почтовой или иной организацией связи уведомлений, предусмотренных подпунктами 2), 3), 7) пункта 2 статьи 114 настоящего Кодекса, направленных налоговыми органами налогоплательщику (налоговому агенту) по почте заказным письмом с уведомлением, датой вручения таких уведомлений является дата проведения налогового обследования с привлечением понятых по основаниям и в порядке, которые установлены настоящим Кодексом.
3. В случае завершения налоговой проверки на основании акта налогового обследования в соответствии с пунктом 3 статьи 158 настоящего Кодекса и возврата почтовой или иной организацией связи уведомлений, предусмотренных подпунктами 2) и 3) пункта 2 статьи 114 настоящего Кодекса, направленных налоговыми органами налогоплательщику (налоговому агенту) по почте заказным письмом с уведомлением, датой вручения таких уведомлений является дата возврата такого письма почтовой или иной организацией связи.
4. В случае возврата почтовой или иной организацией связи уведомлений, предусмотренных подпунктами 5), 10), 11) и 12) пункта 2 статьи 114 настоящего Кодекса, направленных налоговыми органами налогоплательщику (налоговому агенту) по почте заказным письмом с уведомлением, налоговый орган не позднее дня, следующего за днем возврата такого уведомления, размещает на интернет-ресурсе уполномоченного органа информацию о налогоплательщике с указанием его идентификационного номера, наименования или фамилии, имени, отчества (если оно указано в документе, удостоверяющем личность), даты возврата уведомления.
5. Если иное не установлено пунктом 6 настоящей статьи, в случае направления налоговым органом уведомлений, указанных в подпунктах 2) – 5), 10), 11), 12) и 14) пункта 2 статьи 114 настоящего Кодекса, налоговое обязательство и (или) обязательства по исчислению, удержанию и перечислению социальных платежей подлежат исполнению в течение тридцати рабочих дней со дня, следующего за днем вручения уведомления налогоплательщику (налоговому агенту).
6. В случае полного согласия налогоплательщика с указанными в подпунктах 2) и 3) пункта 2 статьи 114 настоящего Кодекса уведомлениями о результатах ликвидационной налоговой проверки налогоплательщик представляет заявление о таком согласии с приложением подтверждающих документов об исполнении указанных в уведомлениях налоговых обязательств по уплате налогов и платежей в бюджет, а также обязательств по перечислению социальных платежей.
При этом заявление о согласии с уведомлениями о результатах ликвидационной налоговой проверки представляется налогоплательщиком в налоговый орган не позднее двадцати пяти рабочих дней со дня, следующего за днем вручения уведомления.
7. Порядок вручения и исполнения уведомлений, установленный в пунктах 1 и 2 настоящей статьи, применяется также к копиям уведомлений, указанных в подпунктах 5), 7) и 8) пункта 2 статьи 114 настоящего Кодекса.
8. Налоговые органы в течение трех рабочих дней со дня обращения налогоплательщика в случае, указанном в пункте 4 статьи 114 настоящего Кодекса, выдают такому налогоплательщику оригинал уведомлений, указанных в подпунктах 5), 7) и 8) пункта 2 статьи 114 настоящего Кодекса.
9. Уведомление, предусмотренное подпунктом 13) пункта 2 статьи 114 настоящего Кодекса, подлежит направлению налоговым органом электронным способом либо по почте заказным письмом с уведомлением и исполнению налогоплательщиком (налоговым агентом) в течение двадцати рабочих дней со дня направления уведомления.
Сноска. Статья 115 с изменениями, внесенными законами РК от 10.12.2020 № 382-VI (вводится в действие с 01.01.2021); от 24.06. 2021 № 53-VII (вводится в действие с 01.01.2022); от 20.12.2021 № 85-VII (вводится в действие с 01.01.2022); от 06.02.2023 № 196-VII (вводится в действие с 01.01.2024); от 12.12.2023 № 45-VIII (вводится в действие с 01.01.2024).
Глава 13. СПОСОБЫ ОБЕСПЕЧЕНИЯ ИСПОЛНЕНИЯ НЕ ВЫПОЛНЕННОГО В СРОК НАЛОГОВОГО ОБЯЗАТЕЛЬСТВА
Статья 116. Способы обеспечения исполнения не выполненного в срок налогового обязательства
1. Исполнение налогового обязательства налогоплательщика (налогового агента), не выполненного в установленные сроки, может обеспечиваться следующими способами:
1) начислением пени на неуплаченную сумму налогов и платежей в бюджет, в том числе авансовых и (или) текущих платежей по ним;
2) приостановлением расходных операций по банковским счетам (за исключением корреспондентских) налогоплательщика (налогового агента) – юридического лица, структурного подразделения юридического лица, нерезидента, осуществляющего деятельность в Республике Казахстан через постоянное учреждение, индивидуального предпринимателя, лица, занимающегося частной практикой;
3) приостановлением расходных операций по кассе налогоплательщика (налогового агента) – юридического лица, структурного подразделения юридического лица, нерезидента, осуществляющего деятельность в Республике Казахстан через постоянное учреждение, индивидуального предпринимателя, лица, занимающегося частной практикой;
4) ограничением в распоряжении имуществом налогоплательщика (налогового агента) – юридического лица, структурного подразделения юридического лица, нерезидента, осуществляющего деятельность в Республике Казахстан через постоянное учреждение, индивидуального предпринимателя, лица, занимающегося частной практикой.
Если исполнение налоговых обязательств в соответствии с подпунктом 2) пункта 3 статьи 722 настоящего Кодекса возложено на оператора, то способы обеспечения исполнения не выполненного в срок налогового обязательства:
указанные в подпункте 1) части первой настоящего пункта, применяются в отношении оператора;
указанные в подпунктах 2), 3) и 4) части первой настоящего пункта, применяются одновременно в отношении оператора и каждого участника простого товарищества (консорциума).
2. Способы обеспечения исполнения не выполненного в срок налогового обязательства, указанные в подпунктах 2), 3) и 4) части первой пункта 1 настоящей статьи, применяются в сроки, установленные статьями 118, 119 и 120 настоящего Кодекса.
До начала применения способов обеспечения исполнения не выполненного в срок налогового обязательства, указанных в подпунктах 2), 3) и 4) части первой пункта 1 настоящей статьи, налогоплательщику (налоговому агенту) со средним и высоким уровнем риска направляется уведомление о погашении налоговой задолженности, предусмотренное подпунктом 7) пункта 2 статьи 114 настоящего Кодекса, за исключением случаев, установленных пунктом 3 настоящей статьи.
Способы обеспечения исполнения не выполненного в срок налогового обязательства, за исключением начисления пени, применяются к налогоплательщикам (налоговым агентам) со средним и высоким уровнем риска в сроки, предусмотренные настоящей главой, в зависимости от уровня риска, к которому отнесен налогоплательщик (налоговый агент) на дату образования у него налоговой задолженности или на дату перехода налогоплательщика (налогового агента) из категории низкого уровня риска в категорию среднего или высокого уровня риска.
3. В случае непогашения структурным подразделением юридического лица налоговой задолженности в течение тридцати рабочих дней после вручения ему уведомления о погашении налоговой задолженности налоговый орган применяет способы обеспечения исполнения не выполненного в срок налогового обязательства, указанные в подпунктах 2), 3) и 4) пункта 1 настоящей статьи, к налогоплательщику (налоговому агенту) – юридическому лицу, создавшему данное структурное подразделение.
В случае непогашения налоговой задолженности структурным подразделением юридического лица после применения к нему способов обеспечения исполнения не выполненного в срок налогового обязательства в порядке, определенном частью первой настоящего пункта, при наличии у юридического лица более одного структурного подразделения налоговый орган применяет способы обеспечения исполнения не выполненного в срок налогового обязательства, указанные в подпунктах 2) и 3) пункта 1 настоящей статьи, одновременно ко всем структурным подразделениям такого юридического лица.
В случае непогашения юридическим лицом налоговой задолженности в течение тридцати рабочих дней после вручения ему уведомления о погашении налоговой задолженности налоговый орган применяет способы обеспечения исполнения не выполненного в срок налогового обязательства, указанные в подпунктах 2), 3) и 4) пункта 1 настоящей статьи, к налогоплательщикам – структурным подразделениям юридического лица.
4. Способы обеспечения исполнения не выполненного в срок налогового обязательства, указанные в подпунктах 2), 3) и 4) пункта 1 настоящей статьи, подлежат отмене в следующих случаях:
1) признания банкротом – со дня вступления в законную силу решения суда о признании налогоплательщика банкротом;
2) применения реабилитационной процедуры – со дня вступления в законную силу решения суда о применении реабилитационной процедуры;
3) утверждения судом соглашения о реструктуризации задолженности – со дня вступления в законную силу определения суда об утверждении такого соглашения;
4) принудительной ликвидации банков второго уровня, страховых (перестраховочных) организаций – с даты вступления в законную силу решения суда о принудительной ликвидации;
5) принудительного прекращения деятельности филиалов банков-нерезидентов Республики Казахстан, филиалов страховых (перестраховочных) организаций-нерезидентов Республики Казахстан – с даты принятия уполномоченным органом по регулированию, контролю и надзору финансового рынка и финансовых организаций решения о лишении лицензии.
При этом в случаях, определенных подпунктами 1), 2) и 3) части первой настоящего пункта, по сумме налогового обязательства, которая не включена в реестр требований кредиторов в порядке, определенном законодательством Республики Казахстан о реабилитации и банкротстве, и (или) по сумме налогового обязательства налогоплательщика, не включенной в соглашение о реструктуризации задолженности, утвержденное судом, к налогоплательщику применяются способы обеспечения исполнения не выполненного в срок налогового обязательства в соответствии с положениями настоящей главы.
5. Если иное не предусмотрено пунктом 5-1 настоящей статьи, в случае обжалования уведомления о результатах проверки или уведомления о результатах горизонтального мониторинга применение способов обеспечения исполнения не выполненного в срок налогового обязательства, за исключением ограничения в распоряжении имуществом налогоплательщика (налогового агента) приостанавливается до вынесения решения по результатам рассмотрения жалобы.
5-1. В случае оставления уполномоченным органом жалобы налогоплательщика (налогового агента) на уведомление о результатах проверки без удовлетворения применение способов обеспечения исполнения не выполненного в срок налогового обязательства, за исключением ограничения в распоряжении имуществом налогоплательщика (налогового агента), приостанавливается на пятнадцать рабочих дней с момента вынесения решения по результатам рассмотрения жалобы.
6. В случае обжалования налогоплательщиком (налоговым агентом) уведомления о погашении налоговой задолженности применение способов обеспечения исполнения не выполненного в срок налогового обязательства до вынесения решения по результатам рассмотрения жалобы не приостанавливается.
7. Для целей настоящей главы счета государственных учреждений, открытые в центральном уполномоченном органе по исполнению бюджета, приравниваются к банковским счетам, а центральный уполномоченный орган по исполнению бюджета приравнивается к организации, осуществляющей отдельные виды банковских операций.
8. Действовал до 01.01.2019 в соответствии с Законом РК от 25.12.2017 № 121-VI.
Сноска. Статья 116 с изменениями, внесенными законами РК от 27.12.2019 № 290-VІ (вводится в действие по истечении десяти календарных дней после дня его первого официального опубликования); от 10.12.2020 № 382-VI (вводится в действие с 16.12.2020); от 21.12.2022 № 165-VII (вводится в действие с 01.01.2023).
Статья 117. Пеня на не уплаченную в срок сумму налогов и платежей в бюджет
1. Пеней признается установленный пунктом 2 настоящей статьи размер, начисляемый на не уплаченную в срок сумму налогов и платежей в бюджет, в том числе авансовых и (или) текущих платежей по ним.
2. Пеня начисляется:
1) независимо от применения других способов обеспечения исполнения не выполненного в срок налогового обязательства по уплате налогов, платежей в бюджет, мер принудительного взыскания и иных мер ответственности за нарушение налогового законодательства Республики Казахстан;
2) за каждый день просрочки исполнения налогового обязательства по уплате налогов и платежей в бюджет, начиная со дня, следующего за днем срока уплаты налога и платежа в бюджет, в том числе авансового и (или) текущего платежа по ним, включая день уплаты в бюджет, в размере 1,25-кратной базовой ставки Национального Банка Республики Казахстан, на каждый день просрочки, если иное не установлено подпунктом 2-1) настоящего пункта;
2-1) за каждый день просрочки исполнения налогового обязательства по уплате корпоративного подоходного налога, исчисляемого в соответствии со статьей 302 настоящего Кодекса, и индивидуального подоходного налога, исчисляемого от облагаемого дохода, определенного в соответствии со статьей 366 настоящего Кодекса, возникших в случае представления до 1 сентября года, следующего за отчетным налоговым периодом, дополнительной декларации по данным видам налогов за отчетный налоговый период, начиная со дня, следующего за днем срока уплаты, включая день уплаты в бюджет, в размере 0,65-кратной базовой ставки Национального Банка Республики Казахстан, на каждый день просрочки;
3) при изменении срока исполнения налогового обязательства по уплате налогов и (или) плат, продлении срока представления налоговой отчетности, представлении дополнительной налоговой отчетности;
4) при уплате сумм налогов и платежей в бюджет, в том числе авансовых и (или) текущих платежей по ним, включая день:
списания денег банками второго уровня или организациями, осуществляющими отдельные виды банковских операций, с банковского счета налогоплательщика;
осуществления платежа налогоплательщиком через банкоматы или электронные терминалы;
внесения налогоплательщиком, уполномоченным государственным органом указанных сумм в банки второго уровня или организации, осуществляющие отдельные виды банковских операций;
проведения зачета излишне уплаченной суммы налога, платежа в бюджет;
исполнения инкассового распоряжения;
5) при проведении налоговой и (или) таможенной проверки – до дня завершения такой проверки.
После отражения в лицевом счете налогоплательщика начисленных (исчисленных) сумм, указанных в уведомлении о результатах проверки, – со дня завершения налоговой и (или) таможенной проверки, включая день уплаты;
6) банкам второго уровня или организациям, осуществляющим отдельные виды банковских операций, за:
несоблюдение очередности списания сумм с банковских счетов;
неперечисление (незачисление) их в бюджет;
несвоевременное перечисление в бюджет:
списанных сумм с банковских счетов налогоплательщиков,внесенных наличных денег в кассы банков второго уровня или организаций, осуществляющих отдельные виды банковских операций, в счет уплаты налогов и платежей в бюджет, в том числе авансовых и (или) текущих платежей по ним, пени, штрафов, начисленных банковских вознаграждений.
3. Пеня не начисляется:
кредиторам принудительно ликвидируемых банков второго уровня в случае, если единственной причиной образования не уплаченной в срок суммы налогов и платежей в бюджет явилась ликвидация обслуживающего их банка второго уровня, – с даты вступления в законную силу решения суда о принудительной ликвидации банка второго уровня;
кредиторам принудительно прекращающего деятельность филиала банка-нерезидента Республики Казахстан в случае, если единственной причиной образования не уплаченной в срок суммы налогов и платежей в бюджет явилось принудительное прекращение деятельности обслуживающего их филиала банка-нерезидента Республики Казахстан, – с даты принятия уполномоченным органом по регулированию, контролю и надзору финансового рынка и финансовых организаций решения о лишении лицензии;
при вступлении в силу решения суда о принудительном выпуске объявленных акций – со дня подачи искового заявления в суд о принудительном выпуске объявленных акций и до окончания их размещения;
при вступлении в силу решения суда о признании физического лица безвестно отсутствующим – с даты вступления в силу решения суда до его отмены;
по налогу на сверхприбыль за период, предшествующий пяти налоговым периодам до календарного года, в котором выявлено нарушение налогового законодательства Республики Казахстан;
при пересмотре налоговыми органами исчисленных сумм налогов на имущество, земельного налога и налога на транспортные средства с физических лиц после наступления срока уплаты данных налогов за соответствующий налоговый период;
при изменении срока исполнения налогового обязательства по уплате налогов и (или) плат в отношении налогоплательщика в случае утверждения судом соглашения о реструктуризации задолженности в соответствии с Законом Республики Казахстан «О реабилитации и банкротстве»;
при вынесении судом определения о возбуждении производства по делу о применении процедуры восстановления платежеспособности или судебного банкротства в соответствии с Законом Республики Казахстан «О восстановлении платежеспособности и банкротстве граждан Республики Казахстан» – со дня вынесения такого определения;
при наличии заключенного с уполномоченным органом по инвестициям соглашения об инвестиционном налоговом кредите в течение срока его действия и по налогам, по которым предоставлен такой кредит;
при вынесении судом определения о возбуждении производства по делу о банкротстве – со дня вынесения такого определения;
при вынесении судом определения о возбуждении производства по делу о реабилитации – со дня вынесения такого определения;
при применении процедуры реструктуризации задолженности – со дня вынесения судом решения о применении такой процедуры;
на сумму исчисленных (начисленных) налогов и платежей в бюджет, возникшую при нарушении налогоплательщиком (налоговым агентом) налогового законодательства Республики Казахстан в результате исполнения им налоговых обязательств в соответствии с полученным предварительным разъяснением, за исключением установления ранее неизвестных обстоятельств.
Для целей настоящей статьи ранее неизвестными обстоятельствами признаются обстоятельства, влияющие на позицию налогового органа, отраженную в предоставленном предварительном разъяснении, которые прежде не были доведены:
до сведения налоговых органов в запросе налогоплательщика (налогового агента) о предоставлении предварительного разъяснения;
в письменных пояснениях на запросы налогового органа или его должностных лиц в рамках рассмотрения запроса налогоплательщика (налогового агента) о предоставлении предварительного разъяснения.
4. Начисление пени возобновляется в следующих случаях:
1) вступления в законную силу решения суда об отказе в признании налогоплательщика банкротом – со дня вынесения судом определения о возбуждении производства по делу о банкротстве;
2) вступления в законную силу определения суда об отказе в утверждении плана реабилитации – со дня вынесения судом определения о возбуждении производства по делу о реабилитации;
2-1) вступления в законную силу решения суда об отказе в применении в отношении налогоплательщика реабилитационной процедуры – со дня вынесения судом определения о возбуждении производства по делу о реабилитации;
3) незаключения налогоплательщиком соглашения о реструктуризации задолженности в срок, установленный Законом Республики Казахстан «О реабилитации и банкротстве», либо вынесения судом определения об отказе в утверждении такого соглашения – со дня принятия судом решения о применении процедуры реструктуризации задолженности.
4) вступления в законную силу решения суда об отказе в применении процедуры восстановления платежеспособности или судебного банкротства – со дня вынесения судом определения о возбуждении дела о применении процедуры восстановления платежеспособности или судебного банкротства.
Сноска. Статья 117 с изменениями, внесенными законами РК от 21.01.2019 № 217-VI (вводится в действие по истечении десяти календарных дней после дня его первого официального опубликования); от 27.12.2019 № 290-VІ (вводится в действие по истечении десяти календарных дней после дня его первого официального опубликования); от 10.12.2020 № 382-VI (порядок введения в действие см. ст. 2); от 21.12.2022 № 165-VII (вводится в действие с 01.01.2023); от 20.03.2023 № 213-VII (вводится в действие с 01.01.2023).
Статья 118. Приостановление расходных операций по банковским счетам налогоплательщика (налогового агента)
1. Приостановление расходных операций по банковским счетам (за исключением корреспондентских) налогоплательщика (налогового агента) – юридического лица, структурного подразделения юридического лица, нерезидента, осуществляющего деятельность в Республике Казахстан через постоянное учреждение, физического лица, состоящего на регистрационном учете в качестве индивидуального предпринимателя, лица, занимающегося частной практикой, производится в порядке, определенном законами Республики Казахстан, в следующих случаях:
1) непредставления налогоплательщиком (налоговым агентом) налоговой отчетности в сроки, установленные настоящим Кодексом, – по истечении тридцати рабочих дней со дня, следующего за днем вручения уведомления, предусмотренного подпунктом 5) пункта 2 статьи 114 настоящего Кодекса;
2) непредставления налогоплательщиком налогового заявления о постановке на регистрационный учет по налогу на добавленную стоимость – по истечении тридцати рабочих дней со дня вручения уведомления, предусмотренного подпунктом 12) пункта 2 статьи 114 настоящего Кодекса;
3) непогашения налоговой задолженности в размере более 6-кратного размера месячного расчетного показателя, установленного законом о республиканском бюджете и действующего на 1 января соответствующего финансового года, налогоплательщиком (налоговым агентом), отнесенным в соответствии с системой управления рисками к категории:
высокого уровня риска, – по истечении одного рабочего дня со дня вручения уведомления о погашении налоговой задолженности;
среднего уровня риска, – по истечении десяти рабочих дней со дня вручения уведомления о погашении налоговой задолженности;
4) недопуска должностных лиц налогового органа к налоговой проверке и обследованию объектов налогообложения и (или) объектов, связанных с налогообложением, кроме случаев нарушения ими установленного настоящим Кодексом порядка проведения налоговой проверки, – в течение пяти рабочих дней со дня недопуска;
5) возврата почтовой или иной организацией связи направленного уведомления в связи с отсутствием налогоплательщика (налогового агента) по месту нахождения, за исключением уведомления, предусмотренного подпунктами 7) и 13) пункта 2 статьи 114 настоящего Кодекса, – в течение пяти рабочих дней со дня возврата;
6) неисполнения налогоплательщиком требования, установленного частью первой пункта 5 статьи 70 настоящего Кодекса, – в течение трех рабочих дней со дня истечения срока, установленного частью первой пункта 5 статьи 70 настоящего Кодекса;
7) неисполнения уведомления об устранении нарушений, выявленных налоговыми органами по результатам камерального контроля, – на следующий рабочий день по истечении срока, установленного в части первой пункта 2 статьи 96 настоящего Кодекса.
При этом признание налоговым органом уведомления об устранении нарушений, выявленных налоговыми органами по результатам камерального контроля, неисполненным не является основанием для приостановления расходных операций по банковским счетам налогоплательщика (налогового агента).
2. Приостановление расходных операций по банковским счетам распространяется на все расходные операции налогоплательщика (налогового агента), кроме:
1) операций по уплате налогов и платежей в бюджет, предусмотренных статьей 189 настоящего Кодекса, таможенных платежей, предусмотренных законодательством Республики Казахстан, социальных платежей, пени, начисленных за их несвоевременную уплату, а также штрафов, подлежащих внесению в бюджет;
2) изъятия денег:
по исполнительным документам, предусматривающим удовлетворение требований о возмещении вреда, причиненного жизни и здоровью, а также требований по взысканию алиментов;
по исполнительным документам, предусматривающим изъятие денег для расчетов с лицами, работающими по трудовому договору, по выплате выходных пособий и оплате труда, по выплате вознаграждения по авторскому договору, обязательствам клиента по перечислению социальных платежей, а также по исполнительным документам о взыскании в доход государства;
по погашению налоговой задолженности, задолженности по социальным платежам.
Приостановление расходных операций по банковским счетам налогоплательщика (налогового агента) в случае, предусмотренном подпунктом 3) пункта 1 настоящей статьи, производится в пределах суммы налоговой задолженности, указанной в распоряжении налогового органа о приостановлении расходных операций по банковским счетам налогоплательщика (налогового агента).
3. Распоряжение налогового органа о приостановлении расходных операций по банковским счетам налогоплательщика (налогового агента) выносится по форме, установленной уполномоченным органом по согласованию с Национальным Банком Республики Казахстан, и вступает в силу со дня его получения банком второго уровня или организацией, осуществляющей отдельные виды банковских операций.
Налоговый орган направляет такое распоряжение в банки второго уровня или организации, осуществляющие отдельные виды банковских операций, на бумажном носителе или в электронной форме посредством передачи по сети телекоммуникаций. При направлении распоряжения налогового органа о приостановлении расходных операций по банковским счетам налогоплательщика (налогового агента) в электронной форме такое распоряжение формируется в соответствии с форматами, установленными уполномоченным органом совместно с Национальным Банком Республики Казахстан.
4. Распоряжение налогового органа о приостановлении расходных операций по банковским счетам налогоплательщика (налогового агента) подлежит безусловному исполнению банками второго уровня или организациями, осуществляющими отдельные виды банковских операций, и исполняется в порядке очередности, установленной Гражданским кодексом Республики Казахстан.
4-1. Погашение налогоплательщиком (налоговым агентом) суммы налоговой задолженности, указанной в распоряжении налогового органа о приостановлении расходных операций по банковским счетам налогоплательщика (налогового агента), является основанием для возобновления банком второго уровня или организацией, осуществляющей отдельные виды банковских операций, расходных операций по банковским счетам такого налогоплательщика (налогового агента).
Банк второго уровня или организация, осуществляющая отдельные виды банковских операций, в день погашения налоговой задолженности возобновляет расходные операции по банковским счетам до отмены распоряжения налогового органа о приостановлении расходных операций по банковским счетам налогоплательщика.
5. Распоряжение о приостановлении расходных операций по банковским счетам отменяется не позднее одного рабочего дня, следующего за днем устранения причин приостановления расходных операций по банковским счетам.
6. В случае закрытия банковского счета налогоплательщика (налогового агента) в соответствии с законодательством Республики Казахстан банк второго уровня или организация, осуществляющая отдельные виды банковских операций, возвращает распоряжение о приостановлении расходных операций по счету в соответствующий налоговый орган вместе с уведомлением о закрытии банковского счета налогоплательщика (налогового агента).
При указании в распоряжении о приостановлении расходных операций более одного банковского счета банк второго уровня или организация, осуществляющая отдельные виды банковских операций, возвращает такое распоряжение в соответствующий налоговый орган не позднее одного рабочего дня, следующего за днем закрытия последнего из банковских счетов, указанных в распоряжении о приостановлении расходных операций по банковским счетам.
Сноска. Статья 118 с изменениями, внесенными законами РК от 02.04.2019 № 241-VI (вводится в действие с 01.01.2020); от 10.12.2020 № 382-VI (вводится в действие с 01.01.2021); от 24.06. 2021 № 53-VII (порядок введения в действие см ст.4); от 21.12.2022 № 165-VII (вводится в действие с 01.01.2023); от 12.12.2023 № 45-VIII (вводится в действие по истечении шестидесяти календарных дней после дня его первого официального опубликования).
Статья 119. Приостановление расходных операций по кассе налогоплательщика (налогового агента)
1. Приостановление расходных операций по кассе налогоплательщика (налогового агента) производится в случае непогашения налоговой задолженности налогоплательщиком, отнесенным в соответствии с системой управления рисками к категории:
высокого уровня риска, – по истечении одного рабочего дня со дня вручения уведомления о погашении налоговой задолженности;
среднего уровня риска, – по истечении десяти рабочих дней со дня вручения уведомления о погашении налоговой задолженности.
Приостановление расходных операций по кассе налогоплательщика (налогового агента) распространяется на все расходные операции наличных денег в кассе, кроме операций по:
сдаче денег в банк второго уровня или организацию, осуществляющую отдельные виды банковских операций, для последующего их перечисления в счет уплаты налогов и платежей в бюджет, предусмотренных статьей 189 настоящего Кодекса, таможенных платежей, предусмотренных законодательством Республики Казахстан, социальных платежей, пени, начисленных за их несвоевременную уплату, а также штрафов, подлежащих внесению в бюджет;
выдаче банком второго уровня или организацией, осуществляющей отдельные виды банковских операций, наличных денег клиентов, в случае если распоряжение о приостановлении расходных операций по кассе вынесено в отношении банка второго уровня или организации, осуществляющей отдельные виды банковских операций.
Распоряжение о приостановлении расходных операций по кассе налогоплательщика (налогового агента) составляется в двух экземплярах по форме, утвержденной уполномоченным органом, один из которых вручается налогоплательщику под роспись или иным способом, подтверждающим факт отправки и получения.
2. Распоряжение налогового органа о приостановлении расходных операций по кассе подлежит безусловному исполнению налогоплательщиком (налоговым агентом) путем перечисления в бюджет поступающих наличных денег не позднее одного рабочего дня, следующего за днем их поступления.
3. Налогоплательщик (налоговый агент) несет ответственность за нарушение требований настоящей статьи в соответствии с законами Республики Казахстан.
4. Распоряжение налогового органа о приостановлении расходных операций по кассе отменяется налоговым органом не позднее одного рабочего дня после погашения налогоплательщиком задолженности в бюджет.
Статья 120. Ограничение в распоряжении имуществом налогоплательщика (налогового агента)
1. Налоговым органом производится ограничение в распоряжении имуществом налогоплательщика (налогового агента) на основании решения, указанного в пункте 4 настоящей статьи, в случаях:
1) непогашения налоговой задолженности налогоплательщиком (налоговым агентом), отнесенным в соответствии с системой управления рисками к категории:
высокого уровня риска, – по истечении одного рабочего дня со дня вручения уведомления о погашении налоговой задолженности;
среднего риска, – по истечении пятнадцати рабочих дней со дня вручения уведомления о погашении налоговой задолженности;
2) обжалования налогоплательщиком (налоговым агентом), за исключением налогоплательщика, подлежащего налоговому мониторингу, уведомления о результатах проверки, в котором содержатся сведения о сумме начисленных налогов и платежей в бюджет, и пени, а также о сумме превышения налога на добавленную стоимость, возвращенной из бюджета и не подтвержденной к возврату.
При этом в случае, указанном в настоящем подпункте, ограничение производится налоговым органом без направления уведомления о погашении налоговой задолженности по истечении трех рабочих дней:
со дня подачи жалобы налогоплательщиком (налоговым агентом) в порядке, определенном главой 21 настоящего Кодекса;
со дня исключения налогоплательщика (налогового агента) из перечня налогоплательщиков, подлежащих мониторингу крупных налогоплательщиков, или прекращения действия соглашения о горизонтальном мониторинге.
2. Ограничение в распоряжении имуществом налогоплательщика (налогового агента) производится налоговым органом в отношении имущества:
1) принадлежащего на праве собственности или хозяйственного ведения и (или) состоящего на балансе данного налогоплательщика (налогового агента), – в случае, указанном в подпункте 1) части первой пункта 1 настоящей статьи;
2) являющегося в соответствии с международными стандартами финансовой отчетности и (или) требованиями законодательства Республики Казахстан о бухгалтерском учете и финансовой отчетности основным средством, инвестицией в недвижимость и (или) биологическим активом, в случае, указанном в подпункте 2) части первой пункта 1 настоящей статьи.
3. Не подлежат ограничению в распоряжении:
объекты жизнеобеспечения;
электрическая, тепловая и иные виды энергии;
продукты питания или сырье, срок хранения и (или) годности которых не превышает одного года.
Налоговому органу запрещается изъятие ограниченного в распоряжении имущества налогоплательщика (налогового агента), переданного (полученного) в финансовый лизинг либо предоставленного в залог, до прекращения действия договора лизинга и (или) залога.
Налогоплательщику (налоговому агенту) запрещается изменение условий договора (продление срока действия договора, сублизинг и (или) перезалог) со дня ограничения налоговым органом распоряжения имуществом и до его отмены.
Для целей настоящего пункта под объектами жизнеобеспечения понимаются сооружения, технологические установки и агрегаты организаций газоснабжения, энергоснабжения, теплоснабжения, водоснабжения и водоотведения, прекращение или приостановление эксплуатации которых может привести к нарушению деятельности инженерной инфраструктуры населенных пунктов и территорий.
4. Решение об ограничении в распоряжении имуществом налогоплательщика (налогового агента) составляется по форме, установленной уполномоченным органом, и принимается налоговым органом на сумму:
1) налоговой задолженности по данным, имеющимся на лицевом счете налогоплательщика (налогового агента) на дату вынесения такого решения, – в случае, указанном в подпункте 1) части первой пункта 1 настоящей статьи;
2) налогов, платежей в бюджет и пени, обжалуемых налогоплательщиком (налоговым агентом) в порядке, определенном главой 21 настоящего Кодекса, – в случае, указанном в подпункте 2) части первой пункта 1 настоящей статьи.
5. Решение об ограничении в распоряжении имуществом должно быть вручено налогоплательщику (налоговому агенту) лично под роспись или иным способом, подтверждающим факт отправки и получения. При этом решение, направленное одним из нижеперечисленных способов, считается врученным налогоплательщику (налоговому агенту) в следующих случаях:
1) по почте заказным письмом с уведомлением – с даты отметки налогоплательщиком (налоговым агентом) в уведомлении почтовой или иной организации связи;
2) электронным способом – с даты доставки решения налоговым органом в веб-приложение. Данный способ распространяется на налогоплательщика (налогового агента), взаимодействующего с налоговыми органами электронным способом в соответствии с законодательством Республики Казахстан об электронном документе и электронной цифровой подписи;
3) при невозможности вручения по причине отказа от росписи, подтверждающей получение такого решения, или отсутствия по месту нахождения – с даты налогового обследования, проведенного в порядке, определенном статьей 70 настоящего Кодекса.
6. Не позднее пяти рабочих дней со дня вручения налогоплательщику (налоговому агенту) решения об ограничении в распоряжении имуществом налоговый орган направляет копию такого решения в уполномоченные государственные органы для регистрации обременения прав на имущество, права на которое или сделки по которому подлежат государственной регистрации, либо имущества, подлежащего государственной регистрации.
7. По истечении десяти рабочих дней со дня вручения налогоплательщику (налоговому агенту) решения, об ограничении в распоряжении имуществом налогоплательщика (налогового агента), налоговым органом производится опись ограниченного в распоряжении имущества в присутствии налогоплательщика (налогового агента) путем составления акта описи имущества по форме, установленной уполномоченным органом.
При наличии у налогоплательщика (налогового агента) на праве собственности имущества, права на которое или сделки по которому подлежат государственной регистрации, либо имущества, подлежащего государственной регистрации, описи, в первую очередь, подвергается такое имущество.
Опись ограниченного в распоряжении имущества производится с указанием в акте описи имущества балансовой стоимости, определяемой на основании данных бухгалтерского учета налогоплательщика (налогового агента), или рыночной стоимости. Рыночной стоимостью является стоимость, определенная в отчете об оценке, проведенной в соответствии с законодательством Республики Казахстан об оценочной деятельности.
8. Налогоплательщик (налоговый агент) при составлении акта описи ограниченного в распоряжении имущества обязан представить должностным лицам налогового органа для ознакомления оригиналы или нотариально засвидетельствованные копии баланса, документов, подтверждающих право собственности на такое имущество и (или) его хозяйственного ведения. Копии документов, указанных в настоящем пункте, прилагаются к акту описи ограниченного в распоряжении имущества.
Акт описи ограниченного в распоряжении имущества составляется в двух экземплярах и подписывается лицом, его составившим, а также налогоплательщиком (налоговым агентом) и (или) его должностным лицом.
Налогоплательщик (налоговый агент) обязан обеспечить сохранность ограниченного в распоряжении имущества в неизменном состоянии, за исключением изменений вследствие естественного износа и (или) естественной убыли при нормальных условиях хранения до снятия ограничения в соответствии с законодательством Республики Казахстан. При этом налогоплательщик (налоговый агент) несет ответственность за незаконные действия в отношении указанного имущества в соответствии с законами Республики Казахстан.
В случае непогашения налоговой задолженности и нереализации ограниченного в распоряжении имущества после проведения двух аукционов налоговый орган вправе подвергнуть описи другое имущество налогоплательщика (налогового агента) путем отмены первоначального акта описи и составления нового акта описи имущества с учетом имеющихся на лицевом счете налогоплательщика (налогового агента) данных о сумме налоговой задолженности на дату составления нового акта описи имущества.
9. Налоговый орган отменяет решение об ограничении в распоряжении имуществом и акт описи имущества, составленный на основании такого решения, по форме, установленной уполномоченным органом, в случаях:
1) погашения налогоплательщиком (налоговым агентом) сумм налоговой задолженности – не позднее одного рабочего дня со дня погашения такой задолженности;
2) вынесения решения уполномоченным органом или вступления в законную силу судебного акта, отменяющих в обжалуемой части уведомление о результатах проверки, – не позднее одного рабочего дня со дня вынесения такого решения или вступления в силу такого судебного акта;
3) отзыва налогоплательщиком (налоговым агентом) своей жалобы на уведомление о результатах проверки – не позднее одного рабочего дня со дня отзыва такой жалобы.
10. Налоговый орган направляет сообщение в уполномоченные государственные органы для прекращения обременения прав на имущество:
1) не указанное в акте описи, – не позднее пяти рабочих дней со дня составления акта описи имущества с приложением копии такого акта;
2) решение об ограничении в распоряжении которым отменено в случаях, предусмотренных пунктом 9 настоящей статьи, – не позднее пяти рабочих дней со дня принятия решения об отмене решения об ограничении в распоряжении имуществом с приложением копии такого решения;
3) реализованное уполномоченным юридическим лицом, в том числе в счет задолженности по таможенным платежам, налогам и пеням, – не позднее пяти рабочих дней со дня подписания договора купли-продажи имущества с приложением копии такого договора.
11. В случаях, установленных пунктами 6 и 10 настоящей статьи, налоговый орган направляет соответствующие сообщения в уполномоченные государственные органы на бумажном носителе или в электронной форме посредством передачи по сети телекоммуникаций.
Сноска. Статья 120 с изменениями, внесенными законами РК от 02.04.2019 № 241-VI (вводится в действие с 01.01.2019); от 10.12.2020 № 382-VI (порядок введения в действие см. ст. 2).
Статья 120-1. Ограничение выписки электронных счетов-фактур в информационной системе электронных счетов-фактур
1. Налоговые органы по нарушениям с высокой степенью риска производят ограничение выписки электронных счетов-фактур в информационной системе электронных счетов-фактур в случае неисполнения в установленный срок и (или) признания неисполненным уведомления об устранении нарушений, выявленных налоговыми органами по результатам камерального контроля.
2. Ограничение выписки электронных счетов-фактур в информационной системе электронных счетов-фактур производится в течение одного рабочего дня со дня, следующего за днем неисполнения в установленный срок и (или) признания неисполненным уведомления об устранении нарушений, выявленных налоговыми органами по результатам камерального контроля, по нарушениям с высокой степенью риска, на основании решения об ограничении выписки электронных счетов-фактур, вынесенного в порядке и по форме, которые установлены уполномоченным органом.
3. Решение об ограничении выписки электронных счетов-фактур направляется в течение одного рабочего дня, следующего за днем принятия решения, указанного в пункте 2 настоящей статьи, одним из следующих способов:
1) по почте заказным письмом с уведомлением;
2) электронным способом в веб-приложение и (или) личный кабинет пользователя на веб-портале «электронного правительства» и (или) информационную систему электронных счетов-фактур;
3) налогоплательщику под роспись.
4. Налоговые органы производят отмену ограничения выписки электронных счетов-фактур в информационной системе электронных счетов-фактур в течение одного рабочего дня со дня исполнения уведомления об устранении нарушений, выявленных налоговыми органами по результатам камерального контроля, по нарушениям с высокой степенью риска путем вынесения решения об отмене ограничения в порядке и по форме, которые установлены уполномоченным органом.
5. Обжалование налогоплательщиком решения об ограничении выписки электронных счетов-фактур не приостанавливает его действие.
Сноска. Глава 13 дополнена статьей 120-1 в соответствии с Законом РК от 21.12.2022 № 165-VII (вводится в действие с 01.01.2023); с изменением, внесенным Законом РК от 12.12.2023 № 45-VIII (вводится в действие по истечении шестидесяти календарных дней после дня его первого официального опубликования).
Глава 14. МЕРЫ ПРИНУДИТЕЛЬНОГО ВЗЫСКАНИЯ НАЛОГОВОЙ ЗАДОЛЖЕННОСТИ
Статья 121. Меры принудительного взыскания налоговой задолженности
1. Налоговые органы применяют меры принудительного взыскания налоговой задолженности налогоплательщика – юридического лица, структурного подразделения юридического лица, нерезидента, осуществляющего деятельность в Республике Казахстан через постоянное учреждение, индивидуального предпринимателя, лица, занимающегося частной практикой, кроме случаев обжалования уведомления о результатах проверки или уведомления о результатах горизонтального мониторинга.
При взыскании налоговой задолженности налогоплательщика, осуществляющего деятельность по соглашению о разделе продукции в составе простого товарищества (консорциума) в случаях, когда исполнение налоговых обязательств возложено на оператора в соответствии с подпунктом 2) пункта 3 статьи 722 настоящего Кодекса, меры принудительного взыскания, предусмотренные настоящей главой, применяются в отношении налогоплательщика и (или) оператора.
2. Применение мер принудительного взыскания налоговой задолженности производится с учетом результатов системы управления рисками.
До начала применения мер принудительного взыскания налогоплательщику со средним и высоким уровнями риска направляется уведомление о погашении налоговой задолженности, за исключением случаев, установленных пунктом 4 настоящей статьи.
Применение к налогоплательщику (налоговому агенту) мер принудительного взыскания налоговой задолженности осуществляется в сроки, предусмотренные настоящей главой, в зависимости от уровня риска, к которому отнесен налогоплательщик на дату образования у него налоговой задолженности или на дату перехода налогоплательщика из категории низкого уровня риска в категорию среднего или высокого уровня риска.
3. Принудительное взыскание налоговой задолженности производится в следующем порядке:
1) за счет денег, находящихся на банковских счетах;
2) со счетов дебиторов;
3) за счет реализации ограниченного в распоряжении имущества;
4) в виде принудительного выпуска объявленных акций.
4. В случае непогашения структурным подразделением юридического лица налоговой задолженности в течение сорока рабочих дней после вручения ему уведомления о погашении налоговой задолженности налоговый орган взыскивает сумму налоговой задолженности путем применения мер принудительного взыскания к налогоплательщику – юридическому лицу, создавшему данное структурное подразделение.
В случае непогашения налоговой задолженности структурного подразделения юридического лица после применения к нему мер принудительного взыскания в порядке, определенном частью первой настоящего пункта, при наличии у юридического лица более одного структурного подразделения налоговый орган применяет меру принудительного взыскания за счет денег, находящихся на банковских счетах одновременно ко всем структурным подразделениям такого юридического лица.
В случае непогашения юридическим лицом налоговой задолженности в течение сорока рабочих дней после вручения ему уведомления о погашении налоговой задолженности налоговый орган взыскивает сумму налоговой задолженности путем применения мер принудительного взыскания к налогоплательщикам – структурным подразделениям юридического лица.
5. Меры принудительного взыскания подлежат отмене в следующих случаях:
1) возбуждения производства по делу о банкротстве – со дня вынесения судом определения о возбуждении производства по делу о банкротстве;
2) применения реабилитационной процедуры в отношении налогоплательщика – со дня вынесения судом определения о возбуждении производства по делу о реабилитации;
3) утверждения судом соглашения о реструктуризации задолженности – со дня вступления в законную силу определения суда об утверждении такого соглашения;
4) принудительной ликвидации банков второго уровня, страховых (перестраховочных) организаций – с даты вступления в законную силу решения суда о принудительной ликвидации;
5) принудительного прекращения деятельности филиалов банков-нерезидентов Республики Казахстан, филиалов страховых (перестраховочных) организаций-нерезидентов Республики Казахстан – с даты принятия уполномоченным органом по регулированию, контролю и надзору финансового рынка и финансовых организаций решения о лишении лицензии.
При этом в случаях, определенных подпунктами 1), 2) и 3) части первой настоящего пункта, по сумме налогового обязательства, которая не включена в реестр требований кредиторов в порядке, определенном законодательством Республики Казахстан о реабилитации и банкротстве, и (или) по сумме налогового обязательства налогоплательщика, не включенной в соглашение о реструктуризации задолженности, утвержденное судом, налоговым органом применяются меры принудительного взыскания в соответствии с положениями настоящей главы.
6. В случае обжалования налогоплательщиком (налоговым агентом) уведомления о погашении налоговой задолженности применение мер принудительного взыскания налоговой задолженности до вынесения решения по результатам рассмотрения жалобы не приостанавливается.
7. Для целей настоящей главы счета государственных учреждений, открытые в центральном уполномоченном органе по исполнению бюджета, приравниваются к банковским счетам, а центральный уполномоченный орган по исполнению бюджета приравнивается к организации, осуществляющей отдельные виды банковских операций.
8. Действовал до 01.01.2019 в соответствии с Законом РК от 25.12.2017 № 121-VI.
Сноска. Статья 121 с изменением, внесенным Законом РК от 10.12.2020 № 382-VI (вводится в действие с 16.12.2020).
Статья 122. Взыскание задолженности в бюджет за счет денег, находящихся на банковских счетах
1. Налоговый орган взыскивает в принудительном порядке с банковских счетов налогоплательщика (налогового агента) суммы налоговой задолженности в случае неуплаты или неполной уплаты сумм налоговой задолженности налогоплательщиком (налоговым агентом), отнесенным в соответствии с системой управления рисками к категории:
высокого уровня риска, – по истечении пяти рабочих дней со дня вручения уведомления о погашении налоговой задолженности;
среднего риска, – по истечении двадцати рабочих дней со дня вручения уведомления о погашении налоговой задолженности.
Положения настоящего пункта не распространяются на банковские счета, по которым в соответствии с Гражданским кодексом Республики Казахстан обращение взыскания не допускается.
2. Взыскание суммы налоговой задолженности с банковских счетов налогоплательщика (налогового агента), открытых в банке второго уровня или организации, осуществляющей отдельные виды банковских операций, производится на основании инкассового распоряжения налогового органа, за исключением суммы денег, являющихся обеспечением по займам, выданным таким банком второго уровня или организацией, осуществляющей отдельные виды банковских операций, в размере непогашенного основного долга указанного займа.
3. Инкассовое распоряжение составляется налоговым органом на основе данных о сумме налоговой задолженности на дату его составления.
4. При исполнении банком второго уровня или организацией, осуществляющей отдельные виды банковских операций, инкассового распоряжения с одного банковского счета налогоплательщика (налогового агента) инкассовые распоряжения, выставленные на другие банковские счета налогоплательщика (налогового агента), открытые им в указанном банке второго уровня или организации, осуществляющей отдельные виды банковских операций, возвращаются в налоговый орган без исполнения, если такие инкассовые распоряжения выставлены той же датой, на ту же сумму, по тому же виду задолженности.
5. При полном исполнении банком второго уровня или организацией, осуществляющей отдельные виды банковских операций, инкассового распоряжения путем списания денег с нескольких банковских счетов налогоплательщика (налогового агента) на общую сумму, указанную в таком инкассовом распоряжении, инкассовые распоряжения на другие банковские счета налогоплательщика (налогового агента), открытые им в указанном банке второго уровня или организации, осуществляющей отдельные виды банковских операций, выставленные той же датой, на ту же сумму, по тому же виду задолженности, возвращаются без исполнения.
6. Инкассовое распоряжение выставляется по форме, утвержденной Национальным Банком Республики Казахстан, и содержит указание на тот банковский счет налогоплательщика (налогового агента), с которого производится взыскание сумм налоговой задолженности.
Налоговый орган направляет инкассовое распоряжение в банки второго уровня или организации, осуществляющие отдельные виды банковских операций, на бумажном носителе или в электронной форме посредством передачи по сети телекоммуникаций. Инкассовое распоряжение в электронной форме формируется в соответствии с форматами, установленными уполномоченным органом по согласованию с Национальным Банком Республики Казахстан.
7. В случае отсутствия денег на банковском счете налогоплательщика (налогового агента) в национальной валюте взыскание налоговой задолженности производится с банковских счетов в иностранной валюте на основании инкассовых распоряжений, выставленных налоговыми органами в национальной валюте.
8. При достаточности денег клиента в банке второго уровня или организации, осуществляющей отдельные виды банковских операций, для удовлетворения всех требований, предъявленных к клиенту, инкассовое распоряжение о взыскании суммы налоговой задолженности исполняется банком второго уровня или организацией, осуществляющей отдельные виды банковских операций, в первоочередном порядке и не позднее одного операционного дня, следующего за днем получения указанного распоряжения, в пределах сумм, имеющихся на банковском счете.
9. В случае отсутствия или недостаточности денег на банковских счетах налогоплательщика (налогового агента) при предъявлении к клиенту нескольких требований банк второго уровня или организация, осуществляющая отдельные виды банковских операций, производит изъятие денег клиента в счет погашения налоговой задолженности по мере поступления денег на такие счета и в порядке очередности, установленной Гражданским кодексом Республики Казахстан.
10. При закрытии банковского счета налогоплательщика (налогового агента) банк второго уровня или организация, осуществляющая отдельные виды банковских операций, в соответствии с законодательством Республики Казахстан возвращает указанное инкассовое распоряжение в соответствующий налоговый орган вместе с уведомлением о закрытии банковского счета налогоплательщика (налогового агента).
11. Инкассовые распоряжения отзываются налоговым органом не позднее одного рабочего дня, следующего за днем погашения налоговой задолженности.
Налоговый орган направляет отзыв инкассового распоряжения в банки второго уровня или организации, осуществляющие отдельные виды банковских операций, на бумажном носителе или в электронной форме посредством передачи по сети телекоммуникаций. Отзыв инкассового распоряжения в электронной форме формируется в соответствии с форматами, установленными уполномоченным органом по согласованию с Национальным Банком Республики Казахстан.
Статья 123. Взыскание суммы налоговой задолженности налогоплательщика (налогового агента) со счетов его дебиторов
1. В случае отсутствия у налогоплательщика (налогового агента), отнесенного в соответствии с системой управления рисками к категории высокого или среднего уровня риска, банковских счетов, а также при непогашении налоговой задолженности после взыскания за счет денег, находящихся на банковских счетах, проведенного в порядке, определенном статьей 122 настоящего Кодекса, налоговый орган в пределах образовавшейся налоговой задолженности обращает взыскание на деньги, находящиеся на банковских счетах третьих лиц, имеющих задолженность перед налогоплательщиком (налоговым агентом) (далее – дебиторы).
2. Налогоплательщик (налоговый агент) обязан не позднее десяти рабочих дней со дня получения уведомления о погашении налоговой задолженности представить в налоговый орган, направивший такое уведомление, список дебиторов с указанием суммы дебиторской задолженности.
При наличии решений судов, вступивших в законную силу, о взыскании с дебиторов сумм задолженности в пользу налогоплательщика (налогового агента) предоставляется также такое решение суда.
При этом в целях выявления дебиторов налогоплательщика (налогового агента) налоговый орган вправе использовать данные информационных систем налоговых органов, а также провести проверку налогоплательщика (налогового агента) по вопросу определения взаиморасчетов между налогоплательщиком (налоговым агентом) и его дебиторами. В ходе проверки налогоплательщика (налогового агента) налоговый орган вправе провести встречную проверку дебиторов.
Налоговый орган не вправе подтверждать суммы дебиторской задолженности, оспариваемые в суде.
В случае погашения налогоплательщиком (налоговым агентом) налоговой задолженности список дебиторов или акт сверки взаиморасчетов не представляется.
3. На основании представленного налогоплательщиком (налоговым агентом) списка дебиторов и (или) сведений о дебиторах, полученных из информационных систем налоговых органов, и (или) акта проверки налогоплательщика (налогового агента), подтверждающего сумму дебиторской задолженности, налоговым органом направляются дебиторам уведомления об обращении взыскания на деньги с их банковских счетов в счет погашения налоговой задолженности налогоплательщика (налогового агента) в пределах сумм дебиторской задолженности.
Не позднее двадцати рабочих дней со дня получения уведомления дебиторы обязаны представить в налоговый орган, направивший уведомление, акт сверки взаиморасчетов, составленный совместно с налогоплательщиком (налоговым агентом), на бумажном или электронном носителе на дату получения уведомления.
Акт сверки взаиморасчетов между налогоплательщиком и его дебитором должен содержать следующие сведения:
1) наименование налогоплательщика (налогового агента) и его дебитора, их идентификационные номера;
2) сумму задолженности дебитора перед налогоплательщиком (налоговым агентом);
3) юридические реквизиты, печать (при ее наличии) и подписи налогоплательщика (налогового агента) и его дебитора либо электронные цифровые подписи налогоплательщика и его дебитора;
4) дату составления акта сверки, которая не должна быть ранее даты получения уведомления о погашении задолженности в бюджет.
4. В случае непредставления дебиторами акта сверки взаиморасчетов в срок, предусмотренный частью второй пункта 3 настоящей статьи, либо неподтверждения суммы дебиторской задолженности налоговым органом проводится налоговая проверка указанных дебиторов. При этом налоговый орган не вправе подтверждать суммы дебиторской задолженности, оспариваемые в суде. В случае отсутствия дебиторской задолженности дебитор одновременно с актом сверки взаиморасчетов представляет в налоговый орган документы, подтверждающие факт погашения задолженности перед налогоплательщиком (налоговым агентом).
5. На основании акта сверки взаиморасчетов и (или) акта проверки дебитора, в том числе встречной проверки, проведенной в соответствии с пунктом 3 настоящей статьи, подтверждающих сумму дебиторской задолженности, и (или) представленного решения суда налоговый орган выставляет на банковские счета дебитора инкассовые распоряжения о взыскании суммы налоговой задолженности налогоплательщика (налогового агента).
В случае погашения дебиторской задолженности, указанной в акте сверки взаиморасчетов между дебитором и налогоплательщиком (налоговым агентом), инкассовые распоряжения о взыскании суммы налоговой задолженности налогоплательщика (налогового агента), выставленные на банковские счета дебитора, подлежат отзыву в течение одного рабочего дня, следующего за днем представления дебитором или налогоплательщиком (налоговым агентом) в налоговый орган акта сверки взаиморасчетов с приложением документов, подтверждающих погашение такой задолженности.
6. Банк второго уровня или организация, осуществляющая отдельные виды банковских операций, дебитора – налогоплательщика обязаны исполнить выставленное налоговым органом инкассовое распоряжение о взыскании суммы налоговой задолженности налогоплательщика (налогового агента) в соответствии с требованиями, установленными статьей 122 настоящего Кодекса.
При этом в случае списания денег с банковских счетов дебитора, открытых в нескольких банках второго уровня или организациях, осуществляющих отдельные виды банковских операций, в размере, превышающем сумму, указанную в инкассовом распоряжении, излишне списанная сумма возвращается налоговым органом дебитору на основании его заявления.
7. Взыскание налоговой задолженности налогоплательщика (налогового агента) со счетов его дебиторов в порядке, определенном настоящей статьей, осуществляется независимо от уровня риска, к которому отнесен дебитор в соответствии с системой управления рисками.
Сноска. Статья 123 с изменениями, внесенными Законом РК от 21.12.2022 № 165-VII (вводится в действие с 01.01.2023).
Статья 124. Взыскание за счет реализации ограниченного в распоряжении имущества налогоплательщика (налогового агента) в счет задолженности в бюджет
1. Налоговый орган в случаях отсутствия или недостаточности у налогоплательщика (налогового агента) — юридического лица, структурного подразделения юридического лица, нерезидента, осуществляющего деятельность в Республике Казахстан через постоянное учреждение, индивидуального предпринимателя, лица, занимающегося частной практикой отнесенного в соответствии с системой управления рисками к категории высокого или среднего уровня риска, денег на банковских счетах и на банковских счетах его дебиторов либо отсутствия у него и (или) у его дебиторов банковских счетов без его согласия выносит постановление об обращении взыскания на ограниченное в распоряжении имущество налогоплательщика (налогового агента).
Постановление об обращении взыскания на ограниченное в распоряжении имущество налогоплательщика (налогового агента) составляется в двух экземплярах по форме, утвержденной уполномоченным органом, один из которых с приложением копии решения об ограничении в распоряжении имуществом и акта описи имущества направляется уполномоченному юридическому лицу.
2. Реализация ограниченного в распоряжении имущества налогоплательщика (налогового агента) в счет налоговой задолженности осуществляется уполномоченным юридическим лицом путем проведения торгов.
Порядок реализации имущества, заложенного налогоплательщиком и (или) третьим лицом, а также ограниченного в распоряжении имущества налогоплательщика (налогового агента) определяется уполномоченным органом.
3. Исключен Законом РК от 10.12.2020 № 382-VI (вводится в действие с 01.01.2021).
Сноска. Статья 124 с изменением, внесенным Законом РК от 10.12.2020 № 382-VI (вводится в действие с 01.01.2021).
Статья 125. Принудительный выпуск объявленных акций налогоплательщика (налогового агента) – акционерного общества с участием государства в уставном капитале
В случае непогашения сумм налоговой задолженности налогоплательщиком (налоговым агентом) – акционерным обществом с участием государства в уставном капитале после принятия всех мер, предусмотренных подпунктами 1), 2) и 3) пункта 3 статьи 121 настоящего Кодекса, уполномоченный орган обращается в суд с исковым заявлением о принудительном выпуске объявленных акций в порядке, определенном законодательством Республики Казахстан.
Сроки исполнения налоговых обязательств по уплате налогов, платежей в бюджет, а также обязательств по уплате пени, штрафов, для погашения которых по решению суда производится принудительный выпуск объявленных акций, приостанавливаются со дня вступления в законную силу решения суда о принудительном выпуске объявленных акций и до окончания их размещения.
Статья 126. Признание налогоплательщика (налогового агента) банкротом
1. В случае непогашения налогоплательщиком (налоговым агентом) суммы задолженности в бюджет после принятия всех мер, предусмотренных статьей 121 настоящего Кодекса, налоговый орган вправе принять меры по признанию его банкротом в соответствии с законодательством Республики Казахстан о реабилитации и банкротстве.
2. Порядок ликвидации налогоплательщика (налогового агента), признанного банкротом, осуществляется в соответствии с законодательством Республики Казахстан о реабилитации и банкротстве.
Статья 127. Публикация в средствах массовой информации списков налогоплательщиков (налоговых агентов), имеющих налоговую задолженность
1. Налоговые органы публикуют в средствах массовой информации список налогоплательщиков (налоговых агентов), имеющих налоговую задолженность, не погашенную в течение четырех месяцев со дня ее возникновения:
индивидуальных предпринимателей, лиц, занимающихся частной практикой, – более 10-кратного размера месячного расчетного показателя, установленного законом о республиканском бюджете и действующего на 1 января соответствующего финансового года;
юридических лиц, их структурных подразделений – более 150-кратного размера месячного расчетного показателя, установленного законом о республиканском бюджете и действующего на 1 января соответствующего финансового года.
При этом в списках указываются фамилия, имя, отчество (если оно указано в документе, удостоверяющем личность) либо наименование налогоплательщика (налогового агента), вид экономической деятельности, идентификационный номер, фамилия, имя, отчество (если оно указано в документе, удостоверяющем личность) руководителя налогоплательщика (налогового агента) и общая сумма налоговой задолженности.
2. Список налогоплательщиков (налоговых агентов), размещенный на интернет-ресурсе уполномоченного органа, обновляется ежеквартально, не позднее 20 числа месяца, следующего за истекшим кварталом, путем включения налогоплательщиков (налоговых агентов), соответствующих указанным в настоящей статье критериям, а также исключения налогоплательщиков (налоговых агентов), которые погасили налоговую задолженность или у которых прекращены налоговые обязательства.
Статья 128. Взыскание налоговой задолженности налогоплательщика – физического лица, не являющегося индивидуальным предпринимателем, лицом, занимающимся частной практикой
1. В случаях неуплаты или неполной уплаты физическим лицом, не являющимся индивидуальным предпринимателем, лицом, занимающимся частной практикой, налоговой задолженности в размере более 1-кратного месячного расчетного показателя, установленного законом о республиканском бюджете и действующего на 1 января соответствующего финансового года, по истечении тридцати рабочих дней со дня вручения уведомления о налоговой задолженности физических лиц налоговый орган выносит налоговый приказ о взыскании задолженности физического лица (далее – налоговый приказ) по форме, установленной уполномоченным органом, и не позднее пяти рабочих дней со дня его вынесения направляет физическому лицу.
2. При непогашении физическим лицом налоговой задолженности налоговый орган не позднее пяти рабочих дней со дня вручения налогового приказа, подлежащего вручению физическому лицу в порядке, установленном пунктом 1 статьи 115 настоящего Кодекса, направляет такой налоговый приказ в соответствующие органы юстиции по территориальности либо региональную палату частных судебных исполнителей для принудительного исполнения в порядке, определенном законодательством Республики Казахстан об исполнительном производстве и статусе судебных исполнителей.
3. Налоговый приказ отменяется вынесшим его налоговым органом в случаях:
1) погашения физическим лицом налоговой задолженности – не позднее одного рабочего дня со дня погашения налоговой задолженности;
2) если налоговая задолженность, за непогашение которой вынесен налоговый приказ, образована в результате некорректного исчисления (начисления) налогов – не позднее одного рабочего дня со дня внесения корректировок в лицевой счет налогоплательщика;
3) нарушения порядка вынесения налогового приказа, установленного настоящей статьей, – не позднее трех рабочих дней со дня выявления такого факта.
4) применения в отношении физического лица процедуры судебного банкротства в соответствии с Законом Республики Казахстан «О восстановлении платежеспособности и банкротстве граждан Республики Казахстан» – со дня вынесения судом решения о применении процедуры судебного банкротства;
5) применения в отношении физического лица процедуры восстановления платежеспособности в соответствии с Законом Республики Казахстан «О восстановлении платежеспособности и банкротстве граждан Республики Казахстан» – со дня вынесения судом решения о применении процедуры восстановления платежеспособности.
Сноска. Статья 128 с изменениями, внесенными законами РК от 10.12.2020 № 382-VI (вводится в действие с 01.01.2021); от 20.03.2023 № 213-VII (порядок введения в действие см. ст. 2).
Глава 15. НАЛОГОВЫЙ МОНИТОРИНГ
Статья 129. Общие положения
1. Налоговый мониторинг осуществляется путем анализа финансово-хозяйственной деятельности налогоплательщиков с целью определения их реальной налогооблагаемой базы, контроля соблюдения налогового законодательства Республики Казахстан и применяемых рыночных цен в целях осуществления контроля при трансфертном ценообразовании.
2. Налоговый мониторинг состоит из:
1) мониторинга крупных налогоплательщиков;
2) горизонтального мониторинга.
Статья 130. Мониторинг крупных налогоплательщиков
1. Мониторингу крупных налогоплательщиков подлежат налогоплательщики, являющиеся коммерческими организациями, за исключением государственных предприятий, имеющие наибольший совокупный годовой доход без учета корректировки, предусмотренной статьей 241 настоящего Кодекса, при одновременном соответствии следующим условиям, если иное не установлено настоящим пунктом:
1) сумма стоимостных балансов фиксированных активов на конец налогового периода составляет не менее 325 000-кратного месячного расчетного показателя, установленного законом о республиканском бюджете и действующего на конец года, в котором подлежит утверждению перечень налогоплательщиков, подлежащих мониторингу крупных налогоплательщиков;
2) численность работников составляет не менее 250 человек.
Для целей настоящей статьи:
1) совокупный годовой доход без учета корректировки, предусмотренной статьей 241 настоящего Кодекса, определяется на основании данных декларации по корпоративному подоходному налогу за налоговый период, предшествующий году, в котором подлежит утверждению перечень налогоплательщиков, подлежащих мониторингу крупных налогоплательщиков;
2) сумма стоимостных балансов фиксированных активов определяется на основании налоговой отчетности за год, предшествующий году, в котором подлежит утверждению перечень налогоплательщиков, подлежащих мониторингу крупных налогоплательщиков;
3) численность работников определяется на основании данных декларации по индивидуальному подоходному налогу и социальному налогу за последний месяц первого квартала года, в котором подлежит утверждению перечень налогоплательщиков, подлежащих мониторингу крупных налогоплательщиков.
Вне зависимости от соблюдения условий, установленных настоящим пунктом, подлежат мониторингу крупных налогоплательщиков:
1) поверенное лицо (оператор) и (или) недропользователь (недропользователи), указанные в соглашении (контракте) о разделе продукции, заключенном между Правительством Республики Казахстан или компетентным органом и недропользователем до 1 января 2009 года и прошедшем обязательную налоговую экспертизу, имеющие наибольший совокупный годовой доход без учета корректировки, предусмотренной статьей 241 настоящего Кодекса, и (или) осуществляющие деятельность на нефтегазоконденсатном или морском месторождении в соответствии с указанными соглашениями (контрактами);
1-1) налогоплательщики, ежегодная сумма уплаченных налогов которых составляет не менее 2 000 000-кратного размера месячного расчетного показателя, установленного законом о республиканском бюджете и действующего на конец года, в котором подлежит утверждению перечень налогоплательщиков, подлежащих мониторингу крупных налогоплательщиков.
При этом ежегодная сумма уплаченных налогов определяется за каждый из трех календарных лет, предшествующих году, в котором подлежит утверждению перечень налогоплательщиков, подлежащих мониторингу крупных налогоплательщиков;
2) недропользователь, который на 1 октября года, предшествующего году введения в действие перечня налогоплательщиков, подлежащих мониторингу крупных налогоплательщиков, соответствует следующим условиям:
с недропользователем заключен контракт на разведку, добычу, совмещенную разведку и добычу полезных ископаемых, за исключением контрактов на разведку, добычу общераспространенных полезных ископаемых и подземных вод;
недропользователь отнесен к категории градообразующих юридических лиц в соответствии с перечнем, утверждаемым уполномоченным органом по региональному развитию.
2. В перечень налогоплательщиков, подлежащих мониторингу крупных налогоплательщиков, включаются:
1) первые триста крупных налогоплательщиков, имеющих наибольший совокупный годовой доход без учета корректировки, предусмотренной статьей 241 настоящего Кодекса, из крупных налогоплательщиков, соответствующих условиям, установленным частью первой пункта 1 настоящей статьи;
2) налогоплательщики, указанные в части третьей пункта 1 настоящей статьи.
3. Перечень налогоплательщиков, подлежащих мониторингу крупных налогоплательщиков, формируется на основе данных налоговой отчетности, представленной по состоянию на 1 октября года, предшествующего году введения в действие указанного перечня, и утверждается уполномоченным органом не позднее 31 декабря года, предшествующего году введения в действие указанного перечня.
В случае, если по состоянию на 1 октября года, предшествующего году введения в действие перечня налогоплательщиков, подлежащих мониторингу крупных налогоплательщиков, налогоплательщик, соответствующий требованиям, установленным пунктом 1 настоящей статьи, находится на стадии ликвидации, такой налогоплательщик не подлежит включению в данный перечень.
Утвержденный перечень налогоплательщиков, подлежащих мониторингу крупных налогоплательщиков, вводится в действие не ранее 1 января года, следующего за годом его утверждения, и действует в течение двух лет со дня введения его в действие. Данный перечень не подлежит пересмотру в течение периода его действия, за исключением случаев изменения условий, при которых налогоплательщики подлежат мониторингу крупных налогоплательщиков в соответствии с пунктом 1 настоящей статьи.
4. В случае реорганизации налогоплательщика, подлежащего мониторингу крупных налогоплательщиков, его правопреемник (правопреемники) подлежит (подлежат) мониторингу крупных налогоплательщиков до введения в действие последующего перечня налогоплательщиков, подлежащих мониторингу крупных налогоплательщиков.
5. В случае ликвидации налогоплательщика, подлежащего мониторингу крупных налогоплательщиков, а также со дня вступления в законную силу решения суда о признании его банкротом данный налогоплательщик признается исключенным из перечня налогоплательщиков, подлежащих мониторингу крупных налогоплательщиков.
Сноска. Статья 130 с изменениями, внесенными Законом РК от 02.04.2019 № 241-VI (вводится в действие с 01.01.2018).
Статья 131. Горизонтальный мониторинг
1. Горизонтальный мониторинг предусматривает обмен информацией и документами между уполномоченным органом и налогоплательщиком, который основывается на принципах:
сотрудничества;
обоснованного доверия;
законности;
прозрачности;
расширенного информационного взаимодействия.
Форма соглашения о горизонтальном мониторинге устанавливается уполномоченным органом.
2. Горизонтальный мониторинг проводится с 1 января года, следующего за годом заключения соглашения о горизонтальном мониторинге, и действует в течение трех лет с возможностью его продления.
При этом порядок заключения и расторжения соглашения о горизонтальном мониторинге, а также категории налогоплательщиков, с которыми заключается соглашение о горизонтальном мониторинге, устанавливаются уполномоченным органом.
Налогоплательщики, подлежащие горизонтальному мониторингу, с 1 января года, следующего за годом заключения соглашения о горизонтальном мониторинге, не являются налогоплательщиками, подлежащими мониторингу крупных налогоплательщиков.
3. Производство по делу об административном правонарушении за нарушение налогоплательщиком налогового законодательства Республики Казахстан не может быть начато, а начатое подлежит прекращению при установлении факта такого нарушения по результатам:
1) горизонтального мониторинга при одновременном соблюдении следующих условий:
согласие налогоплательщика, состоящего на горизонтальном мониторинге, с уведомлением по результатам горизонтального мониторинга;
отсутствие факта обжалования в судебном порядке уведомления по результатам горизонтального мониторинга;
2) налоговой проверки за период нахождения налогоплательщика на горизонтальном мониторинге.
Статья 132. Порядок проведения мониторинга крупных налогоплательщиков
1. В ходе проведения мониторинга крупных налогоплательщиков уполномоченный орган вправе требовать у налогоплательщиков, подлежащих мониторингу крупных налогоплательщиков, представления документов и письменных пояснений, подтверждающих правильность исчисления налогов и своевременность уплаты (удержания и перечисления) налогов и платежей в бюджет, а также финансовой отчетности налогоплательщика (налогового агента), включая финансовую отчетность его дочерних организаций.
При этом данное требование должно быть исполнено налогоплательщиками, подлежащими мониторингу крупных налогоплательщиков, в течение тридцати календарных дней со дня, следующего за днем вручения требования.
2. В случае выявления нарушений и расхождений по результатам мониторинга крупных налогоплательщиков уполномоченный орган извещает о них налогоплательщика, подлежащего мониторингу крупных налогоплательщиков.
При этом налогоплательщик, подлежащий мониторингу крупных налогоплательщиков, обязан представить письменное пояснение в течение пятнадцати календарных дней со дня, следующего за днем вручения (получения) такого извещения.
В случае несогласия с представленным пояснением уполномоченный орган вправе приглашать такого налогоплательщика, подлежащего мониторингу крупных налогоплательщиков, для обсуждения возникших вопросов с представлением дополнительных документов и пояснений.
По итогам рассмотрения результатов мониторинга уполномоченный орган выносит мотивированное решение в письменном виде, которое направляется в течение двух рабочих дней с момента его вынесения налогоплательщику, подлежащему мониторингу крупных налогоплательщиков.
Извещение о согласии с решением налогоплательщик, подлежащий мониторингу крупных налогоплательщиков, представляет в течение пяти рабочих дней со дня его вручения.
3. Требование, извещение или мотивированное решение, указанные в настоящей статье, должны быть вручены налогоплательщику лично под роспись или иным способом, подтверждающим факт отправки и получения, если иное не установлено настоящей статьей.
При этом требование, извещение или мотивированное решение, направленные одним из нижеперечисленных способов, считаются врученными налогоплательщику в следующих случаях:
1) по почте заказным письмом с уведомлением – с даты отметки налогоплательщиком в уведомлении почтовой или иной организации связи.
При этом такое требование, извещение или мотивированное решение должны быть доставлены почтовой или иной организацией связи в срок не позднее десяти рабочих дней с даты отметки о приеме почтовой или иной организацией связи;
2) электронным способом:
с даты доставки требования, извещения или мотивированного решения налоговым органом в веб-приложение.
Данный способ распространяется на налогоплательщика, взаимодействующего с налоговыми органами электронным способом в соответствии с законодательством Республики Казахстан об электронном документе и электронной цифровой подписи;
с даты доставки требования, извещения или мотивированного решения в личный кабинет пользователя на веб-портале «электронного правительства».
Данный способ распространяется на налогоплательщика, зарегистрированного на веб-портале «электронного правительства».
Формы требования, извещения и мотивированного решения утверждаются уполномоченным органом.
Сноска. Статья 132 с изменениями, внесенными законами РК от 10.12.2020 № 382-VI (вводится в действие с 01.01.2021); от 21.12.2022 № 165-VII (вводится в действие с 01.01.2024).
Статья 133. Порядок проведения горизонтального мониторинга
Горизонтальный мониторинг осуществляется путем расширенного информационного взаимодействия между налоговым органом и налогоплательщиком, в том числе предусматривающего предоставление должностным лицам налогового органа доступа к информационным системам бухгалтерского и налогового учетов и учетной документации налогоплательщика по месту его нахождения.
При этом порядок проведения горизонтального мониторинга определяется уполномоченным органом.
Глава 16. ПРЕДВАРИТЕЛЬНОЕ РАЗЪЯСНЕНИЕ
Статья 134. Общие положения
1. Предварительным разъяснением является разъяснение уполномоченного органа по возникновению налогового обязательства в отношении планируемых сделок (операций).
Предварительное разъяснение предоставляется уполномоченным органом по запросу:
налогоплательщика, состоящего на горизонтальном мониторинге;
организации, реализующей инвестиционный приоритетный проект.
2. Запрос о предоставлении предварительного разъяснения подается налогоплательщиком (налоговым агентом) в уполномоченный орган в письменной форме и должен содержать следующие сведения:
1) дату подписания запроса налогоплательщиком (налоговым агентом);
2) реквизиты налогоплательщика;
3) бизнес-идентификационный номер (БИН);
4) описание цели и условий сделки (операции), в том числе прав и обязанностей сторон по планируемой сделке (операции);
5) позицию налогоплательщика (налогового агента) по вопросу исчисления налогов и платежей в бюджет в отношении планируемой сделки (операции);
6) перечень прилагаемых документов.
3. В запросе о предоставлении предварительного разъяснения могут быть указаны и иные сведения, имеющие значение для подготовки такого разъяснения.
4. Запрос о предоставлении предварительного разъяснения подписывается руководителем юридического лица или лицом, на которое возложены обязанности руководителя такого юридического лица (с приложением подтверждающих документов).
5. К запросу о предоставлении предварительного разъяснения прилагаются документы, подтверждающие сведения, указанные в таком запросе.
6. Налогоплательщик (налоговый агент) вправе произвести отзыв запроса о предоставлении предварительного разъяснения в период с даты направления такого запроса в уполномоченный орган до даты предоставления уполномоченным органом предварительного разъяснения.
7. Уполномоченный орган вправе отказать в рассмотрении запроса налогоплательщика (налогового агента) о предоставлении предварительного разъяснения при несоответствии такого запроса требованиям, установленным пунктами 2, 4 и 5 настоящей статьи.
Статья 135. Порядок рассмотрения запроса о предоставлении предварительного разъяснения
1. Рассмотрение запроса о предоставлении предварительного разъяснения осуществляется в порядке, определенном Законом Республики Казахстан «О порядке рассмотрения обращений физических и юридических лиц».
2. В ходе подготовки предварительного разъяснения уполномоченный орган вправе приглашать налогоплательщика для получения дополнительных сведений, имеющих значение для подготовки предварительного разъяснения.
3. Предварительное разъяснение осуществляется в пределах сведений и документов, представленных налогоплательщиком.
Глава 17. СИСТЕМА УПРАВЛЕНИЯ РИСКАМИ
Статья 136. Общие положения
1. Система управления рисками основана на оценке степени (уровня) рисков и включает меры, вырабатываемые и (или) применяемые налоговыми органами в целях выявления и предупреждения риска.
2. Риском является вероятность неисполнения и (или) неполного исполнения налогового обязательства налогоплательщиком (налоговым агентом), которые могли и (или) могут нанести ущерб государству.
3. Цели применения системы управления рисками:
1) сосредоточение внимания на сферах повышенного риска и обеспечение более эффективного использования имеющихся в распоряжении ресурсов;
2) увеличение возможностей по выявлению нарушений налогового и иного законодательства Республики Казахстан, контроль за исполнением которого возложен на налоговые органы;
3) минимизация налогового контроля в отношении налогоплательщиков (налоговых агентов), по которым определена низкая степень риска;
4) дифференцированное применение мер и способов налогового администрирования в зависимости от степени риска.
4. Оценка степени (уровня) рисков осуществляется на основе анализа данных налоговой отчетности, представленной налогоплательщиками (налоговыми агентами), сведений, полученных от уполномоченных государственных органов, организаций, местных исполнительных органов, уполномоченных лиц, а также других документов и (или) сведений о деятельности налогоплательщика (налогового агента).
5. Области применения системы управления рисками:
1) отбор субъектов (объектов) периодической налоговой проверки на основе оценки степени риска;
2) категорирование налогоплательщиков (налоговых агентов) путем отнесения их к категориям низкой, средней или высокой степени риска в случаях, установленных настоящим Кодексом;
3) подтверждение достоверности суммы превышения налога на добавленную стоимость;
4) определение степени риска нарушения, выявленного по результатам камерального контроля;
5) иные формы налогового администрирования.
6. Система управления рисками осуществляется с применением информационных систем.
Сноска. Статья 136 — в редакции Закона РК от 20.12.2021 № 85-VII (вводится в действие с 01.01.2022); с изменением, внесенным Законом РК от 21.12.2022 № 165-VII (вводится в действие с 01.01.2023).
Статья 137. Критерии риска
1. Критериями риска является совокупность признаков, по которым производится оценка степени (уровня) риска.
Критерии риска и порядок применения системы управления рисками определяются налоговым органом и являются конфиденциальной информацией, не подлежащей разглашению (в том числе налогоплательщику, по которому произведена оценка степени (уровня) риска), за исключением случаев, установленных пунктами 2 и 3 настоящей статьи.
2. Критерии риска и порядок применения системы управления рисками в целях подпункта 3) пункта 5 статьи 136 настоящего Кодекса определяются уполномоченным органом.
3. В целях реализации подпунктов 1) и 2) пункта 5 статьи 136 настоящего Кодекса наряду с конфиденциальными критериями применяются критерии, не являющиеся конфиденциальной информацией. Критерии риска и порядок применения системы управления рисками по таким критериям определяются уполномоченным органом.
Сноска. Статья 137 — в редакции Закона РК от 20.12.2021 № 85-VII (вводится в действие с 01.01.2022); с изменением, внесенным Законом РК от 21.12.2022 № 165-VII (вводится в действие с 01.01.2023).
Глава 18. НАЛОГОВЫЕ ПРОВЕРКИ
Параграф 1. Общие положения по проведению налоговых проверок
Статья 138. Понятие налоговой проверки
1. Налоговой проверкой является проверка, осуществляемая налоговым органом, исполнения норм налогового законодательства Республики Казахстан, а также иного законодательства Республики Казахстан, контроль за исполнением которого возложен на налоговые органы.
2. Налоговые проверки осуществляются исключительно налоговыми органами.
Сноска. Статья 138 с изменением, внесенным Законом РК от 02.01.2021 № 402-VI (вводится в действие с 01.01.2022).
Статья 139. Участники налоговых проверок
1. Участниками налоговых проверок являются:
1) указанные в предписании должностные лица налогового органа и иные лица, привлекаемые налоговым органом к проведению налоговой проверки в соответствии с настоящим Кодексом;
2) по налоговым проверкам следующие проверяемые лица:
при тематических проверках по вопросам, указанным в подпунктах 12) – 18) пункта 1 статьи 142 настоящего Кодекса, – налогоплательщик, в том числе государств-членов Евразийского экономического союза и государств, не являющихся членами Евразийского экономического союза, на участке территории, указанном в предписании;
при других формах налоговых проверок – налогоплательщик (налоговый агент), указанный в предписании.
2. Для исследования вопросов, требующих специальных знаний и навыков, и получения консультаций налоговый орган вправе привлекать к налоговой проверке специалиста, обладающего такими специальными знаниями и навыками, в том числе должностных лиц других государственных органов Республики Казахстан.
По письменным вопросам, поставленным должностным лицом налогового органа, являющимся участником налоговой проверки, специалист, привлеченный к проверке, составляет заключение, которое используется в ходе налоговой проверки. Копии таких письменных вопросов и заключения прилагаются к акту налоговой проверки, в том числе к экземпляру акта соответствующей проверки, вручаемому налогоплательщику (налоговому агенту).
3. Налоговая проверка осуществляется также в отношении лиц, располагающих документами, информацией, касающимися деятельности проверяемого налогоплательщика (налогового агента), в том числе уполномоченного представителя участников простого товарищества (консорциума), ответственного за ведение сводного налогового учета по такой деятельности, для получения сведений о проверяемом налогоплательщике (налоговом агенте) по вопросам, связанным с предпринимательской деятельностью проверяемого налогоплательщика (налогового агента).
4. С целью отбора налогоплательщика (налогового агента) для проведения налоговых проверок налоговые органы вправе применять систему управления рисками.
Сноска. Статья 139 с изменением, внесенным Законом РК от 10.12.2020 № 382-VI (вводится в действие с 01.01.2021).
Статья 140. Формы налоговых проверок
1. Налоговые проверки осуществляются в форме комплексной, тематической, встречной проверки, хронометражного обследования.
2. Проведение налоговой проверки не должно приостанавливать деятельность налогоплательщика (налогового агента), за исключением случаев, установленных законами Республики Казахстан.
3. Налоговые органы вправе осуществлять налоговые проверки структурных подразделений юридического лица независимо от проведения налоговой проверки самого юридического лица.
4. В случае выявления по результатам камерального контроля нарушений по действию (действиям) по выписке счета-фактуры, совершение которого (которых) признано судом осуществленным (осуществленными) без фактического выполнения работ, оказания услуг, отгрузки товаров, налоговые органы не вправе осуществлять тематические проверки по данному вопросу до:
направления налогоплательщику (налоговому агенту) уведомления об устранении нарушений, выявленных по результатам камерального контроля;
истечения срока по исполнению уведомления об устранении нарушений, выявленных по результатам камерального контроля, установленного пунктом 5 статьи 115 настоящего Кодекса.
5. Период, подлежащий налоговой проверке, не должен превышать срок, исчисляемый в порядке, определенном статьей 48 настоящего Кодекса.
При этом встречная проверка может осуществляться за период, который соответствует проверяемому периоду при проведении комплексной или тематической проверки налогоплательщика (налогового агента) в рамках которой назначена такая встречная проверка.
6. В случае назначения комплексной проверки, тематической проверки по отдельным видам налогов и (или) платежей в бюджет при определении проверяемого периода не включается налоговый период, охваченный аудитом по налогам.
Положение настоящего пункта не распространяется на налоговые проверки, указанные в подпунктах 2) – 24) пункта 1 статьи 142, абзацах втором – четвертом подпункта 1), подпунктах 2) – 12) пункта 3 статьи 145 настоящего Кодекса, а также в отношении налогоплательщиков, подлежащих налоговому мониторингу, недропользователей, налогоплательщиков, осуществляющих виды деятельности по производству и обороту отдельных видов подакцизной продукции, биотоплива.
7. Налоговые органы вправе направлять запросы лицам, осуществлявшим операции с налогоплательщиком (налоговым агентом), в отношении которого налоговым органом проводится комплексная или тематическая проверка, с целью получения от указанных лиц дополнительной информации о таких операциях.
Порядок направления запросов, указанных в настоящем пункте, а также представления лицами сведений и (или) документов по таким запросам определяется уполномоченным органом.
Сноска. Статья 140 с изменением, внесенным Законом РК от 10.12.2020 № 382-VI (вводится в действие с 01.01.2021).
Статья 141. Комплексная проверка
1. Комплексной проверкой является проверка, проводимая налоговым органом в отношении налогоплательщика (налогового агента), по вопросам исполнения налогового обязательства по всем видам налогов, платежей в бюджет и социальных платежей.
2. В комплексную проверку могут быть включены вопросы тематических проверок, в том числе вопросы:
исполнения банками и организациями, осуществляющими отдельные виды банковских операций, обязанностей, установленных настоящим Кодексом, а также Социальным кодексом Республики Казахстан и Законом Республики Казахстан «Об обязательном социальном медицинском страховании;
правомерности применения положений международных договоров (соглашений);
трансфертного ценообразования;
государственного регулирования производства и оборота отдельных видов подакцизных товаров, а также оборота авиационного топлива, биотоплива, мазута;
иные вопросы по соблюдению законодательства Республики Казахстан, контроль за исполнением, которого возложен на налоговые органы.
3. Налоговые проверки при ликвидации (прекращении деятельности) налогоплательщика (структурного подразделения юридического лица) проводятся исключительно в форме комплексной проверки (далее – ликвидационная налоговая проверка).
При снятии с учетной регистрации структурного подразделения юридического лица-резидента комплексная проверка не проводится, за исключением случаев представления налогоплательщиком заявления на проведение такой проверки.
Статья 142. Тематическая проверка
1. Тематической проверкой является проверка, проводимая налоговым органом в отношении налогоплательщика (налогового агента), по вопросам:
1) исполнения налогового обязательства по отдельным видам налогов и (или) платежей в бюджет;
2) исполнения налогового обязательства по налогу на добавленную стоимость и (или) акцизу по товарам, импортированным на территорию Республики Казахстан с территории государств-членов Евразийского экономического союза;
3) определения налогового обязательства по действию (действиям) по выписке счета-фактуры, совершение которого (которых) признано судом осуществленным (осуществленными) без фактического выполнения работ, оказания услуг, отгрузки товаров;
3-1) определения налогового обязательства по взаиморасчетам с налогоплательщиком (налогоплательщиками), в отношении которого (которых) проводится досудебное расследование по факту совершения действий по выписке счета-фактуры без фактического выполнения работ, оказания услуг, отгрузки товаров;
3-2) определения налогового обязательства по взаиморасчетам с налогоплательщиком (налогоплательщиками), в отношении которого (которых) налоговым органом применены ограничения, предусмотренные статьей 120-1 настоящего Кодекса;
4) определения взаиморасчетов между налогоплательщиком и его дебиторами;
5) правомерности применения положений международных договоров (соглашений);
6) подтверждения достоверности сумм превышения налога на добавленную стоимость, в том числе предъявленных к возврату;
7) подтверждения предъявленного нерезидентом к возврату подоходного налога из бюджета в связи с применением положений международного договора, регулирующего вопросы избежания двойного налогообложения и предотвращения уклонения от уплаты налогов;
8) изложенным в обращении нерезидента, о повторном рассмотрении налогового заявления на возврат подоходного налога из бюджета в связи с применением положений международного договора, регулирующего вопросы избежания двойного налогообложения и предотвращения уклонения от уплаты налогов;
9) подтверждения наличия нарушений, указанных в уведомлении налоговых органов об устранении нарушений, выявленных по результатам камерального контроля, в порядке, определенном статьей 96 настоящего Кодекса;
10) исполнения требований, предусмотренных статьей 29 настоящего Кодекса;
11) изложенным в жалобе налогоплательщика (налогового агента) на уведомление о результатах проверки;
12) постановки на регистрационный учет в налоговых органах;
13) наличия контрольно-кассовых машин или трехкомпонентной интегрированной системы;
14) наличия оборудования (устройства), предназначенного для осуществления платежей с использованием платежных карточек;
15) наличия сопроводительных накладных на товары и соответствия наименования, количества (объема) товаров сведениям, указанным в сопроводительных накладных на товары:
при перемещении, реализации и (или) отгрузке товаров по территории Республики Казахстан, в том числе осуществляемых международными автомобильными перевозками между государствами-членами Евразийского экономического союза;
при ввозе товаров на территорию Республики Казахстан с территории государств, не являющихся членами Евразийского экономического союза, и государств-членов Евразийского экономического союза;
при вывозе товаров с территории Республики Казахстан на территорию государств, не являющихся членами Евразийского экономического союза, и государств-членов Евразийского экономического союза;
16) наличия документов, предусмотренных нормативными правовыми актами Республики Казахстан, принятыми в реализацию международных договоров, ратифицированных Республикой Казахстан, при вывозе товаров с территории Республики Казахстан на территорию государств-членов Евразийского экономического союза и соответствия товаров сведениям, указанным в документах;
17) наличия и подлинности средств идентификации и учетно-контрольных марок, наличия лицензии;
18) наличия товарно-транспортных накладных на импортируемые товары и соответствия наименования товаров сведениям, указанным в товарно-транспортных накладных, при проверке автотранспортных средств на постах транспортного контроля или дорожной полиции;
19) соблюдения порядка применения контрольно-кассовых машин;
20) соблюдения законодательства Республики Казахстан о разрешениях и уведомлениях и условий производства, хранения и реализации отдельных видов подакцизных товаров;
21) исполнения распоряжения, вынесенного налоговым органом, о приостановлении расходных операций по кассе;
22) соблюдения порядка выписки счетов-фактур в электронной форме;
23) подтверждения наличия остатков товаров, включенных в перечень товаров, к которым применяются пониженные ставки таможенных пошлин в связи с присоединением Республики Казахстан к Всемирной торговой организации;
24) неисполнения решения в рамках мониторинга крупных налогоплательщиков;
25) наличия и подлинности на товаре средства идентификации по товарам, подлежащим обязательной маркировке в соответствии с международными договорами и (или) законодательством Республики Казахстан.
2. Тематическая проверка может также проводиться по следующим вопросам:
1) полноты и своевременности исчисления, удержания и перечисления социальных платежей;
2) исполнения банками и организациями, осуществляющими отдельные виды банковских операций, обязанностей, установленных настоящим Кодексом, а также Социальным кодексом Республики Казахстан и Законом Республики Казахстан «Об обязательном социальном медицинском страховании;
3) трансфертного ценообразования;
4) государственного регулирования производства и оборота отдельных видов подакцизных товаров, а также оборота авиационного топлива, биотоплива, мазута.
3. Тематическая проверка может проводиться одновременно по нескольким вопросам, указанным в пунктах 1 и 2 настоящей статьи. Тематическая проверка не может предусматривать проведение проверки исполнения обязательства по всем видам налогов и платежей в бюджет.
4. По согласованию с объединениями субъектов частного предпринимательства представители таких объединений могут быть привлечены для участия при проведении тематических проверок по вопросам, указанным в подпунктах 12) – 18) пункта 1 настоящей статьи.
Представители объединений субъектов частного предпринимательства осуществляют контроль за соблюдением прав налогоплательщика при проведении указанных тематических проверок. В акте тематической проверки фиксируется факт участия представителей объединений субъектов частного предпринимательства.
5. На основании решения налогового органа по месту нахождения, указанному в регистрационных данных налогоплательщика, и (или) по месту нахождения объекта налогообложения и (или) объекта, связанного с налогообложением, назначаются тематические проверки по вопросам, указанным в подпунктах 12) – 23) пункта 1 настоящей статьи, в порядке, определяемом уполномоченным органом.
6. Тематическая проверка проводится одновременно по вопросам, указанным в подпунктах 1) и 6) пункта 1 настоящей статьи, при назначении по основаниям, указанным в подпунктах 2) или 7) пункта 3 статьи 145 настоящего Кодекса.
Сноска. Статья 142 с изменениями, внесенными законами РК от 02.04.2019 № 241-VI (вводится в действие по истечении десяти календарных дней после дня его первого официального опубликования); от 10.12.2020 № 382-VI (вводится в действие с 01.01.2021); от 20.12.2021 № 85-VII (вводится в действие с 01.01.2022); от 12.12.2023 № 45-VIII (вводится в действие по истечении шестидесяти календарных дней после дня его первого официального опубликования).
Статья 143. Встречная проверка
1. Встречной проверкой является проверка налоговым органом лиц, осуществлявших операции с налогоплательщиком (налоговым агентом), в отношении которого налоговым органом проводится комплексная или тематическая проверка, с целью получения дополнительной информации о таких операциях, подтверждения факта и содержания операций, по вопросам, возникающим в ходе проверки указанного налогоплательщика (налогового агента).
2. Встречная проверка является вспомогательной по отношению к комплексной или тематической проверке.
Встречные проверки назначаются в порядке, определяемом уполномоченным органом.
3. Встречной проверкой также признается проверка, проводимая:
по запросам налоговых или правоохранительных органов других государств, международных организаций в соответствии с международными договорами (соглашениями) о взаимном сотрудничестве между налоговыми или правоохранительными органами, одной из сторон которых является Республика Казахстан, а также договорами, заключенными Республикой Казахстан с международными организациями;
в отношении лиц, осуществлявших операции с налогоплательщиком (налоговым агентом), которыми не устранены нарушения по налоговому обязательству по налогу на добавленную стоимость, выявленные по результатам камерального контроля и связанные с такими операциями, либо представлены пояснения, не подтверждающие отсутствие таких нарушений.
Статья 144. Хронометражное обследование
1. Хронометражным обследованием является проверка, проводимая налоговым органом с целью установления фактического дохода налогоплательщика и фактических затрат, связанных с деятельностью, направленной на получение дохода, за период, в течение которого проводится обследование.
2. Решение о проведении хронометражного обследования выносится налоговым органом по месту нахождения, указанному в регистрационных данных налогоплательщика, и (или) по месту нахождения объекта налогообложения и (или) объекта, связанного с налогообложением, в порядке, определяемом уполномоченным органом.
Статья 145. Виды налоговых проверок
1.Налоговые проверки подразделяются на следующие виды:
1) периодические налоговые проверки на основе оценки степени риска;
2) внеплановые налоговые проверки.
2. Периодическими налоговыми проверками на основе оценки степени риска являются проверки, назначаемые налоговыми органами в отношении налогоплательщиков (налоговых агентов) по результатам анализа налоговой отчетности, сведений уполномоченных государственных органов, а также сведений, полученных из официальных и открытых источников информаций, по деятельности налогоплательщиков (налоговых агентов).
Основанием для назначения периодических налоговых проверок на основе оценки степени риска является полугодовой график, утвержденный решением уполномоченного органа.
Не допускается внесение изменений в полугодовые графики проведения проверок.
Уполномоченный орган размещает полугодовой сводный график проведения проверок на интернет-ресурсе в срок до 25 декабря года, предшествующего году проведения проверок, и до 25 мая текущего календарного года.
3. Внеплановыми налоговыми проверками являются проверки, не указанные в пункте 2 настоящей статьи, в том числе осуществляемые:
1) по налоговому заявлению или по жалобе самого налогоплательщика (налогового агента), в том числе:
в связи с реорганизацией путем разделения или ликвидацией юридического лица-резидента, структурного подразделения юридического лица-нерезидента;
в связи с прекращением юридическим лицом-нерезидентом деятельности в Республике Казахстан, осуществляемой через постоянное учреждение;
в связи с прекращением деятельности индивидуального предпринимателя;
в связи со снятием с регистрационного учета по налогу на добавленную стоимость;
в связи с жалобой налогоплательщика (налогового агента) на уведомление о результатах проверки;
2) по налоговому заявлению налогоплательщика по подтверждению достоверности сумм превышения налога на добавленную стоимость, представляемому в связи с применением им пунктов 1 и 2 статьи 432 настоящего Кодекса.
При этом налоговые заявления, указанные в настоящем подпункте, могут быть поданы до даты:
принятия в эксплуатацию зданий и сооружений производственного назначения;
начала экспорта полезных ископаемых, добытых в рамках соответствующего контракта на недропользование;
3) по основаниям, предусмотренным Уголовно-процессуальным кодексом Республики Казахстан;
4) в случае неисполнения налогоплательщиком (налоговым агентом) уведомления налоговых органов об устранении нарушений, выявленных по результатам камерального контроля со средней степенью риска, в порядке, определенном статьей 96 настоящего Кодекса.
Положение настоящего подпункта не применяется в период, указанный в пункте 4-1 статьи 96 настоящего Кодекса, и в период рассмотрения вышестоящим налоговым органом и (или) уполномоченным органом или судом жалобы на решение, указанное в пункте 4 статьи 96 настоящего Кодекса;
5) в связи с истечением срока действия контракта на недропользование, за исключением случаев переоформления права недропользования на лицензионный режим недропользования;
6) по вопросам определения взаиморасчетов между налогоплательщиком (налоговым агентом) и его дебиторами в соответствии с налоговым законодательством Республики Казахстан;
7) по требованию налогоплательщика в декларации по налогу на добавленную стоимость по подтверждению достоверности сумм превышения налога на добавленную стоимость, предъявленных к возврату;
8) по налоговому заявлению нерезидента на возврат подоходного налога из бюджета в связи с применением положений международного договора, регулирующего вопросы избежания двойного налогообложения и предотвращения уклонения от уплаты налогов, а также в связи с обращением нерезидента о повторном рассмотрении такого налогового заявления;
9) по вопросам исполнения банками и организациями, осуществляющими отдельные виды банковских операций, обязанностей, установленных налоговым законодательством Республики Казахстан, а также иными законами Республики Казахстан, контроль за исполнением которых возложен на налоговые органы;
10) по вопросам определения налогового обязательства по действию (действиям) по выписке счета-фактуры, совершение которого (которых) признано судом осуществленным (осуществленными) без фактического выполнения работ, оказания услуг, отгрузки товаров;
11) на основании решения уполномоченного органа;
12) на основании решения налогового органа в случаях, установленных пунктом 5 статьи 142, пунктом 2 статьи 144 настоящего Кодекса и пунктом 7 настоящей статьи.
4. Внеплановые налоговые проверки, указанные в пункте 3 настоящей статьи, могут осуществляться за ранее проверенный период.
При этом внеплановые (комплексные или тематические) налоговые проверки за ранее проверенный период проводятся на основании решения уполномоченного органа, за исключением налоговых проверок, проводимых:
по заявлению самого налогоплательщика (налогового агента);
по требованию о возврате сумм превышения налога на добавленную стоимость, указанному в декларации по налогу на добавленную стоимость;
по налоговому заявлению налогоплательщика по подтверждению достоверности сумм превышения налога на добавленную стоимость, представляемому в связи с применением им пунктов 1 и 2 статьи 432 настоящего Кодекса;
по основаниям, предусмотренным Уголовно-процессуальным кодексом Республики Казахстан;
в связи с жалобой налогоплательщика (налогового агента) на уведомление о результатах проверки.
5. В случае подачи налогоплательщиком (налоговым агентом) жалобы в суд на уведомление о результатах проверки внеплановые комплексные и (или) тематические проверки по обжалуемому вопросу за ранее проверенный период не проводятся до вступления в законную силу решения суда.
6. За налоговые периоды, в которых налогоплательщик состоял на горизонтальном мониторинге, налоговая проверка не проводится, за исключением:
встречных проверок;
налоговых проверок, проводимых по заявлению самого налогоплательщика (налогового агента);
налоговых проверок, проводимых по основаниям, предусмотренным Уголовно-процессуальным кодексом Республики Казахстан, Законом Республики Казахстан «О Прокуратуре»;
налоговых проверок, проводимых в связи с жалобой налогоплательщика (налогового агента) на уведомление о результатах проверки.
7. В случае изменения проверяемого периода путем оформления дополнительного предписания и завершения налоговой проверки за проверяемый период до истечения срока исковой давности, установленного статьей 48 настоящего Кодекса, налоговым органом по основаниям, послужившим для назначения предыдущей налоговой проверки, может быть назначена налоговая проверка за непроверенный налоговый период, ранее указанный в предписании до изменения проверяемого периода.
Сноска. Статья 145 с изменениями, внесенными законами РК от 24.05.2018 № 156-VI (вводится в действие по истечении десяти календарных дней после дня его первого официального опубликования); от 02.04.2019 № 241-VI (вводится в действие с 01.01.2020); от 10.12.2020 № 382-VI (вводится в действие с 01.01.2021); от 21.12.2022 № 165-VII (вводится в действие с 01.01.2023).
Параграф 2. Порядок и сроки проведения налоговых проверок
Статья 146. Срок проведения налоговых проверок
1. Срок проведения налоговой проверки, указываемый в предписании, не должен превышать тридцать рабочих дней с даты вручения предписания, если иное не установлено настоящей статьей.
2. Срок проведения налоговой проверки может быть продлен:
1) для юридических лиц, не имеющих структурных подразделений, индивидуальных предпринимателей и нерезидентов, осуществляющих деятельность через постоянные учреждения при наличии не более одного места нахождения в Республике Казахстан, за исключением случаев, указанных в подпункте 2) настоящего пункта:
налоговым органом, назначившим налоговую проверку, – до сорока пяти рабочих дней;
вышестоящим налоговым органом – до шестидесяти рабочих дней;
2) для юридических лиц, имеющих структурные подразделения, и нерезидентов, осуществляющих деятельность через постоянные учреждения при наличии более одного места нахождения в Республике Казахстан, а также для налогоплательщиков, подлежащих налоговому мониторингу:
налоговым органом, назначившим налоговую проверку, – до семидесяти пяти рабочих дней;
вышестоящим налоговым органом – до ста восьмидесяти рабочих дней.
3. Уполномоченный орган может продлить срок назначенной им налоговой проверки для налогоплательщиков, указанных:
1) в подпункте 1) пункта 2 настоящей статьи, – до шестидесяти рабочих дней;
2) в подпункте 2) пункта 2 настоящей статьи, – до ста восьмидесяти рабочих дней.
4. Течение срока проведения налоговой проверки может приостанавливаться налоговыми органами на период:
вручения налогоплательщику (налоговому агенту) требования налогового органа о представлении сведений и (или) документов и представления налогоплательщиком (налоговым агентом) запрашиваемых при проведении налоговой проверки сведений и (или) документов;
направления запроса налогового органа в другие территориальные налоговые органы, государственные органы, банки и организации, осуществляющие отдельные виды банковских операций, и иные организации, осуществляющие деятельность на территории Республики Казахстан, и получения сведений и (или) документов по указанному запросу;
направления в иностранные государства запроса о предоставлении информации и получения по нему сведений налоговыми органами в соответствии с международными соглашениями;
подготовки письменного возражения налогоплательщиком (налоговым агентом) на предварительный акт налоговой проверки и его рассмотрения налоговым органом в порядке, определенном законодательством Республики Казахстан.
При этом налоговый орган, осуществляющий налоговую проверку, обязан вручить налогоплательщику (налоговому агенту) под роспись или направить ему по почте заказным письмом с уведомлением либо электронным способом извещение о приостановлении или возобновлении налоговой проверки не позднее трех рабочих дней с даты приостановления или возобновления с уведомлением органа правовой статистики. При этом извещение о приостановлении или возобновлении налоговой проверки считается врученным налогоплательщику (налоговому агенту) электронным способом с даты доставки такого извещения налоговым органом в веб-приложение. Данный электронный способ распространяется на налогоплательщика, зарегистрированного в качестве электронного налогоплательщика в порядке, определенном статьей 86 настоящего Кодекса.
5. Срок приостановления по основаниям, установленным пунктом 4 настоящей статьи, не включается в срок налоговой проверки:
1) налогоплательщиков, подлежащих налоговому мониторингу;
2) проводимой в связи с ликвидацией юридического лица-резидента, структурного подразделения юридического лица-нерезидента, прекращением юридическим лицом-нерезидентом деятельности, осуществляемой в Республике Казахстан через постоянное учреждение, прекращением деятельности индивидуального предпринимателя;
3) тематических проверок по вопросам:
трансфертного ценообразования;
подтверждения достоверности сумм превышения налога на добавленную стоимость, предъявленных к возврату;
проверок налоговых агентов по возврату подоходного налога из бюджета на основании заявления нерезидента;
изложенным в жалобе налогоплательщика (налогового агента) на уведомление о результатах проверки;
4) проводимой по основаниям, предусмотренным Уголовно-процессуальным кодексом Республики Казахстан;
5) в случае выставления налогоплательщику (налоговому агенту) требования налогового органа о представлении документов (сведений) в ходе проведения налоговых проверок в соответствии со статьей 161 настоящего Кодекса;
6) в случаях выставления налогоплательщику (налоговому агенту) предварительного акта налоговой проверки, а также рассмотрения налоговым органом письменного возражения налогоплательщика (налогового агента) к предварительному акту налоговой проверки в порядке, определенном законодательством Республики Казахстан.
Для налоговых проверок, не указанных в подпунктах 1) – 6) части первой настоящего пункта, срок приостановления включается в срок налоговой проверки.
6. Срок проведения комплексной или тематической проверки, с учетом сроков продления или приостановления, если иное не установлено пунктами 5 и 7 настоящей статьи, не должен превышать:
1) для юридических лиц, не имеющих структурных подразделений, индивидуальных предпринимателей и нерезидентов, осуществляющих деятельность через постоянные учреждения при наличии не более одного места нахождения в Республике Казахстан, за исключением случаев, указанных в подпункте 2) настоящего пункта, – шестьдесят рабочих дней;
2) для юридических лиц, имеющих структурные подразделения, и нерезидентов, осуществляющих деятельность через постоянные учреждения при наличии более одного места нахождения в Республике Казахстан, а также для налогоплательщиков, подлежащих налоговому мониторингу, – сто восемьдесят рабочих дней.
7. Срок проведения, продления и приостановления тематических проверок по подтверждению достоверности сумм превышения налога на добавленную стоимость, предъявленных к возврату, устанавливается с соблюдением сроков, предусмотренных статьей 431 настоящего Кодекса.
8. При проведении хронометражного обследования срок, указанный в предписании, не может превышать тридцать рабочих дней.
Продление и (или) приостановление течения срока налоговой проверки, предусмотренные настоящей статьей, не применяются при проведении хронометражного обследования.
Хронометражное обследование может проводиться во внеурочное время (ночное время, выходные, праздничные дни), если проверяемое лицо в указанное время и дни осуществляет свою деятельность.
Сноска. Статья 146 с именениями, внесенными законами РК от 20.12.2021 № 85-VII (вводится в действие с 01.01.2022); от 21.12.2022 № 165-VII (вводится в действие с 01.01.2023).
Статья 147. Извещение о налоговой проверке
Сноска. Заголовок статьи 147 с изменением, внесенным Законом РК от 24.05.2018 № 156-VI (вводится в действие по истечении десяти календарных дней после дня его первого официального опубликования).
1. Налоговые органы не менее чем за тридцать календарных дней до начала проведения периодической налоговой проверки на основе оценки степени риска направляют или вручают извещение о проведении налоговой проверки налогоплательщику (налоговому агенту) по форме, установленной уполномоченным органом, если иное не установлено настоящей статьей.
2. Извещение направляется или вручается налогоплательщику (налоговому агенту) по месту нахождения, указанному в регистрационных данных.
Извещение, направленное по почте заказным письмом с уведомлением, считается врученным со дня получения ответа почтовой или иной организации связи.
3. В случае отсутствия налогоплательщика (налогового агента) по месту нахождения, указанному в регистрационных данных, проведение периодической налоговой проверки на основе оценки степени риска осуществляется без извещения.
4. В извещении указываются форма налоговой проверки, перечень подлежащих проверке вопросов, предварительный перечень необходимых документов, права и обязанности налогоплательщика (налогового агента) при проведении налоговой проверки, а также другие данные, необходимые для проведения налоговой проверки.
5. Налоговый орган вправе начать периодическую налоговую проверку на основе оценки степени риска без извещения налогоплательщика (налогового агента) о начале проверки в тех случаях, когда имеется обоснованный риск, что налогоплательщик (налоговый агент) может скрыть или уничтожить необходимые для проведения проверки документы, связанные с налогообложением, либо имеются другие обстоятельства, делающие проверку невозможной или не позволяющие провести ее в полном объеме.
Налоговый орган осуществляет периодическую налоговую проверку на основе оценки степени риска без извещения налогоплательщика (налогового агента) на основании письменного разрешения вышестоящего налогового органа.
Сноска. Статья 147 с изменениями, внесенными законами РК от 24.05.2018 № 156-VI (вводится в действие по истечении десяти календарных дней после дня его первого официального опубликования); от 21.12.2022 № 165-VII (вводится в действие с 01.01.2023).
Статья 148. Основание для проведения налоговой проверки
1. Налоговая проверка проводится на основании предписания, которое должно содержать следующие сведения:
1) дата и номер регистрации предписания в налоговом органе;
2) наименование налогового органа, вынесшего предписание;
3) фамилия, имя и отчество (если оно указано в документе, удостоверяющем личность) либо полное наименование налогоплательщика (налогового агента);
4) идентификационный номер;
5) форма и вид проверки;
6) фамилии, имена, отчества (если оно указано в документе, удостоверяющем личность) проверяющих лиц, а также специалистов, привлекаемых для участия в проведении налоговой проверки в соответствии с настоящим Кодексом;
7) срок проведения налоговой проверки;
8) проверяемый период, за исключением хронометражного обследования.
Форма предписания утверждается уполномоченным органом.
2. В предписании о назначении тематических проверок должны быть указаны:
1) проверяемый участок территории, вопросы, подлежащие выяснению в ходе проверки, а также сведения, предусмотренные частью первой пункта 1 настоящей статьи, за исключением случаев, предусмотренных подпунктами 3), 4), 7) и 8) части первой пункта 1 настоящей статьи, при назначении тематических проверок по вопросам, указанным в подпунктах 12) – 18) пункта 1 статьи 142 настоящего Кодекса;
2) сведения, предусмотренные частью первой пункта 1 настоящей статьи, за исключением случая, предусмотренного в подпункте 8) части первой пункта 1 настоящей статьи, при назначении тематических проверок по вопросам, указанным в подпунктах 19) – 23) пункта 1 статьи 142 настоящего Кодекса;
3) сведения, предусмотренные частью первой пункта 1 настоящей статьи, при назначении тематических проверок по вопросам, не указанным в подпунктах 1) и 2) настоящего пункта.
3. При назначении налоговых проверок, за исключением хронометражного обследования, в предписании указываются вопросы, подлежащие проверке, в зависимости от формы проверки.
При проведении комплексных проверок виды проверяемых налогов, платежей в бюджет и социальные платежи в предписании не указываются.
4. Предписание должно быть подписано первым руководителем налогового органа или лицом, его замещающим, если иное не установлено настоящим пунктом.
Предписание на проведение встречных проверок, а также хронометражного обследования может быть подписано заместителем руководителя налогового органа либо лицом, его замещающим.
Предписание может быть удостоверено электронной цифровой подписью уполномоченного лица налогового органа в соответствии с законодательством Республики Казахстан об электронном документе и электронной цифровой подписи.
5. В случае продления сроков проведения налоговой проверки, предусмотренных статьей 146 настоящего Кодекса, и (или) изменения количества, и (или) замены лиц, проводящих проверку, и (или) изменения проверяемого периода оформляется дополнительное предписание, в котором указываются номер и дата регистрации предыдущего предписания, фамилии, имена и отчества (если оно указано в документе, удостоверяющем личность) лиц, привлекаемых к проведению проверки в соответствии с настоящим Кодексом.
Форма дополнительного предписания утверждается уполномоченным органом.
6. На основании одного предписания может проводиться только одна налоговая проверка, за исключением тематических проверок по вопросам, указанным в подпунктах 12) – 18) пункта 1 статьи 142 настоящего Кодекса.
Статья 149. Начало проведения налоговых проверок
1. Датой начала проведения налоговой проверки считается дата вручения налогоплательщику (налоговому агенту) предписания, если иное не установлено пунктом 6 настоящей статьи.
2. Предписание вручается налогоплательщику (налоговому агенту) должностным лицом налогового органа, проводящим проверку.
При вручении предписания налогоплательщик (налоговый агент) на экземпляре предписания налогового органа ставит подпись об ознакомлении и получении предписания, а также дату и время получения предписания.
Положения настоящего пункта не распространяются на тематические проверки по вопросам, указанным в подпунктах 12) – 18) пункта 1 статьи 142 настоящего Кодекса.
3. При проведении тематических проверок по вопросам, указанным в подпунктах 12) – 18) пункта 1 статьи 142 настоящего Кодекса, налогоплательщику (налоговому агенту) или его работнику, осуществляющему реализацию товаров, выполнение работ или оказание услуг, предъявляется оригинал предписания для ознакомления и вручается его копия.
В оригинале предписания ставятся подпись налогоплательщика (налогового агента) или его работника, осуществляющего реализацию товаров, выполнение работ или оказание услуг, об ознакомлении с предписанием и получении копии, дата и время получения копии предписания.
4. В случае отказа в получении предписания должностное лицо налогового органа делает на экземпляре предписания налогового органа соответствующую запись и составляет акт об отказе налогоплательщика (налогового агента) от получения предписания с привлечением понятых (не менее двух).
При этом в акте об отказе в получении предписания о проведении налоговой проверки указываются:
1) место и дата составления;
2) фамилия, имя и отчество (если оно указано в документе, удостоверяющем личность) должностного лица налогового органа, составившего акт;
3) фамилия, имя и отчество (если оно указано в документе, удостоверяющем личность), номер удостоверения личности, адрес места жительства привлеченных понятых;
4) номер, дата предписания, наименование налогоплательщика (налогового агента), его идентификационный номер;
5) обстоятельства отказа от получения предписания.
5. Отказ налогоплательщика (налогового агента) от получения предписания о проведении налоговой проверки не является основанием для отмены налоговой проверки.
Отказ налогоплательщика (налогового агента) от получения предписания налогового органа означает недопуск должностных лиц налогового органа к налоговой проверке.
Положение настоящего пункта не применяется в случаях, указанных в пункте 3 статьи 154 настоящего Кодекса.
6. В случае отказа налогоплательщика (налогового агента) от получения предписания датой начала проведения проверки считается дата составления акта об отказе налогоплательщика (налогового агента) в получении предписания.
7. В период осуществления налоговой проверки не допускается прекращение данной проверки по:
1) налоговому заявлению налогоплательщика (налогового агента);
2) прекращению уголовного дела, если проверка проводится в рамках досудебного расследования.
Статья 150. Стандартный файл проверки
1. Стандартный файл проверки представляет собой данные бухгалтерского учета налогоплательщика (налогового агента) в электронном формате, позволяющем осуществлять анализ посредством информационных систем налоговых органов.
Налогоплательщик (налоговый агент) представляет стандартный файл проверки добровольно посредством загрузки такого файла, удостоверенного электронной цифровой подписью налогоплательщика, в информационную систему налоговых органов.
2. Налоговая проверка осуществляется, в том числе с применением стандартного файла проверки, в случае предоставления стандартного файла проверки налогоплательщиком (налоговым агентом):
при проведении периодической налоговой проверки на основе степени риска – в течение пяти календарных дней со дня вручения предписания;
при проведении внеплановой налоговой проверки – в течение десяти календарных дней со дня вручения предписания.
Форма стандартного файла и порядок его составления утверждаются уполномоченным органом.
Сноска. Статья 150 с изменениями, внесенными законами РК от 24.05.2018 № 156-VI (вводится в действие с 01.01.2019); от 21.12.2022 № 165-VII (вводится в действие с 01.01.2023).
Статья 151. Особенности проведения хронометражного обследования
1. Хронометражное обследование осуществляется в присутствии налогоплательщика и (или) его представителя.
2. Для проведения хронометражного обследования налоговые органы самостоятельно определяют вопросы по обследуемому объекту налогообложения и (или) объекту, связанному с налогообложением. При этом в обязательном порядке должны подвергаться обследованию:
1) объекты налогообложения и (или) объекты, связанные с налогообложением. При необходимости налоговые органы имеют право проводить инвентаризацию товарно-материальных ценностей налогоплательщика;
2) наличие денег, денежных документов, бухгалтерских книг, отчетов, смет, ценных бумаг, расчетов, деклараций и иных документов, связанных с обследуемым объектом налогообложения и (или) объектом, связанным с налогообложением;
3) фискальный отчет контрольно-кассовой машины.
3. Должностные лица налоговых органов, проводящие хронометражное обследование, должны ежедневно обеспечивать полноту и точность внесения в хронометражно-наблюдательные карты сведений, полученных в ходе обследования. На каждый объект налогообложения и (или) объект, связанный с налогообложением, а также на каждый другой источник извлечения дохода составляется отдельная хронометражно-наблюдательная карта, которая содержит следующие сведения:
1) наименование налогоплательщика, идентификационный номер и вид деятельности;
2) дата проведения обследования;
3) место нахождения объекта налогообложения и (или) объекта, связанного с налогообложением;
4) время начала и окончания хронометражного обследования;
5) стоимость реализуемых товаров, выполняемых работ, оказываемых услуг;
6) данные по обследуемому объекту налогообложения и (или) объекту, связанному с налогообложением;
7) результаты обследования.
4. Ежедневно по окончании обследуемого дня составляется сводная таблица по всем обследуемым объектам налогообложения и (или) объектам, связанным с налогообложением, а также по другим источникам извлечения дохода.
5. Хронометражно-наблюдательная карта и сводная таблица в обязательном порядке подписываются должностным лицом налогового органа и налогоплательщиком или его представителем и прилагаются к акту хронометражного налогового обследования.
К хронометражно-наблюдательной карте при необходимости прилагаются копии документов, расчеты и другие материалы, полученные в ходе обследования, подтверждающие данные, указанные в хронометражно-наблюдательной карте.
6. Результаты хронометражного обследования налогоплательщиков учитываются при проведении начислений сумм налогов и платежей в бюджет по итогам комплексной или тематической проверки.
Статья 152. Особенности проведения тематических проверок по подтверждению достоверности сумм превышения налога на добавленную стоимость
1. Тематическая проверка по подтверждению достоверности суммы превышения налога на добавленную стоимость проводится с применением системы управления рисками в отношении налогоплательщика, представившего:
налоговое заявление в связи с применением им пунктов 1 и 2 статьи 432 настоящего Кодекса;
требование о возврате суммы превышения налога на добавленную стоимость, указанное в декларации по налогу на добавленную стоимость (далее – требование о возврате суммы превышения налога на добавленную стоимость).
2. В проверяемый период включается налоговый период:
который указан налогоплательщиком в налоговом заявлении, в связи с применением им пунктов 1 и 2 статьи 432 настоящего Кодекса;
если иное не установлено частью третьей настоящего пункта, начиная с налогового периода, за который предъявлено налогоплательщиком требование о возврате суммы превышения налога на добавленную стоимость, включая налоговый период, в котором представлена декларация по налогу на добавленную стоимость с указанием требования о возврате суммы превышения налога на добавленную стоимость.
Если иное не установлено пунктом 3 настоящей статьи, в проверяемый период, указанный в настоящем пункте, включаются также налоговые периоды, за которые не проводились проверки по данному виду налога и которые не превышают срока исковой давности, установленного статьей 48 настоящего Кодекса.
Для налогоплательщиков, указанных в подпункте 1) части первой пункта 2 статьи 434 настоящего Кодекса, имеющих право на применение упрощенного порядка возврата суммы превышения налога на добавленную стоимость, в проверяемый период включается налоговый период, за который предъявлено налогоплательщиком требование о возврате суммы превышения налога на добавленную стоимость, указанной в декларации по налогу на добавленную стоимость.
3. При проведении тематической проверки с целью подтверждения достоверности предъявленной к возврату суммы превышения налога на добавленную стоимость в соответствии со статьей 432 настоящего Кодекса в проверяемый период включается период времени, начиная с налогового периода, в котором:
начато строительство зданий и сооружений производственного назначения;
заключен контракт на недропользование в порядке, определенном законодательством Республики Казахстан.
При подтверждении достоверности суммы превышения налога на добавленную стоимость, предъявленной к возврату в соответствии со статьей 432 настоящего Кодекса, учитываются результаты налоговых проверок, проведенных по налоговому заявлению налогоплательщика в соответствии с подпунктом 2) пункта 3 статьи 145 настоящего Кодекса.
При подтверждении достоверности суммы превышения налога на добавленную стоимость, образованного за налоговые периоды до 1 января 2013 года, учитываются результаты ранее проведенных налоговых проверок налогоплательщика, включая встречные проверки.
4. Исключен Законом РК от 02.04.2019 № 241-VI (вводится в действие с 01.01.2019).
5. В случае экспорта товаров при определении суммы налога на добавленную стоимость, подлежащей возврату в соответствии с настоящим Кодексом, учитываются сведения таможенного органа, подтверждающие факт вывоза товаров с таможенной территории Евразийского экономического союза, в таможенной процедуре экспорта.
В случае экспорта товаров с территории Республики Казахстан на территорию государства-члена Евразийского экономического союза при определении суммы налога на добавленную стоимость, подлежащей возврату в соответствии с настоящим Кодексом, учитываются сведения из документов, указанных в статье 447 настоящего Кодекса.
6. В случае выполнения работ по переработке давальческого сырья, ввезенного на территорию Республики Казахстан с территории другого государства-члена Евразийского экономического союза с последующим вывозом продуктов переработки на территорию другого государства при определении суммы налога на добавленную стоимость, подлежащей возврату в соответствии с настоящим Кодексом, учитываются сведения из документов, указанных в статье 449 настоящего Кодекса.
В случае выполнения работ по переработке давальческого сырья, ввезенного на территорию Республики Казахстан с территории одного государства-члена Евразийского экономического союза с последующей реализацией продуктов переработки на территорию государства, не являющегося членом Евразийского экономического союза, при определении суммы налога на добавленную стоимость, подлежащей возврату в соответствии с настоящим Кодексом, учитываются сведения таможенного органа, подтверждающие факт вывоза продуктов переработки с таможенной территории Евразийского экономического союза в таможенной процедуре экспорта.
7. В случае экспорта товаров при определении суммы налога на добавленную стоимость, подлежащей возврату, учитывается экспорт товаров, по которому поступила валютная выручка на банковские счета налогоплательщика в банках второго уровня на территории Республики Казахстан, открытые в порядке, определенном законодательством Республики Казахстан, либо осуществлен фактический ввоз на территорию Республики Казахстан товаров, поставленных плательщику налога на добавленную стоимость покупателем экспортированных товаров по внешнеторговым товарообменным (бартерным) операциям.
В случае экспорта товаров по внешнеторговым товарообменным (бартерным) операциям при определении суммы налога на добавленную стоимость, подлежащей возврату, учитывается наличие договора (контракта) по внешнеторговой товарообменной (бартерной) операции, а также импортной декларации на товары по товарам, поставленным плательщику налога на добавленную стоимость покупателем экспортированных товаров по внешнеторговой товарообменной (бартерной) операции.
В случае экспорта товаров с территории Республики Казахстан на территорию государства-члена Евразийского экономического союза по внешнеторговым товарообменным (бартерным) операциям, предоставления займа в виде вещей при определении суммы налога на добавленную стоимость, подлежащей возврату, учитывается наличие договора (контракта) по внешнеторговой товарообменной (бартерной) операции, договора (контракта) по предоставлению займа в виде вещей, а также заявления о ввозе товаров и уплате косвенных налогов по товарам, поставленным плательщику налога на добавленную стоимость покупателем экспортированных товаров по указанным операциям.
В случае вывоза товаров с территории Республики Казахстан на территорию государства-члена Евразийского экономического союза по договору (контракту) лизинга, предусматривающему переход права собственности на него к лизингополучателю, учитывается поступление валютной выручки на банковские счета налогоплательщика в банках второго уровня на территории Республики Казахстан, открытые в порядке, определенном законодательством Республики Казахстан, подтверждающее фактическое поступление лизингового платежа (в части возмещения первоначальной стоимости товара (предмета лизинга).
В случае выполнения работ по переработке давальческого сырья, ввезенного на территорию Республики Казахстан с территории другого государства-члена Евразийского экономического союза с последующим вывозом продуктов переработки на территорию другого государства либо на территорию государства, не являющегося членом Евразийского экономического союза, при определении суммы налога на добавленную стоимость, подлежащей возврату в соответствии с настоящим Кодексом, учитываются сведения о поступлении валютной выручки на банковские счета налогоплательщика в банках второго уровня на территории Республики Казахстан, открытые в порядке, определенном законодательством Республики Казахстан.
Представление заключения в налоговые органы о поступлении валютной выручки осуществляется Национальным Банком Республики Казахстан и банками второго уровня в порядке и по форме, которые утверждены уполномоченным органом по согласованию с Национальным Банком Республики Казахстан.
Для получения данного заключения налоговые органы направляют соответствующий запрос о поступлении валютной выручки по состоянию на дату составления такого заключения.
Требования настоящего пункта по поступлению валютной выручки на банковские счета налогоплательщика в банках второго уровня на территории Республики Казахстан не распространяются на налогоплательщиков:
указанных в пункте 2 статьи 393 настоящего Кодекса;
осуществляющих разведку и (или) добычу углеводородов на море в рамках соглашения о разделе продукции, указанного в пункте 1 статьи 722 настоящего Кодекса.
8. В ходе проведения тематической проверки налоговый орган назначает встречные проверки непосредственных поставщиков товаров, работ, услуг проверяемого налогоплательщика в порядке, определенном статьей 143 настоящего Кодекса.
9. Подтверждение достоверности сумм налога на добавленную стоимость по операциям между проверяемым налогоплательщиком и его непосредственным поставщиком – налогоплательщиком, подлежащим налоговому мониторингу, производится налоговым органом, назначившим тематическую проверку, на основании данных налоговой отчетности и (или) информационной системы электронных счетов-фактур, имеющихся в налоговых органах.
10. В ходе проведения тематической проверки налоговый орган в случае выявления нарушений по результатам анализа аналитического отчета «Пирамида» направляет в адрес поставщиков уведомление, предусмотренное подпунктом 10) пункта 2 статьи 114 настоящего Кодекса.
При этом, если поставщик товаров, работ, услуг проверяемого налогоплательщика состоит на регистрационном учете по месту нахождения в другом налоговом органе, налоговый орган, назначивший тематическую проверку, направляет в соответствующий налоговый орган запрос о принятии мер в соответствии с настоящим Кодексом по устранению такими поставщиками товаров, работ, услуг нарушений, выявленных по результатам анализа аналитического отчета «Пирамида».
11. Для целей настоящего Кодекса аналитическим отчетом «Пирамида» являются результаты контроля, осуществляемого налоговыми органами на основе изучения и анализа представленной налогоплательщиком (налоговым агентом) налоговой отчетности по налогу на добавленную стоимость и (или) сведений информационных систем.
При этом аналитический отчет «Пирамида» формируется за налоговый период, предусмотренный пунктом 2 настоящей статьи.
12. Не производится возврат налога на добавленную стоимость в пределах сумм, по которым на дату завершения налоговой проверки:
1) не получены ответы на запросы на проведение встречных проверок для подтверждения достоверности взаиморасчетов с поставщиком;
2) по поставщикам проверяемого налогоплательщика выявлены нарушения по результатам анализа аналитического отчета «Пирамида»;
3) не подтверждена достоверность сумм налога на добавленную стоимость;
4) не подтверждена достоверность сумм налога на добавленную стоимость в связи с невозможностью проведения встречной проверки, в том числе по причине:
отсутствия поставщика по месту нахождения;
утраты учетной документации поставщика.
При этом положения подпункта 2) части первой настоящего пункта не применяются в случае устранения нарушений, выявленных по результатам аналитического отчета «Пирамида», непосредственными поставщиками следующих проверяемых налогоплательщиков:
имеющих право на применение упрощенного порядка возврата суммы превышения налога на добавленную стоимость;
реализующих инвестиционный проект в рамках республиканской карты индустриализации, утверждаемой Правительством Республики Казахстан, стоимость которого составляет не менее 150 000 000-кратного размера месячного расчетного показателя, установленного законом о республиканском бюджете и действующего на 1 января соответствующего финансового года;
осуществляющих деятельность в рамках контракта на недропользование, заключенного в соответствии с законодательством Республики Казахстан, и имеющих средний коэффициент налоговой нагрузки не менее 20 процентов, рассчитанный за последние 5 лет, предшествующих налоговому периоду, в котором предъявлено требование о возврате суммы превышения налога на добавленную стоимость;
осуществляющих разведку и (или) добычу углеводородов на море в рамках соглашения о разделе продукции, указанного в пункте 1 статьи 722 настоящего Кодекса.
В акте налоговой проверки указывается основание невозврата налога на добавленную стоимость.
13. Возврат налога на добавленную стоимость производится на основании заключения к акту налоговой проверки по форме, установленной уполномоченным органом, в следующих случаях:
1) при получении ответа на запрос налогового органа в отношении покупателя продуктов переработки в случае, предусмотренном пунктом 6 статьи 393 настоящего Кодекса;
2) при применении статьи 432 настоящего Кодекса.
14. Заключение к акту налоговой проверки составляется не позднее 25 числа последнего месяца квартала в количестве не менее двух экземпляров и подписывается должностными лицами налогового органа. Один экземпляр заключения к акту налоговой проверки вручается налогоплательщику, который обязан сделать отметку на другом экземпляре о получении указанного заключения.
15. Общая сумма превышения налога на добавленную стоимость, подтвержденная по акту тематической проверки и заключению к акту налоговой проверки, не должна превышать сумму, указанную в требовании о возврате суммы превышения налога на добавленную стоимость за проверенный период.
16. В случае, если на момент проведения налоговой проверки поставщик прекратил деятельность в связи с ликвидацией и в отношении такого поставщика проведена ликвидационная налоговая проверка, подтверждение суммы налога на добавленную стоимость, отнесенного в зачет, производится на основании реестра счетов-фактур по реализованным товарам, выполненным работам и оказанным услугам и (или) сведений информационной системы электронных счетов-фактур с учетом результатов ликвидационной проверки.
17. Положения настоящей статьи применяются также в случае проведения тематической проверки по подтверждению достоверности сумм превышения налога на добавленную стоимость, возвращенных из бюджета налогоплательщику, в соответствии со статьей 434 настоящего Кодекса, внеплановой тематической проверки по подтверждению достоверности предъявленных и возвращенных сумм превышения налога на добавленную стоимость, а также включения налоговым органом вопроса подтверждения достоверности сумм превышения налога на добавленную стоимость, предъявленных к возврату, в комплексную проверку.
Сноска. Статья 152 с изменениями, внесенными законами РК от 02.04.2019 № 241-VI (порядок введения в действие см. ст. 2); от 10.12.2020 № 382-VI (вводится в действие с 01.01.2021); от 20.12.2021 № 85-VII (вводится в действие с 01.01.2022).
Статья 153. Особенности проведения тематических проверок налогоплательщиков, являющихся налоговыми агентами, по вопросу подтверждения предъявленного нерезидентом к возврату подоходного налога из бюджета в связи с применением положений международного договора, регулирующего вопросы избежания двойного налогообложения и предотвращения уклонения от уплаты налогов
1. Тематическая проверка по вопросу возврата подоходного налога из бюджета на основании налогового заявления нерезидента проводится в отношении налогового агента на предмет исполнения им налоговых обязательств по исчислению, удержанию и перечислению подоходного налога у источника выплаты с дохода нерезидента, подавшего такое заявление, за период, исчисляемый в порядке, определенном статьей 48 настоящего Кодекса.
2. Налоговый орган обязан назначить проведение тематической проверки в течение десяти рабочих дней со дня получения налогового заявления нерезидента.
3. В ходе проведения тематической проверки налоговый орган проверяет документы на предмет:
1) полноты исполнения налоговым агентом налоговых обязательств по исчислению, удержанию и перечислению подоходного налога у источника выплаты с доходов нерезидента;
2) образования постоянного учреждения нерезидентом в соответствии со статьей 220 настоящего Кодекса или с международным договором;
3) учетной регистрации нерезидента-заявителя в соответствии с законодательством Республики Казахстан о государственной регистрации юридических лиц и учетной регистрации филиалов и представительств, регистрации в качестве налогоплательщика в порядке, определенном статьей 76 настоящего Кодекса;
4) достоверности данных, указанных в налоговом заявлении на возврат подоходного налога из бюджета.
Статья 154. Доступ должностных лиц налогового органа и иных государственных органов на территорию и (или) в помещение для проведения налоговой проверки
1. Налогоплательщик (налоговый агент) при предъявлении должностными лицами налогового органа предписания, а также служебных удостоверений либо идентификационных карт обязан обеспечить доступ этих должностных лиц и должностных лиц иных государственных органов, привлекаемых для участия в проведении налоговой проверки, на территорию и (или) в помещение (кроме жилых помещений), используемые для извлечения доходов, либо на объекты налогообложения и (или) объекты, связанные с налогообложением, для обследования.
2. Должностные лица налогового органа должны иметь при себе специальные допуски, если для допуска на территорию и (или) в помещение налогоплательщика (налогового агента) в соответствии с законодательством Республики Казахстан они необходимы.
3. Налогоплательщик (налоговый агент) вправе отказать должностным лицам налоговых органов и должностным лицам иных государственных органов, привлекаемых для участия в проведении налоговой проверки, в доступе на территорию и (или) в помещение налогоплательщика (налогового агента) в следующих случаях:
1) должностными лицами не предъявлены предписание и (или) служебные удостоверения либо идентификационные карты;
2) должностные лица не указаны в предписании;
3) должностные лица не имеют специального допуска на территорию и (или) в помещение налогоплательщика (налогового агента), если такой допуск необходим в соответствии с законодательством Республики Казахстан.
4. В случае необоснованного отказа и (или) воспрепятствования налогоплательщика (налогового агента) доступу должностных лиц налоговых органов, проводящих налоговую проверку, и должностных лиц иных государственных органов, привлекаемых для участия в проведении налоговой проверки, на территорию и (или) в помещение налогоплательщика (налогового агента) составляется акт о недопуске.
5. Акт о недопуске подписывается должностными лицами налогового органа, проводящими налоговую проверку, и налогоплательщиком (налоговым агентом).
При отказе от подписания указанного акта налогоплательщик (налоговый агент) обязан дать письменное объяснение о причине отказа.
В случае отказа налогоплательщика (налогового агента) от подписания акта о недопуске должностное лицо налогового органа, проводящее проверку, делает об этом соответствующую запись в указанном акте. При этом указанный акт подписывается также привлеченными понятыми в порядке, определенном настоящим Кодексом.
Сноска. Статья 154 с изменениями, внесенными Законом РК от 26.11.2019 № 273-VI (вводится в действие по истечении шести месяцев после дня его первого официального опубликования).
Статья 155. Права и обязанности должностных лиц налогового органа при проведении налоговой проверки
1. При проведении налоговой проверки должностные лица налогового органа имеют право:
1) требовать и получать от банков второго уровня и организаций, осуществляющих отдельные виды банковских операций, документы и сведения о наличии и номерах банковских счетов проверяемого лица, а также документы и сведения, касающиеся остатков и движения денег по счетам налогоплательщиков (проверяемых лиц), необходимые для проведения проверки, в том числе содержащие банковскую тайну в соответствии с законодательством Республики Казахстан;
2) запрашивать и получать у государственных органов необходимые для проведения проверки документы и сведения, в том числе составляющие коммерческую, банковскую, налоговую и иную охраняемую законом тайну в соответствии с законами Республики Казахстан;
3) требовать и получать учетную документацию на бумажных и электронных носителях, а также доступ к автоматизированным базам данных (информационным системам) в соответствии с предметом проверки;
4) требовать и получать письменные пояснения от налогоплательщика, в том числе его работников, по вопросам, возникающим в ходе налоговой проверки;
5) направлять запросы государственным и иным органам (организациям) иностранных государств по вопросам, возникшим в ходе проведения налоговой проверки;
6) требовать от налогоплательщика (налогового агента) доступа к просмотру данных используемого программного обеспечения, предназначенного для автоматизации бухгалтерского и налогового учетов, и (или) информационной системы, содержащей данные первичных учетных документов, регистров бухгалтерского учета, информацию об объектах налогообложения и (или) объектах, связанных с налогообложением, за исключением права доступа к просмотру данных программного обеспечения и (или) информационной системы банков второго уровня и организаций, осуществляющих отдельные виды банковских операций, содержащих сведения о банковских счетах их клиентов, составляющие банковскую тайну в соответствии с законами Республики Казахстан.
Исключение, установленное настоящим подпунктом, не распространяется на требования налоговых органов, предъявляемые в ходе проведения налоговой проверки в отношении доходов и расходов;
7) обследовать имущество, являющееся объектом налогообложения и (или) объектом, связанным с налогообложением, независимо от его места нахождения, проводить инвентаризацию имущества проверяемого лица (кроме жилых помещений), в том числе на соответствие сведениям, указанным в товарно-транспортных накладных;
8) определять косвенным методом объекты налогообложения и (или) объекты, связанные с налогообложением, в порядке, определенном настоящим Кодексом;
9) иные права, предусмотренные законодательством Республики Казахстан.
2. При проведении налоговой проверки должностные лица налогового органа обязаны:
1) соблюдать права и законные интересы проверяемого лица, не допускать причинения вреда проверяемому лицу неправомерными решениями и действиями (бездействием);
2) обеспечивать сохранность документов, полученных и составленных при проведении налоговой проверки, не разглашать их содержание без согласия проверяемого лица, за исключением случаев, предусмотренных законами Республики Казахстан;
3) соблюдать служебную этику;
4) информировать проверяемое лицо о его правах и обязанностях при проведении налоговой проверки;
5) информировать о правах и обязанностях должностных лиц налогового органа;
6) не нарушать установленный режим работы налогоплательщика (проверяемого лица) в период проведения налоговой проверки;
7) представлять по требованию проверяемого лица необходимую информацию о положениях настоящего Кодекса, касающихся порядка проведения проверок;
8) предъявлять при проведении налоговой проверки представителям проверяемого лица предписание, а также свои служебные удостоверения либо идентификационные карты;
9) исполнять иные обязанности, предусмотренные настоящим Кодексом.
Сноска. Статья 155 с изменением, внесенным Законом РК от 26.11.2019 № 273-VI (вводится в действие по истечении шести месяцев после дня его первого официального опубликования).
Статья 156. Права и обязанности налогоплательщика (налогового агента) при проведении налоговой проверки
1. Налогоплательщик (налоговый агент) при проведении налоговой проверки вправе:
1) запрашивать у налогового органа и получать от них информацию о положениях настоящего Кодекса и законодательства Республики Казахстан, касающихся порядка проведения проверки;
2) требовать от должностных лиц налоговых органов, проводящих налоговую проверку, предъявления предписания о проведении налоговой проверки, а также служебных удостоверений либо идентификационных карт;
3) присутствовать при проведении налоговой проверки и давать объяснения по вопросам, относящимся к предмету налоговой проверки;
4) представлять в порядке, определенном налоговым законодательством Республики Казахстан, письменное возражение к предварительному акту налоговой проверки;
5) пользоваться иными правами, предусмотренными настоящим Кодексом.
2. Налогоплательщик (налоговый агент) при проведении налоговых проверок обязан:
1) представлять по требованию должностных лиц налогового органа в установленные сроки документы и сведения на бумажном носителе, а при необходимости также на электронном носителе;
2) представлять учетную документацию, составленную налогоплательщиком (налоговым агентом) в соответствии с главой 23 настоящего Кодекса;
3) обеспечить беспрепятственный доступ должностным лицам налогового органа, проводящим налоговую проверку, и должностным лицам, привлекаемым для участия в проведении такой проверки, на территорию и (или) в помещение проверяемого лица и предоставить им рабочее место;
4) обеспечить проведение инвентаризации в ходе налоговых проверок;
5) давать по требованию должностных лиц налогового органа, проводящих налоговую проверку, письменные и устные пояснения по вопросам деятельности налогоплательщика (налогового агента);
6) предоставлять доступ к просмотру данных программного обеспечения и (или) информационной системы, указанных в подпункте 6) пункта 1 статьи 155 настоящего Кодекса;
7) исполнять иные обязанности, предусмотренные законодательством Республики Казахстан.
Сноска. Статья 156 с изменением, внесенным Законом РК от 26.11.2019 № 273-VI (вводится в действие по истечении шести месяцев после дня его первого официального опубликования).
Статья 157. Предварительный акт налоговой проверки
До составления акта налоговой проверки, предусмотренного статьей 158 настоящего Кодекса, должностным лицом налогового органа налогоплательщику вручается предварительный акт налоговой проверки.
Для целей настоящего Кодекса под предварительным актом налоговой проверки понимается документ о предварительных результатах налоговой проверки, составленный проверяющим в соответствии с налоговым законодательством Республики Казахстан.
При этом налогоплательщик вправе предоставить письменное возражение к предварительному акту налоговой проверки.
Категории налогоплательщиков, в отношении которых применяются положения настоящей статьи, а также порядок и сроки вручения налогоплательщику предварительного акта налоговой проверки, предоставления письменного возражения к предварительному акту налоговой проверки, а также рассмотрения такого возражения утверждаются уполномоченным органом.
Статья 158. Завершение налоговой проверки
1. По завершении налоговой проверки должностным лицом налогового органа составляется акт налоговой проверки с указанием:
1) места и даты составления акта проверки;
2) вида и формы проверки;
3) должностей, фамилий, имен, отчеств (если они указаны в документах, удостоверяющих личности) должностных лиц налогового органа, проводивших налоговую проверку;
4) наименования налогового органа;
5) фамилии, имени, отчества (если оно указано в документе, удостоверяющем личность) либо полного наименования налогоплательщика (налогового агента);
6) места нахождения, банковских реквизитов проверяемого лица, а также его идентификационного номера;
7) фамилий, имен, отчеств (если они указаны в документах, удостоверяющих личности) руководителя и должностных лиц налогоплательщика (налогового агента), ответственных за ведение налоговой и бухгалтерской отчетности и уплату налогов и платежей в бюджет;
8) сведений о предыдущей проверке и принятых мерах по устранению ранее выявленных нарушений (при проведении комплексных или тематических проверок);
9) проверяемого периода и общих сведений о документах, представленных налогоплательщиком (налоговым агентом) для проведения проверки;
10) подробного описания выявленных нарушений с указанием соответствующих положений законодательства Республики Казахстан, требования которых были нарушены;
11) результатов проверки.
2. Акт налоговой проверки составляется в количестве не менее двух экземпляров, подписывается должностными лицами налогового органа, проводившими проверку.
3. Завершением срока налоговой проверки считается день вручения налогоплательщику (налоговому агенту) акта налоговой проверки.
При получении акта налоговой проверки налогоплательщик (налоговый агент) обязан поставить подпись и дату его получения на экземпляре акта налоговой проверки налоговых органов.
При невозможности вручения акта налоговой проверки налогоплательщику (налоговому агенту) в связи с его отсутствием по месту нахождения проводится налоговое обследование с привлечением понятых в порядке, определенном настоящим Кодексом. При этом датой вручения акта налоговой проверки является дата составления акта налогового обследования.
При отказе налогоплательщика (налогового агента) от получения акта налоговой проверки производится соответствующая запись в акте налоговой проверки с составлением протокола (акта), предусмотренного статьей 71 настоящего Кодекса.
При этом датой вручения акта налоговой проверки является дата составления протокола (акта).
4. В случае, если по завершении налоговой проверки не установлены нарушения налогового законодательства Республики Казахстан, а также иного законодательства Республики Казахстан, контроль за которым возложен на налоговые органы, об этом в акте налоговой проверки делается соответствующая запись.
5. В случаях отсутствия налогоплательщика (налогового агента) на дату завершения налоговой проверки по месту нахождения налогоплательщика (налогового агента) и (или) по месту проведения налоговой проверки производится соответствующая запись в акте налоговой проверки должностным лицом налогового органа, проводящим налоговую проверку.
6. К акту налоговой проверки прилагаются необходимые копии документов, расчеты, произведенные должностным лицом налогового органа, и другие материалы, полученные в ходе налоговой проверки, за исключением сведений, являющихся налоговой тайной в соответствии со статьей 30 настоящего Кодекса.
7. В случае, если за период с даты получения ликвидационной налоговой отчетности до даты завершения ликвидационной налоговой проверки возникают обязательства по исчислению и уплате налогов, платежей в бюджет и социальных платежей, такие обязательства указываются в приложении к акту налоговой проверки без начисления пени и применения штрафных санкций.
Сноска. Статья 158 с изменениями, внесенными Законом РК от 21.12.2022 № 165-VII (вводится в действие с 01.01.2023).
Статья 159. Решение по результатам налоговой проверки
1. По завершении налоговой проверки в случае выявления нарушений, приводящих к начислению сумм налогов и платежей в бюджет, уменьшению убытков, неподтверждению к возврату сумм превышения налога на добавленную стоимость и (или) корпоративного (индивидуального) подоходного налога, удержанного у источника выплаты с доходов нерезидентов, налоговым органом выносится уведомление о результатах проверки, которое направляется (вручается) налогоплательщику (налоговому агенту) в порядке и сроки, которые установлены в соответствии со статьями 114 и 115 настоящего Кодекса.
2. Регистрация уведомления о результатах проверки и акта налоговой проверки осуществляется налоговым органом под одним номером.
3. В уведомлении о результатах проверки должны содержаться следующие реквизиты и сведения:
1) дата и номер регистрации уведомления и акта налоговой проверки;
2) фамилия, имя, отчество (если оно указано в документе, удостоверяющем личность) либо полное наименование налогоплательщика (налогового агента);
3) идентификационный номер налогоплательщика (налогового агента);
4) сумма начисленных налогов и платежей в бюджет, социальных платежей и пени;
5) суммы уменьшенных убытков;
6) сумма превышения налога на добавленную стоимость, не подтвержденная к возврату;
7) сумма корпоративного (индивидуального) подоходного налога, удержанного у источника выплаты с доходов нерезидентов, не подтвержденная к возврату;
8) требование об уплате и сроки уплаты;
9) реквизиты соответствующих налогов и платежей в бюджет и пени;
10) сроки и место обжалования.
4. В случае проводимой в рамках досудебного расследования налоговой проверки уведомление о результатах проверки налогоплательщика, в отношении которого ведется досудебное расследование, выносится после завершения рассмотрения уголовного дела.
При этом уведомление о результатах проверки выносится и вручается налогоплательщику не позднее пяти рабочих дней со дня получения официального документа, подтверждающего завершение уголовного дела.
5. Уведомление о результатах проверки должно быть вручено налогоплательщику (налоговому агенту) лично и удостоверено его подписью или направлено по почте заказным письмом с уведомлением. Уведомление о результатах проверки, направленное по почте заказным письмом с уведомлением, считается врученным налогоплательщику (налоговому агенту) с даты отметки о получении налогоплательщиком (налоговым агентом) в уведомлении почтовой связи или иной организации связи, если иное не установлено настоящей статьей.
6. В случае возврата почтовой или иной организацией связи уведомлений по результатам проверки, направленных налоговыми органами налогоплательщику (налоговому агенту) по почте заказным письмом с уведомлением, датой вручения таких уведомлений является дата:
1) проведения налогового обследования с привлечением понятых по основаниям и в порядке, которые установлены настоящим Кодексом;
2) возврата такого письма почтовой или иной организацией связи – в случае, если акт налоговой проверки вручен на основании акта налогового обследования в соответствии с пунктом 3 статьи 158 настоящего Кодекса.
7. Налогоплательщик (налоговый агент), получивший уведомление о результатах проверки обязан исполнить его в сроки, установленные в уведомлении, если не обжаловал результаты проверки.
8. В случае согласия налогоплательщика (налогового агента) с начисленными суммами налогов, платежей в бюджет и (или) пени, указанными в уведомлении о результатах проверки, сроки исполнения налогового обязательства по уплате налогов, платежей в бюджет, а также обязательства по уплате пени могут быть продлены на шестьдесят рабочих дней по заявлению налогоплательщика (налогового агента) с приложением графика уплаты, если иное не установлено статьей 51 настоящего Кодекса.
При этом указанная сумма подлежит уплате в бюджет с начислением пени за каждый день продления срока уплаты и уплачивается равными долями через каждые пятнадцать рабочих дней указанного периода.
Не подлежит продлению срок исполнения налогового обязательства в порядке, определенном настоящим пунктом:
по уплате начисленных по результатам проверки сумм акциза и налогов, удерживаемых у источника выплаты;
по уплате начисленных сумм налогов, платежей в бюджет и пени по результатам проверки после обжалования результатов проверки.
9. Сумма обязательств, указанных в пункте 7 статьи 158 настоящего Кодекса, отражается в уведомлении о начисленных суммах налогов, платежей в бюджет и социальных платежей за период с даты представления ликвидационной налоговой отчетности до даты завершения ликвидационной налоговой проверки, направленном налогоплательщику в порядке, определенном статьей 115 настоящего Кодекса.
10. Если при проведении внеплановой налоговой проверки, кроме тематических проверок, указанных в подпунктах 8) и 11) пункта 1 статьи 142 настоящего Кодекса, за один и тот же налоговый период по одному и тому же вопросу налоговым органом выявлен факт совершения налогоплательщиком (налоговым агентом) нарушения налогового законодательства Республики Казахстан, которое не было выявлено при проведении любой из предыдущих налоговых проверок, в отношении налогоплательщика за такое нарушение производство по делу об административном правонарушении не может быть начато, а начатое подлежит прекращению.
Положение настоящего пункта не распространяется на нарушения налогового законодательства Республики Казахстан, выявленные:
1) в части уменьшения налогоплательщиком (налоговым агентом) подлежащей уплате суммы налога или платежа в бюджет путем представления дополнительной налоговой отчетности за ранее проверенный налоговый период по данному виду налога или платежа;
2) по результатам ответа на запрос налогового органа, направленный при проведении любой из предыдущих налоговых проверок одного и того же налогового периода, если указанный ответ получен после завершения такой проверки;
3) по результатам рассмотрения документов, влияющих на подлежащую уплате сумму налога или платежа в бюджет и не представленных налогоплательщиком (налоговым агентом) на письменный запрос налогового органа в ходе проведения любой из предыдущих налоговых проверок одного и того же налогового периода по данному виду налога или платежа;
4) в части действия (действий) по выписке счета-фактуры, совершенного (совершенных) с субъектом частного предпринимательства без фактического выполнения работ, оказания услуг, отгрузки товаров, после вступления в законную силу приговора или постановления суда, если налоговым органом сведения о таком (таких) действии (действиях) впервые получены после завершения любой из предыдущих налоговых проверок налогового периода, в котором совершено (совершены) такое (такие) действие (действия).
Параграф 3. Определение объектов налогообложения и (или) объектов, связанных с налогообложением, в отдельных случаях, в том числе косвенным методом
Статья 160. Общие положения
1. В случае нарушения порядка ведения учета, при утрате или уничтожении учетной документации налоговые органы определяют объекты налогообложения и (или) объекты, связанные с налогообложением, на основе косвенных методов (активов, обязательств, оборота, затрат, расходов) в порядке, определенном настоящей статьей и статьями 161, 162 и 163 настоящего Кодекса.
2. Под нарушением порядка ведения учета, утратой или уничтожением учетной документации понимается отсутствие или непредставление налогоплательщиком (налоговым агентом) документов, являющихся основанием для определения объектов налогообложения и (или) объектов, связанных с налогообложением, для исчисления налоговых обязательств, запрашиваемых на основании требований налоговых органов в соответствии со статьей 161 настоящего Кодекса.
3. Под косвенными методами определения объектов налогообложения и (или) объектов, связанных с налогообложением, понимается определение сумм налогов и платежей в бюджет на основе оценки активов, обязательств, оборота, расходов, а также оценки других объектов налогообложения и (или) объектов, связанных с налогообложением, принимаемых для расчета налогового обязательства относительно конкретного налога и платежа в бюджет в соответствии с настоящим Кодексом. Оценка объектов налогообложения и (или) объектов, связанных с налогообложением, осуществляется на основании информации, полученной из налоговой отчетности и (или) первичных учетных документов, а также из других источников.
Статья 161. Налоговые проверки при отсутствии учетных и иных документов (сведений)
Если в ходе проведения налоговой проверки налогоплательщиком (налоговым агентом) не представлены все или часть документов, необходимых для определения объектов налогообложения и (или) объектов, связанных с налогообложением, налогоплательщику (налоговому агенту) в обязательном порядке вручается требование налогового органа о представлении или восстановлении указанных документов, а также извещение о приостановлении налоговой проверки.
Требование налогового органа подлежит исполнению в течение тридцати рабочих дней со дня, следующего за днем вручения требования налогоплательщику (налоговому агенту).
Налогоплательщик (налоговый агент), не представивший по требованию налогового органа документы, необходимые для определения объектов налогообложения и (или) объектов, связанных с налогообложением, обязан письменно объяснить причины непредставления указанных документов.
Статья 162. Источники информации
1. Для определения объектов налогообложения и (или) объектов, связанных с налогообложением, на основе косвенных методов налоговые органы в зависимости от обстоятельств, характера и рода деятельности проверяемого налогоплательщика (налогового агента) могут использовать следующие сведения:
1) выписки банков второго уровня и организаций, осуществляющих отдельные виды банковских операций, о наличии и движении денег на банковских счетах налогоплательщика (налогового агента);
2) об объектах налогообложения и (или) объектах, связанных с налогообложением, по данным уполномоченных государственных органов, юридических лиц, местных исполнительных органов;
3) о начислении и поступлении сумм налогов и платежей в бюджет на основании лицевого счета налогоплательщика (налогового агента), подлежащих сопоставлению с данными бухгалтерского учета налогоплательщика (налогового агента);
4) об объектах налогообложения и (или) объектах, связанных с налогообложением, полученные из форм налоговой отчетности, представленной налогоплательщиком (налоговым агентом) и его поставщиками и покупателями за проверяемый налоговый период и предшествующие налоговые периоды;
5) о результатах встречных проверок в отношении лиц, которыми осуществлена отгрузка товаров и (или) выполнены работы, и (или) оказаны услуги, полученные посредством информационных систем государственных органов, а также из иных источников;
6) полученные налоговым органом при ранее проведенных налоговых проверках, в том числе инвентаризации имущества (кроме жилых помещений) проверяемого налогоплательщика (налогового агента), которое является объектом налогообложения и (или) объектом, связанным с налогообложением;
7) полученные налоговым органом по результатам иных форм налогового и таможенного контроля.
2. Налоговые органы направляют запросы в:
1) банки и организации, осуществляющие отдельные виды банковских операций;
2) соответствующие уполномоченные государственные органы, местные исполнительные органы и иные организации, осуществляющие деятельность на территории Республики Казахстан;
3) другие налоговые органы о проведении встречных налоговых проверок по вопросу взаиморасчетов с поставщиками и покупателями проверяемого налогоплательщика;
4) компетентные органы иностранных государств.
3. Необходимая информация может быть получена также из следующих источников (подтвержденная документально):
1) от заказчиков о стоимости выполненных проверяемым налогоплательщиком (налоговым агентом) услуг и от покупателей о стоимости и количестве приобретенной продукции;
2) от физических и юридических лиц, оказывавших проверяемому налогоплательщику (налоговому агенту) услуги, осуществлявших отпуск сырья, энергоресурсов и вспомогательных материалов в сфере производства и оборота отдельных видов подакцизных товаров.
4. Источники информации могут различаться в каждом конкретном случае в зависимости от обстоятельств, характера и рода деятельности проверяемого налогоплательщика (налогового агента).
Статья 163. Порядок определения объектов налогообложения и (или) объектов, связанных с налогообложением
1. Определение объектов налогообложения и (или) объектов, связанных с налогообложением, производится на основе информации, полученной в порядке, определенном статьей 162 настоящего Кодекса.
2. Для расчета дохода используется информация о поступлении денег на банковские счета, платежные карточки, а также из иных платежных и расчетных документов налогоплательщика (налогового агента), которая подтверждается выпиской из банковского счета, и другая информация (документы), подтверждающая факт получения денег налогоплательщиком (налоговым агентом).
3. При предоставлении физическими лицами или организациями, определенными статьей 162 настоящего Кодекса, информации относительно наличия у проверяемого налогоплательщика (налогового агента) других полученных (подлежащих получению) доходов сумма данных доходов подлежит включению в общую сумму дохода (облагаемого оборота).
4. В случае установления факта поступления сумм валютной выручки по экспортным операциям налогоплательщика (налогового агента) на основании информации, предоставленной Национальным Банком Республики Казахстан и банками второго уровня, а также налоговыми органами государств-членов Евразийского экономического союза, данная сумма валютной выручки включается в размер оборота по реализации и в состав совокупного дохода.
5. При определении объектов налогообложения и (или) объектов, связанных с налогообложением, в соответствии с настоящей статьей расходы налогоплательщика (налогового агента), не подтвержденные первичными документами, не относятся на вычеты для исчисления корпоративного подоходного налога и в зачет для исчисления налога на добавленную стоимость.
6. Налогооблагаемая база по подакцизным товарам определяется на основании статьи 466 настоящего Кодекса.
При этом объем произведенных подакцизных товаров определяется в соответствии с отраслевыми нормами расходов и потерь сырья, энергоресурсов и вспомогательных материалов.
7. При выявлении у налогоплательщика (налогового агента) основных средств, в том числе объектов незавершенного строительства, транспортных средств, земельных участков, нематериальных активов, инвестиционной недвижимости, по которым отсутствуют документы, подтверждающие первоначальную стоимость, в совокупный доход данного налогоплательщика включается рыночная стоимость указанного имущества.
Рыночная стоимость объектов определяется на основании отчета привлекаемого налоговыми органами оценщика, осуществляющего деятельность в соответствии с законодательством Республики Казахстан.
8. Объектом обложения индивидуальным подоходным налогом, социальным налогом также могут служить деньги при установлении фактов снятия денег с банковского счета на выплату заработной платы и (или) перечисления денег с банковского счета на банковские счета физических лиц. При этом налоговое обязательство возникает в момент выполнения банком второго уровня или организацией, осуществляющей отдельные виды банковских операций, распоряжения налогоплательщика (налогового агента) о переводе (выдаче) налогоплательщику (налоговому агенту) или третьим лицам соответствующих сумм денег.
9. Сведения об объектах налогообложения и (или) объектах, связанных с налогообложением, определенных налоговыми органами на основе косвенных методов, сопоставляются с соответствующими данными, указанными налогоплательщиком (налоговым агентом) в формах налоговой отчетности, и иными представленными в налоговые органы отчетами.
10. В случае, если суммы налогов и платежей в бюджет, заявленные налогоплательщиком (налоговым агентом) в налоговой отчетности, превышают суммы налогов, определенные на основе применения косвенных методов, при проверке принимаются суммы налогов, указанные налогоплательщиком (налоговым агентом) в налоговой отчетности.
11. В случае, если сумма дохода, заявленная налогоплательщиком (налоговым агентом) в налоговой отчетности превышает сумму дохода, выявленную из других (дополнительных) источников информации, при проверке принимается сумма дохода, указанная в налоговой отчетности.
Статья 164. Определение объектов налогообложения в отдельных случаях
1. В случае, если доходы физического лица, отраженные в налоговой декларации, не соответствуют его расходам, произведенным на личное потребление, в том числе на приобретение имущества, налоговые органы определяют доход и налог на основе произведенных им расходов с учетом доходов прошлых периодов.
2. Доход подлежит обложению налогом в случаях, когда другими лицами и органами оспаривается законность получения указанного дохода.
3. Если по решению суда доход подлежит изъятию в бюджет в случаях, предусмотренных законами Республики Казахстан, то указанный доход изымается без вычета суммы уплаченного с него налога.
4. При установлении налоговыми органами фактов получения физическим лицом доходов от осуществления предпринимательской деятельности без государственной регистрации в качестве индивидуального предпринимателя, не подлежащих обложению индивидуальным подоходным налогом у источника выплаты, а также не относящихся к имущественному доходу или прочим доходам, установленным главой 36 настоящего Кодекса, такой доход, определенный в размере, превышающем предел дохода, влекущего регистрацию в качестве индивидуального предпринимателя в соответствии с гражданским законодательством Республики Казахстан или законодательством Республики Казахстан в сфере предпринимательства, подлежит обложению индивидуальным подоходным налогом по ставке, установленной пунктом 1 статьи 320 настоящего Кодекса.
Глава 19. ПРИМЕНЕНИЕ КОНТРОЛЬНО-КАССОВЫХ МАШИН
Статья 165. Основные понятия, используемые в настоящей главе
В настоящей главе используются следующие основные понятия:
1) денежные расчеты – расчеты, осуществляемые за приобретение товара, выполнение работ, оказание услуг посредством наличных денег и (или) расчетов с использованием платежных карточек и (или) мобильных платежей;
2) центр технического обслуживания контрольно-кассовых машин (далее – центр технического обслуживания) – хозяйствующий субъект, осуществляющий в соответствии с уставом (видом деятельности) деятельность по техническому обслуживанию контрольно-кассовых машин;
3) государственный реестр контрольно-кассовых машин (далее – государственный реестр) – перечень моделей контрольно-кассовых машин, разрешенных уполномоченным органом к использованию на территории Республики Казахстан;
4) контрольно-кассовая машина – электронное устройство с блоком фискальной памяти без функции передачи данных, аппаратно-программный комплекс с (без) функцией (-и) фиксации и (или) передачи данных, электронное устройство с функцией фиксации и (или) передачи данных, обеспечивающие регистрацию и отображение информации о денежных расчетах, осуществляемых при реализации товаров, выполнении работ, оказании услуг;
5) регистрационная карточка контрольно-кассовой машины – учетный документ, подтверждающий факт регистрации (снятия с учета) в налоговом органе контрольно-кассовой машины;
6) чек контрольно-кассовой машины – первичный учетный документ контрольно-кассовой машины, подтверждающий факт осуществления между продавцом (поставщиком товара, работы, услуги) и покупателем (клиентом) денежного расчета, выданный в бумажном виде либо в электронном виде;
7) терминал оплаты услуг – электронно-механическое устройство для приема наличных денег либо расчетов с использованием платежных карточек за оказанные услуги;
8) книга учета наличных денег – журнал учета ежесменного оборота наличных денег, товарных чеков, показаний фискальной памяти или накопителя фискальных данных контрольно-кассовой машины;
9) пломба налогового органа – средство защиты от несанкционированного вскрытия корпуса контрольно-кассовой машины с блоком фискальной памяти;
10) торговый автомат – электронно-механическое устройство, осуществляющее реализацию товаров посредством наличных денег либо расчетов с использованием платежных карточек в автоматическом режиме;
11) товарный чек – первичный учетный документ, подтверждающий факт осуществления денежного расчета, используемый в случаях технической неисправности контрольно-кассовой машины или отсутствия электроэнергии;
12) книга товарных чеков – совокупность товарных чеков, объединенных в книгу;
13) фискальный признак – отличительный символ, отражаемый на чеках контрольно-кассовой машины в качестве подтверждения работы контрольно-кассовой машины в фискальном режиме;
14) фискальные данные – информация о денежных расчетах с фискальным признаком, фиксируемая в фискальной памяти контрольно-кассовой машины с блоком фискальной памяти либо накопителе фискальных данных контрольно-кассовой машины с функцией фиксации и (или) передачи данных и переданная в налоговые органы;
15) накопитель фискальных данных – комплекс программно-аппаратных средств, обеспечивающих некорректируемую регистрацию и энергонезависимое долговременное хранение информации о произведенных денежных расчетах в контрольно-кассовой машине с функцией фиксации и передачи данных;
16) оператор фискальных данных – юридическое лицо, обеспечивающее передачу сведений о денежных расчетах в оперативном режиме в налоговые органы по сетям телекоммуникаций общего пользования, определенное уполномоченным органом по согласованию с уполномоченным органом в сфере информатизации;
17) фискальный отчет – отчет о показаниях фискальных данных за определенный период;
18) фискальная память – комплекс программно-аппаратных средств, обеспечивающих некорректируемую ежесменную регистрацию и энергонезависимое долговременное хранение итоговой информации о произведенных денежных расчетах на контрольно-кассовой машине без функции передачи данных;
19) фискальный режим – режим функционирования контрольно-кассовой машины, обеспечивающий некорректируемую регистрацию и энергонезависимое долговременное хранение информации в фискальной памяти либо накопителе фискальных данных с одновременной передачей сведений о денежных расчетах в налоговые органы посредством оператора фискальных данных.
Сноска. Статья 165 с изменением, внесенным Законом РК от 20.12.2021 № 85-VII (вводится в действие с 01.01.2022).
Статья 166. Общие положения
1. На территории Республики Казахстан денежные расчеты производятся с обязательным применением контрольно-кассовых машин с функцией фиксации и (или) передачи данных, модели которых включены в государственный реестр, если иное не установлено настоящей статьей.
2. Положение пункта 1 настоящей статьи не распространяется на денежные расчеты:
1) физических лиц;
2) частных судебных исполнителей, адвокатов и медиаторов;
3) в части оказания услуг населению по перевозкам в общественном городском транспорте с выдачей билетов по форме, утвержденной уполномоченным государственным органом, осуществляющим реализацию государственной политики в области транспорта, по согласованию с уполномоченным органом;
4) Национального Банка Республики Казахстан;
5) налогоплательщиков, деятельность которых находится в местах отсутствия сети телекоммуникаций общего пользования;
6) банков второго уровня;
7) религиозных объединений;
8) Национального оператора почты, за исключением денежных расчетов, осуществляемых в местах отсутствия сети телекоммуникаций общего пользования.
9) производимые посредством специального мобильного приложения.
Лица, указанные в подпункте 5) части первой настоящего пункта, при осуществлении денежных расчетов применяют контрольно-кассовые машины без функции передачи данных, модели которых включены в государственный реестр.
Информация об административно-территориальных единицах Республики Казахстан, на территории которых отсутствуют сети телекоммуникаций общего пользования, размещается на интернет-ресурсе уполномоченного органа.
3. Учет в налоговых органах контрольно-кассовых машин, применяемых налогоплательщиками, включает в себя:
1) постановку контрольно-кассовой машины на учет;
2) внесение изменений в регистрационные данные;
3) снятие контрольно-кассовой машины с учета.
4. Торговые автоматы и терминалы оплаты услуг, осуществляющие денежные расчеты при торговых операциях или оказании услуг посредством наличных денег, подлежат оснащению контрольно-кассовыми машинами с функцией фиксации и (или) передачи данных.
5. При применении контрольно-кассовых машин предъявляются следующие требования:
1) осуществляется постановка контрольно-кассовой машины на учет в налоговом органе до начала деятельности, связанной с денежными расчетами;
2) осуществляется выдача чека контрольно-кассовой машины или товарного чека на сумму, уплаченную за товар, работу, услугу;
3) обеспечивается доступ должностных лиц налоговых органов к контрольно-кассовой машине.
6. Чек контрольно-кассовой машины должен содержать следующую информацию:
1) наименование налогоплательщика;
2) идентификационный номер налогоплательщика;
3) заводской номер контрольно-кассовой машины;
4) регистрационный номер контрольно-кассовой машины в налоговом органе;
5) порядковый номер чека;
6) дату и время совершения покупки товаров, выполнения работ, оказания услуг;
7) цену товара, работы, услуги за единицу;
8) фискальный признак;
9) наименование оператора фискальных данных и реквизиты интернет-ресурса оператора фискальных данных для проверки подлинности контрольного чека контрольно-кассовых машин с функцией фиксации и (или) передачи данных;
10) наименование товара, работы, услуги;
11) количество приобретаемого товара, работ, услуг, единицу их измерения;
12) общую сумму продажи товара, работы, услуги;
13) сумму налога на добавленную стоимость с указанием ставки по облагаемым налогом на добавленную стоимость оборотам по реализации товаров, работ, услуг – в случае, если налогоплательщик является плательщиком налога на добавленную стоимость;
14) адрес места использования контрольно-кассовой машины;
15) штриховой код, содержащий в кодированном виде информацию о чеке контрольно-кассовой машины.
Положения подпунктов 9) и 15) части первой настоящего пункта не распространяются на чеки контрольно-кассовых машин без функции передачи данных.
Форма и содержание контрольного чека аппаратно-программных комплексов, применяемых банками второго уровня, филиалами банков – нерезидентов Республики Казахстан и организациями, осуществляющими отдельные виды банковских операций, устанавливаются Национальным Банком Республики Казахстан по согласованию с уполномоченным органом.
Чек контрольно-кассовых машин, применяемых в пунктах обмена валюты, приема лома металлов, стеклопосуды, ломбардов, дополнительно должен содержать информацию о сумме продаж и сумме покупки.
7. Чек контрольно-кассовой машины может дополнительно содержать данные, предусмотренные технической документацией завода-изготовителя контрольно-кассовой машины, в том числе о сумме налога на добавленную стоимость.
Чек контрольно-кассовой машины с функцией фиксации и (или) передачи данных также по требованию покупателя (клиента), получателя товаров, работ, услуг должен содержать идентификационный номер покупателя (клиента), получателя.
8. Порядок применения контрольно-кассовых машин определяется уполномоченным органом.
Сноска. Статья 166 с изменениями, внесенными законами РК от 02.04.2019 № 241-VI (вводится в действие по истечении десяти календарных дней после дня его первого официального опубликования); от 03.07.2019 № 262-VI (вводится в действие с 16.12.2020); от 10.12.2020 № 382-VI (вводится в действие с 01.01.2021); от 24.06. 2021 № 53-VII (вводится в действие с 01.01.2022).
Статья 167. Постановка контрольно-кассовых машин на учет в налоговом органе
1. Постановке на учет в налоговых органах по месту использования подлежат технически исправные контрольно-кассовые машины, модели которых включены в государственный реестр.
2. Постановка на учет контрольно-кассовых машин в налоговый орган осуществляется по одному из следующих оснований:
1) сведений оператора фискальных данных – по контрольно-кассовым машинам с функцией фиксации и (или) передачи данных;
2) налогового заявления о постановке контрольно-кассовой машины на учет в налоговом органе – по контрольно-кассовым машинам без функции передачи данных.
При этом сведения о контрольно-кассовых машинах с функцией фиксации и (или) передачи данных передаются оператором фискальных данных в налоговые органы в порядке, определенном уполномоченным органом.
3. Для постановки на учет в налоговый орган контрольно-кассовой машины без функции передачи данных, за исключением аппаратно-программных комплексов, представляется:
1) налоговое заявление о постановке контрольно-кассовой машины на учет в налоговый орган;
2) контрольно-кассовая машина, содержащая сведения о налогоплательщике, ввод которых возможен без установки фискального режима;
3) пронумерованные, прошнурованные, заверенные подписью и (или) печатью налогоплательщика книга учета наличных денег и книга товарных чеков.
4. При постановке на учет контрольно-кассовой машины, являющейся аппаратно-программным комплексом без функции передачи данных, в налоговый орган предоставляются следующие документы:
1) налоговое заявление о постановке контрольно-кассовой машины на учет в налоговом органе;
2) краткое описание функциональных возможностей и характеристик аппаратно-программного комплекса;
3) руководство по использованию модуля «Рабочее место налогового инспектора» заявленной для постановки на учет в налоговом органе модели аппаратно-программного комплекса.
5. При постановке на учет контрольно-кассовых машин, налоговый орган в течение трех рабочих дней, со дня возникновения одного из оснований, предусмотренных пунктом 2 настоящей статьи, производит присвоение регистрационного номера контрольно-кассовой машины и формирование регистрационной карточки контрольно-кассовой машины в форме электронного документа, удостоверенного электронной цифровой подписью должностного лица регистрирующего органа.
6. Формы регистрационной карточки контрольно-кассовой машины, товарного чека, книги учета наличных денег и книги товарных чеков устанавливаются уполномоченным органом.
Статья 168. Внесение изменений в регистрационные данные контрольно-кассовой машины
1. Изменение сведений, указанных в регистрационной карточке контрольно-кассовой машины, осуществляется по одному из следующих оснований:
1) сведений оператора фискальных данных – по контрольно-кассовым машинам с функцией фиксации и (или) передачи данных;
2) налогового заявления о постановке контрольно-кассовой машины на учет в налоговом органе – по контрольно-кассовым машинам без функции передачи данных.
2. Изменение сведений, указанных в регистрационной карточке контрольно-кассовой машины, осуществляется налогоплательщиком в течение пяти рабочих дней с момента возникновения изменений.
3. Налоговое заявление, указанное в подпункте 2) пункта 1 настоящей статьи, подлежит представлению в налоговый орган на бумажном носителе в явочном порядке.
4. Замена регистрационной карточки контрольно-кассовой машины производится налоговым органом по месту постановки на учет контрольно-кассовой машины в случаях:
1) утери (порчи) регистрационной карточки контрольно-кассовой машины – в течение одного рабочего дня с даты получения налогового заявления о постановке контрольно-кассовой машины на учет в налоговом органе;
2) изменения сведений, указанных в регистрационной карточке контрольно-кассовой машины – в течение одного рабочего дня с даты получения сведений оператора фискальных данных либо налогового заявления, предусмотренного подпунктом 2) пункта 1 настоящей статьи.
Сноска. Статья 168 с изменением, внесенным Законом РК от 10.12.2020 № 382-VI (вводится в действие с 01.01.2021).
Статья 169. Снятие контрольно-кассовой машины с учета в налоговом органе
1. Снятие контрольно-кассовой машины с учета производится в случаях:
1) прекращения осуществления деятельности, связанной с денежными расчетами, осуществляемыми при торговых операциях, выполнении работ, оказании услуг;
2) исключен Законом РК от 10.12.2020 № 382-VI (вводится в действие с 01.01.2021);
3) невозможности дальнейшего применения в связи с технической неисправностью контрольно-кассовой машины;
4) исключения контрольно-кассовой машины из государственного реестра;
5) замены технически исправной модели контрольно-кассовой машины на новую модель контрольно-кассовой машины;
6) кражи, утери контрольно-кассовой машины при наличии копии заявления о краже в органы внутренних дел и (или) копии объявления об утере, опубликованного в периодических печатных изданиях, распространяемых на всей территории Республики Казахстан;
7) в иных случаях, не противоречащих налоговому законодательству Республики Казахстан.
Положение подпункта 2) части первой настоящего пункта не распространяется на контрольно-кассовые машины с функцией фиксации и (или) передачи данных.
2. Снятие контрольно-кассовой машины с учета в налоговом органе осуществляется на основании:
1) сведений оператора фискальных данных, – по контрольно-кассовым машинам с функцией фиксации и (или) передачи данных;
2) налогового заявления о снятии с учета контрольно-кассовой машины, – по контрольно-кассовым машинам без функции передачи данных.
3. Для снятия с учета контрольно-кассовой машины без функции передачи данных, за исключением аппаратно-программного комплекса, в налоговый орган по месту ее использования представляются:
1) налоговое заявление о снятии с учета контрольно-кассовой машины;
2) контрольно-кассовая машина с блоком фискальной памяти с установленной пломбой налогового органа;
3) пронумерованные, прошнурованные, заверенные подписью должностного лица и печатью налогового органа книга учета наличных денег и книга товарных чеков;
4) регистрационная карточка контрольно-кассовой машины.
4. Для снятия с учета контрольно-кассовой машины без функции передачи данных, являющейся аппаратно-программным комплексом, налогоплательщик представляет в налоговый орган налоговое заявление о снятии с учета контрольно-кассовой машины и обеспечивает доступ к модулю «Рабочее место налогового инспектора».
5. Снятие с учета контрольно-кассовой машины производится налоговым органом в течение одного рабочего дня со дня получения:
1) сведений оператора фискальных данных;
2) налогового заявления о снятии с учета контрольно-кассовой машины в налоговом органе.
Сноска. Статья 169 с изменением, внесенным Законом РК от 10.12.2020 № 382-VI (вводится в действие с 01.01.2021).
Статья 170. Государственный реестр
1. Уполномоченный орган ведет государственный реестр путем включения (исключения) моделей контрольно-кассовых машин в (из) государственный (государственного) реестр (реестра).
2. Порядок включения (исключения) моделей контрольно-кассовых машин в (из) государственный (государственного) реестр (реестра) определяется уполномоченным органом.
Статья 171. Порядок приема, хранения и передачи в налоговые органы сведений о денежных расчетах, осуществляемых при реализации товаров, работ, услуг
Прием, хранение сведений с контрольно-кассовых машин с функцией фиксации и (или) передачи данных о денежных расчетах, осуществляемых при реализации товаров, выполнении работ, оказании услуг, а также их передача в налоговые органы производятся оператором фискальных данных в порядке, определенном уполномоченным органом.
При этом уполномоченный орган ведет перечень операторов фискальных данных путем включения (исключения) в (из) перечень (перечня) оператора фискальных данных.
Порядок включения (исключения) в (из) перечень (перечня) оператора фискальных данных, а также квалификационные требования, предъявляемые к потенциальному оператору фискальных данных, определяются уполномоченным органом по согласованию с уполномоченным органом в сфере информатизации.
Сноска. Статья 171 с изменениями, внесенными Законом РК от 02.04.2019 № 241-VI (вводится в действие с 01.01.2019).
Глава 20.ПРОЧИЕ ФОРМЫ НАЛОГОВОГО КОНТРОЛЯ
Статья 172. Контроль за подакцизными товарами, произведенными в Республике Казахстан или импортированными в Республику Казахстан
1. Контроль за подакцизными товарами осуществляется налоговыми органами в части соблюдения производителями, лицами, осуществляющими оборот подакцизных товаров, банкротными и реабилитационными управляющими при реализации имущества (активов) должника порядка маркировки отдельных видов подакцизных товаров, определенного настоящей статьей, перемещения подакцизных товаров на территории Республики Казахстан, а также путем установления акцизных постов.
2. Алкогольная продукция, за исключением вина наливом и пивоваренной продукции, подлежит маркировке учетно-контрольными марками, табачные изделия подлежат маркировке средствами идентификации.
3. Маркировку осуществляют производители и импортеры подакцизных товаров, банкротные и реабилитационные управляющие при реализации имущества (активов) должника.
4. Не подлежат обязательной маркировке учетно-контрольными марками алкогольная продукция и средствами идентификации – табачные изделия:
1) экспортируемые за пределы Республики Казахстан;
2) ввозимые на территорию Республики Казахстан владельцами магазинов беспошлинной торговли, предназначенные для помещения под таможенную процедуру беспошлинной торговли;
3) ввозимые на таможенную территорию Евразийского экономического союза в таможенных процедурах временного ввоза (допуска) и временного вывоза, в том числе временно ввозимые на территорию Республики Казахстан с территории государств – членов Евразийского экономического союза в рекламных и (или) демонстрационных целях в единичных экземплярах;
4) перемещаемые через таможенную территорию Евразийского экономического союза в таможенной процедуре таможенного транзита, в том числе перемещаемые транзитом через территорию Республики Казахстан из государств – членов Евразийского экономического союза;
5) ввозимые (пересылаемые) на территорию Республики Казахстан физическим лицом, достигшим двадцати одного года, в пределах не более трех литров алкогольной продукции, а также физическим лицом, достигшим восемнадцати лет, табака и табачных изделий в пределах не более двухсот сигарет или пятидесяти сигар (сигарилл) или двухсот пятидесяти граммов табака либо указанных изделий в ассортименте общим весом не более двухсот пятидесяти граммов.
5. Запрещается оборот подакцизных товаров, подлежащих маркировке средствами идентификации и (или) учетно-контрольными марками, в виде хранения, реализации и (или) транспортировки подакцизной продукции без средств идентификации и (или) учетно-контрольных марок, а также со средствами идентификации и (или) учетно-контрольными марками неустановленного образца и (или) не поддающимися идентификации, кроме случаев, предусмотренных пунктом 4 настоящей статьи.
5-1. При розничной реализации товаров, подлежащих обязательной маркировке, учет операций через контрольно-кассовые машины с функцией фиксации и (или) передачи данных осуществляется исключительно путем считывания средств идентификации, нанесенных на товары.
6. Перемаркировка подакцизных товаров, указанных в пункте 2 настоящей статьи, учетно-контрольными марками нового образца осуществляется в сроки, определяемые уполномоченным органом.
7. Лицо, осуществляющее производство и (или) импорт в Республику Казахстан алкогольной продукции, представляет обязательство о целевом использовании учетно-контрольных марок при производстве и (или) импорте в Республику Казахстан алкогольной продукции.
8. Обязательство производителя и (или) импортера о целевом использовании учетно-контрольных марок при производстве и (или) импорте в Республику Казахстан алкогольной продукции представляется в территориальное подразделение уполномоченного органа по областям, городам республиканского значения и столице до получения учетно-контрольных марок.
9. В случае непредставления производителем и (или) импортером обязательства о целевом использовании учетно-контрольных марок при производстве и (или) импорте в Республику Казахстан алкогольной продукции учетно-контрольные марки не выдаются.
10. Обязательство производителя и (или) импортера о целевом использовании учетно-контрольных марок при производстве и (или) импорте в Республику Казахстан алкогольной продукции обеспечивается путем внесения денег на счет временного размещения денег территориального подразделения уполномоченного органа по областям, городам республиканского значения и столице, а также любым из следующих способов п:
1) банковской гарантией;
2) поручительством;
3) залогом имущества.
11. Счет временного размещения денег открывается центральным уполномоченным органом по исполнению бюджета территориальным подразделениям уполномоченного органа по областям, городам республиканского значения и столице.
12. Счет временного размещения денег уполномоченного органа по областям, городам республиканского значения и столице предназначен для внесения денег лицом, осуществляющим производство и (или) импорт в Республику Казахстан алкогольной продукции.
Внесение денег на счет временного размещения денег производится в национальной валюте Республики Казахстан.
13. При неисполнении производителем и (или) импортером обязательства о целевом использовании учетно-контрольных марок при производстве и (или) импорте в Республику Казахстан алкогольной продукции, обеспеченного деньгами, территориальное подразделение уполномоченного органа по областям, городам республиканского значения и столице по истечении пяти рабочих дней перечисляет деньги со счета временного размещения денег в доход бюджета.
14. Возврат (зачет) денег, внесенных на счет временного размещения денег уполномоченного органа по областям, городам республиканского значения и столице, осуществляется в течение десяти рабочих дней после представления отчета об исполнении обязательства производителя и (или) импортера о целевом использовании учетно-контрольных марок при производстве и (или) импорте в Республику Казахстан алкогольной продукции.
15. В соответствии с настоящей статьей:
1) правила маркировки (перемаркировки) алкогольной продукции, за исключением вина наливом и пивоваренной продукции, учетно-контрольными марками, а также формы, содержание и элементы защиты учетно-контрольных марок утверждаются уполномоченным органом;
2) правила получения, учета, хранения, выдачи учетно-контрольных марок и представления обязательства, отчета производителя и (или) импортера о целевом использовании учетно-контрольных марок при производстве и (или) импорте в Республику Казахстан алкогольной продукции, а также порядок учета и размер обеспечения такого обязательства утверждаются уполномоченным органом;
3) порядок организации деятельности акцизного поста определяется уполномоченным органом;
4) перечень отдельных видов подакцизных товаров, на которые распространяется обязанность по оформлению сопроводительных накладных на товары, а также порядок их оформления и документооборот устанавливаются в соответствии со статьей 176 настоящего Кодекса.
16. Налоговые органы устанавливают акцизные посты на территории налогоплательщика, осуществляющего производство этилового спирта и алкогольной продукции (кроме пивоваренной продукции), бензина (за исключением авиационного), дизельного топлива и табачных изделий.
17. Местонахождение и состав работников акцизного поста, регламент его работы определяются налоговым органом.
Состав работников акцизного поста формируется из числа должностных лиц налогового органа.
18. Должностное лицо налогового органа, находящееся на акцизном посту, осуществляет контроль за:
1) соблюдением налогоплательщиком требований законодательства Республики Казахстан, регулирующего производство и оборот подакцизных товаров;
2) отводом и (или) отпуском подакцизных товаров исключительно через измеряющие аппараты или реализацией (розливом) через приборы учета, а также эксплуатацией таких приборов учета в опломбированном виде;
3) соблюдением налогоплательщиком порядка маркировки отдельных видов подакцизных товаров;
4) движением готовой продукции, учетно-контрольных марок или средств идентификации.
19. Должностное лицо налогового органа, находящееся на акцизном посту, вправе:
1) обследовать с соблюдением требований законодательства Республики Казахстан административные, производственные, складские, торговые, подсобные помещения налогоплательщика, используемые для производства, хранения и реализации подакцизных товаров;
2) присутствовать при реализации подакцизных товаров;
3) осматривать грузовые транспортные средства, выезжающие (въезжающие) с территории (на территорию) налогоплательщика.
20. Должностное лицо налогового органа, находящееся на акцизном посту, имеет иные права, предусмотренные порядком организации деятельности акцизного поста.
Сноска. Статья 172 — в редакции Закона РК от 20.12.2021 № 85-VII (вводится в действие с 01.01.2022); с изменениями, внесенными Законами РК от 21.12.2022 № 165-VII (вводится в действие с 01.01.2023); от 15.07.2025 № 208-VIII (вводится в действие по истечении шестидесяти календарных дней после дня его первого официального опубликования)..
Статья 173. Контроль при трансфертном ценообразовании
Налоговые органы осуществляют контроль при трансфертном ценообразовании по сделкам в порядке и случаях, предусмотренных законодательством Республики Казахстан о трансфертном ценообразовании.
Статья 174. Контроль за соблюдением порядка учета, хранения, оценки, дальнейшего использования и реализации имущества, обращенного (поступившего) в собственность государства
1. Налоговый орган осуществляет контроль за соблюдением порядка учета, хранения, оценки, дальнейшего использования и реализации имущества, обращенного (поступившего) в собственность государства, за полнотой и своевременностью поступления денег в бюджет в случае его реализации, а также порядка передачи имущества, обращенного (поступившего) в собственность государства, в порядке и сроки, которые установлены Правительством Республики Казахстан.
2. Порядок учета, хранения, оценки, дальнейшего использования и реализации имущества, обращенного (поступившего) в собственность государства, определяется Правительством Республики Казахстан.
Статья 175. Контроль за деятельностью уполномоченных государственных органов, местных исполнительных органов и Государственной корпорации «Правительство для граждан
Сноска. Заголовок статьи 175 – в редакции Закона РК от 21.12.2022 № 165-VII (вводится в действие с 01.01.2023).
1. Налоговые органы осуществляют контроль за деятельностью уполномоченных государственных органов, местных исполнительных органов и Государственной корпорации «Правительство для граждан» в порядке, определенном настоящей статьей.
Контроль за деятельностью уполномоченных государственных органов и Государственной корпорации «Правительство для граждан» осуществляется по вопросам правильности исчисления, полноты взимания и своевременности перечисления платежей в бюджет, а также достоверности и своевременности представления сведений в налоговые органы.
Контроль за деятельностью местных исполнительных органов осуществляется по вопросам правильности исчисления, полноты взимания и своевременности перечисления платежей в бюджет, достоверности и своевременности представления сведений по налогу на имущество, транспортные средства, земельному налогу и платежам в налоговые органы.
Основанием для осуществления контроля за деятельностью уполномоченных государственных органов, местных исполнительных органов и Государственной корпорации «Правительство для граждан» (далее в целях настоящей статьи – уполномоченные государственные органы) является решение налоговых органов о назначении контроля (далее – решение) по форме, установленной уполномоченным органом, содержащее следующие реквизиты:
1) дату и номер регистрации решения в налоговых органах;
2) наименование и идентификационный номер уполномоченного государственного органа;
3) обоснование назначения контроля;
4) должности, фамилии, имена, отчества (если они указаны в документах, удостоверяющих личности) должностных лиц налоговых органов, осуществляющих контроль, а также специалистов других государственных органов, привлекаемых к осуществлению контроля в соответствии с настоящей статьей;
5) срок осуществления контроля;
6) период контроля;
7) вопросы осуществления контроля;
8) отметка уполномоченного государственного органа об ознакомлении и получении решения.
Решение подлежит государственной регистрации в государственном органе, осуществляющем в пределах своей компетенции статистическую деятельность в области правовой статистики и специальных учетов до начала осуществления контроля.
2. Участниками контроля являются должностные лица налоговых органов, указанные в решении, иные лица, привлекаемые к проведению контроля в соответствии с настоящей статьей, и уполномоченные государственные органы.
При осуществлении контроля уполномоченные государственные органы оказывают содействие налоговым органам в получении документов и сведений, необходимых для осуществления контроля, допуске должностных лиц налоговых органов к обследованию объектов обложения.
При этом контроль уполномоченных государственных органов одновременно может проводиться как по одному виду, так и по нескольким видам налогов и платежей в бюджет.
При воспрепятствовании в получении документов и сведений, а также в обследовании объектов обложения составляется акт о недопуске должностных лиц налоговых органов для осуществления контроля.
Акт о недопуске должностных лиц налоговых органов для проведения контроля подписывается должностными лицами налогового органа, осуществляющими контроль, и уполномоченного государственного органа. При отказе от подписания указанного акта уполномоченный государственный орган обязан дать письменные объяснения причины отказа.
Началом проведения контроля считается дата получения экземпляра (копии) решения уполномоченным государственным органом или дата составления акта об отказе уполномоченного государственного органа в подписи на экземпляре решения.
В случае отказа уполномоченного государственного органа в подписи на экземпляре решения работником налогового органа, проводящим контроль, составляется акт об отказе в подписи с привлечением понятых (не менее двух). При этом в акте об отказе в подписи указываются:
1) место и дата составления;
2) фамилия, имя и отчество (если оно указано в документе, удостоверяющем личность) должностного лица налогового органа, составившего акт;
3) фамилия, имя и отчество (если оно указано в документе, удостоверяющем личность), номер удостоверения личности, адрес места жительства привлеченных понятых;
4) номер, дата решения, наименование уполномоченного государственного органа, его идентификационный номер;
5) обстоятельства отказа в подписи на экземпляре решения.
Отказ уполномоченного государственного органа от получения решения не является основанием для отмены налогового контроля.
3. Срок проведения контроля не должен превышать тридцать рабочих дней с даты вручения уполномоченному государственному органу решения о назначении контроля. Указанный срок может быть продлен до пятидесяти рабочих дней налоговым органом, назначившим контроль.
Контроль за деятельностью уполномоченных государственных органов осуществляется не чаще одного раза в год.
4. Течение срока проведения контроля приостанавливается на периоды времени между датой вручения уполномоченному государственному органу требований налогового органа о представлении документов и датой представления уполномоченным государственным органом запрашиваемых при проведении контроля документов, а также между датой направления запроса налогового органа в другие территориальные налоговые органы, государственные органы, банки и организации, осуществляющие отдельные виды банковских операций, и иные организации, осуществляющие деятельность на территории Республики Казахстан, и датой получения сведений и документов по указанному запросу.
5. При приостановлении (возобновлении) срока контроля налоговые органы направляют в уполномоченные государственные органы извещение с указанием следующих реквизитов:
1) даты и номера регистрации в налоговом органе извещения о приостановлении (возобновлении) сроков проведения контроля;
2) наименования налогового органа;
3) наименования и идентификационного номера проверяемого уполномоченного государственного органа;
4) даты и регистрационного номера приостановленного (возобновленного) решения;
5) обоснования необходимости приостановления (возобновлении) контроля;
6) отметки о дате вручения и получения извещения о приостановлении (возобновлении) сроков проведения контроля.
При продлении, приостановлении срока, периода и (или) изменении списка участников контроля оформляется дополнительное решение к решению по форме, установленной уполномоченным органом.
6. По завершении контроля должностным лицом налогового органа составляется акт контроля с указанием:
1) места осуществления контроля, даты составления акта контроля;
2) наименования налогового органа;
3) должностей, фамилий, имен, отчеств (если они указаны в документах, удостоверяющих личности) должностных лиц налогового органа, проводивших контроль;
4) наименования, идентификационного номера и адреса уполномоченного государственного органа;
5) фамилий, имен, отчеств (если они указаны в документах, удостоверяющих личности) руководителя и должностных лиц уполномоченного государственного органа;
6) должностей, фамилий, имен, отчеств (если они указаны в документах, удостоверяющих личности) должностных лиц уполномоченного государственного органа, с ведома и в присутствии которых осуществлен контроль;
7) сведений о предыдущем контроле и принятых мерах по устранению ранее выявленных нарушений;
8) результатов проведенного контроля;
9) должностей, фамилий, имен, отчеств (если они указаны в документах, удостоверяющих личности) специалистов других государственных органов, привлекаемых к осуществлению контроля.
7. В случае отказа должностного лица уполномоченного государственного органа в подписи на экземпляре акта контроля работником налогового органа, осуществляющим контроль, составляется акт об отказе в подписи с привлечением понятых (не менее двух). При этом в акте об отказе в подписи указываются:
1) место и дата составления;
2) фамилия, имя и отчество (если оно указано в документе, удостоверяющем личность) должностного лица налогового органа, составившего акт;
3) фамилия, имя и отчество (если оно указано в документе, удостоверяющем личность), номер документа, удостоверяющего личность, место жительства привлеченных понятых;
4) номер, дата решения, наименование уполномоченного государственного органа, его идентификационный номер;
5) обстоятельства отказа в подписи на экземпляре решения.
8. При наличии нарушений, выявленных по результатам контроля, налоговыми органами выносится требование об устранении нарушений налогового законодательства Республики Казахстан.
Требованием об устранении нарушений налогового законодательства Республики Казахстан (далее – требование) признается направленное налоговым органом сообщение на бумажном носителе уполномоченному государственному органу о необходимости устранения данным государственным органом нарушений, указанных в акте контроля. Форма требования устанавливается уполномоченным органом.
В требовании указываются:
наименование уполномоченного государственного органа;
идентификационный номер;
основание для направления требования;
дата направления требования;
сумма, подлежащая взысканию в бюджет уполномоченным государственным органом.
Требование должно быть направлено не позднее пяти рабочих дней со дня вручения акта контроля первому руководителю (лицу, замещающему первого руководителя) проверяемого уполномоченного государственного органа лично под роспись либо иным способом, подтверждающим факт отправки и получения.
Требование подлежит исполнению уполномоченным государственным органом в течение тридцати рабочих дней со дня его вручения (получения).
9. Взыскание сумм налоговой задолженности, выявленных по результатам контроля, осуществляется уполномоченными государственными органами, ответственными за правильность исчисления, полноту взимания и своевременность перечисления налогов и платежей в бюджет.
10. Уполномоченные государственные органы несут ответственность за правильность исчисления, полноту взимания и своевременность перечисления налогов и платежей в бюджет, а также достоверность и своевременность представления сведений в налоговые органы в соответствии с законами Республики Казахстан.
Сноска. Статья 175 с изменением, внесенным законами РК от 10.12.2020 № 382-VI (вводится в действие с 01.01.2021); от 21.12.2022 № 165-VII (вводится в действие с 01.01.2023).
Статья 176. Контроль за соблюдением порядка оформления сопроводительных накладных на товары
Налоговые органы осуществляют контроль за соблюдением порядка оформления сопроводительных накладных на товары:
1) при перемещении, реализации и (или) отгрузке товаров по территории Республики Казахстан, в том числе при осуществлении международных автомобильных перевозок между государствами-членами Евразийского экономического союза;
2) при ввозе товаров на территорию Республики Казахстан с территории государств, не являющихся членами Евразийского экономического союза, и государств-членов Евразийского экономического союза;
3) при вывозе товаров с территории Республики Казахстан на территорию государств, не являющихся членами Евразийского экономического союза, и государств-членов Евразийского экономического союза.
Обязательство по оформлению сопроводительных накладных на товары возникает в следующие сроки:
1) при перемещении, реализации и (или) отгрузке товаров по территории Республики Казахстан – не позднее начала перемещения, реализации и (или) отгрузки товаров;
2) при ввозе товаров на территорию Республики Казахстан:
с территории государств, не являющихся членами Евразийского экономического союза, – не позднее начала перемещения, реализации товаров, по которым произведена таможенная очистка;
с территории государств-членов Евразийского экономического союза – до пересечения Государственной границы Республики Казахстан;
3) при вывозе товаров с территории Республики Казахстан на территорию государств, не являющихся членами Евразийского экономического союза, и государств-членов Евразийского экономического союза – не позднее начала перемещения, реализации и (или) отгрузки товаров;
4) при осуществлении международных автомобильных перевозок с территории одного государства-члена Евразийского экономического союза на территорию другого государства-члена Евразийского экономического союза через территорию Республики Казахстан – на автомобильном пункте пропуска при пересечении Государственной границы Республики Казахстан.
Перечень товаров, на которые распространяется обязанность по оформлению сопроводительных накладных на товары, а также порядок оформления и их документооборот устанавливаются уполномоченным органом.
Сноска. Статья 176 с изменениями, внесенными Законом РК от 10.12.2020 № 382-VI (вводится в действие с 01.01.2021).
Статья 176-1. Прослеживаемость оборота товаров, ввезенных на таможенную территорию Евразийского экономического союза
1. Прослеживаемость оборота товаров, ввезенных на таможенную территорию Евразийского экономического союза, в соответствии с международным договором, ратифицированным Республикой Казахстан, осуществляется путем организации системы учета товаров, подлежащих прослеживаемости, и операций, связанных с оборотом таких товаров, с использованием национальной системы прослеживаемости в соответствии с международным договором, ратифицированным Республикой Казахстан.
2. Национальной системой прослеживаемости является информационная система электронных счетов-фактур, которая обеспечивает сбор, учет и хранение сведений о товарах, подлежащих прослеживаемости, и операциях, связанных с оборотом таких товаров, в порядке и сроки, которые определены международным договором, ратифицированным Республикой Казахстан.
3. Налогоплательщики, осуществляющие оборот товаров, подлежащих прослеживаемости, обязаны:
оформлять сопроводительные документы в виде электронных документов, за исключением случая, когда оформление в виде электронных документов невозможно в связи с неисправностью информационных систем, вызванной техническими сбоями, нарушениями в работе средств связи (телекоммуникационных сетей и информационно-телекоммуникационной сети Интернет), отключением электроэнергии, а также в иных случаях, определенных в порядке, который установлен международным договором, ратифицированным Республикой Казахстан;
представлять полные и достоверные сведения, подлежащие включению в национальную систему прослеживаемости.
Сопроводительным документом национальной системы прослеживаемости является электронный счет-фактура.
4. За неисполнение или ненадлежащее исполнение обязанностей по прослеживаемости оборота товаров, вытекающих из международного договора, ратифицированного Республикой Казахстан, налогоплательщики несут ответственность, установленную законами Республики Казахстан.
5. Уполномоченный орган обеспечивает:
1) функционирование механизма прослеживаемости оборота товаров, подлежащих прослеживаемости, в соответствии с международным договором, ратифицированным Республикой Казахстан;
2) направление содержащихся в национальной системе прослеживаемости сведений о товарах, подлежащих прослеживаемости, и связанных с оборотом таких товаров операциях в соответствующее государство – член Евразийского экономического союза в соответствии с международным договором, ратифицированным Республикой Казахстан.
6. Правила функционирования механизма прослеживаемости товаров утверждаются уполномоченным органом.
Сноска. Глава 20 дополнена статьей 176-1, в соответствии с Законом РК от 20.12.2021 № 85-VII (вводится в действие с 01.01.2022).
РАЗДЕЛ 4. ОБЖАЛОВАНИЕ РЕЗУЛЬТАТОВ ПРОВЕРКИ, РЕЗУЛЬТАТОВ ГОРИЗОНТАЛЬНОГО МОНИТОРИНГА И ДЕЙСТВИЙ (БЕЗДЕЙСТВИЯ) ДОЛЖНОСТНЫХ ЛИЦ НАЛОГОВЫХ ОРГАНОВ
Сноска. Заголовок с изменением, внесенным Законом РК от 10.12.2020 № 382-VI (вводится в действие с 01.01.2022).
Глава 21. ПОРЯДОК ОБЖАЛОВАНИЯ ПРОВЕРКИ, УВЕДОМЛЕНИЯ О РЕЗУЛЬТАТАХ УВЕДОМЛЕНИЯ О РЕЗУЛЬТАТАХ ГОРИЗОНТАЛЬНОГО МОНИТОРИНГА
Сноска. Заголовок с изменением, внесенным Законом РК от 10.12.2020 № 382-VI (вводится в действие с 01.01.2022).
Статья 177. Общие положения
1. Подача и рассмотрение жалобы на уведомление о результатах проверки производятся в порядке, определенном статьями 178 – 186 настоящего Кодекса.
2. Налогоплательщик (налоговый агент) вправе обжаловать уведомление о результатах проверки, а также уведомление о результатах горизонтального мониторинга в суд.
Сноска. Статья 177 с изменением, внесенным Законом РК от 10.12.2020 № 382-VI (вводится в действие с 01.01.2022).
Статья 178. Порядок подачи жалобы налогоплательщиком (налоговым агентом)
1. Жалоба налогоплательщика (налогового агента) на уведомление о результатах проверки подается в уполномоченный орган в течение тридцати рабочих дней со дня, следующего за днем вручения налогоплательщику (налоговому агенту) уведомления.
При этом копия жалобы должна быть направлена налогоплательщиком (налоговым агентом) в налоговые органы, проводившие налоговую проверку и рассматривавшие возражения налогоплательщика (налогового агента) к предварительному акту налоговой проверки.
Датой подачи жалобы в уполномоченный орган в зависимости от способа подачи являются:
1) в явочном порядке – дата регистрации жалобы уполномоченным органом;
2) по почте – дата отметки о приеме почтовой или иной организацией связи.
3) электронным способом – дата отправки через веб-портал «электронного правительства».
Данный способ распространяется на налогоплательщика (налогового агента), взаимодействующего с налоговыми органами электронным способом в соответствии с законодательством Республики Казахстан об электронном документе и электронной цифровой подписи.
2. В случае пропуска по уважительной причине срока, установленного пунктом 1 настоящей статьи, этот срок по ходатайству налогоплательщика (налогового агента), подающего жалобу, может быть восстановлен уполномоченным органом, рассматривающим жалобу.
3. В целях восстановления пропущенного срока подачи жалобы уполномоченным органом в качестве уважительной причины признается временная нетрудоспособность физического лица, в отношении которого проведена налоговая проверка, а также руководителя и (или) главного бухгалтера (при его наличии) налогоплательщика (налогового агента).
Положения настоящего пункта применяются к физическим лицам, в отношении которых проведена налоговая проверка, а также к налогоплательщикам (налоговым агентам), организационная структура которых не предусматривает наличия лиц, замещающих вышеуказанных лиц во время их отсутствия.
При этом налогоплательщиком (налоговым агентом) к ходатайству о восстановлении пропущенного срока подачи жалобы должны быть приложены документ, подтверждающий период временной нетрудоспособности лиц, указанных в части первой настоящего пункта, и документ, устанавливающий организационную структуру такого налогоплательщика (налогового агента).
4. Ходатайство налогоплательщика (налогового агента) о восстановлении пропущенного срока подачи жалобы удовлетворяется уполномоченным органом при условии, что налогоплательщиком (налоговым агентом) жалоба и ходатайство поданы не позднее десяти рабочих дней со дня окончания периода временной нетрудоспособности лиц, указанных в части первой пункта 3 настоящей статьи.
5. Налогоплательщик (налоговый агент), подавший жалобу в уполномоченный орган, до принятия решения по этой жалобе может ее отозвать на основании своего письменного заявления. Отзыв жалобы налогоплательщика (налогового агента) не лишает его права на подачу повторной жалобы при условии соблюдения сроков, установленных пунктом 1 настоящей статьи.
Налогоплательщик (налоговый агент) не вправе производить отзыв жалобы в период с даты назначения тематической проверки до даты ее завершения.
Сноска. Статья 178 с изменением, внесенным Законом РК от 12.12.2023 № 45-VIII (вводится в действие с 01.01.2024).
Статья 179. Форма и содержание жалобы налогоплательщика (налогового агента)
1. Жалоба налогоплательщика (налогового агента) подается в письменной форме.
2. В жалобе должны быть указаны:
1) наименование уполномоченного органа, в который подается жалоба;
2) фамилия, имя и отчество (если оно указано в документе, удостоверяющем личность) либо полное наименование лица, подающего жалобу, его место жительства (место нахождения);
3) идентификационный номер;
4) наименование налогового органа, проводившего налоговую проверку;
5) обстоятельства, на которых лицо, подающее жалобу, основывает свои требования и доказательства, подтверждающие эти обстоятельства;
6) дата подписания жалобы налогоплательщиком (налоговым агентом);
7) перечень прилагаемых документов.
3. В жалобе могут быть указаны и иные сведения, имеющие значение для разрешения спора.
4. Жалоба подписывается налогоплательщиком (налоговым агентом) либо лицом, являющимся его представителем.
5. К жалобе прилагаются:
1) документы, подтверждающие обстоятельства, на которых налогоплательщик (налоговый агент) основывает свои требования;
2) иные документы, имеющие отношение к делу.
Статья 180. Отказ в рассмотрении жалобы
1. Уполномоченный орган отказывает в рассмотрении жалобы налогоплательщика (налогового агента) в следующих случаях:
1) подачи налогоплательщиком (налоговым агентом) жалобы с пропуском срока обжалования, установленного частью первой пункта 1 статьи 178 настоящего Кодекса;
2) несоответствия жалобы налогоплательщика (налогового агента) требованиям, установленным статьей 179 настоящего Кодекса;
3) подачи жалобы за налогоплательщика (налогового агента) лицом, не являющимся его представителем;
4) подачи налогоплательщиком (налоговым агентом) искового заявления в суд по вопросам, изложенным в жалобе.
2. В случаях, предусмотренных подпунктами 1), 2) и 3) пункта 1 настоящей статьи, уполномоченный орган в письменной форме извещает налогоплательщика (налогового агента) об отказе в рассмотрении жалобы в течение десяти рабочих дней с даты регистрации жалобы.
Уполномоченный орган в случае, предусмотренном подпунктом 4) пункта 1 настоящей статьи, в письменной форме извещает налогоплательщика (налогового агента) об отказе в рассмотрении жалобы с указанием причины такого отказа в течение десяти рабочих дней со дня установления факта обращения налогоплательщика (налогового агента) в суд.
3. В случаях, предусмотренных подпунктами 2) и 3) пункта 1 настоящей статьи, отказ уполномоченного органа в рассмотрении жалобы не исключает права налогоплательщика (налогового агента) в пределах срока, установленного частью первой пункта пунктом 1 статьи 178 настоящего Кодекса, повторно подать жалобу, если им будут устранены допущенные нарушения.
Статья 181. Порядок рассмотрения жалобы, направленной в уполномоченный орган
1. По жалобе налогоплательщика (налогового агента) выносится мотивированное решение в срок не более тридцати рабочих дней с даты регистрации жалобы, а по жалобам налогоплательщиков, подлежащих налоговому мониторингу, – не более сорока пяти рабочих дней с даты регистрации жалобы, за исключением случаев продления и приостановления сроков рассмотрения жалобы в соответствии со статьей 183 настоящего Кодекса.
2. Уполномоченный орган при рассмотрении жалобы налогоплательщика (налогового агента) вправе назначить тематическую проверку, а также повторную тематическую проверку в порядке, определенном статьей 186 настоящего Кодекса.
3. Жалоба рассматривается в пределах, обжалуемых налогоплательщиком (налоговым агентом) вопросов.
4. В случае представления налогоплательщиком (налоговым агентом) к рассмотрению жалобы документов, не представлявшихся им в ходе налоговой проверки, уполномоченный орган вправе устанавливать достоверность таких документов в ходе тематической и (или) повторной тематической проверок, назначаемых в порядке, определенном статьей 186 настоящего Кодекса.
5. Уполномоченный орган при рассмотрении жалобы налогоплательщика (налогового агента) в случае необходимости вправе:
1) направлять запросы налогоплательщику (налоговому агенту) и (или) в налоговые органы, проводившие налоговую проверку и рассматривавшие возражения налогоплательщика (налогового агента) к предварительному акту налоговой проверки, о предоставлении в письменной форме дополнительной информации либо пояснения по вопросам, изложенным в жалобе;
2) направлять запросы в государственные органы, соответствующие органы иностранных государств и иные организации по вопросам, находящимся в компетенции таких органов и организаций;
3) проводить встречи с налогоплательщиком (налоговым агентом) по вопросам, изложенным в жалобе;
4) запрашивать у сотрудников налоговых органов, принимавших участие в проведении налоговой проверки и рассматривавших возражения налогоплательщика (налогового агента) к предварительному акту налоговой проверки, дополнительную информацию и (или) пояснения по возникшим вопросам.
6. Запрещаются вмешательство в деятельность уполномоченного органа при осуществлении им своих полномочий по рассмотрению жалобы и оказание какого-либо воздействия на лиц, причастных к рассмотрению жалобы.
Статья 182. Вынесение решения по результатам рассмотрения жалобы
1. Для рассмотрения жалоб на уведомление о результатах проверки уполномоченный орган создает апелляционную комиссию.
Состав и положение об апелляционной комиссии определяются уполномоченным органом.
По окончании рассмотрения жалобы уполномоченный орган выносит мотивированное решение с учетом решения апелляционной комиссии.
2. По итогам рассмотрения жалобы налогоплательщика (налогового агента) на уведомление о результатах проверки уполномоченным органом выносится одно из следующих решений:
1) оставить обжалуемое уведомление о результатах проверки без изменения, а жалобу без удовлетворения;
2) отменить обжалуемое уведомление о результатах проверки полностью или в части.
3. Решение по жалобе в письменной форме направляется или вручается лицу, подавшему жалобу, а копия – в налоговые органы, проводившие налоговую проверку и рассматривавшие возражения налогоплательщика (налогового агента) к предварительному акту налоговой проверки.
4. В случае отмены по результатам рассмотрения жалобы обжалуемого уведомления в части налоговый орган, проводивший налоговую проверку, выносит уведомление об итогах рассмотрения жалобы налогоплательщика (налогового агента) на уведомление о результатах проверки и направляет его налогоплательщику (налоговому агенту) в срок, установленный подпунктом 11) пункта 2 статьи 114 настоящего Кодекса.
5. Решение уполномоченного органа, вынесенное на основании и в порядке, определенном настоящим Кодексом, обязательно для исполнения налоговыми органами.
Сноска. Статья 182 с изменением, внесенным Законом РК от 12.12.2023 № 45-VIII (вводится в действие с 01.01.2024).
Статья 183. Приостановление и (или) продление срока рассмотрения жалобы
1. Срок рассмотрения жалобы, установленный пунктом 1 статьи 181 настоящего Кодекса, приостанавливается в следующих случаях:
1) проведения тематической и повторной тематической проверок – на период времени с даты назначения таких проверок в порядке, определенном статьей 186 настоящего Кодекса, до даты истечения пятнадцати рабочих дней после получения уполномоченным органом акта проверки;
2) направления запроса в государственные органы, соответствующие органы иностранных государств и иные организации по вопросам, находящимся в компетенции таких органов и организаций, – на период времени с даты направления такого запроса до даты получения ответа.
2. О приостановлении срока рассмотрения жалобы уполномоченный орган в письменной форме извещает налогоплательщика (налогового агента) с указанием причин приостановления в течение трех рабочих дней со дня назначения проверки и (или) направления запроса.
3. Срок рассмотрения жалобы, установленный пунктом 1 статьи 181 настоящего Кодекса, продлевается в следующих случаях:
1) представления налогоплательщиком (налоговым агентом) дополнения (дополнений) к жалобе – на пятнадцать рабочих дней.
При этом срок, установленный пунктом 1 статьи 181 настоящего Кодекса, продлевается на срок, указанный настоящим подпунктом, в каждом случае последующей подачи дополнений к жалобе;
2) уполномоченным органом при необходимости дополнительного изучения обжалуемого вопроса – до девяноста рабочих дней.
В случае продления срока рассмотрения жалобы в соответствии с настоящим подпунктом уполномоченным органом налогоплательщику (налоговому агенту) в течение трех рабочих дней со дня продления срока рассмотрения жалобы направляется извещение.
Статья 184. Форма и содержание решения уполномоченного органа
В решении уполномоченного органа по результатам рассмотрения жалобы должны быть указаны:
1) дата принятия решения;
2) наименование уполномоченного органа, в который направлена жалоба налогоплательщика (налогового агента);
3) фамилия, имя, отчество (если оно указано в документе, удостоверяющем личность) либо полное наименование налогоплательщика (налогового агента), подавшего жалобу;
4) идентификационный номер налогоплательщика (налогового агента);
5) краткое содержание обжалуемого уведомления о результатах проверки;
6) суть жалобы;
7) обоснование со ссылкой на нормы международных договоров, ратифицированных Республикой Казахстан, и (или) законодательства Республики Казахстан, которыми уполномоченный орган руководствовался при вынесении решения по жалобе.
Статья 185. Последствия подачи жалобы (заявления) в уполномоченный орган или суд
Подача жалобы (заявления) налогоплательщиком (налоговым агентом) в уполномоченный орган или суд приостанавливает исполнение уведомления о результатах проверки в обжалуемой части.
При подаче жалобы в уполномоченный орган исполнение уведомления о результатах проверки в обжалуемой части приостанавливается до вынесения решения по жалобе.
В случае подачи налогоплательщиком (налоговым агентом) заявления в суд исполнение уведомления о результатах проверки в обжалуемой части приостанавливается со дня принятия судом заявления к производству до вступления в законную силу судебного акта.
Статья 186. Порядок назначения и проведения тематической проверки
1. Уполномоченный орган при рассмотрении жалобы налогоплательщика (налогового агента) в случае необходимости вправе назначить тематическую проверку.
2. Документ о назначении тематической проверки оформляется в письменной форме с указанием вопросов, подлежащих проверке.
При этом проведение тематической проверки не может быть поручено налоговому органу, проводившему налоговую проверку, результаты которой обжалуются, за исключением случая, когда обжалуемая налоговая проверка была проведена уполномоченным налоговым органом.
3. Тематическая проверка проводится в порядке и сроки, которые установлены настоящим Кодексом. При этом тематическая проверка должна быть начата не позднее десяти рабочих дней с даты получения налоговым органом документа о проведении такой проверки.
4. При недостаточной ясности или полноте данных, а также возникновении новых вопросов в отношении ранее проверенных в ходе тематической проверки обстоятельств и документов уполномоченный орган вправе назначить ее повторно.
5. Решение по результатам рассмотрения жалобы выносится с учетом результатов тематической и (или) повторной тематической проверок. При этом в случае несогласия уполномоченного органа с результатами таких проверок он вправе не учитывать их при принятии решения по жалобе, однако такое несогласие должно быть мотивированным.
Глава 22. ПОРЯДОК ОБЖАЛОВАНИЯ ДЕЙСТВИЙ (БЕЗДЕЙСТВИЯ) ДОЛЖНОСТНЫХ ЛИЦ НАЛОГОВЫХ ОРГАНОВ
Статья 187. Право на обжалование
Налогоплательщик и налоговый агент имеют право обжаловать действия (бездействие) должностных лиц налоговых органов вышестоящему налоговому органу или в суд.
Статья 188. Порядок обжалования
Действия (бездействие) должностных лиц налоговых органов обжалуются в порядке, определенном законами Республики Казахстан.
2. ОСОБЕННАЯ ЧАСТЬ
РАЗДЕЛ 5. ОСНОВНЫЕ ПОЛОЖЕНИЯ
Статья 189. Виды налогов, платежей в бюджет
1. В Республике Казахстан действуют:
1) налоги:
корпоративный подоходный налог;
индивидуальный подоходный налог;
налог на добавленную стоимость;
акцизы;
рентный налог на экспорт;
специальные платежи и налоги недропользователей;
социальный налог;
налог на транспортные средства;
земельный налог;
налог на имущество;
налог на игорный бизнес;
2) платежи в бюджет:
государственная пошлина;
сборы;
плата за:
пользование лицензиями на занятие отдельными видами деятельности;
пользование земельными участками;
пользование водными ресурсами поверхностных источников;
негативное воздействие на окружающую среду;
пользование животным миром;
лесные пользования;
использование радиочастотного спектра;
предоставление междугородной и (или) международной телефонной связи, а также сотовой связи;
размещение наружной (визуальной) рекламы.
цифровой майнинг.
2. Для целей применения международных договоров косвенными налогами признаются налог на добавленную стоимость, акцизы.
3. Суммы налогов, платежей в бюджет поступают в доходы соответствующих бюджетов в порядке, определенном Бюджетным кодексом Республики Казахстан и законом о республиканском бюджете.
Сноска. Статья 189 с изменениями, внесенными законами РК от 02.01.2021 № 402-VI (вводится в действие с 01.01.2022); от 21.12.2022 № 165-VII (вводится в действие с 01.01.2022); от 08.07.2024 № 119-VIII (вводится в действие по истечении десяти календарных дней после дня его первого официального опубликования).
Глава 23. НАЛОГОВЫЙ УЧЕТ
Статья 190. Налоговый учет и учетная документация
1. Налоговым учетом является процесс ведения налогоплательщиком (налоговым агентом) учетной документации в соответствии с требованиями настоящего Кодекса в целях обобщения и систематизации информации об объектах налогообложения и (или) объектах, связанных с налогообложением, а также исчисления налогов и платежей в бюджет и составления налоговой отчетности.
Сводный налоговый учет является налоговым учетом, осуществляемым уполномоченным представителем участников договора о совместной деятельности в форме простого товарищества как в целом по такой деятельности, так и по доле участия каждого участника договора о совместной деятельности.
2. Учетная документация включает в себя:
1) бухгалтерскую документацию – для лиц, на которых в соответствии с Законом Республики Казахстан «О бухгалтерском учете и финансовой отчетности» возложена обязанность по ее ведению;
2) стандартный файл проверки – для лиц, добровольно представляющих данный файл;
3) первичные учетные документы – для лиц, указанных в пункте 4 настоящей статьи;
4) налоговые формы;
5) налоговую учетную политику;
6) иные документы, являющиеся основанием для определения объектов налогообложения и (или) объектов, связанных с налогообложением, а также для исчисления налогового обязательства.
В целях настоящего пункта бухгалтерская документация или первичные учетные документы, оформленные в информационной системе электронных счетов-фактур с применением электронной цифровой подписи, также признаются учетной документацией.
3. Если иное не установлено пунктом 4 настоящей статьи, налоговый учет основывается на данных бухгалтерского учета. Порядок ведения бухгалтерской документации устанавливается законодательством Республики Казахстан о бухгалтерском учете и финансовой отчетности.
4. Лица, на которых в соответствии с Законом Республики Казахстан «О бухгалтерском учете и финансовой отчетности» не возложена обязанность по ведению бухгалтерского учета и составлению финансовой отчетности, организуют и ведут налоговый учет в соответствии с настоящей главой, главой 24 настоящего Кодекса и правилами, утвержденными уполномоченным органом.
Налоговый учет страховых, перестраховочных организаций, связанный с деятельностью по заключению и исполнению договоров страхования (перестрахования), основывается на данных отчетности, установленной Национальным Банком Республики Казахстан, с учетом требований уполномоченного органа по регулированию, контролю и надзору финансового рынка и финансовых организаций, согласованных с уполномоченным органом и уполномоченным органом в области налоговой политики.
Налоговый учет Экспортно-кредитного агентства Казахстана, связанный с деятельностью по заключению и исполнению договоров страхования, перестрахования, основывается на данных отчетности, установленной уполномоченным органом в области регулирования торговой деятельности, согласованной с уполномоченным органом по регулированию, контролю и надзору финансового рынка и финансовых организаций, уполномоченным органом и уполномоченным органом в области налоговой политики.
5. Налогоплательщик (налоговый агент) самостоятельно и (или) через уполномоченного представителя участников договора о совместной деятельности, ответственного за ведение сводного налогового учета, организует налоговый учет и определяет формы обобщения и систематизации информации в виде налоговых регистров таким образом, чтобы обеспечить:
1) формирование полной и достоверной информации о порядке учета для целей налогообложения операций, осуществленных налогоплательщиком (налоговым агентом) в течение налогового периода;
2) расшифровку каждой строки форм налоговой отчетности;
3) достоверное составление налоговой отчетности;
4) предоставление информации налоговым органам для налогового контроля.
6. Порядок ведения налогового учета устанавливается налоговой учетной политикой – документом, утвержденным налогоплательщиком (налоговым агентом) самостоятельно с учетом требований настоящего Кодекса.
Налоговая учетная политика, за исключением налоговой учетной политики налогоплательщика, на которого в соответствии с Законом Республики Казахстан «О бухгалтерском учете и финансовой отчетности» не возложена обязанность по ведению бухгалтерского учета и составлению финансовой отчетности, может быть включена в виде отдельного раздела в учетную политику, разработанную в соответствии с международными стандартами финансовой отчетности и (или) требованиями законодательства Республики Казахстан о бухгалтерском учете и финансовой отчетности.
7. Индивидуальные предприниматели, применяющие специальные налоговые режимы для субъектов малого бизнеса на основе патента, упрощенной декларации или с использованием специального мобильного приложения, утверждают налоговую учетную политику по форме, установленной уполномоченным органом.
Сноска. Статья 190 с изменениями, внесенными законами РК от 10.12.2020 № 382-VI (вводится в действие с 01.01.2018); от 24.06. 2021 № 53-VII (вводится в действие с 01.01.2022); от 21.12.2022 № 165-VII (порядок введения в действие см. ст. 4); от 15.07.2025 № 208-VIII (вводится в действие с 01.01.2024).
Статья 191. Требования к налоговой учетной политике
1. В налоговой учетной политике должны быть предусмотрены следующие положения:
1) формы и порядок составления налоговых регистров, разработанных налогоплательщиком (налоговым агентом) самостоятельно;
2) наименование должностей лиц, ответственных за соблюдение налоговой учетной политики;
3) порядок ведения раздельного налогового учета в случаях, когда обязанность по ведению такого учета предусмотрена настоящим Кодексом;
4) порядок ведения раздельного налогового учета в случае осуществления операций по недропользованию;
5) выбранные налогоплательщиком методы отнесения на вычеты расходов в целях исчисления корпоративного подоходного налога, а также отнесения в зачет налога на добавленную стоимость;
6) политика определения хеджируемых рисков, хеджируемые статьи и используемые в их отношении инструменты хеджирования, методика оценки степени эффективности хеджирования в случае осуществления операций хеджирования;
7) политика учета доходов по исламским ценным бумагам в случае осуществления операций с исламскими ценными бумагами;
8) нормы амортизации по каждой подгруппе, группе фиксированных активов с учетом положений пункта 2 статьи 271 настоящего Кодекса;
9) в случае выписки в соответствии с настоящим Кодексом счетов-фактур структурными подразделениями юридического лица-резидента, являющегося плательщиком налога на добавленную стоимость, код каждого из таких структурных подразделений, используемый в нумерации счетов-фактур для идентификации таких структурных подразделений;
10) максимальное количество цифр, применяемое в нумерации счетов-фактур при их выписке.
Положения подпунктов 4), 8), 9) и 10) части первой настоящего пункта не распространяются на лица, на которые в соответствии с законодательством Республики Казахстан не возложена обязанность по ведению бухгалтерского учета и составлению финансовой отчетности.
2. Налоговая учетная политика по совместной деятельности утверждается участниками договора о совместной деятельности в порядке и по основаниям, которые установлены настоящим Кодексом.
3. При осуществлении деятельности по недропользованию в составе простого товарищества (консорциума) в рамках соглашения (контракта) о разделе продукции налоговая учетная политика наряду с требованиями пункта 1 настоящей статьи должна содержать выбранный в соответствии с пунктом 3 статьи 722 настоящего Кодекса способ исполнения участниками простого товарищества и (или) оператором налогового обязательства по каждому виду налогов и платежей в бюджет, предусмотренных налоговым законодательством Республики Казахстан.
4. Действие следующих положений налоговой учетной политики распространяется на срок не менее одного календарного года:
порядок ведения раздельного налогового учета;
выбранные налогоплательщиком методы отнесения на вычеты расходов в целях исчисления корпоративного подоходного налога.
Действие выбранных налогоплательщиком методов отнесения в зачет налога на добавленную стоимость распространяется на срок:
не менее одного налогового периода, установленного для целей исчисления налога на добавленную стоимость, – в случае, предусмотренном подпунктом 6) пункта 2 статьи 407 и (или) пунктом 3 статьи 407 настоящего Кодекса;
не менее одного календарного года – в остальных случаях.
5. Изменение и (или) дополнение налоговой учетной политики осуществляются налогоплательщиком (налоговым агентом) одним из следующих способов:
1) утверждение новой налоговой учетной политики или ее нового раздела, разработанных в соответствии с международными стандартами финансовой отчетности и (или) требованиями законодательства Республики Казахстан о бухгалтерском учете и финансовой отчетности;
2) внесение изменений и (или) дополнений в действующую налоговую учетную политику или в раздел действующей учетной политики, разработанных в соответствии с международными стандартами финансовой отчетности и (или) требованиями законодательства Республики Казахстан о бухгалтерском учете и финансовой отчетности.
6. Не допускается внесение налогоплательщиком (налоговым агентом) изменений и (или) дополнений в налоговую учетную политику:
1) проверяемого налогового периода – в период проведения комплексных и тематических проверок;
2) обжалуемого налогового периода – в период срока подачи и рассмотрения жалобы на уведомление о результатах проверки с учетом восстановленного срока подачи жалобы;
3) по налоговым периодам, по которым произведена налоговая проверка.
7. Недропользователь обязан отразить в своей налоговой учетной политике решение о применении положений статьи 259 настоящего Кодекса.
Сноска. Статья 191 с изменениями, внесенными Законом РК от 10.12.2020 № 382-VI (вводится в действие с 01.01.2018).
Статья 192. Правила налогового учета
1. Если иное не установлено настоящим Кодексом, налогоплательщик (налоговый агент) осуществляет ведение налогового учета в тенге по методу начисления в порядке и на условиях, установленных настоящим Кодексом.
2. Метод начисления является методом учета, согласно которому результаты операций и прочих событий признаются по факту их совершения, в том числе со дня выполнения работ, предоставления услуг, отгрузки и передачи товаров покупателю или его доверенному лицу с целью реализации или оприходования имущества, а не со дня получения или выплаты денег или их эквивалента.
3. Налогоплательщик (налоговый агент) на основе налогового учета по итогам налогового периода определяет объекты налогообложения и (или) объекты, связанные с налогообложением, и исчисляет налоги и платежи в бюджет.
4. Учет курсовой разницы, в том числе определение суммы курсовой разницы, в целях налогообложения осуществляется в соответствии с международными стандартами финансовой отчетности и (или) требованиями законодательства Республики Казахстан о бухгалтерском учете и финансовой отчетности.
5. Учет запасов осуществляется в соответствии с международными стандартами финансовой отчетности и (или) требованиями законодательства Республики Казахстан о бухгалтерском учете и финансовой отчетности. При этом в целях налогообложения стоимость запасов определяется без учета изменения стоимости запасов путем ее списания до чистой возможной цены продажи и восстановления в отношении ранее проведенного списания запасов, вызванного увеличением чистой возможной цены продажи.
Сноска. Статья 192 с изменениями, внесенными Законом РК от 10.12.2020 № 382-VI (вводится в действие с 01.01.2018).
Статья 193. Требования к составлению и хранению учетной документации
1. Учетная документация составляется налогоплательщиком (налоговым агентом) на бумажном и (или) электронном носителях на казахском и (или) русском языках.
При наличии отдельных документов, составленных на иностранных языках, налоговый орган вправе потребовать от налогоплательщика (налогового агента) их перевода на казахский или русский язык.
2. При составлении учетной документации в электронной форме налогоплательщик (налоговый агент) обязан в ходе налоговой проверки по требованию должностных лиц налоговых органов представить копии такой документации на бумажных носителях, за исключением счетов-фактур, бухгалтерской документации и первичных учетных документов, зарегистрированных в информационной системе электронных счетов-фактур.
3. Учетная документация, относящаяся к объектам налогообложения или объектам, связанным с налогообложением, хранится налогоплательщиком (налоговым агентом) до истечения срока исковой давности, установленного статьей 48 настоящего Кодекса для каждого вида налога или платежа в бюджет, но не менее пяти лет.
Срок хранения учетной документации начинается с налогового периода, следующего за периодом, в котором на основании такой учетной документации исчислено налоговое обязательство, за исключением случаев, предусмотренных пунктами 4 и 5 настоящей статьи, если установленный ими срок хранения превышает срок, установленный настоящим пунктом.
4. Учетная документация, подтверждающая стоимость фиксированного актива I группы, отдельных групп амортизируемых активов, образованных в соответствии со статьями 258, 259 и 260 настоящего Кодекса, в том числе по фиксированному активу, переданному (полученному) по договору имущественного найма (аренды), хранится налогоплательщиком до истечения пяти лет, начиная с налогового периода, следующего за последним налоговым периодом, в котором по такому активу исчислены амортизационные отчисления.
Учетная документация, подтверждающая стоимость фиксированного актива II, III и IV группы, в том числе по фиксированному активу, переданному (полученному) по договору имущественного найма (аренды), хранится налогоплательщиком в течение срока исковой давности, установленного статьей 48 настоящего Кодекса, но не менее пяти лет, начиная с налогового периода, следующего за налоговым периодом, в котором такой актив включен в стоимостный баланс группы фиксированных активов.
5. Учетная документация, подтверждающая стоимость активов, не подлежащих амортизации в целях налогообложения, хранится налогоплательщиком в течение пяти лет, начиная с налогового периода, следующего за налоговым периодом, в котором у налогоплательщика произошло выбытие актива, не подлежащего амортизации.
6. При реорганизации налогоплательщика обязательство по хранению учетной документации реорганизованного лица возлагается на его правопреемника (правопреемников).
Сноска. Статья 193 с изменением, внесенным Законом РК от 21.12.2022 № 165-VII (вводится в действие с 01.04.2018).
Статья 194. Правила ведения раздельного налогового учета
1. Раздельный налоговый учет является налоговым учетом объектов налогообложения и (или) объектов, связанных с налогообложением, для целей исчисления налоговых обязательств по определенным видам налогов отдельно по следующим выделяемым категориям, для которых настоящим Кодексом предусмотрены условия налогообложения иные, чем общеустановленные:
вид или совокупность видов деятельности;
контракт на недропользование;
месторождение (группа месторождений, часть месторождения), отнесенное (отнесенная) к категории низкорентабельных, высоковязких, обводненных, малодебитных, выработанных;
договор доверительного управления или иной случай возникновения доверительного управления;
договор о совместной деятельности;
оборот по реализации товаров, работ, услуг;
вид дохода;
объект строительства.
К иным условиям налогообложения, чем общеустановленные условия налогообложения, также относятся уменьшение суммы налога, освобождение от обложения налогом, применение специального налогового режима.
Налогоплательщик (налоговый агент) не вправе объединять объекты налогообложения и (или) объекты, связанные с налогообложением, в целях исчисления налоговых обязательств по выделяемым категориям, для которых настоящим Кодексом установлены требования по ведению раздельного налогового учета.
2. Налогоплательщик (налоговый агент) обязан вести раздельный налоговый учет в случаях, предусмотренных настоящим Кодексом.
Раздельный налоговый учет объектов налогообложения и (или) объектов, связанных с налогообложением, обязан вести:
уполномоченный представитель участников договора о совместной деятельности по договору о совместной деятельности;
учредитель доверительного управления или доверительный управляющий.
3. Налогоплательщик, применяющий специальный налоговый режим для субъектов малого бизнеса, при возникновении доходов, подлежащих налогообложению в общеустановленном порядке, обязан вести раздельный налоговый учет объектов налогообложения и (или) объектов, связанных с налогообложением, в целях исчисления налоговых обязательств в общеустановленном порядке отдельно от налоговых обязательств в специальном налоговом режиме для субъектов малого бизнеса.
4. Налогоплательщик (налоговый агент) самостоятельно устанавливает в налоговой учетной политике порядок ведения раздельного налогового учета, в том числе перечень видов общих доходов и расходов, методы распределения таких доходов и расходов между выделяемыми категориями и прочей деятельностью, для которых настоящим Кодексом установлены различные условия налогообложения.
5. Недропользователь обязан вести раздельный налоговый учет объектов налогообложения и (или) объектов, связанных с налогообложением, в целях исчисления налоговых обязательств по контрактной деятельности отдельно от внеконтрактной деятельности в порядке, определенном статьей 723 настоящего Кодекса.
6. Операции с производными финансовыми инструментами не относятся к операциям по недропользованию (контрактной деятельности).
7. Раздельный налоговый учет ведется налогоплательщиками (налоговыми агентами) на основании данных учетной документации в соответствии с утвержденной налоговой учетной политикой и с учетом положений, установленных настоящей статьей.
8. При ведении раздельного налогового учета для исчисления налогового обязательства налогоплательщик (налоговый агент) обязан обеспечить:
1) отражение в налоговом учете объектов налогообложения и (или) объектов, связанных с налогообложением, для исчисления налогов, по которым настоящим Кодексом установлено требование о ведении раздельного налогового учета, – по каждой выделяемой категории отдельно от прочей деятельности;
2) исчисление налогов и платежей в бюджет, по которым настоящим Кодексом не установлено требование о ведении раздельного налогового учета, – в целом по всей деятельности;
3) представление налоговой отчетности по налогам и платежам в бюджет – в целом по всей деятельности, за исключением:
декларации по корпоративному подоходному налогу;
декларации по индивидуальному подоходному налогу;
декларации по налогу на добавленную стоимость в случае, предусмотренном подпунктом 6) настоящего пункта;
4) представление отдельно:
упрощенной декларации – по видам доходов, по которым применяется специальный налоговый режим на основе упрощенной декларации;
декларации с фиксированным вычетом – по видам доходов, по которым применяется специальный налоговый режим с использованием фиксированного вычета;
декларации для плательщиков единого земельного налога – по доходам от деятельности, на которую распространяется специальный налоговый режим для крестьянских или фермерских хозяйств;
декларации по корпоративному или индивидуальному подоходному налогу – по прочим видам доходов;
5) представление единой декларации по корпоративному или индивидуальному подоходному налогу в целом по всей деятельности и соответствующих приложений к ней по каждой выделяемой категории в случаях, не указанных в подпункте 4) настоящего пункта;
6) представление отдельно декларации по налогу на добавленную стоимость:
по деятельности, предусмотренной статьей 411 настоящего Кодекса;
по иной деятельности.
Сноска. Статья 194 с изменениями, внесенными Законом РК от 24.05.2018 № 156-VI (вводится в действие с 01.01.2018).
Статья 195. Общие принципы ведения раздельного налогового учета по корпоративному подоходному налогу
1. Для целей настоящей статьи применяются следующие понятия:
1) общие доходы и расходы – доходы и расходы отчетного налогового периода, включая доходы и расходы по общим фиксированным активам, которые одновременно связаны с осуществлением деятельности по выделяемой категории и прочей деятельности и подлежат распределению между ними;
2) общие фиксированные активы – фиксированные активы, которые одновременно связаны с осуществлением деятельности по выделяемой категории и прочей деятельности и в силу специфики их использования не имеют прямой причинно-следственной связи с конкретной выделяемой категорией или прочей деятельностью;
3) косвенные доходы и расходы – доходы и расходы отчетного налогового периода, в том числе доходы и расходы по фиксированным активам, которые имеют прямую причинно-следственную связь с несколькими выделяемыми категориями и подлежат распределению только между такими категориями;
4) косвенные фиксированные активы – фиксированные активы, которые в силу специфики их использования имеют прямую причинно-следственную связь с несколькими выделяемыми категориями;
5) прямые доходы и расходы – доходы и расходы отчетного налогового периода, включая доходы и расходы по фиксированным активам, которые имеют прямую причинно-следственную связь с конкретной выделяемой категорией или прочей деятельностью.
2. В целях ведения раздельного налогового учета все доходы и расходы налогоплательщика распределяются на прямые, косвенные и общие.
Классификация доходов и расходов на прямые, косвенные и общие осуществляется налогоплательщиком (налоговым агентом) самостоятельно исходя из специфики деятельности.
Прямые доходы и расходы должны быть отнесены в полном объеме только к той выделяемой категории или прочей деятельности, с которой они имеют прямую причинно-следственную связь.
Общие доходы и расходы подлежат распределению между выделяемой категорией и прочей деятельностью и в соответствующей доле относятся к доходам и расходам той выделяемой категории и прочей деятельности, с которыми они имеют причинно-следственную связь.
Косвенные доходы и расходы подлежат распределению только между выделяемыми категориями и в соответствующей доле относятся к доходам и расходам той категории, с которой они имеют причинно-следственную связь.
Распределение общих и косвенных доходов и расходов осуществляется в соответствии с методами, установленными пунктом 4 настоящей статьи, и с учетом положений пункта 3 настоящей статьи.
3. По общим и косвенным фиксированным активам распределению между выделяемой категорией и прочей деятельностью подлежат расходы, понесенные налогоплательщиком по данным фиксированным активам, в том числе расходы по амортизации и последующие расходы.
По общим и косвенным расходам по вознаграждениям распределению подлежит общая сумма вычета по таким вознаграждениям, определенная в соответствии со статьей 246 настоящего Кодекса.
Если курсовая разница не может быть отнесена по прямой причинно-следственной связи к выделяемой категории и прочей деятельности налогоплательщика, по курсовой разнице распределению подлежит полученный за налоговый период итоговый (сальдированный) результат в виде превышения суммы положительной курсовой разницы над суммой отрицательной курсовой разницы или превышения суммы отрицательной курсовой разницы над суммой положительной курсовой разницы.
Налоги, подлежащие отнесению на вычеты в качестве общих или косвенных расходов, подлежат распределению в соответствии с методами, установленными пунктом 4 настоящей статьи, без распределения соответствующих им объектов налогообложения и (или) объектов, связанных с налогообложением.
4. Распределение общих и косвенных доходов и расходов для каждой выделяемой категории и прочей деятельности производится налогоплательщиком (налоговым агентом) самостоятельно с учетом специфики деятельности на основании принятых в налоговой учетной политике одного или нескольких методов ведения раздельного налогового учета, в том числе:
1) по удельному весу прямых доходов, приходящихся на каждую выделяемую категорию и прочую деятельность, в общей сумме прямых доходов, полученных налогоплательщиком (налоговым агентом) за налоговый период;
2) по удельному весу прямых расходов, приходящихся на каждую выделяемую категорию и прочую деятельность, в общей сумме прямых расходов, произведенных налогоплательщиком (налоговым агентом) за налоговый период;
3) по удельному весу расходов, понесенных по одной из следующих статей – прямые производственные расходы, фонд оплаты труда или стоимость фиксированных активов, приходящихся на каждую выделяемую категорию и прочую деятельность, в общей сумме расходов по данной статье, произведенных налогоплательщиком (налоговым агентом) за налоговый период;
4) по удельному весу среднесписочной численности работников, участвующих в деятельности по выделяемой категории и прочей деятельности, к общей среднесписочной численности работников налогоплательщика (налогового агента);
5) иных методов.
В отношении разных видов общих и косвенных доходов и расходов могут применяться различные методы их распределения, определяемые налогоплательщиком (налоговым агентом).
Для более точного распределения общих и (или) косвенных доходов и расходов значение удельного веса, полученное в результате применения одного из вышеуказанных методов, определяется налогоплательщиком (налоговым агентом) в процентах до одной сотой доли (0,01%).
В случае если в налоговой учетной политике не установлен метод распределения общих доходов и расходов, то налоговые органы в ходе проведения налоговой проверки осуществляют распределение таких доходов и расходов на основании метода, установленного подпунктом 1) части первой настоящего пункта.
5. При исчислении корпоративного подоходного налога в целом по деятельности налогоплательщика не учитываются убытки, понесенные по какой-либо выделяемой категории, которые налогоплательщик имеет право компенсировать только за счет доходов, полученных от деятельности по такой выделяемой категории в последующие налоговые периоды, с учетом положений статьи 300 настоящего Кодекса.
Статья 196. Финансовый лизинг
1. Финансовым лизингом является передача имущества по договору лизинга, заключенному в соответствии с законодательством Республики Казахстан, а также предоставление предмета лизинга во вторичный лизинг либо в сублизинг.
2. Если договором лизинга определено право лизингополучателя на продление срока финансового лизинга, то срок финансового лизинга определяется с учетом срока, на который фактически осуществлено продление.
3. Имуществом, передаваемым по финансовому лизингу, являются предметы лизинга, подлежащие получению лизингополучателем на основании договора лизинга.
Для целей налогового учета лизингополучатель рассматривается как покупатель предмета лизинга.
Стоимостью, по которой передан (получен) предмет лизинга, является стоимость предмета лизинга, определяемая на основании договора лизинга. Если в договоре лизинга стоимость, по которой предмет лизинга передается (подлежит получению), не выделена отдельно, то указанная стоимость определяется как сумма всех подлежащих уплате лизинговых платежей за весь период лизинга, за исключением налога на добавленную стоимость.
Для целей налогового учета передача имущества по договору имущественного найма, не соответствующему договору лизинга в соответствии с законодательством Республики Казахстан, рассматривается как оказание услуг, а подлежащие уплате арендные платежи, за исключением налога на добавленную стоимость, соответственно, как плата за оказанные услуги.
Статья 197. Условия передачи имущества в финансовый лизинг для целей применения налоговых льгот
1. Для целей применения подпункта 1) пункта 2 статьи 288, статьи 398, пункта 6 статьи 427 и пункта 6 статьи 428 настоящего Кодекса передача имущества в финансовый лизинг должна соответствовать условиям, предусмотренным настоящей статьей.
2. Если иное не установлено настоящим пунктом и пунктом 3 настоящей статьи, финансовым лизингом является передача имущества по договору лизинга, заключенному в соответствии с законодательством Республики Казахстан, на срок свыше трех лет, если она отвечает одному из следующих условий:
1) передача имущества в собственность лизингополучателя и (или) предоставление права лизингополучателю на приобретение имущества по фиксированной цене определены договором лизинга;
2) срок финансового лизинга превышает 75 процентов срока полезной службы передаваемого по финансовому лизингу имущества;
3) текущая (дисконтированная) стоимость лизинговых платежей за весь срок финансового лизинга превышает 90 процентов стоимости передаваемого по финансовому лизингу имущества.
Вторичным лизингом признается предоставление в лизинг другому (другим) лизингополучателю (лизингополучателям) предметов лизинга, оставшихся в собственности лизингодателя в случае прекращения, расторжения договора лизинга либо его изменения в связи с изменением количества предметов лизинга (далее в целях настоящей статьи – договор первичного лизинга), с одновременным соблюдением следующих условий:
дата расторжения, прекращения либо изменения договора первичного лизинга и дата заключения договора (договоров) вторичного лизинга приходятся на один налоговый период, установленный статьей 423 настоящего Кодекса;
в договоре (договорах) вторичного лизинга сохранены условия, предусмотренные в договоре первичного лизинга, за исключением условий для количества предметов лизинга, лизинговых платежей и срока лизинга;
во вторичный лизинг предоставляются предметы лизинга в количестве, не превышающем их общее количество по договору первичного лизинга;
стоимость предмета лизинга, передаваемого во вторичный лизинг, не превышает стоимости предмета лизинга по договору первичного лизинга, уменьшенную на сумму лизинговых платежей, за исключением вознаграждения по лизингу, оплаченную на дату расторжения договора лизинга, размер ставки вознаграждения по договору (договорам) вторичного лизинга не превышает размер ставки вознаграждения по договору первичного лизинга;
предметы лизинга предоставлены во вторичный лизинг на срок не менее трех лет.
3. Не являются финансовым лизингом для целей применения подпункта 1) пункта 2 статьи 288, статьи 398, пункта 6 статьи 427 и пункта 6 статьи 428 настоящего Кодекса:
1) лизинговые сделки в случае расторжения по ним договоров лизинга (прекращения обязательств по договору лизинга) до истечения трех лет с даты заключения таких договоров, кроме следующих случаев:
признания лизингополучателя банкротом в соответствии с законодательством Республики Казахстан о реабилитации и банкротстве и исключения его из Национального реестра бизнес-идентификационных номеров;
признания физического лица-лизингополучателя на основании вступившего в силу решения суда безвестно отсутствующим или объявления его умершим, недееспособным или ограниченно дееспособным, установления ему инвалидности первой, второй групп, а также в случае смерти физического лица-лизингополучателя;
вступления в законную силу постановления судебного исполнителя о возврате исполнительного документа лизингодателю в связи с отсутствием у лизингополучателя имущества, в том числе денег, ценных бумаг или доходов, на которые может быть обращено взыскание, и (или) в случае принятия судебным исполнителем предусмотренных законодательством Республики Казахстан об исполнительном производстве и статусе судебных исполнителей мер по выявлению его имущества, в том числе денег, ценных бумаг или доходов, которые оказались безрезультатными;
вступления в законную силу решения суда об отказе лизингодателю в обращении взыскания на имущество лизингополучателя, в том числе на деньги, ценные бумаги или доходы;
предоставление предметов лизинга во вторичный лизинг;
2) лизинговые сделки, по которым сумма лизинговых платежей (по договору и (или) фактическая) без учета вознаграждения за первый год действия договора лизинга составляет более 50 процентов от стоимости предмета лизинга;
3) лизинговые сделки, по которым до истечения трех лет с даты заключения договора лизинга сменился лизингополучатель в результате смены лиц в обязательстве, кроме случая его реорганизации;
4) лизинговые сделки, по которым сменился лизингодатель в результате смены лиц в обязательстве, кроме случая его реорганизации путем преобразования;
5) сделки по передаче имущества в сублизинг.
Сноска. Статья 197 с изменением, внесенным Законом РК от 10.12.2020 № 382-VI (вводится в действие с 01.01.2021).
Статья 198. Особенности исполнения налогового обязательства при совместном предпринимательстве
1. Если иное не установлено настоящим пунктом, в случае осуществления совместного предпринимательства объекты налогообложения и (или) объекты, связанные с налогообложением, учитываются и облагаются налогами в порядке, определенном настоящей статьей.
В случае осуществления совместного предпринимательства на основе договора о совместной деятельности (в форме простого товарищества) объекты налогообложения и (или) объекты, связанные с налогообложением, учитываются и облагаются налогами в порядке, определенном статьей 199 настоящего Кодекса.
Особенной частью настоящего Кодекса могут быть установлены специальные налоговые режимы в отношении крестьянских и фермерских хозяйств, предусматривающие иной порядок учета и обложения налогами объектов налогообложения и (или) объектов, связанных с налогообложением.
2. Исполнение налоговых обязательств по деятельности в рамках совместного индивидуального предпринимательства, а также в отношении общей совместной собственности, используемой в совместном индивидуальном предпринимательстве, осуществляется:
1) главой крестьянского хозяйства – при осуществлении совместного индивидуального предпринимательства в форме крестьянского хозяйства;
2) уполномоченным лицом совместного индивидуального предпринимательства – в остальных случаях.
3. Если после применения способов обеспечения исполнения не выполненного в срок налогового обязательства и мер принудительного взыскания налоговой задолженности у лица, указанного в подпункте 2) пункта 2 настоящей статьи, имеется налоговая задолженность по совместному индивидуальному предпринимательству, обязанность по погашению такой задолженности равными долями возлагается на всех членов совместного индивидуального предпринимательства.
При этом лицо, указанное в подпункте 2) пункта 2 настоящей статьи, обязано уведомить всех членов совместного индивидуального предпринимательства о наличии налоговой задолженности по совместному индивидуальному предпринимательству и сумме такой задолженности в течение трех рабочих дней с даты начала применения мер принудительного взыскания налоговой задолженности.
Статья 199. Осуществление совместной деятельности
1. Если иное не установлено настоящим Кодексом, в случае договоренности о ведении совместной деятельности либо иной договоренности, предусматривающей двух и более участников договора о совместной деятельности без образования юридического лица (далее – договор о совместной деятельности), объекты налогообложения и (или) объекты, связанные с налогообложением, учитываются и облагаются налогами соответственно у каждого участника договора о совместной деятельности в порядке, определенном настоящим Кодексом.
2. Каждый участник договора о совместной деятельности в отношении доли своего участия самостоятельно ведет учет активов, обязательств, доходов и расходов по совместной деятельности для определения объектов налогообложения и (или) объектов, связанных с налогообложением, если иное не установлено настоящим Кодексом.
3. В случае отсутствия в договоре о совместной деятельности порядка распределения активов, обязательств, доходов и расходов по совместной деятельности для определения объектов налогообложения и (или) объектов, связанных с налогообложением, участники договора о совместной деятельности разрабатывают и утверждают налоговую учетную политику по совместной деятельности до представления первой налоговой отчетности, которая отражает такой порядок и налоговое обязательство, возникающее в результате совместной деятельности.
4. Договором о совместной деятельности может быть определен уполномоченный представитель участников договора о совместной деятельности, ответственный за ведение налогового учета по такой деятельности или ее части, если иное не установлено настоящим Кодексом.
5. В налоговых целях активы, обязательства, доходы и расходы по совместной деятельности или ее части учитываются уполномоченным представителем участников договора о совместной деятельности отдельно от активов, обязательств, доходов и расходов по иной деятельности данного уполномоченного представителя.
6. Распределение активов, обязательств, доходов и расходов по совместной деятельности для определения объектов налогообложения и (или) объектов, связанных с налогообложением, между участниками договора о совместной деятельности осуществляется участниками договора о совместной деятельности и (или) их уполномоченным представителем при его наличии по итогам каждого налогового периода в порядке, определенном договором о совместной деятельности.
Если условиями договора о совместной деятельности и (или) налоговой учетной политикой по совместной деятельности порядок распределения активов, обязательств, доходов и расходов для определения объектов налогообложения и (или) объектов, связанных с налогообложением, не установлен, участники договора о совместной деятельности и (или) уполномоченный представитель таких участников при его наличии осуществляют указанное распределение пропорционально долям участия согласно договору о совместной деятельности.
Результаты распределения активов, обязательств, доходов и расходов для определения объектов налогообложения и (или) объектов, связанных с налогообложением, между участниками договора о совместной деятельности должны быть оформлены в письменном виде, подписаны всеми участниками договора о совместной деятельности и (или) их уполномоченным представителем при его наличии, а также скреплены печатями (при их наличии в случаях, установленных законодательством Республики Казахстан). Документ о результатах распределения активов, обязательств, доходов и расходов представляется каждым участником договора о совместной деятельности налоговым органам при проведении налоговой проверки.
Уполномоченный представитель участников договора о совместной деятельности должен иметь копии всех документов, на основании которых было осуществлено распределение активов, обязательств, доходов и расходов, если иное не установлено настоящим Кодексом.
Статья 200. Особенности осуществления совместной деятельности недропользователями
1. Если право недропользования по одному контракту на недропользование принадлежит нескольким физическим и (или) юридическим лицам в составе простого товарищества (консорциума), налогоплательщиком по налогам и платежам в бюджет, установленным налоговым законодательством Республики Казахстан, выступает каждый участник простого товарищества (консорциума).
2. Если право недропользования по одному контракту на недропользование принадлежит нескольким физическим и (или) юридическим лицам в составе простого товарищества (консорциума), то по деятельности, осуществляемой по такому контракту на недропользование, участники простого товарищества (консорциума) обязаны определить уполномоченного представителя участников простого товарищества (консорциума), ответственного за ведение сводного налогового учета по такой деятельности.
Уполномоченный представитель участников простого товарищества (консорциума) обязан вести сводный налоговый учет по деятельности, осуществляемой по контракту на недропользование, в соответствии с требованиями настоящего Кодекса.
В случаях осуществления операций по недропользованию в рамках соглашения (контракта) о разделе продукции в качестве такого уполномоченного представителя выступает оператор.
Полномочия уполномоченного представителя участников простого товарищества (консорциума), в том числе оператора, должны быть подтверждены в соответствии с требованиями статей 16 или 17 настоящего Кодекса.
3. Исполнение налоговых обязательств по контракту на недропользование производится в порядке, определенном настоящим Кодексом, участником (участниками) простого товарищества (консорциума) и (или) уполномоченным представителем участников простого товарищества (консорциума), ответственным за ведение сводного налогового учета по такой деятельности, на основании данных сводного налогового учета. При этом исполнение налоговых обязательств по представлению форм налоговой отчетности осуществляется участниками простого товарищества (консорциума) самостоятельно, за исключением случаев, предусмотренных подпунктом 2) пункта 3 статьи 722 настоящего Кодекса.
Глава 24. ОСОБЕННОСТИ ВЕДЕНИЯ НАЛОГОВОГО УЧЕТА ИНДИВИДУАЛЬНЫМИ ПРЕДПРИНИМАТЕЛЯМИ, НЕ ОСУЩЕСТВЛЯЮЩИМИ ВЕДЕНИЕ БУХГАЛТЕРСКОГО УЧЕТА И СОСТАВЛЕНИЕ ФИНАНСОВОЙ ОТЧЕТНОСТИ В СООТВЕТСТВИИ С ЗАКОНОМ РЕСПУБЛИКИ КАЗАХСТАН «О БУХГАЛТЕРСКОМ УЧЕТЕ И ФИНАНСОВОЙ ОТЧЕТНОСТИ»
Статья 201. Общие положения
В целях применения норм настоящего Кодекса в части ведения налогового учета и порядка определения и исполнения налоговых обязательств индивидуальными предпринимателями, не осуществляющими ведение бухгалтерского учета и составление финансовой отчетности в соответствии с Законом Республики Казахстан «О бухгалтерском учете и финансовой отчетности», используются следующие понятия:
1) активы – имущество, контролируемое индивидуальным предпринимателем, от которого ожидается получение будущих экономических выгод;
2) первичные учетные документы – документальное свидетельство как на бумажном, так и электронном носителе факта совершения операции или события и права на ее совершение, на основании которого ведется налоговый учет;
3) биологический актив – животное или растение, предназначенное для использования в сельскохозяйственной деятельности;
4) запасы – активы, предназначенные для продажи, а также использования в производственном процессе, для административных целей или при выполнении работ, оказании услуг;
5) капитал – доля в активах индивидуального предпринимателя, остающаяся после вычета всех обязательств;
6) доходы – увеличение экономических выгод в течение отчетного периода в форме притока или прироста активов или уменьшения обязательств, которые приводят к увеличению капитала, отличному от увеличения, связанного с взносами лица, участвующего в капитале;
7) нематериальный актив – идентифицируемый неденежный актив, не имеющий физической формы, предназначенный для использования в производстве или для административных целей, в том числе для сдачи в имущественный наем (аренду) другим лицам;
8) обязательство – существующая обязанность индивидуального предпринимателя, урегулирование которой приведет к выбытию ресурсов, содержащих экономические выгоды;
9) основные средства – материальные активы, которые:
предназначены для использования в производстве или административных целей при реализации товаров, выполнении работ, оказании услуг, в том числе для сдачи в имущественный наем (аренду) другим лицам;
предполагается использовать в течение более одного года.
Статья 202. Формы первичных учетных документов и требования по их составлению
1. Индивидуальные предприниматели, не осуществляющие ведение бухгалтерского учета и финансовой отчетности в соответствии с Законом Республики Казахстан «О бухгалтерском учете и финансовой отчетности», применяют первичные учетные документы, формы и требования по составлению которых утверждаются уполномоченным органом.
Указанные индивидуальные предприниматели вправе также производить оформление первичных учетных документов в информационной системе электронных счетов-фактур с применением электронной цифровой подписи.
2. Записи в налоговых регистрах производятся на основании первичных документов.
Статья 202 с изменением, внесенным Законом РК от 21.12.2022 № 165-VII (вводится в действие с 01.01.2018).
Статья 203. Особенности ведения налогового учета
1. Индивидуальными предпринимателями операции, совершенные в иностранной валюте, пересчитываются в тенге с применением рыночного курса обмена валюты, определенного в последний рабочий день, предшествующий дате совершения операции. Курсовая разница в целях налогообложения не учитывается.
2. В налоговом учете запасы признаются по себестоимости при их получении индивидуальным предпринимателем либо уполномоченным им лицом, в том числе после их производства индивидуальным предпринимателем, в результате демонтажа основных средств путем перевода из состава прочих активов.
Себестоимость запасов включает затраты на приобретение, переработку, прочие затраты, произведенные в целях доведения запасов до их текущего состояния и доставки до места их текущего расположения.
Затраты на приобретение включают импортные пошлины, налоги (кроме возмещаемых), расходы на транспортировку, обработку и другие расходы, непосредственно связанные с приобретением. Торговые скидки, предоставленные поставщиком, возвраты платежей поставщиком и прочие аналогичные скидки и возвраты вычитаются при определении затрат.
Затраты на переработку запасов включают затраты, непосредственно связанные с переработкой сырья в готовую продукцию, в том числе прямые затраты на оплату труда, а также производственные накладные расходы.
Для целей налогового учета себестоимость единицы запасов определяется по фактическим затратам, предусмотренным частью второй настоящего пункта, на такую единицу запасов.
Индивидуальный предприниматель вправе определять для целей налогового учета себестоимость единицы запасов по методу средневзвешенной стоимости. По методу средневзвешенной стоимости себестоимость запасов определяется как среднее значение себестоимости запасов на начало периода и аналогичных запасов, приобретенных (произведенных) в течение периода. Выбор данного метода осуществляется индивидуальным предпринимателем путем отражения в налоговой учетной политике.
Индивидуальные предприниматели, осуществляющие производство товаров, а также индивидуальные предприниматели, выбравшие метод средневзвешенной стоимости, учитывают запасы при их поступлении и выбытии в налоговых регистрах, форма которых разрабатывается индивидуальными предпринимателями самостоятельно.
Доходом индивидуального предпринимателя не является поступление запасов путем внутреннего перемещения. Под внутренним перемещением запасов понимается их перемещение от одного материально ответственного лица, назначенного индивидуальным предпринимателем, к другому материально ответственному лицу, назначенному этим же индивидуальным предпринимателем.
Передача запасов на хранение или в качестве давальческого сырья для целей налогового учета индивидуального предпринимателя не является выбытием запасов.
Получение запасов на хранение осуществляется индивидуальным предпринимателем на основании договора хранения или заявления об отказе от акцепта в случае, если индивидуальный предприниматель получил запасы и на законных основаниях отказался от акцепта счетов платежных требований поставщиков этих запасов и их оплаты. Стоимость таких запасов не является доходом индивидуального предпринимателя.
Выбытием запасов является:
1) прекращение признания в качестве актива, в том числе при реализации запасов на сторону, безвозмездной передаче, использовании в производственном процессе, при выполнении работ, оказании услуг и для прочих целей, при передаче в качестве взноса в уставный капитал, при обмене, выявлении недостач при инвентаризации, хищении, порче имущества, истечении сроков хранения, моральном устаревании и иных случаях утраты потребительских свойств;
2) переклассификация актива, в том числе перевод в состав основных средств, прочих активов.
Глава 25. НАЛОГОВЫЕ ФОРМЫ
Статья 204. Налоговые формы
1. Налоговые формы включают в себя налоговое заявление, налоговую отчетность и налоговые регистры.
2. Налоговые формы составляются, подписываются, заверяются (печатью в установленных законодательством Республики Казахстан случаях либо электронной цифровой подписью) налогоплательщиком (налоговым агентом) либо его представителем, на бумажном и (или) электронном носителях на казахском и (или) русском языках.
Подписание и заверение налоговых форм налогоплательщиками-физическими лицами допускаются с использованием одноразовых паролей в соответствии с законодательством Республики Казахстан.
Сноска. Статья 204 с изменением, внесенным Законом РК от 10.12.2020 № 382-VI (вводится в действие с 01.01.2021).
Статья 205. Срок хранения налоговых форм
1. Налоговые формы хранятся у налогоплательщика (налогового агента) в течение срока исковой давности, установленного статьей 48 настоящего Кодекса, но не менее пяти лет.
2. При реорганизации налогоплательщика, налогового агента, оператора — юридического лица обязательство по хранению налоговых форм за реорганизованное лицо возлагается на его правопреемника (правопреемников).
Параграф 1. Налоговое заявление, налоговая отчетность
Статья 206. Общие положения
1. Налоговым заявлением является документ налогоплательщика (налогового агента), представляемый в налоговый орган с целью реализации его прав и исполнения обязанностей в случаях, установленных настоящим Кодексом. Формы налоговых заявлений утверждаются уполномоченным органом.
2. Налоговой отчетностью является документ налогоплательщика (налогового агента), представляемый в соответствии с порядком, установленным настоящим Кодексом, который содержит сведения о налогоплательщике (налоговом агенте), объектах налогообложения и (или) объектах, связанных с налогообложением, об активах и обязательствах, а также об исчислении налоговых обязательств и социальных платежей.
Налоговая отчетность включает в себя налоговые декларации, расчеты, приложения к ним, по видам налогов, платежей в бюджет, социальным платежам, заявление о ввозе товаров и уплате косвенных налогов, реестр договоров аренды (пользования). Формы налоговой отчетности и правила их составления утверждаются уполномоченным органом.
В целях настоящего Кодекса заявление о ввозе товаров и уплате косвенных налогов является налоговой декларацией.
3. Налоговая отчетность, за исключением заявления о ввозе товаров и уплате косвенных налогов, подразделяется на следующие виды:
1) первоначальная – налоговая отчетность, представляемая за налоговый период, в котором произведена постановка на регистрационный учет налогоплательщика (налогового агента) и (или) впервые возникли налоговое обязательство по определенным видам налогов и платежей в бюджет, а также обязанность по исчислению, удержанию и перечислению социальных платежей;
2) очередная – налоговая отчетность, представляемая за последующие налоговые периоды после представления первоначальной налоговой отчетности;
3) дополнительная – налоговая отчетность, представляемая при внесении изменений и (или) дополнений в ранее представленную налоговую отчетность за налоговый период, к которому относятся данные изменения и (или) дополнения;
4) дополнительная по уведомлению – налоговая отчетность, представляемая при внесении изменений и (или) дополнений в ранее представленную налоговую отчетность за налоговый период, в котором налоговым органом выявлены нарушения по результатам камерального контроля;
5) ликвидационная – налоговая отчетность, представляемая при прекращении деятельности, ликвидации или реорганизации налогоплательщика (налогового агента), а также при снятии с регистрационного учета по налогу на добавленную стоимость.
Сноска. Статья 206 с изменениями, внесенными Законом РК от 10.12.2020 № 382-VI (вводится в действие с 01.01.2021).
Статья 207. Особенности составления налоговой отчетности, в том числе реестра договоров аренды (пользования)
1. В случаях, предусмотренных настоящим Кодексом, налогоплательщик (налоговый агент), осуществляющий виды деятельности, для которых установлены различные условия налогообложения, составляет налоговую отчетность раздельно по каждому виду деятельности.
В случае перехода в течение календарного года со специального налогового режима для производителей сельскохозяйственной продукции и сельскохозяйственных кооперативов на общеустановленный порядок, составляется налоговая отчетность отдельно за период применения в указанном календарном году:
специального налогового режима;
общеустановленного порядка.
2. Недропользователи, для которых настоящим Кодексом предусмотрена необходимость ведения раздельного налогового учета, составляют налоговую отчетность в порядке, определенном настоящим Кодексом.
3. Реестр договоров аренды (пользования) составляется лицами, предоставляющими во временное владение и пользование торговые объекты, торговые места в торговых объектах, в том числе на торговых рынках.
Реестр договоров аренды (пользования) составляется и представляется в налоговый орган по месту нахождения налогоплательщика, предоставляющего в аренду (пользование) торговые объекты, торговые места в торговых объектах, в том числе на торговых рынках, в срок не позднее 31 марта года, следующего за отчетным.
Статья 208. Порядок представления налогового заявления, налоговой отчетности
1. Налоговое заявление, налоговая отчетность представляются в налоговые органы в порядке и сроки, которые установлены настоящим Кодексом.
2. Если налогоплательщик (налоговый агент) относится к категориям, для которых уполномоченным органом установлены различные формы налоговой отчетности, то в этом случае представляется налоговая отчетность по формам, предусмотренным для каждой категории, к которой налогоплательщик (налоговый агент) относится.
3. Если иное не предусмотрено настоящей статьей, налоговое заявление и налоговая отчетность представляются в соответствующие налоговые органы по выбору:
1) в явочном порядке – на бумажном носителе, в том числе через Государственную корпорацию «Правительство для граждан» (за исключением налоговой отчетности по налогу на добавленную стоимость);
2) по почте заказным письмом с уведомлением – на бумажном носителе;
3) в электронной форме, допускающем компьютерную обработку информации.
4. После снятия с регистрационного учета по налогу на добавленную стоимость по решению налогового органа налоговая отчетность по налогу на добавленную стоимость представляется в явочном порядке.
5. Уполномоченный орган совместно со специальными государственными органами, органами военной разведки Министерства обороны Республики Казахстан, правоохранительными органами определяют особый порядок представления налоговой отчетности и перечень лиц, представляющих такую отчетность.
6. В случае представления в явочном порядке на бумажном носителе налоговое заявление и (или) налоговая отчетность представляются в двух экземплярах, один экземпляр возвращается налогоплательщику (налоговому агенту) с отметкой налогового органа.
7. Структура электронного формата, программное обеспечение для составления и представления в электронной форме и обновление данного программного обеспечения размещаются на интернет-ресурсе уполномоченного органа:
1) налогового заявления – не позднее 1 января текущего года;
2) налоговой отчетности – не позднее чем за тридцать рабочих дней до наступления срока представления налоговой отчетности.
8. После представления ликвидационной налоговой отчетности налогоплательщик (налоговый агент) не вправе представлять в налоговый орган последующую налоговую отчетность, за исключением дополнительной и (или) дополнительной по уведомлению, если иное не предусмотрено настоящим пунктом.
Ликвидационная налоговая отчетность, представленная за незавершенный налоговый период, приравнивается к очередной налоговой отчетности за налоговый период в случаях:
1) изменения налогоплательщиком (налоговым агентом) решения о ликвидации, реорганизации путем разделения после завершения налоговой проверки;
2) изменения налогоплательщиком (налоговым агентом) решения о прекращении предпринимательской деятельности до снятия с регистрационного учета в качестве индивидуального предпринимателя;
3) вынесения решения об отказе в снятии с регистрационного учета в качестве индивидуального предпринимателя.
За последующие налоговые периоды с даты представления ликвидационной налоговой отчетности налоговая отчетность представляется в соответствующие налоговые органы в порядке и сроки, которые установлены настоящим Кодексом.
9. При отсутствии объектов налогообложения налоговая отчетность не представляется по:
налогу на имущество;
земельному налогу;
налогу на транспортные средства;
рентному налогу на экспорт;
подписному бонусу;
платежу по возмещению исторических затрат;
платежам в бюджет.
корпоративному подоходному налогу, удерживаемому у источника выплаты с дохода нерезидента.
9-1. По специальным платежам и налогам недропользователей, не указанным в пункте 9 настоящей статьи, налоговая отчетность представляется недропользователем по соответствующему контракту на недропользование.
10. Обязательство по представлению налоговой отчетности по акцизу распространяется на налогоплательщиков (налоговых агентов), осуществляющих следующие виды деятельности:
производство бензина (кроме авиационного), дизельного топлива;
оптовая и (или) розничная реализация бензина (кроме авиационного), дизельного топлива;
производство этилового спирта и (или) алкогольной продукции;
производство табачных изделий;
производство, сборка (комплектация) подакцизных товаров, предусмотренных подпунктом 6) статьи 462 настоящего Кодекса, за исключением их производства, сборки (комплектации) на территории свободного склада.
Обязательство по представлению налоговой отчетности по акцизу распространяется на налогоплательщиков (налоговых агентов), осуществляющих облагаемые операции по сырой нефти, газовому конденсату (кроме сырой нефти, газового конденсата реализованных на экспорт).
Обязательство по представлению налоговой отчетности по акцизу не распространяется на налогоплательщиков (налоговых агентов), осуществляющих оптовую реализацию табачных изделий, изделий с нагреваемым табаком, никотиносодержащей жидкости для использования в электронных сигаретах.
11. Приложения к декларациям, расчетам не представляются при отсутствии данных, подлежащих отражению в них.
Сноска. Статья 208 с изменениями, внесенными законами РК от 02.04.2019 № 241-VI (вводится в действие по истечении десяти календарных дней после дня его первого официального опубликования); от 20.12.2021 № 85-VII (вводится в действие 01.01.2018); от 21.12.2022 № 165-VII (вводится в действие с 01.01.2023); от 15.07.2025 № 208-VIII (вводится в действие с 01.01.2025).
Статья 209. Прием налоговых форм, за исключением налоговых регистров
1. Налоговые формы представляются в налоговые органы в сроки, установленные настоящим Кодексом и подзаконными нормативными правовыми актами, определяющими порядок оказания государственных услуг, утверждаемыми уполномоченным органом.
2. Датой представления налоговых форм в налоговые органы в зависимости от способа их представления является:
1) дата приема налоговыми органами или Государственной корпорацией «Правительство для граждан» – при представлении в явочном порядке;
2) дата отметки о приеме почтовой или иной организации связи – при представлении по почте заказным письмом с уведомлением;
3) дата принятия центральным узлом системы приема и обработки налоговой отчетности, указанная в электронном уведомлении, направляемом налогоплательщику (налоговому агенту) в срок не позднее одного рабочего дня с момента принятия системой – при представлении в электронной форме.
3. При приеме и обработке налоговых форм системой налоговых органов проводится форматно-логический контроль, заключающийся в проверке полноты и корректности ее заполнения.
4. Информация о представлении деклараций физических лиц размещается на интернет-ресурсе уполномоченного органа в течение пятнадцати рабочих дней с даты представления деклараций физических лиц, установленной пунктом 2 настоящей статьи.
5. Налоговые формы считаются не представленными в налоговые органы при наличии одного или нескольких из следующих случаев:
1) налоговые формы не соответствуют установленным уполномоченным органом формам;
2) в налоговой форме не указан код налогового органа;
3) в налоговой форме не указан или неверно указан идентификационный номер налогоплательщика (налогового агента);
4) в налоговой форме не указан налоговый период;
5) в налоговой форме не указана дата, на которую составляется декларация об активах и обязательствах;
6) в налоговой форме не указан вид налоговой отчетности;
7) налоговая отчетность не подписана и (или) не заверена печатью со своим наименованием;
8) налоговая отчетность имеет статус обработки «Отказ в обработке» при непринятии системой приема и обработки налоговой отчетности форматно-логического контроля;
9) нарушены требования пункта 1 статьи 212 настоящего Кодекса относительно способа представления налоговой отчетности в случае продления срока представления налоговой отчетности;
10) одновременно с декларацией по налогу на добавленную стоимость не представлены реестры счетов-фактур по приобретенным и реализованным в течение налогового периода товарам, работам, услугам – в случае выписки счетов-фактур на бумажном носителе в соответствии с подпунктом 1) пункта 2 статьи 412 настоящего Кодекса;
11) налоговая отчетность по налогу на добавленную стоимость представлена не в явочном порядке после снятия с регистрационного учета по указанному налогу по решению налогового органа.
12) налоговая отчетность представлена индивидуальным предпринимателем или юридическим лицом, регистрация которого признана недействительной на основании вступившего в законную силу решения суда;
13) налоговая отчетность по налогу на добавленную стоимость представлена лицами, снятыми с регистрационного учета по налогу на добавленную стоимость по решению налогового органа в случаях, предусмотренных абзацами восьмым и девятым подпункта 6) пункта 4 статьи 85 настоящего Кодекса.
Сноска. Статья 209 с изменениями, внесенными законами РК от 25.11.2019 № 272-VI (вводится в действие по истечении десяти календарных дней после дня его первого официального опубликования); от 10.12.2020 № 382-VI (вводится в действие с 01.01.2021); от 21.12.2022 № 165-VII (вводится в действие с 01.01.2023).
Статья 210. Порядок отзыва налоговой отчетности
1. Налогоплательщик (налоговый агент) для отзыва налоговой отчетности представляет в налоговый орган:
1) налоговое заявление – по месту своего регистрационного учета.
В случае отзыва методом изменения налоговой отчетности, в которой неверно указан код налогового органа, налоговое заявление представляется по месту представления такой отчетности;
2) налоговую отчетность – в случае отзыва налоговой отчетности методом удаления, представленной с нарушением условий пункта 2 статьи 208 настоящего Кодекса.
Налоговая отчетность подлежит отзыву налоговым органом из системы приема и обработки налоговой отчетности с учетом всех дополнительных форм налоговой отчетности, представленных за указанный налоговый период.
Отзыв налоговой отчетности производится одним из следующих методов:
1) методом удаления, при котором отзываемая налоговая отчетность удаляется из центрального узла системы приема и обработки налоговой отчетности;
2) методом изменения, при котором в ранее представленную налоговую отчетность вносятся заявляемые налогоплательщиком (налоговым агентом) изменения и (или) дополнения.
2. Методом удаления производится отзыв следующей налоговой отчетности:
1) ликвидационной налоговой отчетности в случае принятия решения о возобновлении деятельности до начала проведения налоговой проверки;
2) представленной с нарушением условий пункта 2 статьи 208 и пункта 5 статьи 211 настоящего Кодекса;
3) представленной при отсутствии обязательства по представлению такой налоговой отчетности;
4) которая считается непредставленной в соответствии с пунктом 5 статьи 209 настоящего Кодекса;
5) представленной после истечения срока исковой давности, за исключением налоговой отчетности по уведомлениям об устранении нарушений, выявленных налоговым органом по результатам камерального контроля.
При отзыве налоговой отчетности методом удаления в лицевых счетах налогоплательщика (налогового агента) налоговым органом по месту регистрационного учета осуществляется сторнирование исчисленных (уменьшенных) сумм налогов, платежей в бюджет, социальных платежей по отзываемой налоговой отчетности.
В случае непредставления налогового заявления об отзыве налоговой отчетности, указанной в подпунктах 2), 3), 4) и 5) части первой настоящего пункта, налоговый орган в срок не позднее пяти рабочих дней со дня выявления факта непредставления направляет налогоплательщику (налоговому агенту) уведомление об устранении нарушений налогового законодательства Республики Казахстан.
При неисполнении уведомления налоговый орган производит отзыв налоговой отчетности без налогового заявления методом удаления. Отзыв производится на основании решения налогового органа на отзыв налоговой отчетности по форме, установленной уполномоченным органом.
3. Методом изменения производится отзыв следующей налоговой отчетности:
1) в которой не указан или неверно указан код валюты;
2) в которой не указаны или неверно указаны номер и (или) дата контракта на недропользование;
3) в которой не указан или неверно указан статус резидентства;
4) в которой неверно указан код налогового органа;
5) в которой неверно указан налоговый период;
6) в которой неверно указан вид налоговой отчетности;
7) ликвидационной налоговой отчетности в случае принятия решения о возобновлении деятельности после проведения налоговой проверки или завершения камерального контроля.
При отзыве налоговой отчетности методом изменения в лицевых счетах налогоплательщика (налогового агента) налоговым органом по месту регистрационного учета осуществляется сторнирование сумм, отраженных в отзываемой налоговой отчетности, с последующим отражением в лицевом счете данных по налоговой отчетности с учетом заявленных изменений и (или) дополнений.
4. Не допускается отзыв представленной налоговой отчетности:
1) проверяемого налогового периода – в период проведения комплексных и тематических проверок по видам налогов и платежей в бюджет и социальным платежам, указанным в предписании на проведение проверки;
2) обжалуемого налогового периода – в период срока подачи и рассмотрения жалобы на уведомление о результатах проверки с учетом восстановленного срока подачи жалобы;
3) по уведомлениям об устранении нарушений, выявленных налоговым органом по результатам камерального контроля.
5. Сведения об отзыве публикуются на интернет-ресурсе уполномоченного органа в следующие сроки:
1) в случае отзыва налоговой отчетности на основании налогового заявления, указанного в пункте 1 настоящей статьи, – в течение одного рабочего дня с даты получения такого заявления;
2) в случае отзыва налоговой отчетности на основании решения налогового органа, указанного в пункте 2 настоящей статьи, – в течение двух рабочих дней со дня окончания срока, предусмотренного для исполнения уведомления об устранении нарушений налогового законодательства Республики Казахстан.
6. Настоящая статья не распространяется на случаи, предусмотренные статьей 458 настоящего Кодекса.
Сноска. Статья 210 с изменением, внесенным Законом РК от 10.12.2020 № 382-VI (вводится в действие с 01.01.2021).
Статья 211. Внесение изменений и дополнений в налоговую отчетность
1. Налогоплательщик (налоговый агент) вправе внести изменения и дополнения в налоговую отчетность путем составления дополнительной налоговой отчетности за налоговый период, к которому относятся данные изменения и дополнения.
2. В дополнительной налоговой отчетности по соответствующим строкам указывается:
1) разница между суммами, указанными в ранее представленной налоговой отчетности, и фактическим налоговым обязательством за налоговый период – при изменении сумм;
2) новое значение – при изменении остальных данных.
3. При представлении дополнительной и (или) дополнительной по уведомлению налоговой отчетности выявленные налогоплательщиком (налоговым агентом) или налоговым органом по результатам камерального контроля суммы налогов, платежей подлежат внесению в бюджет, а суммы социальных платежей подлежат уплате в соответствии с законами Республики Казахстан – без привлечения налогоплательщика (налогового агента) к ответственности, установленной законами Республики Казахстан.
4. До начала налоговой проверки, проводимой налоговым органом по налоговому заявлению налогоплательщика (налогового агента) о ликвидации, реорганизации путем разделения или прекращении деятельности, допускается представление дополнительной налоговой отчетности.
5. Не допускается внесение изменений и дополнений в соответствующую налоговую отчетность:
1) проверяемого налогового периода – в период проведения (с учетом продления и приостановления) комплексных и тематических проверок по видам налогов и платежей в бюджет, социальным платежам, указанным в предписании на проведение налоговой проверки;
2) обжалуемого налогового периода:
в период срока подачи и рассмотрения жалобы на уведомление о результатах проверки с учетом восстановленного срока подачи жалобы по видам налогов и платежей в бюджет, а также социальным платежам, указанным в жалобе налогоплательщика (налогового агента);
в период срока подачи и рассмотрения жалобы на уведомление по результатам горизонтального мониторинга;
3) в части требования о возврате налога на добавленную стоимость;
4) в сторону уменьшения – по авансовым платежам по корпоративному подоходному налогу за месяцы налогового периода, по которым наступили сроки уплаты авансовых платежей, за исключением случая, предусмотренного подпунктом 5) настоящего пункта;
5) позднее 20 января текущего налогового периода – по авансовым платежам по корпоративному подоходному налогу, подлежащим уплате за период до сдачи декларации по корпоративному подоходному налогу за предыдущий налоговый период;
6) позднее 31 декабря текущего налогового периода – по авансовым платежам по корпоративному подоходному налогу, подлежащим уплате за период после сдачи декларации по корпоративному подоходному налогу за предыдущий налоговый период;
7) в части отражения в декларациях физических лиц задолженности других лиц перед физическим лицом (дебиторской задолженности) и задолженности физического лица перед другими лицами (кредиторской задолженности), образовавшихся по отношениям, возникшим с физическим лицом, кроме задолженностей по сделкам, нотариально засвидетельствованным в Республике Казахстан до начала года, в котором возникло обязательство по представлению декларации физического лица, а также задолженностей, признанных по решению суда;
8) в части изменения метода отнесения на вычеты управленческих и общеадминистративных расходов юридического лица-нерезидента.
Положение подпунктов 1) и 2) части первой настоящего пункта не распространяется на право налогового агента по внесению изменений и дополнений в налоговую отчетность, указанную в статьях 648 и 657 настоящего Кодекса, в части нерезидентов, по которым налоговым органом не рассматриваются:
заявление на возврат уплаченного подоходного налога из бюджета на основании международного договора, предусмотренное статьей 672 настоящего Кодекса;
жалоба на уведомление о результатах проверки, проведенной согласно заявлению, представленному на основании статьи 672 настоящего Кодекса.
6. Не допускается после даты ликвидации юридического лица или даты прекращения деятельности индивидуального предпринимателя внесение налогоплательщиком, являвшимся контрагентом такого ликвидированного (прекратившего деятельность) налогоплательщика, изменений и дополнений в налоговую отчетность по корпоративному подоходному налогу и налогу на добавленную стоимость (в том числе в реестр по приобретенным товарам, работам, услугам) в части отражения соответствующих сумм по сделкам с таким ликвидированным (прекратившим деятельность) налогоплательщиком, которое приводит к уменьшению налоговых обязательств по корпоративному подоходному налогу и налогу на добавленную стоимость.
Сноска. Статья 211 с изменениями, внесенными законами РК от 21.12.2022 № 165-VII (вводится в действие с 01.01.2023).
Статья 212. Продление сроков представления налоговой отчетности
1. Налогоплательщик (налоговый агент) вправе продлить срок представления налоговой отчетности при условии ее представления в электронной форме, за исключением заявления о ввозе товаров и уплате косвенных налогов.
Срок представления деклараций об активах и обязательствах, о доходах и имуществе не продлевается, за исключением случаев представления деклараций военнослужащими срочной службы.
2. Для продления срока представления налоговой отчетности в налоговый орган по месту регистрационного учета направляется уведомление по форме, установленной уполномоченным органом в соответствии с настоящей статьей, в том числе через Государственную корпорацию «Правительство для граждан».
Уведомление направляется на бумажном носителе или в электронной форме до истечения срока, установленного настоящим Кодексом, для представления налоговой отчетности.
Продление распространяется на налоговую отчетность, представляемую налогоплательщиком (налоговым агентом) в течение календарного года, в котором в налоговый орган направлено уведомление на продление.
3. Срок представления налоговой отчетности, за исключением расчета сумм авансовых платежей по корпоративному подоходному налогу, продлевается на период:
1) не более тридцати календарных дней со срока, установленного для представления декларации по корпоративному подоходному налогу или индивидуальному подоходному налогу;
2) не более пятнадцати календарных дней со срока, установленного для представления декларации и (или) расчета по иным видам налогов, платежам в бюджет, социальным платежам;
3) не более тридцати календарных дней со срока, установленного для представления декларации по иным видам налогов, платежам в бюджет, социальным платежам для налогоплательщиков, имеющих низкий уровень рисков по системе управления рисками.
4. Продление не изменяет срока уплаты налогов, платежей в бюджет и социальных платежей.
5. Исключен Закононм РК от 15.07.2025 № 208-VIII (вводится в действие с 01.01.2025).
6. Срок представления налоговой отчетности не продлевается в отношении налогоплательщика (налогового агента), имеющего высокий уровень рисков по системе управления рисками, за исключением индивидуального предпринимателя, применяющего специальные налоговые режимы.
Сноска. Статья 212 с изменениями, внесенными законами РК от 10.12.2020 № 382-VI (вводится в действие с 01.01.2021); от 15.07.2025 № 208-VIII (вводится в действие с 01.01.2025).
Статья 213. Порядок приостановления (продления, возобновления) представления налоговой отчетности налогоплательщиком (налоговым агентом)
1. Налогоплательщик (налоговый агент) в порядке, определенном настоящей статьей, имеет право на основании налогового заявления:
1) приостановить представление налоговой отчетности;
2) продлить срок приостановления представления налоговой отчетности;
3) возобновить представление налоговой отчетности, если иное не предусмотрено настоящей статьей.
Налогоплательщик (налоговый агент) представляет в налоговый орган по месту своего нахождения:
1) налоговое заявление – в случае принятия решения о приостановлении или возобновлении деятельности или продлении срока приостановления представления налоговой отчетности.
Налоговое заявление представляется:
на предстоящий период – в случае принятия решения о приостановлении деятельности;
до окончания срока приостановления деятельности – в случае принятия решения о возобновлении деятельности или продлении срока приостановления представления налоговой отчетности;
2) налоговую отчетность с начала налогового периода до даты приостановления деятельности, указанной в налоговом заявлении, – в случае принятия решения о приостановлении деятельности.
В случае если срок представления очередной налоговой отчетности наступает после представления налогового заявления, то представление такой отчетности производится до даты представления налогового заявления;
3) налоговое заявление о регистрационном учете по налогу на добавленную стоимость в целях снятия с такого учета – в случае принятия решения о приостановлении деятельности налогоплательщиком (налоговым агентом), являющимся плательщиком налога на добавленную стоимость.
Общий срок приостановления представления налоговой отчетности с учетом его продления не должен превышать срок исковой давности, установленный статьей 48 настоящего Кодекса. Продление осуществляется на период, указанный в налоговом заявлении, с учетом общего срока.
2. Налоговый орган в течение одного рабочего дня с даты получения налогового заявления обязан провести приостановление (продление, возобновление) представления налоговой отчетности или отказать в приостановлении представления налоговой отчетности.
3. Сведения о приостановлении (продлении, возобновлении) публикуются на интернет-ресурсе уполномоченного органа не позднее даты принятия такого решения и являются основанием для непредставления налоговой отчетности за период, указанный в налоговом заявлении.
4. Отказ в приостановлении представления налоговой отчетности принимается в случаях наличия у налогоплательщика (налогового агента):
1) налоговой задолженности, задолженности по социальным платежам на дату подачи заявления;
2) факта непредставления:
налоговой отчетности, указанной в подпункте 2) части второй пункта 1 настоящей статьи, с учетом срока исковой давности;
налогового заявления о регистрационном учете по налогу на добавленную стоимость в случае, установленном подпунктом 3) части второй пункта 1 настоящей статьи;
3) факта признания налоговым органом бездействующим в соответствии со статьей 91 настоящего Кодекса;
4) неисполненных уведомлений, направленных налоговым органом.
5. В случае отказа в приостановлении представления налоговой отчетности налоговая отчетность представляется в порядке, определенном настоящим Кодексом.
6. В случае обнаружения налоговым органом фактов возобновления налогоплательщиком (налоговым агентом) деятельности в период ее приостановления налоговые органы без извещения указанных лиц признают прекращенным срок приостановления представления налоговой отчетности с даты возобновления деятельности.
Для целей настоящего пункта возобновлением деятельности признается начало осуществления налогоплательщиком (налоговым агентом), приостановившим деятельность в соответствии с настоящей статьей, деятельности, приводящей к возникновению обязательства по исчислению, уплате налогов, платежей в бюджет и социальных платежей.
7. Положения настоящей статьи не распространяются на:
1) индивидуального предпринимателя, применяющего специальные налоговые режимы на основе уплаты единого земельного налога, для субъектов малого бизнеса на основе патента или с использованием специального мобильного приложения;
2) плательщика налога на игорный бизнес;
3) налогоплательщика, применяющего специальный налоговый режим для производителей сельскохозяйственной продукции и сельскохозяйственных кооперативов;
4) налогоплательщика (налогового агента), имеющего высокий уровень рисков по системе управления рисками, за исключением индивидуального предпринимателя, применяющего специальные налоговые режимы;
5) порядок и сроки представления налоговой отчетности по налогам на имущество, транспортные средства и земельному налогу, по плате за пользование земельными участками.
Сноска. Статья 213 с изменениями, внесенными законами РК от 10.12.2020 № 382-VI (вводится в действие с 01.01.2021); от 24.06. 2021 № 53-VII (вводится в действие с 01.01.2022).
Статья 214. Порядок приостановления (продления, возобновления) представления налоговой отчетности индивидуальным предпринимателем, применяющим специальный налоговый режим для субъектов малого бизнеса на основе патента
1. Индивидуальный предприниматель в порядке, определенном настоящей статьей, вправе на основании налогового заявления:
1) приостановить представление налоговой отчетности;
2) продлить срок приостановления представления налоговой отчетности.
В случае принятия решения о приостановлении деятельности или продлении срока приостановления представления расчета стоимости патента индивидуальным предпринимателем представляется налоговое заявление в налоговый орган по месту своего нахождения.
Налоговое заявление представляется:
на предстоящий период до истечения срока действия патента – в случае принятия решения о приостановлении деятельности;
до окончания срока приостановления деятельности – в случае принятия решения о продлении срока приостановления представления расчета.
Общий срок приостановления представления расчета с учетом его продления не должен превышать три года с даты начала срока приостановления представления расчета.
2. Налоговый орган в день подачи налогового заявления обязан провести приостановление (продление, возобновление) представления расчета или отказать в приостановлении представления расчета.
3. Сведения о приостановлении (продлении, возобновлении) представления расчета публикуются на интернет-ресурсе уполномоченного органа не позднее даты принятия такого решения и являются основанием для непредставления расчета за период, указанный в налоговом заявлении.
4. Отказ в приостановлении представления расчета принимается в случае наличия у индивидуального предпринимателя:
1) налоговой задолженности, задолженности по социальным платежам на дату подачи налогового заявления;
2) факта непредставления налоговой отчетности с учетом срока исковой давности;
3) неисполненных уведомлений, направленных налоговым органом.
5. Индивидуальный предприниматель признается возобновившим деятельность после истечения срока приостановления деятельности, если иное не установлено настоящей статьей.
6. Индивидуальный предприниматель вправе возобновить деятельность до окончания срока приостановления деятельности путем подачи в налоговый орган расчета на предстоящий период со дня возобновления деятельности.
7. При представлении расчета в период приостановления его представления индивидуальный предприниматель признается возобновившим деятельность со дня начала деятельности, указанного в данном расчете.
При переходе на специальный налоговый режим с использованием специального мобильного приложения индивидуальный предприниматель признается возобновившим деятельность с даты начала действия такого специального налогового режима.
8. При непредставлении в течение шестидесяти календарных дней со дня истечения срока действия патента налогового заявления или очередного расчета индивидуальный предприниматель подлежит снятию с регистрационного учета в качестве индивидуального предпринимателя в порядке, определенном статьей 67 настоящего Кодекса.
9. В случае обнаружения фактов возобновления индивидуальным предпринимателем деятельности в период ее приостановления налоговый орган признает прекращенным срок приостановления представления расчета с даты возобновления деятельности с письменным извещением индивидуального предпринимателя.
Для целей настоящего пункта возобновлением деятельности признается начало осуществления индивидуальным предпринимателем, приостановившим деятельность в соответствии с настоящей статьей, деятельности, приводящей к возникновению обязательства по исчислению, уплате налогов, платежей в бюджет и социальных платежей.
10. Положения настоящей статьи не распространяются на порядок и сроки представления налоговой отчетности по налогам на имущество, транспортные средства и земельному налогу, по плате за пользование земельными участками.
Сноска. Статья 214 с изменением, внесенным Законом РК от 21.12.2022 № 165-VII (вводится в действие с 01.01.2023).
Параграф 2. Налоговые регистры
Статья 215. Налоговые регистры
1. Налоговым регистром является документ налогоплательщика (налогового агента), содержащий сведения об объектах налогообложения и (или) объектах, связанных с налогообложением, а также о полученных деньгах и (или) имуществе от иностранных государств, международных и иностранных организаций, иностранцев, лиц без гражданства, а также о расходовании указанных денег и (или) иного имущества в соответствии с пунктом 1 статьи 29 настоящего Кодекса.
Налоговые регистры предназначены для обобщения и систематизации информации для обеспечения целей налогового учета, указанных в пункте 5 статьи 190 настоящего Кодекса.
Формирование данных налогового учета осуществляется путем отражения информации, использующейся для целей налогообложения, в хронологическом порядке и с обеспечением преемственности данных налогового учета между налоговыми периодами (в том числе по операциям, результаты которых учитываются в нескольких налоговых периодах, оказывают влияние на размер объекта обложения в последующие налоговые периоды либо переносятся на ряд лет).
Налогоплательщик (налоговый агент) составляет налоговые регистры в виде специальных форм. Формы налоговых регистров и порядок отражения в них данных налогового учета разрабатываются налогоплательщиком (налоговым агентом) самостоятельно с учетом положений настоящей статьи, за исключением форм налоговых регистров, установленных уполномоченным органом, и утверждаются в налоговой учетной политике.
Правильность отражения хозяйственных операций в налоговых регистрах обеспечивают лица, подписавшие их.
2. Налоговые регистры включают в себя:
1) налоговые регистры, составляемые налогоплательщиком (налоговым агентом) самостоятельно по формам, установленным налогоплательщиком (налоговым агентом) в налоговой учетной политике с учетом положений статьи 190 настоящего Кодекса;
2) налоговые регистры, составляемые налогоплательщиком (налоговым агентом), формы и правила составления которых утверждается уполномоченным органом.
3. Налоговые регистры должны содержать следующие обязательные реквизиты:
1) наименование регистра;
2) идентификационный номер налогоплательщика (налогового агента);
3) период, за который составлен регистр;
4) фамилия, имя, отчество (если оно указано в документе, удостоверяющем личность) лица, ответственного за составление регистра.
4. Уполномоченный орган вправе устанавливать формы налоговых регистров для отражения информации по:
1) применению освобождения от налогообложения, уменьшения налогооблагаемого дохода по корпоративному подоходному налогу, инвестиционным налоговым преференциям;
2) определению стоимостных балансов групп (подгрупп) фиксированных активов и последующим расходам по фиксированным активам;
3) производным финансовым инструментам;
4) суммам управленческих и общеадминистративных расходов юридического лица-нерезидента, отнесенным на вычеты его постоянным учреждением в Республике Казахстан;
5) имуществу, переданному по договору лизинга;
6) учету предусмотренных подпунктами 8) – 10) пункта 5 статьи 232 настоящего Кодекса уменьшений размера требований к должникам;
7) действовал до 01.01.2019 в соответствии с Законом РК от 25.12.2017 № 121-VI;
8) учету закупа у лица, занимающегося личным подсобным хозяйством, сельскохозяйственной продукции заготовительной организацией в сфере агропромышленного комплекса, сельскохозяйственным кооперативом и (или) юридическим лицом, осуществляющим переработку сельскохозяйственного сырья, и ее реализации;
9) услугам туроператора – в разрезе выездного и въездного туризма;
10) получению денег и (или) иного имущества от иностранных государств, международных и иностранных организаций, иностранцев, лиц без гражданства, а также по расходованию указанных денег и (или) иного имущества;
11) обороту в виде остатков товаров для целей исчисления налога на добавленную стоимость;
12) налогу на добавленную стоимость, относимому в зачет, по остаткам товаров;
13) реализации сельскохозяйственным кооперативом своим членам товаров в соответствии с абзацем шестым подпункта 2) пункта 2 статьи 698 настоящего Кодекса, а также предоставлению таких товаров в пользование, доверительное управление, аренду;
14) выполнению (оказанию) сельскохозяйственным кооперативом для своих членов работ (услуг) в соответствии с абзацем пятым подпункта 2) пункта 2 статьи 698 настоящего Кодекса.
Положения настоящего пункта не распространяются на индивидуальных предпринимателей, которые в соответствии с Законом Республики Казахстан «О бухгалтерском учете и финансовой отчетности» не осуществляют ведение бухгалтерского учета и составление финансовой отчетности, за исключением налогового регистра для отражения информации, предусмотренной подпунктом 10) части первой настоящего пункта.
5. Для индивидуальных предпринимателей, которые в соответствии с Законом Республики Казахстан «О бухгалтерском учете и финансовой отчетности» не осуществляют ведение бухгалтерского учета и составление финансовой отчетности, уполномоченный орган вправе устанавливать формы налоговых регистров для отражения информации по учету:
1) доходов, в том числе полученных путем безналичных расчетов;
2) приобретенных товаров, работ и услуг;
3) объектов обложения индивидуальным подоходным налогом с доходов физических лиц, подлежащих налогообложению у источника выплаты, а также социальным налогом и социальными платежами;
4) налоговых обязательств по плате за:
негативное воздействие на окружающую среду;
пользование водными ресурсами поверхностных источников.
6. Исключен Законом РК от 10.12.2020 № 382-VI (вводится в действие с 01.01.2020).
6-1. Для лица, занимающегося частной практикой, уполномоченный орган утверждает формы налоговых регистров по учету:
1) доходов от занятия частной практикой;
2) расходов, предусмотренных статьями 362, 363, 364 и 365 настоящего Кодекса.
7. Для раскрытия информации о перевозчиках и (или) поставщиках работ, услуг, оказываемых в рамках договора транспортной экспедиции, а также стоимости таких работ, услуг, экспедитор ведет налоговый регистр, в котором должны быть отражены следующие данные:
1) порядковый номер и дата выписки счета-фактуры перевозчика и (или) поставщика работ, услуг, являющихся плательщиками налога на добавленную стоимость;
2) идентификационный номер налогоплательщика перевозчика и (или) поставщика работ, услуг;
3) фамилия, имя, отчество (если оно указано в документе, удостоверяющем личность) или наименование перевозчика и (или) поставщика работ, услуг;
4) стоимость работ, услуг, осуществляемых перевозчиком и (или) поставщиком работ, услуг, являющимися плательщиками налога на добавленную стоимость, включаемая в размер облагаемого (необлагаемого) оборота, указанный в счете-фактуре;
5) стоимость работ, услуг, осуществляемых перевозчиком и (или) поставщиком, не являющимися плательщиками налога на добавленную стоимость, с указанием «Без НДС»;
6) стоимость работ, услуг, являющихся оборотом экспедитора по приобретению работ, услуг от нерезидента.
7-1. В случаях порчи, утраты товаров в результате чрезвычайных ситуаций либо в период действия чрезвычайного положения плательщик налога на добавленную стоимость составляет налоговый регистр, в котором отражаются сведения, предусмотренные пунктом 3 настоящей статьи, а также следующие данные:
1) наименование товара;
2) сумма налога на добавленную стоимость, отнесенного в зачет;
3) балансовая стоимость товара;
4) реквизиты документа, на основании которого налог на добавленную стоимость по такому товару ранее отнесен в зачет (наименование, номер, дата), а также стоимость товара без налога на добавленную стоимость (размер облагаемого оборота).
8. В случае ведения налоговых регистров на бумажных носителях исправление ошибок в таких налоговых регистрах должно быть обосновано и подтверждено подписью ответственного лица, внесшего исправление, с указанием даты и обоснованием внесенных исправлений.
9. За исключением случаев, установленных частью второй настоящего пункта, налоговые регистры представляются должностным лицам налоговых органов при проведении налоговых проверок на бумажных носителях и (или) на электронных носителях – по требованию должностных лиц налоговых органов, осуществляющих проверку.
Налогоплательщики в рамках налогового мониторинга представляют налоговые регистры по требованию налоговых органов или их должностных лиц.
При составлении налоговых регистров в электронной форме налогоплательщик (налоговый агент) обязан в ходе налоговой проверки и в рамках налогового мониторинга по требованию налоговых органов или их должностных лиц представить налоговые регистры на электронных носителях и копии таких налоговых регистров на бумажных носителях, заверенные подписями руководителя и лиц (лица), ответственных (ответственного) за составление данных налоговых регистров налогоплательщика (налогового агента), а также печатью налогоплательщика (налогового агента), за исключением случаев, когда у налогоплательщика (налогового агента) печать отсутствует по основаниям, предусмотренным законодательством Республики Казахстан.
10. Для индивидуальных предпринимателей, применяющих специальный налоговый режим с использованием фиксированного вычета, уполномоченный орган вправе устанавливать формы налоговых регистров для отражения информации по учету:
1) запасов;
2) доходов;
3) объектов обложения индивидуальным подоходным налогом с доходов физических лиц, подлежащих налогообложению у источника выплаты, а также социальным налогом и социальными платежами.
11. Плательщики единого земельного налога обязаны вести налоговые регистры, предусмотренные пунктом 5 настоящей статьи, за исключением налогового регистра по учету налоговых обязательств по плате за негативное воздействие на окружающую среду.
Сноска. Статья 215 с изменениями, внесенными законами РК от 10.12.2020 № 382-VI (порядок введения в действие см. ст. 2); от 02.01.2021 № 402-VI (вводится в действие с 01.01.2022); от 11.07.2022 № 135-VII (вводится в действие с 01.01.2022).
РАЗДЕЛ 6. ОБЩИЕ ПОЛОЖЕНИЯ ПО НАЛОГООБЛОЖЕНИЮ ДОХОДОВ РЕЗИДЕНТОВ И НЕРЕЗИДЕНТОВ
Глава 26. ОБЩИЕ ПОЛОЖЕНИЯ
Статья 216. Основные принципы налогообложения резидентов и нерезидентов
1. Резидент Республики Казахстан уплачивает в Республике Казахстан в соответствии с положениями настоящего Кодекса налоги с доходов из источников в Республике Казахстан и за ее пределами.
2. Нерезидент уплачивает в Республике Казахстан налоги с доходов из источников в Республике Казахстан в соответствии с положениями настоящего Кодекса.
Нерезидент, осуществляющий предпринимательскую деятельность в Республике Казахстан через постоянное учреждение, уплачивает в Республике Казахстан в соответствии с положениями настоящего Кодекса также налоги с доходов из источников за пределами Республики Казахстан, связанных с деятельностью такого постоянного учреждения.
3. Резиденты и нерезиденты уплачивают в Республике Казахстан также иные налоги и платежи в бюджет, а также социальные платежи при возникновении таких обязательств.
Статья 217. Резиденты
1. Резидентом Республики Казахстан в целях настоящего Кодекса признается:
1) физическое лицо:
постоянно пребывающее в Республики Казахстан;
непостоянно пребывающее в Республике Казахстан, но центр жизненных интересов которого находится в Республике Казахстан;
2) юридическое лицо:
созданное в соответствии с законодательством Республики Казахстан;
созданное в соответствии с законодательством иностранного государства, место эффективного управления (место нахождения фактического органа управления) которого находится в Республике Казахстан.
Местом эффективного управления (местом нахождения фактического органа управления) признается место проведения собрания фактического органа (совета директоров или аналогичного органа), на котором осуществляются основное управление и (или) контроль, а также принимаются стратегические коммерческие решения, необходимые для проведения предпринимательской деятельности юридического лица.
2. Если иное не установлено пунктом 2-1 настоящей статьи, физическое лицо признается постоянно пребывающим в Республике Казахстан для текущего налогового периода, если оно находится в Республике Казахстан не менее ста восьмидесяти трех календарных дней (включая дни приезда и отъезда) в любом последовательном двенадцатимесячном периоде, оканчивающемся в текущем налоговом периоде.
2-1. Физическое лицо-инвестиционный резидент Международного финансового центра «Астана» признается постоянно пребывающим в Республике Казахстан для текущего налогового периода, если оно находится в Республике Казахстан не менее девяноста календарных дней (включая дни приезда и отъезда) в любом последовательном двенадцатимесячном периоде, оканчивающемся в текущем налоговом периоде. Для целей настоящей статьи физическое лицо должно соответствовать условиям, установленным Конституционным законом Республики Казахстан «О Международном финансовом центре «Астана».
3. Центр жизненных интересов физического лица признается находящимся в Республике Казахстан при одновременном выполнении следующих условий:
1) физическое лицо имеет гражданство Республики Казахстан или разрешение на проживание в Республике Казахстан (вид на жительство);
2) супруг(а) и (или) близкие родственники физического лица проживают в Республике Казахстан;
3) наличие в Республике Казахстан недвижимого имущества, принадлежащего на праве собственности или на иных основаниях физическому лицу и (или) супругу(е) и (или) его близким родственникам, доступного в любое время для его проживания и (или) для проживания супруга(и) и (или) его близких родственников.
4. Физическим лицом-резидентом независимо от времени его проживания в Республике Казахстан и любых других критериев, предусмотренных настоящей статьей, признается физическое лицо, являющееся гражданином Республики Казахстан, а также физическое лицо, подавшее заявление о приеме в гражданство Республики Казахстан или о разрешении постоянного проживания в Республике Казахстан без приема в гражданство Республики Казахстан:
1) командированное за рубеж органами государственной власти, в том числе сотрудник дипломатических, консульских учреждений, международных организаций, а также члены семьи указанного физического лица;
2) член экипажа транспортного средства, принадлежащего юридическому лицу или гражданину Республики Казахстан, осуществляющего регулярные международные перевозки;
3) военнослужащий и гражданский персонал воинских частей или воинских соединений Республики Казахстан, дислоцированных за пределами Республики Казахстан;
4) работающее на объекте, находящемся за пределами Республики Казахстан и являющемся собственностью Республики Казахстан или субъектов Республики Казахстан (в том числе на основе концессионных договоров);
5) находящееся за пределами Республики Казахстан с целью обучения, в том числе стажировки или прохождения практики, лечения или прохождения оздоровительных, профилактических процедур, в течение периода обучения, в том числе стажировки или прохождения практики, лечения или прохождения оздоровительных, профилактических процедур;
6) преподаватель и (или) научный работник, находящиеся за пределами Республики Казахстан с целью преподавания, консультирования или осуществления научных работ, в течение периода оказания (выполнения) указанных услуг (работ).
Сноска. Статья 217 с изменениями, внесенными Законом РК от 10.12.2020 № 382-VI (вводится в действие с 01.01.2021).
Статья 218. Порядок подтверждения резидентства Республики Казахстан
1. В случае осуществления резидентом деятельности в иностранном государстве, с которым Республикой Казахстан заключен международный договор, при выполнении условий соответствующего международного договора резидент вправе применить в указанном государстве положения этого международного договора.
2. Для подтверждения резидентства Республики Казахстан в целях применения международного договора, а также в иных целях лицо представляет в налоговый орган, являющийся вышестоящим по отношению к налоговому органу, в котором такое лицо зарегистрировано по месту нахождения, пребывания (жительства), налоговое заявление на подтверждение резидентства, если иное не установлено настоящим пунктом.
В случае, если лицо зарегистрировано по месту нахождения, пребывания (жительства) в налоговом органе, который подчиняется по вертикали непосредственно уполномоченному органу, налоговое заявление на подтверждение резидентства представляется в такой налоговый орган.
При этом нижеуказанные лица обязаны представить в налоговый орган с налоговым заявлением на подтверждение резидентства следующие документы:
1) иностранное юридическое лицо, являющееся резидентом на основании того, что его место эффективного управления находится в Республике Казахстан, – нотариально засвидетельствованную копию документа, подтверждающего наличие в Республике Казахстан места эффективного управления (места нахождения фактического органа управления) юридического лица (протокола общего собрания совета директоров или аналогичного органа с указанием места его проведения или иных документов, подтверждающих место основного управления и (или) контроля, а также принятия стратегических коммерческих решений, необходимых для проведения предпринимательской деятельности юридического лица);
2) гражданин Республики Казахстан, являющийся резидентом, – копию удостоверения личности или паспорта Республики Казахстан;
3) иностранец и лицо без гражданства, являющиеся резидентами, – нотариально засвидетельствованные копии:
заграничного паспорта или удостоверения лица без гражданства;
вида на жительство в Республике Казахстан (при его наличии);
документа, подтверждающего период пребывания в Республике Казахстан (визы или иных документов);
4) иностранец или лицо без гражданства, являющееся инвестиционным резидентом Международного финансового центра «Астана»:
нотариально засвидетельствованную копию заграничного паспорта или удостоверения лица без гражданства;
нотариально засвидетельствованную копию документа, подтверждающего период пребывания в Республике Казахстан (визы или иных документов);
копию документа, подтверждающего уплату сбора за выдачу документа, подтверждающего резидентство;
письмо-подтверждение, выдаваемое Администрацией Международного финансового центра «Астана» за соответствующий период, по форме, установленной актом Международного финансового центра «Астана», об осуществлении инвестиций в соответствии с программой инвестиционного налогового резидентства Международного финансового центра «Астана»;
письмо-подтверждение, выданное органом внутренних дел о том, что иностранец или лицо без гражданства не является лицом, гражданство Республики Казахстан которого прекращено в течение последних двадцати лет, предшествующих первоначальному обращению для участия в программе инвестиционного налогового резидентства Международного финансового центра «Астана». В целях настоящего абзаца письмо-подтверждение, выданное органом внутренних дел, должно содержать сведения заграничного паспорта иностранца или удостоверения лица без гражданства.
В случае выдачи документа, подтверждающего резидентство при первоначальном обращении, то при последующей подаче налогового заявления на подтверждение резидентства предоставление письма-подтверждения, выданного органом внутренних дел, не требуется.
Документ, подтверждающий резидентство выдается за календарный год, в котором произведена уплата сбора за выдачу документа, подтверждающего резидентство.
3. По итогам рассмотрения налогового заявления на подтверждение резидентства налоговый орган в течение десяти календарных дней со дня его представления:
1) выдает лицу документ, подтверждающий его резидентство, по форме, утвержденной уполномоченным органом, или подтверждает его резидентство по форме, установленной компетентным органом иностранного государства.
В случае выдачи документа, подтверждающего резидентство, в форме электронного документа датой выдачи является дата размещения такого документа на интернет-ресурсе уполномоченного органа;
2) выносит обоснованное решение об отказе в подтверждении резидентства лица.
Отказ в подтверждении резидентства лицу производится в следующих случаях:
несоответствия условиям, установленным статьей 217 настоящего Кодекса;
несоответствия периода, указанного в заявлении на подтверждение резидентства инвестиционного резидента Международного финансового центра «Астана», периоду, за который уплачен сбор за выдачу документа, подтверждающего резидентство.
4. Резидентство лица подтверждается за каждый календарный год, указанный в налоговом заявлении на подтверждение резидентства, в пределах срока исковой давности, установленного статьей 48 настоящего Кодекса.
5. В случае утраты документа, подтверждающего резидентство, налоговый орган, выдавший такой документ, в течение десяти календарных дней со дня представления заявления резидента выдает его дубликат.
Сноска. Статья 218 с изменениями, внесенными Законом РК от 10.12.2020 № 382-VI (вводится в действие с 01.01.2021).
Статья 219. Нерезиденты
Нерезидентом в целях настоящего Кодекса признается:
1) физическое или юридическое лицо, не являющееся резидентом в соответствии с положениями статьи 217 настоящего Кодекса;
2) несмотря на положения статьи 217 настоящего Кодекса, иностранец или лицо без гражданства, которое признается нерезидентом в соответствии с положениями международного договора, регулирующего вопросы избежания двойного налогообложения и предотвращения уклонения от уплаты налогов.
Статья 220. Постоянное учреждение нерезидента
1. Если иное не установлено международным договором, постоянным учреждением нерезидента в Республике Казахстан признается одно из следующих мест деятельности, через которое нерезидент осуществляет предпринимательскую деятельность на территории Республики Казахстан независимо от сроков осуществления такой деятельности:
1) любое место осуществления производства, переработки, комплектации, фасовки, упаковки и (или) поставки товаров;
2) любое место управления;
3) любое место геологического изучения недр, осуществления разведки, подготовительных работ к добыче полезных ископаемых и (или) добычи полезных ископаемых и (или) выполнения работ, оказания услуг по контролю и (или) наблюдению за разведкой и (или) добычей полезных ископаемых;
4) любое место осуществления деятельности (в том числе контрольной или наблюдательной), связанной с трубопроводом;
5) любое место осуществления деятельности, связанной с установкой, наладкой и эксплуатацией игровых автоматов (включая приставки), компьютерных сетей и каналов связи, аттракционов, а также связанной с транспортной или иной инфраструктурой;
6) место реализации товаров на территории Республики Казахстан, за исключением случаев реализации товаров на выставках и ярмарках, если иное не установлено пунктом 5 настоящей статьи;
7) любое место осуществления строительной деятельности и (или) строительно-монтажных работ, а также оказания услуг по наблюдению за выполнением этих работ;
8) место нахождения структурного подразделения юридического лица-нерезидента, за исключением представительства, осуществляющего деятельность, указанную в пункте 6 настоящей статьи;
9) место нахождения лица, осуществляющего посредническую деятельность в Республике Казахстан от имени нерезидента в соответствии с Законом Республики Казахстан «О страховой деятельности»;
10) место нахождения резидента-участника договора о совместной деятельности, заключенного с нерезидентом в соответствии с законодательством иностранного государства либо Республики Казахстан, в случае, если такая совместная деятельность осуществляется на территории Республики Казахстан.
2. Постоянным учреждением нерезидента признается место оказания услуг, выполнения работ на территории Республики Казахстан, не предусмотренных пунктом 1 настоящей статьи, через работников или другой персонал, нанятый нерезидентом для таких целей, если деятельность такого характера продолжается на территории Республики Казахстан более ста восьмидесяти трех календарных дней в пределах любого последовательного двенадцатимесячного периода с даты начала осуществления предпринимательской деятельности в рамках одного проекта или связанных проектов.
Связанными проектами в целях настоящего раздела признаются взаимосвязанные или взаимозависимые контракты (договоры).
Взаимосвязанными контрактами (договорами) признаются контракты (договоры), соответствующие одновременно следующим условиям:
1) по таким контрактам (договорам) нерезидентом или его взаимосвязанной стороной оказываются (выполняются) идентичные или однородные услуги (работы) одному и тому же налоговому агенту или его взаимосвязанной стороне;
2) период времени между датой завершения оказания услуг (выполнения работ) по одному контракту (договору) и датой заключения другого контракта (договора) не превышает двенадцать последовательных месяцев.
Взаимозависимыми признаются контракты (договоры), заключенные нерезидентом или его взаимосвязанной стороной с налоговым агентом или его взаимосвязанной стороной, неисполнение обязательств по одному из которых нерезидентом или его взаимосвязанной стороной влияет на исполнение обязательств таким нерезидентом или его взаимосвязанной стороной по другому контракту (договору).
3. Несмотря на положения пунктов 1 и 2 настоящей статьи, в случае если нерезидент осуществляет предпринимательскую деятельность на территории Республики Казахстан через зависимого агента, то такой нерезидент будет рассматриваться как имеющий постоянное учреждение в связи с любой деятельностью, которую зависимый агент осуществляет для этого нерезидента, независимо от сроков осуществления такой деятельности.
Для целей настоящего раздела зависимым агентом признается физическое или юридическое лицо, которое соответствует одновременно следующим условиям:
1) уполномочено на основании договорных отношений представлять интересы нерезидента в Республике Казахстан, действовать и (или) совершать от имени и за счет нерезидента определенные юридические действия, в том числе заключать договор возмездного оказания услуг или выполнять основную роль при заключении такого договора или передаче права собственности (права пользования) имущества, принадлежащего нерезиденту на основе права собственности (права пользования);
2) деятельность, указанная в подпункте 1) настоящего пункта, осуществляется им не в рамках деятельности таможенного представителя, профессионального участника рынка ценных бумаг и иной брокерской деятельности, за исключением деятельности страхового брокера и случаев, когда такой агент действует исключительно или преимущественно от имени нерезидента;
3) его деятельность не ограничивается видами деятельности, перечисленными в пункте 6 настоящей статьи.
4. Деятельность нерезидента, осуществляемая на территории Республики Казахстан через дочернюю организацию, созданную в соответствии с законодательством Республики Казахстан, приводит к образованию постоянного учреждения нерезидента, если дочерняя организация признается зависимым агентом в соответствии с пунктом 3 настоящей статьи.
5. Нерезидент образует постоянное учреждение в Республике Казахстан при реализации товаров на выставках и ярмарках, проводимых на территории Республики Казахстан, если такая реализация длится более десяти календарных дней.
6. К образованию постоянного учреждения нерезидента в Республике Казахстан не приводят следующие виды деятельности нерезидента, которые носят исключительно подготовительный или вспомогательный характер, не являются частью основных видов предпринимательской деятельности нерезидента и длятся не более трех лет:
1) использование любого места исключительно для целей хранения и (или) демонстрации товара, принадлежащего нерезиденту, без его реализации;
2) содержание постоянного места деятельности исключительно для целей закупки товаров для нерезидента без их реализации;
3) содержание постоянного места деятельности исключительно для сбора, обработки и (или) распространения информации, рекламы или изучения рынка товаров, работ, услуг, реализуемых нерезидентом.
При этом деятельность подготовительного и вспомогательного характера должна осуществляться для самого нерезидента, а не для третьих лиц.
7. Деятельность нерезидента по оказанию услуги по предоставлению иностранного персонала для работы на территории Республики Казахстан юридическому лицу, в том числе нерезиденту, осуществляющему деятельность в Республике Казахстан через постоянное учреждение, не приводит к образованию постоянного учреждения по такой услуге в Республике Казахстан при одновременном выполнении следующих условий:
1) если такой персонал действует от имени и в интересах юридического лица, которому он предоставлен;
2) нерезидент, оказывающий услугу по предоставлению иностранного персонала, не несет ответственности за результаты работы предоставленного персонала;
3) доход нерезидента от оказания услуги по предоставлению иностранного персонала за налоговый период не превышает 10 процентов от общей суммы затрат нерезидента по предоставлению такого персонала за указанный период.
При этом размер такого дохода определяется в виде положительной разницы между стоимостью оказанных нерезидентом услуг по предоставлению иностранного персонала за налоговый период и стоимостью общих сумм затрат нерезидента по предоставлению персонала за указанный период.
Для подтверждения суммы затрат на оказание таких услуг, включая доходы иностранного персонала, нерезидент обязан представить получателю услуг копии первичных документов, составленных в соответствии с законодательством Республики Казахстан и (или) иностранного государства. Для целей исчисления корпоративного подоходного налога с дохода нерезидента, оказывающего услуги по предоставлению иностранного персонала, при выполнении условий, установленных настоящим пунктом, такие услуги нерезидента признаются услугами, оказанными за пределами Республики Казахстан.
8. В случае осуществления нерезидентом деятельности на территории Республики Казахстан на основании договора о совместной деятельности:
1) деятельность каждого участника такого договора образует постоянное учреждение в соответствии с положениями, установленными настоящей статьей;
2) исполнение налогового обязательства осуществляется каждым участником такого договора самостоятельно в порядке, определенном настоящим Кодексом.
9. Нерезидент, осуществляющий предпринимательскую деятельность в Республике Казахстан, приводящую к образованию постоянного учреждения, обязан зарегистрироваться в качестве налогоплательщика в налоговом органе в порядке, определенном статьей 76 настоящего Кодекса.
Деятельность нерезидента образует постоянное учреждение в соответствии с положениями настоящей статьи с даты начала осуществления деятельности нерезидентом в Республике Казахстан независимо от отсутствия регистрации нерезидента в качестве налогоплательщика в налоговых органах или учетной регистрации в регистрирующем органе.
В случае если нерезидент осуществляет предпринимательскую деятельность, приводящую к образованию двух и более постоянных учреждений, подлежащих регистрации в одном налоговом органе, то регистрации подлежит одно постоянное учреждение совокупно по группе таких постоянных учреждений нерезидента.
В случае если нерезидент имеет зарегистрированное постоянное учреждение, осуществляющее деятельность, указанную в пунктах 2, 3, 5 или 7 настоящей статьи, и осуществляет аналогичную или такую же деятельность по месту, отличному от места регистрации такого постоянного учреждения, то осуществление такой деятельности приводит к образованию постоянного учреждения и подлежит регистрации с даты начала осуществления аналогичной или такой же деятельности.
В случае если после даты исключения постоянного учреждения нерезидента из государственной базы данных налогоплательщиков такой нерезидент возобновляет деятельность, указанную в пунктах 2 и 5 настоящей статьи, в течение последовательного двенадцатимесячного периода, то он признается образовавшим постоянное учреждение и подлежит регистрации в качестве налогоплательщика с даты начала осуществления такой деятельности.
10. Датой начала осуществления деятельности нерезидентом в Республике Казахстан в целях применения настоящего Кодекса признается дата:
1) заключения любого следующего контракта (договора, соглашения) на:
выполнение работ, оказание услуг в Республике Казахстан, в том числе в рамках договора о совместной деятельности;
предоставление полномочий на совершение от его имени действий в Республике Казахстан;
приобретение товаров в Республике Казахстан в целях реализации;
приобретение работ, услуг в целях выполнения работ, оказания услуг в Республике Казахстан;
2) заключения первого трудового договора (соглашения, контракта) в целях осуществления деятельности в Республике Казахстан;
3) прибытия в Республику Казахстан физического лица-нерезидента, работника или иного нанятого персонала нерезидента для выполнения условий контракта (договора, соглашения), указанного в подпунктах 1) или 2) части первой настоящего пункта;
4) вступления в силу документа, удостоверяющего право нерезидента на осуществление деятельности, указанной в подпунктах 3) и 4) пункта 1 настоящей статьи.
В случае наличия нескольких условий, установленных настоящим пунктом, датой начала осуществления деятельности нерезидента в Республике Казахстан признается наиболее ранняя из дат, указанных в настоящем пункте.
11. В случае если нерезидент осуществляет деятельность через структурное подразделение, которое не приводит к образованию постоянного учреждения в соответствии с международным договором, регулирующим вопросы избежания двойного налогообложения и предотвращения уклонения от уплаты налогов, или пунктом 6 настоящей статьи, то к такому структурному подразделению нерезидента будут применяться положения настоящего Кодекса, предусмотренные для постоянного учреждения нерезидента. При этом такое структурное подразделение имеет право на применение положений международного договора, регулирующего вопросы избежания двойного налогообложения и предотвращения уклонения от уплаты налогов, в соответствии со статьями 672, 673 и 674 настоящего Кодекса.
Сноска. Статья 220 с изменениями, внесенными законами РК от 02.04.2019 № 241-VI (вводится в действие с 01.07.2019); от 10.12.2020 № 382-VI (вводится в действие с 01.01.2018).
Статья 221. Процедура взаимного согласования
1. Лицо вправе обратиться в уполномоченный орган с заявлением о проведении процедуры взаимного согласования с компетентным органом иностранного государства, с которым Республикой Казахстан заключен международный договор:
1) для рассмотрения вопроса о применении положений международного договора, если считает, что действия одного или обоих договаривающихся государств приводят или приведут к налогообложению, не соответствующему положениям такого международного договора;
2) для определения статуса резидентства.
2. В заявлении должны быть указаны обстоятельства, на которых основаны требования лица.
3. К заявлению, представленному в соответствии с подпунктом 1) пункта 1 настоящей статьи, лицо обязан приложить копии бухгалтерских документов, подтверждающих суммы полученных (подлежащих получению) доходов и (или) удержанных налогов (в случае их удержания) в иностранном государстве, с которым Республикой Казахстан заключен международный договор, а также нотариально засвидетельствованные копии:
1) контрактов (договоров, соглашений) на выполнение работ, оказание услуг или на иные цели;
2) для юридических лиц – учредительных документов либо выписок из торгового реестра с указанием учредителей (участников) и мажоритарных акционеров юридического лица – резидента;
3) документов, указанных в подпунктах 1), 2) и 3) пункта 2 статьи 218 настоящего Кодекса.
Лицо вправе представить иные документы, не указанные в настоящем пункте, необходимые для проведения процедуры взаимного согласования.
4. К заявлению, представленному в соответствии с подпунктом 2) пункта 1 настоящей статьи, лицо обязан приложить документы, указанные в подпунктах 2) и 3) части первой пункта 3 настоящей статьи.
5. Уполномоченный орган вправе в письменном виде требовать у лица представления дополнительных документов, необходимых для проведения процедуры взаимного согласования.
6. Уполномоченный орган в течение пяти рабочих дней со дня представления заявления направляет лицу решение об отказе в рассмотрении заявления в следующих случаях:
1) представления заявления на проведение процедуры взаимного согласования с компетентным органом государства, с которым Республикой Казахстан не заключен международный договор;
2) непредставления документов, предусмотренных пунктами 3 и 4 настоящей статьи.
В случае отказа уполномоченным органом в рассмотрении заявления по основанию, предусмотренному подпунктом 2) части первой настоящего пункта, лицо вправе повторно подать заявление, если ими будут устранены допущенные нарушения.
7. Уполномоченный орган рассматривает заявление в течение сорока пяти календарных дней со дня его получения, за исключением случаев, указанных в пункте 6 настоящей статьи.
8. По итогам рассмотрения заявления уполномоченным органом выносится одно из следующих решений:
1) об отказе в проведении процедуры взаимного согласования;
2) о проведении процедуры взаимного согласования.
9. Решение об отказе в проведении процедуры взаимного согласования выносится уполномоченным органом в следующих случаях:
1) несоответствия оснований, указанных в заявлении, положениям международного договора Республики Казахстан;
2) предоставления лицом недостоверной информации;
3) непредставления лицом в ходе рассмотрения заявления документов, предусмотренных пунктом 5 настоящей статьи.
Такое решение направляется лицу в течение двух рабочих дней со дня его вынесения.
При принятии решения об отказе в проведении процедуры взаимного согласования по причине двойного резидентства отказ по основаниям, установленным подпунктом 1) части первой настоящего пункта, не применяется.
10. В случае принятия решения о проведении процедуры взаимного согласования уполномоченный орган обращается с запросом в компетентный орган иностранного государства о проведении такой процедуры.
11. Уполномоченный орган прекращает проведение начатой процедуры взаимного согласования с компетентным органом иностранного государства в следующих случаях:
1) представления лицом заявления о прекращении проведения процедуры взаимного согласования;
2) выявления в ходе проведения процедуры взаимного согласования факта предоставления лицом недостоверной информации;
3) непредставления лицом в ходе проведения процедуры взаимного согласования документов, предусмотренных пунктом 5 настоящей статьи.
12. Уполномоченный орган направляет лицу информацию о решении, принятом по итогам проведения процедуры взаимного согласования, в течение семи рабочих дней со дня принятия такого решения.
13. Решение, принятое по итогам процедуры взаимного согласования, проведенной в порядке, определенном настоящей статьей, а также решение, принятое по итогам процедуры взаимного согласования, проведенной на основании запроса компетентного органа иностранного государства, обязательны для исполнения налоговыми органами.
Сноска. Статья 221 с изменениями, внесенными Законом РК от 10.12.2020 № 382-VI (вводится в действие с 01.01.2021).
РАЗДЕЛ 7. КОРПОРАТИВНЫЙ ПОДОХОДНЫЙ НАЛОГ
Глава 27. ОБЩИЕ ПОЛОЖЕНИЯ
Статья 222. Плательщики
1. Плательщиками корпоративного подоходного налога являются юридические лица-резиденты Республики Казахстан, за исключением государственных учреждений и государственных учебных заведений среднего образования, а также юридические лица-нерезиденты, осуществляющие деятельность в Республике Казахстан через постоянное учреждение или получающие доходы из источников в Республике Казахстан.
2. Юридические лица, применяющие специальные налоговые режимы для субъектов малого бизнеса, розничного налога, исчисляют и уплачивают корпоративный подоходный налог по доходам, облагаемым в рамках указанных режимов, в соответствии с разделом 20 настоящего Кодекса.
Юридические лица, применяющие специальный налоговый режим для производителей сельскохозяйственной продукции и сельскохозяйственных кооперативов, исчисляют корпоративный подоходный налог и авансовые платежи по нему по доходам, облагаемым в рамках указанного режима, с учетом особенностей, установленных разделом 20 настоящего Кодекса.
3. Действовал до 01.01.2020 в соответствии с Законом РК от 25.12.2017 № 121-VI.
Сноска. Статья 222 с изменением, внесенным Законом РК от 10.12.2020 № 382-VI (вводится в действие с 01.01.2021).
Примечание ИЗПИ!
Действие статьи 223 приостановлено с 01.01.2025 до 01.01.2026 настоящим Кодексом и в период приостановления данная статья действует в редакции п.п. 1) ст.783.
Статья 223. Объекты налогообложения
Объектами обложения корпоративным подоходным налогом являются:
1) налогооблагаемый доход;
2) доход, облагаемый у источника выплаты;
3) чистый доход юридического лица-нерезидента, осуществляющего деятельность в Республике Казахстан через постоянное учреждение;
4) облагаемый доход контролируемых иностранных компаний и постоянных учреждений контролируемых иностранных компаний, за исключением зарегистрированных в государствах с льготным налогообложением;
5) облагаемый доход контролируемых иностранных компаний и постоянных учреждений контролируемых иностранных компаний, зарегистрированных в государствах с льготным налогообложением.
Сноска. Статья 223 с изменениями, внесенными Законом РК от 10.12.2020 № 382-VI (вводится в действие с 01.01.2020).
Глава 28. НАЛОГООБЛАГАЕМЫЙ ДОХОД
Статья 224. Налогооблагаемый доход
Налогооблагаемый доход определяется как разница между совокупным годовым доходом с учетом корректировок, предусмотренных статьей 241 настоящего Кодекса, и вычетами, предусмотренными настоящим разделом.
Сноска. Статья 224 с изменением, внесенным Законом РК от 10.12.2020 № 382-VI (вводится в действие с 01.01.2020).
Параграф 1. Совокупный годовой доход
Статья 225. Совокупный годовой доход
1. Совокупный годовой доход юридического лица-резидента Республики Казахстан состоит из доходов, подлежащих получению (полученных) данным лицом из источников в Республике Казахстан и за ее пределами в течение налогового периода.
Для целей настоящего раздела доходами из источников за пределами Республики Казахстан независимо от места выплаты признаются все виды доходов, не являющиеся доходами из источников в Республике Казахстан.
Совокупный годовой доход юридического лица-нерезидента, осуществляющего деятельность в Республике Казахстан через постоянное учреждение, состоит из доходов, указанных в статье 651 настоящего Кодекса.
2. В целях налогообложения в качестве дохода не рассматриваются:
1) стоимость имущества, полученного в качестве вклада в уставный капитал;
2) стоимость имущества, получаемого (полученного) акционером, в том числе получаемого (полученного) взамен ранее внесенного, при распределении имущества при ликвидации юридического лица или уменьшении уставного капитала, а также выкупе юридическим лицом-эмитентом у акционера акций, выпущенных этим эмитентом, в размере оплаченного уставного капитала, приходящегося на количество акций, на которые осуществляется распределение имущества;
3) стоимость имущества, получаемого (полученного) участником, учредителем, в том числе получаемого (полученного) взамен ранее внесенного, при распределении имущества при ликвидации юридического лица или уменьшении уставного капитала, а также выкупе юридическим лицом у учредителя, участника доли участия или ее части в этом юридическом лице в размере оплаченного уставного капитала, приходящегося на долю участия, на которую осуществляется распределение имущества, но не более первоначальной стоимости такой доли участия, определяемой в порядке, предусмотренном пунктом 7 статьи 228 настоящего Кодекса, у такого участника, учредителя;
4) стоимость имущества, полученного эмитентом от размещения выпущенных им акций;
5) для налогоплательщика, передающего имущество, – стоимость имущества, переданного на безвозмездной основе;
6) сумма пени и штрафов, списанных в соответствии с налоговым законодательством Республики Казахстан;
7) стоимость безвозмездно полученного в рекламных целях товара (в том числе в виде дарения), если стоимость единицы такого товара не превышает 5-кратный размер месячного расчетного показателя, установленного на соответствующий финансовый год законом о республиканском бюджете и действующего на дату такого получения товара;
8) сумма уменьшения размера налогового обязательства в случаях, предусмотренных настоящим Кодексом;
9) если иное не предусмотрено настоящим Кодексом, доход, возникающий в связи с изменением стоимости активов и (или) обязательств, признаваемый доходом в бухгалтерском учете в соответствии с международными стандартами финансовой отчетности и (или) требованиями законодательства Республики Казахстан о бухгалтерском учете и финансовой отчетности, кроме подлежащего получению (полученного) от другого лица;
Положения настоящего подпункта также применяются в случае, предусмотренном пунктом 7-1 статьи 228 настоящего Кодекса;
10) увеличение нераспределенной прибыли за счет уменьшения резервов на переоценку активов в соответствии с международными стандартами финансовой отчетности и (или) требованиями законодательства Республики Казахстан о бухгалтерском учете и финансовой отчетности;
11) доход, возникающий в связи с признанием обязательства в бухгалтерском учете в соответствии с международными стандартами финансовой отчетности и (или) требованиями законодательства Республики Казахстан о бухгалтерском учете и финансовой отчетности, в виде положительной разницы между размером фактически подлежащего исполнению обязательства и стоимостью данного обязательства, признанной в бухгалтерском учете;
12) для управляющей компании, осуществляющей доверительное управление активами паевого инвестиционного фонда на основании лицензии на управление инвестиционным портфелем, – инвестиционные доходы, полученные паевыми инвестиционными фондами в соответствии с законодательством Республики Казахстан об инвестиционных и венчурных фондах и признанные таковыми кастодианом паевого инвестиционного фонда, за исключением вознаграждения такой управляющей компании;
13) для лица, который произвел бензин (за исключением авиационного), дизельное топливо из давальческого сырья, – сумма возмещения, подлежащая получению (полученная) в счет исполнения таким лицом налогового обязательства по уплате акциза по подакцизным товарам, являющимся продуктом переработки давальческого сырья;
14) стоимость имущества, полученного государственным предприятием от государственного учреждения, в виде:
основных средств, закрепленных на праве хозяйственного ведения или оперативного управления за таким предприятием;
денег на приобретение основных средств, которые будут закреплены за таким предприятием на праве хозяйственного ведения или оперативного управления;
15) полученная страховая выплата в пределах суммы, на которую произведено уменьшение стоимостного баланса группы в соответствии с пунктом 8 статьи 270 настоящего Кодекса, с учетом превышения, предусмотренного статьей 234 настоящего Кодекса, при его наличии;
16) для получателя от имени государства – стоимость (денежное выражение) полученных от недропользователя полезных ископаемых в счет исполнения налогового обязательства по уплате налогов в натуральной форме;
17) доход от списания до коммерческого обнаружения в период разведки стратегическим партнером обязательства национальной компании по недропользованию или юридического лица, акции (доли участия в уставном капитале) которого прямо или косвенно принадлежат такой национальной компании по недропользованию, и по вознаграждению по инвестиционному финансированию в соответствии с Кодексом Республики Казахстан «О недрах и недропользовании» – в размере вознаграждения, которое начислено, но не выплачено и подлежит учету для целей формирования отдельной группы амортизируемых активов в соответствии со статьей 258 настоящего Кодекса;
18) доход от реализации полезных ископаемых, полученных от недропользователя в счет исполнения налогового обязательства в натуральной форме, получателем от имени государства или лицом, уполномоченным получателем от имени государства на осуществление такой реализации, в том числе доход от списания обязательств получателя от имени государства, возникших в связи с такой реализацией;
19) комиссионное вознаграждение получателя от имени государства или лица, уполномоченного получателем от имени государства, выраженное в возмещении расходов, связанных с реализацией полезных ископаемых, полученных от недропользователя в счет исполнения налогового обязательства в натуральной форме;
20) стоимость имущества, в том числе работ, услуг, полученного в соответствии с пунктом 8 статьи 243 настоящего Кодекса;
21) подлежащее получению (полученное) вознаграждение, уменьшающее стоимость объекта незавершенного строительства в соответствии с международными стандартами финансовой отчетности и (или) требованиями законодательства Республики Казахстан о бухгалтерском учете и финансовой отчетности, в пределах подлежащей выплате (выплаченной) суммы вознаграждения, увеличивающей стоимость такого объекта в соответствии с международными стандартами финансовой отчетности и (или) требованиями законодательства Республики Казахстан о бухгалтерском учете и финансовой отчетности;
22) стоимость электрических сетей:
признанных бесхозяйными в соответствии с гражданским законодательством Республики Казахстан, принятых энергопередающей организацией в собственность на безвозмездной основе;
принятых на безвозмездной основе энергопередающей организацией на баланс от государственных или местных исполнительных органов, других энергопередающих организаций или собственников электрических сетей, не осуществляющих деятельность по передаче электрической энергии;
23) стоимость услуг, полученных за счет бюджетных средств в виде государственной нефинансовой поддержки субъектов предпринимательства в соответствии с государственной программой в области развития агропромышленного комплекса Республики Казахстан, программами, утвержденными Правительством Республики Казахстан, оператором которых является Национальная палата предпринимателей Республики Казахстан;
24) действовал до 01.01.2019 в соответствии с Законом РК от 25.12.2017 № 121-VI;
Примечание РЦПИ!
Подпункт 25) действует до 01.01.2027 в соответствии с Законом РК от 25.12.2017 № 121-VI.
25) доход организации устойчивости, 100 процентов голосующих акций которой принадлежат Национальному Банку Республики Казахстан, возникший в связи с амортизацией в соответствии с международными стандартами финансовой отчетности и (или) требованиями законодательства Республики Казахстан о бухгалтерском учете и финансовой отчетности положительной разницы между:
суммой активов в соответствии с условиями договора о безвозмездной передаче активов от организации, специализирующейся на улучшении качества кредитных портфелей банков второго уровня, единственным акционером которой является Правительство Республики Казахстан, и их справедливой стоимостью;
26) полученные техногенные минеральные образования, безвозмездно переданные из государственной собственности;
26-1) увеличение стоимостного баланса групп (подгрупп) амортизируемых активов, образовавшееся вследствие применения условного коэффициента недропользователем по контракту на разведку и добычу или добычу углеводородов по сложным проектам (за исключением газовых проектов на суше) в соответствии с пунктом 6 статьи 258 и (или) пунктом 2-1 статьи 268 настоящего Кодекса;
Примечание ИЗПИ!
Подпункт 27) действует до 01.01.2027 в соответствии с Законом РК от 25.12.2017 № 121-VI.
27) для железнодорожного перевозчика, осуществляющего деятельность по перевозке пассажиров, багажа, грузобагажа, почтовых отправлений, – доход, возникающий в связи с получением услуг магистральной железнодорожной сети при перевозке пассажиров железнодорожным транспортом на безвозмездной основе, от Национального оператора инфраструктуры, в том числе с применением временного понижающего коэффициента в размере 0 к тарифу на регулируемые услуги магистральной железнодорожной сети при перевозке пассажиров железнодорожным транспортом в соответствии с законодательством Республики Казахстан;
Примечание ИЗПИ!
Подпункт 28) действует с 01.01.2020 до 01.01.2027 в соответствии с Законом РК от 10.12.2020 № 382-VI.
28) неустойки (штрафы, пени), присужденные банку, в отношении которого по решению суда проведена реструктуризация, более 90 процентов голосующих акций которого на 31 декабря 2013 года принадлежат национальному управляющему холдингу или юридическому лицу, ранее являвшемуся таким банком, по кредитам (займам) и (или) задолженности, связанной с кредитом (займом), долг которых, подлежащий прощению, включен в перечень, утвержденный до 1 июля 2019 года органом управления такого юридического лица, и представлен в уполномоченный орган не позднее 1 августа 2019 года.
28-1) стоимость имущества, стоимость капитального ремонта, реконструкции объектов государственной собственности, полученных безвозмездно в рамках благотворительной помощи юридическим лицом со стопроцентным участием государства в уставном капитале от некоммерческой организации, созданной в форме фонда в соответствии с гражданским законодательством Республики Казахстан;
29) действовал с 01.01.2018 до 01.01.2021 в соответствии с Законом РК от 10.12.2020 № 382-VI;
30) субсидии, выделенные из резерва Правительства Республики Казахстан и местных исполнительных органов, получение грантов или другой безвозмездной помощи для энергопроизводящих организаций, сто процентов акций (долей участия в уставном капитале) которых принадлежат государству, находящихся в коммунальной собственности и осуществляющих одновременно деятельность по производству электрической энергии, воды (дистиллята) и тепловой энергии.
Сноска. Статья 225 с изменениями, внесенными законами РК от 04.07.2018 № 174-VІ (вводится в действие по истечении десяти календарных дней после дня его первого официального опубликования); от 27.12.2019 № 295-VІ (вводится в действие с 01.01.2020); от 10.12.2020 № 382-VI (порядок введения в действие см. ст. 2); от 21.12.2022 № 165-VII (порядок введения в действие см. ст. 4); от 12.12.2023 № 45-VIII (вводится в действие с 01.01.2021); от 26.12.2025 № 244-VIII (вводится в действие с 01.01.2024).
Статья 226. Доходы, включаемые в совокупный годовой доход
1. В совокупный годовой доход включаются все виды доходов налогоплательщика без включения в них суммы налога на добавленную стоимость и акциза:
1) доход от реализации;
2) доход по договорам страхования, перестрахования;
3) доход от прироста стоимости;
4) доход по производным финансовым инструментам;
5) доход от списания обязательств;
6) доход по сомнительным обязательствам;
7) доход от снижения размеров провизии (резервов), созданных налогоплательщиком, имеющим право на вычет провизии (резервов) в соответствии с пунктами 1, 5, 6 и 7 статьи 250 настоящего Кодекса;
8) доход от уступки права требования;
9) доход от выбытия фиксированных активов;
10) доход от корректировки расходов на геологическое изучение и подготовительные работы к добыче природных ресурсов, а также других расходов недропользователей;
11) доход от превышения суммы отчислений в фонд ликвидации последствий разработки месторождений над суммой фактических расходов по ликвидации последствий разработки месторождений;
12) доход от осуществления совместной деятельности;
13) присужденные или признанные должником неустойки (штрафы, пени), кроме возвращенных из бюджета необоснованно удержанных штрафов, если эти суммы ранее не были отнесены на вычеты;
14) полученные компенсации по ранее произведенным вычетам;
15) доход в виде безвозмездно полученного имущества;
16) дивиденды;
17) вознаграждение по депозиту, долговой ценной бумаге, векселю, исламскому арендному сертификату;
18) превышение суммы положительной курсовой разницы над суммой отрицательной курсовой разницы;
19) выигрыши;
20) доход, полученный при эксплуатации объектов социальной сферы;
21) доход от продажи предприятия как имущественного комплекса;
22) доход по инвестиционному депозиту, размещенному в исламском банке;
23) чистый доход от доверительного управления имуществом, полученный (подлежащий получению) учредителем доверительного управления;
24) доход государственного предприятия, возникающий в соответствии с международными стандартами финансовой отчетности и (или) требованиями законодательства Республики Казахстан о бухгалтерском учете и финансовой отчетности в связи с амортизацией основных средств, закрепленных на праве хозяйственного ведения или оперативного управления за таким предприятием;
25) другие доходы, не указанные в подпунктах 1) – 24) настоящего пункта.
2. В случае, если одни и те же доходы могут быть отражены в нескольких статьях доходов, указанные доходы включаются в совокупный годовой доход один раз.
Если иное не установлено статьями 227 – 240, параграфами 5 и 6 настоящего раздела, для целей настоящего раздела признание дохода, включая дату его признания, осуществляется в соответствии с международными стандартами финансовой отчетности и (или) требованиями законодательства Республики Казахстан о бухгалтерском учете и финансовой отчетности.
В случае, когда признание дохода в соответствии с международными стандартами финансовой отчетности и (или) требованиями законодательства Республики Казахстан о бухгалтерском учете и финансовой отчетности отличается от порядка определения и признания дохода в соответствии с настоящим Кодексом, указанный доход учитывается для целей налогообложения в порядке, определенном настоящим Кодексом.
3. Совокупный годовой доход доверительного управляющего и учредителя доверительного управления по деятельности по доверительному управлению имуществом определяется с учетом положений статей 40, 42, 43, 44 и 45 настоящего Кодекса.
4. Налогоплательщик имеет право на корректировку доходов в соответствии со статьями 286 и 287 настоящего Кодекса. При этом совокупный годовой доход с учетом корректировок в соответствии со статьями 286 и 287 настоящего Кодекса может иметь отрицательное значение.
Сноска. Статья 226 с изменениями, внесенными законами РК от 10.12.2020 № 382-VI (вводится в действие с 01.01.2018); от 15.07.2025 № 208-VIII (вводится в действие с 01.01.2024).
Статья 227. Доход от реализации
1. Доходом от реализации признается сумма дохода, возникающего при реализации товаров, работ, услуг, кроме доходов, включаемых в совокупный годовой доход в соответствии со статьями 228 – 240 настоящего Кодекса, а также доходов, указанных в пункте 4 статьи 258 настоящего Кодекса, в части, не превышающей суммы расходов, указанных в пункте 1 статьи 258 настоящего Кодекса.
2. Доход от реализации определяется в размере стоимости реализованных товаров, работ, услуг, без включения в нее суммы налога на добавленную стоимость и акциза.
3. Дата признания дохода от реализации определяется в соответствии с международными стандартами финансовой отчетности и (или) требованиями законодательства Республики Казахстан о бухгалтерском учете и финансовой отчетности.
4. В целях настоящего раздела к доходу от оказания услуг относятся также:
1) доход в виде вознаграждения по кредиту (займу, микрокредиту), по операциям репо;
2) доход в виде вознаграждения по передаче имущества по договору лизинга;
3) роялти;
4) доход от сдачи имущества в имущественный наем (аренду), кроме лизинга.
5. В случаях и порядке, установленных законодательством Республики Казахстан о трансфертном ценообразовании, доход от реализации подлежит корректировке.
Сноска. Статья 227 с изменением, внесенным Законом РК от 10.12.2020 № 382-VI (вводится в действие с 01.01.2018).
Статья 227-1. Доход лица, осуществляющего цифровой майнинг, цифрового майнингового пула, биржи цифровых активов
1. Доход лица от деятельности по цифровому майнингу определяется как произведение количества распределенных ему цифровым майнинговым пулом цифровых активов, возникших в результате его деятельности, и их стоимости, определенной в соответствии с пунктом 4 настоящей статьи.
2. К доходу лица от деятельности по цифровому майнингу не относится стоимость цифровых активов, удержанная цифровым майнинговым пулом в качестве комиссии.
3. Доход цифрового майнингового пула, биржи цифровых активов, полученный в виде цифровых активов, рассчитывается по стоимости, определенной в соответствии с пунктом 4 настоящей статьи.
4. В целях настоящей статьи порядок определения, опубликования стоимости цифровых активов и перечень их видов определяются уполномоченным органом.
Сноска. Глава 28 дополнена статьей 227-1 в соответствии с Законом РК от 06.02.2023 № 196-VII (вводится в действие с 01.04.2023); с изменением, внесенным Законом от 12.12.2023 № 45-VIII (вводится в действие по истечении шестидесяти календарных дней после дня его первого официального опубликования).
Статья 228. Доход от прироста стоимости
1. Доход от прироста стоимости образуется при:
1) реализации активов, не подлежащих амортизации, за исключением активов, выкупленных для государственных нужд в соответствии с законами Республики Казахстан;
2) передаче активов, не подлежащих амортизации, в качестве вклада в уставный капитал;
3) выбытии активов, не подлежащих амортизации, в результате реорганизации путем слияния, присоединения, разделения или выделения.
2. В целях настоящей статьи к активам, не подлежащим амортизации, относятся:
1) земельные участки;
2) объекты незавершенного строительства;
3) неустановленное оборудование;
4) активы со сроком службы более одного года, не используемые в деятельности, направленной на получение дохода, в том числе долгосрочные активы, предназначенные для продажи;
5) активы со сроком службы более одного года, не относимые к фиксированным активам в соответствии с подпунктом 2) пункта 2 статьи 266 настоящего Кодекса;
6) ценные бумаги;
7) доля участия;
8) инвестиционное золото;
9) основные средства, стоимость которых полностью отнесена на вычеты в соответствии с налоговым законодательством Республики Казахстан, действовавшим до 1 января 2000 года;
10) активы, введенные в эксплуатацию в рамках инвестиционного проекта по контрактам, заключенным до 1 января 2009 года в соответствии с законодательством Республики Казахстан об инвестициях, стоимость которых полностью отнесена на вычеты;
11) имущество, отнесенное к объектам социальной сферы в соответствии со статьей 239 настоящего Кодекса.
3. По активам, не подлежащим амортизации, за исключением предусмотренных пунктами 4 и 5 настоящей статьи, приростом признается по каждому активу:
1) при реализации – положительная разница между стоимостью реализации и первоначальной стоимостью;
2) при передаче в качестве вклада в уставный капитал – положительная разница между стоимостью актива, определенной исходя из стоимости вклада в уставный капитал, и первоначальной стоимостью;
3) при выбытии в результате реорганизации юридического лица путем слияния, присоединения, разделения или выделения – положительная разница между стоимостью, отраженной в передаточном акте или разделительном балансе, и первоначальной стоимостью.
4. По долговым ценным бумагам приростом стоимости признается по каждой ценной бумаге:
1) при реализации – положительная разница без учета купона между стоимостью реализации и первоначальной стоимостью с учетом амортизации дисконта и (или) премии на дату реализации;
2) при передаче в качестве вклада в уставный капитал – положительная разница без учета купона между стоимостью долговой ценной бумаги, определенной исходя из стоимости вклада в уставный капитал, и первоначальной стоимостью с учетом амортизации дисконта и (или) премии на дату передачи;
3) при выбытии в результате реорганизации юридического лица путем слияния, присоединения, разделения или выделения – положительная разница без учета купона между стоимостью, отраженной в передаточном акте или разделительном балансе, и первоначальной стоимостью с учетом амортизации дисконта и (или) премии на дату выбытия.
5. По активам, указанным в подпунктах 9) и 10) пункта 2 настоящей статьи, приростом стоимости признается по каждому активу:
1) при реализации – стоимость реализации;
2) при передаче в качестве вклада в уставный капитал – стоимость вклада в уставный капитал;
3) при выбытии в результате реорганизации юридического лица путем слияния, присоединения, разделения или выделения – стоимость, отраженная в передаточном акте или разделительном балансе.
6. Первоначальная стоимость активов, указанных в подпунктах 1) – 6) и 8) пункта 2 настоящей статьи, определяется в следующем порядке:
совокупность затрат на приобретение, производство, строительство
или
в случае, если активы были получены в качестве вклада в уставный капитал, – стоимость вклада в уставный капитал,
или
в случае, если активы были получены в результате реорганизации, – стоимость, указанная в передаточном акте или разделительном балансе,
или
в случае, если активы были получены акционером (участником, учредителем) в результате распределения имущества при ликвидации юридического лица или уменьшении уставного капитала, а также выкупе юридическим лицом у учредителя, участника доли участия или ее части в этом юридическом лице, выкупе юридическим лицом-эмитентом у акционера акций, выпущенных этим эмитентом, – балансовая стоимость имущества, получаемого (полученного) акционером, участником, учредителем при распределении имущества, в том числе получаемого (полученного) взамен ранее внесенного, на дату передачи, подлежащая отражению (отраженная) в бухгалтерском учете передающего лица без учета переоценки и обесценения, отраженная в документе, подтверждающем передачу такого имущества и заверенном подписями сторон,
или
в случае, если активы были получены безвозмездно, – стоимость, включенная в совокупный годовой доход в виде стоимости безвозмездно полученного имущества в соответствии с настоящим Кодексом,
плюс
другие затраты, увеличивающие стоимость активов, в том числе после их приобретения, в соответствии с международными стандартами финансовой отчетности и (или) требованиями законодательства Республики Казахстан о бухгалтерском учете и финансовой отчетности, кроме:
затрат (расходов), не подлежащих отнесению на вычеты в соответствии с подпунктами 2), 3), 4) и 5) статьи 264 настоящего Кодекса;
амортизационных отчислений.
Первоначальной стоимостью активов, указанных в подпункте 4) пункта 2 настоящей статьи, исключенных из состава фиксированных активов, является определенная в соответствии с международными стандартами финансовой отчетности и (или) требованиями законодательства Республики Казахстан о бухгалтерском учете и финансовой отчетности на дату выбытия из состава фиксированных балансовая стоимость таких активов без учета переоценки и обесценения.
7. Первоначальной стоимостью доли участия является:
совокупность фактических затрат на ее приобретение, затрат, связанных с приобретением и увеличивающих стоимость доли участия в соответствии с международными стандартами финансовой отчетности и (или) требованиями законодательства Республики Казахстан о бухгалтерском учете и финансовой отчетности,
и (или)
стоимость вклада в уставный капитал, в том числе в случае, если доля участия была получена в качестве вклада в уставный капитал,
и (или)
в случае, если доля участия была получена в результате реорганизации, – стоимость, указанная в передаточном акте или разделительном балансе,
и (или)
в случае, если активы были получены акционером (участником, учредителем) в результате распределения имущества при ликвидации юридического лица или уменьшении уставного капитала, а также выкупе юридическим лицом у учредителя, участника доли участия или ее части в этом юридическом лице, выкупе юридическим лицом-эмитентом у акционера акций, выпущенных этим эмитентом, – балансовая стоимость имущества, получаемого (полученного) акционером, участником, учредителем при распределении имущества, в том числе получаемого (полученного) взамен ранее внесенного, на дату передачи, подлежащая отражению (отраженная) в бухгалтерском учете передающего лица без учета переоценки и обесценения, отраженная в документе, подтверждающем передачу такого имущества и заверенном подписями сторон,
и (или)
в случае, если доля участия была получена безвозмездно, – стоимость, включенная в совокупный годовой доход в виде стоимости безвозмездно полученного имущества в соответствии с настоящим Кодексом.
7-1. Первоначальная стоимость активов, указанных в подпунктах 6) и 7) пункта 2 настоящей статьи, полученных юридическим лицом-резидентом, в результате приобретения у юридического лица-нерезидента, определяется в следующем порядке:
фактические затраты, понесенные юридическим лицом-нерезидентом на приобретение активов, указанные в договоре купли-продажи или ином виде соглашения, согласно которому были приобретены активы,
или
в случае, если активы были получены в качестве вклада в уставный капитал юридического лица-нерезидента, – стоимость вклада в уставный капитал,
или
в случае, если активы были получены в результате реорганизации юридического лица-нерезидента, – стоимость, указанная в передаточном акте или разделительном балансе,
или
в случае, если активы были получены юридическим лицом-нерезидентом в результате распределения имущества при ликвидации юридического лица, акционером (участником, учредителем) которого является данное юридическое лицо-нерезидент, или уменьшении уставного капитала такого юридического лица, а также выкупе юридическим лицом у юридического лица-нерезидента акций, доли участия или ее части в этом юридическом лице, – балансовая стоимость имущества, получаемого (полученного) юридическим лицом-нерезидентом при распределении имущества от юридического лица, в том числе получаемого (полученного) взамен ранее внесенного, на дату передачи, подлежащая отражению (отраженная) в бухгалтерском учете юридического лица без учета переоценки и обесценения, отраженная в документе, подтверждающем передачу такого имущества и заверенном подписями сторон,
плюс
в случае, если юридическое лицо-нерезидент осуществляло вклады в уставный капитал передаваемого юридического лица – стоимость таких вкладов в уставный капитал,
плюс
стоимость вкладов в уставный капитал юридического лица после его приобретения юридическим лицом-резидентом.
В случае, если стоимость активов определена в иностранной валюте, такая стоимость пересчитывается в тенге по рыночному курсу обмена валюты, определенному на последний рабочий день, предшествующий дате совершения вышеуказанных операций и (или) действий.
При этом первоначальная стоимость подлежит отражению в документе, подтверждающем реализацию таких активов, заверенном подписями сторон.
Настоящий пункт применяется для целей последующей продажи актива юридическим лицом-резидентом, принявшим такой актив, при наличии нотариально засвидетельствованных копий документов, подтверждающих первоначальную стоимость.
Положения настоящего пункта применяются в случае, если не менее девяносто девяти процентов долей участия, ценных бумаг или других форм долевого участия в передающем и приобретающем активы лицах прямо или косвенно принадлежат одному физическому лицу.
8. Первоначальной стоимостью имущества, отнесенного к объектам социальной сферы в соответствии со статьей 239 настоящего Кодекса, является балансовая стоимость таких активов на дату выбытия без учета переоценок и обесценений.
9. Действовал до 01.01.2020 в соответствии с Законом РК от 25.12.2017 № 121-VI.
10. Для целей настоящей статьи стоимостью вклада в уставный капитал являются:
стоимость актива, переданного (полученного) в качестве вклада в уставный капитал, в том числе в качестве дополнительного вклада в уставный капитал, указанная в акте приемки-передачи или ином другом документе, подтверждающем приемку и передачу актива, его стоимость, но не более суммы вклада в уставный капитал, в счет оплаты которого передан (получен) актив;
сумма денег, внесенная (полученная) в качестве вклада в уставный капитал, в том числе в качестве дополнительного вклада в уставный капитал, но не более суммы вклада в уставный капитал, в счет оплаты которого переданы (получены) деньги.
11. Доход от прироста стоимости признается при:
1) реализации актива, не подлежащего амортизации, – в налоговом периоде, в котором осуществлена реализация такого актива;
2) передаче актива, не подлежащего амортизации, в качестве вклада в уставный капитал – в налоговом периоде, в котором осуществлена передача такого актива в качестве вклада в уставный капитал;
3) выбытии актива, не подлежащего амортизации, в результате реорганизации путем слияния, присоединения, разделения – в налоговом периоде, за который представлена ликвидационная налоговая отчетность;
4) выбытии актива, не подлежащего амортизации, в результате реорганизации путем выделения – в налоговом периоде, в котором утвержден разделительный баланс.
12. Доходы от прироста стоимости при реализации ценных бумаг включаются в совокупный годовой доход с учетом положений пунктов 3, 4, 5, 6 и 7 статьи 300 настоящего Кодекса.
Сноска. Статья 228 с изменениями, внесенными Законом РК от 10.12.2020 № 382-VI (порядок введения в действие см. ст. 2).
Статья 229. Доход от списания обязательств
1. К доходу от списания обязательств относится:
1) размер обязательства, по которому кредитором прекращено требование к налогоплательщику о его исполнении;
2) размер не востребованного кредитором обязательства на дату представления ликвидационной налоговой отчетности при ликвидации налогоплательщика, если иное не предусмотрено настоящим подпунктом.
В случае, когда при ликвидации налогоплательщика в соответствии с настоящим Кодексом предусмотрены проведение ликвидационной налоговой проверки или выдача заключения по результатам камерального контроля, размер такого обязательства определяется как:
сумма обязательств (за исключением суммы налога на добавленную стоимость), подлежавшая выплате в соответствии с первичными документами налогоплательщика и подлежащая отражению (отраженная) в промежуточном ликвидационном балансе, на день утверждения такого баланса,
минус
сумма обязательств, которые будут удовлетворены в период со дня утверждения промежуточного ликвидационного баланса и до дня завершения ликвидационной налоговой проверки или камерального контроля.
По результатам ликвидационной налоговой проверки размер обязательства определяется налоговым органом исходя из фактической суммы удовлетворенных обязательств за указанный период. Размер такого обязательства отражается в акте налоговой проверки.
По результатам камерального контроля размер обязательства определяется налоговым органом исходя из фактической суммы удовлетворенных обязательств за указанный период и отражается в уведомлении об устранении нарушений, выявленных по результатам камерального контроля;
3) размер обязательства, по которому в налоговом периоде истек срок исковой давности, установленный законами Республики Казахстан;
4) размер обязательства, исполнение которого кредитор не вправе требовать на основании вступившего в законную силу решения суда.
2. Сумма дохода от списания обязательств равна сумме обязательств (за исключением суммы налога на добавленную стоимость), подлежавших выплате в соответствии с первичными документами налогоплательщика:
в случае, указанном в подпункте 1) пункта 1 настоящей статьи, – на день прекращения требования;
в случае, указанном в подпункте 3) пункта 1 настоящей статьи, – на день истечения срока исковой давности, установленного законами Республики Казахстан;
в случае, указанном в подпункте 4) пункта 1 настоящей статьи, – на день вступления в законную силу решения суда.
3. К обязательствам, признанным сомнительными в соответствии с настоящим Кодексом, не применяются положения пунктов 1 и 2 настоящей статьи.
4. К доходу от списания обязательств не относится уменьшение размера обязательств в связи с их передачей по договору купли-продажи предприятия как имущественного комплекса.
5. Действовал до 01.01.2020 в соответствии с Законом РК от 25.12.2017 № 121-VI.
6. К доходу от списания обязательств не относится уменьшение размера обязательств, возникшее в связи с принудительной реструктуризацией обязательств банка, отнесенного к категории неплатежеспособных банков, проводимой в соответствии со статьей 61-10 Закона Республики Казахстан «О банках и банковской деятельности в Республике Казахстан».
7. К доходу от списания обязательств не относится уменьшение размера обязательств по задолженности, списанной организацией, специализирующейся на улучшении качества кредитных портфелей банков второго уровня, единственным акционером которой является Правительство Республики Казахстан.
Сноска. Статья 229 с изменениями, внесенными законами РК от 02.07.2018 № 168-VІ (вводится в действие с 01.01.2019); от 10.12.2020 № 382-VI (вводится в действие с 01.01.2020).
Статья 230. Доход по сомнительным обязательствам
1. Обязательства, возникшие по приобретенным товарам (работам, услугам), а также по начисленным доходам работников, определяемым в соответствии с пунктом 1 статьи 322 настоящего Кодекса, и не удовлетворенные в течение трехлетнего периода, исчисляемого в соответствии с пунктом 2 настоящей статьи, признаются сомнительными. В доход по сомнительным обязательствам по полученным кредитам (займам, микрокредитам) не включается сумма полученного кредита (займа, микрокредита).
Указанные сомнительные обязательства подлежат включению в совокупный годовой доход налогоплательщика, за исключением налога на добавленную стоимость, который подлежит исключению из зачета в порядке, определенном разделом 10 настоящего Кодекса.
2. Доход по сомнительному обязательству признается в налоговом периоде, в котором истек трехлетний период, исчисляемый:
1) по сомнительным обязательствам, возникшим по договорам кредита (займа, микрокредита), – со дня, следующего за днем наступления срока уплаты вознаграждения в соответствии с условиями договора кредита (займа, микрокредита);
2) по сомнительным обязательствам, возникшим по договорам лизинга, – со дня, следующего за днем наступления срока уплаты лизингового платежа в соответствии с условиями договора лизинга;
3) по сомнительным обязательствам, возникшим по начисленным доходам работников, – со дня начисления доходов работников в соответствии с пунктом 1 статьи 322 настоящего Кодекса;
4) по сомнительным обязательствам, не указанным в подпунктах 1) – 3) настоящего пункта:
со дня, следующего за днем окончания срока исполнения обязательства по приобретенным товарам (работам, услугам), срок исполнения которого определен;
со дня передачи товара, выполнения работ, оказания услуг по обязательству по приобретенным товарам (работам, услугам), срок исполнения которого не определен.
3. Положения настоящей статьи не распространяются на вознаграждения по кредитам (займам), не относимые на вычеты с учетом положений пункта 3 статьи 246 настоящего Кодекса.
Статья 231. Доходы по договорам страхования, перестрахования
Сноска. Заголовок статьи – в редакции Закона РК от 15.07.2025 № 208-VIII (вводится в действие с 01.01.2024).
1. Доходом страховой, перестраховочной организации по договорам страхования, перестрахования признаются доходы страховой, перестраховочной организации в виде:
1) страховых премий (взносов);
2) увеличения активов перестрахования по незаработанным премиям, непроизошедшим убыткам, заявленным, но неурегулированным убыткам, произошедшим, но незаявленным убыткам;
3) возмещения расходов по страховым выплатам;
4) снижения страховых резервов страховыми, перестраховочными организациями по договорам страхования, перестрахования;
5) прочих доходов по договорам страхования, перестрахования, за исключением доходов, указанных в статье 237 настоящего Кодекса.
Доходы, связанные с деятельностью страховых, перестраховочных организаций по заключению и исполнению договоров страхования (перестрахования), определяются на основании данных отчетности, установленной Национальным Банком Республики Казахстан, с учетом требований уполномоченного органа по регулированию, контролю и надзору финансового рынка и финансовых организаций, согласованных с уполномоченным органом и уполномоченным органом в области налоговой политики.
1-1. Экспортно-кредитное агентство Казахстана при применении налогового учета, установленного частью третьей пункта 4 статьи 190 настоящего Кодекса, определяет доходы по договорам страхования, перестрахования в соответствии с положениями настоящей статьи и статьи 232 настоящего Кодекса, предусмотренными для страховой, перестраховочной организации по договорам страхования, перестрахования.
2. Положения настоящей статьи не распространяются на договоры страхования, перестрахования, по которым доход в виде страховых премий в соответствии с международными стандартами финансовой отчетности и (или) требованиями законодательства Республики Казахстан о бухгалтерском учете и финансовой отчетности признан в полном размере до 1 января 2012 года.
3. Доходом страховой, перестраховочной организации в виде активов перестрахования, рассчитанных по незаработанным премиям, непроизошедшим убыткам, заявленным, но неурегулированным убыткам, произошедшим, но незаявленным убыткам, признается положительная разница между размером активов перестрахования, рассчитанных в соответствии с законодательством Республики Казахстан о страховании и страховой деятельности по незаработанным премиям, непроизошедшим убыткам, заявленным, но неурегулированным убыткам, произошедшим, но незаявленным убыткам на конец отчетного налогового периода и размером таких активов на конец предыдущего налогового периода.
4. Доходом страховой, перестраховочной организации в виде возмещения расходов по страховым выплатам признается возмещение расходов страховой, перестраховочной организации по страховым выплатам на основании права обратного требования (регресса) к лицу, причинившему вред, и (или) перестраховочной организации в соответствии с договором перестрахования.
При этом по вступившим в силу до 1 января 2012 года договору накопительного страхования, перестрахования, договору ненакопительного страхования, перестрахования жизни, по которым доходы в виде страховых взносов признаются в соответствии с международными стандартами финансовой отчетности и (или) требованиями законодательства Республики Казахстан о бухгалтерском учете и финансовой отчетности, в том числе после 31 декабря 2011 года, доход страховой, перестраховочной организации в виде возмещения расходов по страховым выплатам определяется по следующей формуле:
Д х (А/Б), где:
Д – подлежащий получению (полученный) в отчетном налоговом периоде доход в виде возмещения расходов по страховым выплатам;
А – страховые взносы, подлежащие получению (полученные) после 31 декабря 2011 года по день признания в отчетном налоговом периоде дохода в виде возмещения расходов по страховым выплатам;
Б – страховые взносы, подлежащие получению (полученные) со дня вступления договора в силу по день признания в отчетном налоговом периоде дохода в виде возмещения расходов по страховым выплатам.
Сноска. Статья 231 с изменениями, внесенными законами РК от 10.12.2020 № 382-VI (вводится в действие с 01.01.2018); от 21.12.2022 № 165-VII (вводится в действие с 01.01.2023); от 15.07.2025 № 208-VIII (вводится в действие с 01.01.2024).
Статья 232. Доход от снижения размеров созданных провизий (резервов)
1. Доходами от снижения размеров провизий (резервов), созданных налогоплательщиком, имеющим право на вычет суммы расходов по созданию провизий (резервов) в соответствии с пунктами 1, 3, 6 и 7 статьи 250 настоящего Кодекса, если иное не предусмотрено настоящей статьей, признаются:
1) суммы провизий (резервов), отнесенные на вычеты в отчетном и (или) предыдущих налоговых периодах, в размере, пропорциональном сумме исполнения, – при исполнении должником требования;
2) суммы провизий (резервов), отнесенные на вычеты в отчетном и (или) предыдущих налоговых периодах, при уменьшении размера требований к должнику на основании договора об отступном, договора новации, переуступки права требования путем заключения договора цессии и (или) на иных основаниях, предусмотренных законодательством Республики Казахстан, в размере, пропорциональном сумме уменьшения размера требований;
3) суммы уменьшения, отнесенные в отчетном и (или) предыдущих налоговых периодах на вычеты провизий (резервов) в результате изменения оценки ожидаемых кредитных убытков.
Примечание РЦПИ!
Пункт 2 действует до 01.01.2027 в соответствии с Законом РК от 25.12.2017 № 121-VI.
2. Доходами от снижения размеров провизий (резервов), созданных налогоплательщиком, имеющим право на вычет суммы расходов по созданию провизий (резервов) в соответствии с пунктом 2 статьи 250 настоящего Кодекса, признаются:
1) суммы провизий (резервов), отнесенные на вычеты в отчетном и (или) предыдущих налоговых периодах, в размере, пропорциональном сумме исполнения, – при исполнении должником требования;
2) суммы провизий (резервов), отнесенные на вычеты в отчетном и (или) предыдущих налоговых периодах, при уменьшении размера требований к должнику на основании договора об отступном, договора новации, переуступки права требования путем заключения договора цессии и (или) на иных основаниях, предусмотренных законодательством Республики Казахстан, в размере, пропорциональном сумме уменьшения размера требований;
3) суммы уменьшения, отнесенные в отчетном и (или) предыдущих налоговых периодах на вычеты провизий (резервов) в результате изменения оценки ожидаемых кредитных убытков;
4) отраженные в бухгалтерском учете по состоянию на 31 декабря 2025 года в соответствии с международными стандартами финансовой отчетности суммы провизий (резервов), отнесенные на вычеты в отчетном и (или) предыдущих налоговых периодах, против сомнительных и безнадежных активов, предоставленных дочерней организации банка на приобретение сомнительных и безнадежных активов родительского банка. Суммы провизий (резервов), указанные в настоящем подпункте, включаются в совокупный годовой доход банка за налоговый период, приходящийся на 2025 год.
Примечание ИЗПИ!
Пункт 2-1 действует с 01.01.2020 до 01.01.2027 в соответствии с Законом РК от 10.12.2020 № 382-VI.
2-1. Банк, имеющий право на вычет суммы расходов по созданию провизий (резервов) в соответствии с пунктом 1 статьи 250 настоящего Кодекса, не признает доходом от снижения размеров провизий (резервов) суммы провизий (резервов), отнесенные на вычеты в отчетном и (или) предыдущих налоговых периодах, в случае прощения долга по кредиту (займу) в порядке и на условиях, установленных настоящим пунктом.
Положения настоящего пункта распространяются на банк, в отношении которого по решению суда проведена реструктуризация, более 90 процентов голосующих акций которого на 31 декабря 2013 года принадлежат национальному управляющему холдингу, или юридическое лицо, ранее являвшееся таким банком.
Положения настоящего пункта применяются в отношении долга по кредиту (займу), против которого банком созданы провизии (резервы), отнесенные на вычеты в отчетном и (или) предыдущих налоговых периодах в соответствии с пунктом 1 статьи 250 настоящего Кодекса, который состоит из:
задолженности по основному долгу;
задолженности по вознаграждению, начисленному после 31 декабря 2012 года;
задолженности, связанной с кредитом (займом).
Настоящий пункт применяется в случае прощения долга по кредиту (займу) и (или) задолженности, связанной с кредитом (займом) при одновременном выполнении следующих условий:
1) кредит (заем) выдан до 1 октября 2009 года;
2) должник по кредиту (займу) и (или) задолженности, связанной с кредитом (займом), указан в перечне (перечнях) должников, долг по которым подлежит прощению, утвержденном (утвержденных) до 1 июля 2019 года органом управления банка или юридического лица, ранее являвшегося таким банком, указанным в части второй настоящего пункта, и представленном (представленных) в уполномоченный орган не позднее 1 августа 2019 года;
3) прощение долга по кредиту (займу) и (или) задолженности, связанной с кредитом (займом), производится в пределах суммы, указанной в перечне (перечнях) должников, долг по которым подлежит прощению, утвержденном (утвержденных) до 1 июля 2019 года органом управления банка или юридического лица, ранее являвшегося таким банком, указанным в части второй настоящего пункта, и представленном (представленных) в уполномоченный орган не позднее 1 августа 2019 года;
4) имеется один и (или) более документов по кредиту (займу):
выданному нерезиденту:
заявление в правоохранительный орган иностранного государства о возбуждении уголовного дела в отношении должника — физического лица и (или) должностного лица или лица, имевшего возможность иным образом прямо или косвенно определять решения, принятые должником — юридическим лицом;
иск в суд Республики Казахстан или иностранного государства о взыскании долга, об обращении взыскания на залог и (или) восстановлении утраченных прав на залог;
вступившее в законную силу постановление судебного исполнителя или иной документ иностранного государства о возврате исполнительного документа банку, в случае когда у должника и третьих лиц, несущих совместно с должником солидарную или субсидиарную ответственность перед указанным банком, отсутствуют имущество, в том числе деньги, ценные бумаги, или доходы, на которые может быть обращено взыскание, и принятые меры по выявлению его имущества или доходов оказались безрезультатными;
вступившее в законную силу решение суда иностранного государства об отказе во взыскании долга, восстановлении утраченных прав на залог, в обращении взыскания на имущество, в том числе деньги, ценные бумаги, или доходы должника;
вступившее в законную силу решение суда иностранного государства о признании должника банкротом и (или) определение о завершении конкурсного производства;
документ компетентного органа иностранного государства об исключении должника или залогодателя из реестра юридических лиц в связи с ликвидацией;
выданному резиденту:
заявление в правоохранительный орган Республики Казахстан о возбуждении уголовного дела в отношении должника — физического лица и (или) должностного лица или лица, имевшего возможность иным образом прямо или косвенно определять решения, принятые должником — юридическим лицом;
документ, подтверждающий проведение мер правоохранительными органами Республики Казахстан по заявлению банка или возбуждение уголовного дела.
Наличие документов, предусмотренных в настоящем подпункте, не требуется по кредитам (займам), выданным нерезидентам:
при прощении суммы непогашенного долга по кредиту после продажи заложенного имущества, которое полностью обеспечивало основной долг на дату заключения ипотечного договора, с торгов во внесудебном порядке по цене ниже суммы основного долга;
при уступке банком права требования с дисконтом по кредиту (займу) третьему лицу, являющемуся на дату уступки права требования нерезидентом, в случае, если стоимость права требования по кредиту (займу), по которой произведена уступка, равна рыночной стоимости права требования банка, определенной в отчете об оценке, проведенной в соответствии с законодательством Республики Казахстан об оценочной деятельности или иностранного государства по договору между оценщиком и таким третьим лицом или банком либо лицом, представляющим интересы банка или назначенным судом иностранного государства для управления имуществом в интересах такого банка. Для целей настоящего абзаца дисконтом признается отрицательная разница между стоимостью права требования по кредиту (займу), по которой банком произведена уступка, и стоимостью права требования по кредиту;
в случае документального подтверждения органом управления банка невозможности обращения в правоохранительный орган или суд иностранного государства в связи с отсутствием:
соглашения о правовой помощи между Республикой Казахстан и таким иностранным государством по уголовным и (или) гражданским делам;
оригинала договора, подтверждающего выдачу кредита (займа);
при прощении части долга должнику, являющемуся на дату прощения долга нерезидентом, которая определяется как разница между суммой долга по кредиту (займу) и рыночной стоимостью права требования банка, указанного в части второй настоящего пункта, определенной в отчете об оценке, проведенной в соответствии с законодательством Республики Казахстан об оценочной деятельности или иностранного государства по договору между оценщиком и должником или таким банком, в случаях, если:
имеется подписанное с должником изменение к договору, по которому был выдан кредит (заем), предусматривающее прощение части долга при условии погашения оставшейся части долга (далее – остаток долга);
банком, указанным в части второй настоящего пункта:
в соответствии с пунктом 1 настоящей статьи признан доход от снижения размеров созданных провизий (резервов) в размере остатка долга;
не произведена корректировка дохода, предусмотренная статьями 286 и 287 настоящего Кодекса;
сумма расходов по провизиям (резервам) против суммы остатка долга, созданным после прощения части долга, не отнесена на вычеты;
5) по кредиту (займу) имеется информация в кредитном бюро о сумме долга по такому кредиту (займу), предоставленная банком в соответствии с законодательством Республики Казахстан о кредитных бюро и формировании кредитных историй;
6) по кредиту (займу) имеется первичный бухгалтерский документ, на основании которого по такому кредиту (займу) созданы провизии (резервы), отнесенные на вычеты в соответствии с пунктом 1 статьи 250 настоящего Кодекса;
7) по кредиту (займу) имеется информация в кредитном регистре, предоставленная банком в Национальный Банк Республики Казахстан в порядке, определенном законодательством Республики Казахстан.
При этом в перечне должников по кредитам (займам), долг по которым подлежит прощению, по каждому кредиту (займу) указываются:
1) номер кредитного досье;
2) дата выдачи кредита (займа);
3) фамилия, имя, отчество (если оно указано в документе, удостоверяющем личность) и (или) наименование заемщика (созаемщика);
4) предельная сумма долга, подлежащая прощению, в разрезе вознаграждения, начисленного после 31 декабря 2012 года, и основного долга по кредиту (займу).
Положения настоящего пункта не распространяются на кредиты (займы), выданные работнику банка, супругу (супруге) и близким родственникам работника банка.
3. Действовал до 01.01.2020 в соответствии с Законом РК от 25.12.2017 № 121-VI.
4. Действовал до 01.01.2020 в соответствии с Законом РК от 25.12.2017 № 121-VI.
Примечание РЦПИ!
Данная редакция абзаца первого пункта 5 действует до 01.01.2027 в соответствии с Законом РК от 25.12.2017 № 121-VI (приостановленную редакцию см. архивную версию от 25.12.2017 Налогового кодекса РК).
5. Не признаются доходом от снижения размеров провизий (резервов), созданных налогоплательщиком, имеющим право на вычет суммы расходов по созданию провизий (резервов) в соответствии с пунктами 1, 2, 3, 6 и 7 статьи 250 настоящего Кодекса, суммы провизий (резервов), отнесенные на вычеты в отчетном и (или) предыдущих налоговых периодах, при уменьшении размера требований к должнику в следующих случаях:
1) исключения из Национального реестра бизнес-идентификационных номеров в связи с ликвидацией юридического лица-должника по решению суда по основаниям, установленным законами Республики Казахстан;
2) признания физического лица-должника на основании вступившего в законную силу решения суда безвестно отсутствующим, недееспособным, ограниченно дееспособным или объявления его на основании вступившего в законную силу решения суда умершим;
3) установления физическому лицу-должнику инвалидности первой, второй групп, а также в случае смерти физического лица-должника;
Примечание РЦПИ!
Данная редакция подпункта 4) действует до 01.01.2027 в соответствии с Законом РК от 25.12.2017 № 121-VI (приостановленную редакцию см. архивную версию от 25.12.2017 Налогового кодекса РК).
4) вступления в законную силу постановления судебного исполнителя о возврате исполнительного документа налогоплательщику, имеющему право на вычет суммы расходов по созданию провизии (резервов) в соответствии с пунктами 1, 2, 3, 6 и 7 статьи 250 настоящего Кодекса, в случае, когда у должника и третьих лиц, несущих совместно с должником солидарную или субсидиарную ответственность перед налогоплательщиком, имеющим право на вычет суммы расходов по созданию провизии (резервов) в соответствии с пунктами 1, 2, 3, 6 и 7 статьи 250 настоящего Кодекса, отсутствуют имущество, в том числе деньги, ценные бумаги, или доходы, на которые может быть обращено взыскание, и принятые судебным исполнителем предусмотренные законодательством Республики Казахстан об исполнительном производстве и статусе судебных исполнителей меры по выявлению его имущества или доходов оказались безрезультатными;
Примечание РЦПИ!
Данная редакция подпункта 5) действует до 01.01.2027 в соответствии с Законом РК от 25.12.2017 № 121-VI (приостановленную редакцию см. архивную версию от 25.12.2017 Налогового кодекса РК).
5) вступления в законную силу решения суда об отказе налогоплательщику, имеющему право на вычет суммы расходов по созданию провизии (резервов) в соответствии с пунктами 1, 2, 3, 6 и 7 статьи 250 настоящего Кодекса, в обращении взыскания на имущество, в том числе деньги, ценные бумаги, или доходы должника;
6) снятия с регистрационного учета в качестве индивидуального предпринимателя в связи с признанием индивидуального предпринимателя-должника банкротом в соответствии с законодательством Республики Казахстан о реабилитации и банкротстве;
7) уступки банком второго уровня, ипотечной организацией, организацией, осуществляющей микрофинансовую деятельность (за исключением ломбарда), прав требования по кредиту (займу, ипотечному займу, ипотечному жилищному займу, микрокредиту) юридическим лицам, указанным в законах Республики Казахстан «О банках и банковской деятельности в Республике Казахстан», «Об ипотеке недвижимого имущества» и «О микрофинансовой деятельности», в части отрицательной разницы между стоимостью права требования по кредиту (займу, ипотечному займу, ипотечному жилищному займу, микрокредиту), по которой банком второго уровня, ипотечной организацией, организацией, осуществляющей микрофинансовую деятельность (за исключением ломбарда), произведена уступка, и стоимостью права требования по кредиту (займу, ипотечному займу, ипотечному жилищному займу, микрокредиту), подлежащей получению банком второго уровня, ипотечной организацией, организацией, осуществляющей микрофинансовую деятельность (за исключением ломбарда), от должника, на дату уступки права требования по кредиту (займу, ипотечному займу, ипотечному жилищному займу, микрокредиту) согласно первичным документам банка второго уровня, ипотечной организации, организации, осуществляющей микрофинансовую деятельность (за исключением ломбарда);
8) уменьшения в бухгалтерском учете размера требования к должнику в виде неоплаченного просроченного кредита (займа, ипотечного займа, ипотечного жилищного займа) и вознаграждения по нему, дебиторской задолженности по документарным расчетам и гарантиям в соответствии с международными стандартами финансовой отчетности и (или) требованиями законодательства Республики Казахстан о бухгалтерском учете и финансовой отчетности налогоплательщиком, имеющим право на вычет суммы расходов по созданию провизий (резервов) в соответствии с пунктами 1 и 7 статьи 250 настоящего Кодекса, в случае отсутствия в отчетном налоговом периоде полного или частичного прекращения права такого требования налогоплательщика к должнику в соответствии с законодательством Республики Казахстан;
9) уменьшения размера требования к должнику в связи с прощением налогоплательщиком, имеющим право на вычет суммы расходов по созданию провизий (резервов) в соответствии с пунктами 1, 3 статьи 250 настоящего Кодекса, безнадежной задолженности по кредиту (займу, ипотечному займу, ипотечному жилищному займу) и вознаграждения по нему в пределах максимального размера соотношения общей суммы прощенных за налоговый период безнадежной задолженности по кредитам (займам, ипотечному займу, ипотечному жилищному займу) и вознаграждения по ним к сумме основного долга по кредитам (займам, ипотечным займам, ипотечным жилищным займам) и вознаграждениям по ним на начало налогового периода. При этом максимальный размер такого соотношения равен коэффициенту 0,1;
Примечание РЦПИ!
Подпункт 9-1) действует до 01.01.2027 в соответствии с Законом РК от 25.12.2017 № 121-VI.
9-1) уменьшения размера требования к должнику в связи с прощением налогоплательщиком, имеющим право на вычет суммы расходов по созданию провизий (резервов) в соответствии с пунктом 6 статьи 250 настоящего Кодекса, безнадежной задолженности по микрокредиту и вознаграждения по нему в пределах максимального размера соотношения общей суммы прощенных за налоговый период безнадежной задолженности по микрокредитам и вознаграждения по ним к сумме основного долга по микрокредитам и вознаграждениям по ним на начало налогового периода. При этом максимальный размер такого соотношения равен коэффициенту 0,2;
10) уменьшения размера требования к должнику по ипотечному жилищному займу (ипотечному займу), который подлежит рефинансированию в рамках программы рефинансирования ипотечных жилищных займов (ипотечных займов), утвержденной Национальным Банком Республики Казахстан, в связи с прощением налогоплательщиком, имеющим право на вычет суммы расходов по созданию провизий (резервов) в соответствии с пунктом 3 статьи 250 настоящего Кодекса, безнадежной задолженности по кредиту (займу) и вознаграждения по нему в пределах максимального размера соотношения общей суммы прощенных за налоговый период безнадежной задолженности по кредитам (займам) и вознаграждения по ним к сумме основного долга по кредитам (займам) и вознаграждениям по ним на начало налогового периода. При этом максимальный размер такого соотношения равен коэффициенту 0,1.
11) действовал до 01.01.2020 в соответствии с Законом РК от 25.12.2017 № 121-VI.
12) действовал с 01.01.2020 до 01.01.2021 в соответствии с Законом РК от 10.12.2020 № 382-VI.
6. Доходом от снижения страховых резервов страховой, перестраховочной организации признается отрицательная разница между размером ранее отнесенных на вычеты страховых резервов, рассчитанных в соответствии с законодательством Республики Казахстан о страховании и страховой деятельности по незаработанным премиям, непроизошедшим убыткам, заявленным, но неурегулированным убыткам, произошедшим, но незаявленным убыткам на конец отчетного налогового периода и размером таких резервов на конец предыдущего налогового периода.
Примечание ИЗПИ!
Пункт 7 действует с 01.01.2020 до 01.01.2027 в соответствии с Законом РК от 10.12.2020 № 382-VI.
7. Положения, предусмотренные пунктами 1 и 5 настоящей статьи, распространяются на юридическое лицо, ранее являвшееся банком, в отношении которого по решению суда проведена реструктуризация, более 90 процентов голосующих акций которого на 31 декабря 2013 года принадлежат национальному управляющему холдингу.
Сноска. Статья 232 с изменениями, внесенными законами РК от 02.04.2019 № 241-VI (вводится в действие с 01.01.2018); от 03.07.2019 № 262-VI (вводится в действие с 01.01.2020); от 10.12.2020 № 382-VI (порядок введения в действие см. ст. 2); от 20.12.2021 № 85-VII (вводится в действие с 01.01.2022); от 21.12.2022 № 165-VII (вводится в действие с 01.01.2023); от 12.12.2023 № 45-VIII (вводится в действие с 01.01.2024); от 15.07.2025 № 208-VIII (вводится в действие с 01.01.2024).
Статья 233. Доход от уступки права требования
1. Если иное не установлено настоящей статьей, доходом от уступки права требования является:
1) для налогоплательщика, приобретающего право требования, – положительная разница между суммой, подлежащей получению от должника по требованию основного долга, в том числе суммы сверх основного долга на дату уступки права требования, и стоимостью приобретения права требования;
2) для налогоплательщика, уступившего право требования, – положительная разница между стоимостью права требования, по которой произведена уступка, и стоимостью требования, подлежащей получению от должника на дату уступки права требования, согласно первичным документам налогоплательщика.
Доход от уступки права требования признается в налоговом периоде, в котором произведена уступка права требования.
2. Доходом от уступки права требования налогоплательщика, приобретающего право требования по кредитам (займам, микрокредитам) и указанного в законах Республики Казахстан «О банках и банковской деятельности в Республике Казахстан» и «О микрофинансовой деятельности», является положительная разница между суммой, фактически уплаченной должником, и стоимостью приобретения права требования.
Доход от уступки права требования признается в том налоговом периоде, в котором возникает (увеличивается) положительная разница. При этом не учитывается положительная разница, ранее признанная в предыдущих налоговых периодах.
3. Доходом от уступки права требования налогоплательщика, приобретающего право требования по кредитам (займам, микрокредитам) у организации, специализирующейся на улучшении качества кредитных портфелей банков второго уровня, единственным акционером которой является Правительство Республики Казахстан, является положительная разница между суммой, фактически уплаченной должником, и стоимостью приобретения права требования.
Доход от уступки права требования признается в том налоговом периоде, в котором возникает (увеличивается) положительная разница. При этом не учитывается положительная разница, ранее признанная в предыдущих налоговых периодах.
Сноска. Статья 233 с изменениями, внесенными законами РК от 03.07.2019 № 262-VI (вводится в действие с 01.01.2020); от 10.12.2020 № 382-VI (вводится в действие с 01.01.2021).
Статья 234. Доход от выбытия фиксированных активов
Если стоимость выбывших фиксированных активов подгруппы (по I группе) или группы (по II, III и IV группам), определенная в соответствии со статьей 270 настоящего Кодекса, превышает стоимостный баланс подгруппы (по I группе) или группы (по II, III и IV группам) на начало налогового периода с учетом стоимости поступивших фиксированных активов в налоговом периоде, а также последующих расходов, произведенных в налоговом периоде и учитываемых в соответствии с пунктом 2 статьи 272 настоящего Кодекса, величина превышения подлежит включению в совокупный годовой доход. Стоимостный баланс данной подгруппы (по I группе) или группы (по II, III и IV группам) на конец налогового периода становится равным нулю.
Доход от выбытия фиксированных активов признается в налоговом периоде, в котором произошло выбытие таких активов в соответствии со статьей 270 настоящего Кодекса.
Статья 235. Доход от корректировки расходов на геологическое изучение и подготовительные работы к добыче природных ресурсов, а также других расходов недропользователей
Если размер сумм, корректирующих в соответствии со статьей 258 настоящего Кодекса расходы, которые образуют отдельную группу, превышает размер последней на начало налогового периода с учетом произведенных расходов в налоговом периоде, величина превышения подлежит включению в совокупный годовой доход. Размер данной группы на конец налогового периода становится равным нулю.
Статья 236. Доход от превышения суммы отчислений в фонд ликвидации последствий разработки месторождений над суммой фактических расходов по ликвидации последствий разработки месторождений
Если фактические расходы недропользователя по ликвидации последствий разработки месторождений за весь период действия контракта на недропользование, произведенные за счет фонда ликвидации последствий разработки месторождений, сформированного за весь период действия контракта на недропользование, ниже произведенных отчислений в указанный фонд, то разница подлежит включению в совокупный годовой доход того налогового периода, в котором прекращает действие контракт на недропользование.
При этом сумма такой разницы, подлежащей включению в совокупный годовой доход, уменьшается на сумму корректировки совокупного годового дохода, произведенной недропользователем в течение периода действия контракта на недропользование в соответствии со статьей 252 настоящего Кодекса в связи с нецелевым использованием недропользователем средств ликвидационного фонда.
Статья 237. Полученные компенсации по ранее произведенным вычетам
1. К доходам, полученным в виде компенсации по ранее произведенным вычетам, относятся:
1) суммы требований, признанных сомнительными, ранее отнесенные на вычеты и возмещенные в последующие налоговые периоды, в том числе путем переуступки прав таких требований;
2) суммы, полученные из средств государственного бюджета, на покрытие затрат (расходов);
3) суммы компенсации ущерба, выплаченные страховой организацией или лицом, нанесшим ущерб, за исключением страховых выплат, указанных в статье 270 настоящего Кодекса;
4) другие компенсации, полученные по возмещению затрат, которые ранее были отнесены на вычеты.
Полученная компенсация является доходом того налогового периода, в котором она была получена.
2. В случае возмещения физическим лицом расходов на обучение, по которым налогоплательщиком были применены положения подпункта 4) пункта 1 статьи 288 настоящего Кодекса, сумма такого возмещения включается в совокупный годовой доход налогоплательщика в части суммы таких расходов, отнесенной на уменьшение налогооблагаемого дохода предыдущих налоговых периодов, при условии, что такое возмещение произведено физическим лицом в течение периода времени, включающего налоговый период, в котором окончено обучение физического лица (расторгнут трудовой договор до истечения трех лет с даты его заключения), а также последующий налоговый период.
3. Сумма страховых премий, подлежащих возврату или возвращенных страховой организацией страхователю в соответствии с гражданским законодательством Республики Казахстан по договорам ненакопительного страхования и ранее отнесенных на вычеты страхователем, включается в совокупный годовой доход того налогового периода, в котором они подлежали возврату или были возвращены страхователю.
Статья 238. Безвозмездно полученное имущество
1. Если иное не установлено настоящим Кодексом, стоимость любого имущества, в том числе работ и услуг, полученного налогоплательщиком безвозмездно, является его доходом.
2. Доход в виде безвозмездно полученного имущества, в том числе работ и услуг, признается в налоговом периоде, в котором такое имущество получено, работы выполнены, услуги оказаны.
3. Для целей определения размера дохода в виде безвозмездно полученного имущества стоимость безвозмездно полученного имущества, в том числе работ и услуг, определяется по данным бухгалтерского учета в соответствии с международными стандартами финансовой отчетности и (или) требованиями законодательства Республики Казахстан о бухгалтерском учете и финансовой отчетности, но не ниже стоимости, указанной в акте приема-передачи (при его наличии) такого имущества с учетом налога на добавленную стоимость, указанного в документах передающей стороны.
4. Стоимость безвозмездно полученного имущества в виде квоты на выбросы парниковых газов, полученной в соответствии с Национальным планом распределения квот на выбросы парниковых газов в порядке, определенном уполномоченным органом в области охраны окружающей среды, признается равной нулю.
Сноска. Статья 238 с изменением, внесенным Законом РК от 10.12.2020 № 382-VI (вводится в действие с 01.01.2018).
Статья 239. Доход, полученный при эксплуатации объектов социальной сферы
Если доходы, подлежащие получению (полученные) от другого лица при эксплуатации объектов социальной сферы, составляют не более 5 процентов от совокупного годового дохода, включая такие доходы, то в совокупный годовой доход налогоплательщика включается превышение таких доходов над фактически понесенными расходами при эксплуатации объектов социальной сферы, определяемыми в соответствии с международными стандартами финансовой отчетности и (или) требованиями законодательства Республики Казахстан о бухгалтерском учете и финансовой отчетности.
Объектом социальной сферы является имущество, принадлежащее налогоплательщику на праве собственности:
1) используемое в одном или нескольких из следующих видов деятельности:
в области организации отдыха, развлечений;
в сфере науки, культуры, физической культуры и спорта, по сохранению историко-культурного наследия, архивных ценностей;
2) являющееся объектом жилищного фонда.
При несоблюдении условий, установленных настоящей статьей, налоговый учет доходов и расходов от эксплуатации объектов социальной сферы производится в общеустановленном порядке.
Сноска. Статья 239 с изменением, внесенным Законом РК от 10.12.2020 № 382-VI (порядок введения в действие см. ст. 2).
Статья 240. Доход (убыток) от продажи предприятия как имущественного комплекса
1. Доход от продажи предприятия как имущественного комплекса определяется как положительная разница между стоимостью реализации по договору купли-продажи предприятия как имущественного комплекса и балансовой стоимостью передаваемых активов, уменьшенной на балансовую стоимость передаваемых обязательств, по данным бухгалтерского учета на дату реализации.
2. Убыток от продажи предприятия как имущественного комплекса определяется как отрицательная разница между стоимостью реализации по договору купли-продажи предприятия как имущественного комплекса и балансовой стоимостью передаваемых активов, уменьшенной на балансовую стоимость передаваемых обязательств, по данным бухгалтерского учета на дату реализации.
Перенос убытка от продажи предприятия как имущественного комплекса осуществляется в порядке, определенном статьей 300 настоящего Кодекса.
Статья 241. Корректировка совокупного годового дохода
1. Если иное не установлено пунктом 2 настоящей статьи, из совокупного годового дохода налогоплательщиков подлежат исключению:
1) дивиденды;
2) исключен Законом РК от 10.12.2020 № 382-VI (вводится в действие с 01.01.2020);
3) сумма обязательных календарных, дополнительных и чрезвычайных взносов банков, полученная организацией, осуществляющей обязательное гарантирование депозитов физических лиц;
4) сумма гарантийных взносов, полученная Единым оператором жилищного строительства, в пределах средств, направленных на увеличение резерва для урегулирования гарантийных случаев в соответствии с Законом Республики Казахстан «О долевом участии в жилищном строительстве»;
5) сумма обязательных, дополнительных и чрезвычайных взносов страховых организаций, полученная Фондом гарантирования страховых выплат;
5-1) полученные специальным фондом развития предпринимательства, созданным по решению Правительства Республики Казахстан, контрольный пакет акций которого принадлежит национальному управляющему холдингу (далее – специальный фонд), в соответствии с Предпринимательским кодексом Республики Казахстан:
сумма обязательных и добровольных взносов в рамках участия в системе гарантирования обязательств субъектов частного предпринимательства;
доходы, возникающие в связи с выделением средств из республиканского и местных бюджетов;
доходы, полученные в результате размещения активов гарантийного фонда при условии направления указанных доходов на увеличение гарантийного фонда;
6) сумма денег, полученная организацией, осуществляющей обязательное гарантирование депозитов физических лиц, и Фондом гарантирования страховых выплат в порядке удовлетворения их требований по возмещенным депозитам и осуществленным гарантийным и компенсационным выплатам;
7) сумма денег, полученная Единым оператором жилищного строительства в порядке удовлетворения требований по выплатам по завершении строительства многоквартирных жилых домов в соответствии с Законом Республики Казахстан «О долевом участии в жилищном строительстве»;
8) инвестиционные доходы, полученные в соответствии с законодательством Республики Казахстан о социальной защите и направленные на индивидуальные пенсионные счета;
9) инвестиционные доходы, полученные в соответствии с законодательством Республики Казахстан о социальной защите и направленные на увеличение активов Государственного фонда социального страхования;
10) инвестиционные доходы, полученные в соответствии с законодательством Республики Казахстан об обязательном социальном медицинском страховании и направленные на увеличение активов Фонда социального медицинского страхования;
11) инвестиционные доходы, полученные:
акционерными инвестиционными фондами от инвестиционной деятельности в соответствии с законодательством Республики Казахстан об инвестиционных и венчурных фондах и учтенные кастодианом акционерного инвестиционного фонда;
инвестиционными фондами, зарегистрированными в соответствии с действующим правом Международного финансового центра «Астана» и учтенные кастодианом или управляющей компанией инвестиционного фонда;
11-1) доход от реализации цифровых активов, по которым доход исчислен в соответствии с пунктом 1 статьи 227-1 настоящего Кодекса;
12) доходы от уступки прав требования долга, полученные специальной финансовой компанией по сделке секьюритизации в соответствии с законодательством Республики Казахстан о проектном финансировании и секьюритизации;
13) чистый доход от доверительного управления имуществом, полученный (подлежащий получению) учредителем доверительного управления;
14) исключен Законом РК от 24.06. 2021 № 53-VII (вводится в действие с 01.01.2022).
15) сумма ежегодных обязательных взносов, полученных фондом гарантирования исполнения обязательств по зерновым распискам от хлебоприемных предприятий;
16) сумма денег, полученных фондом гарантирования исполнения обязательств по зерновым распискам в порядке удовлетворения требований по осуществленным гарантийным выплатам;
17) доходы государственной исламской специальной финансовой компании, полученные от сдачи в имущественный наем (аренду) и (или) при реализации недвижимого имущества, указанного в подпункте 6) пункта 3 статьи 519 настоящего Кодекса, и земельных участков, занятых таким имуществом;
18) доходы, полученные исламским банком в процессе управления деньгами в виде инвестиционных депозитов, направленные на счета депозиторов данных инвестиционных депозитов и находящиеся на них. Такие доходы не включают вознаграждение исламского банка;
19) доходы от уступки права требования долга, полученные исламской специальной финансовой компанией, созданной в соответствии с законодательством Республики Казахстан о рынке ценных бумаг;
20) доходы организации, осуществляющей обязательное гарантирование депозитов физических лиц, полученные в результате размещения активов специального резерва, а также в виде неустойки, применяемой к банкам второго уровня за неисполнение или ненадлежащее исполнение обязательств по договору присоединения в соответствии с Законом Республики Казахстан «Об обязательном гарантировании депозитов, размещенных в банках второго уровня Республики Казахстан».
Положения настоящего подпункта действуют при условии направления указанных доходов на увеличение специального резерва;
21) доход автономного кластерного фонда, определенного законодательством Республики Казахстан об инновационном кластере, полученный из бюджета в виде целевого перечисления исключительно для создания совместных предприятий с участием транснациональных корпораций, а также для долевого участия в зарубежных инвестиционных фондах;
22) инвестиционные доходы Единого оператора жилищного строительства в соответствии с Законом Республики Казахстан «О долевом участии в жилищном строительстве» в пределах средств, направленных на увеличение резерва для урегулирования гарантийных случаев;
23) доходы некоммерческой организации, предусмотренные пунктом 2 статьи 289 настоящего Кодекса, при соблюдении условий, установленных статьей 289 настоящего Кодекса;
24) доходы поверенного (агента) уполномоченного органа в области образования в виде присужденной неустойки в связи с осуществлением деятельности по возмещению расходов бюджетных средств, а также по возврату государственных образовательных и государственных студенческих кредитов;
Примечание РЦПИ!
Подпункт 25) действует до 01.01.2029 в соответствии с Законом РК от 26.12.2018 № 203-VI.
25) стоимость имущества, безвозмездно полученного венчурным фондом, созданным в соответствии с законодательством Республики Казахстан, и предназначенного для безвозмездной передачи юридическим лицам, указанным в подпункте 6) пункта 1 статьи 293 настоящего Кодекса;
26) инвестиционные доходы Фонда гарантирования страховых выплат в соответствии с Законом Республики Казахстан «О Фонде гарантирования страховых выплат» в пределах средств, направленных на увеличение резерва возмещения вреда и резерва гарантирования страховых выплат;
27) доход, образовавшийся при прекращении обязательств в соответствии с гражданским законодательством Республики Казахстан по кредиту (займу, микрокредиту), выданному банком (микрофинансовой организацией), в виде:
прощения основного долга;
прощения задолженности по вознаграждению, комиссии, неустойке (пени, штрафу);
дохода, полученного заемщиком в результате оплаты за такое лицо банком, организацией, осуществляющей отдельные виды банковских операций, а также коллекторским агентством государственной пошлины, взимаемой с подаваемого в суд искового заявления.
28) действовал до 01.01.2023 в соответствии с Законом РК от 11.07.2022 № 135-VII.
Примечание РЦПИ!
Часть вторая пункта 1 действует до 01.01.2027 в соответствии с Законом РК от 25.12.2017 № 121-VI.
Из совокупного годового дохода дочерней организации банка, приобретающей сомнительные и безнадежные активы родительского банка, исключаются доходы от осуществления видов деятельности, предусмотренных законодательством Республики Казахстан о банках и банковской деятельности, включенные в совокупный годовой доход такой организации и перечисленные родительскому банку.
Примечание РЦПИ!
Часть третья пункта 1 действует до 01.01.2027 в соответствии с Законом РК от 25.12.2017 № 121-VI.
При этом отнесение подлежащих к получению доходов к доходам от осуществления видов деятельности, предусмотренных законодательством Республики Казахстан о банках и банковской деятельности, производится в порядке, определенном уполномоченным органом по регулированию, контролю и надзору финансового рынка и финансовых организаций по согласованию с уполномоченным органом.
Примечание РЦПИ!
Часть четвертая пункта 1 действует до 01.01.2027 в соответствии с Законом РК от 25.12.2017 № 121-VI.
Из совокупного годового дохода банка исключаются доходы от уступки права требования, полученные в связи с выкупом у организации, специализирующейся на улучшении качества кредитных портфелей банков второго уровня, единственным акционером которой является Правительство Республики Казахстан, ранее уступленных такой организации прав требований по кредитам (займам).
2. Из совокупного годового дохода не подлежат исключению дивиденды:
1) исключен Законом РК от 10.12.2020 № 382-VI (вводится в действие с 01.01.2020);
2) исключен Законом РК от 11.07.2022 № 135-VII (вводится в действие с 01.01.2023).
3) полученные постоянным учреждением юридического лица – нерезидента в Республике Казахстан. При этом положения данного подпункта не применяются к дивидендам при выполнении условий, определенных подпунктом 3) пункта 9 статьи 645 настоящего Кодекса;
4) Исключен Законом РК от 12.12.2023 № 45-VIII (вводится в действие с 01.01.2023).
3. При переходе на иной метод оценки запасов, чем тот, который применялся налогоплательщиком в предыдущем налоговом периоде, совокупный годовой доход налогоплательщика подлежит увеличению на сумму положительной разницы и уменьшению на сумму отрицательной разницы, образовавшихся в результате применения нового метода оценки.
Переход на иной метод оценки запасов производится налогоплательщиком с начала налогового периода.
Сноска. Статья 241 с изменениями, внесенными законами РК от 04.07.2018 № 174-VІ (вводится в действие по истечении десяти календарных дней после дня его первого официального опубликования); от 26.12.2018 № 203-VI (вводится в действие с 01.01.2019); от 03.07.2019 № 262-VI (вводится в действие с 01.01.2020); от 10.12.2020 № 382-VI (порядок введения в действие см. ст. 2); от 24.06. 2021 № 53-VII (вводится в действие с 01.01.2022); от 11.07.2022 № 135-VII (порядок введения в действие см. ст. 3); от 06.02.2023 № 196-VII (вводится в действие с 01.04.2023); от 12.12.2023 № 45-VIII (вводится в действие с 01.01.2023); от 15.07.2025 № 208-VIII (вводится в действие с 01.01.2025).
Параграф 2. Вычеты
Статья 242. Общие положения
1. Расходы налогоплательщика в связи с осуществлением деятельности, направленной на получение дохода, подлежат вычету при определении налогооблагаемого дохода с учетом положений, установленных настоящей статьей и статьями 243 – 263 настоящего Кодекса, за исключением расходов, не подлежащих вычету в соответствии с настоящим Кодексом.
Положения настоящего пункта применяются к расходам налогоплательщика, понесенным как в Республике Казахстан, так и за ее пределами.
Затраты налогоплательщика на строительство, приобретение фиксированных активов и другие затраты капитального характера относятся на вычеты в соответствии со статьями 265 – 276 настоящего Кодекса.
2. Расходы налогоплательщика в связи с осуществлением деятельности в иностранном государстве через постоянное учреждение подлежат вычету в соответствии с настоящим Кодексом.
При определении налогооблагаемого дохода постоянного учреждения юридического лица-резидента в иностранном государстве допускается вычет управленческих и общеадминистративных расходов, понесенных как в Республике Казахстан, так и за ее пределами в целях получения такого налогооблагаемого дохода, в соответствии с положениями налогового законодательства такого иностранного государства или международного договора.
Сумма управленческих и общеадминистративных расходов относится на вычеты в иностранном государстве, из источников которого получен доход юридическим лицом-резидентом, в порядке, определенном налоговым законодательством такого иностранного государства.
В случае, если налоговым законодательством иностранного государства, из источников которого получен доход юридическим лицом-резидентом, или международным договором допускается вычет управленческих и общеадминистративных расходов, но при этом налоговым законодательством иностранного государства не предусмотрен порядок отнесения на вычеты таких расходов, налогоплательщик-резидент относит на вычеты управленческие и общеадминистративные расходы в указанном иностранном государстве в порядке, определенном статьями 662 – 665 настоящего Кодекса.
3. Вычеты производятся налогоплательщиком по фактически произведенным расходам при наличии документов, подтверждающих такие расходы, связанные с его деятельностью, направленной на получение дохода.
Расходы будущих периодов, определяемых в соответствии с международными стандартами финансовой отчетности и требованиями законодательства Республики Казахстан о бухгалтерском учете и финансовой отчетности, подлежат вычету в том налоговом периоде, к которому они относятся.
3-1. Вычеты по расходам по товарам, работам, услугам при их приобретении у лиц, указанных в подпункте 8) пункта 1 статьи 412 настоящего Кодекса, по гражданско-правовой сделке, стоимость которой превышает 1000-кратный размер месячного расчетного показателя, установленного законом о республиканском бюджете и действующего на дату совершения такой сделки, производятся при соблюдении положений пункта 3 настоящей статьи и наличии счета-фактуры в электронной форме или чека контрольно-кассовой машины с функцией фиксации и (или) передачи данных, содержащего идентификационный номер покупателя (клиента), получателя товаров, работ, услуг, за исключением:
случаев, предусмотренных подпунктами 4), 5) и 6) пункта 13 статьи 412 настоящего Кодекса;
расходов по приобретению работ, услуг у нерезидента;
товаров, ввезенных на территорию Республики Казахстан с территорий государств-членов Евразийского экономического союза;
товаров, ввезенных на территорию государств-членов Евразийского экономического союза, подлежащих декларированию в соответствии с таможенным законодательством Евразийского экономического союза и (или) таможенным законодательством Республики Казахстан.
В случае, предусмотренном подпунктом 1) пункта 2 статьи 412 настоящего Кодекса, вычеты производятся при наличии счета-фактуры на бумажном носителе.
Для целей настоящего раздела дата выписки счета-фактуры не влияет на дату признания расходов.
3-2. Вычеты по расходам по товарам, работам, услугам при их приобретении у лиц, применяющих специальный налоговый режим розничного налога, производятся при соблюдении положений пункта 3 настоящей статьи и наличии счета-фактуры в электронной форме или чека контрольно-кассовой машины с функцией фиксации и (или) передачи данных либо чека специального мобильного приложения, содержащего идентификационный номер покупателя товаров, работ, услуг.
4. Если иное не установлено настоящей статьей и статьями 243 – 263 настоящего Кодекса, для целей настоящего раздела признание расходов, включая дату их признания, осуществляется в соответствии с международными стандартами финансовой отчетности и (или) требованиями законодательства Республики Казахстан о бухгалтерском учете и финансовой отчетности.
В случае, когда порядок признания расходов в соответствии с международными стандартами финансовой отчетности и (или) требованиями законодательства Республики Казахстан о бухгалтерском учете и финансовой отчетности отличается от порядка определения вычетов в соответствии с настоящим Кодексом, указанные расходы учитываются для целей налогообложения в порядке, определенном настоящим Кодексом.
5. Если иное не предусмотрено пунктом 4 статьи 192 настоящего Кодекса, в качестве затрат в целях налогообложения не рассматриваются затраты, возникающие в бухгалтерском учете в связи с изменением стоимости активов и (или) обязательств при применении международных стандартов финансовой отчетности и законодательства Республики Казахстан о бухгалтерском учете и финансовой отчетности, кроме подлежащих выплате (выплаченных).
6. В случае, если одни и те же виды расходов предусмотрены в нескольких статьях расходов, то при расчете налогооблагаемого дохода указанные расходы вычитаются только один раз.
7. Налогоплательщик осуществляет корректировку вычетов в соответствии со статьей 287 настоящего Кодекса. При этом сумма вычетов с учетом данных корректировок может иметь отрицательное значение.
Сноска. Статья 242 с изменениями, внесенными законами РК от 10.12.2020 № 382-VI (порядок введения в действие см. ст. 2); от 24.06. 2021 № 53-VII (вводится в действие с 01.01.2022); от 20.03.2023 № 213-VII (вводится в действие по истечении шестидесяти календарных дней после дня его первого официального опубликования).
Статья 243. Вычеты по отдельным видам расходов
1. Потери товаров, понесенные налогоплательщиком, за исключением случаев, предусмотренных пунктом 2 настоящей статьи, подлежат вычету в пределах норм естественной убыли, установленных законодательством Республики Казахстан.
2. Потери, понесенные субъектом естественной монополии в целях предоставления регулируемых услуг (товаров, работ), подлежат вычету в пределах нормативных технических потерь и (или) с учетом ограничений, установленных в соответствии с законодательством Республики Казахстан.
3. Расходы налогоплательщика в размере балансовой стоимости товаров, не отнесенной ранее на вычеты, в связи с утратой, порчей которых или наступлением страхового случая по которым от лица, нанесшего ущерб, или страховой организации получены суммы компенсации ущерба, в том числе в виде страховой выплаты, подлежат вычету в пределах суммы полученной компенсации в периоде, на который приходится дата получения суммы компенсации ущерба.
Для целей настоящего раздела:
порча товара означает ухудшение всех или отдельных качеств (свойств) товара, в результате которого данный товар не может быть использован в деятельности, направленной на получение дохода;
под утратой товара понимается событие, в результате которого произошли уничтожение или потеря товара. Не является утратой потеря товаров, понесенная налогоплательщиком в пределах норм естественной убыли, установленных законодательством Республики Казахстан.
4. Вычету подлежат расходы налогоплательщика на обязательные, периодические (в течение трудовой деятельности) медицинские осмотры и предсменное, послесменное и иное медицинское освидетельствование (осмотр) работников, на содержание или услуги по организации медицинских пунктов в случаях, предусмотренных соглашением, коллективным договором, законодательством Республики Казахстан.
5. Вычету подлежат расходы налогоплательщика по обеспечению работникам условий труда, отвечающих требованиям безопасности, охраны и гигиены труда, в том числе санитарно-эпидемиологическим требованиям, по обеспечению работникам возможности отдыха и приема пищи в специально оборудованном месте в соответствии с трудовым законодательством Республики Казахстан, трудовым, коллективным договорами или актами работодателя.
6. Подлежат отнесению на вычеты расходы налогоплательщика в связи с осуществлением деятельности по организации общественного питания работников, дошкольного воспитания и обучения, социальной защиты и социального обеспечения детей, престарелых и лиц с инвалидностью.
7. Вычету подлежат присужденные или признанные неустойки (штрафы, пени), если иное не установлено статьями 246 и 264 настоящего Кодекса.
8. В случае, если условиями сделки предусмотрено предоставление налогоплательщиком гарантии качества реализованных товаров, выполненных работ, оказанных услуг, то сумма фактических расходов налогоплательщика по устранению недостатков реализованных товаров, выполненных работ, оказанных услуг, произведенных в течение установленного сделкой гарантийного срока, подлежит отнесению на вычеты в соответствии с настоящим Кодексом.
9. Если иное не установлено настоящей статьей, в стоимости приобретенных товаров, работ, услуг учитываются следующие затраты по налогу на добавленную стоимость:
сумма налога на добавленную стоимость, не относимого в зачет в соответствии с пунктом 1 статьи 402 настоящего Кодекса;
сумма налога на добавленную стоимость, не разрешенного к отнесению в зачет в соответствии с подпунктом 2) пункта 2 статьи 409 и статьей 410 настоящего Кодекса;
сумма корректировки налога на добавленную стоимость, относимого в зачет в сторону уменьшения в случаях, указанных в подпунктах 1) и 4) пункта 2 статьи 404 настоящего Кодекса.
Плательщик налога на добавленную стоимость вправе отнести на вычеты сумму:
1) налога на добавленную стоимость, не разрешенного к отнесению в зачет, в соответствии со статьей 408 и подпунктом 3) пункта 2 статьи 409 настоящего Кодекса, если в бухгалтерском учете такой налог не учтен в стоимости приобретенных товаров, работ, услуг;
2) корректировки налога на добавленную стоимость, относимого в зачет, в сторону уменьшения в случае, указанном в подпункте 1) пункта 2 статьи 404 настоящего Кодекса, по фиксированным активам, запасам, работам, услугам, использованным при осуществлении деятельности, направленной на получение дохода;
3) уменьшения налога на добавленную стоимость, относимого в зачет, в случае, указанном в подпункте 4) пункта 2 статьи 404 настоящего Кодекса, за исключением передачи в качестве вклада в уставный капитал активов, не подлежащих амортизации.
Вычет, предусмотренный подпунктом 1) части второй настоящего пункта, производится в налоговом периоде, в котором возникает налог на добавленную стоимость, не разрешенный к отнесению в зачет.
Вычеты, предусмотренные подпунктами 2) и 3) части второй настоящего пункта, производятся в налоговом периоде, в котором подлежит корректировке сумма налога на добавленную стоимость, относимого в зачет.
Суммы корректировки налога на добавленную стоимость, относимого в зачет, в сторону уменьшения в случае, указанном в подпунктах 1) и 4) пункта 2 статьи 404 настоящего Кодекса, по активам, не подлежащим амортизации, учитываются в соответствии с пунктом 6 статьи 228 настоящего Кодекса.
В случае если плательщиком корпоративного подоходного налога является недропользователь, осуществляющий деятельность по соглашению (контракту) о разделе продукции в составе простого товарищества (консорциума), и исполнение налоговых обязательств по налогу на добавленную стоимость возложено на оператора согласно пункту 3 статьи 426 настоящего Кодекса, то на вычеты относится налог на добавленную стоимость, предусмотренный частью второй настоящего пункта, в размере, приходящемся на долю указанного недропользователя по данным декларации оператора по налогу на добавленную стоимость.
Положения настоящей статьи не применяются по налогу на добавленную стоимость по товарам, работам, услугам, стоимость которых подлежит отнесению на вычеты в соответствии с пунктом 3 статьи 258 настоящего Кодекса.
10. Вычету подлежат членские взносы субъектов частного предпринимательства, уплаченные налогоплательщиком:
1) объединениям субъектов частного предпринимательства в соответствии с законодательством Республики Казахстан в сфере предпринимательства в размере, не превышающем месячный расчетный показатель, установленный законом о республиканском бюджете и действующий на 1 января соответствующего финансового года, на одного работника исходя из среднесписочной численности работников за год;
2) Национальной палате предпринимателей Республики Казахстан в размере, не превышающем предельный размер обязательных членских взносов, утвержденный Правительством Республики Казахстан.
Положения подпунктов 1) и 2) части первой настоящего пункта применяются также в случае уплаты членских взносов в отчетном налоговом периоде за предыдущий и (или) предшествующий предыдущему налоговые периоды.
11. Вычету подлежат расходы налогоплательщика по начисленным социальным отчислениям в Государственный фонд социального страхования в размере, определяемом законодательством Республики Казахстан.
12. Вычету подлежат расходы налогоплательщика по начисленным отчислениям в фонд социального медицинского страхования в размере, определяемом законодательством Республики Казахстан.
13. Стоимость безвозмездно переданного в рекламных целях товара (в том числе в виде дарения) подлежит отнесению на вычеты в налоговом периоде, в котором осуществлена передача такого товара, в случае, если стоимость единицы такого товара не превышает 5-кратный размер месячного расчетного показателя, установленного на соответствующий финансовый год законом о республиканском бюджете и действующего на дату такой передачи.
14. Вычету подлежат расходы, понесенные энергопередающей организацией в связи с безвозмездным оказанием услуг по передаче электрической энергии субъектам, использующим возобновляемые источники энергии.
14-1. Действовал до 01.01.2022 в соответствии с Законом РК от 27.12.2019 № 295-VІ.
14-2. Действовал с 01.01.2022 до 01.01.2024 в соответствии с Законом РК от 21.12.2022 № 165-VII.
15. Налогоплательщик, осуществляющий производство и (или) реализацию товара под фирменным наименованием товарным знаком и (или) знаком обслуживания, которым (которыми) такой налогоплательщик владеет и (или) пользуется (в том числе на основании лицензионного или сублицензионного договора (соглашения) в порядке, определенном законодательством Республики Казахстан, и (или) международными договорами, ратифицированными Республикой Казахстан, относит на вычеты расходы по деятельности, направленной на поддержание и (или) увеличение объемов продаж такого товара независимо от наличия права собственности на него.
16. В целях настоящего раздела в случае, когда на доверительного управляющего настоящим Кодексом возложено исполнение налогового обязательства по деятельности по доверительному управлению имуществом, расходы такого доверительного управляющего для целей отнесения на вычеты определяются с учетом положений статей 40, 42, 43, 44 и 45 настоящего Кодекса.
17. Обязательные пенсионные взносы работодателя, уплаченные налогоплательщиком в пользу работника, подлежат вычету в пределах, установленных законодательством Республики Казахстан о социальной защите.
18. Вычету подлежат расходы, понесенные Национальным оператором инфраструктуры в связи с оказанием услуг магистральной железнодорожной сети при перевозке пассажиров железнодорожным транспортом железнодорожному перевозчику, осуществляющему деятельность по перевозке пассажиров, багажа, грузобагажа, почтовых отправлений, на безвозмездной основе, в том числе с применением временного понижающего коэффициента в размере 0 к тарифу на регулируемые услуги магистральной железнодорожной сети при перевозке пассажиров железнодорожным транспортом в соответствии с законодательством Республики Казахстан.
19. В целях настоящего раздела вычету Экспортно-кредитного агентства Казахстана по договорам страхования, перестрахования при применении налогового учета, установленного частью третьей пункта 4 статьи 190 настоящего Кодекса, подлежат вычеты, предусмотренные статьями 249, 250 и 251 настоящего Кодекса для страховых, перестраховочных организаций.
Сноска. Статья 243 с изменениями, внесенными законами РК от 02.04.2019 № 241-VI (вводится в действие с 01.01.2018); от 27.12.2019 № 295-VІ (вводится в действие с 01.01.2020); от 10.12.2020 № 382-VI (порядок введения в действие см. ст. 2); от 11.07.2022 № 135-VII (вводится в действие с 01.01.2022); от 21.12.2022 № 165-VII (порядок введения в действие см. ст. 4); от 12.12.2023 № 45-VIII (вводится в действие с 01.01.2024); от 15.07.2025 № 208-VIII (вводится в действие с 01.01.2024).
Статья 244. Вычет сумм компенсаций при служебных командировках
Сноска. Статья 244 с изменением, внесенным Законом РК от 10.12.2020 № 382-VI (вводится в действие с 01.01.2022).
1. Вычету подлежат следующие расходы по компенсациям при служебных командировках:
1) расходы на проезд к месту командировки и обратно, включая оплату расходов за бронь, на основании документов, подтверждающих расходы на проезд и за бронь. В случае оформления проезда электронным билетом или электронным проездным документом документами, подтверждающими расходы на проезд и за бронь, являются:
электронный билет, электронный проездной документ;
документ, подтверждающий факт оплаты стоимости электронного билета, электронного проездного документа;
К расходам, предусмотренным настоящим подпунктом, не относятся расходы по проезду в пределах одного населенного пункта;
2) расходы на наем жилища вне места постоянной работы работника в течение времени нахождения в командировке, включая оплату расходов за бронь, на основании документов, подтверждающих расходы на наем жилого помещения и за бронь. Такие расходы включают, в том числе, расходы на наем жилого помещения за дни временной нетрудоспособности командированного работника (кроме случаев, когда командированный работник находится на стационарном лечении);
3) суточные в размере, установленном по решению налогоплательщика, выплачиваемые работнику за время нахождения в командировке, включая дни временной нетрудоспособности командированного работника;
4) расходы, произведенные налогоплательщиком при оформлении разрешений на въезд и выезд (визы) (стоимость визы, консульских услуг, обязательного медицинского страхования), на основании документов, подтверждающих такие расходы.
2. В целях пункта 1 настоящей статьи:
1) местом командировки является место назначения, указанное в приказе или письменном распоряжении работодателя о направлении работника в командировку, в котором работником выполняются трудовые обязанности, осуществляется его обучение, повышение квалификации или переподготовка;
2) время нахождения в командировке определяется на основании:
приказа или письменного распоряжения работодателя о направлении работника в командировку;
количества дней командировки исходя из дат выбытия к месту командировки и прибытия обратно, указанных в документах, подтверждающих проезд, включая даты выбытия и прибытия. При отсутствии таких документов количество дней командировки определяется исходя из других документов, подтверждающих дату выбытия к месту командировки и (или) дату прибытия обратно, предусмотренных налоговой учетной политикой налогоплательщика.
3. исключен Законом РК от 10.12.2020 № 382-VI (вводится в действие с 01.01.2022).
4. исключен Законом РК от 10.12.2020 № 382-VI (вводится в действие с 01.01.2022).
Сноска. Статья 244 с изменениями, внесенными законами РК от 10.12.2020 № 382-VI (вводится в действие с 01.01.2022); от 21.12.2022 № 165-VII (вводится в действие с 01.01.2023).
Статья 245. Вычет сумм представительских расходов
1. К представительским расходам относятся расходы по приему и обслуживанию лиц, в том числе физических лиц, не состоящих в штате налогоплательщика, производимые при проведении следующих представительских мероприятий независимо от места их проведения:
1) по установлению или поддержанию взаимного сотрудничества;
2) по организации и (или) проведению заседаний совета директоров, иного органа управления налогоплательщика, кроме исполнительных органов.
К представительским расходам, в том числе, относятся расходы на:
1) транспортное обеспечение лиц, участвующих в представительских мероприятиях, за исключением расходов, относимых в соответствии с подпунктом 1) пункта 1 статьи 244 настоящего Кодекса к компенсациям при служебных командировках;
2) питание таких лиц в ходе проведения представительских мероприятий;
3) оплату услуг переводчиков, не состоящих в штате организации;
4) аренду и (или) оформление помещения для проведения представительских мероприятий.
2. Не относятся к представительским расходам и не подлежат вычету расходы на проживание приглашенных лиц, оформление виз для таких лиц, организацию досуга, развлечений, отдыха, а также расходы, не относимые в соответствии с частью второй настоящего пункта к расходам на транспортное обеспечение лиц, участвующих в представительских мероприятиях.
К расходам на транспортное обеспечение не относятся расходы на проезд железнодорожным, морским и воздушным транспортом участников представительского мероприятия.
3. Основаниями для осуществления вычета представительских расходов являются:
1) письменный приказ или письменное распоряжение налогоплательщика о проведении представительского мероприятия с указанием цели его проведения и лиц, ответственных за его проведение;
2) утвержденная налогоплательщиком смета расходов такого мероприятия;
3) отчет ответственных лиц о проведенном представительском мероприятии с указанием даты и места проведения, результатов проведенного мероприятия, состава участников, программы мероприятий, фактически произведенных расходов;
4) первичные и иные документы, подтверждающие основания и осуществление представительских расходов.
4. Представительские расходы относятся на вычеты в размере, не превышающем 1 процент от суммы расходов работодателя по доходам работников, подлежащим налогообложению, указанным в пункте 1 статьи 322 настоящего Кодекса, за налоговый период.
Статья 246. Вычет по вознаграждению
1. В целях настоящей статьи вознаграждениями признаются:
1) вознаграждения, определенные в подпункте 62) статьи 1 настоящего Кодекса;
2) неустойка (штраф, пеня) по договору кредита (займа) между взаимосвязанными сторонами;
3) плата за гарантию взаимосвязанной стороне.
2. Если иное не установлено пунктом 3 настоящей статьи, сумма вознаграждения, подлежащая отнесению на вычеты, определяется по методу начисления в соответствии с пунктом 2 статьи 192 настоящего Кодекса.
3. Вознаграждения по обязательствам лицу, которое вправе создать провизии (резервы), подлежащие отнесению на вычет в соответствии с пунктами 1 и 6 статьи 250 настоящего Кодекса, и (или) лицу, указанному в пункте 2 статьи 233 настоящего Кодекса, подлежат вычету в размере фактически уплаченных налогоплательщиком или третьим лицом в счет обязательств такого налогоплательщика:
1) в отчетном налоговом периоде в пределах суммы расходов, признанных налогоплательщиком расходами в отчетном налоговом периоде и (или) в налоговых периодах, предшествующих отчетному налоговому периоду;
2) в налоговых периодах, предшествующих отчетному налоговому периоду, в пределах суммы расходов, признанных налогоплательщиком расходами в отчетном налоговом периоде.
4. Вычет вознаграждения производится с учетом положений, установленных пунктами 2 и 3 настоящей статьи, в пределах суммы, исчисляемой по следующей формуле:
(А + Д+Е) + (СК/СО) х (ПК) х (Б + В + Г),
где:
А – сумма вознаграждения, за исключением сумм, включенных в показатели Б, В, Г, Д;, Е
Б – сумма вознаграждения, выплаченного (подлежащего выплате) с учетом положений пункта 3 настоящей статьи взаимосвязанной стороне, за исключением сумм, включенных в показатели Д и Е;
В – сумма вознаграждения, выплаченного (подлежащего выплате) с учетом положений пункта 3 настоящей статьи лицам, зарегистрированным в государстве с льготным налогообложением, определяемом в соответствии со статьей 294 настоящего Кодекса, за исключением сумм, включенных в показатель Б;
Г – сумма показателей Г1 и Г2 с учетом положений пункта 3 настоящей статьи, за исключением сумм, включенных в показатель В;
Г1 – сумма вознаграждения, выплаченного (подлежащего выплате) независимой стороне по займам, предоставленным под депозит взаимосвязанной стороны;
Г2 – сумма вознаграждения, выплаченного (подлежащего выплате) независимой стороне по займам, предоставленным под обеспеченную гарантию, поручительство или иную форму обеспечения взаимосвязанных сторон, в случае исполнения в отчетном налоговом периоде обязательств по гарантии, поручительству или иной форме обеспечения (осуществления выплат по займу) взаимосвязанной стороной;
Д – сумма вознаграждения:
за кредиты (займы), выдаваемые кредитным товариществом, созданным в Республике Казахстан, банком, являющимся национальным институтом развития, контрольный пакет акций которого принадлежит национальному управляющему холдингу;
в виде дисконта либо купона (с учетом дисконта либо премии от стоимости первичного размещения и (или) стоимости приобретения) по долговым ценным бумагам, держателем которых является единый накопительный пенсионный фонд;
Е – сумма вознаграждения:
в виде дисконта либо купона (с учетом дисконта либо премии от стоимости первичного размещения и (или) стоимости приобретения) по долговым ценным бумагам дочерних организаций, держателями которых является материнская компания;
по займам, полученным дочерними организациями от материнской компании;
ПК – предельный коэффициент;
СК – среднегодовая сумма собственного капитала;
СО – среднегодовая сумма обязательств.
При исчислении сумм А, Б, В, Г, Д, Е исключаются вознаграждения, включаемые в стоимость объекта строительства в соответствии с международными стандартами финансовой отчетности и (или) требованиями законодательства Республики Казахстан о бухгалтерском учете и финансовой отчетности. Для целей настоящей статьи независимой стороной признается сторона, не являющаяся взаимосвязанной.
Для целей применения настоящего пункта материнской компанией является национальная компания, единственным участником которой является национальный управляющий холдинг, при условии, что указанной национальной компании принадлежит сто процентов акций (долей участия) в каждой дочерней организации.
5. Для целей пункта 4 настоящей статьи:
1) среднегодовая сумма собственного капитала равна средней арифметической сумм собственного капитала на конец каждого месяца отчетного налогового периода. Отрицательное значение среднегодовой суммы собственного капитала в целях настоящей статьи признается равным нулю;
2) среднегодовая сумма обязательств равна средней арифметической максимальных сумм обязательств в каждом месяце отчетного налогового периода. При исчислении среднегодовой суммы обязательств не принимаются в расчет следующие начисленные обязательства по:
налогам и платежам в бюджет;
заработной плате и иным доходам работников;
доходам будущих периодов, за исключением доходов от взаимосвязанной стороны;
вознаграждениям и комиссиям;
дивидендам;
оценочным обязательствам, начисленным в бухгалтерском учете в соответствии с международными стандартами финансовой отчетности и (или) требованиями законодательства Республики Казахстан о бухгалтерском учете и финансовой отчетности;
3) предельный коэффициент для финансовых организаций (за исключением организаций, осуществляющих микрофинансовую деятельность) равен 7, для иных юридических лиц, в том числе для организаций, осуществляющих микрофинансовую деятельность – 4.
6. Для целей пункта 4 настоящей статьи сумма собственного капитала постоянного учреждения юридического лица-нерезидента в Республике Казахстан определяется как разница между активами и обязательствами такого постоянного учреждения.
При этом в целях применения настоящего пункта сумма собственного капитала постоянного учреждения юридического лица-нерезидента в Республике Казахстан рассматривается как если бы это постоянное учреждение было обособленным и отдельным юридическим лицом и действовало независимо от юридического лица-нерезидента, постоянным учреждением которого оно является.
Сноска. Статья 246 с изменениями, внесенными законами РК от 10.12.2020 № 382-VI (порядок введения в действие см. ст. 2); от 24.06. 2021 № 53-VII (вводится в действие с 01.01.2022); от 21.12.2022 № 165-VII (вводится в действие с 01.01.2023).
Статья 247. Вычет по выплаченным сомнительным обязательствам
1. В случае, если ранее признанные доходом сомнительные обязательства были выплачены налогоплательщиком кредитору, то вычету подлежит сумма в размере произведенной выплаты, за исключением суммы налога на добавленную стоимость, отнесенного в зачет в соответствии с пунктом 2 статьи 405 настоящего Кодекса.
Такой вычет производится в том налоговом периоде, в котором была произведена выплата, в пределах суммы, ранее отнесенной на доходы.
2. Порядок отнесения на вычеты, предусмотренный настоящей статьей, применяется также в случае выплаты обязательств, ранее признанных доходом в соответствии со статьей 229 настоящего Кодекса.
Статья 248. Вычет по сомнительным требованиям
1. Если иное не установлено пунктом 7 настоящей статьи, сомнительными требованиями признаются требования:
1) возникшие в связи с реализацией товаров, выполнением работ, оказанием услуг юридическим лицам и индивидуальным предпринимателям, а также юридическим лицам-нерезидентам, осуществляющим деятельность в Республике Казахстан через постоянное учреждение, структурное подразделение юридического лица, и не удовлетворенные в течение трехлетнего периода, исчисляемого в соответствии с пунктом 4 настоящей статьи;
2) возникшие в связи с реализацией товаров, выполнением работ, оказанием услуг физическим лицам, индивидуальным предпринимателям и юридическим лицам, и не удовлетворенные в связи с признанием налогоплательщика-дебитора банкротом в соответствии с законодательством Республики Казахстан;
3) в связи с включением в состав совокупного годового дохода штрафов и пени на основании вступившего в законную силу решения суда по договорам банковского кредита (займа) и договорам о предоставлении микрокредитов, по правам требования организации, специализирующейся на улучшении качества кредитных портфелей банков второго уровня, единственным акционером которой является Правительство Республики Казахстан, не удовлетворенные в течение трехлетнего периода, исчисляемого в соответствии с пунктом 4 настоящей статьи.
2. Сомнительные требования подлежат вычету у лица, осуществившего:
1) реализацию товаров, выполнение работ, оказание услуг и не уступившего право такого требования;
2) реализацию товаров, выполнение работ, оказание услуг и уступившего право такого требования;
3) приобретение права требования по реализованным товарам, выполненным работам, оказанным услугам у лица, указанного в подпункте 2) настоящего пункта;
4) включение в состав совокупного годового дохода штрафов и пени на основании вступившего в законную силу решения суда по договорам банковского кредита (займа) и договорам о предоставлении микрокредитов, по правам требования организации, специализирующейся на улучшении качества кредитных портфелей банков второго уровня, единственным акционером которой является Правительство Республики Казахстан.
3. Сомнительные требования подлежат вычету у лица:
1) определенного подпунктом 1) пункта 2 настоящей статьи, – в размере, включающем стоимость реализованных товаров, выполненных работ, оказанных услуг, а также суммы прочих требований, возникших в связи с такой реализацией товаров, выполнением работ, оказанием услуг, в том числе суммы неустоек (штрафов, пени), но не более размера ранее признанного дохода;
2) определенного подпунктом 2) пункта 2 настоящей статьи, – в размере положительной разницы между суммой, включающей стоимость реализованных товаров, выполненных работ, оказанных услуг и суммы прочих требований, возникших в связи с такой реализацией товаров, выполнением работ, оказанием услуг, в том числе суммы неустоек (штрафов, пени), но не более размера ранее признанного дохода, и стоимостью права требования, по которой произведена уступка;
3) определенного подпунктом 3) пункта 2 настоящей статьи, – в размере, включающем стоимость реализованных товаров, выполненных работ, оказанных услуг, а также суммы прочих требований, возникших в связи с такой реализацией товаров, выполнением работ, оказанием услуг, в том числе суммы неустоек (штрафов, пени), но не более размера ранее признанного дохода в соответствии со статьей 233 настоящего Кодекса, увеличенного на стоимость приобретения права требования;
4) определенного подпунктом 4) пунктом 2 настоящей статьи, – в размере сумм, признанных в качестве дохода, определенного подпунктом 13) пункта 1 статьи 226 настоящего Кодекса.
4. В случаях, предусмотренных подпунктом 1) пункта 1 настоящей статьи, сомнительные требования подлежат вычету в налоговом периоде, в котором истек трехлетний период, исчисляемый:
1) у лиц, определенных подпунктами 1) и 2) пункта 2 настоящей статьи:
по сомнительным требованиям, возникшим по договорам кредита (займа), – со дня, следующего за днем наступления срока уплаты вознаграждения в соответствии с условиями договора кредита (займа);
по сомнительным требованиям, возникшим по договорам лизинга, – со дня, следующего за днем наступления срока уплаты лизингового платежа в соответствии с условиями договора лизинга;
в остальных случаях – со дня:
следующего за днем окончания срока исполнения требования по реализованным товарам (работам, услугам), срок исполнения которого определен;
передачи товара, выполнения работ, оказания услуг по требованию по реализованным товарам (работам, услугам), срок исполнения которого не определен;
2) у лиц, определенных подпунктом 3) пункта 2 настоящей статьи:
по сомнительным требованиям, возникшим по договорам кредита (займа), – со дня, следующего за днем наступления срока уплаты вознаграждения в соответствии с условиями договора кредита (займа);
по сомнительным требованиям, возникшим по договорам лизинга, – со дня, следующего за днем наступления срока уплаты лизингового платежа в соответствии с условиями договора лизинга;
в остальных случаях – со дня наиболее поздней из следующих дат:
дня, следующего за днем окончания срока исполнения требования по реализованным товарам (работам, услугам), срок исполнения которого определен;
дня переуступки права требования по реализованным товарам (работам, услугам), срок исполнения которого не определен.
5. В случаях, предусмотренных подпунктом 2) пункта 1 настоящей статьи, сомнительные требования подлежат вычету в налоговом периоде, в котором вступило в законную силу определение суда о завершении процедуры банкротства либо вынесено решение государственного органа, осуществляющего руководство в сфере государственного управления по восстановлению платежеспособности и банкротства граждан Республики Казахстан, о завершении процедуры внесудебного банкротства и признании должника банкротом.
6. В случаях, предусмотренных подпунктом 3) пункта 1 настоящей статьи, сомнительные требования подлежат вычету в налоговом периоде, в котором истек трехлетний период, исчисляемый с даты вступления в законную силу решения суда.
7. Не признаются сомнительными требованиями требования налогоплательщиков, имеющих право на вычет суммы расходов по созданию провизий (резервов) в соответствии с пунктом 1 статьи 250 настоящего Кодекса, по выплате начисленных после 31 декабря 2012 года:
1) вознаграждений по депозитам, включая остатки на корреспондентских счетах, размещенным в других банках;
2) вознаграждений по кредитам (за исключением финансового лизинга), предоставленным другим банкам и клиентам;
3) дебиторской задолженности по документарным расчетам и гарантиям;
4) условных обязательств по непокрытым аккредитивам, выпущенным или подтвержденным гарантиям.
8. Если иное не предусмотрено пунктом 9 настоящей статьи, отнесение налогоплательщиком сомнительных требований на вычеты производится при одновременном соблюдении следующих условий:
1) наличие документов, подтверждающих возникновение требований;
2) отражение требований в бухгалтерском учете на момент отнесения на вычеты либо отнесение таких требований на расходы в бухгалтерском учете в предыдущих периодах.
9. В случае, предусмотренном подпунктом 2) пункта 1 настоящей статьи, помимо указанных в пункте 8 настоящей статьи документов, дополнительно необходимо наличие копии определения суда о завершении процедуры банкротства.
Сноска. Статья 248 с изменениями, внесенными законами РК от 02.04.2019 № 241-VI (вводится в действие с 01.01.2018); от 10.12.2020 № 382-VI (вводится в действие с 01.01.2020); от 20.03.2023 № 213-VII (вводится в действие с 01.01.2023).
Статья 249. Вычеты страховой, перестраховочной организации
1. Страховая, перестраховочная организация вправе отнести на вычеты следующие расходы:
1) страховые выплаты по договорам страхования, перестрахования;
2) выкупные суммы и страховые премии (взносы), подлежащие возврату (возвращенные) в соответствии с гражданским законодательством Республики Казахстан;
3) страховые премии (взносы), подлежащие уплате (уплаченные) перестраховщику по договорам перестрахования;
4) увеличение страховых резервов по договорам страхования, перестрахования в соответствии с пунктом 5 статьи 250 настоящего Кодекса;
5) выплаты страховым агентам и страховым брокерам по договорам страхования, перестрахования;
6) прочие расходы страховой, перестраховочной организации, связанные с деятельностью, направленной на получение дохода.
Вычеты, связанные с деятельностью страховых, перестраховочных организаций по заключению и исполнению договоров страхования (перестрахования), определяются на основании данных отчетности, установленной Национальным Банком Республики Казахстан, с учетом требований уполномоченного органа по регулированию, контролю и надзору финансового рынка и финансовых организаций, согласованных с уполномоченным органом и уполномоченным органом в области налоговой политики.
2. Положения настоящей статьи не распространяются на договоры страхования, перестрахования, по которым доход в виде страховых премий признан в полном размере в соответствии с международными стандартами финансовой отчетности и (или) требованиями законодательства Республики Казахстан о бухгалтерском учете и финансовой отчетности до 1 января 2012 года.
3. По вступившему в силу до 1 января 2012 года договору накопительного страхования, перестрахования, договору ненакопительного страхования, перестрахования жизни, по которым доходы в виде страховых взносов признаются в соответствии с международными стандартами финансовой отчетности и (или) требованиями законодательства Республики Казахстан о бухгалтерском учете и финансовой отчетности, в том числе после 31 декабря 2011 года:
1) вычет расходов, указанных в подпунктах 1) и 2) пункта 1 настоящей статьи, определяется по следующей формуле:
Р х (А/Б), где:
Р – подлежащие выплате (выплаченные) в отчетном налоговом периоде расходы;
А – страховые взносы, подлежащие получению (полученные) после 31 декабря 2011 года по день начисления расходов в отчетном налоговом периоде;
Б – страховые взносы, подлежащие получению (полученные) со дня вступления договора в силу по день начисления расходов в отчетном налоговом периоде;
2) вычет расходов, указанных в подпункте 3) пункта 1 настоящей статьи, не должен превышать сумму дохода в виде страховой премии (взноса), признанного в соответствии с международными стандартами финансовой отчетности и (или) требованиями законодательства Республики Казахстан о бухгалтерском учете и финансовой отчетности с 1 января 2012 года.
Сноска. Статья 249 с изменениями, внесенными законами РК от 10.12.2020 № 382-VI (вводится в действие с 01.01.2018); от 21.12.2022 № 165-VII (вводится в действие с 01.01.2023).
Статья 250. Вычет по отчислениям в резервные фонды
1. Банки, за исключением банка, являющегося национальным институтом развития, контрольный пакет акций которого принадлежит национальному управляющему холдингу, имеют право на вычет суммы расходов по провизиям (резервам), созданным в соответствии с международными стандартами финансовой отчетности и требованиями законодательства Республики Казахстан о бухгалтерском учете и финансовой отчетности и в порядке, определенном уполномоченным органом по регулированию, контролю и надзору финансового рынка и финансовых организаций по согласованию с уполномоченным органом.
Стоимость залога и другого обеспечения, а также сумма гарантии, предоставленной специальным фондом по обязательствам субъектов частного предпринимательства, учитываются при определении суммы провизий (резервов) в случаях и порядке, которые определены правилами создания провизий (резервов).
Положения настоящего пункта применяются по провизиям (резервам) против следующих активов, условных обязательств, за исключением активов и условных обязательств, предоставленных в пользу взаимосвязанных сторон либо третьим лицам по обязательствам взаимосвязанных сторон:
1) депозитов, включая остатки на корреспондентских счетах, размещенных в других банках, а также вознаграждений по таким депозитам, начисленных после 31 декабря 2012 года;
2) кредитов (за исключением финансового лизинга), предоставленных другим банкам и клиентам, а также вознаграждений по таким кредитам, начисленных после 31 декабря 2012 года;
3) дебиторской задолженности по документарным расчетам, гарантиям и факторинговым операциям;
4) условных обязательств по непокрытым аккредитивам, выпущенным или подтвержденным гарантиям.
Примечание РЦПИ!
Пункт 2 действует до 01.01.2027 в соответствии с Законом РК от 25.12.2017 № 121-VI.
2. Банки имеют право на вычет суммы расходов по созданию провизий (резервов) против сомнительных и безнадежных активов, предоставленных дочерней организации банка на приобретение сомнительных и безнадежных активов родительского банка.
Перечень выданных разрешений на создание или приобретение дочерней организации, приобретающей сомнительные и безнадежные активы родительского банка, определяется нормативным правовым актом уполномоченного органа по регулированию, контролю и надзору финансового рынка и финансовых организаций.
При этом вычету подлежит сумма расходов в соответствии с международными стандартами финансовой отчетности и требованиями законодательства Республики Казахстан о бухгалтерском учете и финансовой отчетности по созданию провизий (резервов) против сомнительных или безнадежных активов, предоставленных родительским банком дочерней организации на приобретение сомнительных и безнадежных активов такого родительского банка.
Порядок отнесения активов, предоставленных банками дочерним организациям на приобретение сомнительных и безнадежных активов родительского банка, к категории сомнительных и безнадежных, а также порядок формирования провизий (резервов) против активов, предоставленных родительскими банками дочерним организациям, определяются уполномоченным органом по регулированию, контролю и надзору финансового рынка и финансовых организаций по согласованию с уполномоченным органом.
Банки не вправе относить на вычет суммы расходов по созданию провизий (резервов) против активов, выкупленных у организации, специализирующейся на улучшении качества кредитных портфелей банков второго уровня, единственным акционером которой является Правительство Республики Казахстан.
3. Организации, осуществляющие отдельные виды банковских операций на основании лицензии на проведение банковских заемных операций, имеют право на вычет суммы расходов по провизиям (резервам), созданным в соответствии с международными стандартами финансовой отчетности и требованиями законодательства Республики Казахстан о бухгалтерском учете и финансовой отчетности и в порядке, определенном уполномоченным органом по регулированию, контролю и надзору финансового рынка и финансовых организаций по согласованию с уполномоченным органом, против кредитов (займов), за исключением:
1) финансового лизинга;
2) кредитов (займов), предоставленных в пользу взаимосвязанных сторон либо третьим лицам по обязательствам взаимосвязанных сторон.
Стоимость залога и другого обеспечения учитывается при определении суммы провизий (резервов) в случаях и порядке, которые определены правилами создания провизий (резервов).
Организации, осуществляющие отдельные виды банковских операций, уменьшают суммы расходов по провизиям (резервам) на сумму предоставленной за налоговый период гарантии специальным фондом по обязательствам субъектов частного предпринимательства.
Примечание ИЗПИ!
Пункт 3-1 действует с 01.01.2020 до 01.01.2027 в соответствии с Законом РК от 10.12.2020 № 382-VI.
3-1. Положения пункта 1 настоящей статьи распространяются на юридическое лицо, ранее являвшееся дочерним банком, в отношении которого по решению суда проведена реструктуризация, более 90 процентов голосующих акций которого на 31 декабря 2013 года принадлежат национальному управляющему холдингу.
4. Действовал до 01.01.2020 в соответствии с Законом РК от 25.12.2017 № 121-VI.
5. Страховые, перестраховочные организации имеют право на вычет суммы расходов по рассчитанным страховым резервам по незаработанным премиям, непроизошедшим убыткам, заявленным, но неурегулированным убыткам, произошедшим, но незаявленным убыткам в размере, определенном как положительная разница между размером страховых резервов, рассчитанных в соответствии с законодательством Республики Казахстан о страховании и страховой деятельности по незаработанным премиям, непроизошедшим убыткам, заявленным, но неурегулированным убыткам, произошедшим, но незаявленным убыткам на конец отчетного налогового периода и размером таких резервов на конец предыдущего налогового периода.
Положения настоящего пункта не распространяются на договоры страхования, перестрахования, по которым доход в виде страховых премий в соответствии с международными стандартами финансовой отчетности и требованиями законодательства Республики Казахстан о бухгалтерском учете и финансовой отчетности признан в полном размере до 1 января 2012 года.
6. Организации, осуществляющие микрофинансовую деятельность (за исключением ломбарда), имеют право на вычет суммы расходов по созданию провизий (резервов) против сомнительных и безнадежных активов по предоставленным микрокредитам, а также вознаграждения по ним, за исключением активов, предоставленных взаимосвязанной стороне либо третьим лицам по обязательствам взаимосвязанной стороны. Положения настоящего пункта в части исключения активов, предоставленных взаимосвязанной стороне либо третьим лицам по обязательствам взаимосвязанной стороны, не распространяются на микрокредиты, предоставляемые кредитными товариществами своим участникам в соответствии с законодательством Республики Казахстан о микрофинансовой деятельности.
Порядок отнесения активов по предоставленным микрокредитам к сомнительным и безнадежным, а также порядок создания провизий (резервов) против них определяются уполномоченным органом по регулированию, контролю и надзору финансового рынка и финансовых организаций по согласованию с уполномоченным органом.
Организации, осуществляющие микрофинансовую деятельность (за исключением ломбарда), уменьшают суммы расходов по провизиям (резервам) на сумму предоставленной за налоговый период гарантии специальным фондом по обязательствам субъектов частного предпринимательства.
7. Национальный управляющий холдинг, а также юридические лица, основным видом деятельности которых является осуществление заемных операций или выкуп прав требования и 100 процентов голосующих акций (долей) которых принадлежат национальному управляющему холдингу, имеют право на вычет суммы расходов по созданию провизий (резервов) против следующих сомнительных и безнадежных активов, условных обязательств, за исключением активов и условных обязательств, предоставленных в пользу взаимосвязанных сторон либо третьим лицам по обязательствам взаимосвязанных сторон (кроме активов и условных обязательств кредитных товариществ):
депозитов, включая остатки на корреспондентских счетах, размещенных в банках;
кредитов (за исключением финансового лизинга), предоставленных банкам и клиентам;
дебиторской задолженности по документарным расчетам и гарантиям;
условных обязательств по непокрытым аккредитивам, выпущенным или подтвержденным гарантиям.
Вычет суммы расходов по созданию провизий (резервов) осуществляется в пределах суммы провизий (резервов), созданных в порядке, определенном Правительством Республики Казахстан.
Налогоплательщики, предусмотренные настоящим пунктом, уменьшают суммы расходов по провизиям (резервам) на сумму предоставленной за налоговый период гарантии специальным фондом по обязательствам субъектов частного предпринимательства.
Перечень юридических лиц, указанных в настоящем пункте, и порядок формирования такого перечня утверждаются Правительством Республики Казахстан.
Положения настоящего пункта не распространяются на налогоплательщиков, указанных в пунктах 1, 5 и 6 настоящей статьи.
8. Действовал до 01.01.2019 в соответствии с Законом РК от 25.12.2017 № 121-VI.
Сноска. Статья 250 с изменениями, внесенными законами РК от 03.07.2019 № 262-VI (вводится в действие с 01.01.2020); от 10.12.2020 № 382-VI (порядок введения в действие см. ст. 2); от 20.12.2021 № 85-VII (вводится в действие с 01.01.2022); от 21.12.2022 № 165-VII (вводится в действие с 01.01.2023); от 15.07.2025 № 208-VIII (порядок введения в действие см. ст. 2).
Статья 251. Вычет по уменьшению активов перестрахования
Страховые, перестраховочные организации имеют право отнести на вычет сумму уменьшения ранее признанных доходом в соответствии со статьей 231 настоящего Кодекса активов перестрахования по незаработанным премиям, непроизошедшим убыткам, заявленным, но неурегулированным убыткам, произошедшим, но незаявленным убыткам в размере, определенном как отрицательная разница между размером активов перестрахования, рассчитанных в соответствии с законодательством Республики Казахстан о страховании и страховой деятельности по незаработанным премиям, непроизошедшим убыткам, заявленным, но неурегулированным убыткам, произошедшим, но незаявленным убыткам на конец отчетного налогового периода и размером таких активов на конец предыдущего налогового периода.
Сноска. Статья 251 с изменением, внесенным Законом РК от 21.12.2022 № 165-VII (вводится в действие с 01.01.2023).
Статья 252. Вычеты по расходам на ликвидацию последствий разработки месторождений и сумм отчислений в ликвидационные фонды
1. Недропользователь, осуществляющий деятельность на основании контракта на недропользование, заключенного в порядке, определенном законодательством Республики Казахстан, относит на вычет из совокупного годового дохода сумму отчислений в ликвидационный фонд. Указанный вычет производится в размере фактически произведенных недропользователем за налоговый период отчислений на специальный депозитный счет в любом банке второго уровня на территории Республики Казахстан.
Размер и порядок отчислений в ликвидационный фонд устанавливаются контрактом на недропользование или проектом разработки месторождения в соответствии с законодательством Республики Казахстан о недрах и недропользовании.
В случае установления уполномоченным государственным органом по вопросам недропользования факта нецелевого использования недропользователем средств ликвидационного фонда сумма средств нецелевого использования подлежит включению в совокупный годовой доход недропользователя того налогового периода, в котором оно было допущено, за исключением выявленного факта нецелевого использования в налоговом периоде, превышающем срок исковой давности, установленный статьей 48 настоящего Кодекса, по которому сумма средств нецелевого использования подлежит включению в совокупный годовой доход недропользователя налогового периода, по которому срок исковой давности истекает в последующем налоговом периоде за текущим налоговым периодом.
В случае получения недропользователем в соответствии с законодательством Республики Казахстан о недропользовании средств ликвидационного фонда от другого недропользователя при передаче контракта на недропользование такие средства у получившего их недропользователя:
не включаются в совокупный годовой доход при условии их размещения на специальном депозитном счете в любом банке второго уровня на территории Республики Казахстан для формирования ликвидационного фонда в году их получения или в течение тридцати календарных дней с момента их получения;
не подлежат отнесению на вычеты.
2. Расходы недропользователя, фактически понесенные в течение налогового периода на ликвидацию последствий разработки месторождений, относятся на вычеты в том налоговом периоде, в котором они были понесены, за исключением расходов, произведенных за счет средств ликвидационного фонда, размещенного на специальном депозитном счете.
Сноска. Статья 252 с изменениями, внесенными законами РК от 10.12.2020 № 382-VI (вводится в действие с 01.01.2018); от 21.12.2022 № 165-VII (вводится в действие с 01.01.2023).
Статья 253. Вычеты по расходам на ликвидацию полигонов захоронения отходов и сумм отчислений в ликвидационный фонд полигонов захоронения отходов
Сноска. Заголовок статьи 253 с изменением, внесенным Законом РК от 02.01.2021 № 402-VI (вводится в действие с 01.01.2022).
1. Налогоплательщик относит на вычет сумму отчислений в ликвидационный фонд полигонов захоронения отходов, перечисленных на специальный депозитный счет в любом банке второго уровня на территории Республики Казахстан.
2. Размер и порядок отчислений в ликвидационный фонд полигонов захоронения отходов, а также порядок использования средств фонда устанавливаются в соответствии с законодательством Республики Казахстан.
3. В случае установления уполномоченным органом в области охраны окружающей среды факта нецелевого использования налогоплательщиком средств ликвидационного фонда полигонов захоронения отходов сумма средств нецелевого использования подлежит включению в совокупный годовой доход налогоплательщика того налогового периода, в котором оно было допущено.
4. Расходы налогоплательщика, фактически понесенные в течение налогового периода на ликвидацию полигонов захоронения отходов, относятся на вычеты в том налоговом периоде, в котором они были понесены, за исключением расходов, произведенных за счет средств ликвидационного фонда, размещенного на специальном депозитном счете.
Сноска. Статья 253 с изменениями, внесенными Законом РК от 02.01.2021 № 402-VI (вводится в действие с 01.01.2022).
Статья 254. Вычет по расходам на научно-исследовательские, научно-технические и опытно-конструкторские работы, приобретение исключительных прав на объекты интеллектуальной собственности и на создание научных центров
Сноска. Заголовок статьи 254 в редакции Закона РК от 01.07.2024 № 105-VIII (вводится в действие с 01.01.2025).
1. Расходы на научно-исследовательские, научно-технические и опытно-конструкторские работы, кроме расходов на приобретение фиксированных активов, их установку и других расходов капитального характера, относятся на вычеты при наличии уведомлений уполномоченного органа в области науки по научно-исследовательским, научно-техническим и (или) опытно-конструкторским работам в соответствии с законодательством Республики Казахстан о науке и технологической политике.
Основанием для отнесения таких расходов на вычеты являются:
по расходам на осуществление научно-исследовательских, научно-технических и опытно-конструкторских работ – отчет о научной и (или) научно-технической деятельности, а также документы, подтверждающие расходы, связанные с такой деятельностью;
по расходам на приобретение научно-исследовательских, научно-технических и опытно-конструкторских работ – фактически исполненное техническое задание и акты приемки завершенных этапов таких работ.
2. Расходы на приобретение исключительных прав на объекты интеллектуальной собственности у высших учебных заведений, научных организаций, стартап-компаний по лицензионному договору или договору уступки исключительного права, направленных на их дальнейшую коммерциализацию, относятся на вычеты.
Основанием для отнесения таких расходов на вычеты являются лицензионный договор или договор уступки (частичной уступки), зарегистрированные уполномоченным государственным органом в порядке, определенном законодательством Республики Казахстан.
3. Если иное не предусмотрено статьей 255 настоящего Кодекса, финансирование создания научных центров при исследовательских университетах относится на вычеты при наличии уведомления уполномоченного органа в области науки о создании научного центра в соответствии с законодательством Республики Казахстан о науке и технологической политике.
Сноска. Статья 254 с изменениями, внесенными Законом РК от 01.07.2024 № 105-VIII (вводится в действие с 01.01.2025).
Статья 255. Вычет расходов недропользователя и перевозчика грузов в соответствии с законодательством Республики Казахстан о недрах и недропользовании и о железнодорожном транспорте
Сноска. Заголовок статьи 255 — в редакции Закона РК от 12.12.2023 № 45-VIII (вводится в действие с 01.01.2024).
1. Недропользователь имеет право на вычет по контрактной деятельности расходов на финансирование (перечисление денег) научных исследований в соответствии с законодательством Республики Казахстан о недрах и недропользовании:
организаций, осуществляющих деятельность в сфере науки, аккредитованных уполномоченным органом в области науки;
автономного кластерного фонда для финансирования проектов участников инновационного кластера «Парк инновационных технологий».
2. Вычет расходов, указанных в пункте 1 настоящей статьи, не должен превышать размер положительной разницы, определенной в следующем порядке:
сумма, равная 1 проценту от совокупного годового дохода по контрактной деятельности по итогам налогового периода, предшествующего отчетному налоговому периоду,
минус
расходы, отнесенные на вычеты в соответствии со статьей 254 настоящего Кодекса в отчетном налоговом периоде.
3. Действовал до 01.01.2022 в соответствии с Законом РК от 27.12.2019 № 295-VІ.
4. Действовал до 01.01.2022 в соответствии с Законом РК от 27.12.2019 № 295-VІ.
5. Действовал с 01.01.2022 до 01.01.2024 в соответствии с Законом РК от 21.12.2022 № 165-VII.
6. Действовал с 01.01.2022 до 01.01.2024 в соответствии с Законом РК от 21.12.2022 № 165-VII.
7. Перевозчик грузов имеет право на вычет расходов по временной балансирующей плате, уплаченной в соответствии с законодательством Республики Казахстан о железнодорожном транспорте оператору локомотивной тяги в пассажирском движении.
8. Вычет расходов, указанных в пункте 7 настоящей статьи, осуществляется в пределах размеров, установленных государственным органом, осуществляющим руководство в сфере естественных монополий.
Сноска. Статья 255 с изменениями, внесенными законами РК от 27.12.2019 № 295-VІ (порядок введения в действие см. ст. 2); от 21.12.2022 № 165-VII (порядок введения в действие см. ст. 4); от 12.12.2023 № 45-VIII (вводится в действие с 01.01.2024).
Статья 256. Вычет расходов по страховым премиям и взносам участников систем гарантирования
1. Страховые премии, подлежащие уплате или уплаченные страхователем по договорам страхования, за исключением страховых премий по договорам накопительного страхования, подлежат вычету.
2. Вычету у банка – участника системы обязательного гарантирования депозитов физических лиц подлежит сумма обязательных календарных, дополнительных и чрезвычайных взносов, перечисленных в связи с гарантированием депозитов физических лиц.
3. Вычету у страховой, перестраховочной организации, являющейся участником системы гарантирования страховых выплат, подлежит сумма обязательных, чрезвычайных и дополнительных взносов, перечисленных в связи с гарантированием страховых выплат.
3-1. Вычету у банков, организаций, осуществляющих микрофинансовую деятельность (за исключением ломбарда), и иных юридических лиц, являющихся участниками системы гарантирования обязательств субъектов частного предпринимательства, подлежит сумма обязательных и дополнительных взносов, перечисленных в связи с гарантированием обязательств субъектов частного предпринимательства.
4. Исключен Законом РК от 24.06. 2021 № 53-VII (вводится в действие с 01.01.2022).
5. Вычету у хлебоприемного предприятия – участника системы гарантирования исполнения обязательств по зерновым распискам подлежит сумма ежегодных обязательных взносов, перечисленных в связи с гарантированием исполнения обязательств по зерновым распискам.
Сноска. Статья 256 с изменением, внесенным Законом РК от 24.06. 2021 № 53-VII (вводится в действие с 01.01.2022); от 15.07.2025 № 208-VIII (вводится в действие с 01.01.2025).
Статья 257. Вычет расходов по начисленным доходам работников и иным выплатам физическим лицам
1. Вычету подлежат расходы работодателя по доходам работника, подлежащим налогообложению, указанным в пункте 1 статьи 322 настоящего Кодекса (в том числе расходы работодателя по доходам работника, указанным в подпунктах 20), 22), 23) и 24) пункта 1 статьи 644 настоящего Кодекса), за исключением:
1) включаемых в первоначальную стоимость:
фиксированных активов;
объектов преференций;
активов, не подлежащих амортизации;
2) включаемых в себестоимость запасов и подлежащих отнесению на вычеты через себестоимость таких запасов, которая определяется в соответствии с международными стандартами финансовой отчетности и (или) требованиями законодательства Республики Казахстан о бухгалтерском учете и финансовой отчетности;
3) признаваемых последующими расходами в соответствии с пунктом 2 статьи 272 настоящего Кодекса.
4) расходов налогоплательщика, предусмотренных пунктом 2 настоящей статьи.
Вычету подлежат, в том числе фактические расходы работодателя на обучение работника, повышение квалификации и (или) переподготовку работника.
2. Вычету подлежат расходы налогоплательщика, в том числе в виде выплат физическим лицам, указанные в подпунктах 1), 5), 7), 8), 9), 9-1), 10), 10-1), 10-2) и 12) пункта 2 статьи 319, подпунктах 46) и 48) пункта 1 статьи 341 настоящего Кодекса.
3. Обязательные профессиональные пенсионные взносы, уплаченные налогоплательщиком по правилам единого накопительного пенсионного фонда, подлежат вычету в пределах, установленных законодательством Республики Казахстан о социальной защите.
4. Добровольные пенсионные взносы, уплаченные налоговым агентом в пользу работника, подлежат вычету.
Сноска. Статья 257 с изменениями, внесенными законами РК от 02.04.2019 № 241-VI (вводится в действие с 01.01.2018); от 10.12.2020 № 382-VI (порядок введения в действие см. ст. 2); от 21.12.2022 № 165-VII (вводится в действие с 01.01.2023); от 12.12.2023 № 45-VIII (вводится в действие с 01.01.2024); от 15.07.2025 № 208-VIII (вводится в действие с 01.01.2025).
Статья 258. Вычеты по расходам на геологическое изучение, разведку и подготовительные работы к добыче природных ресурсов и другие вычеты недропользователя
1. Расходы, фактически произведенные недропользователем до момента начала добычи после коммерческого обнаружения, на геологическое изучение, разведку, подготовительные работы к добыче полезных ископаемых, включая расходы по оценке, обустройству, общие административные расходы, суммы выплаченного подписного бонуса и бонуса коммерческого обнаружения, затраты по приобретению и (или) созданию основных средств и нематериальных активов, за исключением активов, указанных в подпунктах 2) – 6), 8) – 15) пункта 2 статьи 266 настоящего Кодекса, и иные расходы, подлежащие вычету в соответствии с настоящим Кодексом, образуют отдельную группу амортизируемых активов. При этом к расходам, указанным в настоящем пункте, относятся:
1) затраты по приобретению и (или) созданию основных средств и нематериальных активов, за исключением активов, указанных в подпунктах 2) – 6), 8) – 15) пункта 2 статьи 266 настоящего Кодекса. К таким затратам относятся затраты, подлежащие включению в первоначальную стоимость данных активов в соответствии с пунктом 2 статьи 268 настоящего Кодекса, а также последующие расходы по таким активам, произведенные в соответствии со статьей 272 настоящего Кодекса;
2) другие расходы.
При этом в случаях, предусмотренных настоящим Кодексом, размер расходов, указанных в настоящем подпункте, относимых в отдельную группу амортизируемых активов, не должен превышать установленные нормы для отнесения таких расходов на вычеты для целей корпоративного подоходного налога.
2. Расходы, указанные в пункте 1 настоящей статьи, вычитаются из совокупного годового дохода в виде амортизационных отчислений с момента начала добычи после коммерческого обнаружения полезных ископаемых. Сумма амортизационных отчислений исчисляется путем применения к сумме накопленных расходов по группе амортизируемых активов, предусмотренной настоящим пунктом, на конец налогового периода нормы амортизации, определяемой по усмотрению недропользователя, но не выше:
1) 37,5 процента – по контракту на разведку и добычу или добычу углеводородов по сложным морским проектам на срок, предусмотренный пунктом 4 статьи 722-1 настоящего Кодекса;
2) 25 процентов – по иным контрактам на недропользование, в том числе по контракту на разведку и добычу или добычу углеводородов по сложным морским проектам после окончания срока, предусмотренного подпунктом 1) настоящего пункта.
Указанный порядок применяется также в случаях:
если недропользователь осуществляет деятельность по контракту на добычу, который заключен на основании обнаружения и оценки месторождения в рамках контракта на разведку. Сумма накопленных расходов по группе амортизируемых активов, сложившаяся на конец последнего налогового периода по такому контракту на разведку, подлежит вычету из совокупного годового дохода в виде амортизационных отчислений в рамках указанного контракта на добычу;
выделения после 1 января 2018 года в соответствии с законодательством Республики Казахстан о недрах и недропользовании части участка разведки путем внесения изменений в контракт на разведку и добычу, по которому производится выделение, и заключения отдельного контракта на добычу по выделенному участку недр. При этом сумма накопленных расходов по группе амортизируемых активов, подлежащая переносу для целей отнесения на вычеты по контракту на добычу, определяется по удельному весу прямых расходов, приходящихся на такую выделяемую часть участка разведки, в общей сумме прямых расходов, произведенных недропользователем до момента выделения по соответствующему контракту на разведку.
В случае завершения деятельности по недропользованию в рамках отдельного контракта на добычу или совмещенную разведку и добычу при условии, что недропользователь завершил деятельность по недропользованию после начала добычи после коммерческого обнаружения, установленного настоящей статьей, стоимостный баланс группы амортизируемых активов, сложившийся на конец последнего налогового периода, в котором прекратил действие контракт на недропользование, подлежит вычету, за исключением случая прекращения действия контракта на недропользование в связи с переоформлением права недропользования на лицензионный режим недропользования.
Для целей настоящей статьи и , статей 260 и 722-1 настоящего Кодекса добыча после коммерческого обнаружения означает:
1) по контрактам на разведку, а также совмещенную разведку и добычу с неутвержденными запасами полезных ископаемых – начало добычи полезных ископаемых после утверждения запасов уполномоченным для этих целей государственным органом;
2) по контрактам на совмещенную разведку и добычу, по которым запасы полезных ископаемых числятся на государственном балансе и подтверждены экспертным заключением уполномоченного для этих целей государственного органа, включая запасы, требующие дополнительного геологического изучения и геолого-экономической переоценки, – начало добычи полезных ископаемых после заключения данных контрактов, если такие работы предусмотрены рабочей программой контракта и согласованы с уполномоченным органом по изучению и использованию недр.
3. Если скважина ликвидирована в связи с тем, что в соответствии с законодательством Республики Казахстан о недрах и недропользовании при ее испытании не получен промышленный приток углеводородов (далее в целях настоящего пункта – непродуктивная скважина), то фактически произведенные расходы на строительство и ликвидацию такой скважины с учетом налога на добавленную стоимость относятся на вычеты в следующем порядке:
1) расходы на строительство и (или) ликвидацию непродуктивной скважины или часть таких расходов, понесенных до момента начала добычи после коммерческого обнаружения, подлежат вычету в порядке, определенном пунктом 1 настоящей статьи;
2) расходы на строительство и (или) ликвидацию непродуктивной скважины или часть таких расходов, понесенных после момента начала добычи после коммерческого обнаружения, относятся на вычеты в том налоговом периоде, в котором такая скважина ликвидирована.
При этом расходы на строительство и (или) ликвидацию непродуктивной скважины, понесенные до момента начала добычи после коммерческого обнаружения, из отдельной группы амортизируемых активов, образованной в соответствии с пунктом 1 настоящей статьи, не исключаются.
4. Расходы, указанные в пункте 1 настоящей статьи (кроме начисленного, но невыплаченного вознаграждения по инвестиционному финансированию в соответствии с законодательством Республики Казахстан о недрах и недропользовании), уменьшаются на следующие суммы:
1) доходы, полученные в период проведения геологического изучения и подготовительных работ к добыче, за исключением доходов, подлежащих исключению из совокупного годового дохода в соответствии со статьей 241 настоящего Кодекса;
2) доходы, полученные от реализации полезных ископаемых, добытых до момента начала добычи после коммерческого обнаружения;
3) доходы, полученные от реализации права недропользования или его части;
4) стоимость активов, учтенных в отдельной группе амортизируемых активов, образованной в соответствии с пунктом 1 настоящей статьи, при их передаче в качестве вклада в уставный капитал. При этом такая стоимость определяется на основе стоимости вклада, указанной в учредительных документах юридического лица;
5) стоимость безвозмездно переданных активов, учитываемых в рамках отдельной группы амортизируемых активов, образованных в соответствии с пунктом 1 настоящей статьи, указанная в акте приема-передачи названных активов, но не менее чем на балансовую стоимость названных активов по данным бухгалтерского учета на дату передачи.
При этом по контрактам на разведку и добычу или добычу углеводородов по сложным проектам (за исключением газовых проектов на суше) суммы расходов, предусмотренных подпунктами 4) и 5) части первой настоящего пункта, определяются с учетом ранее примененного условного коэффициента, установленного пунктом 6 настоящей статьи.
5. Порядок, определенный пунктом 1 настоящей статьи, применяется также к расходам на приобретение и (или) создание нематериальных активов, понесенным налогоплательщиком в связи с приобретением права недропользования.
6. С учетом особенностей, предусмотренных пунктом 4 статьи 722-1 настоящего Кодекса, размер расходов, указанных в пункте 1 настоящей статьи, в отношении контракта на разведку и добычу или добычу углеводородов по сложным проектам (за исключением газовых проектов на суше) определяется путем применения к таким расходам следующего условного коэффициента:
1,5 – по контракту на разведку и добычу или добычу углеводородов по сложным проектам на суше;
2,0 – по контракту на разведку и добычу или добычу углеводородов по сложным морским проектам.
Сноска. Статья 258 с изменениями, внесенными законами РК от 10.12.2020 № 382-VI (вводится в действие с 01.01.2021); от 21.12.2022 № 165-VII (вводится в действие с 01.01.2023).
Статья 259. Особенности вычетов расходов на геологическое изучение и подготовительные работы к добыче природных ресурсов и других вычетов недропользователя, осуществляющего деятельность в рамках контракта на разведку и (или) совмещенную разведку и добычу углеводородов
1. По расходам, указанным в пункте 1 статьи 258 настоящего Кодекса, понесенным недропользователем с 1 января 2018 года в рамках контракта на разведку и (или) совмещенную разведку и добычу (в период разведки), недропользователь вправе образовать отдельную группу амортизируемых активов в целях их отнесения на вычеты по другим контрактам на добычу и (или) совмещенную разведку и добычу (в период добычи) данного недропользователя.
По указанным расходам недропользователь исчисляет амортизационные отчисления путем применения нормы амортизации, определяемой по усмотрению недропользователя, но не выше 25 процентов, к сумме накопленных расходов по группе амортизируемых активов, предусмотренной настоящим пунктом, на конец каждого налогового периода.
При этом данные амортизационные отчисления относятся на вычеты по другим контрактам на добычу и (или) совмещенную разведку и добычу (в период добычи) данного недропользователя путем их распределения по удельному весу прямых доходов, приходящихся на каждый конкретный контракт на добычу и (или) совмещенную разведку и добычу (полученных в периоде добычи) в общей сумме прямых доходов, полученных недропользователем по таким контрактам за налоговый период.
2. Право образования отдельной группы, установленное настоящей статьей, предоставляется в налоговом периоде, в котором понесены первые затраты, указанные в пункте 1 настоящей статьи. При этом в случае если у недропользователя на момент образования такой отдельной группы отсутствует другой контракт на добычу и (или) совмещенную разведку и добычу (в период добычи), то право образования такой отдельной группы предоставляется в налоговом периоде, в котором заключен контракт на добычу и (или) наступил период добычи по контракту на совмещенную разведку и добычу.
При этом такое право не подлежит пересмотру до конца действия контракта на разведку или контракта на совмещенную разведку и добычу (до начала периода добычи).
3. До исчисления амортизационных отчислений за налоговый период отдельная группа амортизируемых активов, образованная в соответствии с настоящей статьей, уменьшается на сумму доходов, указанных в пункте 4 статьи 258 настоящего Кодекса, полученных по соответствующему контракту.
В случае, если сумма таких доходов превышает размер отдельной группы амортизируемых активов, образованной в соответствии с настоящей статьей, величина превышения уменьшает отдельную группу амортизируемых активов, образованных в соответствии со статьей 258 настоящего Кодекса, по соответствующему контракту на разведку или контракту на совмещенную разведку и добычу (до начала периода добычи). При отсутствии отдельной группы амортизируемых активов, образованной в соответствии со статьей 258 настоящего Кодекса, величина такого превышения включается в совокупный годовой доход.
4. Недропользователь обязан вести раздельный налоговый учет отдельной группы амортизируемых активов, образованной в соответствии с настоящей статьей, и отдельной группы амортизируемых активов, образованной в соответствии со статьей 258 настоящего Кодекса, в рамках соответствующего контракта на разведку и (или) совмещенную разведку и добычу (в период разведки).
5. С налогового периода, в котором начался период добычи по контракту на совмещенную разведку и добычу или в котором заключен контракт на добычу на основании обнаружения и оценки месторождения в рамках контракта на разведку, стоимость отдельной группы амортизируемых активов, образованной в соответствии с настоящей статьей, которая ранее не была отнесена на вычеты, подлежит вычету в порядке, определенном статьей 258 настоящего Кодекса, в рамках такого контракта на добычу или совмещенную разведку и добычу.
6. В случае прекращения действия контракта на разведку и (или) совмещенную разведку и добычу (в период разведки) стоимость не отнесенной на вычеты отдельной группы амортизируемых активов, образованной в соответствии с настоящей статьей, на момент такого прекращения не подлежит вычету, за исключением случая, установленного пунктом 5 настоящей статьи.
Статья 260. Вычеты по расходам на подготовительные работы к добыче урана методом подземного скважинного выщелачивания после начала добычи после коммерческого обнаружения
1. Затраты (расходы) на приобретение и (или) создание амортизируемых активов, фактически понесенные недропользователем при подготовке эксплуатационных блоков (полигонов) к добыче урана методом подземного скважинного выщелачивания в период после момента начала добычи после коммерческого обнаружения, образуют отдельную группу амортизируемых активов в рамках соответствующего контракта на недропользование.
К амортизируемым активам, указанным в настоящем пункте, относятся:
1) откачные, закачные и наблюдательные технологические скважины, эксплуатационно-разведочные скважины, сооруженные на блоках (полигонах), в том числе затраты по геофизическим исследованиям по ним;
2) технологические трубопроводы, сооруженные от эксплуатационных блоков (полигонов) до пескоотстойника на промышленной площадке участка переработки продуктивных растворов, в том числе закачные и откачные коллекторы на блоках (полигонах);
3) технологические трубопроводы, сооруженные между блоками (участками полигона);
4) технологические трубопроводы, сооруженные на блоках (полигонах);
5) технологические узлы закисления, сооруженные на блоках (полигонах);
6) узлы распределения продуктивных растворов, сооруженные на блоках (полигонах);
7) узлы приемки технических растворов, сооруженные на блоках (полигонах);
8) узлы приема кислоты и склады жидких реагентов, а также кислотопроводы, сооруженные на блоках (полигонах);
9) технологические насосные станции с оборудованием и контрольно-измерительной аппаратурой, установленные на блоках (полигонах);
10) насосы для перекачки растворов с оборудованием и контрольно-измерительной аппаратурой, установленные на блоках (полигонах) на этапе горно-подготовительных работ;
11) погружные насосы со шкафами управления, установленные на сооруженных скважинах на этапе горно-подготовительных работ;
12) объекты энергетического снабжения, установленные или сооруженные на блоках (полигонах): трансформаторные подстанции, компрессорные станции, воздушные электролинии, кабельные линии;
13) аппаратура контроля и автоматизации процессов, устанавливаемая на блоках (полигонах);
14) воздухопроводы на блоках (полигонах);
15) подъездные технологические автодороги к блокам (полигонам) и внутри блоков;
16) пескоотстойники или емкости продуктивных растворов и выщелачивающих растворов на блоках (полигонах);
17) защита от выдувания песков на блоках (полигонах);
18) серная кислота на закисление.
В стоимость амортизируемых активов, указанных в настоящем пункте, включаются затраты (расходы) на приобретение и (или) создание активов, а также другие затраты (расходы), подлежащие включению в соответствии с международными стандартами финансовой отчетности и требованиями законодательства Республики Казахстан о бухгалтерском учете и финансовой отчетности в стоимость таких активов.
При этом в случаях, предусмотренных настоящим Кодексом, размер расходов, указанных в настоящем пункте, относимых в отдельную группу амортизируемых активов, не должен превышать установленные нормы для отнесения таких расходов на вычеты для целей корпоративного подоходного налога.
2. Затраты (расходы), указанные в пункте 1 настоящей статьи, вычитаются из совокупного годового дохода в виде амортизационных отчислений с момента начала добычи после коммерческого обнаружения полезных ископаемых.
При этом сумма амортизационных отчислений, исчисленная в соответствии с настоящей статьей, относится на вычет в пределах суммы амортизационных отчислений такой группы активов, исчисленных по данным бухгалтерского учета налогоплательщика.
Сумма амортизационных отчислений определяется в соответствии с методом учета группы амортизируемых активов, образованной в соответствии с пунктом 1 настоящей статьи, по блокам или месторождению в целом (полигону) по следующей формуле:
S – сумма амортизационных отчислений;
C1 – стоимость отдельной группы амортизируемых активов на начало налогового периода;
C2 – затраты (расходы) на подготовительные работы к добыче, указанные в пункте 1 настоящей статьи, произведенные в текущем налоговом периоде;
С3 – стоимость отдельной группы амортизируемых активов, указанной в пункте 3 настоящей статьи, приобретенной у третьих лиц или полученной в качестве вклада в уставный капитал в связи с приобретением права недропользования;
V1 – физический объем готовых к добыче запасов урана на начало налогового периода;
V2 – физический объем готовых к добыче запасов урана, по которым в налоговом периоде завершены все объемы подготовительных работ к добыче;
V3 – физический объем готовых к добыче запасов урана, приобретенных у третьих лиц или полученных в качестве вклада в уставный капитал в связи с приобретением права недропользования;
V4 – физический объем добытого урана за налоговый период.
Для налогового периода 2009 года стоимостью отдельной группы амортизируемых активов на начало налогового периода признается сумма накопленных затрат (расходов) по подготовке к добыче урана, определяемая в соответствии с пунктом 1 настоящей статьи по состоянию на 1 января 2009 года.
В последующие налоговые периоды после 2009 года стоимостью отдельной группы амортизируемых активов на начало налогового периода является стоимость указанной группы активов на конец предыдущего налогового периода, определяемая в следующем порядке:
стоимость отдельной группы амортизируемых активов на начало налогового периода
плюс
затраты (расходы), указанные в пункте 1 настоящей статьи на подготовительные работы к добыче, произведенные в текущем налоговом периоде,
плюс
затраты по приобретению у третьих лиц группы амортизируемых активов, указанной в пункте 3 настоящей статьи,
плюс
стоимость группы амортизируемых активов, полученной в качестве вклада в уставный капитал, указанной в пункте 3 настоящей статьи,
минус
сумма амортизационных отчислений за налоговый период.
Для налогового периода 2009 года физическим объемом готовых к добыче запасов урана на начало налогового периода признается физический объем готовых к добыче запасов урана по состоянию на 1 января 2009 года.
В последующие налоговые периоды после 2009 года объемом готовых к добыче запасов урана на начало налогового периода является физический объем готовых к добыче запасов на конец предыдущего налогового периода, определяемый в следующем порядке:
физический объем готовых к добыче запасов урана на начало налогового периода
плюс
физический объем запасов урана, по которым в налоговом периоде завершены все объемы подготовительных работ к добыче,
плюс
физический объем готовых к добыче запасов урана, приобретенных у третьих лиц или полученных в качестве вклада в уставный капитал в связи с приобретением права недропользования,
минус
объем добытого урана в течение налогового периода.
В случае, если количество фактического объема добытого урана за весь период отработки эксплуатационного блока меньше количества фактического объема готовых к добыче запасов урана данного эксплуатационного блока, оставшаяся часть стоимости амортизируемой группы активов данного эксплуатационного блока относится на вычет в том налоговом периоде, в котором она списывается в бухгалтерском учете налогоплательщика на производственную себестоимость добычи и первичной переработки (обогащения).
В случае завершения деятельности по недропользованию в рамках отдельного контракта на добычу или совмещенную разведку и добычу при условии, что недропользователь завершил деятельность по недропользованию после начала добычи после коммерческого обнаружения, стоимость отдельной группы амортизируемых активов на конец налогового периода подлежит вычету в налоговом периоде, в котором завершена такая деятельность.
3. Порядок, установленный настоящей статьей, применяется также к отдельной группе амортизируемых активов, указанной в пункте 1 настоящей статьи, приобретенной у третьих лиц и (или) полученной в качестве вклада в уставный капитал в связи с приобретением права недропользования.
При поступлении в связи с приобретением у третьих лиц отдельной группы амортизируемых активов, указанной в пункте 1 настоящей статьи, стоимостью такой группы активов является стоимость ее приобретения, определяемая в соответствии с международными стандартами финансовой отчетности и требованиями законодательства Республики Казахстан о бухгалтерском учете и финансовой отчетности. При получении в качестве вклада в уставный капитал отдельной группы амортизируемых активов, указанной в пункте 1 настоящей статьи, стоимостью такой группы активов является стоимость вклада, указанная в учредительных документах юридического лица.
Сноска. Статья 260 с изменениями, внесенными законами РК от 10.12.2020 № 382-VI (вводится в действие с 01.01.2020); от 21.12.2022 № 165-VII (вводится в действие с 01.01.2024).
Статья 261. Вычет по расходам недропользователя на обучение казахстанских кадров и развитие социальной сферы регионов
1. Расходы, фактически понесенные недропользователем на обучение казахстанских кадров, не являющихся работниками недропользователя, а также на развитие социальной сферы регионов, относятся на вычеты в пределах сумм, установленных контрактом на недропользование.
Расходы недропользователя, направленные на обучение, повышение квалификации или переподготовку работника по специальности, связанной с производственной деятельностью недропользователя, относятся на вычеты в соответствии со статьей 257 настоящего Кодекса.
2. Указанные в пункте 1 настоящей статьи расходы, фактически понесенные недропользователем до начала добычи после коммерческого обнаружения, относятся на вычеты в порядке, определенном статьей 258 настоящего Кодекса, в пределах сумм, установленных контрактом на недропользование.
3. Для целей настоящей статьи расходами, фактически понесенными недропользователем, признаются:
1) на обучение казахстанских кадров:
деньги, направленные на обучение, повышение квалификации и переподготовку граждан Республики Казахстан;
деньги, перечисленные в государственный бюджет на обучение, повышение квалификации и переподготовку граждан Республики Казахстан;
фактические расходы, понесенные налогоплательщиком в целях выполнения обязанности недропользователя в соответствии с законодательством Республики Казахстан о недрах и недропользовании в части финансирования подготовки и переподготовки граждан Республики Казахстан в виде приобретения по представленному местными исполнительными органами областей, городов республиканского значения, столицы и согласованному с компетентным органом перечню товаров, работ и услуг, необходимых для улучшения материально-технической базы организаций образования, осуществляющих на территории соответствующей области, города республиканского значения, столицы подготовку кадров по специальностям, непосредственно связанным со сферой недропользования;
2) на развитие социальной сферы региона – расходы на развитие и поддержание объектов социальной инфраструктуры региона, а также деньги, перечисленные на эти цели в государственный бюджет.
Статья 262. Вычет превышения суммы отрицательной курсовой разницы над суммой положительной курсовой разницы
В случае, если сумма отрицательной курсовой разницы превышает сумму положительной курсовой разницы, величина превышения подлежит вычету.
Статья 263. Вычет налогов и платежей в бюджет
1. Если иное не установлено настоящей статьей, в отчетном налоговом периоде вычету подлежат налоги и платежи в бюджет, уплаченные в бюджет Республики Казахстан или иного государства:
1) в отчетном налоговом периоде, в пределах начисленных и (или) исчисленных за отчетный налоговый период и (или) налоговые периоды, предшествующие отчетному налоговому периоду;
2) в налоговых периодах, предшествующих отчетному налоговому периоду, в пределах начисленных и (или) исчисленных за отчетный налоговый период.
При этом уплаченные суммы налогов и платежей в бюджет определяются с учетом проведения зачетов в порядке, определенном статьями 102 и 103 настоящего Кодекса.
Исчисление и начисление налогов и платежей в бюджет производятся в соответствии с налоговым законодательством Республики Казахстан или иного государства (для налогов и платежей, уплаченных в бюджет иного государства).
2. По займу, полученному от банка-нерезидента с участием иностранного государства в уставном капитале такого банка на момент заключения договора такого займа, в соответствии с которым корпоративный подоходный налог у источника выплаты уплачивается за счет собственных средств заемщика с суммы вознаграждения, подлежащей выплате банку-нерезиденту, указанный налог у источника выплаты относится на вычеты при условии, если сумма такого займа превышает 10 000 000-кратный размер месячного расчетного показателя, установленного законом Республики Казахстан о республиканском бюджете и действующего на 1 января соответствующего налогового периода.
3. Вычету не подлежат:
1) налоги, исключаемые до определения совокупного годового дохода;
2) корпоративный подоходный налог и налоги на доходы (прибыль), аналогичные корпоративному подоходному налогу юридических лиц, уплаченные на территории Республики Казахстан и в других государствах;
3) налоги, уплаченные в государствах с льготным налогообложением;
4) налог на сверхприбыль;
5) альтернативный налог на недропользование.
Статья 264. Затраты, не подлежащие вычету
Вычету не подлежат:
1) затраты, не связанные с деятельностью, направленной на получение дохода;
1-1) исключен Законом РК от 12.12.2023 № 45-VIII (вводится в действие с 01.01.2024).
1-2) расходы лица, осуществляющего деятельность по цифровому майнингу, по услугам, оказываемым цифровым майнинговым пулом;
2) расходы по операциям, совершенным без фактического выполнения работ, оказания услуг, отгрузки товаров с налогоплательщиком, руководитель и (или) учредитель (участник) которого не причастен к регистрации (перерегистрации) и (или) осуществлению финансово-хозяйственной деятельности такого юридического лица, установленных решением суда, вступившим в законную силу, за исключением операций, по которым судом установлено фактическое получение товаров, работ, услуг от такого налогоплательщика;
3) расходы по операциям с налогоплательщиком, признанным бездействующим в порядке, определенном статьей 91 настоящего Кодекса, со дня вынесения приказа о признании его бездействующим;
4) расходы по сумме, указанной в счет-фактуре и (или) ином документе, выписка которого признана вступившим в законную силу судебным актом или постановлением органа уголовного расследования о прекращении досудебного расследования по нереабилитирующим основаниям, совершенной субъектом частного предпринимательства без фактического выполнения работ, оказания услуг, отгрузки товаров;
5) расходы по сделке, признанной недействительной на основании вступившего в законную силу решения суда;
6) неустойки (штрафы, пени), подлежащие внесению (внесенные) в бюджет, за исключением неустоек (штрафов, пени), подлежащих внесению (внесенных) в бюджет по договорам о государственных закупках;
7) сумма превышения расходов, для которых настоящим Кодексом установлены нормы отнесения на вычеты, над предельной суммой вычета, исчисленной с применением указанных норм;
8) сумма налогов и платежей в бюджет, исчисленная (начисленная) и уплаченная сверх размеров, установленных законодательством Республики Казахстан или иного государства (для налогов и платежей, уплаченных в бюджет иного государства);
9) затраты по приобретению, производству, строительству, монтажу, установке и другие затраты, включаемые в стоимость объектов социальной сферы, предусмотренных статьей 239 настоящего Кодекса, а также расходы по их эксплуатации;
10) стоимость имущества, переданного налогоплательщиком на безвозмездной основе, если иное не предусмотрено настоящим Кодексом. Стоимость безвозмездно выполненных работ, оказанных услуг определяется в размере расходов, понесенных в связи с таким выполнением работ, оказанием услуг;
11) превышение суммы налога на добавленную стоимость, относимого в зачет, над суммой начисленного налога на добавленную стоимость за налоговый период, возникшее у налогоплательщика, применяющего статью 411 настоящего Кодекса;
12) отчисления в резервные фонды, за исключением вычетов, предусмотренных статьями 250, 252 и 253 настоящего Кодекса;
13) балансовая стоимость запасов, передаваемых по договору купли-продажи предприятия как имущественного комплекса;
14) сумма уплаченного дополнительного платежа недропользователя, осуществляющего деятельность по контракту о разделе продукции;
15) затраты налогоплательщика, включаемые в соответствии со статьей 228 настоящего Кодекса в первоначальную стоимость активов, не подлежащих амортизации;
16) расходы, связанные с реализацией полезных ископаемых, переданных недропользователем в счет исполнения налогового обязательства в натуральной форме;
17) стоимость объемов полезных ископаемых, передаваемых недропользователем в счет исполнения налогового обязательства в натуральной форме, – у получателя от имени государства;
18) балансовая стоимость активов, передаваемых во временное владение и пользование по договору имущественного найма (аренды), кроме договора лизинга;
19) стоимость объемов полезных ископаемых, передаваемых недропользователем в счет исполнения налогового обязательства в натуральной форме;
Примечание РЦПИ!
Подпункт 20) действует до 01.01.2027 в соответствии с Законом РК от 25.12.2017 № 121-VI.
20) расходы дочерней организации банка, приобретающей сомнительные и безнадежные активы родительского банка:
в виде денег, полученных данной организацией в соответствии с законодательством Республики Казахстан о банках и банковской деятельности и перечисленных родительскому банку;
не связанные с осуществлением видов деятельности, предусмотренных законодательством Республики Казахстан о банках и банковской деятельности;
21) расходы некоммерческой организации, произведенные за счет доходов, указанных в пункте 2 статьи 289 настоящего Кодекса;
22) расходы индивидуального предпринимателя, состоящего на регистрационном учете в качестве плательщика налога на добавленную стоимость, или юридического лица в пользу другого индивидуального предпринимателя, состоящего на регистрационном учете в качестве плательщика налога на добавленную стоимость, или юридического лица по гражданско-правовой сделке, оплата которой произведена за наличный расчет с учетом налога на добавленную стоимость, независимо от периодичности платежа, в сумме, превышающей 1000-кратный размер месячного расчетного показателя, установленного законом о республиканском бюджете и действующего на дату совершения платежа.
23) затраты по приобретению у нерезидента – взаимосвязанной стороны, зарегистрированной в государстве с льготным налогообложением, управленческих, консультационных, консалтинговых, аудиторских, дизайнерских, юридических, бухгалтерских, адвокатских, рекламных, маркетинговых, франчайзинговых, финансовых (за исключением расходов по вознаграждению), инжиниринговых, агентских услуг, роялти, прав на использование объектов интеллектуальной собственности.
В целях части первой настоящего подпункта взаимосвязанными сторонами признаются:
лица, указанные в пункте 2 статьи 1 настоящего Кодекса;
юридическое лицо, которое совместно с другим юридическим лицом входит в одну группу компаний;
физические и (или) юридические лица, когда отношения между такими лицами обладают признаками взаимосвязанности вне зависимости от условий, указанных в настоящей части. При этом в случае непризнания налогоплательщиком взаимосвязанности такое признание устанавливается судом на основании иска налогового органа.
В целях части второй настоящего подпункта под группой компаний понимается структура коммерческих и некоммерческих организаций, включающая в себя головную компанию и компании, акциями, долями участия и прочими долевыми инструментами которых такая головная компания прямо или косвенно владеет.
24) затраты, произведенные за счет субсидий, выделенных из резерва Правительства Республики Казахстан и местных исполнительных органов, грантов или другой безвозмездной помощи для энергопроизводящих организаций, сто процентов акций (долей участия в уставном капитале) которых принадлежат государству, находящихся в коммунальной собственности и осуществляющих одновременно деятельность по производству электрической энергии, воды (дистиллята) и тепловой энергии.
Сноска. Статья 264 с изменениями, внесенными законами РК от 10.12.2020 № 382-VI (вводится в действие с 01.01.2021); от 11.07.2022 № 135-VII (вводится в действие с 01.01.2023); от 06.02.2023 № 196-VII (вводится в действие с 01.04.2023); от 12.12.2023 № 45-VIII (порядок введения в действие см. ст. 2); от 26.12.2025 № 244-VIII (вводится в действие с 01.01.2024).
Параграф 3. Вычеты по фиксированным активам
Статья 265. Вычеты по фиксированным активам
Вычету подлежат:
1) амортизационные отчисления, исчисленные в соответствии со статьей 271 настоящего Кодекса;
2) стоимостный баланс подгруппы (группы) на конец налогового периода в соответствии с пунктами 2 и 4 статьи 273 настоящего Кодекса;
3) последующие расходы в соответствии со статьей 272 настоящего Кодекса.
Статья 266. Фиксированные активы
1. Если иное не предусмотрено настоящей статьей, к фиксированным активам относятся:
1) основные средства, инвестиции в недвижимость, нематериальные и биологические активы, учтенные при поступлении в бухгалтерском учете налогоплательщика в соответствии с международными стандартами финансовой отчетности и (или) требованиями законодательства Республики Казахстан о бухгалтерском учете и финансовой отчетности и предназначенные для использования в деятельности, направленной на получение дохода в отчетном и (или) будущих периодах, за исключением активов, указанных в подпункте 2) настоящего пункта;
2) активы сроком службы более одного года, переданные концедентом во владение и пользование концессионеру (правопреемнику или юридическому лицу, специально созданному исключительно концессионером для реализации договора концессии) в рамках договора концессии;
3) активы сроком службы более одного года, которые предназначены для использования в течение более одного года в деятельности, направленной на получение дохода, полученные доверительным управляющим в доверительное управление;
4) последующие расходы, понесенные в отношении имущества, полученного по договору имущественного найма (аренды), кроме договора лизинга, и признанные в бухгалтерском учете в качестве долгосрочного актива;
5) у арендодателя – имущество, переданное по договору имущественного найма (аренды), не учитываемое в бухгалтерском учете после передачи по такому договору в качестве основных средств, инвестиций в недвижимость, нематериальных или биологических активов, кроме имущества, переданного по договору лизинга.
2. К фиксированным активам не относятся:
1) основные средства и нематериальные активы, вводимые в эксплуатацию недропользователем до момента начала добычи после коммерческого обнаружения и учитываемые в целях налогообложения в соответствии со статьей 258 настоящего Кодекса;
2) активы, по которым исчисление амортизационных отчислений в соответствии с международными стандартами финансовой отчетности и (или) требованиями законодательства Республики Казахстан о бухгалтерском учете и финансовой отчетности не производится, за исключением:
активов, указанных в подпунктах 2) и 4) пункта 1 настоящей статьи;
биологических активов, инвестиций в недвижимость, по которым исчисление амортизационных отчислений не производится в связи с учетом таких активов по справедливой стоимости в соответствии с международными стандартами финансовой отчетности и (или) требованиями законодательства Республики Казахстан о бухгалтерском учете и финансовой отчетности;
3) земля;
4) музейные ценности;
5) памятники архитектуры и искусства;
6) сооружения общего пользования: автомобильные дороги, за исключением автомобильных дорог, являющихся объектами концессии, созданными и (или) полученными концессионером в рамках договора концессии, тротуары, бульвары, скверы;
7) незавершенное капитальное строительство;
8) объекты, относящиеся к фильмофонду;
9) государственные эталоны единиц величин Республики Казахстан;
10) основные средства, стоимость которых ранее полностью отнесена на вычеты в соответствии с налоговым законодательством Республики Казахстан, действовавшим до 1 января 2000 года;
11) нематериальные активы с неопределенным сроком полезной службы, признанные таковыми и учитываемые в бухгалтерском балансе налогоплательщика в соответствии с международными стандартами финансовой отчетности и (или) требованиями законодательства Республики Казахстан о бухгалтерском учете и финансовой отчетности;
12) активы, введенные в эксплуатацию в рамках инвестиционного проекта по контрактам с предоставлением права дополнительных вычетов из совокупного годового дохода, заключенным до 1 января 2009 года в соответствии с законодательством Республики Казахстан об инвестициях;
13) активы, введенные в эксплуатацию в рамках инвестиционного проекта по контрактам с предоставлением освобождения от уплаты корпоративного подоходного налога, заключенным до 1 января 2009 года в соответствии с законодательством Республики Казахстан об инвестициях, в части стоимости, отнесенной на вычеты до 1 января 2009 года;
14) объекты преференций в течение трех налоговых периодов, следующих за налоговым периодом ввода таких объектов в эксплуатацию, кроме случаев, предусмотренных пунктом 14 статьи 268 настоящего Кодекса;
15) активы сроком службы более одного года, являющиеся объектами социальной сферы, предусмотренными статьей 239 настоящего Кодекса;
16) активы, указанные в статье 260 настоящего Кодекса;
17) у арендатора – активы, полученные во временное владение и пользование по договору имущественного найма (аренды), учитываемые в бухгалтерском учете после получения по такому договору в качестве основных средств, инвестиций в недвижимость, нематериальных или биологических активов, кроме активов, полученных по договору лизинга.
18) активы, по которым произведено уменьшение налогооблагаемого дохода в соответствии с подпунктом 7) части первой пункта 1 статьи 288 настоящего Кодекса.
Сноска. Статья 266 с изменениями, внесенными законами РК от 10.12.2020 № 382-VI (вводится в действие с 01.01.2018); от 24.06. 2021 № 53-VII (вводится в действие с 01.01.2022).
Статья 267. Определение стоимостного баланса
1. Учет фиксированных активов осуществляется по группам, формируемым в соответствии с классификацией, установленной уполномоченным государственным органом, осуществляющим государственное регулирование в области технического регулирования, в следующем порядке:
|
№ п/п |
№ группы |
Наименование фиксированных активов |
|
1 |
2 |
3 |
|
1. |
I |
Здания, сооружения, за исключением нефтяных, газовых скважин и передаточных устройств |
|
2. |
II |
Машины и оборудование, за исключением машин и оборудования нефтегазодобычи, а также компьютеров и оборудования для обработки информации |
|
3. |
III |
Компьютеры, программное обеспечение и оборудование для обработки информации |
|
4. |
IV |
Фиксированные активы, не включенные в другие группы, в том числе нефтяные, газовые скважины, передаточные устройства, машины и оборудование нефтегазодобычи |
Каждый объект I группы приравнивается к подгруппе.
2. По каждой подгруппе (группы I), группе на начало и конец налогового периода определяются итоговые суммы, называемые стоимостным балансом подгруппы (группы I), группы.
Стоимостный баланс I группы состоит из стоимостных балансов подгрупп по каждому объекту основных средств и стоимостного баланса подгруппы, сформированного в соответствии с подпунктом 2) пункта 2 статьи 272 настоящего Кодекса.
3. Остаточной стоимостью фиксированных активов I группы является стоимостный баланс подгрупп на начало налогового периода, учитывающий корректировки, произведенные в налоговом периоде согласно статье 272 настоящего Кодекса.
4. Фиксированные активы учитываются:
1) по I группе – в разрезе объектов фиксированных активов, каждый из которых образует отдельную подгруппу стоимостного баланса группы;
2) по II, III и IV группам – в разрезе стоимостных балансов групп.
5. Поступившие фиксированные активы увеличивают соответствующие балансы подгрупп (по I группе), групп (по остальным группам) на стоимость, определяемую в соответствии со статьей 268 настоящего Кодекса, в порядке, определенном настоящей статьей.
6. Выбывшие фиксированные активы уменьшают соответствующие балансы подгрупп (по I группе), групп (по остальным группам) на стоимость, определяемую в соответствии со статьей 270 настоящего Кодекса, в порядке, определенном настоящей статьей.
7. Стоимостный баланс подгруппы (группы I), группы на начало налогового периода определяется как:
стоимостный баланс подгруппы (группы I), группы на конец предыдущего налогового периода
минус
сумма амортизационных отчислений, исчисленных в предыдущем налоговом периоде,
минус
корректировки, производимые согласно статье 273 настоящего Кодекса.
Значение стоимостного баланса подгруппы (группы I), группы на начало налогового периода не должно быть отрицательным.
8. Стоимостный баланс подгруппы (группы I), группы на конец налогового периода определяется как:
стоимостный баланс подгруппы (группы I), группы на начало налогового периода
плюс
поступившие в налоговом периоде фиксированные активы
минус
выбывшие в налоговом периоде фиксированные активы
плюс
корректировки, производимые согласно пункту 2 статьи 272 настоящего Кодекса.
9. Доверительный управляющий обязан формировать отдельные стоимостные балансы групп (подгрупп) по фиксированным активам, указанным в подпункте 3) пункта 1 статьи 266 настоящего Кодекса, и вести по таким активам раздельный налоговый учет на основании статей 194 и 195 настоящего Кодекса.
10. Налогоплательщик обязан формировать отдельные стоимостные балансы групп (подгрупп) в части стоимости, не отнесенной на вычеты до 1 января 2009 года, по фиксированным активам, введенным в эксплуатацию до и (или) после 1 января 2009 года в рамках инвестиционного проекта по контрактам с предоставлением освобождения от уплаты корпоративного подоходного налога, заключенным до 1 января 2009 года в соответствии с законодательством Республики Казахстан в сфере предпринимательства.
Сноска. Статья 267 с изменением, внесенным Законом РК от 10.12.2020 № 382-VI (вводится в действие с 01.01.2021).
Статья 268. Поступление фиксированных активов
1. Фиксированные активы при поступлении, включая поступление по договору лизинга, а также путем перевода из состава запасов, увеличивают стоимостный баланс групп (подгрупп) на первоначальную стоимость названных активов.
Признание в целях налогообложения поступления фиксированных активов означает включение поступивших активов в состав фиксированных активов.
2. Если иное не предусмотрено настоящей статьей, первоначальная стоимость фиксированных активов определяется как сумма затрат, понесенных налогоплательщиком по день признания фиксированного актива в соответствии с пунктом 1 статьи 266 настоящего Кодекса. К таким затратам относятся затраты на приобретение фиксированного актива, его производство, строительство, монтаж и установку, а также другие затраты, увеличивающие его стоимость в соответствии с международными стандартами финансовой отчетности и (или) требованиями законодательства Республики Казахстан о бухгалтерском учете и финансовой отчетности, кроме:
затрат (расходов), не подлежащих отнесению на вычеты в соответствии с подпунктами 2), 3), 4) и 5) статьи 264 настоящего Кодекса;
амортизационных отчислений.
2-1. Недропользователь по контракту на разведку и добычу или добычу углеводородов по сложным проектам (за исключением газовых проектов на суше) определяет первоначальную стоимость активов в порядке, установленном настоящей статьей, с применением соответствующего коэффициента, предусмотренного пунктом 6 статьи 258 настоящего Кодекса.
3. Если иное не предусмотрено настоящим пунктом, первоначальной стоимостью фиксированного актива, поступившего путем перевода из состава запасов или активов, предназначенных для продажи, является его балансовая стоимость, определенная на дату такого поступления в соответствии с международными стандартами финансовой отчетности и (или) требованиями законодательства Республики Казахстан о бухгалтерском учете и финансовой отчетности.
Первоначальной стоимостью фиксированного актива, поступившего путем перевода из состава запасов или активов, предназначенных для продажи, по которому ранее было прекращено признание в качестве фиксированного актива, является его балансовая стоимость, определенная на дату такого поступления в соответствии с международными стандартами финансовой отчетности и (или) требованиями законодательства Республики Казахстан о бухгалтерском учете и финансовой отчетности, не превышающая стоимость, указанную в пункте 2 статьи 270 настоящего Кодекса.
4. При безвозмездном получении фиксированных активов первоначальной стоимостью фиксированных активов является его стоимость, включенная в совокупный годовой доход в соответствии со статьей 238 настоящего Кодекса в виде безвозмездно полученного имущества, с учетом фактических затрат, увеличивающих стоимость таких активов при первоначальном признании в соответствии с международными стандартами финансовой отчетности и (или) требованиями законодательства Республики Казахстан о бухгалтерском учете и финансовой отчетности, за исключением затрат (расходов), не включаемых в первоначальную стоимость фиксированных активов на основании пункта 2 настоящей статьи.
5. При получении государственным предприятием от государственного учреждения фиксированных активов, закрепленных на праве хозяйственного ведения или оперативного управления за таким предприятием, первоначальной стоимостью фиксированных активов является балансовая стоимость полученных активов, указанная в акте приема-передачи названных активов, с учетом фактических затрат, увеличивающих стоимость таких активов при первоначальном признании в соответствии с международными стандартами финансовой отчетности и (или) требованиями законодательства Республики Казахстан о бухгалтерском учете и финансовой отчетности, за исключением затрат (расходов), не включаемых в первоначальную стоимость фиксированных активов на основании пункта 2 настоящей статьи.
6. При получении в качестве вклада в уставный капитал первоначальной стоимостью фиксированного актива является стоимость актива, указанная в акте приема-передачи или при отсутствии такого акта – в ином документе, подтверждающем фактическое внесение вклада и стоимость актива, с учетом фактических затрат, увеличивающих стоимость таких активов при первоначальном признании в соответствии с международными стандартами финансовой отчетности и (или) требованиями законодательства Республики Казахстан о бухгалтерском учете и финансовой отчетности, за исключением затрат (расходов), не включаемых в первоначальную стоимость фиксированных активов на основании пункта 2 настоящей статьи.
Стоимость активов, полученных в оплату вклада в уставный капитал, учитывается в пределах суммы вклада в уставный капитал, в счет оплаты которого получен актив.
7. При получении фиксированного актива в связи с реорганизацией путем слияния, присоединения, разделения или выделения налогоплательщика первоначальной стоимостью такого актива является его балансовая стоимость, указанная в передаточном акте или разделительном балансе, за исключением случаев, предусмотренных частями второй и третьей настоящего пункта, с учетом фактических затрат, увеличивающих стоимость такого актива при первоначальном признании в соответствии с международными стандартами финансовой отчетности и (или) требованиями законодательства Республики Казахстан о бухгалтерском учете и финансовой отчетности, за исключением затрат (расходов), не включаемых в первоначальную стоимость фиксированных активов на основании пункта 2 настоящей статьи.
Стоимостный баланс подгруппы (группы) вновь возникшего юридического лица, созданного путем слияния, или юридического лица, к которому присоединилось другое юридическое лицо, увеличивается на стоимость передаваемых фиксированных активов по данным налогового учета в случае отражения такой стоимости в передаточном акте в соответствии с частью второй пункта 6 статьи 270 настоящего Кодекса.
В стоимостный баланс подгруппы (группы) вновь возникшего юридического лица, созданного путем выделения в соответствии с решением Правительства Республики Казахстан, включается стоимость передаваемых фиксированных активов по данным налогового учета в случае отражения такой стоимости в передаточном акте в соответствии с частью третьей пункта 6 статьи 270 настоящего Кодекса.
8. При получении доверительным управляющим фиксированных активов в доверительное управление первоначальной стоимостью таких фиксированных активов является:
1) в случае, если у передающего лица данные активы являлись фиксированными, – стоимость, определенная в соответствии с пунктом 10 статьи 270 настоящего Кодекса;
2) в иных случаях – стоимость, определенная по данным акта приема-передачи названных активов.
9. При получении фиксированных активов от доверительного управляющего в связи с прекращением обязательств по доверительному управлению первоначальной стоимостью таких фиксированных активов является:
1) в случае, если у доверительного управляющего данные активы являлись фиксированными, – стоимость, определенная в соответствии с пунктом 11 статьи 270 настоящего Кодекса;
2) в иных случаях – стоимость, определенная в соответствии с пунктом 10 статьи 270 настоящего Кодекса, уменьшенная на сумму амортизационных отчислений. При этом амортизационные отчисления исчисляются за каждый налоговый период доверительного управления, предшествовавший отчетному налоговому периоду, исходя из предельной нормы амортизации, предусмотренной настоящим Кодексом для соответствующей группы фиксированных активов, применяемой к первоначальной стоимости, уменьшенной на сумму амортизационных отчислений за предыдущие периоды.
10. При получении фиксированных активов концессионером (правопреемником или юридическим лицом, специально созданным исключительно концессионером для реализации договора концессии) по договору концессии первоначальной стоимостью таких фиксированных активов является стоимость, определенная в соответствии с пунктом 12 статьи 270 настоящего Кодекса, а в случае отсутствия такой стоимости – стоимость в соответствии с порядком, определенным уполномоченным органом.
11. При получении фиксированных активов концендентом при прекращении договора концессии первоначальной стоимостью таких фиксированных активов является стоимость, определенная в соответствии с пунктом 13 статьи 270 настоящего Кодекса.
12. Первоначальной стоимостью фиксированных активов страховой, перестраховочной организации на 1 января 2012 года является балансовая стоимость основных средств, инвестиций в недвижимость, нематериальных активов, определенная в соответствии с международными стандартами финансовой отчетности и (или) требованиями законодательства Республики Казахстан о бухгалтерском учете и финансовой отчетности без учета переоценок и обесценений на такую дату.
13. Фиксированные активы, ранее выбывшие в связи с временным прекращением использования в деятельности, направленной на получение дохода, подлежат включению в стоимостный баланс группы фиксированных активов в налоговом периоде, в котором осуществлен ввод в эксплуатацию таких фиксированных активов для использования в деятельности, направленной на получение дохода, по стоимости выбытия с учетом расходов, подлежащих отнесению на увеличение стоимости таких активов в соответствии со статьей 272 настоящего Кодекса.
14. Активы, по которым преференции аннулированы, подлежат включению в стоимостный баланс группы (подгруппы) в случаях, указанных в пункте 4 статьи 276 настоящего Кодекса, по первоначальной стоимости, определяемой в соответствии с настоящей статьей.
15. Объект преференций по истечении трех налоговых периодов, следующих за налоговым периодом ввода данного объекта в эксплуатацию, кроме активов, указанных в пункте 13 настоящей статьи, подлежит включению в стоимостный баланс группы (подгруппы) в случае, указанном в пункте 6 статьи 276 настоящего Кодекса, по нулевой стоимости.
16. Первоначальной стоимостью фиксированного актива, указанного в подпункте 4) пункта 1 статьи 266 настоящего Кодекса, являются затраты по ремонту, реконструкции, модернизации, содержанию и другие затраты, понесенные налогоплательщиком в отношении имущества, полученного по договору имущественного найма (аренды), кроме договора лизинга. В соответствии с настоящим пунктом учитываются затраты, понесенные по день признания их в бухгалтерском учете в качестве долгосрочного актива, увеличивающие его стоимость в соответствии с международными стандартами финансовой отчетности и (или) требованиями законодательства Республики Казахстан о бухгалтерском учете и финансовой отчетности.
17. Первоначальной стоимостью фиксированного актива, поступившего по договору лизинга, является стоимость, по которой предмет лизинга получен.
18. При возврате лизингополучателем предмета лизинга лизингодателю первоначальной стоимостью фиксированного актива является положительная разница между стоимостью, по которой предмет лизинга передан по договору лизинга, и стоимостью предмета лизинга, включенной в сумму лизинговых платежей за период с даты передачи до даты возврата предмета лизинга.
Сноска. Статья 268 с изменениями, внесенными законами РК от 02.04.2019 № 241-VI (вводится в действие с 01.01.2018); от 10.12.2020 № 382-VI (вводится в действие с 01.01.2018); от 21.12.2022 № 165-VII (вводится в действие с 01.01.2023).
Статья 269. Формирование стоимостного баланса группы (подгруппы) в отдельных случаях
1. Если иное не установлено настоящей статей, при переходе налогоплательщика, применяющего специальный налоговый режим для субъектов малого бизнеса или специальный налоговый режим для крестьянских или фермерских хозяйств, на общеустановленный порядок первоначальной стоимостью фиксированных активов является стоимость их приобретения, уменьшенная на расчетную сумму амортизации.
Если иное не установлено настоящей статьей, стоимостью приобретения является совокупность затрат на приобретение, производство, строительство, монтаж, установку, реконструкцию и модернизацию, совершенные до начала эксплуатации актива, кроме затрат (расходов), указанных в подпунктах 1) – 6) и 8) статьи 264 настоящего Кодекса.
В случае, если актив был ранее получен безвозмездно, в целях настоящей статьи стоимостью приобретения такого актива является его стоимость, включенная в объект налогообложения в соответствии с пунктом 2 статьи 681 настоящего Кодекса в виде безвозмездно полученного имущества.
По активам, полученным в виде благотворительной помощи, наследования, за исключением случая, предусмотренного частью второй настоящего пункта, стоимостью приобретения актива является рыночная стоимость актива на дату возникновения права собственности на данный актив, определенная в отчете об оценке, проведенной по договору между оценщиком и налогоплательщиком в соответствии с законодательством Республики Казахстан об оценочной деятельности.
Расчетная сумма амортизации определяется как произведение следующих величин:
стоимость приобретения актива, определенная в соответствии с настоящим пунктом;
предельная месячная норма амортизации, предусмотренная пунктом 3 настоящей статьи;
количество месяцев, прошедших со дня первого ввода в эксплуатацию актива таким налогоплательщиком.
2. Если иное не установлено настоящей статьей, расходы на реконструкцию и модернизацию фиксированного актива, совершенные после начала его эксплуатации, признаются отдельным фиксированным активом с первоначальной стоимостью, равной сумме таких расходов, кроме затрат (расходов), указанных в подпунктах 1) – 6) и 8) статьи 264 настоящего Кодекса, уменьшенной на расчетную сумму амортизации.
Расчетная сумма амортизации определяется как произведение следующих величин:
сумма расходов на реконструкцию и модернизацию, определенная в соответствии с настоящим пунктом;
предельная месячная норма амортизации, предусмотренная пунктом 3 настоящей статьи;
количество месяцев, прошедших со дня завершения реконструкции, модернизации.
Для целей настоящего пункта, пункта 3 статьи 334 и пункта 6 статьи 520 настоящего Кодекса реконструкцией и модернизацией признаются реконструкция и модернизация, результатами которых одновременно являются:
изменение, в том числе обновление, конструкции основного средства;
увеличение срока службы основного средства более чем на три года;
улучшение технических характеристик основного средства по сравнению с его техническими характеристиками на начало календарного месяца, в котором данное основное средство временно выведено из эксплуатации для осуществления реконструкции и модернизации.
3. В зависимости от группы, к которой фиксированный актив подлежит включению в соответствии с пунктом 1 статьи 267 настоящего Кодекса, применяются следующие месячные нормы амортизации:
|
№ |
№ группы |
Наименование фиксированных активов |
Месячная норма амортизации, % |
|
1. |
I |
Здания, сооружения, за исключением нефтяных, газовых скважин и передаточных устройств |
0,83 |
|
2. |
II |
Машины и оборудование, за исключением машин и оборудования нефтегазодобычи, а также компьютеров и оборудования для обработки информации |
2,08 |
|
3. |
III |
Компьютеры, программное обеспечение и оборудование для обработки информации |
3,33 |
|
4. |
IV |
Фиксированные активы, не включенные в другие группы, в том числе нефтяные, газовые скважины, передаточные устройства, машины и оборудование нефтегазодобычи |
1,25 |
В целях применения пункта 2 настоящей статьи фиксированный актив, созданный в результате реконструкции и модернизации, включается в группу, в которую подлежит включению фиксированный актив, подвергшийся реконструкции и модернизации.
4. Первоначальная стоимость фиксированных активов определяется в соответствии с настоящим пунктом при одновременном выполнении следующих условий:
налогоплательщик, применяющий специальный налоговый режим для субъектов малого бизнеса или специальный налоговый режим для крестьянских или фермерских хозяйств, переходит на общеустановленный порядок;
налогоплательщик применял специальный налоговый режим для субъектов малого бизнеса или специальный налоговый режим для крестьянских или фермерских хозяйств менее 12 календарных месяцев;
налогоплательщик до перехода на специальный налоговый режим для субъектов малого бизнеса или специальный налоговый режим для крестьянских или фермерских хозяйств применял общеустановленный порядок.
Первоначальная стоимость фиксированных активов определяется исходя из размера стоимостных групп (подгрупп) на день, предшествующий дню начала применения специального налогового режима для малого бизнеса или специального налогового режима для крестьянских или фермерских хозяйств, и вычетов по фиксированным активам, определенным в соответствии со статьями 266 – 268 и 270 – 273 настоящего Кодекса, в период применения специального налогового режима для малого бизнеса или специального налогового режима для крестьянских или фермерских хозяйств.
Статья 270. Выбытие фиксированных активов
1. Если иное не установлено настоящей статьей, выбытием фиксированных активов являются:
1) прекращение признания данных активов в бухгалтерском учете в качестве основных средств, инвестиций в недвижимость, нематериальных и биологических активов, за исключением случаев прекращения признания в результате полной амортизации и (или) обесценения, передачи по договору имущественного найма (аренды);
2) передача данных активов по договору лизинга;
3) перевод данных активов в состав активов, предназначенных для продажи, запасов;
4) в отношении фиксированных активов, указанных в подпункте 5) пункта 1 статьи 266 настоящего Кодекса, – прекращение договора имущественного найма (аренды), если актив, признанный в бухгалтерском учете после прекращения договора имущественного найма (аренды), не относится к фиксированным активам.
Признание в целях налогообложения выбытия фиксированных активов означает исключение выбывших активов из состава фиксированных активов.
2. Если иное не установлено настоящей статьей, стоимостный баланс подгруппы (группы) уменьшается на определенную в соответствии с международными стандартами финансовой отчетности и (или) требованиями законодательства Республики Казахстан о бухгалтерском учете и финансовой отчетности на дату выбытия балансовую стоимость:
1) выбывающих фиксированных активов;
2) актива, учтенного после прекращения договора имущественного найма (аренды), – в отношении фиксированных активов, указанных в подпункте 5) пункта 1 статьи 266 настоящего Кодекса.
3. При реализации фиксированных активов, кроме передачи по договору лизинга, стоимостный баланс подгруппы (группы) уменьшается на стоимость реализации, за исключением налога на добавленную стоимость.
Если договором купли-продажи, включая договор купли-продажи предприятия как имущественного комплекса, стоимость реализации не определена в разрезе объектов фиксированных активов, стоимостный баланс подгруппы (группы) уменьшается на балансовую стоимость выбывающих фиксированных активов, определенную в соответствии с международными стандартами финансовой отчетности и (или) требованиями законодательства Республики Казахстан о бухгалтерском учете и финансовой отчетности, на дату реализации.
При передаче фиксированных активов по договору лизинга стоимостный баланс подгруппы (группы) уменьшается на стоимость, по которой предмет лизинга передан в соответствии с таким договором.
4. При безвозмездной передаче фиксированных активов стоимостный баланс подгруппы (группы) уменьшается на стоимость переданных активов, указанную в акте приема-передачи названных активов, но не менее чем на балансовую стоимость названных активов по данным бухгалтерского учета на дату передачи.
5. При передаче фиксированных активов в качестве вклада в уставный капитал стоимостный баланс подгруппы (группы) уменьшается на стоимость, определяемую в соответствии с гражданским законодательством Республики Казахстан.
6. Если иное не предусмотрено настоящим пунктом, при выбытии фиксированных активов в результате реорганизации путем слияния, присоединения, разделения или выделения стоимостный баланс подгруппы (группы) реорганизуемого юридического лица уменьшается на балансовую стоимость переданных активов, указанную в передаточном акте или разделительном балансе.
При реорганизации путем слияния, присоединения налогоплательщики вправе для целей налогового учета отразить в передаточном акте стоимость передаваемых фиксированных активов по данным налогового учета реорганизуемого юридического лица:
1) по фиксированным активам I группы – остаточную стоимость фиксированных активов, исчисленную в порядке, определенном пунктом 3 статьи 267 настоящего Кодекса;
2) по фиксированным активам II, III, IV групп при условии передачи всех фиксированных активов группы – величину стоимостного баланса группы, исчисленную в порядке, определенном пунктом 8 статьи 267 настоящего Кодекса.
Стоимостный баланс подгруппы (группы) юридического лица, реорганизуемого путем слияния, присоединения, уменьшается на стоимость передаваемых фиксированных активов по данным налогового учета, отраженную в передаточном акте в соответствии с настоящим пунктом.
При реорганизации путем выделения юридического лица в соответствии с решением Правительства Республики Казахстан налогоплательщик для целей налогового учета вправе отразить в передаточном акте остаточную стоимость фиксированных активов I группы по данным налогового учета, исчисленную в порядке, определенном пунктом 3 статьи 267 настоящего Кодекса.
Стоимостный баланс подгруппы (группы) юридического лица, реорганизуемого путем выделения в соответствии с решением Правительства Республики Казахстан, уменьшается на стоимость передаваемых фиксированных активов по данным налогового учета, отраженную в передаточном акте в соответствии с настоящим пунктом.
7. При изъятии имущества учредителем, участником стоимостный баланс подгруппы (группы) уменьшается на стоимость, определенную по соглашению учредителей, участников.
8. При утрате, порче фиксированных активов, в связи с которыми прекращается признание актива в бухгалтерском учете:
1) в случаях страхования фиксированных активов – стоимостный баланс подгруппы (группы) уменьшается на стоимость, равную сумме страховых выплат страхователю страховой организацией в соответствии с договором страхования;
2) при отсутствии страхования фиксированных активов I группы – стоимостный баланс соответствующих подгрупп уменьшается на остаточную стоимость фиксированных активов, исчисленную в порядке, определенном пунктом 3 статьи 267 настоящего Кодекса;
3) при отсутствии страхования фиксированных активов, кроме фиксированных активов I группы, выбытие не отражается.
8-1. Действовал до 01.01.2023 в соответствии с Законом РК от 11.07.2022 № 135-VII.
9. При возврате лизингополучателем предмета лизинга лизингодателю стоимостный баланс подгруппы (группы) уменьшается на положительную разницу между первоначальной стоимостью, по которой данный актив был признан в налоговом учете, и стоимостью предмета лизинга, включенной в сумму лизинговых платежей за период с даты получения до даты возврата предмета лизинга.
10. При передаче фиксированных активов в доверительное управление стоимостный баланс группы (подгруппы) уменьшается:
1) по I группе – на остаточную стоимость фиксированных активов;
2) по II, III и IV группам – на балансовую стоимость, определенную в соответствии с международными стандартами финансовой отчетности и (или) требованиями законодательства Республики Казахстан о бухгалтерском учете и финансовой отчетности, на дату передачи.
11. Доверительный управляющий при прекращении обязательств по доверительному управлению уменьшает стоимостный баланс группы (подгруппы):
1) по I группе – на остаточную стоимость фиксированных активов, исчисленную в порядке, определенном пунктом 3 статьи 267 настоящего Кодекса;
2) по II, III и IV группам:
при передаче всех активов группы – на величину стоимостного баланса группы, исчисленную в порядке, определенном пунктом 8 статьи 267 настоящего Кодекса;
в остальных случаях – на первоначальную стоимость передаваемых активов, определенную в соответствии со статьей 268 настоящего Кодекса, уменьшенную на сумму амортизационных отчислений. При этом амортизационные отчисления исчисляются за каждый налоговый период доверительного управления, предшествовавший отчетному налоговому периоду, исходя из предельной нормы амортизации, предусмотренной настоящим Кодексом для соответствующей группы фиксированных активов, применяемой к первоначальной стоимости, уменьшенной на сумму амортизационных отчислений за предыдущие периоды.
12. При передаче фиксированных активов концессионеру по договору концессии стоимостный баланс группы (подгруппы) концендента уменьшается:
1) по I группе – на остаточную стоимость фиксированных активов, исчисленную в порядке, определенном пунктом 3 статьи 267 настоящего Кодекса;
2) по II, III и IV группам – на стоимость в соответствии с порядком, определенным уполномоченным органом.
13. При передаче фиксированных активов конценденту при прекращении договора концессии стоимостный баланс группы (подгруппы) концессионера уменьшается:
1) по I группе – на остаточную стоимость фиксированных активов, исчисленную в порядке, определенном пунктом 3 статьи 267 настоящего Кодекса;
2) по II, III и IV группам – на стоимость в соответствии с порядком, определенным уполномоченным органом.
14. При временном прекращении использования фиксированных активов в деятельности, направленной на получение дохода:
1) по фиксированным активам I группы, используемым в сезонном производстве, выбытие не отражается;
2) по прочим фиксированным активам I группы стоимостный баланс соответствующих подгрупп уменьшается на остаточную стоимость фиксированных активов, исчисленную в порядке, определенном пунктом 3 статьи 267 настоящего Кодекса. Уменьшение стоимостного баланса подгруппы производится в случае, когда налоговые периоды временного вывода актива из эксплуатации и его ввода в эксплуатацию после временного прекращения использования не совпадают;
3) по II, III и IV группам выбытие не отражается.
К временному прекращению использования фиксированных активов относится временный вывод фиксированных активов из эксплуатации без прекращения признания таких активов в бухгалтерском учете в качестве основных средств, инвестиций в недвижимость, нематериальных и биологических активов.
В целях данного пункта фиксированными активами I группы, используемыми в сезонном производстве, являются фиксированные активы I группы, которые одновременно соответствуют следующим условиям:
не могут использоваться на конец отчетного периода в силу требований, указанных в технической документации об эксплуатации в определенных температурных режимах;
участвуют в производственном процессе в связи с климатическими, природными или технологическими условиями в течение определенного периода календарного года, но не менее трех месяцев;
в отчетном налоговом периоде использовались в деятельности, направленной на получение дохода.
15. При выбытии фиксированного актива у недропользователя по контракту на разведку и добычу или добычу углеводородов по сложным проектам (за исключением газовых проектов на суше) стоимостный баланс подгруппы (группы) уменьшается на определенную в соответствии с международными стандартами финансовой отчетности и (или) требованиями законодательства Республики Казахстан о бухгалтерском учете и финансовой отчетности на дату выбытия балансовую стоимость с учетом ранее примененного условного коэффициента, установленного пунктом 2-1 статьи 268 настоящего Кодекса.
Сноска. Статья 270 с изменениями, внесенными законами РК от 10.12.2020 № 382-VI (вводится в действие с 01.01.2018); от 11.07.2022 № 135-VII (порядок введения в действие см. ст. 3); от 21.12.2022 № 165-VII (вводится в действие с 01.01.2023).
Статья 271. Исчисление амортизационных отчислений
1. Стоимость фиксированных активов относится на вычеты посредством исчисления амортизационных отчислений в порядке и на условиях, установленных настоящим Кодексом.
2. Если иное не установлено настоящей статьей, амортизационные отчисления по каждой подгруппе, группе определяются путем применения указанных в налоговом регистре по определению стоимостных балансов групп (подгрупп) фиксированных активов и последующим расходам по фиксированным активам норм амортизации, которые не должны превышать предельные нормы, установленные настоящим пунктом, к стоимостному балансу подгруппы, группы на конец налогового периода:
|
№ |
№ группы |
Наименование фиксированных активов |
Предельная норма амортизации (%) |
|
1 |
2 |
3 |
4 |
|
1. |
I |
Здания, сооружения, за исключением нефтяных, газовых скважин и передаточных устройств |
10 |
|
2. |
II |
Машины и оборудование, за исключением машин и оборудования нефтегазодобычи, а также компьютеров и оборудования для обработки информации |
25 |
|
3. |
III |
Компьютеры, программное обеспечение и оборудование для обработки информации |
40 |
|
4. |
IV |
Фиксированные активы, не включенные в другие группы, в том числе нефтяные, газовые скважины, передаточные устройства, машины и оборудование нефтегазодобычи |
15 |
3. Амортизационные отчисления по стоимостным балансам групп (подгрупп), указанным в пункте 10 статьи 267 настоящего Кодекса, определяются путем применения предельных норм амортизации, установленных настоящей статьей, к таким стоимостным балансам групп (подгрупп) на конец налогового периода.
4. По зданиям и сооружениям, за исключением нефтяных, газовых скважин и передаточных устройств, амортизационные отчисления определяются по каждому объекту отдельно.
5. В случае ликвидации или реорганизации налогоплательщика, перехода юридического лица, применяющего специальный налоговый режим на основе упрощенной декларации, на исчисление корпоративного подоходного налога в соответствии с настоящим разделом, а также при прекращении применения специального налогового режима для производителей сельскохозяйственной продукции, продукции аквакультуры (рыбоводства) и сельскохозяйственных кооперативов амортизационные отчисления корректируются на период деятельности в налоговом периоде.
6. Налогоплательщик вправе признавать впервые вводимые в эксплуатацию на территории Республики Казахстан здания и сооружения производственного назначения, машины и оборудование, соответствующие положениям пункта 2 статьи 274 настоящего Кодекса:
фиксированными активами и относить на вычеты их стоимость в порядке, определенном параграфом 3 настоящего раздела, или объектами преференций и относить на вычеты их стоимость при соблюдении условий и в порядке, которые установлены параграфом 4 настоящего раздела.
7. По впервые введенным в эксплуатацию на территории Республики Казахстан фиксированным активам недропользователь вправе в первый налоговый период эксплуатации исчислять амортизационные отчисления по двойным нормам амортизации при условии использования данных фиксированных активов в целях получения совокупного годового дохода не менее трех лет. Данные фиксированные активы в первый налоговый период эксплуатации учитываются отдельно от стоимостного баланса группы. В последующий налоговый период данные фиксированные активы подлежат включению в стоимостный баланс соответствующей группы.
В случае выбытия впервые введенного в эксплуатацию фиксированного актива, по которому исчисление амортизационных отчислений производилось в соответствии с настоящим пунктом, до истечения трехлетнего периода сумма превышения произведенного вычета по указанному фиксированному активу над суммой амортизационных отчислений, определенных по предельным нормам амортизации, предусмотренным настоящей статьей, подлежит включению в совокупный годовой доход того налогового периода, в котором была применена двойная норма амортизации.
Положения настоящего пункта распространяются только на фиксированные активы, которые соответствуют одновременно следующим условиям:
1) являются активами, которые в силу специфики их использования имеют прямую причинно-следственную связь с осуществлением деятельности по контракту (контрактам) на недропользование;
2) в налоговом учете последующие расходы, понесенные недропользователем по данным активам, не подлежат распределению между деятельностью по контракту (контрактам) на недропользование и внеконтрактной деятельностью.
В целях настоящего пункта контрактом на недропользование не признается контракт на добычу подземных вод при условии, что недропользователь, осуществляющий добычу подземных вод, является недропользователем исключительно из-за обладания такого права на добычу подземных вод и использует добытую подземную воду для производства безалкогольных напитков, а также контракт на разведку и добычу или добычу углеводородов по сложным проектам (за исключением газовых проектов на суше).
7-1. С учетом особенностей, предусмотренных пунктом 4 статьи 722-1 настоящего Кодекса, амортизационные отчисления по каждой подгруппе, группе определяются недропользователем по контракту на разведку и добычу или добычу углеводородов по сложным проектам (за исключением газовых проектов на суше) путем применения указанных в налоговом регистре по определению стоимостных балансов групп (подгрупп) фиксированных активов и последующим расходам по фиксированным активам норм амортизации, которые не должны превышать предельные нормы, установленные настоящим пунктом, к стоимостному балансу подгруппы, группы на конец налогового периода:
|
№ |
№ группы |
Наименование фиксированных активов |
Предельная норма амортизации (%) |
|
1 |
2 |
3 |
4 |
|
1. |
I |
Здания, сооружения, за исключением нефтяных, газовых скважин и передаточных устройств |
15 |
|
2. |
II |
Машины и оборудование, за исключением машин и оборудования нефтегазодобычи, а также компьютеров и оборудования для обработки информации |
37,5 |
|
3. |
III |
Компьютеры, программное обеспечение и оборудование для обработки информации |
60 |
|
4. |
IV |
Фиксированные активы, не включенные в другие группы, в том числе нефтяные, газовые скважины, передаточные устройства, машины и оборудование нефтегазодобычи |
22,5 |
8. Налогоплательщики по деятельности, по которой предусмотрено уменьшение исчисленного в соответствии со статьей 302 настоящего Кодекса корпоративного подоходного налога на 100 процентов, производят исчисление амортизационных отчислений путем применения следующих норм амортизации:
организация, реализующая инвестиционный приоритетный проект и не применяющая специальный налоговый режим, – в размере не менее 50 процентов от предельных норм амортизации, установленных настоящей статьей;
иные налогоплательщики – в размере предельных норм амортизации, установленных настоящей статьей.
Сноска. Статья 271 с изменениями, внесенными законами РК от 10.12.2020 № 382-VI (вводится в действие с 01.01.2021); от 21.12.2022 № 165-VII (вводится в действие с 01.01.2023).
Статья 272. Вычет последующих расходов
1. Последующими расходами признаются затраты по эксплуатации, ремонту, реконструкции, модернизации, содержанию, ликвидации и другие затраты, понесенные в отношении следующих активов после признания их в бухгалтерском учете:
1) фиксированных активов, в том числе в период временного прекращения их использования;
2) не относимых к фиксированным активам основных средств, инвестиций в недвижимость, нематериальных и биологических активов, учитываемых в бухгалтерском учете налогоплательщика в соответствии с международными стандартами финансовой отчетности и (или) требованиями законодательства Республики Казахстан о бухгалтерском учете и финансовой отчетности и предназначенных для использования в деятельности, направленной на получение дохода, за исключением активов, указанных:
в подпункте 1) пункта 2 статьи 266 настоящего Кодекса, – в период до момента начала добычи после коммерческого обнаружения;
в подпунктах 7) и 15) пункта 2 статьи 266 настоящего Кодекса;
3) активов, указанных в статье 260 настоящего Кодекса.
К последующим расходам относятся, в том числе, расходы, производимые за счет резервных фондов налогоплательщика, за исключением расходов недропользователей, произведенных за счет средств ликвидационного фонда, отчисления в который относятся на вычеты согласно статье 252 настоящего Кодекса.
Последующими расходами также признаются затраты по эксплуатации, ремонту, реконструкции, модернизации, содержанию и другие затраты, понесенные в отношении имущества, полученного по договору имущественного найма (аренды).
2. Если иное не предусмотрено пунктами 3 и 4 настоящей статьи, сумма последующих расходов, подлежащая отнесению в бухгалтерском учете на увеличение балансовой стоимости активов, относимых к фиксированным активам, активам, указанным в подпункте 14) пункта 2 статьи 266 настоящего Кодекса, а также последующих расходов, указанных в пункте 5 статьи 276 настоящего Кодекса:
1) увеличивает соответствующий виду актива стоимостный баланс группы (подгруппы);
2) при отсутствии соответствующего виду актива стоимостного баланса группы (подгруппы) формирует соответствующий виду актива стоимостный баланс группы (подгруппы) на конец текущего налогового периода.
Последующие расходы, предусмотренные настоящим пунктом, признаются в целях налогообложения в том налоговом периоде, в котором они отнесены на увеличение балансовой стоимости активов в бухгалтерском учете, за исключением случая, предусмотренного пунктом 13 статьи 268 настоящего Кодекса.
Сумма последующих расходов, понесенных в отношении имущества, полученного по договору имущественного найма (аренды), кроме договора лизинга, и признанных в бухгалтерском учете в качестве долгосрочного актива, учитывается в соответствии с подпунктом 4) пункта 1 статьи 266 настоящего Кодекса в качестве фиксированного актива.
3. Налогоплательщик, имеющий право на применение инвестиционных налоговых преференций, вправе по выбору отнести на вычеты последующие расходы на реконструкцию, модернизацию зданий и сооружений производственного назначения, а также машин и оборудования в соответствии с пунктом 2 настоящей статьи или статьями 274 – 276 настоящего Кодекса.
4. По активам, указанным в подпункте 1) пункта 2 статьи 266 настоящего Кодекса, сумма последующих расходов, понесенных с момента начала добычи после коммерческого обнаружения полезных ископаемых, подлежащая отнесению в бухгалтерском учете на увеличение балансовой стоимости таких активов, увеличивает сумму накопленных расходов по группе амортизируемых активов, предусмотренной пунктом 1 статьи 258 настоящего Кодекса, на конец налогового периода, в том числе в случае, когда такая сумма на конец налогового периода равна нулю.
Последующие расходы, предусмотренные настоящим пунктом, признаются в целях налогообложения в том налоговом периоде, в котором они в бухгалтерском учете отнесены на увеличение балансовой стоимости активов.
5. Последующие расходы, в том числе произведенные арендатором в отношении арендуемого имущества, за исключением указанных в пунктах 2 и 4 настоящей статьи, а также последующих расходов, увеличивающих в соответствии с пунктом 6 статьи 228 настоящего Кодекса первоначальную стоимость активов, не подлежащих амортизации, подлежат отнесению на вычеты в том налоговом периоде, в котором они произведены.
Сноска. Статья 272 с изменениями, внесенными законами РК от 02.04.2019 № 241-VI (вводится в действие с 01.01.2018); от 10.12.2020 № 382-VI (вводится в действие с 01.01.2018).
Статья 273. Другие вычеты по фиксированным активам
1. После выбытия, за исключением безвозмездной передачи, фиксированного актива подгруппы (по I группе) сумма в размере стоимостного баланса подгруппы на конец налогового периода признается убытком от выбытия фиксированных активов I группы.
Стоимостный баланс данной подгруппы приравнивается к нулю и не подлежит вычету.
2. После выбытия всех фиксированных активов группы (по II, III и IV группам) стоимостный баланс соответствующей группы на конец налогового периода подлежит вычету, если иное не предусмотрено настоящей статьей.
3. При безвозмездной передаче всех фиксированных активов подгруппы (по I группе) или группы (по II, III и IV группам) стоимостный баланс соответствующей подгруппы или группы на конец налогового периода приравнивается к нулю и не подлежит вычету.
4. Налогоплательщик вправе отнести на вычет величину стоимостного баланса подгруппы (группы) на конец налогового периода, которая составляет сумму меньшую, чем 300-кратный размер месячного расчетного показателя, установленного законом о республиканском бюджете и действующего на последнее число налогового периода.
5. Недропользователь, осуществляющий добычу твердых полезных ископаемых, вправе отнести на вычет величину стоимостного баланса подгруппы (группы) на конец налогового периода. Вычет производится в налоговом периоде, в котором завершены работы по ликвидации последствий разработки всех месторождений по контракту на добычу.
В случае отсутствия совокупного годового дохода или наличия убытка по указанному контракту на добычу вычет производится по другому контракту на добычу такого недропользователя.
При этом размер вычета не должен превышать 150 000-кратный размер месячного расчетного показателя, установленного законом о республиканском бюджете и действующего на последнее число налогового периода.
Параграф 4. Инвестиционные налоговые преференции
Статья 274. Инвестиционные налоговые преференции
1. Инвестиционные налоговые преференции (далее в настоящем параграфе – преференции) применяются по выбору налогоплательщика в соответствии с настоящей статьей и статьями 275 и 276 настоящего Кодекса и заключаются в отнесении на вычеты стоимости объектов преференций и (или) последующих расходов на реконструкцию, модернизацию.
Право на применение преференций имеют юридические лица Республики Казахстан, за исключением указанных в пункте 6 настоящей статьи.
2. К объектам преференций относятся впервые вводимые в эксплуатацию на территории Республики Казахстан здания и сооружения производственного назначения, машины и оборудование, которые в течение не менее трех налоговых периодов, следующих за налоговым периодом ввода в эксплуатацию, соответствуют одновременно следующим условиям:
1) являются активами сроком службы более одного года, переданными концедентом во владение и пользование концессионеру (правопреемнику или юридическому лицу, специально созданному исключительно концессионером для реализации договора концессии) в рамках договора концессии, или основными средствами;
2) используются налогоплательщиком, применившим преференции, в деятельности, направленной на получение дохода;
3) не являются активами, которые в силу специфики их использования имеют прямую причинно-следственную связь с осуществлением деятельности по контракту (контрактам) на недропользование;
4) в налоговом учете последующие расходы, понесенные недропользователем по данным активам, не подлежат распределению между деятельностью по контракту (контрактам) на недропользование и внеконтрактной деятельностью;
5) не являются активами, вводимыми в эксплуатацию в рамках инвестиционного проекта по контрактам, заключенным до 1 января 2009 года в соответствии с законодательством Республики Казахстан в сфере предпринимательства;
6) не являются активами, введенными в эксплуатацию в рамках инвестиционного приоритетного проекта по инвестиционному контракту, заключенному после 31 декабря 2014 года в соответствии с законодательством Республики Казахстан в сфере предпринимательства.
7) не являются активами, по которым произведено уменьшение налогооблагаемого дохода в соответствии с подпунктом 7) части первой пункта 1 статьи 288 настоящего Кодекса.
В целях настоящего пункта контрактом на недропользование не признается контракт на добычу подземных вод при условии, что недропользователь, осуществляющий добычу подземных вод, является недропользователем исключительно из-за обладания такого права на добычу подземных вод и использует добытую подземную воду для производства безалкогольных напитков.
3. Последующие расходы на реконструкцию, модернизацию зданий и сооружений производственного назначения, машин и оборудования подлежат отнесению на вычеты в том налоговом периоде, в котором они фактически произведены, при соответствии таких зданий и сооружений, машин и оборудования одновременно следующим условиям:
1) учитываются в бухгалтерском учете налогоплательщика в качестве основных средств в соответствии с международными стандартами финансовой отчетности и (или) требованиями законодательства Республики Казахстан о бухгалтерском учете и финансовой отчетности;
2) предназначены для использования в деятельности, направленной на получение дохода, в течение не менее трех налоговых периодов, следующих за налоговым периодом ввода в эксплуатацию после осуществления реконструкции, модернизации;
3) временно выведены из эксплуатации на период осуществления реконструкции, модернизации;
4) не являются активами, которые в силу специфики их использования имеют прямую причинно-следственную связь с осуществлением деятельности по контракту (контрактам) на недропользование;
5) в налоговом учете последующие расходы, понесенные недропользователем по данным активам, не подлежат распределению между деятельностью по контракту (контрактам) на недропользование и внеконтрактной деятельностью.
Для целей применения преференций реконструкция, модернизация основного средства – вид последующих расходов, результатами которых одновременно являются:
изменение, в том числе обновление, конструкции основного средства;
увеличение срока службы основного средства более чем на три года;
улучшение технических характеристик основного средства по сравнению с его техническими характеристиками на начало календарного месяца, в котором данное основное средство временно выведено из эксплуатации для осуществления реконструкции, модернизации.
4. В целях настоящей статьи к зданиям производственного назначения относятся нежилые здания (части нежилых зданий), кроме:
торговых зданий (части таких зданий);
зданий культурно-развлекательного назначения (части таких зданий);
зданий гостиниц, ресторанов и других зданий для краткосрочного проживания, общественного питания (части таких зданий);
офисных зданий (части таких зданий);
гаражей для автомобилей (части таких зданий);
автостоянок (части таких зданий).
Для целей применения преференций к сооружениям производственного назначения относятся сооружения, кроме сооружений для спорта и мест отдыха, сооружений культурно-развлекательного, гостиничного, ресторанного назначения, для административных целей, для стоянки или парковки автомобилей.
5. Для целей применения преференций первым вводом в эксплуатацию вновь возведенного на территории Республики Казахстан здания (части здания) являются:
1) при строительстве путем заключения договора строительного подряда – передача объекта строительства застройщиком заказчику после подписания акта ввода в эксплуатацию здания (части здания) в соответствии с законодательством Республики Казахстан об архитектурной, градостроительной и строительной деятельности;
2) в остальных случаях – подписание акта ввода в эксплуатацию здания (части здания) в соответствии с законодательством Республики Казахстан об архитектурной, градостроительной и строительной деятельности.
6. Не имеют права на применение преференций налогоплательщики, соответствующие одному или более чем одному из следующих условий:
1) налогообложение налогоплательщика осуществляется в соответствии с разделом 21 настоящего Кодекса;
2) налогоплательщик осуществляет производство и (или) реализацию всех видов спирта, алкогольной продукции, табачных изделий;
3) налогоплательщик применяет специальный налоговый режим, предусмотренный главой 78 настоящего Кодекса.
Сноска. Статья 274 с изменениями, внесенными законами РК от 10.12.2020 № 382-VI (порядок введения в действие см. ст. 2); от 24.06. 2021 № 53-VII (вводится в действие с 01.01.2022).
Статья 275. Применение преференций
1. Применение преференций осуществляется по одному из следующих методов:
1) методу вычета после ввода объекта в эксплуатацию;
2) методу вычета до ввода объекта в эксплуатацию.
2. Применение метода вычета после ввода объекта в эксплуатацию заключается в отнесении на вычеты первоначальной стоимости объектов преференций, определенной в соответствии с пунктами 2 и 3 статьи 276 настоящего Кодекса, равными долями в течение первых трех налоговых периодов эксплуатации или единовременно в налоговом периоде, в котором осуществлен ввод в эксплуатацию.
3. Применение метода вычета до ввода объекта в эксплуатацию заключается в отнесении на вычеты затрат на строительство, производство, приобретение, монтаж и установку объектов преференций, а также последующих расходов на реконструкцию, модернизацию зданий и сооружений производственного назначения, машин и оборудования до ввода их в эксплуатацию в налоговом периоде, в котором фактически произведены такие затраты.
4. Если иное не предусмотрено пунктом 5 настоящей статьи, преференции аннулируются с даты начала их применения и налогоплательщик обязан уменьшить вычеты на сумму преференций за каждый налоговый период, в котором они были применены, если в течение трех налоговых периодов, следующих за налоговым периодом ввода в эксплуатацию зданий и сооружений производственного назначения, машин и оборудования, по которым применены преференции, в любом из следующих случаев:
1) налогоплательщиком допущено нарушение положений пунктов 2 – 4 статьи 274 настоящего Кодекса;
2) наступил случай, когда налогоплательщик, применивший преференции, или его правопреемник, в случае реорганизации такого налогоплательщика, соответствует любому из положений пункта 6 статьи 274 настоящего Кодекса.
5. При реорганизации юридического лица путем выделения в соответствии с решением Правительства Республики Казахстан аннулирование преференций у реорганизованного лица не производится в случае, если установленное пунктом 2 статьи 274 настоящего Кодекса требование об использовании объектов преференций в деятельности, направленной на получение дохода, в течение не менее трех налоговых периодов, следующих за налоговым периодом ввода в эксплуатацию, не исполнено вследствие такой реорганизации.
Настоящий пункт применяется при одновременном соблюдении следующих условий:
1) контрольный пакет акций реорганизуемого юридического лица на дату реорганизации принадлежит национальному управляющему холдингу;
2) реорганизуемое юридическое лицо передает объекты, по которым применены преференции, вновь возникшим в результате реорганизации юридическим лицам;
3) передача объектов преференций осуществлена в течение трех лет с даты государственной регистрации вновь возникших в результате реорганизации юридических лиц в регистрирующем органе.
Сноска. Статья 275 с изменением, внесенным Законом РК от 02.04.2019 № 241-VI (вводится в действие с 01.07.2019).
Статья 276. Особенности налогового учета объектов преференций
1. Налогоплательщик осуществляет учет объектов преференций, а также последующих расходов на реконструкцию, модернизацию зданий и сооружений производственного назначения, машин и оборудования отдельно от фиксированных активов в течение трех налоговых периодов, следующих за налоговым периодом ввода в эксплуатацию зданий и сооружений производственного назначения, машин и оборудования, по которым применены преференции, если иное не установлено настоящей статьей.
Объекты преференций и последующие расходы на реконструкцию, модернизацию зданий и сооружений производственного назначения, машин и оборудования учитываются в разрезе каждого объекта, по которому применена преференция.
2. В первоначальную стоимость объекта преференций, являющегося основным средством, включаются затраты, понесенные налогоплательщиком до дня ввода данного объекта в эксплуатацию. К таким затратам относятся затраты на приобретение объекта, его производство, строительство, монтаж и установку, а также другие затраты, увеличивающие его стоимость в соответствии с международными стандартами финансовой отчетности и (или) требованиями законодательства Республики Казахстан о бухгалтерском учете и финансовой отчетности, кроме:
затрат (расходов), не подлежащих отнесению на вычеты в соответствии с подпунктами 2), 3), 4) и 5) статьи 264 настоящего Кодекса;
амортизационных отчислений;
затрат (расходов), возникающих в бухгалтерском учете и не рассматриваемых как расход в целях налогообложения в соответствии с пунктом 5 статьи 242 настоящего Кодекса.
3. Первоначальная стоимость активов сроком службы более одного года, переданных концедентами во владение и пользование концессионеру (правопреемнику или юридическому лицу, специально созданному исключительно концессионером для реализации договора концессии) в рамках договора концессии, определяется в соответствии с пунктом 10 статьи 268 настоящего Кодекса.
4. Активы, по которым преференции аннулированы, признаются фиксированными активами со дня их ввода в эксплуатацию при соответствии положениям пункта 1 статьи 266 настоящего Кодекса и включаются в соответствующий виду такого актива стоимостный баланс группы (подгруппы) в порядке, определенном статьями 267 и 268 настоящего Кодекса.
5. При аннулировании преференций по последующим расходам на реконструкцию, модернизацию зданий и сооружений производственного назначения, машин и оборудования такие расходы учитываются в порядке, определенном пунктом 2 статьи 272 настоящего Кодекса.
6. Объект преференций по истечении трех налоговых периодов, следующих за налоговым периодом ввода объекта преференций в эксплуатацию, кроме указанных в пункте 4 настоящей статьи, признается фиксированным активом при соответствии положениям пункта 1 статьи 266 настоящего Кодекса и включается в соответствующий виду такого актива стоимостный баланс группы (подгруппы) в порядке, определенном статьями 267 и 268 настоящего Кодекса.
Сноска. Статья 276 с изменением, внесенным Законом РК от 10.12.2020 № 382-VI (вводится в действие с 01.01.2018).
Параграф 5. Производные финансовые инструменты
Статья 277. Общие положения
1. В целях налогообложения производные финансовые инструменты подразделяются на производные финансовые инструменты, используемые:
1) в целях хеджирования;
2) в целях поставки базового актива;
3) в иных целях.
2. По каждому производному финансовому инструменту определяется доход или убыток в соответствии со статьями 278, 279 и пунктом 3 статьи 299 настоящего Кодекса.
3. В случае применения производного финансового инструмента в целях хеджирования или поставки базового актива налоговый учет производного финансового инструмента осуществляется в соответствии со статьями 280 и 281 настоящего Кодекса.
4. Доход по производным финансовым инструментам образуется по доходам по производным финансовым инструментам, используемым в иных целях, чем в целях хеджирования или поставки базового актива, и определяется в следующем порядке:
общая сумма доходов по производным финансовым инструментам, используемым в иных целях, чем в целях хеджирования или поставки базового актива, определенных в соответствии со статьями 278 и 279 настоящего Кодекса,
минус
общая сумма убытков по производным финансовым инструментам, используемым в иных целях, чем в целях хеджирования или поставки базового актива, за отчетный налоговый период
минус
убытки по производным финансовым инструментам, переносимые из предыдущих налоговых периодов.
Статья 278. Доход по производному финансовому инструменту, за исключением производного финансового инструмента с длительным сроком исполнения
1. Доход по производному финансовому инструменту, за исключением производного финансового инструмента, доход по которому определяется в соответствии со статьей 279 настоящего Кодекса, определяется как превышение поступлений над расходами по производному финансовому инструменту.
В целях налогового учета такой доход признается на день исполнения, досрочного или иного прекращения прав или обязательств налогоплательщика по производному финансовому инструменту, а также на день совершения сделки с производным финансовым инструментом, требования по которому компенсируют полностью или частично обязательства по ранее совершенной сделке с производным финансовым инструментом.
2. Поступлениями по производному финансовому инструменту являются платежи, подлежащие получению (полученные) по данному производному финансовому инструменту при промежуточных расчетах в течение срока сделки, а также на день исполнения или досрочного прекращения.
3. Расходами по производному финансовому инструменту являются платежи, подлежащие выплате (выплаченные) по данному производному финансовому инструменту при промежуточных расчетах в течение срока сделки, а также на день исполнения или досрочного прекращения.
Статья 279. Доход по производному финансовому инструменту с длительным сроком исполнения
1. Доход по свопу, а также иному производному финансовому инструменту, срок действия которого превышает двенадцать месяцев со дня его заключения и исполнение которого предусматривает осуществление платежей до окончания срока действия финансового инструмента, размер которых зависит от изменения цены, курса валюты, показателей процентных ставок, индексов и иного установленного таким производным финансовым инструментом показателя, определяется как превышение поступлений над расходами с учетом положений, установленных настоящей статьей.
В целях налогового учета доход по производному финансовому инструменту, указанному в настоящем пункте, признается в каждом налоговом периоде, в котором возникает превышение, указанное в настоящем пункте.
2. Поступлениями по производному финансовому инструменту, указанному в пункте 1 настоящей статьи, являются платежи, подлежащие получению (полученные) по данному производному финансовому инструменту в течение отчетного налогового периода.
3. Расходами по производному финансовому инструменту, указанному в пункте 1 настоящей статьи, являются подлежащие выплате (уплаченные) в течение отчетного налогового периода платежи по данному производному финансовому инструменту.
Статья 280. Особенности налогового учета по операциям хеджирования
1. Хеджированием являются операции с производными финансовыми инструментами, совершаемые с целью снижения возможных убытков в результате неблагоприятного изменения цены, валютного курса, процентной ставки или иного показателя объекта хеджирования и признанные инструментами хеджирования в бухгалтерском учете налогоплательщика в соответствии с международными стандартами финансовой отчетности и (или) требованиями законодательства Республики Казахстан о бухгалтерском учете и финансовой отчетности. Объектами хеджирования признаются активы и (или) обязательства, а также потоки денег, связанные с указанными активами и (или) обязательствами или с ожидаемыми сделками.
2. Для подтверждения обоснованности отнесения операций с производными финансовыми инструментами к операциям хеджирования налогоплательщик составляет расчет, подтверждающий, что совершение данных операций приводит (может привести) к снижению размера возможных убытков (недополучению прибыли) по сделкам с объектом хеджирования.
3. Доход или убыток по производному финансовому инструменту, по которому объектом хеджирования является конкретная сделка, учитывается в соответствии с нормами настоящего Кодекса, установленными для объекта хеджирования, на день признания в налоговом учете результата хеджируемой сделки.
4. Доход или убыток по производному финансовому инструменту, по которому объектом хеджирования не является конкретная сделка, соответственно включается в совокупный годовой доход или относится на вычеты в том налоговом периоде, в котором такой доход или убыток признан в соответствии со статьями 278 и 279 настоящего Кодекса.
Сноска. Статья 280 с изменением, внесенным Законом РК от 10.12.2020 № 382-VI (вводится в действие с 01.01.2018).
Статья 281. Особенности налогового учета при исполнении путем поставки базового актива
1. Если производный финансовый инструмент применяется в целях приобретения или реализации базового актива, то расходы, подлежащие выплате (понесенные), и платежи, подлежащие получению (полученные) в результате приобретения или реализации указанного базового актива, не относятся к расходам и поступлениям по производным финансовым инструментам.
2. Поступления и расходы от операций, указанных в пункте 1 настоящей статьи, учитываются в целях налогового учета в соответствии с нормами настоящего Кодекса, установленными для базового актива.
Параграф 6. Долгосрочные контракты
Статья 282. Общие положения
1. Долгосрочным контрактом является контракт (договор) на производство, установку, строительство, не завершенный в пределах налогового периода, в котором были начаты предусмотренные по контракту производство, установка, строительство.
2. Налоговый учет ведется по каждому долгосрочному контракту отдельно.
3. Доход по долгосрочному контракту определяется по выбору налогоплательщика по фактическому методу или методу завершения по каждому долгосрочному контракту отдельно.
Выбранный метод определения доходов указывается в налоговом регистре, предназначенном для отражения применяемых методов по каждому долгосрочному контракту, и не может изменяться в течение срока действия долгосрочного контракта.
При отсутствии такого налогового регистра или информации в нем о выбранном методе таким методом признается фактический метод.
4. Сумма понесенных за налоговый период расходов по долгосрочному контракту подлежит отнесению на вычеты в соответствии с параграфами 2, 3 и 4 настоящего раздела.
Статья 283. Порядок определения дохода по долгосрочному контракту при применении фактического метода
1. По фактическому методу доходом по долгосрочному контракту за отчетный налоговый период признается доход, подлежащий получению (полученный) за отчетный налоговый период, но не менее суммы расходов, понесенных за такой период по долгосрочному контракту.
2. В случае, если в течение срока действия долгосрочного контракта доход по такому контракту, определенный в соответствии с пунктом 1 настоящей статьи, превышает общую сумму дохода по долгосрочному контракту, определяемого за весь период его действия, доходом по долгосрочному контракту признается:
1) в налоговом периоде, в котором произошло такое превышение, – доход в размере положительной разницы между общей суммой дохода по долгосрочному контракту, определяемого за весь период его действия, и суммой дохода по такому контракту, включенного в совокупный годовой доход в предыдущих налоговых периодах действия долгосрочного контракта;
2) в последующие налоговые периоды действия долгосрочного контракта – сумма, равная нулю.
Статья 284. Порядок определения дохода по долгосрочному контракту при применении метода завершения
1. При применении метода завершения доход по долгосрочному контракту в целях налогообложения за отчетный налоговый период определяется в следующем порядке:
произведение общей суммы дохода по долгосрочному контракту, подлежащей получению по данному контракту за весь период его действия, и доли исполнения такого контракта за текущий налоговый период
минус
доход по такому долгосрочному контракту в целях налогообложения за предыдущие налоговые периоды.
2. Если иное не установлено настоящей статьей, доля исполнения долгосрочного контракта исчисляется по следующей формуле:
А/(А+Б), где:
А – расходы по долгосрочному контракту, отнесенные на вычеты в соответствии с настоящим Кодексом за предыдущие и отчетный налоговые периоды;
Б – расходы по долгосрочному контракту, которые должны быть произведены в соответствии с проектно-сметной документацией в последующие налоговые периоды для завершения работ по долгосрочному контракту, подлежащие отнесению на вычеты в последующие налоговые периоды действия долгосрочного контракта.
3. В налоговом периоде, в котором заканчивается срок действия долгосрочного контракта, доля исполнения такого долгосрочного контракта равна единице.
Статья 285. Особенности определения размера совокупного годового дохода и вычетов для целей корпоративного подоходного налога при передаче углеводородов в случае исполнения налогового обязательства в натуральной форме
В случае исполнения недропользователем налогового обязательства по уплате налогов в натуральной форме на дату передачи полезных ископаемых получателю от имени государства:
1) сумма исполненного налогового обязательства по уплате налогов, исполненного в натуральной форме, подлежит включению в совокупный годовой доход;
2) себестоимость полезных ископаемых, переданных в счет уплаты налогов в натуральной форме, относится на вычеты;
3) сумма исполненного налогового обязательства по уплате налогов в натуральной форме относится на вычеты в порядке, определенном статьей 263 настоящего Кодекса.
Параграф 7. Корректировка доходов и вычетов
Статья 286. Общие положения
Корректировкой признается увеличение или уменьшение размера дохода или вычета отчетного налогового периода в пределах суммы ранее признанного дохода или вычета в случаях, установленных статьей 287 настоящего Кодекса.
Статья 287. Корректировка доходов и вычетов
1. Доходы или вычеты подлежат корректировке в случаях:
1) полного или частичного возврата товаров;
2) изменения условий сделки;
3) изменения цены, компенсации за реализованные или приобретенные товары, работы, услуги. Положение данного подпункта применяется также при изменении суммы, подлежащей оплате в национальной валюте за реализованные или приобретенные товары, выполненные работы, оказанные услуги исходя из условий договора;
4) скидки с цены, скидки с продаж;
5) списания требования, по которому корректировка дохода производится в соответствии с пунктом 2 настоящей статьи.
2. Корректировка дохода производится налогоплательщиком-кредитором при списании требования с:
юридического лица;
индивидуального предпринимателя;
юридического лица-нерезидента, осуществляющего деятельность в Республике Казахстан через постоянное учреждение, по требованиям, относящимся к деятельности такого постоянного учреждения.
Корректировка дохода, предусмотренная настоящим пунктом, осуществляется в случаях:
1) невостребования налогоплательщиком-кредитором требования при ликвидации налогоплательщика-дебитора на день утверждения его ликвидационного баланса;
2) списания требования по вступившему в законную силу решению суда.
Корректировка производится при соблюдении одновременно следующих условий:
1) наличие первичных документов, подтверждающих возникновение требования;
2) отражение требования в бухгалтерском учете на дату корректировки дохода либо отнесение на расходы (списание) в бухгалтерском учете в предыдущих периодах. Корректировка дохода производится в пределах суммы списанного требования и ранее признанного дохода по такому требованию.
К требованиям, признанным сомнительными в соответствии с настоящим Кодексом, положения настоящего пункта не применяются.
3. Корректировка дохода не производится при уменьшении размера требований в связи с их передачей по договору купли-продажи предприятия как имущественного комплекса.
4. Корректировка доходов и вычетов производится в том налоговом периоде, в котором наступили случаи, указанные в пункте 1 настоящей статьи.
Глава 29. УМЕНЬШЕНИЕ ИЛИ УВЕЛИЧЕНИЕ НАЛОГООБЛАГАЕМОГО ДОХОДА (УМЕНЬШЕНИЕ УБЫТКА) И ОСВОБОЖДЕНИЕ ОТ НАЛОГООБЛОЖЕНИЯ НЕКОТОРЫХ КАТЕГОРИЙ НАЛОГОПЛАТЕЛЬЩИКОВ
Статья 288. Уменьшение налогооблагаемого дохода
1. Налогоплательщик имеет право на уменьшение налогооблагаемого дохода на следующие виды расходов:
1) налогоплательщики, состоявшие в налоговом периоде на мониторинге крупных налогоплательщиков, – в размере общей суммы, не превышающей 3 процента от налогооблагаемого дохода:
сумму превышения фактически понесенных расходов над подлежащими получению (полученными) доходами при эксплуатации объектов социальной сферы, предусмотренных статьей 239 настоящего Кодекса;
стоимость безвозмездно переданного имущества, получателем которого является:
некоммерческая организация;
организация, осуществляющая деятельность в социальной сфере;
благотворительную помощь при наличии решения налогоплательщика на основании обращения со стороны лица, получающего помощь.
Положения настоящего подпункта применяются также в отношении налогооблагаемого дохода по контрактной деятельности недропользователя;
2) налогоплательщики, за исключением налогоплательщиков, указанных в подпункте 1) настоящего пункта, – в размере общей суммы, не превышающей 4 процента от налогооблагаемого дохода:
сумму превышения фактически понесенных расходов над подлежащими получению (полученными) доходами при эксплуатации объектов социальной сферы, предусмотренных статьей 239 настоящего Кодекса;
стоимость безвозмездно переданного имущества, получателем которого является:
некоммерческая организация;
организация, осуществляющая деятельность в социальной сфере;
благотворительную помощь при наличии решения налогоплательщика на основании обращения со стороны лица, получающего помощь.
Положения настоящего подпункта применяются также в отношении налогооблагаемого дохода по контрактной деятельности недропользователя;
3) 2-кратный размер произведенных расходов на оплату труда лиц с инвалидностью и на 50 процентов от суммы исчисленного социального налога от заработной платы и других выплат лицам с инвалидностью;
3-1) субъекты социального предпринимательства, включенные в реестр субъектов социального предпринимательства, – в размере произведенных расходов на оплату обучения по освоению профессии, профессиональной подготовки, переподготовки или повышения квалификации работников, являющихся лицами с инвалидностью; родителями и другими законными представителями, воспитывающими ребенка с инвалидностью; пенсионерами и гражданами предпенсионного возраста (в течение пяти лет до наступления возраста, дающего право на пенсионные выплаты по возрасту); воспитанниками детских деревень и выпускниками детских домов, школ-интернатов для детей-сирот и детей, оставшихся без попечения родителей, в возрасте до двадцати девяти лет; лицами, освобожденными от отбывания наказания из учреждений уголовно-исполнительной (пенитенциарной) системы, в течение двенадцати месяцев после освобождения; кандасами, но не более 120-кратного размера месячного расчетного показателя, установленного законом о республиканском бюджете и действующего на 1 января соответствующего финансового года, на одного работника за налоговый период.
При изменении статуса работника, предусмотренного частью первой настоящего подпункта, уменьшение размера налогооблагаемого дохода производится исходя из удельного веса месяцев в налоговом периоде, когда работник являлся лицом с инвалидностью; родителем и другим законным представителем, воспитывающим ребенка с инвалидностью; пенсионером и гражданином предпенсионного возраста (в течение пяти лет до наступления возраста, дающего право на пенсионные выплаты по возрасту); воспитанником детских деревень и выпускником детских домов, школ-интернатов для детей-сирот и детей, оставшимся без попечения родителей, в возрасте до двадцати девяти лет; лицом, освобожденным от отбывания наказания из учреждений уголовно-исполнительной (пенитенциарной) системы, в течение двенадцати месяцев после освобождения; кандасом.
При применении уменьшения налогооблагаемого дохода в налоговом периоде в отношении работника в последующих налоговых периодах такое уменьшение не применяется;
3-2) затраты по приобретению у нерезидента – взаимосвязанной стороны, зарегистрированной в государстве с льготным налогообложением, управленческих, консультационных, консалтинговых, аудиторских, дизайнерских, юридических, бухгалтерских, адвокатских, рекламных, маркетинговых, франчайзинговых, финансовых (за исключением расходов по вознаграждению), инжиниринговых, агентских услуг, роялти, прав на использование объектов интеллектуальной собственности – в размере общей суммы, не превышающей 3 процента от налогооблагаемого дохода.
В целях настоящего подпункта взаимосвязанными сторонами признаются взаимосвязанные стороны, признанные таковыми в соответствии с подпунктом 23) статьи 264 настоящего Кодекса;
4) расходы на обучение физического лица, не состоящего с налогоплательщиком в трудовых отношениях, при условии заключения с физическим лицом договора об обязательстве отработать у налогоплательщика не менее трех лет.
В целях настоящего подпункта расходы на обучение включают:
фактически произведенные расходы на оплату обучения;
фактически произведенные расходы на проживание в пределах норм, установленных уполномоченным органом;
расходы на выплату обучаемому лицу суммы денег в размерах, определенных налогоплательщиком, но не превышающих нормы, установленные уполномоченным органом;
фактически произведенные расходы на проезд к месту учебы при поступлении и обратно после завершения обучения;
фактически произведенные расходы по страхованию на случай болезни обучаемого лица в период временного пребывания за пределами Республики Казахстан в период обучения.
Положения настоящего подпункта не применяются в случаях:
незаключения трудового договора с физическим лицом, по расходам на обучение которого применены положения настоящего подпункта, в течение трех месяцев со дня окончания обучения физическим лицом, за исключением случая возмещения физическим лицом расходов на обучение полностью или частично в течение периода времени, включающего налоговый период, в котором окончено обучение физического лица, а также последующий налоговый период. В случае такого возмещения положения настоящего подпункта не применяются в размере суммы расходов на обучение, не возмещенной физическим лицом;
расторжения трудового договора с физическим лицом, по расходам на обучение которого применены положения настоящего подпункта, до истечения трех лет с даты заключения трудового договора с таким лицом, за исключением случая возмещения физическим лицом расходов на обучение полностью или частично в течение периода времени, включающего налоговый период, в котором произведено расторжение трудового договора, а также последующий налоговый период. В случае такого возмещения положения настоящего подпункта не применяются в размере суммы расходов на обучение, не возмещенной физическим лицом;
применения недропользователем в отношении таких расходов на обучение положений статьи 261 настоящего Кодекса;
5) стоимость безвозмездно переданного имущества, получателем которого является автономная организация образования, определенная пунктом 1 статьи 291 настоящего Кодекса;
5-1) в размере 50 процентов от суммы отнесенных на вычеты в соответствии со статьей 254 настоящего Кодекса расходов (затрат) на:
научно-исследовательские, научно-технические и (или) опытно-конструкторские работы в связи с созданием объекта промышленной собственности, включая работы, по которым имеется охранный документ;
приобретение исключительных прав на объекты интеллектуальной собственности у организаций высшего и (или) послевузовского образования, научных организаций и стартап-компаний по лицензионному договору или договору уступки исключительного права с целью коммерциализации результатов научной и (или) научно-технической деятельности.
Положения настоящего подпункта применяются в случае проведения указанных работ и (или) внедрения (использования) результатов научной и (или) научно-технической деятельности на территории Республики Казахстан.
Подтверждением проведения научно-исследовательских, научно-технических и опытно-конструкторских работ и (или) внедрения (использования) результата указанных работ и (или) результатов научной и (или) научно-технической деятельности является акт внедрения (использования) результатов научной и (или) научно-технической деятельности, составленный по форме и согласованный в порядке, которые определяются уполномоченным органом в области науки по согласованию с уполномоченными органами соответствующей отрасли.
6) Действовал до 01.01.2023 в соответствии с Законом РК от 25.12.2017 № 121-VI.
7) приобретение или строительство зданий и сооружений производственного назначения, которые соответствуют требованиям пункта 4 статьи 274 настоящего Кодекса.
Положения настоящего подпункта применяются субъектом малого предпринимательства в соответствии с Предпринимательским кодексом Республики Казахстан, осуществляющим деятельность в обрабатывающей промышленности, применяющим общеустановленный порядок налогообложения, в сумме, не превышающей суммы налогооблагаемого дохода за отчетный налоговый период.
Активы, предусмотренные частью первой настоящего подпункта, не признаются фиксированными активами в соответствии с параграфом 3 раздела 7 настоящего Кодекса и не являются объектом преференций в целях применения параграфа 4 раздела 7 настоящего Кодекса.
В целях настоящего пункта стоимость безвозмездно переданного имущества определяется:
при передаче денег – в размере переданных денег;
при выполнении работ, оказании услуг – в размере расходов, понесенных на выполнение таких работ, оказание таких услуг;
по иному имуществу – в размере балансовой стоимости переданного имущества, указанной в акте приема-передачи названного имущества.
2. Налогоплательщик имеет право на уменьшение налогооблагаемого дохода на следующие виды доходов:
1) вознаграждение по договору лизинга, за исключением неустойки (штрафа, пени);
2) вознаграждение по долговым ценным бумагам, находящимся на дату начисления такого вознаграждения в официальном списке фондовой биржи, функционирующей на территории Республики Казахстан;
Примечание ИЗПИ!
Подпункт 3) предусмотрен в редакции Закона РК от 12.12.2023 № 45-VIII (вводится в действие с 01.01.2030).
3) вознаграждение по государственным эмиссионным ценным бумагам, агентским облигациям;
Примечание ИЗПИ!
Подпункт 4) предусмотрено исключить Законом РК от 12.12.2023 № 45-VIII (вводится в действие с 01.01.2030).
4) доходы от прироста стоимости при реализации государственных эмиссионных ценных бумаг, уменьшенные на убытки от реализации государственных эмиссионных ценных бумаг;
5) доходы от прироста стоимости при реализации агентских облигаций, уменьшенные на убытки, возникшие от реализации агентских облигаций;
6) стоимость имущества, полученного в виде гуманитарной помощи в случае возникновения чрезвычайных ситуаций природного и техногенного характера и использованного по назначению;
7) стоимость основных средств, полученных на безвозмездной основе республиканским государственным предприятием от государственного органа или республиканского государственного предприятия на основании решения Правительства Республики Казахстан;
Примечание РЦПИ!
В часть первую подпункта 8) предусмотрено изменение Законом РК от 26.12.2018 № 203-VI (вводятся в действие 01.01.2029).
8) доходы от прироста стоимости при реализации акций, выпущенных юридическим лицом-резидентом, или долей участия в юридическомлице-резиденте или консорциуме, созданном в Республике Казахстан, уменьшенные на убытки, возникшие от реализации акций, выпущенных юридическим лицом-резидентом, или долей участия в юридическом лице-резиденте или консорциуме, созданном в Республике Казахстан, если иное не установлено подпунктами 9) и 11) настоящего пункта, при одновременном выполнении следующих условий:
на день реализации акций или долей участия налогоплательщик владеет данными акциями или долями участия более трех лет;
такое юридическое лицо-эмитент или такое юридическое лицо, доля участия в котором реализуется, или участник такого консорциума, который реализует долю участия в таком консорциуме, не является недропользователем;
имущество лиц (лица), являющихся (являющегося) недропользователями (недропользователем), в стоимости активов такого юридического лица-эмитента или такого юридического лица, доля участия в котором реализуется, или общей стоимости активов участников такого консорциума, доля участия в котором реализуется, на день такой реализации составляет не более 50 процентов.
Указанный в настоящем подпункте срок владения налогоплательщиком акциями или долями участия определяется совокупно с учетом сроков владения акциями или долями участия прежними собственниками, если такие акции или доли участия получены налогоплательщиком в результате реорганизации прежних собственников.
В целях настоящего подпункта недропользователем не признается недропользователь, являющийся таковым исключительно из-за обладания правом на добычу подземных вод и (или) общераспространенных полезных ископаемых для собственных нужд, а также недропользователь, осуществляющий в течение двенадцатимесячного периода, предшествовавшего первому числу месяца, в котором реализованы акции или доли участия, последующую переработку (после первичной переработки) не менее 70 процентов добытого за указанный период минерального сырья, включая уголь, на собственных и (или) принадлежащих юридическому лицу-резиденту, являющемуся взаимосвязанной стороной, производственных мощностях, расположенных на территории Республики Казахстан.
При определении объема минерального сырья, включая уголь, направленного на последующую переработку, учитывается сырье:
направленное непосредственно на производство продукции, полученной в результате любой переработки, следующей за первичной переработкой;
использованное в производстве продукции первичной переработки в целях ее дальнейшего использования в последующей переработке.
При этом доля имущества лиц (лица), являющихся (являющегося) недропользователями (недропользователем), в стоимости активов юридического лица или консорциума, чьи акции или доли участия реализуются, определяется в соответствии со статьей 650 настоящего Кодекса;
9) доходы от прироста стоимости при реализации методом открытых торгов на фондовой бирже, функционирующей на территории Республики Казахстан, ценных бумаг, находящихся на день реализации в официальных списках данной фондовой биржи, уменьшенные на убытки, возникшие от реализации методом открытых торгов на фондовой бирже, функционирующей на территории Республики Казахстан, ценных бумаг, находящихся на день реализации в официальных списках данной фондовой биржи;
Примечание РЦПИ!
Подпункт 10) действует до 01.01.2027 в соответствии с Законом РК от 25.12.2017 № 121-VI.
10) вознаграждение по договору банковского вклада, полученное организацией устойчивости, 100 процентов голосующих акций которой принадлежат Национальному Банку Республики Казахстан, в рамках Программы рефинансирования ипотечных жилищных займов (ипотечных займов), переданной организацией, специализирующейся на улучшении качества кредитных портфелей банков второго уровня, единственным акционером которой является Правительство Республики Казахстан;
Примечание РЦПИ!
Подпункт 11) действует до 01.01.2029 в соответствии с Законом РК от 26.12.2018 № 203-VI.
11) доходы от прироста стоимости при реализации акций, выпущенных юридическими лицами, указанными в подпункте 6) пункта 1 статьи 293 настоящего Кодекса, долей участия в юридических лицах, указанных в подпункте 6) пункта 1 статьи 293 настоящего Кодекса, уменьшенные на убытки, возникшие от реализации акций, выпущенных юридическими лицами, указанными в подпункте 6) пункта 1 статьи 293 настоящего Кодекса, долей участия в юридических лицах, указанных в подпункте 6) пункта 1 статьи 293 настоящего Кодекса.
Примечание ИЗПИ!
Пункт 2 предусмотрено дополнить частью второй в соответствии с Законом РК от 12.12.2023 № 45-VIII (вводится в действие с 01.01.2030).
Сноска. Статья 288 с изменениями, внесенными законами РК от 20.06.2018 № 161-VI (вводится в действие по истечении десяти календарных дней после дня его первого официального опубликования); от 26.12.2018 № 203-VI (вводится в действие с 01.01.2019); от 10.12.2020 № 382-VI (порядок введения в действие см. ст. 2); от 24.06. 2021 № 53-VII (вводится в действие с 01.01.2022); от 11.07.2022 № 135-VII (вводится в действие с 01.01.2023); от 12.12.2023 № 45-VIII (вводится в действие с 01.01.2023); от 01.07.2024 № 105-VIII (вводится в действие с 01.01.2025).
Статья 289. Налогообложение некоммерческих организаций
1. Для целей настоящего Кодекса некоммерческой организацией признается организация, зарегистрированная в форме, установленной гражданским законодательством Республики Казахстан для некоммерческой организации, за исключением акционерных обществ, учреждений и потребительских кооперативов, кроме объединений собственников имущества многоквартирного жилого дома, кооперативов собственников квартир (нежилых помещений), которые осуществляют деятельность в общественных интересах и соответствует следующим условиям:
1) не имеет цели извлечения дохода в качестве такового;
2) не распределяет полученный чистый доход или имущество между участниками.
2. При соблюдении условий, указанных в пункте 1 настоящей статьи, следующие доходы некоммерческой организации подлежат исключению из совокупного годового дохода:
доход по договору на осуществление государственного социального заказа;
вознаграждения по депозитам;
вступительные и членские взносы;
взносы собственников квартир, нежилых помещений многоквартирного жилого дома;
превышение суммы положительной курсовой разницы над суммой отрицательной курсовой разницы, возникшее по размещенным на депозите деньгам, в том числе по вознаграждениям по ним;
доход в виде безвозмездно полученного имущества, в том числе благотворительной помощи, гранта, включая указанный в подпункте 13) пункта 1 статьи 1 настоящего Кодекса, спонсорской помощи, денег и другого имущества, полученных на безвозмездной основе.
Для целей настоящего пункта взносами собственников квартир, нежилых помещений многоквартирного жилого дома признаются:
обязательные расходы собственников квартир, нежилых помещений многоквартирного жилого дома, направленные для накопления денег на проведение капитального ремонта общего имущества объекта кондоминиума;
обязательные расходы собственников квартир, нежилых помещений многоквартирного жилого дома, направленные на покрытие расходов на управление объектом кондоминиума и содержание общего имущества объекта кондоминиума;
расходы собственников квартир, нежилых помещений многоквартирного жилого дома на оплату целевых взносов;
пеня в размере, установленном законодательством Республики Казахстан, начисленная при просрочке оплаты собственниками квартир, нежилых помещений многоквартирного жилого дома расходов на управление объектом кондоминиума и содержание общего имущества объекта кондоминиума.
Размеры и порядок оплаты расходов на управление объектом кондоминиума и содержание общего имущества объекта кондоминиума собственниками квартир, нежилых помещений многоквартирного жилого дома утверждаются собранием собственников квартир, нежилых помещений многоквартирного жилого дома в порядке, определенном Законом Республики Казахстан «О жилищных отношениях».
В случае несоблюдения условий, указанных в пункте 1 настоящей статьи, исключение из совокупного годового дохода, предусмотренное настоящим пунктом, не производится.
3. Доходы некоммерческой организации, не указанные в пункте 2 настоящей статьи, подлежат налогообложению в общеустановленном порядке.
При этом сумма расходов некоммерческой организации, подлежащая отнесению на вычеты, определяется одним из следующих способов:
исходя из удельного веса доходов, не указанных в пункте 2 настоящей статьи, в общей сумме доходов некоммерческой организации;
на основе данных налогового учета, предусматривающего раздельный учет расходов, произведенных за счет доходов, указанных в пункте 2 настоящей статьи, и расходов, произведенных за счет других доходов.
4. Положения настоящей статьи не распространяются на некоммерческие организации, которые признаются:
1) автономными организациями образования в соответствии со статьей 291 настоящего Кодекса;
2) организациями, осуществляющими деятельность в социальной сфере в соответствии со статьей 290 настоящего Кодекса.
Сноска. Статья 289 с изменениями, внесенными законами РК от 26.12.2019 № 284-VІ (порядок введения в действие см. ст. 2); от 21.12.2022 № 165-VII (вводится в действие с 01.01.2023); от 15.07.2025 № 208-VIII (вводится в действие по истечении шестидесяти календарных дней после дня его первого официального опубликования)..
Статья 290. Налогообложение организаций, осуществляющих деятельность в социальной сфере
1. Налогоплательщики, являющиеся в соответствии с настоящей статьей организациями, осуществляющими деятельность в социальной сфере, при определении суммы корпоративного подоходного налога, подлежащей уплате в бюджет, уменьшают сумму исчисленного в соответствии со статьей 302 настоящего Кодекса корпоративного подоходного налога на 100 процентов.
2. Для целей настоящего Кодекса к организациям, осуществляющим деятельность в социальной сфере, относятся организации, осуществляющие виды деятельности, указанные в части второй настоящего пункта, доходы от которых с учетом доходов в виде безвозмездно полученного имущества, вознаграждения по депозитам, а также превышения суммы положительной курсовой разницы над суммой отрицательной курсовой разницы, возникшего по таким доходам, составляют не менее 90 процентов совокупного годового дохода таких организаций.
К деятельности в социальной сфере относятся следующие виды деятельности:
1) оказание услуг в форме медицинской помощи в соответствии с законодательством Республики Казахстан (в том числе при осуществлении медицинской деятельности, не подлежащей лицензированию) субъектом здравоохранения, имеющим лицензию на осуществление медицинской деятельности;
2) оказание услуг по начальному, основному среднему, общему среднему образованию, техническому и профессиональному, послесреднему, высшему и послевузовскому образованию, осуществляемых по соответствующим лицензиям на право ведения образовательной деятельности, а также дополнительному образованию, дошкольному воспитанию и обучению.
К доходам, указанным в настоящем подпункте, также относятся доходы некоммерческой организации, созданной в форме общественного фонда, в виде:
дивидендов, полученных от организации, осуществляющей деятельность в социальной сфере, учредителем которой является такая некоммерческая организация, созданная в форме общественного фонда, осуществляющая деятельность в социальной сфере, указанной в настоящем подпункте;
доходов от прироста стоимости при реализации акций и (или) долей участия в организациях, осуществляющих деятельность в социальной сфере, учредителем которой является такая некоммерческая организация, созданная в форме общественного фонда, осуществляющая деятельность в социальной сфере, указанной в настоящем подпункте;
3) деятельность в сферах науки (включая проведение научных исследований, использование, в том числе реализацию, автором научной интеллектуальной собственности), осуществляемая субъектами научной и (или) научно-технической деятельности, аккредитованными уполномоченным органом в области науки, спорта (кроме спортивно-зрелищных мероприятий коммерческого характера), культуры (кроме предпринимательской деятельности, за исключением предпринимательской деятельности организаций со стопроцентным участием государства в уставном капитале), оказания услуг по сохранению (за исключением распространения информации и пропаганды) объектов историко-культурного наследия и культурных ценностей, занесенных в Государственный список памятников истории и культуры в соответствии с законодательством Республики Казахстан, а также в области социальной защиты и социального обеспечения детей, престарелых и лиц с инвалидностью;
К доходам, указанным в настоящем подпункте, также относятся доходы субъектов научной и (или) научно-технической деятельности, аккредитованных уполномоченным органом в области науки, в виде финансирования на создание научных центров при исследовательских университетах.
4) библиотечное обслуживание.
Доходы организаций, предусмотренных настоящим пунктом, не подлежат налогообложению при направлении их на осуществление указанных видов деятельности.
Доходы некоммерческой организации, созданной в форме общественного фонда, осуществляющей деятельность в социальной сфере, указанной в подпункте 2) части второй настоящего пункта, также не подлежат налогообложению при направлении их на создание организации, осуществляющей деятельность в социальной сфере, и оказании ей возвратной беспроцентной финансовой помощи (займа).
3. Для целей настоящего Кодекса к организациям, осуществляющим деятельность в социальной сфере, также относятся общественные объединения лиц с инвалидностью Республики Казахстан и организации, созданные общественными объединениями лиц с инвалидностью Республики Казахстан, которые за отчетный налоговый период, а также предшествующий отчетному налоговому периоду налоговый период соответствуют одному из следующих условий:
1) средняя численность лиц с инвалидностью, являющихся работниками, составляет не менее 51 процента от общего числа работников;
2) расходы по оплате труда лиц с инвалидностью, являющихся работниками, составляют не менее 51 процента (в специализированных организациях, в которых работают лица с инвалидностью по потере слуха, речи, а также зрения, – не менее 35 процентов) от общих расходов по оплате труда.
При этом соответствие условию, предусмотренному частью первой настоящего пункта, определяется:
вновь созданными (возникшими) организациями – за отчетный налоговый период, в котором осуществлена регистрация в органе юстиции;
организациями, осуществляющими деятельность в рамках долгосрочного контракта, – в течение всего периода действия такого контракта.
Доходы организаций, предусмотренных настоящим пунктом, не подлежат налогообложению в случае, если 90 процентов доходов получены (подлежат получению) от реализации произведенных (изготовленных) товаров, выполнения работ, оказания услуг, производство которых осуществлено с участием лиц с инвалидностью, являющихся работниками такой организации, и направлении полученных доходов на осуществление деятельности такой организации.
4. К организациям, осуществляющим деятельность в социальной сфере, не относятся организации, получающие доходы от деятельности по производству и реализации подакцизных товаров.
5. При нарушении условий, предусмотренных настоящей статьей, полученные доходы подлежат налогообложению в порядке, определенном настоящим Кодексом.
6. Положения настоящей статьи не распространяются на организации, которые признаются автономными организациями образования в соответствии со статьей 291 настоящего Кодекса.
Сноска. Статья 290 с изменениями, внесенными законами РК от 02.04.2019 № 241-VI (вводится в действие по истечении десяти календарных дней после дня его первого официального опубликования); от 10.12.2020 № 382-VI (порядок введения в действие см. ст. 2); от 01.07.2024 № 105-VIII (вводится в действие с 01.01.2025).
Статья 291. Налогообложение автономных организаций образования
1. Для целей настоящего Кодекса автономной организацией образования признается:
1) некоммерческая организация, созданная для обеспечения финансирования автономных организаций образования, определенных подпунктами 2), 3), 4) и 5) настоящего пункта, высшим органом управления которой является Высший попечительский совет;
2) некоммерческая организация образования при соблюдении одновременно следующих условий:
создана Правительством Республики Казахстан;
высшим органом управления является Высший попечительский совет, созданный в соответствии с законами Республики Казахстан;
осуществляет один или несколько из следующих видов деятельности:
дополнительное образование;
образовательная деятельность по установленным законами Республики Казахстан следующим уровням образования:
начальная школа, включающая дошкольное воспитание и обучение;
основная школа;
старшая школа;
послесреднее образование;
высшее образование;
послевузовское образование;
3) юридическое лицо, которое одновременно соответствует следующим условиям:
является акционерным обществом, созданным по решению Правительства Республики Казахстан;
50 и более процентов голосующих акций такого общества принадлежат лицу, указанному в подпункте 2) настоящего пункта;
осуществляет деятельность в области здравоохранения в соответствии с законами Республики Казахстан;
4) организация, за исключением указанной в подпункте 3) настоящего пункта, если она соответствует одновременно следующим условиям:
50 и более процентов голосующих акций (долей участия) такой организации принадлежат лицам, указанным в подпунктах 2) и 3) настоящего пункта, либо является некоммерческой организацией, учрежденной исключительно лицами, указанными в подпункте 2) настоящего пункта;
не менее 90 процентов полученных доходов в совокупном годовом доходе составляют доходы в виде безвозмездно полученного имущества, вознаграждения по депозитам такой организации, а также доходы, полученные от осуществления одного или нескольких из следующих видов деятельности:
оказание медицинских услуг (за исключением косметологических, санаторно-курортных);
дополнительное образование;
образовательная деятельность по установленным законами Республики Казахстан следующим уровням образования:
начальная школа, включающая дошкольное воспитание и обучение;
основная школа;
старшая школа;
послесреднее образование;
высшее образование;
послевузовское образование;
осуществляет деятельность в сфере науки, а именно:
научно-техническая, инновационная деятельность, научно-исследовательские работы, включая фундаментальные и прикладные научные исследования;
оказание консультационных услуг по видам деятельности, указанным в настоящем подпункте.
Для целей настоящего подпункта доходами, полученными от осуществления вышеуказанных видов деятельности, признаются также поступления от учредителя (участника), полученные и направленные на осуществление видов деятельности, указанных в настоящем подпункте;
5) организация, за исключением указанной в подпункте 3) настоящего пункта, если она соответствует одновременно следующим условиям:
50 и более процентов голосующих акций (долей участия) такой организации принадлежат лицам, указанным в подпунктах 2) и 3) настоящего пункта, либо является некоммерческой организацией, учрежденной исключительно лицами, указанными в подпункте 2) настоящего пункта;
осуществляет один или несколько из следующих видов деятельности в сфере науки:
научно-технической;
инновационной;
научно-исследовательской, включая фундаментальные и прикладные научные исследования.
Отнесение осуществляемых видов деятельности к видам деятельности в сфере науки, указанным в настоящем подпункте, подтверждается заключением уполномоченного органа в области науки.
Настоящий подпункт не распространяется на организации, если они осуществляют один или несколько из следующих видов деятельности:
оказание медицинских услуг (за исключением косметологических, санаторно-курортных);
дополнительное образование;
образовательная деятельность по установленным законами Республики Казахстан следующим уровням образования:
начальная школа, включающая дошкольное воспитание и обучение;
основная школа;
старшая школа;
послесреднее образование;
высшее образование;
послевузовское образование;
оказание консультационных услуг по данным видам деятельности;
6) организация, если она отвечает одновременно следующим условиям:
является некоммерческой организацией, учрежденной исключительно лицами, указанными в подпункте 2) настоящего пункта;
выполняет и оказывает исключительно следующие работы и услуги:
предоставление во временное пользование библиотечного фонда, в том числе в электронной форме;
предоставление во временное пользование компьютеров, программного обеспечения и оборудования для обработки информации;
работы, услуги оказываются исключительно следующим организациям:
автономным организациям образования, определенным подпунктами 1) – 5) настоящего пункта;
некоммерческой организации, учрежденной до 1 января 2012 года лицом, указанным в подпункте 2) настоящего пункта, в целях оказания ему работ и услуг по организации обеспечения и обслуживанию административно-хозяйственной деятельности.
2. При определении автономной организацией образования суммы корпоративного подоходного налога, подлежащей уплате в бюджет, сумма исчисленного в соответствии со статьей 302 настоящего Кодекса корпоративного подоходного налога уменьшается на 100 процентов.
По налоговым периодам, в которых полученные автономной организацией образования, указанной в подпунктах 3), 4) и 5) пункта 1 настоящей статьи, чистый доход или имущество были распределены между участниками, положение настоящего пункта не применяется.
Сноска. Статья 291 с изменением, внесенным Законом РК от 12.12.2023 № 45-VIII (вводится в действие с 01.01.2024).
Примечание РЦПИ!
Статья 292 действует до 01.01.2027 в соответствии с Законом РК от 25.12.2017 № 121-VI.
Статья 292. Налогообложение организации, специализирующейся на улучшении качества кредитных портфелей банков второго уровня, единственным акционером которой является Правительство Республики Казахстан
1. Организация, специализирующаяся на улучшении качества кредитных портфелей банков второго уровня, единственным акционером которой является Правительство Республики Казахстан, при определении суммы корпоративного подоходного налога, подлежащей уплате в бюджет, уменьшает на 100 процентов сумму исчисленного в соответствии со статьей 302 настоящего Кодекса корпоративного подоходного налога по доходам от следующих видов деятельности:
1) выпуск акций для формирования уставного капитала, а также облигаций для финансирования деятельности, указанной в настоящем пункте;
2) выкуп собственных размещенных акций и облигаций;
3) оценка качества активов, прав требований банков и (или) юридических лиц, ранее являвшихся банками, с целью принятия решения об их приобретении;
4) приобретение у банков сомнительных и безнадежных активов, иных прав требований и активов, управление ими, в том числе путем передачи в доверительное управление, владение и (или) реализация;
5) оценка качества акций и (или) облигаций, выпущенных банками и (или) размещенных банками, юридическими лицами, ранее являвшимися банками;
6) приобретение акций и (или) долей участия в уставном капитале юридических лиц, в том числе юридических лиц, права требований к которым приобретены у банков, и (или) юридических лиц, ранее являвшихся банками, управление ими, в том числе путем передачи в доверительное управление, владение и (или) их реализация;
7) приобретение акций и (или) облигаций, выпущенных и размещенных банками, управление ими, в том числе путем передачи в доверительное управление, владение и (или) их реализация;
8) предоставление в имущественный наем (аренду) имущества, приобретенного и (или) полученного у банков и (или) юридических лиц, ранее являвшихся банками, или использование иной формы возмездного временного пользования таким имуществом, передача его в доверительное управление;
9) проведение операций по секьюритизации прав требований и других активов, приобретенных у банков и (или) юридических лиц, ранее являвшихся банками;
10) приобретение у юридических лиц, ранее являвшихся банками, прав требований и активов, включая акции и (или) доли участия в уставном капитале юридических лиц, владение, содержание, обеспечение сохранности, управление ими, в том числе путем передачи в доверительное управление, и (или) их реализация;
11) размещение денег в ценные бумаги и иные финансовые инструменты, а также в банках, Национальном Банке Республики Казахстан на условиях договоров банковского счета и банковского вклада;
12) осуществление финансирования на условиях платности, срочности и возвратности банков и (или) юридических лиц, ранее являвшихся банками;
13) создание самостоятельно или совместно с банками организации, приобретающей сомнительные и безнадежные активы путем передачи в уставный капитал собственных активов, управление ими, в том числе путем передачи в доверительное управление, владение и (или) их реализация;
14) реализация имущества, принятого в счет погашения прав требований, приобретенных и (или) полученных у банков и (или) юридических лиц, ранее являвшихся банками, и учитываемых в качестве активов в соответствии с международными стандартами финансовой отчетности и требованиями законодательства Республики Казахстан о бухгалтерском учете и финансовой отчетности;
15) частичное или полное списание обязательств, по которым прекращено требование.
2. Доходы от осуществления видов деятельности, не указанных в пункте 1 настоящей статьи, подлежат налогообложению в общеустановленном порядке. При этом организация, специализирующаяся на улучшении качества кредитных портфелей банков второго уровня, единственным акционером которой является Правительство Республики Казахстан, обязана вести раздельный учет по доходам, освобождаемым от налогообложения в соответствии с настоящей статьей, и доходам, подлежащим налогообложению в общеустановленном порядке.
3. При получении доходов, подлежащих налогообложению в общеустановленном порядке, сумма расходов организации, специализирующейся на улучшении качества кредитных портфелей банков второго уровня, единственным акционером которой является Правительство Республики Казахстан, подлежащая отнесению на вычеты, определяется по выбору такой организации по пропорциональному или раздельному методу.
4. По пропорциональному методу сумма расходов, подлежащая отнесению на вычеты, в общей сумме расходов определяется исходя из удельного веса доходов, полученных от осуществления видов деятельности, не указанных в пункте 1 настоящей статьи, в общей сумме доходов.
5. По раздельному методу организация, специализирующаяся на улучшении качества кредитных портфелей банков второго уровня, единственным акционером которой является Правительство Республики Казахстан, ведет раздельный учет по расходам, относящимся к доходам, полученным от осуществления видов деятельности, указанных в пункте 1 настоящей статьи, и расходам, относящимся к доходам, подлежащим налогообложению в общеустановленном порядке.
Сноска. Статья 292 с изменениями, внесенными Законом РК от 10.12.2020 № 382-VI (вводится в действие с 01.01.2020).
Статья 293. Налогообложение прочих категорий налогоплательщиков
1. Положения настоящей статьи применяются следующими налогоплательщиками:
1) осуществляющими перевозку груза и (или) предоставляющими услуги по договорам бербоут-чартера, тайм-чартера морским судном, зарегистрированным в международном судовом реестре Республики Казахстан;
2) действовал до 01.01.2023 в соответствии с Законом РК от 25.12.2017 № 121-VI.
3) действовал до 01.01.2020 в соответствии с Законом РК от 25.12.2017 № 121-VI;
4) осуществляющими деятельность по показу фильма, признанного национальным фильмом в соответствии с законодательством Республики Казахстан о кинематографии;
5) являющимися правообладателями фильма, признанного национальным фильмом в соответствии с законодательством Республики Казахстан о кинематографии;
Примечание РЦПИ!
Подпункт 6) действует до 01.01.2029 в соответствии с Законом РК от 26.12.2018 № 203-VI.
6) являющимися участниками международного технологического парка «Астана Хаб».
7) недропользователями, осуществляющими разработку газовых проектов на суше в соответствии с законодательством Республики Казахстан о недрах и недропользовании.
2. Налогоплательщик, указанный в подпункте 1) пункта 1 настоящей статьи, в целях исчисления корпоративного подоходного налога ведет раздельный налоговый учет объектов налогообложения и (или) объектов, связанных с налогообложением, по деятельности по перевозке груза и (или) предоставлению услуг по договорам бербоут-чартера, тайм-чартера морским судном, зарегистрированным в международном судовом реестре Республики Казахстан, и по другим видам деятельности.
Корпоративный подоходный налог, исчисленный в соответствии со статьей 302 настоящего Кодекса, по деятельности по перевозке груза и (или) предоставлению услуг по договорам бербоут-чартера, тайм-чартера морским судном, зарегистрированным в международном судовом реестре Республики Казахстан, подлежит уменьшению на 100 процентов.
3.Действовал до 01.01.2023 в соответствии с Законом РК от 25.12.2017 № 121-VI.
4. Действовал до 01.01.2020 в соответствии с Законом РК от 25.12.2017 № 121-VI.
4-1. Налогоплательщик, указанный в подпункте 4) пункта 1 настоящей статьи, в целях исчисления корпоративного подоходного налога ведет раздельный налоговый учет объектов налогообложения и (или) объектов, связанных с налогообложением, по доходам от осуществления показа в кинозалах на территории Республики Казахстан фильма, признанного национальным фильмом в соответствии с законодательством Республики Казахстан о кинематографии, и иным доходам.
Корпоративный подоходный налог, исчисленный в соответствии со статьей 302 настоящего Кодекса, по доходам от осуществления показа в кинозалах на территории Республики Казахстан фильма, признанного национальным фильмом в соответствии с законодательством Республики Казахстан о кинематографии, подлежит уменьшению на 100 процентов.
4-2. Налогоплательщик, указанный в подпункте 5) пункта 1 настоящей статьи, в целях исчисления корпоративного подоходного налога ведет раздельный налоговый учет объектов налогообложения и (или) объектов, связанных с налогообложением, по доходам от проката и осуществления показа в кинозалах на территории Республики Казахстан фильма, признанного национальным фильмом в соответствии с законодательством Республики Казахстан о кинематографии, исключительным правом на использование которого он обладает, и иным доходам.
Налогоплательщик, указанный в подпункте 5) пункта 1 настоящей статьи, уменьшает корпоративный подоходный налог, исчисленный в соответствии со статьей 302 настоящего Кодекса, по доходам от проката и осуществления показа в кинозалах на территории Республики Казахстан фильма, признанного национальным фильмом в соответствии с законодательством Республики Казахстан о кинематографии, исключительным правом на использование которого он обладает, на 100 процентов.
Для целей настоящего Кодекса правообладателем национального фильма признается юридическое лицо, которое обладает исключительным правом на использование национального фильма по договору или иному основанию в соответствии с Законом Республики Казахстан «Об авторском праве и смежных правах».
Примечание РЦПИ!
Пункт 4-3 действует до 01.01.2029 в соответствии с Законом РК от 26.12.2018 № 203-VI.
4-3. Участники международного технологического парка «Астана Хаб» при определении суммы корпоративного подоходного налога, подлежащей уплате в бюджет, уменьшают сумму исчисленного в соответствии со статьей 302 настоящего Кодекса корпоративного подоходного налога на 100 процентов, если иное не предусмотрено настоящим пунктом.
Для целей настоящего Кодекса к участникам международного технологического парка «Астана Хаб» относятся юридические лица, одновременно соответствующие следующим условиям:
1) зарегистрированы в международном технологическом парке «Астана Хаб» в качестве участников в соответствии с законодательством Республики Казахстан об информатизации;
2) получают доходы исключительно от осуществления приоритетных видов деятельности в области информационно-коммуникационных технологий.
Примечание ИЗПИ!
Изменение внесенное в часть третью пункта 4-3 действует до 01.01.2029 в соответствии с Законом РК от 21.12.2022 № 165-VII (вводится в действие с 01.01.2023).
Уменьшение суммы исчисленного корпоративного подоходного налога, предусмотренное настоящим пунктом, также применяется по доходам в виде вознаграждения по депозитам, превышения суммы положительной курсовой разницы над суммой отрицательной курсовой разницы, безвозмездно полученного имущества для осуществления видов деятельности, соответствующих приоритетным видам деятельности в области информационно-коммуникационных технологий, в случае получения участником международного технологического парка «Астана Хаб» доходов исключительно от осуществления приоритетных видов деятельности в области информационно-коммуникационных технологий, а также по доходам по сомнительным обязательствам, сумме пени и штрафов.
При этом в случае производства и реализации товаров участниками международного технологического парка «Астана Хаб» такие товары должны соответствовать критериям собственного производства.
Перечень приоритетных видов деятельности в области информационно-коммуникационных технологий и критерии собственного производства утверждаются уполномоченным органом в сфере информатизации по согласованию с центральным уполномоченным органом по государственному планированию, уполномоченным государственным органом, осуществляющим государственное регулирование в области технического регулирования, и уполномоченным органом.
В случае нарушений условий, предусмотренных настоящим пунктом, участники международного технологического парка «Астана Хаб» применяют общеустановленный порядок налогообложения с даты начала налогового периода, в котором допущено нарушение.
Порядок определения дохода от объектов интеллектуальной собственности и оказания услуг в сфере информатизации, к которому применяется уменьшение суммы исчисленного корпоративного подоходного налога на 100 процентов, определяется уполномоченным органом по согласованию с уполномоченным органом в сфере информатизации.
4-4. С учетом особенностей, предусмотренных пунктом 4 статьи 722-1 настоящего Кодекса, недропользователи, осуществляющие разработку газовых проектов на суше в соответствии с законодательством Республики Казахстан о недрах и недропользовании, при определении суммы корпоративного подоходного налога по такому контракту, подлежащей уплате в бюджет, уменьшают сумму исчисленного в соответствии со статьей 302 настоящего Кодекса корпоративного подоходного налога на 100 процентов.
5. Налогоплательщики, применяющие положения настоящей статьи, не вправе применять другие положения настоящего Кодекса, предусматривающие уменьшение корпоративного подоходного налога, исчисленного в соответствии со статьей 302 настоящего Кодекса.
Сноска. Статья 293 с изменениями, внесенными законами РК от 26.12.2018 № 203-VI (вводится в действие с 01.01.2019); от 03.01.2019 № 213-VI (вводится в действие по истечении десяти календарных дней после дня его первого официального опубликования); от 10.12.2020 № 382-VI (вводится в действие с 01.01.2021); от 20.12.2021 № 85-VII (вводятся в действие 01.01.2023); от 21.12.2022 № 165-VII (вводится в действие с 01.01.2023).
Глава 30. НАЛОГООБЛОЖЕНИЕ ПРИБЫЛИ КОНТРОЛИРУЕМОЙ ИНОСТРАННОЙ КОМПАНИИ
Статья 294. Основные понятия, используемые в настоящей главе
1. Контролируемой иностранной компанией признается лицо, соответствующее одновременно следующим условиям:
1) такое лицо является одним из следующих лиц:
юридическим лицом-нерезидентом;
иной иностранной формой организации предпринимательской деятельности без образования юридического лица (далее – иная форма организации);
за исключением юридического лица-нерезидента и (или) иной формы организации, зарегистрированных или инкорпорированных или иным образом учрежденных в иностранном государстве, с которым вступил в силу международный договор, регулирующий вопросы избежания двойного налогообложения и предотвращения уклонения от уплаты налогов, при условии, что номинальная ставка налога на прибыль в таком иностранном государстве составляет более 75 процентов от ставки корпоративного подоходного налога в Республике Казахстан, предусмотренной пунктом 1 статьи 313 настоящего Кодекса.
В целях применения настоящего подпункта, список стран, с которым вступил в силу международный договор, регулирующий вопросы избежания двойного налогообложения и предотвращения уклонения от уплаты налогов, номинальная ставка налога на прибыль которых составляет более 75 процентов от ставки корпоративного подоходного налога в Республике Казахстан, утверждается уполномоченным органом не позднее 31 декабря года, следующего за отчетным периодом;
2) на 31 декабря отчетного периода такое лицо отвечает одному из следующих условий:
25 и более процентов доли участия (голосующих акций) в лице прямо или косвенно, или конструктивно принадлежат юридическому или физическому лицу, являющемуся резидентом Республики Казахстан (далее в целях настоящей главы – резидент);
лицо связано с резидентом посредством контроля (в случае, если резидент имеет прямой или косвенный, или конструктивный контроль над лицом);
3) такое лицо отвечает одному из следующих условий:
эффективная ставка налога на прибыль юридического лица-нерезидента или иной формы организации, определенная в соответствии с подпунктом 2) пункта 4 настоящей статьи, составляет менее 10 процентов;
юридическое лицо-нерезидент или иная форма организации зарегистрированы или учредительный документ (документ о создании) которой зарегистрирован, или участник, на которого возложено ведение учета доходов и расходов или управление активами по такой иной форме организации, зарегистрирован в государстве с льготным налогообложением.
В целях определения контролируемой иностранной компании понятие «контроль» определяется в соответствии с подпунктом 3) пункта 4 настоящей статьи.
2. Постоянным учреждением контролируемой иностранной компании признается структурное подразделение или постоянное учреждение, которое отвечает одному из следующих условий:
1) оно зарегистрировано в государстве с льготным налогообложением;
2) оно зарегистрировано в иностранном государстве и у которого эффективная ставка налога на прибыль, определенная в соответствии с подпунктом 2) пункта 4 настоящей статьи, составляет менее 10 процентов.
При этом такое структурное подразделение или постоянное учреждение должно быть создано лицом, отвечающим одновременно условиям подпунктов 1) и 2) части первой пункта 1 настоящей статьи.
Условия, определенные пунктом 1 настоящей статьи и частями первой и второй настоящего пункта, не распространяются на контролируемые иностранные компании и постоянные учреждения контролируемых иностранных компаний, которые одновременно соответствуют следующим условиям:
1) контролируемая иностранная компания или постоянное учреждение контролируемой иностранной компании не зарегистрированы в государствах со льготным налогообложением;
2) совокупная сумма дохода каждой контролируемой иностранной компании или постоянного учреждения контролируемой иностранной компании составляет менее 150495-кратного размера месячного расчетного показателя, установленного законом о республиканском бюджете и действующим на первое число налогового периода.
Если у лица, соответствующего условиям, определенным пунктом 1 настоящей статьи или частями первой и второй настоящего пункта, по итогам соответствующего периода в утвержденной отдельной неконсолидированной финансовой отчетности имеется финансовый убыток, то такое лицо не признается контролируемой иностранной компанией и (или) постоянным учреждением контролируемой иностранной компании.
Для целей настоящей главы совокупная сумма дохода пересчитывается в тенге по рыночному курсу обмена валюты, определенному в последний рабочий день налогового периода, установленного статьей 314 настоящего Кодекса.
Если валюта, в которой выражена совокупная сумма дохода, не включена в перечень иностранных валют, официальный курс национальной валюты к которым устанавливается Национальным Банком Республики Казахстан, действовавший в отчетном налоговом периоде, то совокупная сумма дохода пересчитывается в тенге с применением последнего курса валюты по отношению к евро, определенного центральным банком страны резидентства контролируемой иностранной компании или постоянным учреждением контролируемой иностранной компании на последний рабочий день налогового периода в стране резидентства.
3. Государством с льготным налогообложением признается иностранное государство или территория, которое или которая отвечает одному из следующих условий:
1) в таком государстве или на такой территории установлена ставка налога на прибыль в размере менее 10 процентов;
2) в таком государстве или на такой территории имеются законы о конфиденциальности финансовой информации или законы, позволяющие сохранять тайну о фактическом владельце имущества, дохода или фактических владельцах, участниках, учредителях, акционерах юридического лица (компании).
Положения подпункта 2) части первой настоящего пункта не применяются в отношении иностранного государства или территории, с которым или которой у Республики Казахстан действует международный договор, предусматривающий положение об обмене информацией между компетентными органами по вопросам налогообложения, за исключением иностранного государства или территории, не обеспечивающих обмен информацией с уполномоченным органом для целей налогообложения.
Иностранное государство или территория признается как не обеспечивающее или не обеспечивающая обмен информацией с уполномоченным органом для целей налогообложения при выполнении одного из следующих условий:
1) уполномоченным органом получен от компетентного или уполномоченного органа иностранного государства или территории письменный отказ в представлении сведений, обмен которыми предусмотрен международным договором;
2) компетентный или уполномоченный орган иностранного государства или территории не предоставил требуемые сведения в течение более чем двух лет после направления уполномоченным органом соответствующего запроса.
Перечень государств с льготным налогообложением, определенных в соответствии с настоящим пунктом, утверждается уполномоченным органом.
4. Иные понятия, используемые в целях настоящей главы и главы 32 настоящего Кодекса:
1) аудированная финансовая отчетность – финансовая отчетность, которая является результатом проведенного аудита, лицом, имеющим право на его выполнение;
1-1) контролируемое лицо – лицо, отвечающее одному из следующих условий:
лицо связано с резидентом посредством контроля (в случае, если резидент имеет прямой или косвенный, или конструктивный контроль над лицом);
лицо, в котором доля участия резидента составляет прямо или косвенно, или конструктивно более 50 процентов;
лицо связано с резидентом в качестве ближайшего родственника (по отношению к физическому лицу-резиденту);
2) эффективная ставка налога контролируемой иностранной компании или эффективная ставка налога постоянного учреждения контролируемой иностранной компании – среднеарифметическое значение эффективных ставок налога на прибыль контролируемой иностранной компании или эффективных ставок налога на прибыль постоянного учреждения контролируемой иностранной компании, определяемых в соответствии с подпунктом 12) настоящего пункта, за отчетный и два предыдущих периода, последовательно предшествующих отчетному периоду.
В случае, если по итогам соответствующего периода (периодов) у контролируемой иностранной компании или постоянного учреждения контролируемой иностранной компании финансовая прибыль до налогообложения равна нулю или имеется финансовый убыток, в расчете эффективной ставки не учитываются соответствующие показатели за такой период (периоды). В таком случае эффективная ставка налога на прибыль контролируемой иностранной компании или эффективная ставка налога на прибыль постоянного учреждения контролируемой иностранной компании определяется исходя из соответствующих показателей оставшегося количества периодов, в которых получена финансовая прибыль.
В случае если законодательными актами государства, в котором зарегистрирована контролируемая иностранная компания, установлено обязательство по составлению консолидированной финансовой отчетности с отражением данных дочерних (ассоциированных, совместных) организаций без составления отдельной неконсолидированной финансовой отчетности, то для расчета эффективной ставки налога контролируемой иностранной компании показатели финансовой прибыли до налогообложения и налога на прибыль пересчитываются в следующем порядке:
из финансовой прибыли до налогообложения исключаются суммы финансовой прибыли (убытка) до налогообложения дочерних организаций, уменьшенные на суммы прибыли (убытков) от внутригрупповых операций, доля в доходах ассоциированных (совместных) организаций, признанные по консолидированной финансовой отчетности контролируемой иностранной компании, при условии, если консолидированная финансовая прибыль до налогообложения контролируемой иностранной компании учитывает такие суммы;
из налога на прибыль исключаются суммы налога на прибыль дочерних организаций, признанные по консолидированной финансовой отчетности контролируемой иностранной компании как текущий налоговый расход, не включая отсроченные налоги, при условии, если консолидированная сумма налога на прибыль контролируемой иностранной компании включает такие суммы;
3) контроль – контроль, определяемый в соответствии с международными стандартами финансовой отчетности либо иными международно признанными стандартами составления финансовой отчетности, принимаемыми фондовыми биржами для допуска ценных бумаг к торгам;
3-1) утвержденная финансовая отчетность – документ контролируемой иностранной компании или постоянного учреждения контролируемой иностранной компании, соответствующий условиям пункта 3 статьи 297 настоящего Кодекса, заверенный подписью первого руководителя (или лица, уполномоченного подписывать финансовую отчетность) контролируемой иностранной компании и (или) постоянного учреждения контролируемой иностранной компании и включающий бухгалтерский баланс, отчет о прибылях и убытках, отчет о движении денег, отчет об изменениях в капитале, пояснительную записку (или иной документ);
4) отчетный период – финансовый период, в котором признана финансовая прибыль;
5) ближайшие родственники:
супруг (супруга);
дети, в том числе усыновленные, удочеренные;
дети супруга (супруги), в том числе усыновленные, удочеренные;
внуки;
внуки супруга (супруги);
иждивенцы;
иждивенцы супруга (супруги);
родители;
родители супруга (супруги);
полнородные, неполнородные братья, сестры;
полнородные, неполнородные братья, сестры супруга (супруги);
6) косвенный контроль – наличие у резидента контроля через контролируемое лицо (контролируемые лица);
7) косвенное владение (косвенное участие) – владение резидентом долями участия в контролируемой иностранной компании через контролируемое лицо (контролируемые лица);
8) конструктивный контроль – наличие у резидента прямого и косвенного контроля или наличие у резидента и (совместно с) ближайшего (ближайшим) родственника (родственником) прямого и (или) косвенного контроля;
9) конструктивное владение (конструктивное участие) – владение резидентом прямо и косвенно долями участия в контролируемой иностранной компании или владение резидентом и (совместно с) ближайшим (ближайшими) родственником (родственниками) прямо и (или) косвенно долями участия в контролируемой иностранной компании;
9-1) совокупная сумма доходов – сумма всех доходов контролируемой иностранной компании или постоянного учреждения контролируемой иностранной компании, отраженных в утвержденной отдельной неконсолидированной финансовой отчетности такой контролируемой иностранной компании или такого постоянного учреждения контролируемой иностранной компании за отчетный период.
Для целей части первой настоящего подпункта из совокупной суммы доходов за отчетный период исключаются доходы, аналогичные указанным в подпунктах 2), 3), 9) и 11) пункта 2 статьи 225 настоящего Кодекса. Для применения настоящего абзаца у резидента должен быть в наличии документ, заверенный подписью первого руководителя (или лица, уполномоченного подписывать финансовую отчетность) контролируемой иностранной компании и (или) постоянного учреждения контролируемой иностранной компании, раскрывающий информацию о каждом исключенном виде дохода и расхода, в разрезе сумм (с обязательным переводом на казахский или русский язык) или пояснительная записка к аудированной финансовой отчетности, заверенная лицом, проводившим аудит финансовой отчетности контролируемой иностранной компании и (или) постоянного учреждения контролируемой иностранной компании, раскрывающая информацию о каждом исключенном виде дохода, в разрезе сумм (с обязательным переводом на казахский или русский язык);
10) доля участия (участие) – доля участия (участие) в уставном капитале, доля (участие) голосующих акций в уставном (акционерном) капитале или доля участия (участие) в иной форме организации;
11) налог на прибыль – иностранный налог на прибыль или иной иностранный налог, аналогичный корпоративному или индивидуальному подоходному налогу в Республике Казахстан, не включая налог на сверхприбыль или специальные платежи и налоги недропользователей;
11-1) номинальная ставка налога на прибыль – фиксированная ставка налога на прибыль или иного иностранного налога, аналогичного корпоративному подоходному налогу, с доходов, полученных юридическим лицом-нерезидентом или иной формой организации.
В целях части первой настоящего подпункта, если в налоговом законодательстве иностранного государства установлена прогрессивная шкала ставок налогообложения, то в качестве номинальной ставки налога на прибыль принимается верхний уровень ставки налога на прибыль или иного иностранного налога, аналогичного корпоративному подоходному налогу, без учета специальных налоговых режимов и других льгот, предусмотренных таким иностранным государством.
В случае если система налогообложения иностранного государства предусматривает несколько налоговых уровней, включая национальные, федеральные, кантональные, местные, региональные, муниципальные, коммунальные, провинциальные, штатовские, префектурные и прочие территориальные налоги на прибыль, то номинальная ставка налога на прибыль рассчитывается как сумма соответствующих ставок налогов на прибыль;
11-2) пассивные доходы – пассивными доходами признаются следующие виды доходов:
дивиденды;
доходы в виде вознаграждения;
доход от прироста стоимости;
доход в виде роялти;
доход от страховой деятельности, если такая деятельность не является основной деятельностью контролируемой иностранной компании или постоянного учреждения контролируемой иностранной компании;
доход от оказания консультационных, юридических, бухгалтерских, аудиторских, инжиниринговых, рекламных, маркетинговых услуг, а также от проведения научно-исследовательских и опытно-конструкторских работ, если указанные виды деятельности не являются основной деятельностью контролируемой иностранной компании или постоянного учреждения контролируемой иностранной компании.
Для целей части первой настоящего подпункта основной деятельностью контролируемой иностранной компании или постоянного учреждения контролируемой иностранной компании признается деятельность, по которой получаемый доход составляет более 50 процентов от всей суммы совокупного годового дохода такой контролируемой иностранной компании или постоянного учреждения контролируемой иностранной компании;
11-3) доля пассивных доходов – соотношение пассивных доходов контролируемой иностранной компании или постоянного учреждения контролируемой иностранной компании к совокупной сумме доходов контролируемой иностранной компании или постоянного учреждения контролируемой иностранной компании.
Доля пассивных доходов не определяется у контролируемых иностранных компаний или постоянных учреждений контролируемых иностранных компаний, зарегистрированных в государствах с льготным налогообложением;
12) эффективная ставка – ставка налога на прибыль, определяемая как наименьшая из следующих ставок:
исчисленная как отношение суммы налога на прибыль за отчетный период, рассматриваемой по утвержденной финансовой отчетности как текущий налоговый расход, не включая отсроченные налоги, к положительной величине финансовой прибыли до налогообложения, определяемой в соответствии с пунктом 3 статьи 297 настоящего Кодекса, за отчетный период;
исчисленная как отношение уплаченной суммы налога на прибыль за отчетный период к положительной величине финансовой прибыли до налогообложения, определяемой в соответствии с пунктом 3 статьи 297 настоящего Кодекса, за отчетный период.
Для целей части первой настоящего подпункта сумма налога на прибыль включает налог на прибыль, в том числе национальные, федеральные, кантональные, местные, региональные, муниципальные, коммунальные, провинциальные, штатовские, префектурные и прочие территориальные налоги на прибыль и налог, удержанный у источника выплаты, при условии, если финансовая прибыль до налогообложения включает (включала) в текущем или предыдущем периоде доходы, обложенные налогом, удержанным у источника выплаты;
13) лицо:
физическое лицо;
юридическое лицо-нерезидент;
иная форма организации;
14) прямой контроль – наличие у резидента контроля напрямую или через доверительного управляющего, или номинального держателя в случае, если такой контроль, находящийся у номинального держателя или доверительного управляющего, фактически принадлежит такому резиденту;
15) прямое владение (прямое участие) – владение резидентом долями участия напрямую или через доверительного управляющего, или номинального держателя в случае, если такие доли участия, находящиеся у номинального держателя или доверительного управляющего, фактически принадлежат такому резиденту.
16) иностранная компания – юридическое лицо-нерезидент или иная форма организации, за исключением лица, соответствующего условиям, определенным пунктом 1 настоящей статьи;
17) единая организационная структура консолидированной группы – лица иные, чем физические, которыми прямо или косвенно и (или) конструктивно владеет и (или) контролирует резидент.
В целях части первой настоящего подпункта, единая организационная структура консолидированной группы не включает лиц иных, чем физические, которые косвенно принадлежат и (или) контролируются через другого резидента. В случае если резидент владеет и (или) контролирует прямо другим резидентом, то этот другой резидент не входит в единую организационную структуру консолидированной группы.
Сноска. Статья 294 с изменениями, внесенными Законом РК от 10.12.2020 № 382-VI (порядок введения в действие см. ст. 2).
Статья 295. Общие положения
Финансовая прибыль контролируемой иностранной компании или постоянного учреждения контролируемой иностранной компании не подлежит налогообложению дважды.
Двойное налогообложение устраняется путем применения следующих положений:
1) освобождения от налогообложения в соответствии со статьей 296 настоящего Кодекса;
2) корректировки финансовой прибыли до налогообложения контролируемой иностранной компании при соответствии условиям, указанным в пункте 3 статьи 297 настоящего Кодекса;
3) уменьшения финансовой прибыли до налогообложения контролируемой иностранной компании в соответствии с пунктом 4 статьи 297 настоящего Кодекса;
4) зачета в счет уплаты корпоративного подоходного налога в Республике Казахстан в порядке, определенном пунктом 4 статьи 303 настоящего Кодекса.
Сноска. Статья 295 в редакции Закона РК от 10.12.2020 № 382-VI (вводится в действие с 01.01.2020).
Статья 296. Освобождение от налогообложения
1. Освобождается от налогообложения в Республике Казахстан финансовая прибыль контролируемой иностранной компании или финансовая прибыль постоянного учреждения контролируемой иностранной компании при выполнении одного из следующих условий:
1) при косвенном участии или косвенном контроле резидента в контролируемой иностранной компании, осуществляемом через другого резидента;
2) при косвенном участии или косвенном контроле резидента в контролируемой иностранной компании, осуществляемом через лицо, не являющееся контролируемым лицом;
3) если финансовая прибыль постоянного учреждения контролируемой иностранной компании облагалась налогом на прибыль в государстве, в котором зарегистрирована контролируемая иностранная компания, создавшая постоянное учреждение, по эффективной ставке, составляющей 20 и более процентов;
4) если финансовая прибыль контролируемой иностранной компании или финансовая прибыль постоянного учреждения контролируемой иностранной компании облагалась налогом в государстве, в котором зарегистрировано контролируемое лицо, через которого резидент косвенно владеет долями участия или имеет косвенный контроль в контролируемой иностранной компании, по эффективной ставке, составляющей 20 и более процентов;
5) если доля пассивных доходов контролируемой иностранной компании или постоянного учреждения контролируемой иностранной компании, за исключением зарегистрированных в государствах с льготным налогообложением, составляет менее 20 процентов;
6) при прямом и (или) косвенном владении и (или) контроле инвестиционным резидентом Международного финансового центра «Астана» в контролируемой иностранной компании.
2. Для целей применения пункта 1 настоящей статьи у резидента должны быть в наличии (с обязательным переводом на казахский или русский язык) следующие документы:
1) в случае применения подпункта 1) или 2) пункта 1 настоящей статьи:
копии документов, подтверждающих косвенное участие или косвенный контроль резидента в контролируемой иностранной компании, указанное или указанный в подпунктах 1) или 2) пункта 1 настоящей статьи,
или
копия документа, заверенного подписью первого руководителя (или лица, уполномоченного подписывать финансовую отчетность) резидента, раскрывающая единую организационную структуру консолидированной группы, участником (акционером) которой является резидент, с отражением наименования всех участников такой консолидированной группы и их географического местонахождения (наименования государств (территорий), где участники консолидированной группы созданы (учреждены), размеров долей участия и номеров государственной и налоговой регистрации всех участников консолидированной группы (при наличии налоговой регистрации);
2) в случае применения подпункта 3) пункта 1 настоящей статьи:
копия утвержденной отдельной финансовой отчетности контролируемой иностранной компании, создавшей постоянное учреждение;
копия утвержденной финансовой отчетности постоянного учреждения контролируемой иностранной компании;
документ, заверенный подписью первого руководителя (или лица, уполномоченного подписывать финансовую отчетность) контролируемой иностранной компании, раскрывающий информацию о включении в финансовую прибыль контролируемой иностранной компании, создавшей постоянное учреждение, финансовой прибыли такого постоянного учреждения, или пояснительная записка к аудированной финансовой отчетности, заверенная лицом, проводившим аудит финансовой отчетности контролируемой иностранной компании, раскрывающая информацию о включении в финансовую прибыль контролируемой иностранной компании, создавшей постоянное учреждение, финансовой прибыли такого постоянного учреждения;
копия составленного (составленных) на иностранном языке документа (документов), подтверждающего (подтверждающих) уплату в иностранном государстве, в котором зарегистрирована контролируемая иностранная компания, создавшая постоянное учреждение, налога на прибыль с финансовой прибыли постоянного учреждения контролируемой иностранной компании.
В случае включения налога у источника выплаты при определении эффективной ставки у резидента должны быть в наличии:
копия составленного (составленных) на иностранном языке документа (документов), подтверждающего (подтверждающих) удержание и перечисление в бюджет иностранного государства (иностранных государств) налога у источника выплаты с дохода (доходов), включенного (включенных) в финансовую прибыль до налогообложения;
документ, заверенный подписью первого руководителя (или лица, уполномоченного подписывать финансовую отчетность) контролируемой иностранной компании и (или) постоянного учреждения контролируемой иностранной компании, раскрывающий информацию о включении в финансовую прибыль до налогообложения дохода (доходов), обложенного (обложенных) налогом у источника выплаты, или пояснительная записка к аудированной финансовой отчетности, заверенная лицом, проводившим аудит финансовой отчетности контролируемой иностранной компании и (или) постоянного учреждения контролируемой иностранной компании, раскрывающая информацию о включении в финансовую прибыль до налогообложения дохода (доходов), обложенного (обложенных) налогом у источника выплаты;
3) в случае применения подпункта 4) пункта 1 настоящей статьи:
копия утвержденной консолидированной финансовой отчетности контролируемого лица, через которого осуществляется косвенное владение или косвенный контроль в контролируемой иностранной компании;
копия утвержденной отдельной неконсолидированной финансовой отчетности контролируемой иностранной компании или финансовой отчетности постоянного учреждения контролируемой иностранной компании;
документ, заверенный подписью первого руководителя (или лица, уполномоченного подписывать финансовую отчетность) контролируемой иностранной компании и (или) постоянного учреждения контролируемой иностранной компании, раскрывающий информацию о включении в консолидированную финансовую прибыль контролируемого лица, через которого резидент косвенно владеет долями участия или имеет косвенный контроль в контролируемой иностранной компании, финансовой прибыли контролируемой иностранной компании или финансовой прибыли постоянного учреждения контролируемой иностранной компании, или пояснительная записка к аудированной финансовой отчетности, заверенная лицом, проводившим аудит финансовой отчетности контролируемой иностранной компании и (или) постоянного учреждения контролируемой иностранной компании, раскрывающая информацию о включении в консолидированную финансовую прибыль контролируемого лица, через которого резидент косвенно владеет долями участия или имеет косвенный контроль в контролируемой иностранной компании, финансовой прибыли контролируемой иностранной компании или финансовой прибыли постоянного учреждения контролируемой иностранной компании;
копия составленного (составленных) на иностранном языке документа (документов), подтверждающего (подтверждающих) уплату в иностранном государстве, в котором зарегистрировано контролируемое лицо, через которого резидент косвенно владеет долями участия или имеет косвенный контроль в контролируемой иностранной компании, налога на прибыль с финансовой прибыли контролируемой иностранной компании или финансовой прибыли постоянного учреждения контролируемой иностранной компании.
В случае включения налога у источника выплаты при определении эффективной ставки у резидента должны быть в наличии:
копия составленного (составленных) на иностранном языке документа (документов), подтверждающего (подтверждающих) удержание и перечисление в бюджет иностранного государства (иностранных государств) налога у источника выплаты с дохода (доходов), включенного (включенных) в финансовую прибыль до налогообложения;
документ, заверенный подписью первого руководителя (или лица, уполномоченного подписывать финансовую отчетность) контролируемой иностранной компании и (или) постоянного учреждения контролируемой иностранной компании, раскрывающий информацию о включении в финансовую прибыль до налогообложения дохода (доходов), обложенного (обложенных) налогом у источника выплаты, или пояснительная записка к аудированной финансовой отчетности, заверенная лицом, проводившим аудит финансовой отчетности контролируемой иностранной компании и (или) постоянного учреждения контролируемой иностранной компании, раскрывающая информацию о включении в финансовую прибыль до налогообложения дохода (доходов), обложенного (обложенных) налогом у источника выплаты;
4) в случае применения подпункта 5) пункта 1 настоящей статьи:
копия утвержденной отдельной неконсолидированной финансовой отчетности контролируемой иностранной компании или постоянного учреждения контролируемой иностранной компании;
документ, заверенный подписью первого руководителя (или лица, уполномоченного подписывать финансовую отчетность) контролируемой иностранной компании и (или) постоянного учреждения контролируемой иностранной компании, раскрывающий информацию в разрезе каждого вида пассивного дохода, с указанием сумм полученных доходов контролируемой иностранной компании или постоянного учреждения контролируемой иностранной компании за отчетный период, или пояснительная записка к аудированной финансовой отчетности, заверенная лицом, проводившим аудит финансовой отчетности контролируемой иностранной компании и (или) постоянного учреждения контролируемой иностранной компании, раскрывающая информацию в разрезе каждого вида пассивного дохода, с указанием сумм полученных доходов контролируемой иностранной компании или постоянного учреждения контролируемой иностранной компании за отчетный период.
3. Исключен Законом РК от 10.12.2020 № 382-VI (вводится в действие с 01.01.2020).
Сноска. Статья 296 с изменениями, внесенными Законом РК от 10.12.2020 № 382-VI (порядок введения в действие см. ст. 2).
Статья 297. Налогообложение прибыли контролируемой иностранной компании
1. Суммарная прибыль контролируемых иностранных компаний или постоянных учреждений контролируемых иностранных компаний, за исключением зарегистрированных в государствах с льготным налогообложением, определенная в соответствии с пунктами 2, 3, 3-1 и 4 настоящей статьи, признается облагаемым доходом контролируемых иностранных компаний и постоянных учреждений контролируемых иностранных компаний, за исключением зарегистрированных в государствах с льготным налогообложением, и облагается корпоративным или индивидуальным подоходным налогом в Республике Казахстан.
Суммарная прибыль контролируемых иностранных компаний или постоянных учреждений контролируемых иностранных компаний, зарегистрированных в государствах с льготным налогообложением, определенная в соответствии с пунктами 2 и 3 настоящей статьи, признается облагаемым доходом контролируемых иностранных компаний и постоянных учреждений контролируемых иностранных компаний, зарегистрированных в государствах с льготным налогообложением, и облагается корпоративным или индивидуальным подоходным налогом в Республике Казахстан.
2. Суммарная прибыль контролируемых иностранных компаний или постоянных учреждений контролируемых иностранных компаний определяется по следующей формуле:
П = П1 × Д1 + П2 × Д2 +…+ Пn × Дn, где:
П – суммарная прибыль всех контролируемых иностранных компаний или постоянных учреждений контролируемых иностранных компаний, за исключением контролируемых иностранных компаний или постоянных учреждений контролируемых иностранных компаний, финансовая прибыль которых освобождена от налогообложения в соответствии со статьей 296 настоящего Кодекса;
Д1,2,…,n – доля прямого, косвенного, конструктивного участия или прямого, косвенного, конструктивного контроля резидента в каждой контролируемой иностранной компании;
П1,2,…,n – положительная величина финансовой прибыли каждой контролируемой иностранной компании или каждого постоянного учреждения контролируемой иностранной компании, подлежащей налогообложению в Республике Казахстан, определяемая резидентом, по одной из следующих формул:
П1, П2,…, Пn = Пдн 1,2,…n – У1,2,…n – Уб1,2,…n
или
П1, П2,…, Пn= Пдн1,2,…n × ДПД1,2,…n, где:
Пдн1,2,…n – положительная величина финансовой прибыли до налогообложения каждой контролируемой иностранной компании или каждого постоянного учреждения контролируемой иностранной компании за отчетный период;
У1,2,…n – сумма уменьшений, произведенных резидентом от финансовой прибыли до налогообложения каждой контролируемой иностранной компании или финансовой прибыли до налогообложения каждого постоянного учреждения контролируемой иностранной компании за отчетный период в соответствии с пунктом 4 настоящей статьи;
ДПД1,2,…n – доля пассивных доходов каждой контролируемой иностранной компании или каждого постоянного учреждения контролируемой иностранной компании, определяемая в соответствии с подпунктом 11-3) пункта 4 статьи 294 настоящего Кодекса;
Уб1,2,…n – сумма убытка каждой контролируемой иностранной компании или каждого постоянного учреждения контролируемой иностранной компании, возникшего в двух периодах, последовательно предшествующих отчетному периоду. При этом уменьшенные убытки в последующих периодах не учитываются.
Для целей части первой настоящего пункта убытком признается убыток, отраженный в утвержденной отдельной неконсолидированной финансовой отчетности, которая должна быть в наличии у резидента, применяющего убыток (с обязательным переводом на казахский или русский язык).
Убыток контролируемой иностранной компании или постоянного учреждения контролируемой иностранной компании не уменьшает:
1) финансовую прибыль этой контролируемой иностранной компании и (или) этого постоянного учреждения контролируемой иностранной компании, исчисленную в соответствии с пунктом 3 настоящей статьи;
2) финансовую прибыль до налогообложения другой контролируемой иностранной компании или другого постоянного учреждения контролируемой иностранной компании;
3) налогооблагаемый доход резидента.
Резидент не вправе использовать убытки контролируемой иностранной компании и (или) постоянного учреждения контролируемой иностранной компании, зарегистрированных в государствах с льготным налогообложением.
Для целей части первой настоящего пункта, в случае использования резидентом формулы с долей пассивных доходов при расчете суммарной прибыли контролируемой иностранной компании или постоянного учреждения контролируемой иностранной компании необходимо применять ту же формулу ко всем его остальным контролируемым иностранным компаниям или постоянным учреждениям контролируемых иностранных компаний за отчетный налоговый период.
3. Определение финансовой прибыли до налогообложения контролируемой иностранной компании или финансовой прибыли до налогообложения постоянного учреждения контролируемой иностранной компании за отчетный период осуществляется на основании утвержденной отдельной неконсолидированной финансовой отчетности контролируемой иностранной компании или постоянного учреждения контролируемой иностранной компании, составленной в соответствии со стандартом, установленным законодательством страны, в которой зарегистрирована контролируемая иностранная компания или зарегистрировано постоянное учреждение контролируемой иностранной компании, или в соответствии с международными стандартами финансовой отчетности. При этом резидент имеет право определить финансовую прибыль до налогообложения контролируемой иностранной компании или постоянного учреждения контролируемой иностранной компании на основании утвержденной отдельной неконсолидированной финансовой отчетности, составленной в соответствии с международными стандартами финансовой отчетности, только при наличии аудированной финансовой отчетности.
В случае, если законодательными актами государства, в котором зарегистрирована контролируемая иностранная компания, установлено обязательство по составлению только консолидированной финансовой отчетности с консолидацией данных дочерних (ассоциированных, совместных) организаций без составления отдельной неконсолидированной финансовой отчетности и отсутствует отдельная неконсолидированная финансовая отчетность, резидент производит следующие корректировки из финансовой прибыли (убытка) контролируемой иностранной компании за отчетный период, определенной (определенного) в финансовой отчетности за отчетный период, путем исключения следующих сумм, подтвержденных аудиторским заключением, которая должна быть в наличии у резидента:
суммы финансовой прибыли (убытка) за отчетный период дочерних (ассоциированных, совместных) организаций, собранной в консолидированной финансовой прибыли (консолидированном убытке) по консолидированной финансовой отчетности контролируемой иностранной компании;
суммы финансовой прибыли (убытка) дочерних (ассоциированных, совместных) организаций за отчетный период, при их консолидации из консолидированной финансовой прибыли (консолидированного убытка) по консолидированной финансовой отчетности материнской компании за отчетный период, которая (который) подлежит увеличению (уменьшению) на суммы финансовой прибыли (убытков) от внутригрупповых операций при их исключении при консолидации.
При корректировке данных консолидированной финансовой отчетности контролируемой иностранной компании за отчетный период в соответствии с настоящим пунктом, дивиденды, полученные или подлежащие получению от дочерней (ассоциированной, совместной) организации, не отраженные в консолидированной финансовой прибыли (консолидированном убытке) по консолидированной финансовой отчетности, признанные в бухгалтерском учете в отчетном периоде, подлежат включению в доходы контролируемой иностранной компании за отчетный период и подтверждены аудиторским заключением.
Для целей настоящего пункта из финансовой прибыли до налогообложения контролируемой иностранной компании или постоянного учреждения контролируемой иностранной компании за отчетный период, исключаются доходы, аналогичные указанным в подпунктах 2), 3), 9) и 11) пункта 2 статьи 225 настоящего Кодекса, и расходы, аналогичные указанным в пунктах 4 и 5 статьи 242 настоящего Кодекса, при условии, если финансовая прибыль до налогообложения включает такие доходы и (или) расходы. Для применения настоящей части у резидента должен быть в наличии документ, заверенный подписью первого руководителя (или лица, уполномоченного подписывать финансовую отчетность) контролируемой иностранной компании и (или) постоянного учреждения контролируемой иностранной компании, раскрывающий информацию о каждом исключенном виде дохода и расхода, в разрезе сумм (с обязательным переводом на казахский или русский язык), или пояснительная записка к аудированной финансовой отчетности, заверенная лицом, проводившим аудит финансовой отчетности контролируемой иностранной компании и (или) постоянного учреждения контролируемой иностранной компании, раскрывающая информацию о каждом исключенном виде дохода и расхода, в разрезе сумм (с обязательным переводом на казахский или русский язык).
3-1. При отсутствии утвержденной отдельной неконсолидированной финансовой отчетности у резидента до 31 марта второго года, следующего за отчетным, сумма финансовой прибыли до налогообложения контролируемой иностранной компании или финансовой прибыли до налогообложения постоянного учреждения контролируемой иностранной компании за такой отчетный период определяется резидентом по своему выбору в одном из следующих порядков:
1) в порядке, аналогичном порядку определения налогооблагаемого дохода согласно положениям настоящего Кодекса;
2) как произведение суммы дохода контролируемой иностранной компании или дохода постоянного учреждения контролируемой иностранной компании за отчетный период и коэффициента 0,5. Сумма дохода определяется исходя из поступлений денег на банковские счета контролируемой иностранной компании или банковские счета постоянного учреждения контролируемой иностранной компании за отчетный период.
Для целей части первой настоящего подпункта исключению подлежат следующие виды поступлений при наличии подтверждающих документов:
поступление денег на банковские счета контролируемой иностранной компании или постоянного учреждения контролируемой иностранной компании за отчетный период, с других банковских счетов данной контролируемой иностранной компании или ее постоянного учреждения (внутренние и межбанковские переводы денег);
поступление и (или) возврат заемных средств, за исключением вознаграждений по займам и пени, штрафов. Для применения настоящего абзаца у резидента должны быть в наличии копия договора займа и платежного поручения о возврате и (или) поступление заемных средств;
поступление ошибочно зачисленных сумм денег, при условии возврата в текущем налоговом периоде;
поступление денег в качестве вклада в уставный капитал.
Резидент при получении документа, соответствующего условиям пункта 3 настоящей статьи, после срока, установленного пунктом 4 статьи 315 настоящего Кодекса, обязан пересчитать сумму финансовой прибыли контролируемой иностранной компании и (или) постоянного учреждения контролируемой иностранной компании.
При наличии документа, соответствующего условиям подпункта 1) пункта 4 статьи 294 настоящего Кодекса, налогоплательщик обязан пересчитать сумму финансовой прибыли контролируемой иностранной компании или постоянного учреждения контролируемой иностранной компании.
4. Резидент имеет право на уменьшение финансовой прибыли до налогообложения контролируемой иностранной компании на следующие суммы при наличии подтверждающих документов:
1) сумма уменьшения, определяемая по следующей формуле:
У = ФП × (Д(1)/ССД), где:
У – сумма уменьшения;
ФП – положительная величина финансовой прибыли до налогообложения контролируемой иностранной компании;
Д(1) – доход контролируемой иностранной компании от предпринимательской деятельности в Республике Казахстан через филиал, представительство, постоянное учреждение, обложенный корпоративным подоходным налогом в Республике Казахстан по ставке 20 и более процентов, в пределах налогооблагаемого дохода филиала, при условии, если финансовая прибыль до налогообложения контролируемой иностранной компании учитывает налогооблагаемый доход, указанный в настоящем подпункте;
ССД – совокупная сумма доходов;
2) сумма уменьшения, определяемая по следующей формуле:
У = ФП × (Д(2)/ССД), где:
У – сумма уменьшения;
ФП – положительная величина финансовой прибыли до налогообложения контролируемой иностранной компании;
Д(2) – доход от оказания услуг (выполнения работ) в Республике Казахстан без образования постоянного учреждения, полученный контролируемой иностранной компанией из источников в Республике Казахстан, обложенный в Республике Казахстан корпоративным подоходным налогом у источника выплаты по ставке 20 процентов, при условии, если финансовая прибыль до налогообложения определена с учетом дохода, указанного в настоящем подпункте;
ССД – совокупная сумма доходов;
3) дивиденды, полученные контролируемой иностранной компанией из источников в Республике Казахстан, не подлежащие налогообложению корпоративным подоходным налогом у источника выплаты согласно подпункту 3), пункта 9 статьи 645 настоящего Кодекса, при условии, если финансовая прибыль до налогообложения контролируемой иностранной компании включает такой доход;
4) сумма дивидендов, полученных одной контролируемой иностранной компанией от другой контролируемой иностранной компании, входящих в единую организационную структуру консолидированной группы.
При этом финансовая прибыль одной контролируемой иностранной компании должна включать такие дивиденды, которые ранее обложены (подлежат обложению в текущем периоде) корпоративным подоходным налогом с финансовой прибыли другой такой контролируемой иностранной компании в Республике Казахстан и (или) уменьшены согласно подпунктам 3), 5), 6), 7), 8) и 9) настоящего пункта или части первой настоящего подпункта;
5) сумма дивидендов, полученных контролируемой иностранной компанией от иностранной компании, входящих в единую организационную структуру консолидированной группы.
При этом финансовая прибыль такой контролируемой иностранной компании должна включать такие дивиденды, которые ранее обложены (подлежат обложению в текущем периоде) корпоративным подоходным налогом с финансовой прибыли другой такой контролируемой иностранной компании в Республике Казахстан и (или) уменьшены согласно подпунктам 3), 4), 6), 7), 8) и 9) настоящего пункта или части первой настоящего подпункта;
6) сумма уменьшения, определяемая по следующей формуле:
У = ФП × (Д(6)/ССД), где:
У – сумма уменьшения;
ФП – положительная величина финансовой прибыли до налогообложения контролируемой иностранной компании;
Д(6) – доходы в виде вознаграждений и (или) от прироста стоимости и (или) в виде роялти, полученные контролируемой иностранной компанией из источников в Республике Казахстан, ранее обложенные в Республике Казахстан корпоративным подоходным налогом у источника выплаты, при условии, если финансовая прибыль до налогообложения контролируемой иностранной компании включает такие доходы;
ССД – совокупная сумма доходов;
7) сумма уменьшения, определяемая по следующей формуле:
У = ФП × (Д(7)/ССД), где:
У – сумма уменьшения;
ФП – положительная величина финансовой прибыли до налогообложения контролируемой иностранной компании;
Д(7) – доход от прироста стоимости, полученный одной контролируемой иностранной компанией от реализации другой контролируемой иностранной компании, которая является учредителем резидента Республики Казахстан, соответствующего условиям подпункта 7) или 8) пункта 9 статьи 645 настоящего Кодекса, при условии, если финансовая прибыль одной контролируемой иностранной компании включает такой доход;
ССД – совокупная сумма доходов;
8) доходы в виде вознаграждений и (или) от прироста стоимости и (или) в виде роялти, полученные контролируемой иностранной компанией из источников в Республике Казахстан, не подлежащие налогообложению корпоративным подоходным налогом у источника выплаты согласно подпунктам 6), 7), 8) и 9) пункта 9 статьи 645 настоящего Кодекса, при условии, если финансовая прибыль до налогообложения контролируемой иностранной компании включает такие доходы;
9) сумма дивидендов, полученных контролируемой иностранной компанией из источников в Республике Казахстан, ранее обложенные в Республике Казахстан корпоративным подоходным налогом у источника выплаты, при условии, если финансовая прибыль до налогообложения включает такие дивиденды;
10) сумма дивидендов, полученных контролируемой иностранной компанией от иностранной компании, входящих в единую организационную структуру консолидированной группы. При этом финансовая прибыль такой контролируемой иностранной компании должна включать такие дивиденды, полученные из источников Республики Казахстан, которые ранее обложены в Республике Казахстан корпоративным подоходным налогом у источника выплаты и (или) не подлежали налогообложению корпоративным подоходным налогом у источника выплаты согласно подпункту 3), пункта 9 статьи 645 настоящего Кодекса.
Положения части первой настоящего пункта не применяются к контролируемой иностранной компании и (или) постоянному учреждению контролируемой иностранной компании, которые зарегистрированы в государствах с льготным налогообложением.
5. В случае несоответствия продолжительности или дат начала и окончания отчетного периода в иностранном государстве и отчетного налогового периода в Республике Казахстан, определяемого в соответствии со статьей 314 настоящего Кодекса, налогоплательщик обязан скорректировать размер финансовой прибыли каждой контролируемой иностранной компании или финансовой прибыли каждого постоянного учреждения контролируемой иностранной компании, подлежащей налогообложению в Республике Казахстан, следующим образом посредством применения поправочных коэффициентов (К1, К2):
П1, П2, …, Пn = Пн × К1 + Пн+1 × К2,
К1 = НП (СН)1 / НП (СН)3,
К2 = НП (СН)2 / НП (СН)3, где:
П1, П2, …, Пn – положительная величина финансовой прибыли каждой контролируемой иностранной компании или каждого постоянного учреждения контролируемой иностранной компании, подлежащей налогообложению в Республике Казахстан;
Пн – положительная величина финансовой прибыли контролируемой иностранной компании или финансовой прибыли постоянного учреждения контролируемой иностранной компании, подлежащей налогообложению в Республике Казахстан, за один отчетный период, входящий в рамки отчетного налогового периода в Республике Казахстан;
Пн+1 – положительная величина финансовой прибыли контролируемой иностранной компании или финансовой прибыли постоянного учреждения контролируемой иностранной компании, подлежащей налогообложению в Республике Казахстан, за другой отчетный период, входящий в рамки отчетного налогового периода в Республике Казахстан;
НП (СН)1– количество месяцев одного отчетного периода в иностранном государстве, в пределах которых резидент владеет долями участия или имеет контроль в контролируемой иностранной компании, входящих в рамки отчетного налогового периода в Республике Казахстан;
НП (СН)2 – количество месяцев следующего отчетного периода в иностранном государстве, в пределах которых резидент владеет долями участия или имеет контроль в контролируемой иностранной компании, входящих в рамки отчетного налогового периода в Республике Казахстан;
НП (СН)3 – общее количество месяцев отчетного периода в иностранном государстве.
6. Сумма финансовой прибыли каждой контролируемой иностранной компании или финансовой прибыли каждого постоянного учреждения контролируемой иностранной компании, подлежащей налогообложению в Республике Казахстан, выраженная в иностранной валюте, пересчитывается резидентом в тенге с применением среднеарифметического рыночного курса обмена валюты за отчетный период.
7. Коэффициент прямого участия или прямого контроля резидента в каждой контролируемой иностранной компании определяется по следующей формуле:
Д1, Д2, …, Дn = Х/100 %, где:
Д1, Д2, …, Дn – коэффициент прямого участия или прямого контроля резидента в каждой контролируемой иностранной компании;
Х – доля прямого участия или прямого контроля резидента в каждой контролируемой иностранной компании, в процентах.
Коэффициент косвенного участия или косвенного контроля резидента в каждой контролируемой иностранной компании определяется по следующей формуле:
Д1, Д2, …, Дn = Х1/100 % х Х2/100 % х…х Хn/100 %, где:
Д1, Д2, …, Дn – коэффициент косвенного участия или косвенного контроля резидента в каждой контролируемой иностранной компании;
X1 – доля прямого участия или прямого контроля резидента в лице, через которое осуществляется косвенное участие или косвенный контроль, в процентах;
Х2, … – доля прямого участия или прямого контроля каждого предыдущего лица в каждом последующем лице в соответствующей последовательности, через которых осуществляется косвенное участие или косвенный контроль, в процентах;
Хn – доля прямого участия или прямого контроля предыдущего лица в контролируемой иностранной компании, в процентах.
Коэффициент конструктивного участия или конструктивного контроля резидента в каждой контролируемой иностранной компании исчисляется в одном из следующих порядков:
1) коэффициент прямого участия или прямого контроля резидента в контролируемой иностранной компании
плюс
коэффициент косвенного участия или косвенного контроля резидента в контролируемой иностранной компании;
2) коэффициент прямого и (или) косвенного участия или прямого и (или) косвенного контроля резидента в контролируемой иностранной компании
плюс
коэффициент прямого и (или) косвенного участия или прямого и (или) косвенного контроля контролируемого лица в контролируемой иностранной компании при условии, если контролируемое лицо является ближайшим родственником резидента и резидентом Республики Казахстан.
При конструктивном владении физическим лицом-резидентом долями участия или при наличии у физического лица-резидента конструктивного контроля в контролируемой иностранной компании с участием ближайших родственников-резидентов, не достигших совершеннолетнего возраста, положения настоящей статьи распространяются на такое конструктивное владение или такой конструктивный контроль. При конструктивном владении физическим лицом-резидентом долями участия или при наличии у физического лица-резидента конструктивного контроля в контролируемой иностранной компании с участием ближайших родственников-резидентов, достигших совершеннолетнего и (или) пенсионного возраста, положения настоящего пункта распространяются на такое конструктивное владение или такой конструктивный контроль при условии письменного согласия таких ближайших родственников. При отсутствии письменного согласия такого ближайшего родственника (ближайших родственников) налоговое обязательство в соответствии с настоящей главой исполняется каждым лицом (резидентом и таким ближайшим родственником (родственниками) резидента) самостоятельно соразмерно доле владения или контроля в контролируемой иностранной компании в случае, если совокупная доля участия резидента и такого ближайшего родственника (родственников) в контролируемой иностранной компании превышает 25 процентов или совокупно резидент и такой ближайший родственник (родственники) имеют контроль в контролируемой иностранной компании.
8. Положения настоящей статьи распространяются на постоянное учреждение контролируемой иностранной компании.
9. Положения настоящей статьи применяются независимо от предоставленных Республикой Казахстан резиденту и (или) установленных законодательством Республики Казахстан для резидента льгот, инвестиционных налоговых преференций, режима наибольшего благоприятствования, а также иных условий налогообложения, более благоприятных, чем предусмотренные настоящим Кодексом.
10. Для целей настоящей статьи под подтверждающими документами понимаются следующие документы:
1) для применения подпункта 1) части первой пункта 3-1 настоящей статьи копии документов, позволяющих определить сумму финансовой прибыли до налогообложения за отчетный период контролируемой иностранной компании или постоянного учреждения контролируемой иностранной компании. Такими документами являются выписки с банковских счетов контролируемой иностранной компании или постоянного учреждения контролируемой иностранной компании, первичные документы, подтверждающие произведенные операции согласно обычаям делового оборота контролируемой иностранной компании или постоянного учреждения контролируемой иностранной компании;
2) для применения подпункта 2) части первой пункта 3-1 настоящей статьи:
копии ежемесячных выписок на бумажных и (или) электронных носителях со всех банковских счетов контролируемой иностранной компании или постоянного учреждения контролируемой иностранной компании за отчетный период;
официальный документ, выданный банком и (или) документ, заверенный подписью первого руководителя (или лица, уполномоченного подписывать финансовую отчетность) контролируемой иностранной компании и (или) постоянного учреждения контролируемой иностранной компании, раскрывающие информацию, предусмотренную в части второй подпункта 2) части первой пункта 3-1 настоящей статьи, и содержащие сведения обо всех банковских счетах контролируемой иностранной компании или постоянного учреждения контролируемой иностранной компании;
3) для применения подпункта 1) части первой пункта 4 настоящей статьи:
копия утвержденной финансовой отчетности контролируемой иностранной компании;
документ, заверенный подписью первого руководителя (или лица, уполномоченного подписывать финансовую отчетность) контролируемой иностранной компании, содержащий расшифровку доходов и расходов каждого филиала контролируемой иностранной компании, включенных в финансовую прибыль контролируемой иностранной компании, с указанием бизнес-идентификационных номеров таких филиалов, или пояснительная записка к аудированной финансовой отчетности, заверенная лицом, проводившим аудит финансовой отчетности контролируемой иностранной компании, содержащая расшифровку доходов и расходов каждого филиала контролируемой иностранной компании, включенных в финансовую прибыль контролируемой иностранной компании, с указанием бизнес-идентификационных номеров таких филиалов;
4) для применения подпункта 2) части первой пункта 4 настоящей статьи:
копия утвержденной финансовой отчетности контролируемой иностранной компании или постоянного учреждения контролируемой иностранной компании;
документ, заверенный подписью первого руководителя (или лица, уполномоченного подписывать финансовую отчетность) контролируемой иностранной компании и (или) постоянного учреждения контролируемой иностранной компании, содержащий расшифровку доходов от оказания услуг (выполнения работ) в Республике Казахстан без образования постоянного учреждения контролируемой иностранной компании, в разрезе сумм и покупателей, с указанием бизнес-идентификационных номеров и (или) индивидуальных идентификационных номеров, или пояснительная записка к аудированной финансовой отчетности, заверенная лицом, проводившим аудит финансовой отчетности контролируемой иностранной компании и (или) постоянного учреждения контролируемой иностранной компании, содержащая расшифровку доходов от оказания услуг (выполнения работ) в Республике Казахстан без образования постоянного учреждения контролируемой иностранной компании, в разрезе сумм и покупателей, с указанием бизнес-идентификационных номеров и (или) индивидуальных идентификационных номеров;
5) для применения подпунктов 3), 4), 5), 9) и 10) части первой пункта 4 настоящей статьи:
копии документа (документов), подтверждающего (подтверждающих) распределение дивидендов контролируемой иностранной компании;
документ, заверенный подписью первого руководителя (или лица, уполномоченного подписывать финансовую отчетность) контролируемой иностранной компании и (или) постоянного учреждения контролируемой иностранной компании, подтверждающий распределение и выплату дивидендов из источников в Республике Казахстан контролируемой иностранной компании и (или) иностранной компанией к другой контролируемой иностранной компании, применяющей уменьшение (в случае применения подпунктов 3), 9) и 10) части первой пункта 4 настоящей статьи), или пояснительная записка к аудированной финансовой отчетности, заверенная лицом, проводившим аудит финансовой отчетности контролируемой иностранной компании и (или) постоянного учреждения контролируемой иностранной компании, подтверждающая распределение и выплату дивидендов из источников в Республике Казахстан контролируемой иностранной компании и (или) иностранной компанией к другой контролируемой иностранной компании, применяющей уменьшение (в случае применения подпунктов 3), 9) и 10) части первой пункта 4 настоящей статьи);
копия утвержденной финансовой отчетности контролируемой иностранной компании или постоянного учреждения контролируемой иностранной компании;
документ, заверенный подписью первого руководителя (или лица, уполномоченного подписывать финансовую отчетность) контролируемой иностранной компании и (или) постоянного учреждения контролируемой иностранной компании, содержащий сведения о полученных дивидендах от дочерних (ассоциированных) организаций контролируемой иностранной компании, в разрезе сумм и наименований компаний, распределяющих дивиденды, с указанием регистрационного номера в стране резидентства, или пояснительная записка к аудированной финансовой отчетности, заверенная лицом, проводившим аудит финансовой отчетности контролируемой иностранной компании и (или) постоянного учреждения контролируемой иностранной компании, содержащая сведения о полученных дивидендах от дочерних (ассоциированных) организаций контролируемой иностранной компании, в разрезе сумм и наименований компаний, распределяющих дивиденды, с указанием регистрационного номера в стране резидентства;
документ, заверенный подписью первого руководителя (или лица, уполномоченного подписывать финансовую отчетность) резидента, содержащий сведения о единой организационной структуре консолидированной группы с указанием наименований, регистрационных номеров в стране резидентства, их географического местонахождения (наименования государств (территорий), размеров долей участия (голосующих акции) всех участников единой организационной структуры консолидированной группы;
6) для применения подпунктов 6), 7) и 8) части первой пункта 4 настоящей статьи:
копия утвержденной финансовой отчетности контролируемой иностранной компании или постоянного учреждения контролируемой иностранной компании;
документ, заверенный подписью первого руководителя (или лица, уполномоченного подписывать финансовую отчетность) контролируемой иностранной компании и (или) постоянного учреждения контролируемой иностранной компании, содержащий расшифровку доходов в виде вознаграждений, роялти из источников в Республике Казахстан, в разрезе сумм и наименований резидентов Республики Казахстан, выплативших доходы, с указанием бизнес-идентификационных номеров и (или) индивидуальных идентификационных номеров (в случае применения подпунктов 6) и 8) части первой пункта 4 настоящей статьи, в отношении доходов в виде вознаграждений, роялти), или пояснительная записка к аудированной финансовой отчетности, заверенная лицом, проводившим аудит финансовой отчетности контролируемой иностранной компании и (или) постоянного учреждения контролируемой иностранной компании, содержащая расшифровку доходов в виде вознаграждений, роялти из источников в Республике Казахстан, в разрезе сумм и наименований резидентов Республики Казахстан, выплативших доходы, с указанием бизнес-идентификационных номеров и (или) индивидуальных идентификационных номеров (в случае применения подпунктов 6) и 8) части первой пункта 4 настоящей статьи, в отношении доходов в виде вознаграждений, роялти);
документ, заверенный подписью первого руководителя (или лица, уполномоченного подписывать финансовую отчетность) контролируемой иностранной компании и (или) постоянного учреждения контролируемой иностранной компании, содержащий расшифровку дохода в виде прироста стоимости, в разрезе сумм, наименований и реализованных активов, в том числе находящихся в Республике Казахстан, с указанием регистрационных номеров в стране резидентства (в случае применения подпунктов 6), 7) и 8) части первой пункта 4 настоящей статьи, в отношении дохода в виде прироста стоимости), или пояснительная записка к аудированной финансовой отчетности, заверенная лицом, проводившим аудит финансовой отчетности контролируемой иностранной компании и (или) постоянного учреждения контролируемой иностранной компании, содержащая расшифровку дохода в виде прироста стоимости, в разрезе сумм, наименований и реализованных активов, в том числе находящихся в Республике Казахстан, с указанием регистрационных номеров в стране резидентства (в случае применения подпунктов 6), 7) и 8) части первой пункта 4 настоящей статьи, в отношении дохода в виде прироста стоимости);
документ, заверенный подписью первого руководителя (или лица, уполномоченного подписывать финансовую отчетность) резидента, содержащий сведения о единой организационной структуре консолидированной группы с указанием наименований, регистрационных номеров в стране резидентства, их географического местонахождения (наименования государств (территорий), размеров долей участия (голосующих акции) всех участников единой организационной структуры консолидированной группы;
копии правоустанавливающих документов резидента Республики Казахстан, соответствующего условиям подпункта 7) или 8) пункта 9 статьи 645 настоящего Кодекса;
7) для применения абзаца одиннадцатого части первой пункта 2 настоящей статьи:
копия утвержденной финансовой отчетности контролируемой иностранной компании или постоянного учреждения контролируемой иностранной компании;
документ, заверенный подписью первого руководителя (или лица, уполномоченного подписывать финансовую отчетность) контролируемой иностранной компании и (или) постоянного учреждения контролируемой иностранной компании, раскрывающий соотношение пассивных доходов к совокупной сумме доходов, в разрезе каждого вида пассивных доходов и сумм, включенных в совокупную сумму доходов, с указанием регистрационного номера покупателя в стране резидентства, или пояснительная записка к аудированной финансовой отчетности, заверенной лицом, проводившим аудит финансовой отчетности контролируемой иностранной компании и (или) постоянного учреждения контролируемой иностранной компании, раскрывающая соотношение пассивных доходов к совокупной сумме доходов, в разрезе каждого вида пассивных доходов и сумм, включенных в совокупную сумму доходов, с указанием регистрационного номера покупателя в стране резидентства.
Документы, указанные в настоящем пункте, или их копии должны быть в наличии у резидента (с обязательным переводом на казахский или русский язык, в случае необходимости), применяющего положения пунктов 3-1 и 4 настоящей статьи.
11. Резидент обязан не позднее десяти рабочих дней после сдачи декларации по корпоративному подоходному налогу или декларации о доходах и имуществе, в которой включена суммарная прибыль контролируемых иностранных компаний или постоянных учреждений контролируемых иностранных компаний, представить в уполномоченный орган трансформационный документ.
В целях настоящего раздела трансформационным документом признается документ, заверенный подписью и печатью (при ее наличии) резидента (или лица, уполномоченного подписывать на основании нотариально удостоверенной доверенности), содержащий следующие сведения:
1) единую организационную структуру консолидированной группы, участником (акционером) которой является резидент, с отражением наименования всех участников консолидированной группы и их географического местонахождения (наименования государств (территорий), где участники консолидированной группы созданы (учреждены), размеров долей участия, номеров государственной и налоговой регистрации всех участников консолидированной группы (при наличии налоговой регистрации);
2) финансовую прибыль и совокупную сумму доходов каждой контролируемой иностранной компании и (или) постоянного учреждения контролируемой иностранной компании;
3) соотношение пассивных доходов к совокупной сумме доходов каждой контролируемой иностранной компании или постоянного учреждения контролируемой иностранной компании, в разрезе каждого вида пассивных доходов и сумм, включенных в совокупную сумму доходов, с указанием регистрационного номера покупателя в стране резидентства (в случае применения абзаца одиннадцатого части первой пункта 2 настоящей статьи);
4) убыток каждой контролируемой иностранной компании или постоянного учреждения контролируемой иностранной компании, возникший в двух периодах, последовательно предшествующих отчетному периоду, с указанием сумм и года возникновения убытка (в случае применения абзаца двенадцатого части первой пункта 2 настоящей статьи);
5) каждый исключенный вид дохода и расхода из совокупной суммы доходов или финансовой прибыли до налогообложения контролируемой иностранной компании или постоянного учреждения контролируемой иностранной компании, в разрезе сумм (в случае применения подпункта 9-1) пункта 4 статьи 294 настоящего Кодекса или части второй пункта 3 настоящей статьи);
6) финансовую прибыль (убыток) за отчетный период каждой дочерней (ассоциированной, совместной) организации, консолидированную в консолидированной финансовой прибыли (консолидированном убытке) по консолидированной финансовой отчетности контролируемой иностранной компании, в разрезе сумм, наименований и регистрационных номеров в стране резидентства дочерних (ассоциированных, совместных) организаций (в случае применения части третьей пункта 3 настоящей статьи);
7) финансовую прибыль (убыток) за отчетный период каждой дочерней (ассоциированной, совместной) организации при ее консолидации из консолидированной финансовой прибыли (консолидированного убытка) по консолидированной финансовой отчетности материнской компании за отчетный период, которая подлежит увеличению (уменьшению) на суммы финансовой прибыли (убытков) от внутригрупповых операций при их исключении при консолидации, в разрезе сумм, наименований и регистрационных номеров в стране резидентства дочерних (ассоциированных, совместных) организаций (в случае применения части четвертой пункта 3 настоящей статьи);
8) банковские счета контролируемой иностранной компании или постоянного учреждения контролируемой иностранной компании, с указанием общей суммы поступивших денег за отчетный период, в разрезе номеров банковских счетов, наименования финансовой организации и еҰ географического местонахождения (наименования государств (территорий) (в случае применения пункта 3-1 настоящей статьи);
9) поступление денег на банковские счета контролируемой иностранной компании или постоянного учреждения контролируемой иностранной компании за отчетный период с других банковских счетов данной контролируемой иностранной компании или ее постоянного учреждения (внутренние и межбанковские переводы денег) с указанием номеров банковских счетов, сумм и дат совершения операций (в случае применения пункта 3-1 настоящей статьи);
поступление и (или) возврат заемных средств, за исключением вознаграждений по займам и пени, штрафов с указанием номеров банковских счетов, сумм и дат совершения операций (в случае применения пункта 3-1 настоящей статьи);
поступление ошибочно зачисленных денег при условии возврата в текущем налоговом периоде (в случае применения пункта 3-1 настоящей статьи);
поступление денег в качестве вклада в уставный капитал с указанием номеров банковских счетов, сумм и дат совершения операций (в случае применения пункта 3-1 настоящей статьи);
10) доходы и расходы каждого филиала контролируемой иностранной компании, включенные в финансовую прибыль контролируемой иностранной компании, с указанием бизнес-идентификационных номеров таких филиалов (в случае применения подпункта 1) части первой пункта 4 настоящей статьи);
11) доход от оказания услуг (выполнения работ) в Республике Казахстан без образования постоянного учреждения контролируемой иностранной компании в разрезе сумм и покупателей с указанием бизнес-идентификационных номеров и (или) индивидуальных идентификационных номеров (в случае применения подпункта 2) части первой пункта 4 настоящей статьи);
12) структуру получения дивидендов контролируемой иностранной компанией, отражающую распределение таких дивидендов от первоначального источника (в случае применения подпунктов 3), 4), 5), 9) и 10) части первой пункта 4 настоящей статьи).
В целях части первой настоящего подпункта структура должна содержать наименование лиц иных, чем физических, а также содержать следующие сведения о каждом участнике структуры:
суммы и периоды распределения дивидендов;
регистрационные номера в стране резидентства;
суммы финансовой прибыли за периоды, в которых распределены дивиденды;
13) доходы в виде вознаграждений, роялти из источников в Республике Казахстан в разрезе сумм и наименований резидентов Республики Казахстан, выплативших доходы, с указанием бизнес-идентификационных номеров и (или) индивидуальных идентификационных номеров (в случае применения подпунктов 6) и 8) части первой пункта 4 настоящей статьи, в отношении доходов в виде вознаграждений, роялти);
14) доход в виде прироста стоимости в разрезе сумм, наименований и реализованных активов, в том числе находящихся в Республике Казахстан, с указанием регистрационных номеров в стране резидентства (в случае применения подпунктов 6), 7) и 8) части первой пункта 4 настоящей статьи, в отношении дохода в виде прироста стоимости);
15) в случае применения пункта 4 статьи 303, пункта 2 статьи 638 и пункта 2 статьи 638-1 настоящего Кодекса:
сумма уплаты в иностранном государстве, в котором зарегистрирована контролируемая иностранная компания и (или) постоянное учреждение контролируемой иностранной компании, иностранного подоходного налога с финансовой прибыли контролируемой иностранной компании и (или) постоянного учреждения контролируемой иностранной компании;
удержание и перечисление в бюджет иностранного государства (иностранных государств) налога у источника выплаты с дохода (доходов), включенного (включенных) в финансовую прибыль до налогообложения контролируемой иностранной компании и (или) постоянного учреждения контролируемой иностранной компании;
включение в финансовую прибыль до налогообложения дохода (доходов), обложенного (обложенных) налогом у источника выплаты.
12. Исключен Законом РК от 10.12.2020 № 382-VI (вводится в действие с 01.01.2020).
13. Невключение в налогооблагаемый доход юридического лица-резидента или годовой доход физического лица-резидента по налоговой декларации финансовой прибыли контролируемой иностранной компании или финансовой прибыли постоянного учреждения контролируемой иностранной компании, подлежащей налогообложению в порядке, определенном настоящей статьей, или занижение суммы такой финансовой прибыли контролируемой иностранной компании или постоянного учреждения контролируемой иностранной компании в налоговой декларации резидента влечет ответственность в соответствии с законами Республики Казахстан.
14. Исключен Законом РК от 10.12.2020 № 382-VI (вводится в действие с 01.01.2020).
15. Резидент освобождается от ответственности и начисления пени при одновременном выполнении следующих условий:
1) в случае, если уполномоченным органом по результатам обмена информацией, проведенного с компетентным или уполномоченным органом иностранного государства в соответствии с международным договором, на основании сведений, имеющихся у уполномоченного органа в соответствии с пунктом 16 настоящей статьи, получена следующая информация:
о владении резидентом прямо или косвенно, или конструктивно долями участия либо наличии у резидента прямого или косвенного, или конструктивного контроля в контролируемой иностранной компании;
об эффективной ставке налога на прибыль;
о финансовой прибыли до налогообложения контролируемой иностранной компании или постоянного учреждения контролируемой иностранной компании;
2) в случае невозможности получения резидентом самостоятельно информации, указанной в подпункте 1) части первой настоящего пункта;
3) в случае подачи резидентом в соответствующий налоговый орган заявления об участии (контроле) в контролируемой иностранной компании и декларации по корпоративному подоходному налогу или декларации о доходах и имуществе за предыдущий (предыдущие) и (или) отчетный налоговый период (периоды) с включением в налогооблагаемый доход юридического лица-резидента или годовой доход физического лица-резидента финансовой прибыли контролируемой иностранной компании или финансовой прибыли постоянного учреждения контролируемой иностранной компании, подлежащей налогообложению, в сроки, установленные в уведомлении налогового органа.
Под невозможностью получения информации понимается выполнение одновременно следующих условий:
1) направление резидентом запросов более одного раза самостоятельно и (или) через контролируемое лицо в контролируемую иностранную компанию и неполучение ответов на свои запросы в части размера доли участия или контроля в контролируемой иностранной компании и (или) представления утвержденной финансовой отчетности и (или) аудированной финансовой отчетности контролируемой иностранной компании или постоянного учреждения контролируемой иностранной компании за соответствующий период (периоды);
2) отсутствие информации о данных финансовой отчетности контролируемой иностранной компании или постоянного учреждения контролируемой иностранной компании на интернет-ресурсах, в средствах массовой информации и иных источниках информации в силу непубличности контролируемой иностранной компании.
16. В случае невозможности получения резидентом информации самостоятельно, резидент имеет право обратиться в уполномоченный орган с просьбой направить запрос в компетентный или уполномоченный орган иностранного государства, с которым у Республики Казахстан действует международный договор, в части получения от него следующей информации и (или) документов:
1) о размере доли участия резидента либо наличии у резидента контроля в контролируемой иностранной компании;
2) об эффективной ставке налога на прибыль контролируемой иностранной компании или постоянного учреждения контролируемой иностранной компании за соответствующий период (периоды) (при необходимости);
3) о финансовой прибыли до налогообложения контролируемой иностранной компании или постоянного учреждения контролируемой иностранной компании за соответствующий период (периоды) (при необходимости);
4) финансовой отчетности контролируемой иностранной компании или постоянного учреждения контролируемой иностранной компании за соответствующий период (периоды), прошедшей аудит.
Резидент к обращению в уполномоченный орган прилагает информацию о контролируемой иностранной компании с раскрытием всех причастных контролируемых лиц, через которых осуществляется косвенное или конструктивное участие либо косвенный или конструктивный контроль. Резидент также вправе приложить к обращению копии запросов, направленных в адрес контролируемой иностранной компании самостоятельно или через контролируемое лицо, о предоставлении контролируемой иностранной компанией информации и (или) документов, указанных в настоящем пункте.
17. Налоговый орган при осуществлении налогового контроля имеет право запросить у резидента аудированную финансовую отчетность контролируемой иностранной компании и (или) постоянного учреждения контролируемой иностранной компании.
Резидент со дня направления запроса обязан в течение двухсот пятидесяти календарных дней представить аудированную финансовую отчетность (с обязательным переводом на казахский или русский язык).
После получения аудированной финансовой отчетности налоговый орган вправе пересчитать финансовую прибыль контролируемой иностранной компании или постоянного учреждения контролируемой иностранной компании при наличии расхождений с утвержденной финансовой отчетностью.
В случае непредставления аудированной финансовой отчетности по истечении срока, указанного в части второй настоящего пункта, налоговый орган вправе пересчитать финансовую прибыль контролируемой иностранной компании или постоянного учреждения контролируемой иностранной компании в порядке, установленном пунктом 3-1 настоящей статьи.
Сноска. Статья 297 с изменениями, внесенными законами РК от 10.12.2020 № 382-VI (вводится в действие с 01.01.2020); от 11.07.2022 № 135-VII (вводится в действие с 01.01.2023); от 15.07.2025 № 208-VIII (вводится в действие с 01.01.2025).
Статья 298. Заявление об участии (контроле) в контролируемой иностранной компании
1. Резидент обязан представить заявление об участии (контроле) в контролируемой иностранной компании не позднее 31 марта года, следующего за отчетным налоговым периодом.
Заявление об участии (контроле) в контролируемой иностранной компании представляется по состоянию на 31 декабря отчетного налогового периода в налоговый орган по форме, установленной уполномоченным органом.
Положения настоящего пункта не применяются к резидентам, отвечающим требованиям подпункта 1) пункта 1 статьи 296 настоящего Кодекса.
2. Резидент представляет заявление об участии (контроле) в контролируемой иностранной компании в налоговый орган по месту жительства или нахождения.
3. В случае обнаружения неполноты сведений, неточностей либо ошибок в заполнении представленного заявления об участии (контроле) в контролируемой иностранной компании резидент вправе представить скорректированное заявление с учетом обновленной информации.
4. При наличии у налогового органа информации, в том числе полученной от компетентного или уполномоченного органа иностранного государства в рамках обмена информацией в целях налогообложения в соответствии с международным договором, одной из сторон которого является Республика Казахстан, свидетельствующей о том, что резиденту принадлежат прямо или косвенно, или конструктивно доли участия либо прямой или косвенный, или конструктивный контроль в контролируемой иностранной компании, и в случае, если такой резидент не представил в соответствии с настоящей статьей заявление об участии (контроле) в контролируемой иностранной компании в установленные сроки, налоговый орган направляет такому налогоплательщику-резиденту уведомление об устранении нарушений налогового законодательства Республики Казахстан, в котором должна быть отражена следующая информация:
1) наименование или фамилия, имя, отчество (если оно указано в документе, удостоверяющем личность) резидента, которому направляется уведомление;
2) наименование контролируемой иностранной компании или постоянного учреждения контролируемой иностранной компании, в отношении которой или которого у налогового органа имеется информация, свидетельствующая о том, что резидент владеет прямо или косвенно, или конструктивно долями участия либо имеет прямой или косвенный, или конструктивный контроль в контролируемой иностранной компании;
3) номера государственной и (или) налоговой регистрации контролируемой иностранной компании или постоянного учреждения контролируемой иностранной компании (при наличии налоговой регистрации);
4) описание оснований, имеющихся у налоговых органов по признанию за резидентом долей участия либо контроля в контролируемой иностранной компании;
5) требование о представлении заявления об участии (контроле) в контролируемой иностранной компании;
6) требование о представлении декларации по корпоративному подоходному налогу или декларации о доходах и имуществе с отражением в ней налогового обязательства в соответствии со статьей 297 настоящего Кодекса.
5. В случае согласия с нарушениями, указанными в уведомлении об устранении нарушений налогового законодательства Республики Казахстан, резидент представляет в соответствующий налоговый орган заявление об участии (контроле) в контролируемой иностранной компании не позднее тридцати рабочих дней, следующих за днем получения уведомления об устранении нарушений налогового законодательства Республики Казахстан, налоговую декларацию в части включения налогового обязательства, возникающего в соответствии со статьей 297 настоящего Кодекса, за период владения прямо или косвенно, или конструктивно долями участия либо наличия прямого или косвенного, или конструктивного контроля в контролируемой иностранной компании.
6. В случае несогласия с указанными в уведомлении нарушениями резидент представляет один из следующих документов:
1) пояснение по выявленным нарушениям в письменной форме на бумажном носителе или в форме электронного документа – в налоговый орган, направивший уведомление об устранении нарушений налогового законодательства Республики Казахстан;
2) жалобу на действия (бездействие) должностных лиц налогового органа, направившего уведомление об устранении нарушений налогового законодательства Республики Казахстан, – в уполномоченный орган или суд.
При этом резидент обязан вместе с пояснениями представить документы, свидетельствующие об отсутствии владения резидентом прямо или косвенно, или конструктивно долями участия либо отсутствии у резидента прямого или косвенного, или конструктивного контроля в контролируемой иностранной компании.
7. Налоговый орган обязан рассмотреть представленные резидентом пояснения и подтверждающие документы.
8. Налогоплательщик-резидент признается прямо или косвенно, или конструктивно владеющим долями участия либо имеющим прямой или косвенный, или конструктивный контроль в контролируемой иностранной компании при выполнении одного из следующих условий:
при отсутствии жалобы на действия (бездействие) должностных лиц налогового органа, направившего уведомление, и неисполнении налогоплательщиком уведомления;
при отсутствии оснований, опровергающих информацию, указанную в пункте 4 настоящей статьи, о том, что резиденту принадлежат прямо или косвенно, или конструктивно доли участия либо он имеет прямой или косвенный, или конструктивный контроль в контролируемой иностранной компании, по итогам рассмотрения пояснений и подтверждающих документов налогоплательщика-резидента, имеющихся и (или) имевшихся у налогового органа.
В случае признания в соответствии с настоящей главой резидента как прямо или косвенно, или конструктивно владеющего долями участия либо признания у резидента прямого или косвенного, или конструктивного контроля в контролируемой иностранной компании на такого резидента распространяются положения настоящей главы. При этом налоговым органом такому налогоплательщику-резиденту направляется решение о признании его прямо или косвенно, или конструктивно владеющим долями участия либо имеющим прямой или косвенный, или конструктивный контроль в контролируемой иностранной компании не позднее трех рабочих дней с даты принятия решения о таком признании.
9. Налогоплательщик-резидент, который признан прямо или косвенно, или конструктивно владеющим долями участия либо имеющим прямой или косвенный, или конструктивный контроль в контролируемой иностранной компании, вправе обжаловать данное решение в уполномоченный орган в течение не позднее пятнадцати рабочих дней с даты получения такого решения.
10. Положения пункта 8 настоящей статьи распространяются также на случаи, соответствующие одновременно следующим условиям:
1) при получении резидентом одного из следующих видов отказа в удовлетворении жалобы:
судом;
вышестоящим налоговым органом;
уполномоченным органом;
2) при неисполнении налогоплательщиком уведомления об устранении нарушения налогового законодательства Республики Казахстан или решения налогового органа о признании налогоплательщика-резидента прямо или косвенно, или конструктивно владеющим долями участия либо имеющим прямой или косвенный, или конструктивный контроль в контролируемой иностранной компании.
11. Положения пунктов 4 – 10 настоящей статьи распространяются также на случаи своевременного представления резидентом заявления об участии (контроле) в контролируемой иностранной компании при отсутствии в нем сведений об одной или нескольких контролируемых иностранных компаниях.
Сноска. Статья 298 с изменениями, внесенными законами РК от 10.12.2020 № 382-VI (вводится в действие с 01.01.2020); от 15.07.2025 № 208-VIII (вводится в действие с 01.01.2025).
Глава 31. УБЫТКИ
Статья 299. Понятие убытка
1. Убытком от предпринимательской деятельности признается:
1) превышение вычетов над совокупным годовым доходом с учетом корректировок, предусмотренных статьей 241 настоящего Кодекса;
2) убыток от продажи предприятия как имущественного комплекса.
2. Убытком от реализации ценных бумаг и долей участия является:
1) по ценным бумагам, за исключением долговых ценных бумаг, отрицательная разница между стоимостью реализации и первоначальной стоимостью;
2) по долговым ценным бумагам – отрицательная разница между стоимостью реализации и стоимостью приобретения с учетом амортизации дисконта и (или) премии на дату реализации;
3) по долям участия – отрицательная разница между стоимостью реализации и первоначальной стоимостью доли участия.
3. Убыток по производному финансовому инструменту определяется как превышение расходов над поступлениями, которые определяются в соответствии со статьями 278 и 279 настоящего Кодекса.
Если иное не установлено настоящим пунктом, убыток по производному финансовому инструменту признается на день исполнения, досрочного или иного прекращения прав, а также на день совершения сделки с производным финансовым инструментом, требования по которому компенсируют полностью или частично обязательства по ранее совершенной сделке с производным финансовым инструментом.
Убыток по свопу, а также иному производному финансовому инструменту, срок действия которого превышает двенадцать месяцев со дня его заключения, исполнение которого предусматривает осуществление платежей до окончания срока действия финансового инструмента, размер которых зависит от изменения цены, курса валюты, показателей процентных ставок, индексов и иного установленного таким производным финансовым инструментом показателя, признается в каждом налоговом периоде, в котором возникает превышение, указанное в части первой настоящего пункта.
При этом убыток по производному финансовому инструменту, используемому в иных целях, чем в целях хеджирования или поставки базового актива, переносится в порядке, определенном пунктом 12 статьи 300 настоящего Кодекса.
Убыток по производному финансовому инструменту, применяемому в целях хеджирования, учитывается в соответствии со статьей 280 настоящего Кодекса.
4. Убытком от реализации земельных участков, объектов незавершенного строительства, неустановленного оборудования, за исключением активов, выкупленных для государственных нужд в соответствии с законами Республики Казахстан, является отрицательная разница между стоимостью реализации и первоначальной стоимостью таких активов.
4-1. Убытком по объекту интеллектуальной собственности, указанному в пункте 4-3 статьи 293 и пункте 4 статьи 709 настоящего Кодекса, признается превышение вычетов, предусмотренных настоящим разделом, над совокупным годовым доходом с учетом корректировок, указанных в статье 241 настоящего Кодекса. Убыток определяется по каждому объекту интеллектуальной собственности.
5. Убытком от предпринимательской деятельности не являются убытки, указанные в пунктах 2, 3, 4 и 4-1 настоящей статьи, а также убытки от выбытия фиксированных активов I группы.
Сноска. Статья 299 с изменениями, внесенными законами РК от 02.04.2019 № 241-VI (вводится в действие с 01.01.2019); от 20.12.2021 № 85-VII (вводятся в действие 01.01.2023).
Статья 300. Перенос убытков
1. Убытки от предпринимательской деятельности, а также убытки от выбытия фиксированных активов I группы и убытки от реализации объектов незавершенного строительства, неустановленного оборудования, за исключением активов, выкупленных для государственных нужд в соответствии с законами Республики Казахстан, переносятся на последующие десять лет включительно для погашения за счет налогооблагаемого дохода данных налоговых периодов.
Облагаемый доход контролируемых иностранных компаний и постоянных учреждений контролируемых иностранных компаний, за исключением зарегистрированных в государствах с льготным налогообложением, уменьшается на сумму убытков от предпринимательской деятельности в Республике Казахстан, возникших за отчетный и два предыдущих налоговых периода, последовательно предшествующих отчетному налоговому периоду. Убытки, учтенные в текущем и (или) предыдущих периодах за счет объектов налогообложения, определенных статьей 223 настоящего Кодекса, не учитываются.
2. Убытки от реализации земельных участков, за исключением земельных участков, выкупленных для государственных нужд в соответствии с законами Республики Казахстан, компенсируются за счет дохода от прироста стоимости, полученного при реализации таких активов.
Если данные убытки не могут быть компенсированы в периоде, в котором они имели место, то они могут переноситься на последующие десять лет включительно и компенсироваться за счет доходов от прироста стоимости, полученных при реализации земельных участков.
3. Если иное не установлено настоящей статьей, убытки, возникающие при реализации ценных бумаг, компенсируются за счет дохода от прироста стоимости, полученного при реализации других ценных бумаг, за исключением дохода от прироста стоимости, полученного при реализации ценных бумаг, указанных в пунктах 4, 5, 6 и 7 настоящей статьи.
Если данные убытки не могут быть компенсированы в периоде, в котором они имели место, то они могут переноситься на последующие десять лет включительно и компенсироваться за счет доходов от прироста стоимости, полученных при реализации других ценных бумаг, если иное не установлено настоящей статьей.
4. Убытки, возникшие от реализации акций, долей участия в юридическом лице-резиденте или консорциуме, созданном в Республике Казахстан, компенсируются за счет доходов от прироста стоимости при реализации акций, долей участия в юридическом лице-резиденте или консорциуме, созданном в Республике Казахстан. Настоящий пункт применяется при одновременном выполнении следующих условий:
на день реализации акций или долей участия налогоплательщик владеет данными акциями или долями участия более трех лет;
такое юридическое лицо-эмитент или такое юридическое лицо, доля участия в котором реализуется, или участник такого консорциума, который реализует долю участия в таком консорциуме, не является недропользователем;
имущество лиц (лица), являющихся (являющегося) недропользователями (недропользователем), в стоимости активов такого юридического лица-эмитента или такого юридического лица, доля участия в котором реализуется, или в общей стоимости активов участников консорциума, доля участия в котором реализуется, на день такой реализации составляет не более 50 процентов.
Указанный в настоящем пункте срок владения налогоплательщиком акциями или долями участия определяется совокупно с учетом сроков владения прежними собственниками акциями или долями участия, если такие акции или доли участия получены налогоплательщиком в результате реорганизации прежних собственников.
В целях настоящего пункта недропользователем не признается недропользователь, являющийся таковым исключительно из-за обладания правом на добычу подземных вод и (или) общераспространенных полезных ископаемых для собственных нужд, а также недропользователь, осуществляющий в течение двенадцатимесячного периода, предшествовавшего первому числу месяца, в котором реализованы акции или доли участия, последующую переработку (после первичной переработки) не менее 70 процентов добытого за указанный период минерального сырья, включая уголь, на собственных и (или) принадлежащих юридическому лицу-резиденту, являющемуся взаимосвязанной стороной, производственных мощностях, расположенных на территории Республики Казахстан.
При определении объема минерального сырья, включая уголь, направленного на последующую переработку, учитывается сырье:
направленное непосредственно на производство продукции, полученной в результате любой переработки, следующей за первичной переработкой;
использованное в производстве продукции первичной переработки в целях ее дальнейшего использования в последующей переработке.
При этом доля имущества лиц (лица), являющихся (являющегося) недропользователями (недропользователем), в стоимости активов юридического лица или консорциума, чьи акции или доли участия реализуются, определяется в соответствии со статьей 650 настоящего Кодекса.
Примечание РЦПИ!
Пункт 4-1 действует до 01.01.2029 в соответствии с Законом РК от 26.12.2018 № 203-VI.
4-1. Убытки, возникшие от реализации акций, выпущенных юридическими лицами, указанными в подпункте 6) пункта 1 статьи 293 настоящего Кодекса, долей участия в юридических лицах, указанных в подпункте 6) пункта 1 статьи 293 настоящего Кодекса, компенсируются за счет доходов от прироста стоимости при реализации акций, выпущенных юридическими лицами, указанными в подпункте 6) пункта 1 статьи 293 настоящего Кодекса, долей участия в юридических лицах, указанных в подпункте 6) пункта 1 статьи 293 настоящего Кодекса.
5. Убытки, возникающие от реализации методом открытых торгов на фондовой бирже, функционирующей на территории Республики Казахстан, ценных бумаг, находящихся на день реализации в официальных списках данной фондовой биржи, компенсируются за счет дохода от прироста стоимости при реализации методом открытых торгов на фондовой бирже, функционирующей на территории Республики Казахстан, ценных бумаг, находящихся на день реализации в официальных списках данной фондовой биржи.
6. Убытки, возникающие от реализации государственных эмиссионных ценных бумаг, компенсируются за счет дохода от прироста стоимости при реализации государственных эмиссионных ценных бумаг.
7. Убытки, возникающие от реализации агентских облигаций, компенсируются за счет дохода от прироста стоимости при реализации агентских облигаций.
8. Если убытки, указанные в пунктах 4, 5, 6 и 7 настоящей статьи, не могут быть компенсированы в периоде, в котором они имели место, то они не переносятся на последующие налоговые периоды.
9. Убытки специальной финансовой компании, полученные от деятельности, осуществляемой в соответствии с законодательством Республики Казахстан о проектном финансировании и секьюритизации, могут переноситься в сделках секьюритизации в течение срока обращения облигаций, обеспеченных выделенными активами.
10. Убытки, полученные в рамках применения специального налогового режима для производителей сельскохозяйственной продукции, продукции аквакультуры (рыбоводства) и сельскохозяйственных кооперативов, не переносятся на последующие налоговые периоды.
Примечание РЦПИ!
Пункт 11 действует до 01.01.2027 в соответствии с Законом РК от 25.12.2017 № 121-VI.
11. Убытки, полученные дочерней организацией банка, приобретающей сомнительные и безнадежные активы родительского банка, не переносятся на последующие налоговые периоды.
12. Убытки по производным финансовым инструментам, используемым в иных целях, чем в целях хеджирования или поставки базового актива, компенсируются за счет доходов по производным финансовым инструментам, используемым в иных целях, чем в целях хеджирования или поставки базового актива.
Если такие убытки не могут быть компенсированы в периоде, в котором возникли, то они могут переноситься на последующие десять лет включительно и компенсироваться за счет доходов по производным финансовым инструментам, используемым в иных целях, чем в целях хеджирования или поставки базового актива.
13. Убытки от предпринимательской деятельности, полученные юридическим лицом, за исключением указанного в пункте 14 настоящей статьи, по деятельности, по которой настоящим Кодексом предусмотрено уменьшение исчисленного в соответствии со статьей 302 настоящего Кодекса корпоративного подоходного налога на 100 процентов, не переносятся на последующие налоговые периоды.
14. Убытки, полученные организацией, реализующей инвестиционный приоритетный проект в рамках инвестиционного контракта, заключенного в соответствии с законодательством Республики Казахстан в сфере предпринимательства, не переносятся на налоговые периоды, следующие за налоговым периодом, в котором прекращено действие такого инвестиционного контракта.
15. Убытки по объекту интеллектуальной собственности, указанному в пункте 4-3 статьи 293 и пункте 4 статьи 709 настоящего Кодекса, компенсируются в последующих налоговых периодах за счет налогооблагаемого дохода по каждому объекту интеллектуальной собственности в пределах срока исковой давности.
Сноска. Статья 300 с изменениями, внесенными законами РК от 26.12.2018 № 203-VI (вводится в действие с 01.01.2019); от 10.12.2020 № 382-VI (вводится в действие с 01.01.2020); от 20.12.2021 № 85-VII (вводятся в действие 01.01.2023).
Статья 301. Перенос убытков при реорганизации
1. Убытки, передаваемые в связи с реорганизацией путем разделения или выделения, распределяются среди вновь созданных налогоплательщиков пропорционально удельному весу стоимости передаваемых на основании разделительного баланса активов в стоимости активов реорганизуемого юридического лица по состоянию на дату, предшествующую дате составления разделительного баланса, и переносятся в порядке, определенном статьей 300 настоящего Кодекса.
2. При реорганизации юридического лица путем присоединения или слияния в соответствии с решением Правительства Республики Казахстан убытки реорганизуемого юридического лица передаются правопреемнику однократно при каждой реорганизации и переносятся правопреемником в порядке, определенном статьей 300 настоящего Кодекса.
Глава 32. ПОРЯДОК ИСЧИСЛЕНИЯ И СРОКИ УПЛАТЫ КОРПОРАТИВНОГО ПОДОХОДНОГО НАЛОГА
Статья 302. Исчисление суммы корпоративного подоходного налога
Примечание ИЗПИ!
Действие пункта 1 приостановлено с 01.01.2025 до 01.01.2026 настоящим Кодексом и в период приостановления данный пункт действует в редакции п.п. 2) ст.783.
1. Корпоративный подоходный налог, за исключением корпоративного подоходного налога на чистый доход и корпоративного подоходного налога, удерживаемого у источника выплаты, исчисляется за налоговый период в следующем порядке:
произведение ставки, установленной пунктами 1 или 2 статьи 313 настоящего Кодекса, и налогооблагаемого дохода, уменьшенного на сумму доходов и расходов, предусмотренных статьей 288 настоящего Кодекса, а также уменьшенного на сумму убытков, переносимых в соответствии со статьей 300 настоящего Кодекса,
плюс
произведение ставки, установленной пунктом 1-1 статьи 313 настоящего Кодекса, и объекта налогообложения, определенного подпунктом 4) статьи 223 настоящего Кодекса, уменьшенного на сумму убытков, переносимых в соответствии с частью второй пункта 1 статьи 300 настоящего Кодекса,
плюс
произведение ставки, установленной пунктом 1-1 статьи 313 настоящего Кодекса, и объекта налогообложения, определенного подпунктом 5) статьи 223 настоящего Кодекса,
минус
сумма корпоративного подоходного налога, на которую осуществляется зачет в соответствии со статьей 303 настоящего Кодекса,
минус
сумма корпоративного подоходного налога, удержанного в налоговом периоде у источника выплаты с дохода в виде выигрыша, на которую осуществляется уменьшение в соответствии с пунктом 2 настоящей статьи,
минус
сумма корпоративного подоходного налога, удержанного у источника выплаты с дохода в виде вознаграждения, дивидендов, перенесенная из предыдущих налоговых периодов в соответствии с пунктом 3 настоящей статьи,
минус
сумма корпоративного подоходного налога, удержанного в налоговом периоде у источника выплаты с дохода в виде вознаграждения, дивидендов, на которую осуществляется уменьшение в соответствии с пунктом 2 настоящей статьи.
2. Сумма корпоративного подоходного налога, подлежащего уплате в бюджет, уменьшается на сумму корпоративного подоходного налога, удержанного у источника выплаты с дохода в виде выигрыша, вознаграждения, дивидендов, при наличии документов, подтверждающих удержание этого налога источником выплаты.
Положения настоящего пункта не применяются к организации, осуществляющей деятельность в социальной сфере, некоммерческой организации по корпоративному подоходному налогу, удержанному у источника выплаты с дохода в виде вознаграждения по депозитам.
3. Если сумма корпоративного подоходного налога, удержанного у источника выплаты с дохода в виде вознаграждения, дивидендов, больше исчисленного корпоративного подоходного налога, разница между суммой корпоративного подоходного налога, удержанного у источника выплаты, и суммой исчисленного корпоративного подоходного налога, подлежащего уплате в бюджет, переносится на последующие десять налоговых периодов включительно и последовательно уменьшает суммы корпоративного подоходного налога, подлежащие уплате в бюджет, данных налоговых периодов.
Сноска. Статья 302 с изменениями, внесенными законами РК от 02.04.2019 № 241-VI (вводится в действие с 01.01.2018); от 10.12.2020 № 382-VI (вводится в действие с 01.01.2020).
Статья 303. Зачет иностранного налога
1. Если иное не предусмотрено настоящей статьей, суммы уплаченных за пределами Республики Казахстан налогов на доходы или прибыль или иного иностранного налога, аналогичного корпоративному или индивидуальному подоходному налогу (далее в целях настоящей статьи – иностранный подоходный налог), с доходов, полученных налогоплательщиком-резидентом из источников за пределами Республики Казахстан, подлежат зачету в счет уплаты корпоративного или индивидуального подоходного налога в Республике Казахстан при наличии документа, подтверждающего уплату такого иностранного подоходного налога.
Таким документом является справка о суммах полученных доходов из источников в иностранном государстве и уплаченных налогов, выданная и (или) заверенная налоговым органом иностранного государства.
В случае, если справка о суммах полученных доходов из источников в иностранном государстве и уплаченных налогов, выданная и (или) заверенная налоговым органом иностранного государства, составлена на иностранном языке, обязательно наличие перевода на казахский или русский язык, засвидетельствованного нотариусом в порядке, определенном законодательством Республики Казахстан.
При отнесении в зачет сумм иностранного подоходного налога, уплаченных в иностранном государстве, в счет уплаты корпоративного или индивидуального подоходного налога налогоплательщик вправе представить указанную в настоящем пункте справку по требованию налогового органа с целью проведения камерального контроля.
2. Не предоставляется в Республике Казахстан зачет иностранного подоходного налога, исчисленного с доходов налогоплательщика-резидента из источников за пределами Республики Казахстан:
освобожденных от налогообложения в соответствии с положениями настоящего Кодекса;
подлежащих корректировке в соответствии со статьей 241 настоящего Кодекса;
подлежащих налогообложению в Республике Казахстан в соответствии с положениями международного договора независимо от факта уплаты и (или) удержания иностранного подоходного налога с таких доходов в иностранном государстве в пределах излишне уплаченной суммы налога в иностранном государстве. При этом излишне уплаченная сумма налога определяется как разница между фактически уплаченной суммой иностранного подоходного налога и суммой иностранного подоходного налога, подлежащей уплате в иностранном государстве в соответствии с положениями международного договора.
3. Размер зачитываемых сумм, предусмотренных настоящей статьей, определяется по каждому иностранному государству отдельно.
При этом размер зачитываемой суммы иностранного подоходного налога представляет собой наименьшую из следующих сумм:
1) сумму фактически уплаченного в иностранном государстве иностранного подоходного налога с доходов, полученных налогоплательщиком-резидентом из источников за пределами Республики Казахстан;
2) сумму иностранного подоходного налога с доходов из источников за пределами Республики Казахстан, подлежащую уплате в иностранном государстве в соответствии с положениями международного договора Республики Казахстан;
3) сумму корпоративного или индивидуального подоходного налога с доходов из источников за пределами Республики Казахстан, исчисленную в Республике Казахстан по ставке, установленной настоящим Кодексом.
Налогоплательщик в течение срока исковой давности, установленного статьей 48 настоящего Кодекса, производит зачет иностранного подоходного налога с доходов из источников за пределами Республики Казахстан в налоговом периоде, в котором указанный доход подлежит получению (получен).
В случае признания дохода в иностранном государстве в налоговом периоде, отличном от налогового периода, в котором указанный доход признается в соответствии с настоящим Кодексом, налогоплательщик-резидент вправе произвести зачет иностранного подоходного налога с доходов из источников за пределами Республики Казахстан в налоговом периоде, в котором такой доход начислен в соответствии с налоговым законодательством Республики Казахстан.
Положение настоящего пункта не распространяется на положения пункта 4 настоящей статьи.
4. Подлежит зачету в счет уплаты корпоративного подоходного налога в Республике Казахстан сумма подоходного налога с финансовой прибыли контролируемой иностранной компании или финансовой прибыли постоянного учреждения контролируемой иностранной компании, исчисленная по следующей формуле:
Нз = П × Д × Сэ/100 %, где:
Нз – сумма подоходного налога, подлежащая отнесению в зачет;
П – положительная величина финансовой прибыли контролируемой иностранной компании или положительная величина финансовой прибыли постоянного учреждения контролируемой иностранной компании, включенная в объект обложения резидента в соответствии со статьей 223 настоящего Кодекса;
Д – коэффициент прямого или косвенного, или конструктивного участия или прямого или косвенного, или конструктивного контроля резидента в контролируемой иностранной компании, определяемый в соответствии со статьей 297 настоящего Кодекса;
Сэ – эффективная ставка, определяемая в соответствии с подпунктом 12) пункта 4 статьи 294 настоящего Кодекса, без учета подоходного налога, в том числе удержанного у источника выплаты в Республике Казахстан с доходов, указанных в подпунктах 1) – 10) части первой пункта 4 статьи 297 настоящего Кодекса.
Положения части первой настоящего пункта не применяются к контролируемой иностранной компании и (или) постоянному учреждению контролируемой иностранной компании, которые зарегистрированы в государствах с льготным налогообложением и (или) резидент при исчислении суммарной прибыли контролируемой иностранной компании и (или) постоянного учреждения контролируемой иностранной компании использует в текущем налоговом периоде формулу с долей пассивных доходов.
В случае если финансовая прибыль контролируемой иностранной компании или финансовая прибыль постоянного учреждения контролируемой иностранной компании облагалась иностранным подоходным налогом в двух и более иностранных государствах, то в зачет принимается только тот иностранный подоходный налог, у которого эффективная ставка составляет максимальную величину из эффективных ставок иностранного подоходного налога, уплаченного в таких иностранных государствах. Положения настоящей части применяются:
1) при косвенном владении долями участия (голосующими акциями) или косвенном контроле в контролируемой иностранной компании и уплате иностранного подоходного налога в двух и более иностранных государствах (в которых зарегистрировано (зарегистрированы) контролируемое лицо (контролируемые лица), через которое (которые) осуществляется такое косвенное владение или такой косвенный контроль) с финансовой прибыли контролируемой иностранной компании или финансовой прибыли постоянного учреждения контролируемой иностранной компании, или
2) при прямом владении долями участия (голосующими акциями) или прямом контроле в контролируемой иностранной компании и уплате иностранного подоходного налога с финансовой прибыли постоянного учреждения контролируемой иностранной компании в иностранных государствах, в которых зарегистрированы:
постоянное учреждение контролируемой иностранной компании;
контролируемая иностранная компания, создавшая постоянное учреждение.
В случае владения резидентом прямо и косвенно долями участия (голосующими акциями) либо наличия у резидента прямого и косвенного контроля в контролируемой иностранной компании сумма иностранного подоходного налога с финансовой прибыли контролируемой иностранной компании или финансовой прибыли постоянного учреждения контролируемой иностранной компании, подлежащая отнесению в зачет в соответствии с настоящим пунктом, рассчитывается отдельно по каждому прямому и косвенному владению долями участия (голосующими акциями) либо прямому и косвенному контролю в контролируемой иностранной компании. При этом отнесению в зачет в соответствии с настоящим пунктом подлежит сумма величин такого иностранного подоходного налога, рассчитанных отдельно по прямому и косвенному владению долями участия (голосующими акциями) либо прямому и косвенному контролю в контролируемой иностранной компании.
Для применения настоящего пункта у резидента должны быть в наличии (с обязательным переводом на казахский или русский язык) следующие документы:
копия утвержденной отдельной финансовой отчетности контролируемой иностранной компании и (или) постоянного учреждения контролируемой иностранной компании;
документ, заверенный подписью первого руководителя (или лица, уполномоченного подписывать финансовую отчетность) резидента, раскрывающий единую организационную структуру консолидированной группы, участником (акционером) которой является резидент, с отражением наименования всех участников такой консолидированной группы и их географического местонахождения (наименования государств (территорий), где участники консолидированной группы созданы (учреждены), размеров долей участия и номеров государственной и налоговой регистрации всех участников консолидированной группы (при наличии налоговой регистрации);
копия составленного (составленных) на иностранном языке документа (документов), подтверждающего (подтверждающих) уплату в иностранном государстве, в котором зарегистрирована контролируемая иностранная компания или зарегистрировано постоянное учреждение контролируемой иностранной компании, иностранного подоходного налога с финансовой прибыли контролируемой иностранной компании и (или) постоянного учреждения контролируемой иностранной компании;
копия составленного (составленных) на иностранном языке документа (документов), подтверждающего (подтверждающих) удержание и перечисление в бюджет иностранного государства (иностранных государств) налога у источника выплаты с дохода (доходов), включенного (включенных) в финансовую прибыль до налогообложения;
документ, заверенный подписью первого руководителя (или лица, уполномоченного подписывать финансовую отчетность) контролируемой иностранной компании и (или) постоянного учреждения контролируемой иностранной компании, раскрывающий информацию о включении в финансовую прибыль до налогообложения дохода (доходов), обложенного (обложенных) налогом у источника выплаты, или пояснительная записка к аудированной финансовой отчетности, заверенная лицом, проводившим аудит финансовой отчетности контролируемой иностранной компании и (или) постоянного учреждения контролируемой иностранной компании, раскрывающая информацию о включении в финансовую прибыль до налогообложения дохода (доходов), обложенного (обложенных) налогом у источника выплаты.
Сноска. Статья 303 с изменениями, внесенными законами РК от 02.04.2019 № 241-VI (вводится в действие с 01.01.2018); от 10.12.2020 № 382-VI (вводится в действие с 01.01.2020).
Статья 304. Особенности исчисления и уплаты корпоративного подоходного налога отдельными категориями налогоплательщиков
Налогоплательщики, применяющие специальный налоговый режим для производителей сельскохозяйственной продукции, исчисляют корпоративный подоходный налог (кроме исчисляемого в порядке, определенном главой 33 настоящего Кодекса) с учетом положений главы 78 настоящего Кодекса.
Статья 305. Исчисление суммы авансовых платежей
1. Налогоплательщики, за исключением указанных в пункте 2 настоящей статьи, в порядке, определенном настоящей статьей:
1) исчисляют и уплачивают в сроки, установленные пунктом 2 статьи 306 настоящего Кодекса:
авансовые платежи по корпоративному подоходному налогу, подлежащие уплате равными долями за каждый месяц первого квартала отчетного налогового периода (далее для целей настоящей статьи – авансовые платежи до декларации);
авансовые платежи по корпоративному подоходному налогу, подлежащие уплате равными долями за каждый месяц второго, третьего, четвертого кварталов отчетного налогового периода (далее для целей настоящей статьи – авансовые платежи после декларации);
2) составляют и представляют в налоговый орган по месту нахождения налогоплательщика:
расчет суммы авансовых платежей по корпоративному подоходному налогу, подлежащей уплате за период до сдачи декларации по корпоративному подоходному налогу за предыдущий налоговый период (далее для целей настоящей статьи – расчет авансовых платежей до декларации);
расчет суммы авансовых платежей по корпоративному подоходному налогу, подлежащей уплате за период после сдачи декларации по корпоративному подоходному налогу за предыдущий налоговый период (далее для целей настоящей статьи – расчет авансовых платежей после декларации).
2. Не исполняют налоговые обязательства, предусмотренные пунктом 1 настоящей статьи:
1) налогоплательщики, у которых совокупный годовой доход с учетом корректировок за налоговый период, предшествующий предыдущему налоговому периоду, не превышает сумму, равную 325 000-кратному размеру месячного расчетного показателя, установленного законом о республиканском бюджете и действующего на 1 января финансового года, предшествующего предыдущему финансовому году, если иное не предусмотрено настоящим пунктом;
2) если иное не установлено пунктом 4 настоящей статьи, вновь созданные (возникшие) налогоплательщики – в течение налогового периода, в котором осуществлена государственная (учетная) регистрация в регистрирующем органе, а также в течение последующего налогового периода;
3) вновь зарегистрированные в налоговых органах в качестве налогоплательщиков юридические лица-нерезиденты, осуществляющие деятельность в Республике Казахстан через постоянное учреждение без открытия структурного подразделения юридического лица, – в течение налогового периода, в котором осуществлена регистрация в налоговых органах, а также в течение последующего налогового периода;
4) налогоплательщики, соответствующие условиям пункта 1 статьи 289 настоящего Кодекса;
5) налогоплательщики, соответствующие условиям пункта 1 статьи 291 настоящего Кодекса;
6) налогоплательщики, соответствующие условиям пунктов 2 и 3 статьи 290 настоящего Кодекса;
7) исключен Законом РК от 10.12.2020 № 382-VI (вводится в действие с 01.01.2021);
Примечание РЦПИ!
Подпункт 8) действует до 01.01.2029 в соответствии с Законом РК от 26.12.2018 № 203-VI.
8) налогоплательщики, соответствующие условиям пункта 4-3 статьи 293 настоящего Кодекса;
9) Действовал до 01.01.2023 в соответствии с Законом РК от 10.12.2020 № 382-VI.
10) организация, специализирующаяся на улучшении качества кредитных портфелей банков второго уровня, единственным акционером которой является Правительство Республики Казахстан.
11) налогоплательщики, соответствующие условиям пункта 2 статьи 6 Конституционного закона Республики Казахстан «О Международном финансовом центре «Астана».
3. При определении совокупного годового дохода для целей подпункта 1) пункта 2 настоящей статьи не учитываются:
доходы государственной исламской специальной финансовой компании, полученные от сдачи в имущественный наем (аренду) и (или) при реализации недвижимого имущества, указанного в подпункте 6) пункта 3 статьи 519 настоящего Кодекса, и земельных участков, занятых таким имуществом;
доходы организаций, указанных в подпункте 4) пункта 1 статьи 293 настоящего Кодекса, от осуществления показа в кинозалах на территории Республики Казахстан фильма, признанного национальным фильмом в соответствии с законодательством Республики Казахстан о кинематографии;
доходы организаций, указанных в подпункте 5) пункта 1 статьи 293 настоящего Кодекса, от проката и осуществления показа в кинозалах на территории Республики Казахстан фильма, признанного национальным фильмом в соответствии с законодательством Республики Казахстан о кинематографии, исключительным правом на использование которого они обладают;
доходы налогоплательщика, осуществляющего перевозку груза морским судном, зарегистрированным в международном судовом реестре Республики Казахстан, полученные от деятельности, указанной в пункте 2 статьи 293 настоящего Кодекса;
доходы налогоплательщиков, указанных в пунктах 1, 2 и 3 статьи 708 настоящего Кодекса, полученные от приоритетных видов деятельности;
доходы налогоплательщика, указанного в главе 80-1 настоящего Кодекса, по видам деятельности в рамках инвестиционного проекта, определенным соглашением об инвестициях.
4. Вновь возникшее юридическое лицо в результате реорганизации путем разделения или выделения исполняет налоговые обязательства, предусмотренные пунктом 1 настоящей статьи, в налоговом периоде, в котором осуществлена такая реорганизация, а также в течение двух последующих налоговых периодов в случае, если реорганизованное путем разделения или выделения юридическое лицо исчисляло авансовые платежи по корпоративному подоходному налогу в налоговом периоде, в котором осуществлена такая реорганизация.
5. Сумма авансовых платежей:
1) до декларации исчисляется (начисляется) за первый квартал отчетного налогового периода в размере одной четвертой от общей суммы авансовых платежей, исчисленной в расчетах сумм авансовых платежей за предыдущий налоговый период, за исключением случаев, предусмотренных подпунктом 2) настоящего пункта. В случае, если налогоплательщик занизил сумму авансовых платежей в расчете авансовых платежей до декларации, налоговый орган вправе произвести начисление суммы авансовых платежей за указанный период в размере положительной разницы между суммой авансовых платежей, определенной в соответствии с настоящим подпунктом, и суммой авансовых платежей, указанной в таком расчете, по срокам уплаты, установленным пунктом 2 статьи 306 настоящего Кодекса;
2) до декларации исчисляется исходя из предполагаемой суммы корпоративного подоходного налога за текущий налоговый период налогоплательщиками, которые:
не исчисляли авансовые платежи по корпоративному подоходному налогу в предыдущем налоговом периоде;
указаны в пункте 4 настоящей статьи, – в налоговом периоде, в котором осуществлена реорганизация путем разделения или выделения, а также в течение двух последующих налоговых периодов;
3) после декларации исчисляется в размере трех четвертых от суммы корпоративного подоходного налога, исчисленного за предыдущий налоговый период в соответствии с пунктом 1 статьи 302 и статьей 652 настоящего Кодекса, за исключением случаев, предусмотренных подпунктом 4) настоящего пункта. В целях исчисления авансовых платежей в сумму корпоративного подоходного налога, исчисленного за предыдущий налоговый период, не включается сумма корпоративного подоходного налога, исчисленная с суммарной прибыли контролируемых иностранных компаний или постоянных учреждений контролируемых иностранных компаний в соответствии со статьей 297 настоящего Кодекса;
4) после декларации исчисляется исходя из предполагаемой суммы корпоративного подоходного налога за текущий налоговый период в случаях:
если сумма корпоративного подоходного налога, исчисленного за предыдущий налоговый период в соответствии с пунктом 1 статьи 302 и статьей 652 настоящего Кодекса, равна нулю;
указанном в пункте 4 настоящей статьи, – в налоговом периоде, в котором осуществлена реорганизация путем разделения или выделения, а также в течение двух последующих налоговых периодов;
продления срока представления декларации по корпоративному подоходному налогу за предыдущий налоговый период.
6. Расчет авансовых платежей:
1) до декларации представляется не позднее 20 января отчетного налогового периода;
2) после декларации представляется не позднее 20 апреля отчетного налогового периода.
7. Налогоплательщики вправе представить дополнительный расчет авансовых платежей после декларации не позднее 31 декабря отчетного налогового периода исходя из предполагаемой суммы корпоративного подоходного налога за текущий налоговый период.
Суммы авансовых платежей после декларации с учетом корректировок, указанных в дополнительных расчетах авансовых платежей после декларации, не могут иметь отрицательное значение.
8. Нормы пунктов 2, 4 и 5 настоящей статьи не применяются к налогоплательщикам, осуществляющим деятельность в сфере цифровых активов.
9. Налогоплательщиками, осуществляющими деятельность в сфере цифровых активов, сумма авансовых платежей до и после декларации исчисляется исходя из предполагаемой суммы корпоративного подоходного налога за текущий налоговый период.
Сноска. Статья 305 с изменениями, внесенными законами РК от 26.12.2018 № 203-VI (вводится в действие с 01.01.2019); от 03.01.2019 № 213-VI (вводится в действие по истечении десяти календарных дней после дня его первого официального опубликования); от 02.04.2019 № 241-VI (порядок введения в действие см. ст. 2); от 10.12.2020 № 382-VI (порядок введения в действие см. ст. 2); от 21.12.2022 № 165-VII (вводится в действие с 01.01.2023); от 06.02.2023 № 196-VII (вводится в действие с 01.01.2024).
Статья 306. Сроки и порядок уплаты корпоративного подоходного налога
1. Налогоплательщики осуществляют уплату корпоративного подоходного налога, исчисленного в соответствии со статьей 302 настоящего Кодекса, по месту нахождения.
2. Налогоплательщики, указанные в пункте 1 статьи 305 настоящего Кодекса, обязаны вносить в бюджет авансовые платежи по корпоративному подоходному налогу за каждый месяц в течение налогового периода, установленного статьей 314 настоящего Кодекса, не позднее 25 числа каждого месяца в размере, определенном согласно статье 305 настоящего Кодекса.
3. Сумма авансовых платежей, внесенная в бюджет в течение налогового периода, зачитывается в счет уплаты корпоративного подоходного налога, исчисленного по декларации по корпоративному подоходному налогу за отчетный налоговый период.
Налогоплательщик осуществляет уплату по корпоративному подоходному налогу по итогам налогового периода не позднее десяти календарных дней после срока, установленного для сдачи декларации.
4. Налогоплательщик осуществляет уплату корпоративного подоходного налога, исчисленного в соответствии с главой 30 настоящего Кодекса, по итогам налогового периода не позднее десяти календарных дней после последнего срока, установленного пунктом 4 статьи 315 настоящего Кодекса.
Положения настоящего пункта не применяются к корпоративному подоходному налогу, исчисленному с налогооблагаемого дохода контролируемых иностранных компаний и постоянных учреждений контролируемых иностранных компаний, зарегистрированных в государствах с льготным налогообложением.
Сноска. Статья 306 с изменением, внесенным Законом РК от 10.12.2020 № 382-VI (вводится в действие с 01.01.2020).
Глава 33. КОРПОРАТИВНЫЙ ПОДОХОДНЫЙ НАЛОГ, УДЕРЖИВАЕМЫЙ У ИСТОЧНИКА ВЫПЛАТЫ
Статья 307. Доходы, облагаемые у источника выплаты
1. К доходам, облагаемым у источника выплаты, если иное не предусмотрено пунктом 2 настоящей статьи, относятся:
1) выигрыши, выплачиваемые юридическим лицом-резидентом Республики Казахстан, юридическим лицом-нерезидентом, осуществляющим деятельность в Республике Казахстан через постоянное учреждение, юридическому лицу-резиденту Республики Казахстан, юридическому лицу-нерезиденту, осуществляющему деятельность в Республике Казахстан через постоянное учреждение;
2) доходы нерезидентов из источников в Республике Казахстан, определяемые в соответствии со статьей 644 настоящего Кодекса, не связанные с постоянным учреждением таких нерезидентов, за исключением указанных в подпункте 3) настоящего пункта;
3) доходы, указанные в подпункте 10) пункта 1 статьи 644 настоящего Кодекса, выплачиваемые структурному подразделению юридического лица или постоянному учреждению нерезидента;
4) вознаграждение, выплачиваемое юридическим лицом-резидентом Республики Казахстан, юридическим лицом-нерезидентом, осуществляющим деятельность в Республике Казахстан через постоянное учреждение, юридическому лицу-резиденту Республики Казахстан, юридическому лицу-нерезиденту, осуществляющему деятельность в Республике Казахстан через постоянное учреждение;
5) Исключен Законом РК от 12.12.2023 № 45-VIII (вводится в действие с 01.01.2023).
2. Не подлежат обложению у источника выплаты:
1) вознаграждение по государственным эмиссионным ценным бумагам и агентским облигациям;
2) вознаграждение, дивиденды, выплачиваемые единому накопительному пенсионному фонду по размещенным пенсионным активам, а также вознаграждение, выплачиваемое добровольному накопительному пенсионному фонду по размещенным пенсионным активам, страховым организациям, осуществляющим деятельность в отрасли страхования жизни, паевым и акционерным инвестиционным фондам, Государственному фонду социального страхования и фонду социального медицинского страхования;
3) вознаграждение, выплачиваемое организации, осуществляющей обязательное гарантирование депозитов физических лиц;
4) вознаграждение по долговым ценным бумагам, находящимся на дату начисления такого вознаграждения в официальном списке фондовой биржи, функционирующей на территории Республики Казахстан;
5) вознаграждение по кредитам (займам), выплачиваемое организациям, осуществляющим отдельные виды банковских операций;
6) исключен Законом РК от 03.07.2019 № 262-VI (вводится в действие с 01.01.2020);
7) вознаграждение по кредиту (займу), депозиту, выплачиваемое банку-резиденту;
8) действовал до 01.01.2020 в соответствии с Законом РК от 25.12.2017 № 121-VI;
9) вознаграждение по договору лизинга, выплачиваемое лизингодателю-резиденту;
10) вознаграждение по операциям репо;
11) вознаграждение по микрокредитам, выплачиваемое организациям, осуществляющим микрофинансовую деятельность (за исключением ломбардов);
12) вознаграждение по долговым ценным бумагам, выплачиваемое:
организациям, осуществляющим профессиональную деятельность на рынке ценных бумаг;
юридическим лицам через организации, осуществляющие профессиональную деятельность на рынке ценных бумаг;
13) вознаграждение по депозитам, выплачиваемое:
некоммерческим организациям, за исключением зарегистрированных в форме акционерных обществ, учреждений и потребительских кооперативов, кроме объединений собственников имущества многоквартирного жилого дома, кооперативов собственников квартир (нежилых помещений);
автономным организациям образования, указанным в подпунктах 1) и 2) пункта 1 статьи 291 настоящего Кодекса;
14) вознаграждение, выплачиваемое по кредиту (займу, микрокредиту), право требования по которому уступлено юридическому лицу, указанному в законах Республики Казахстан «О банках и банковской деятельности в Республике Казахстан» и «О микрофинансовой деятельности»;
Примечание РЦПИ!
Подпункт 15) действует до 01.01.2027 в соответствии с Законом РК от 25.12.2017 № 121-VI.
15) вознаграждение, выплачиваемое организации, специализирующейся на улучшении качества кредитных портфелей банков второго уровня, единственным акционером которой является Правительство Республики Казахстан;
Примечание РЦПИ!
Подпункт 16) действует до 01.01.2027 в соответствии с Законом РК от 25.12.2017 № 121-VI.
16) вознаграждение по договору банковского вклада, выплачиваемое организации устойчивости, 100 процентов голосующих акций которой принадлежат Национальному Банку Республики Казахстан, в рамках Программы рефинансирования ипотечных жилищных займов (ипотечных займов), переданной организацией, специализирующейся на улучшении качества кредитных портфелей банков второго уровня, единственным акционером которой является Правительство Республики Казахстан.
Сноска. Статья 307 с изменениями, внесенными законами РК от 03.07.2019 № 262-VI (вводится в действие с 01.01.2020); от 26.12.2019 № 284-VІ (порядок введения в действие см. ст. 2); от 11.07.2022 № 135-VII (вводится в действие с 01.01.2023); от 12.12.2023 № 45-VIII (вводится в действие с 01.01.2023); от 15.07.2025 № 208-VIII (вводится в действие по истечении шестидесяти календарных дней после дня его первого официального опубликования).
Статья 308. Порядок исчисления корпоративного подоходного налога, удерживаемого у источника выплаты
1. Сумма корпоративного подоходного налога, удерживаемого у источника выплаты, определяется налоговым агентом путем применения ставки, установленной пунктом 3 статьи 313 настоящего Кодекса, к сумме выплачиваемого дохода, облагаемого у источника выплаты.
2. Налоговый агент обязан удержать налог, удерживаемый у источника выплаты, при выплате доходов, указанных в статье 307 настоящего Кодекса, за исключением доходов, предусмотренных подпунктом 2) пункта 1 статьи 307 настоящего Кодекса, независимо от формы и места выплаты дохода.
3. Юридическое лицо своим решением вправе признать налоговым агентом по корпоративному подоходному налогу, удерживаемому у источника выплаты, свое структурное подразделение по доходам, облагаемым у источника выплаты, которые выплачены (подлежат выплате) таким структурным подразделением.
Если иное не установлено настоящей статьей, решение юридического лица или отмена такого решения вводится в действие с 1 января года, следующего за годом принятия такого решения.
В случае если вновь созданное структурное подразделение юридического лица признается налоговым агентом, то решение юридического лица о таком признании вводится в действие со дня создания данного структурного подразделения или с 1 января года, следующего за годом создания данного структурного подразделения.
Положения настоящего пункта не распространяются на корпоративный подоходный налог, удерживаемый у источника выплаты с доходов, выплачиваемых (подлежащих выплате) юридическому лицу-нерезиденту, осуществляющему деятельность в Республике Казахстан без образования постоянного учреждения.
Статья 309. Порядок налогообложения доходов юридических лиц-нерезидентов, осуществляющих деятельность без образования постоянного учреждения в Республике Казахстан
Исчисление, удержание и перечисление корпоративного подоходного налога с доходов юридических лиц-нерезидентов, осуществляющих деятельность без образования постоянного учреждения в Республике Казахстан, установленных подпунктом 2) пункта 1 статьи 307 настоящего Кодекса, а также представление налоговой отчетности производятся в порядке, определенном главой 72 настоящего Кодекса.
Статья 310. Порядок исполнения налогового обязательства налоговым агентом по доходам, выплачиваемым резиденту в виде дивидендов по акциям, являющимся базовым активом депозитарных расписок, а также возврата подоходного налога, удержанного у источника выплаты
1. При выплате доходов в виде дивидендов по акциям, являющимся базовым активом депозитарных расписок, окончательному (фактическому) получателю (владельцу) дохода – резиденту через номинального держателя депозитарных расписок налоговый агент имеет право не облагать такие доходы подоходным налогом у источника выплаты в случаях и порядке, предусмотренных настоящим Кодексом, или применить к доходам физического лица-резидента ставку подоходного налога, предусмотренную пунктом 1 статьи 320 настоящего Кодекса, при одновременном выполнении следующих условий:
1) наличия списка держателей депозитарных расписок или документа, подтверждающего право собственности на депозитарные расписки, содержащих:
фамилии, имена, отчества (если оно указано в документе, удостоверяющем личность) физических лиц или наименования юридических лиц, являющихся держателями депозитарных расписок;
информацию о количестве и виде депозитарных расписок;
наименования и реквизиты документов, удостоверяющих личность физических лиц, или номера и даты государственной регистрации юридических лиц, являющихся держателями депозитарных расписок;
2) наличия документа, подтверждающего резидентство Республики Казахстан, лица – окончательного (фактического) получателя (владельца) дивидендов по акциям, являющимся базовым активом депозитарных расписок.
При этом документ, подтверждающий резидентство Республики Казахстан, представляется налоговому агенту не позднее одной из дат, указанных в пункте 4 статьи 666 настоящего Кодекса, которая наступит первой.
Список держателей депозитарных расписок, указанный в подпункте 1) части первой настоящего пункта, составляется организацией, обладающей правом осуществления депозитарной деятельности на рынке ценных бумаг Республики Казахстан или иностранного государства, в случае, если договор на осуществление учета и подтверждение прав собственности на депозитарные расписки заключен между резидентом-эмитентом акций, являющихся базовым активом депозитарных расписок, и такой организацией.
Документ, подтверждающий право собственности на депозитарные расписки, указанный в подпункте 1) части первой настоящего пункта, выдается одним из следующих лиц, оказывающих услуги номинального держания в соответствии с законами Республики Казахстан:
организацией, обладающей правом осуществления депозитарной деятельности на рынке ценных бумаг Республики Казахстан или иностранного государства;
профессиональным участником рынка ценных бумаг Республики Казахстан, осуществляющим учет финансовых инструментов и денег клиентов и подтверждение прав на них, хранение документарных финансовых инструментов клиентов с принятием на себя обязательств по их сохранности;
иной организацией, оказывающей услуги по номинальному держанию ценных бумаг, а также осуществляющей учет и подтверждение прав на ценные бумаги и регистрацию сделок с ценными бумагами таких держателей.
2. Налоговый агент обязан указать в налоговой отчетности, представляемой в налоговый орган, суммы начисленных (выплаченных) доходов и удержанных, освобожденных от удержания налогов в соответствии с настоящим Кодексом, ставки подоходного налога.
3. В случае неприменения налоговым агентом положений настоящего Кодекса при выплате резиденту через номинального держателя депозитарных расписок – нерезидента доходов в виде дивидендов по акциям, являющимся базовым активом депозитарных расписок, в порядке, определенном пунктом 1 настоящей статьи, налоговый агент обязан удержать подоходный налог у источника выплаты по ставке, установленной статьей 646 настоящего Кодекса.
Сумма удержанного подоходного налога подлежит перечислению в срок, установленный подпунктом 1) пункта 1 статьи 647 настоящего Кодекса.
4. Окончательный (фактический) получатель дохода – резидент имеет право на возврат излишне удержанного подоходного налога у источника выплаты в соответствии с настоящим Кодексом в случае перечисления налоговым агентом в бюджет подоходного налога, удержанного с доходов такого резидента.
При этом резидент за период, в котором им получен доход в виде дивидендов, обязан представить налоговому агенту нотариально засвидетельствованные копии:
1) документа, подтверждающего право собственности на депозитарные расписки;
2) документа, подтверждающего резидентство Республики Казахстан;
3) документа, подтверждающего получение дохода в виде дивидендов по акциям, являющимся базовым активом депозитарных расписок.
Документы, указанные в настоящем пункте, представляются резидентом до истечения срока исковой давности, установленного статьей 48 настоящего Кодекса, со дня последнего перечисления подоходного налога, удержанного у источника выплаты в бюджет.
При этом возврат резиденту излишне удержанного подоходного налога производится налоговым агентом.
5. Налоговый агент вправе представить в налоговый орган по месту своего нахождения дополнительный расчет по подоходному налогу, удерживаемому у источника выплаты, на сумму уменьшения при применении ставки налога, предусмотренной для резидентов, или освобождения от налогообложения за налоговый период, в котором произведены удержание и перечисление подоходного налога с доходов резидента в виде дивидендов по акциям, являющимся базовым активом депозитарных расписок.
В указанном случае зачет излишне уплаченной суммы подоходного налога, удержанного у источника выплаты, производится налоговому агенту в порядке, определенном статьей 102 настоящего Кодекса.
Сноска. Статья 310 с изменением, внесенным Законом РК от 11.07.2022 № 135-VII (вводится в действие с 01.01.2023).
Статья 311. Порядок перечисления корпоративного подоходного налога, удержанного у источника выплаты
1. Налоговый агент обязан перечислить сумму корпоративного подоходного налога, удержанного у источника выплаты, не позднее двадцати пяти календарных дней после окончания месяца, в котором была осуществлена выплата дохода, облагаемого у источника выплаты, если иное не предусмотрено настоящим Кодексом.
2. Перечисление суммы корпоративного подоходного налога, удержанного у источника выплаты, осуществляется по месту нахождения налогового агента.
Юридическое лицо-нерезидент, осуществляющее деятельность в Республике Казахстан через постоянное учреждение, производит перечисление суммы корпоративного подоходного налога, удержанного у источника выплаты, в бюджет по месту нахождения постоянного учреждения.
Статья 312. Расчет по корпоративному подоходному налогу, удержанному у источника выплаты
Налоговые агенты обязаны представить расчет по суммам корпоративного подоходного налога, удержанного у источника выплаты, не позднее 15 числа второго месяца, следующего за кварталом, в котором была произведена выплата дохода, облагаемого у источника выплаты.
Глава 34. СТАВКИ НАЛОГА, НАЛОГОВЫЙ ПЕРИОД И НАЛОГОВАЯ ДЕКЛАРАЦИЯ
Примечание ИЗПИ!
Действие статьи 313 приостановлено с 01.01.2025 до 01.01.2026 настоящим Кодексом и в период приостановления данная статья действует в редакции п.п. 3) ст.783.
Статья 313. Ставки налога
1. Налогооблагаемый доход налогоплательщика, уменьшенный на сумму доходов и расходов, предусмотренных статьей 288 настоящего Кодекса, и на сумму убытков, переносимых в порядке, определенном статьей 300 настоящего Кодекса, подлежит обложению налогом по ставке 20 процентов, если иное не установлено пунктом 2 настоящей статьи.
1-1. Объекты налогообложения, определенные подпунктами 4) и 5) статьи 223 настоящего Кодекса, подлежат обложению налогом по ставке 20 процентов.
2. Налогооблагаемый доход юридических лиц-производителей сельскохозяйственной продукции, продукции аквакультуры (рыбоводства), уменьшенный на сумму доходов и расходов, предусмотренных статьей 288 настоящего Кодекса, и на сумму убытков, переносимых в порядке, определенном статьей 300 настоящего Кодекса, подлежит обложению налогом по ставке 10 процентов в случае, если такой доход получен от осуществления деятельности по производству сельскохозяйственной продукции, продукции аквакультуры (рыбоводства), переработке и реализации указанной продукции собственного производства, а также продуктов такой переработки.
Для целей настоящего Кодекса доходом, полученным от осуществления деятельности, указанной в части первой настоящего пункта, признаются в том числе бюджетные субсидии, предоставленные производителям сельскохозяйственной продукции, по следующим направлениям:
1) удешевление для субъектов агропромышленного комплекса ставок вознаграждения по лизингу сельскохозяйственной техники, технологического оборудования, а также по кредитам на технологическое оборудование;
2) сохранение и развитие генофонда высокоценных сортов растений и пород сельскохозяйственных животных, птиц и рыб;
3) развитие семеноводства;
4) повышение продуктивности и качества продукции животноводства;
5) повышение продуктивности и качества продукции аквакультуры (рыбоводства);
6) повышение урожайности и качества продукции растениеводства, удешевление стоимости горюче-смазочных материалов и других товарно-материальных ценностей, необходимых для проведения весенне-полевых и уборочных работ, путем субсидирования производства приоритетных культур;
7) удешевление отечественным сельскохозяйственным товаропроизводителям стоимости удобрений (за исключением органических);
8) удешевление сельскохозяйственным товаропроизводителям стоимости гербицидов, биоагентов (энтомофагов) и биопрепаратов, предназначенных для обработки сельскохозяйственных культур в целях защиты растений;
9) развитие племенного животноводства;
10) закладка и выращивание (в том числе восстановление) многолетних насаждений плодово-ягодных культур и винограда;
11) возделывание сельскохозяйственных культур в защищенном грунте;
12) удешевление стоимости затрат на транспортные расходы при экспорте сельскохозяйственной продукции;
13) возмещение части расходов, понесенных субъектом агропромышленного комплекса при инвестиционных вложениях, направленных на создание новых или расширение действующих производственных мощностей для производства сельскохозяйственной продукции.
3. Доходы, облагаемые у источника выплаты, за исключением доходов нерезидентов из источников в Республике Казахстан, подлежат налогообложению у источника выплаты по ставке 15 процентов.
4. Доходы нерезидентов из источников в Республике Казахстан, определяемые подпунктами 1) – 9), 11) – 34) пункта 1 статьи 644 настоящего Кодекса, не связанные с постоянным учреждением таких нерезидентов, а также доходы, указанные в подпункте 10) пункта 1 статьи 644 настоящего Кодекса, облагаются по ставкам, установленным статьей 646 настоящего Кодекса.
5. Чистый доход юридического лица-нерезидента, осуществляющего деятельность в Республике Казахстан через постоянное учреждение, подлежит обложению корпоративным подоходным налогом по ставке и в порядке, которые установлены статьей 652 настоящего Кодекса.
Сноска. Статья 313 с изменением, внесенным Законом РК от 10.12.2020 № 382-VI (вводится в действие с 01.01.2020).
Статья 314. Налоговый период
1. Для корпоративного подоходного налога налоговым периодом является календарный год с 1 января по 31 декабря.
2. Если юридическое лицо было создано после начала календарного года, первым налоговым периодом для него является период времени со дня создания до конца календарного года.
При этом днем создания юридического лица считается день его государственной регистрации в регистрирующем органе.
3. Если юридическое лицо было ликвидировано, реорганизовано до конца календарного года, последним налоговым периодом для него является период времени от начала года до дня завершения ликвидации, реорганизации.
4. Если юридическое лицо, созданное после начала календарного года, ликвидировано, реорганизовано до конца этого же года, налоговым периодом для него является период времени со дня создания до дня завершения ликвидации, реорганизации.
5. Если юридическое лицо в течение календарного года осуществляло деятельность в специальных налоговых режимах для субъектов малого бизнеса, розничного налога и в общеустановленном порядке, в налоговый период не включается период времени, в течение которого осуществлялась деятельность в специальных налоговых режимах для субъектов малого бизнеса, розничного налога.
Сноска. Статья 314 с изменениями, внесенными законами РК от 02.04.2019 № 241-VI (вводится в действие с 01.07.2019); от 10.12.2020 № 382-VI (вводится в действие с 01.01.2021).
Статья 315. Налоговая декларация
1. Плательщик корпоративного подоходного налога представляет в налоговый орган по месту нахождения декларацию по корпоративному подоходному налогу не позднее 31 марта года, следующего за отчетным налоговым периодом, за исключением нерезидента, получающего из источников в Республике Казахстан исключительно доходы, подлежащие налогообложению у источника выплаты, и не осуществляющего деятельность в Республике Казахстан через постоянное учреждение, если иное не установлено настоящей статьей.
2. Декларация по корпоративному подоходному налогу состоит из декларации и приложений к ней по раскрытию информации об объектах налогообложения и (или) объектах, связанных с налогообложением.
3. Юридическое лицо, применяющее специальный налоговый режим на основе упрощенной декларации, не представляет декларацию по корпоративному подоходному налогу по доходам, облагаемым в соответствии с пунктами 1, 2 и 2-1 статьи 681 настоящего Кодекса.
4. В случае, если на дату представления декларации по корпоративному подоходному налогу отсутствует утвержденная финансовая отчетность, исчисление суммарной прибыли контролируемых иностранных компаний или постоянных учреждений контролируемых иностранных компаний производится в дополнительной декларации по корпоративному подоходному налогу, представляемой в течение шестидесяти рабочих дней, следующих за днем утверждения финансовой отчетности, но не позднее 31 марта второго года, следующего за отчетным налоговым периодом, с учетом положений статьи 211 настоящего Кодекса.
Сноска. Статья 315 с изменениями, внесенными законами РК от 02.04.2019 № 241-VI (вводится в действие с 01.01.2018); от 10.12.2020 № 382-VI (вводится в действие с 01.01.2020); от 06.02.2023 № 196-VII (вводится в действие с 01.04.2023).
РАЗДЕЛ 8. ИНДИВИДУАЛЬНЫЙ ПОДОХОДНЫЙ НАЛОГ
Глава 35. ОБЩИЕ ПОЛОЖЕНИЯ
Статья 316. Плательщики
1. Плательщиками индивидуального подоходного налога являются физические лица, имеющие объекты налогообложения в виде облагаемого дохода физического лица у источника выплаты и при самостоятельном налогообложении.
2. Исключен Законом РК от 10.12.2020 № 382-VI (вводится в действие с 01.01.2020).
Сноска. Статья 316 с изменением, внесенным Законом РК от 10.12.2020 № 382-VI (вводится в действие с 01.01.2020).
Статья 317. Особенности налогообложения доходов в отдельных случаях
1. По доходам, подлежащим налогообложению у источника выплаты, гражданина Республики Казахстан, иностранца или лица без гражданства, являющегося резидентом Республики Казахстан (далее – физическое лицо-резидент), исчисление, удержание и перечисление индивидуального подоходного налога, а также представление налоговой отчетности производятся налоговым агентом в порядке и сроки, которые установлены настоящей главой, параграфом 1 главы 36, главой 38 и статьей 657 настоящего Кодекса, по ставкам, предусмотренным статьей 320 настоящего Кодекса.
1-1. По доходам, подлежащим налогообложению у источника выплаты, плательщика единого платежа исчисление, удержание и перечисление индивидуального подоходного налога, а также представление налоговой отчетности производятся налоговым агентом в порядке, установленном главой 89-1 настоящего Кодекса.
2. По доходам, подлежащим налогообложению физическим лицом-резидентом самостоятельно, исчисление и уплата индивидуального подоходного налога, а также представление налоговой отчетности производятся в порядке и сроки, которые установлены параграфом 2 главы 36, главами 39, 40 и 71 настоящего Кодекса, по ставкам, предусмотренным статьей 320 настоящего Кодекса.
3. По доходам физического лица-нерезидента исчисление, удержание и перечисление индивидуального подоходного налога, а также представление налоговой отчетности производятся в порядке и сроки, которые установлены главами 71 и 74 настоящего Кодекса, по ставкам, предусмотренным статьями 320 и 646 настоящего Кодекса.
4. По доходам индивидуального предпринимателя, применяющего специальный налоговый режим для субъектов малого бизнеса, исчисление и уплата индивидуального подоходного налога, а также представление налоговой отчетности производятся в порядке и сроки, которые установлены главой 77 настоящего Кодекса.
5. По доходам индивидуального предпринимателя, применяющего специальный налоговый режим для производителей сельскохозяйственной продукции, продукции аквакультуры (рыбоводства) и сельскохозяйственных кооперативов, исчисление индивидуального подоходного налога производится с учетом особенностей, установленных главой 78 настоящего Кодекса.
6. Исключен Законом РК от 15.07.2025 № 208-VIII (вводится в действие с 01.01.2025).
7. Действовал до 01.01.2024 в соответствии с Законом РК от 26.12.2018 № 203-VI.
Сноска. Статья 317 с изменениями, внесенными законами РК от 26.12.2018 № 203-VI (вводится в действие с 01.01.2020); от 21.12.2022 № 165-VII (вводится в действие с 01.01.2023); от 15.07.2025 № 208-VIII (вводится в действие с 01.01.2025).
Статья 318. Объекты налогообложения
Объектами обложения индивидуальным подоходным налогом являются:
1) облагаемый доход физического лица у источника выплаты;
2) облагаемый доход физического лица при самостоятельном налогообложении.
Статья 319. Годовой доход физического лица
1. Годовой доход физического лица состоит из доходов, подлежащих получению (полученных) данным лицом в Республике Казахстан и за ее пределами в течение налогового периода, в виде доходов, подлежащих налогообложению:
1) у источника выплаты;
2) физическим лицом самостоятельно.
2. Не рассматриваются в качестве дохода физического лица:
1) компенсационные выплаты работникам в случаях, когда их работа протекает в пути, имеет разъездной характер, связана со служебными поездками в пределах обслуживаемых участков, – в пределах норм, установленных коллективным, трудовым договорами и (или) актом работодателя;
2) компенсации при служебных командировках, в том числе в целях обучения, повышения квалификации или переподготовки работника в соответствии с законодательством Республики Казахстан, если иное не установлено настоящей статьей:
установленные в подпунктах 1), 2) и 4) пункта 1 статьи 244 настоящего Кодекса;
по командировке в пределах Республики Казахстан – суточные не более 6-кратного размера месячного расчетного показателя, установленного законом о республиканском бюджете и действующего на 1 января соответствующего финансового года, за каждый календарный день нахождения в командировке в течение периода, не превышающего сорока календарных дней нахождения в командировке;
по командировке за пределами Республики Казахстан – суточные не более 8-кратного размера месячного расчетного показателя, установленного законом о республиканском бюджете и действующего на 1 января соответствующего финансового года, за каждый календарный день нахождения в командировке в течение периода, не превышающего сорока календарных дней нахождения в командировке;
3) компенсации при служебных командировках, в том числе в целях обучения, повышения квалификации или переподготовки работника в соответствии с законодательством Республики Казахстан, производимые государственными учреждениями, за исключением государственных учреждений, содержащихся за счет средств бюджета (сметы расходов) Национального Банка Республики Казахстан, в размерах, установленных законодательством Республики Казахстан;
4) компенсации при служебных командировках, в том числе в целях обучения, повышения квалификации или переподготовки работника в соответствии с законодательством Республики Казахстан, производимые государственными учреждениями, содержащимися за счет средств бюджета (сметы расходов) Национального Банка Республики Казахстан, в размерах и порядке, предусмотренных законодательством Республики Казахстан;
5) компенсации расходов, подтвержденных документально, по проезду, провозу имущества, найму (аренде) жилища на срок не более тридцати календарных дней при переводе работника на работу в другую местность либо переезде в другую местность вместе с работодателем;
6) расходы работодателя, не связанные с осуществлением деятельности, направленной на получение дохода, и не относимые на вычеты, которые не распределяются конкретным физическим лицам;
7) полевое довольствие работников, занятых на геологоразведочных, топографо-геодезических и изыскательских работах в полевых условиях, – за каждый календарный день такой работы в 2-кратном размере месячного расчетного показателя, установленного законом о республиканском бюджете и действующего на 1 января соответствующего финансового года;
8) расходы работодателя для обеспечения жизнедеятельности лиц, работающих вахтовым методом, в период нахождения на объекте производства с предоставлением условий для выполнения работ и междусменного отдыха:
по имущественному найму (аренде) жилища;
на питание в пределах суточных, установленных в подпункте 2) настоящего пункта;
9) расходы работодателя, связанные с доставкой работников от места их жительства (пребывания) в Республике Казахстан до места работы и обратно;
9-1) профессиональная выплата за счет средств работодателя в соответствии с Трудовым кодексом Республики Казахстан;
10) стоимость выданной специальной одежды, специальной обуви, в том числе их ремонта, средств индивидуальной защиты, моющих и дезинфицирующих средств, средств профилактической обработки, медицинской аптечки, молока или других равноценных пищевых продуктов и (или) специализированных продуктов для диетического (лечебного и профилактического) питания по нормам, установленным законодательством Республики Казахстан;
10-1) стоимость выданной работнику форменной одежды в случаях установления законодательством Республики Казахстан обязанности по ношению форменной одежды и (или) обеспечению ею;
10-2) расходы работодателя в пользу работников (включая возмещение расходов работников), направленные на лабораторное обследование, обеспечение средствами индивидуальной защиты, проведение медицинских осмотров, профилактические прививки, медицинское наблюдение, лечение, изоляцию, госпитализацию в связи с введением ограничительных мероприятий, в том числе карантина, вследствие признания заболевания пандемией решением чрезвычайного комитета Всемирной организации здравоохранения;
11) суммы пенсионных накоплений вкладчиков единого накопительного пенсионного фонда и добровольных накопительных пенсионных фондов, направленные в страховые организации по страхованию жизни, для оплаты страховых премий по заключенному договору накопительного страхования (пенсионного аннуитета), сумма денег, подлежащая возврату в единый накопительный пенсионный фонд по договору пенсионного аннуитета, а также выкупные суммы по договорам пенсионного аннуитета, направленные в страховые организации в порядке, предусмотренном законодательством Республики Казахстан;
12) суммы пени, начисленных за несвоевременное исчисление, удержание, перечисление социальных платежей в размерах, установленных законодательством Республики Казахстан;
13) следующие расходы, понесенные физическим лицом-арендатором, не являющимся индивидуальным предпринимателем, или возмещенные им физическому лицу-арендодателю, не являющемуся индивидуальным предпринимателем, при имущественном найме (аренде) жилища, жилого помещения (квартиры), – в случае, если указанные расходы производятся отдельно от арендной платы:
на содержание общего имущества объекта кондоминиума в соответствии с жилищным законодательством Республики Казахстан;
на оплату коммунальных услуг, предусмотренных Законом Республики Казахстан «О жилищных отношениях»;
на ремонт жилища, жилого помещения (квартиры);
14) превышение рыночной стоимости базового актива опциона на момент исполнения опциона над ценой исполнения опциона (ценой исполнения опциона является цена, по которой был зафиксирован базовый актив опциона в соответствующем документе, на основании которого опцион был предоставлен физическому лицу);
15) стоимость безвозмездно переданного в рекламных целях товара (в том числе в виде дарения) в случае, если стоимость единицы такого товара не превышает 5-кратный размер месячного расчетного показателя, установленного на соответствующий финансовый год законом о республиканском бюджете и действующего на дату такой передачи;
16) представительские расходы по приему и обслуживанию лиц, произведенные в соответствии со статьей 245 настоящего Кодекса;
17) материальная выгода от экономии на вознаграждении за пользование кредитами (займами, микрокредитами), полученными у юридических лиц и индивидуальных предпринимателей, в том числе полученными работником у своего работодателя;
18) обязательные пенсионные взносы работодателя в единый накопительный пенсионный фонд в размере, установленном законодательством Республики Казахстан;
Примечание ИЗПИ!
Подпункт 19) действует до 01.01.2027 в соответствии с Законом РК от 25.12.2017 № 121-VIII.
19) доход, полученный физическим лицом при предоставлении ему медицинской помощи в системе обязательного социального медицинского страхования в соответствии с законодательством Республики Казахстан об обязательном социальном медицинском страховании;
Примечание ИЗПИ!
Подпункт 20) действует до 01.01.2027 в соответствии с Законом РК от 25.12.2017 № 121-VIII.
20) доход, образовавшийся по ипотечному жилищному займу (ипотечному займу), полученному до 1 января 2016 года, который подлежит рефинансированию в рамках Программы рефинансирования ипотечных жилищных займов (ипотечных займов), утвержденной Национальным Банком Республики Казахстан, в виде:
прощения основного долга в части суммы ранее капитализированного вознаграждения, комиссии, неустойки (пени, штрафа);
прощения задолженности по вознаграждению, комиссии, неустойке (пени, штрафу);
уменьшения размера требования к заемщику по сумме основного долга ипотечного жилищного займа (ипотечного займа), полученного в иностранной валюте, в результате пересчета такой суммы с применением официального курса Национального Банка Республики Казахстан по состоянию на 18 августа 2015 года;
дохода, полученного заемщиком, который относится к социально уязвимым слоям населения в соответствии с законодательством Республики Казахстан о жилищных отношениях, в виде оплаты за такое лицо банком, организацией, осуществляющей отдельные виды банковских операций, а также организацией, добровольно вернувшей лицензию уполномоченного органа на проведение банковских операций, государственной пошлины, взимаемой с подаваемого в суд искового заявления;
21) стоимость имущества, в том числе деньги, которые легализованы в соответствии с Законом Республики Казахстан «Об амнистии граждан Республики Казахстан, оралманов и лиц, имеющих вид на жительство в Республике Казахстан, в связи с легализацией ими имущества»;
22) обязательные профессиональные пенсионные взносы в единый накопительный пенсионный фонд в размере, установленном законодательством Республики Казахстан;
23) доход при прекращении обязательств в соответствии с гражданским законодательством Республики Казахстан по кредиту (займу, ипотечному займу, ипотечному жилищному займу, микрокредиту), в том числе по основному долгу, вознаграждению, комиссии и неустойке (пени, штрафу), в следующих случаях, наступивших после выдачи кредита (займа, ипотечного займа, ипотечного жилищного займа, микрокредита) такому лицу:
признания физического лица — заемщика на основании вступившего в законную силу решения суда безвестно отсутствующим, недееспособным, ограниченно дееспособным или объявления его на основании вступившего в законную силу решения суда умершим;
установления физическому лицу – заемщику инвалидности первой или второй группы, а также в случае смерти физического лица – заемщика;
отсутствия другого дохода у физического лица — заемщика, получающего социальные выплаты в соответствии с Социальным кодексом Республики Казахстан в случаях потери кормильца, дохода в связи с беременностью и родами, усыновлением (удочерением) новорожденного ребенка (детей), уходом за ребенком по достижении им возраста одного года, кроме указанных выплат;
вступления в законную силу постановления судебного исполнителя о возврате исполнительного документа банку (микрофинансовой организации, ипотечной организации) в случае, когда у физического лица — заемщика и третьих лиц, несущих совместно с физическим лицом — заемщиком солидарную или субсидиарную ответственность перед банком (микрофинансовой организацией, ипотечной организацией), отсутствуют имущество, в том числе деньги, ценные бумаги, или доходы, на которые может быть обращено взыскание, и меры по выявлению его имущества или доходов, принятые судебным исполнителем в соответствии с законодательством Республики Казахстан об исполнительном производстве и статусе судебных исполнителей, оказались безрезультатными;
продажи заложенного имущества, которое полностью обеспечивало основное обязательство на дату заключения ипотечного договора, с торгов во внесудебном порядке по цене ниже суммы основного обязательства или перехода такого имущества в собственность залогодержателя в соответствии с Законом Республики Казахстан «Об ипотеке недвижимого имущества» на сумму непогашенного кредита (ипотечного займа, ипотечного жилищного займа, микрокредита) после продажи заложенного имущества.
Положения абзацев пятого и шестого части первой настоящего подпункта не распространяются на прекращение обязательств по кредиту (займу, ипотечному займу, ипотечному жилищному займу, микрокредиту):
выданному работнику банка (ипотечной организации, микрофинансовой организации), супругу (супруге), близким родственникам работника банка (ипотечной организации, микрофинансовой организации), взаимосвязанной стороне банка (ипотечной организации, микрофинансовой организации);
по которому произведены уступка права требования и (или) перевод долга;
23-1) добровольные пенсионные взносы, перечисленные налоговым агентом в единый накопительный пенсионный фонд, добровольный накопительный пенсионный фонд в пользу работника;
24) доход, образовавшийся при прекращении обязательств в соответствии с гражданским законодательством Республики Казахстан по кредиту (займу, ипотечному займу, ипотечному жилищному займу, микрокредиту), выданному банком (ипотечной организацией, микрофинансовой организацией), в виде:
прощения основного долга;
прощения задолженности по вознаграждению, комиссии, неустойке (пени, штрафу).
Положения настоящего подпункта применяются также в случае прощения обязательства лицом, которому уступлено право требования по кредиту (займу, микрокредиту), в соответствии с законами Республики Казахстан «О банках и банковской деятельности в Республике Казахстан» и «О микрофинансовой деятельности»;
24-1) доход, полученный заемщиком в результате оплаты за него банком, организацией, осуществляющей отдельные виды банковских операций, а также коллекторским агентством государственной пошлины, взимаемой с подаваемого в суд искового заявления;
25) материальная выгода, полученная за счет средств бюджета в соответствии с законодательством Республики Казахстан, в том числе при:
предоставлении объема услуг по дошкольному воспитанию и обучению, техническому и профессиональному, послесреднему, высшему, послевузовскому образованию, повышению квалификации и переподготовке работников и специалистов, а также обучению на подготовительных отделениях учебных заведений, осуществляемых в форме государственного образовательного заказа в соответствии с законодательством Республики Казахстан в области образования;
предоставлении гарантированного объема бесплатной медицинской помощи;
уплате взносов государства на обязательное социальное медицинское страхование;
предоставлении реабилитационного лечения, оздоровления и отдыха на объектах санаторно-курортного назначения;
предоставлении лекарственных средств и изделий медицинского назначения;
предоставлении местными исполнительными органами области, города республиканского значения, столицы товаров, работ, услуг лицу с инвалидностью в соответствии с законодательством Республики Казахстан о социальной защите. При этом положение настоящего абзаца распространяется на физическое лицо, являющееся:
лицом с инвалидностью;
индивидуальным помощником, оказывающим социальные услуги лицу с инвалидностью первой группы, имеющему затруднение в передвижении;
26) выплаты физическим лицам за приобретенное у них личное имущество физического лица.
В случае выплаты, предусмотренной настоящим подпунктом, произведенной налоговым агентом, положения настоящего подпункта применяются в отношении физического лица, представившего заявление налоговому агенту, в котором указывается, что реализуемые личные вещи не используются в предпринимательской деятельности и не являются объектом обложения для исчисления индивидуального подоходного налога с доходов, подлежащих налогообложению физическим лицом самостоятельно;
27) фактически произведенные расходы работодателя на оплату обучения, повышения квалификации или переподготовки в соответствии с законодательством Республики Казахстан при направлении работника на обучение, повышение квалификации или переподготовку по специальности, связанной с деятельностью работодателя, которое совершено с оформлением служебной командировки в другую местность;
28) материальная выгода от экономии на вознаграждении, полученная держателем платежной карточки по банковскому займу в связи с предоставлением беспроцентного периода по договору, заключенному между банком второго уровня и клиентом, – в течение периода, установленного в договоре;
29) материальная выгода, фактически произведенная автономной организацией образования, указанной в пункте 1 статьи 291 настоящего Кодекса, в виде оплаты (возмещения) расходов на проживание, медицинское страхование, в том числе на оплату страховых премий по договорам добровольного страхования на случай болезни, проезд воздушным транспортом от места жительства за пределами Республики Казахстан (страны, населенного пункта) до места осуществления деятельности в Республике Казахстан и обратно, полученная иностранным лицом – резидентом:
являющимся работником такой автономной организации образования;
осуществляющим деятельность в Республике Казахстан по выполнению работ, оказанию услуг такой автономной организации образования;
являющимся работником юридического лица – нерезидента, выполняющего работы, оказывающего услуги такой автономной организации образования, и непосредственно выполняющим такие работы и оказывающим такие услуги;
30) доходы в виде оплаты проезда и проживания государственным служащим, депутатам Парламента Республики Казахстан, судьям налоговым агентом, не являющимся работодателем, в случае направления указанных лиц в служебную командировку, связанную с осуществлением государственных функций, при выполнении следующих условий:
приглашение во внутригосударственные и зарубежные поездки за счет налогового агента, не являющегося работодателем, осуществлено с согласия вышестоящего должностного лица либо органа для участия в научных, спортивных, творческих, профессиональных, гуманитарных мероприятиях за счет средств налогового агента, в том числе поездках, осуществляемых в рамках уставной деятельности такого налогового агента;
наличие приказа (распоряжения) должностного лица государственного органа в соответствии с законодательством Республики Казахстан;
31) стоимость технических вспомогательных (компенсаторных) средств и специальных средств передвижения, переданных безвозмездно работодателем работнику, признанному лицом с инвалидностью вследствие получения трудового увечья или профессионального заболевания по вине работодателя, – по перечню, утвержденному Правительством Республики Казахстан в соответствии с законодательством Республики Казахстан о социальной защите;
32) стоимость услуг в виде протезно-ортопедической помощи, оказанной безвозмездно работодателем работнику, признанному лицом с инвалидностью вследствие получения трудового увечья или профессионального заболевания по вине работодателя, в соответствии с законодательством Республики Казахстан о социальной защите;
33) выплаты конфиденциальным помощникам в соответствии с законами Республики Казахстан «Об оперативно-розыскной деятельности» и «О контрразведывательной деятельности»;
34) расходы работодателя по направлению работника на обучение, повышение квалификации или переподготовку в соответствии с законодательством Республики Казахстан, совершенному без оформления служебной командировки, в случае обучения, повышения квалификации или переподготовки по специальности, связанной с деятельностью работодателя:
фактически произведенные расходы на оплату обучения, повышения квалификации или переподготовки работника;
фактически произведенные расходы работника на проживание в пределах норм, установленных уполномоченным органом;
фактически произведенные расходы на проезд к месту учебы при поступлении и обратно после завершения обучения, повышения квалификации или переподготовки работника;
сумма денег, назначенная работодателем к выплате работнику, в пределах:
6-кратного размера месячного расчетного показателя, установленного законом о республиканском бюджете и действующего на 1 января соответствующего финансового года, за каждый календарный день прохождения обучения, повышения квалификации или переподготовки работника – в течение срока прохождения обучения, повышения квалификации или переподготовки работника в пределах Республики Казахстан;
8-кратного размера месячного расчетного показателя, установленного законом о республиканском бюджете и действующего на 1 января соответствующего финансового года, за каждый календарный день прохождения обучения, повышения квалификации или переподготовки работника – в течение срока прохождения обучения, повышения квалификации или переподготовки работника за пределами Республики Казахстан;
35) сумма, зачисляемая банком и (или) Национальным оператором почты за счет средств банка и (или) Национального оператора почты на счет физического лица за осуществление безналичных платежей;
36) расходы автономной организации образования, определенной подпунктами 2) и 3) пункта 1 статьи 291 настоящего Кодекса, при направлении на обучение, повышение квалификации или переподготовку физического лица, не состоящего в трудовых отношениях с данной автономной организацией образования, но состоящего в трудовых отношениях с другой автономной организацией образования, определенной подпунктами 1) – 5) пункта 1 статьи 291 настоящего Кодекса, по решению автономной организации образования, осуществляющей такие расходы, с указанием специальности:
фактически произведенные расходы на оплату обучения, повышение квалификации или переподготовку физического лица;
фактически произведенные расходы на проживание в пределах норм, установленных уполномоченным органом;
фактически произведенные расходы на проезд к месту учебы при поступлении и обратно после завершения обучения, повышения квалификации или переподготовки физического лица;
сумма денег, назначенная автономной организацией образования к выплате физическому лицу, в пределах:
6-кратного размера месячного расчетного показателя, установленного законом о республиканском бюджете и действующего на 1 января соответствующего финансового года, за каждый календарный день прохождения обучения, повышения квалификации или переподготовки работника – в течение срока прохождения обучения, повышения квалификации или переподготовки обучаемого лица в пределах Республики Казахстан;
8-кратного размера месячного расчетного показателя, установленного законом о республиканском бюджете и действующего на 1 января соответствующего финансового года, за каждый календарный день прохождения обучения, повышения квалификации или переподготовки физического лица – в течение срока прохождения обучения, повышения квалификации или переподготовки обучаемого лица за пределами Республики Казахстан;
37) выплаты, произведенные автономной организацией образования, определенной подпунктом 2) пункта 1 статьи 291 настоящего Кодекса, в виде:
фактически произведенных расходов на оплату обучения и (или) прохождения профессиональной практики, которые предусмотрены образовательной программой по очной форме обучения по следующим уровням образования:
послесреднее образование;
высшее образование;
послевузовское образование;
фактически произведенных расходов на оплату участия в мероприятии внеурочной деятельности;
фактически произведенных расходов на проезд к месту обучения и (или) прохождения профессиональной практики, которые предусмотрены настоящим подпунктом, а также к месту проведения мероприятия внеурочной деятельности и обратно, включая оплату расходов за бронь, – на основании документов, подтверждающих расходы на проезд и за бронь (в том числе электронного билета при наличии документа, подтверждающего факт оплаты его стоимости);
фактически произведенных расходов на проживание в пределах норм, установленных уполномоченным органом;
суммы денег, назначенной к выплате физическому лицу в пределах:
6-кратного размера месячного расчетного показателя, установленного законом о республиканском бюджете и действующего на 1 января соответствующего финансового года, за каждый день обучения и (или) прохождения профессиональной практики, участия в мероприятии внеурочной деятельности – в течение срока, предусмотренного решением автономной организации образования, определенной подпунктом 2) пункта 1 статьи 291 настоящего Кодекса, при направлении физического лица в пределах Республики Казахстан;
8-кратного размера месячного расчетного показателя, установленного законом о республиканском бюджете и действующего на 1 января соответствующего финансового года, за каждый день обучения и (или) прохождения профессиональной практики, участия в мероприятии внеурочной деятельности – в течение срока, предусмотренного решением автономной организации образования, определенной подпунктом 2) пункта 1 статьи 291 настоящего Кодекса, при направлении физического лица за пределы Республики Казахстан;
расходов, произведенных при оформлении разрешения на въезд и выезд (визы) (стоимость визы, консульских услуг, обязательного медицинского страхования), на основании подтверждающих документов.
Положения настоящего подпункта применяются к физическим лицам, которые на дату принятия решения автономной организацией образования, определенной подпунктом 2) пункта 1 статьи 291 настоящего Кодекса, и в период обучения и (или) прохождения профессиональной практики, участия в мероприятии внеурочной деятельности обучаются в такой автономной организации образования:
на подготовительном отделении;
по следующим уровням образования:
начальная школа, включающая дошкольное воспитание и обучение;
основная школа;
старшая школа;
по очной форме обучения по следующим уровням образования:
послесреднее образование;
высшее образование;
послевузовское образование;
38) материальная выгода, полученная физическим лицом, которое обучается на подготовительном отделении автономной организации образования, определенной подпунктом 2) пункта 1 статьи 291 настоящего Кодекса, в виде оплаты (возмещения) расходов на питание, – в пределах 2-кратного размера месячного расчетного показателя, установленного законом о республиканском бюджете и действующего на 1 января соответствующего финансового года, за каждый день учебного года, за исключением периода каникул;
39) материальная выгода, полученная физическим лицом, которое обучается по очной форме обучения в автономной организации образования, определенной подпунктом 2) пункта 1 статьи 291 настоящего Кодекса, в виде оплаты (возмещения) расходов:
на медицинское страхование, в том числе на оплату страховых премий по договорам добровольного страхования на случай болезни;
на проживание в общежитии автономной организации образования, определенной пунктом 1 статьи 291 настоящего Кодекса;
39-1) сумма вознаграждения, полученная в соответствии с порядком, предусмотренным пунктом 14 статьи 22 настоящего Кодекса;
40) сумма, зачисляемая оператором связи за счет средств оператора связи на мобильный баланс абонента, за осуществление абонентом безналичных операций;
41) исчисленные суммы:
индивидуального подоходного налога с доходов физического лица – резидента в соответствии с положениями настоящего Кодекса и уплаченные в бюджет Республики Казахстан налоговым агентом за счет собственных средств без их удержания:
обязательных пенсионных взносов с доходов физического лица – резидента в соответствии с Социальным кодексом Республики Казахстан и уплаченные агентом по уплате обязательных пенсионных взносов за счет собственных средств без их удержания;
Примечание ИЗПИ!
Подпункт 42) действует до 01.01.2027 в соответствии с Законом РК от 25.12.2017 № 121-VIII.
42) доход, образовавшийся при прекращении обязательств по кредиту (займу), право требования по которому приобретено организацией, специализирующейся на улучшении качества кредитных портфелей банков второго уровня, единственным акционером которой является Правительство Республики Казахстан, в виде:
прощения основного долга;
прощения задолженности по вознаграждению, комиссии, неустойке (пени, штрафу);
43) стоимость услуг, полученных за счет бюджетных средств в виде государственной нефинансовой поддержки субъектов предпринимательства в соответствии с государственной программой в области развития агропромышленного комплекса Республики Казахстан, программами, утвержденными Правительством Республики Казахстан, оператором которых является Национальная палата предпринимателей Республики Казахстан;
44) дивиденды, возникшие в результате приобретения юридическим лицом-резидентом у юридического лица-нерезидента ценных бумаг или долей участия, при выполнении условий, установленных пунктом 7-1 статьи 228 настоящего Кодекса;
45) целевые накопления в соответствии с Законом Республики Казахстан «О правах ребенка в Республике Казахстан» в виде выплаты из единого накопительного пенсионного фонда, а также направленные на индивидуальный пенсионный счет для учета добровольных пенсионных взносов;
46) материальная выгода от экономии на стоимости товаров, работ, услуг при их приобретении за счет суммы, начисленной за ранее осуществленные покупки или полученные работы, услуги;
47) списание обязательств должника, в отношении которого применена процедура банкротства или восстановления платежеспособности в соответствии с Законом Республики Казахстан «О восстановлении платежеспособности и банкротстве граждан Республики Казахстан».
Сноска. Статья 319 с изменениями, внесенными законами РК от 02.04.2019 № 241-VI (вводится в действие с 01.01.2020); от 03.07.2019 № 262-VI (вводится в действие с 01.01.2020); от 10.12.2020 № 382-VI (порядок введения в действие см. ст. 2); от 24.06. 2021 № 53-VII (вводится в действие с 01.01.2025); от 21.12.2022 № 165-VII (вводится в действие с 01.01.2023); от 20.03.2023 № 213-VII (вводится в действие с 01.01.2023); от 12.12.2023 № 45-VIII (порядок введения в действие см. ст. 2); от 15.07.2025 № 208-VIII (вводится в действие с 01.01.2025).
Статья 320. Ставки налога
1. Доходы налогоплательщика облагаются налогом по ставке 10 процентов.
2. Исключен Законом РК от 11.07.2022 № 135-VII (вводится в действие с 01.01.2023).
Сноска. Статья 320 с изменением, внесенным Законом РК от 11.07.2022 № 135-VII (вводится в действие с 01.01.2023).
Статья 321. Доходы, включаемые в годовой доход физического лица
В годовой доход физического лица включаются все виды его доходов:
1) доход работника, в том числе доход домашнего работника и доход трудового иммигранта-резидента;
2) доход от реализации товаров, выполнения работ, оказания услуг, кроме имущественного дохода, полученный физическим лицом, не являющимся индивидуальным предпринимателем, лицом, занимающимся частной практикой;
3) доход в виде оплаты третьим лицом стоимости товаров, выполненных работ, оказанных услуг, полученных физическим лицом;
4) доход в виде работ, услуг, выполненных (оказанных) в счет погашения задолженности перед физическим лицом;
5) доход в виде безвозмездно полученного имущества, в том числе работ, услуг;
6) доход в виде прощения долга;
7) доход в виде уменьшения размера требования к должнику, за исключением списанных штрафа, пени и других видов санкций;
8) доход в виде выплаты вознаграждения по операциям репо;
9) доход в виде пенсионных выплат, единовременных пенсионных выплат;
10) доход в виде дивидендов, вознаграждений, выигрышей;
11) доход в виде стипендии;
12) доход по договорам накопительного страхования;
13) имущественный доход;
14) доход индивидуального предпринимателя;
15) доход лица, занимающегося частной практикой;
16) доходы от личного подсобного хозяйства, учтенного в книге похозяйственного учета в соответствии с законодательством Республики Казахстан, подлежащие налогообложению, в том числе по которым не было произведено удержание индивидуального подоходного налога у источника выплаты в связи с представлением налоговому агенту недостоверных сведений лицом, занимающимся личным подсобным хозяйством;
17) другие доходы, не указанные в подпунктах 1) – 16) настоящей статьи, полученные в Республике Казахстан или из источников за пределами Республики Казахстан;
18) суммарная прибыль контролируемых иностранных компаний или постоянных учреждений контролируемых иностранных компаний, определяемая в соответствии со статьей 340 настоящего Кодекса.
Сноска. Статья 321 с изменениями, внесенными законами РК от 10.12.2020 № 382-VI (вводится в действие с 01.01.2021); от 15.07.2025 № 208-VIII (вводится в действие с 01.01.2025).
Глава 36. ДОХОДЫ
Параграф 1. Доходы, подлежащие налогообложению у источника выплаты
Статья 322. Доход работника
1. Доходами работника, подлежащими налогообложению, являются следующие доходы, начисленные работодателем, являющимся налоговым агентом, и признанные, в том числе в бухгалтерском учете работодателя, в качестве расходов (затрат) в соответствии с законодательством Республики Казахстан о бухгалтерском учете и финансовой отчетности:
1) подлежащие передаче работодателем работнику в собственность деньги в наличной и (или) безналичной формах в связи с наличием трудовых отношений;
2) доходы работника в натуральной форме в соответствии со статьей 323 настоящего Кодекса;
3) доходы работника в виде материальной выгоды в соответствии со статьей 324 настоящего Кодекса.
Доходом работника, подлежащим налогообложению, также признается доход, полученный (подлежащий получению) членом совета директоров или иного органа управления налогоплательщика, не являющегося высшим органом управления.
2. Доходом работника, подлежащим налогообложению, полученным (подлежащим получению) от лиц, не являющихся налоговыми агентами, является доход, полученный (подлежащий получению) по трудовому договору (контракту), заключенному в соответствии с законодательством Республики Казахстан или иностранного государства.
3. К доходу работника, подлежащему налогообложению, не относятся следующие доходы:
1) доход физического лица от налогового агента по договорам гражданско-правового характера;
2) доход в виде пенсионных выплат, единовременных пенсионных выплат;
3) доход в виде дивидендов, вознаграждений, выигрышей;
4) стипендии;
5) доход по договорам накопительного страхования;
6) имущественный доход;
7) доход трудового иммигранта-резидента;
8) доход лица, занимающегося частной практикой;
9) доход индивидуального предпринимателя.
Сноска. Статья 322 с изменением, внесенным Законом РК от 10.12.2020 № 382-VI (вводится в действие с 01.01.2021).
Статья 323. Доход работника в натуральной форме
Доходом работника в натуральной форме, подлежащим налогообложению, являются:
1) стоимость товаров, ценных бумаг, доли участия и иного имущества (кроме денег), подлежащего передаче работодателем работнику в собственность в связи с наличием трудовых отношений, а также члену совета директоров или иного органа управления налогоплательщика, не являющегося высшим органом управления, в связи с выполнением возложенных на него управленческих обязанностей. Стоимость такого имущества определяется в следующем размере с учетом соответствующей суммы налога на добавленную стоимость и акцизов:
балансовой стоимости имущества;
стоимости имущества, определенной договором или иным документом, на основании которого имущество передается работнику, в случае отсутствия балансовой стоимости такого имущества;
2) выполнение работодателем работ, оказание услуг в пользу работника в связи с наличием трудовых отношений, а также в пользу члена совета директоров или иного органа управления налогоплательщика, не являющегося высшим органом управления, в связи с выполнением возложенных на него управленческих обязанностей. Стоимость выполненных работ, оказанных услуг определяется в размере расходов работодателя, понесенных в связи с таким выполнением работ, оказанием услуг, с учетом соответствующей суммы налога на добавленную стоимость;
3) стоимость имущества, полученного от работодателя на безвозмездной основе. Стоимость выполненных работ, оказанных услуг, полученных работником от работодателя на безвозмездной основе, определяется в размере расходов работодателя, понесенных в связи с таким выполнением работ, оказанием услуг;
4) оплата работодателем работнику или третьим лицам стоимости товаров, выполненных работ, оказанных услуг, полученных работником от работодателя или третьих лиц. Стоимость таких товаров, выполненных работ, оказанных услуг определяется в размере расходов работодателя, понесенных в связи с таким выполнением работ, оказанием услуг, с учетом соответствующей суммы налога на добавленную стоимость и акцизов.
Сноска. Статья 323 с изменением, внесенным Законом РК от 10.12.2020 № 382-VI (вводится в действие с 01.01.2021).
Статья 324. Доход работника в виде материальной выгоды
Доходом работника в виде материальной выгоды, подлежащим налогообложению, является в том числе:
1) отрицательная разница между стоимостью товаров, реализованных работнику, и их балансовой стоимостью или ценой их приобретения – при реализации товаров работнику;
отрицательная разница между стоимостью работ, услуг, реализованных работнику, и общей суммой расходов работодателя, понесенных в связи с таким выполнением работ, оказанием услуг с учетом соответствующей суммы налога на добавленную стоимость – при реализации работ, услуг работнику.
В целях применения настоящего подпункта цена приобретения используется налогоплательщиками, которые согласно законодательству Республики Казахстан о бухгалтерском учете и финансовой отчетности не осуществляют ведение бухгалтерского учета;
2) списание по решению работодателя суммы долга или обязательства работника перед ним – при списании суммы долга работнику;
3) расходы работодателя на уплату страховых премий по договорам страхования своих работников, заключенным в том числе работниками, – при уплате суммы страховых премий по договорам страхования;
4) расходы работодателя на возмещение затрат работника, не связанных с деятельностью работодателя, – при возмещении затрат работнику.
Сноска. Статья 324 с изменением, внесенным Законом РК от 10.12.2020 № 382-VI (вводится в действие с 01.01.2021).
Статья 325. Доход в виде безвозмездно полученного имущества, работ, услуг
Сноска. Заголовк статьи 325 с изменением, внесенным Законом РК от 10.12.2020 № 382-VI (вводится в действие с 01.01.2021).
Доход в виде безвозмездно полученного имущества определяется в следующем размере с учетом соответствующей суммы налога на добавленную стоимость и акцизов:
балансовой стоимости имущества;
стоимости имущества, определенной договором или иным документом, на основании которого имущество передается физическому лицу, в случае отсутствия балансовой стоимости такого имущества.
Доход в виде безвозмездно полученных работ и (или) услуг определяется в виде стоимости выполненных работ, оказанных услуг в размере расходов налогового агента, понесенных в связи с таким выполнением работ, оказанием услуг, с учетом соответствующей суммы налога на добавленную стоимость.
Сноска. Статья 325 с изменением, внесенным Законом РК от 10.12.2020 № 382-VI (вводится в действие с 01.01.2021).
Статья 326. Доход в виде пенсионных выплат
К доходу в виде пенсионных выплат, подлежащему налогообложению, относятся выплаты, осуществляемые единым накопительным пенсионным фондом и (или) добровольными накопительными пенсионными фондами:
1) из пенсионных накоплений налогоплательщиков, сформированных за счет:
обязательных пенсионных взносов в соответствии с законодательством Республики Казахстан;
обязательных профессиональных пенсионных взносов в соответствии с законодательством Республики Казахстан;
добровольных пенсионных взносов в соответствии с условиями договора о пенсионном обеспечении за счет добровольных пенсионных взносов;
2) физическим лицам-резидентам Республики Казахстан, достигшим пенсионного возраста и выехавшим на постоянное место жительства за пределы Республики Казахстан в соответствии с Социальным кодексом Республики Казахстан;
3) физическим лицам-резидентам Республики Казахстан, не достигшим пенсионного возраста и выехавшим на постоянное место жительства за пределы Республики Казахстан в соответствии с Социальным кодексом Республики Казахстан;
4) физическим лицам в виде пенсионных накоплений, унаследованных в порядке, определенном законодательством Республики Казахстан;
5) физическим лицам в виде единовременной выплаты на погребение умершего лица, имеющего пенсионные накопления, в порядке, установленном законодательством Республики Казахстан.
Сноска. Статья 326 с изменением, внесенным Законом РК от 10.12.2020 № 382-VI (вводится в действие с 01.01.2021).
Статья 327. Доход в виде дивидендов, вознаграждений, выигрышей
Доходом в виде дивидендов, вознаграждений, выигрышей, подлежащим налогообложению, являются:
1) выплаченные (подлежащие выплате) дивиденды, определенные подпунктом 16) пункта 1 статьи 1 настоящего Кодекса;
2) выплаченные (подлежащие выплате) вознаграждения;
3) выплаченные (подлежащие выплате) выигрыши.
Для целей настоящей главы к доходу в виде дивидендов, подлежащему налогообложению, относится также чистый доход от доверительного управления учредителя доверительного управления, полученный от юридического лица, являющегося доверительным управляющим.
Статья 328. Доход в виде стипендий
Доходом в виде стипендий, подлежащим налогообложению, является сумма денег, назначенная налоговым агентом к выплате:
обучающимся в организациях образования в соответствии с законодательством Республики Казахстан в области образования;
деятелям культуры, науки, работникам средств массовой информации и другим физическим лицам в соответствии с законодательством Республики Казахстан.
Статья 329. Доход по договорам накопительного страхования
Доходом по договорам накопительного страхования, подлежащим налогообложению, являются:
1) страховые выплаты, осуществляемые страховыми организациями по договорам накопительного страхования, страховые премии по которым были оплачены:
за счет пенсионных накоплений в едином накопительном пенсионном фонде и добровольных накопительных пенсионных фондах;
физическим лицом в свою пользу;
работодателем в пользу работника;
2) выкупные суммы, выплачиваемые в случаях досрочного прекращения таких договоров;
3) превышение суммы страховых выплат, осуществляемых страховой организацией, над суммой страховых премий, оплаченных за счет средств, не указанных в подпункте 1) настоящей статьи.
Сноска. Статья 329 с изменением, внесенным Законом РК от 10.12.2020 № 382-VI (вводится в действие с 01.01.2021).
Параграф 2. Доходы, подлежащие налогообложению физическим лицом самостоятельно
Статья 330. Имущественный доход
1. К имущественному доходу физического лица, подлежащему налогообложению, относятся:
1) доход от прироста стоимости при реализации физическим лицом имущества в Республике Казахстан, указанного в статье 331 настоящего Кодекса;
2) доход физического лица от реализации имущества, полученный из источников за пределами Республики Казахстан, указанного в статье 332 настоящего Кодекса;
3) доход от прироста стоимости при передаче физическим лицом имущества (кроме денег) в качестве вклада в уставный капитал, указанного в статье 333 настоящего Кодекса;
4) доход, полученный физическим лицом, не являющимся индивидуальным предпринимателем, от сдачи в имущественный наем (аренду) имущества лицам, не являющимся налоговыми агентами;
5) доход от уступки права требования, в том числе доли в жилом доме (здании) по договору о долевом участии в жилищном строительстве;
6) доход от прироста стоимости при реализации указанных в статье 334 настоящего Кодекса прочих активов индивидуального предпринимателя, применяющего специальный налоговый режим для субъектов малого бизнеса либо для крестьянских или фермерских хозяйств.
2. Положения подпунктов 1), 2) и 3) пункта 1 настоящей статьи применяются в отношении физических лиц, в том числе индивидуальных предпринимателей, применяющих специальный налоговый режим для субъектов малого бизнеса либо для крестьянских или фермерских хозяйств.
3. Имущественный доход не является доходом индивидуального предпринимателя, доходом лица, занимающегося частной практикой.
4. Имущественный доход, полученный (подлежащий получению) физическим лицом в иностранной валюте, пересчитывается в национальную валюту Республики Казахстан с применением рыночного курса обмена валют, определенного в последний рабочий день, предшествующий дате совершения сделки по реализации имущества.
Сноска. Статья 330 с изменением, внесенным Законом РК от 10.12.2020 № 382-VI (порядок введения в действие см. ст. 2).
Статья 331. Доход от прироста стоимости при реализации имущества в Республике Казахстан физическим лицом
1. Доход от прироста стоимости при реализации имущества физическим лицом возникает при реализации следующего имущества:
1) жилищ, дачных строений, гаражей, парковочных мест, объектов личного подсобного хозяйства, находящихся на территории Республики Казахстан на праве собственности менее года с даты регистрации права собственности;
2) земельных участков и (или) земельных долей, целевым назначением которых с даты возникновения права собственности до даты реализации являются индивидуальное жилищное строительство, дачное строительство, ведение личного подсобного хозяйства, под гараж, на которых расположены объекты, указанные в подпункте 1) настоящего пункта, находящихся на территории Республики Казахстан на праве собственности менее года с даты регистрации права собственности;
3) земельных участков и (или) земельных долей, целевым назначением которых с даты возникновения права собственности до даты реализации являются индивидуальное жилищное строительство, дачное строительство, ведение личного подсобного хозяйства, садоводство, под гараж, на которых не расположены объекты, указанные в подпункте 1) настоящего пункта, находящихся на территории Республики Казахстан на праве собственности менее года с даты регистрации права собственности;
4) земельных участков и (или) земельных долей с целевым назначением, не указанным в подпунктах 2) и 3) настоящего пункта, находящихся на территории Республики Казахстан;
5) инвестиционного золота, находящегося на территории Республики Казахстан;
6) недвижимого имущества, находящегося на территории Республики Казахстан, за исключением указанного в подпунктах 1), 2), 3) и 4) настоящего пункта;
7) механических транспортных средств и прицепов, подлежащих государственной регистрации в Республике Казахстан, находящихся на праве собственности менее года;
8) цифровых активов, производных финансовых инструментов (за исключением производных финансовых инструментов, исполнение которых происходит путем приобретения или реализации базового актива), эмитенты которых зарегистрированы в Республике Казахстан, доли участия в уставном капитале юридического лица, зарегистрированного в Республике Казахстан;
9) ценных бумаг.
Для целей определения прироста стоимости при наследовании прав одним из супругов на недвижимое имущество, указанное в подпунктах 1), 2) и 3) части первой настоящего пункта, период, указанный в данных подпунктах, определяется с даты регистрации права общей совместной собственности супругов на такое имущество.
2. Доходом от прироста стоимости при реализации имущества, указанного в подпунктах 1) – 7) пункта 1 настоящей статьи, является положительная разница между ценой (стоимостью) реализации имущества и ценой (стоимостью) его приобретения.
Положения настоящего пункта не распространяются на доход от прироста стоимости при реализации безвозмездно полученного имущества, который определяется в соответствии с пунктами 5, 6 и 7 настоящей статьи.
3. В случае реализации недвижимого имущества, приобретенного путем долевого участия в жилищном строительстве, доходом от прироста стоимости является положительная разница между ценой (стоимостью) реализации имущества и ценой договора о долевом участии в жилищном строительстве.
4. В случае реализации недвижимого имущества, приобретенного в результате уступки права требования доли в жилом здании по договору о долевом участии в жилищном строительстве, доходом от прироста стоимости является положительная разница между ценой (стоимостью) реализации имущества и стоимостью, по которой налогоплательщик приобрел право требования доли в жилом здании по договору о долевом участии в жилищном строительстве.
5. В случае реализации физическим лицом имущества, указанного в пункте 1 настоящей статьи, которое ранее было включено в объект налогообложения в соответствии с пунктом 2 статьи 681 настоящего Кодекса в виде безвозмездно полученного имущества или по которому ранее был определен доход в виде безвозмездно полученного имущества в соответствии со статьей 238 настоящего Кодекса, доходом от прироста стоимости является положительная разница между ценой (стоимостью) реализации имущества и стоимостью безвозмездно полученного имущества, включенной ранее в доход.
6. В случаях реализации индивидуального жилого дома, построенного лицом, его реализующим, а также имущества, указанного в подпунктах 1) – 7) пункта 1 настоящей статьи, полученного в виде наследования, благотворительной помощи (за исключением случая, предусмотренного пунктом 5 настоящей статьи), доходом от прироста стоимости является положительная разница между ценой (стоимостью) реализации имущества и рыночной стоимостью реализуемого имущества на дату возникновения права собственности.
При этом такая рыночная стоимость должна быть определена налогоплательщиком не позднее срока, установленного для представления декларации о доходах и имуществе за налоговый период, в котором реализовано такое имущество. В целях настоящего пункта рыночной стоимостью является стоимость, определенная в отчете об оценке, проведенной по договору между оценщиком и налогоплательщиком в соответствии с законодательством Республики Казахстан об оценочной деятельности.
7. В случае, указанном в пункте 6 настоящей статьи, при отсутствии рыночной стоимости, определенной на дату возникновения права собственности на реализованное имущество, указанное в подпунктах 1) – 7) пункта 1 настоящей статьи, либо при несоблюдении срока определения рыночной стоимости, установленного пунктом 6 настоящей статьи, а также в других случаях отсутствия цены (стоимости) приобретения имущества, не указанных в пункте 6 настоящей статьи, доходом от прироста стоимости является:
1) по имуществу, указанному в подпункте 1) пункта 1 настоящей статьи, – положительная разница между ценой (стоимостью) реализации имущества и оценочной стоимостью. При этом оценочной стоимостью является стоимость, определенная для исчисления налога на имущество Государственной корпорацией «Правительство для граждан», на 1 января года, в котором возникло право собственности на реализованное имущество;
2) по имуществу, указанному в подпунктах 2), 3) и 4) пункта 1 настоящей статьи, – положительная разница между ценой (стоимостью) реализации имущества и кадастровой (оценочной) стоимостью земельного участка. При этом кадастровой (оценочной) стоимостью является стоимость, определенная Государственной корпорацией «Правительство для граждан», ведущей государственный земельный кадастр, на одну из наиболее поздних дат:
дату возникновения права собственности на земельный участок;
последнюю дату, предшествующую дате возникновения права собственности на земельный участок;
3) по имуществу, указанному в подпунктах 5), 6) и 7) пункта 1 настоящей статьи, – цена (стоимость) реализации такого имущества.
При реализации здания, части здания, построенного физическим лицом, его реализующим, который не является индивидуальным предпринимателем, доходом от прироста стоимости является положительная разница между ценой (стоимостью) реализации такого имущества и стоимостью земельного участка, приобретенного для строительства такого здания, части здания. При реализации части здания стоимость земельного участка определяется пропорционально реализуемой части здания.
В случае реализации здания, не используемого в предпринимательской деятельности, которое было ранее реконструировано из индивидуального жилого дома, доходом от прироста стоимости является положительная разница между ценой (стоимостью) реализации такого имущества и стоимостью его приобретения как индивидуального жилого дома.
8. В случае реализации физическим лицом имущества, указанного в подпункте 7) пункта 1 настоящей статьи, которое было ранее ввезено на территорию Республики Казахстан таким лицом, ценой (стоимостью) его приобретения являются:
1) по механическим транспортным средствам и (или) прицепам, ввезенным с территории государства, не являющегося членом Евразийского экономического союза, – цена (стоимость), указанная в договоре (контракте) или ином документе, подтверждающем приобретение механического транспортного средства и (или) прицепа на территории государства, не являющегося членом Евразийского экономического союза, и таможенные и утилизационные платежи, а также суммы налога на добавленную стоимость и акциза, указанные в декларации на товары и уплаченные при ввозе таких механических транспортных средств и (или) прицепов;
2) по механическим транспортным средствам и (или) прицепам, ввезенным с территории государства-члена Евразийского экономического союза, – цена (стоимость), указанная в договоре (контракте) или ином документе, подтверждающем приобретение механического транспортного средства и (или) прицепа на территории государства-члена Евразийского экономического союза, и суммы налога на добавленную стоимость и акциза, указанные в заявлении о ввозе товаров и уплате косвенных налогов и уплаченные в порядке, определенном настоящим Кодексом.
9. Доходом от прироста стоимости при реализации имущества, указанного в подпункте 8) пункта 1 настоящей статьи, являются:
1) положительная разница между ценой (стоимостью) реализации и ценой (стоимостью) его приобретения (вклада) – в случае наличия цены (стоимости) приобретения (вклада);
2) цена (стоимость) реализации имущества – в случае отсутствия цены (стоимости) приобретения имущества (вклада).
10. Доход от прироста стоимости при реализации ценных бумаг состоит из:
1) дохода от прироста стоимости при реализации ценных бумаг, кроме льготируемых ценных бумаг;
2) дохода от прироста стоимости при реализации льготируемых ценных бумаг.
11. Результат от реализации ценных бумаг, в том числе погашения долговых ценных бумаг, может иметь положительное или отрицательное значение и определяется по каждой операции выбытия за налоговый период как разница между стоимостью реализации, погашения ценной бумаги и ее первоначальной стоимостью.
12. Общая сумма результатов от всех операций реализации ценных бумаг, кроме льготируемых ценных бумаг, за налоговый период признается:
доходом от прироста стоимости, если такая сумма имеет положительное значение;
равной нулю, если такая сумма имеет нулевое или отрицательное значение.
13. Общая сумма результатов от всех операций по реализации льготируемых ценных бумаг за налоговый период признается:
доходом от прироста стоимости льготируемых ценных бумаг, если такая сумма имеет положительное значение и учитывается в соответствии с подпунктами 5), 6), 8-1), 15) и 16) пункта 1 статьи 341 настоящего Кодекса;
равной нулю, если такая сумма имеет нулевое или отрицательное значение.
Льготируемыми ценными бумагами являются ценные бумаги, указанные в подпунктах 5), 6), 8-1), 15) и 16) пункта 1 статьи 341 настоящего Кодекса, подпунктах 1) и 2) части первой пункта 7 статьи 6 Конституционного закона Республики Казахстан «О международном финансовом центре «Астана».
14. Доход от прироста стоимости при реализации ценных бумаг определяется путем последовательного в хронологическом порядке списания ценных бумаг в зависимости от даты их поступления.
15. Первоначальной стоимостью ценных бумаг является:
1) стоимость их приобретения, расходы на комиссионное вознаграждение за услуги по приобретению ценных бумаг лицу, осуществляющему брокерскую деятельность в соответствии с законодательством Республики Казахстан или иного государства. По ценным бумагам, приобретенным физическим лицом по опциону, стоимость приобретения определяется в размере цены исполнения опциона и премии опциона;
или
2) стоимость, по которой имущество получено акционером, участником, учредителем при распределении имущества, в том числе взамен ранее внесенного, отраженная в документе, подтверждающем прием и передачу такого актива и заверенном подписями сторон, – в случае, если активы были получены акционером (участником, учредителем) в результате распределения имущества при ликвидации юридического лица или уменьшении уставного капитала, а также выкупе юридическим лицом у учредителя, участника доли участия или ее части в этом юридическом лице, выкупе юридическим лицом – эмитентом у акционера акций, выпущенных этим эмитентом;
или
3) сумма ранее признанного дохода, полученного от налогового агента, или дохода, полученного из источников за пределами Республики Казахстан и отраженного в декларации индивидуального предпринимателя или в декларации о доходах и имуществе, – в случае получения ценных бумаг в качестве выплаты такого дохода;
или
4) сумма дебиторской задолженности, в счет погашения которой получена ценная бумага, – в случае получения ценных бумаг в счет погашения дебиторской задолженности, возникшей не в связи с получением дохода;
или
5) стоимость, включенная ранее в доход в виде безвозмездно полученного имущества, – в случае, когда стоимость безвозмездно полученных ценных бумаг была включена в облагаемый доход индивидуального предпринимателя или облагаемый доход физического лица;
или
6) рыночная стоимость ценной бумаги – в случае реализации ценных бумаг, полученных в виде наследования, благотворительной помощи.
Первоначальная стоимость ценных бумаг должна быть подтверждена документально. В случае отсутствия документов, подтверждающих первоначальную стоимость ценных бумаг, такая стоимость признается равной нулю.
Первоначальная стоимость единицы ценных бумаг при их реализации, передаче в качестве вклада в уставный капитал определяется по первоначальной стоимости ценных бумаг, поступивших первыми по времени.
16. Первоначальная стоимость ценных бумаг, кроме долговых ценных бумаг, права на которые или сделки по которым зарегистрированы в компетентном органе государства с льготным налогообложением, равна нулю.
Первоначальная стоимость долговых ценных бумаг, эмиссия которых зарегистрирована в государстве с льготным налогообложением, равна нулю.
17. В случаях, когда положения пункта 15 настоящей статьи не применимы для определения первоначальной стоимости, первоначальная стоимость ценных бумаг признается равной нулю.
18. В целях настоящей статьи рыночной стоимостью ценных бумаг является рыночная стоимость реализуемой (передаваемой) ценной бумаги на дату возникновения права собственности на нее, определенную в отчете об оценке, проведенной по договору между оценщиком и налогоплательщиком в соответствии с законодательством Республики Казахстан об оценочной деятельности, если иное не установлено настоящим пунктом.
При этом такая рыночная стоимость должна быть определена налогоплательщиком не позднее срока, установленного для представления декларации о доходах и имуществе за налоговый период, в котором реализовано (передано) такое имущество.
Примечание.
В целях настоящей статьи и статьи 333 настоящего Кодекса стоимостью вклада в уставный капитал является стоимость, указанная в учредительных документах юридического лица, но не более размера фактически внесенного вклада.
Сноска. Статья 331 с изменениями, внесенными законами РК от 10.12.2020 № 382-VI (вводится в действие с 01.01.2021); от 21.12.2022 № 165-VII (порядок введения в действие см. ст. 4); от 06.02.2023 № 196-VII (вводится в действие с 01.01.2024); от 15.07.2025 № 208-VIII (вводится в действие с 01.01.2025).
Статья 332. Доход физического лица от реализации имущества, полученный из источников за пределами Республики Казахстан
1. Если иное не установлено настоящей статьей и статьей 331 настоящего Кодекса, доходом физического лица при реализации имущества, полученным из источников за пределами Республики Казахстан, является стоимость реализации имущества.
2. Доход физического лица при реализации имущества, полученный из источников за пределами Республики Казахстан, определяется как положительная разница между стоимостью реализации имущества и стоимостью его приобретения при реализации следующего имущества:
1) находящегося за пределами Республики Казахстан, по которому права и (или) сделки подлежат государственной или иной регистрации в компетентном органе иностранного государства в соответствии с законодательством иностранного государства;
2) находящегося за пределами Республики Казахстан, подлежащего государственной или иной регистрации в компетентном органе иностранного государства в соответствии с законодательством иностранного государства.
3. В случаях реализации имущества, легализованного в порядке, определенном Законом Республики Казахстан «Об амнистии граждан Республики Казахстан, оралманов и лиц, имеющих вид на жительство в Республике Казахстан, в связи с легализацией ими имущества», лицом, его легализовавшим, по которому отсутствует цена (стоимость) приобретения и исполнено обязательство по уплате сбора за легализацию, доходом от прироста стоимости является положительная разница между ценой (стоимостью) реализации имущества и оценочной стоимостью, определенной в тенге для исчисления сбора за легализацию реализуемого имущества.
4. Доход физического лица при реализации цифрового актива, полученный из источников за пределами Республики Казахстан, определяется как положительная разница между стоимостью реализации и стоимостью приобретения.
5. Иключен Законом РК от 15.07.2025 № 208-VIII (вводится в действие с 01.01.2025).
5-1. Доход от прироста стоимости при реализации ценных бумаг, зарегистрированных за пределами Республики Казахстан, состоит из:
1) дохода от прироста стоимости при реализации ценных бумаг, зарегистрированных за пределами Республики Казахстан, кроме льготируемых ценных бумаг, зарегистрированных за пределами Республики Казахстан;
2) дохода от прироста стоимости при реализации льготируемых ценных бумаг, зарегистрированных за пределами Республики Казахстан.
5-2. Результат от реализации ценных бумаг, зарегистрированных за пределами Республики Казахстан, в том числе погашения долговых ценных бумаг, может иметь положительное или отрицательное значение и определяется по каждой операции выбытия за налоговый период как разница между стоимостью реализации, погашения ценной бумаги, зарегистрированной за пределами Республики Казахстан, и ее первоначальной стоимостью.
5-3. Общая сумма результатов от всех операций реализации ценных бумаг, зарегистрированных за пределами Республики Казахстан, кроме льготируемых ценных бумаг, за налоговый период признается:
доходом от прироста стоимости, если такая сумма имеет положительное значение;
равной нулю, если такая сумма имеет нулевое или отрицательное значение.
5-4. Общая сумма результатов от всех операций по реализации льготируемых ценных бумаг, зарегистрированных за пределами Республики Казахстан, за налоговый период признается:
доходом от прироста стоимости льготируемых ценных бумаг, зарегистрированных за пределами Республики Казахстан, если такая сумма имеет положительное значение и учитывается в соответствии с подпунктами 5), 6), 8-1), 15) и 16) пункта 1 статьи 341 настоящего Кодекса;
равной нулю, если такая сумма имеет нулевое или отрицательное значение.
Льготируемыми ценными бумагами являются ценные бумаги, указанные в подпунктах 5), 6), 8-1), 15) и 16) пункта 1 статьи 341 настоящего Кодекса, подпунктах 1) и 2) части первой пункта 7 статьи 6 Конституционного закона Республики Казахстан «О международном финансовом центре «Астана».
5-5. Доход от прироста стоимости при реализации ценных бумаг, зарегистрированных за пределами Республики Казахстан, определяется путем последовательного в хронологическом порядке списания ценных бумаг в зависимости от даты их поступления.
5-6. Первоначальной стоимостью ценных бумаг, зарегистрированных за пределами Республики Казахстан, является:
1) стоимость их приобретения, расходы на комиссионное вознаграждение за услуги по приобретению ценных бумаг лицу, осуществляющему брокерскую деятельность в соответствии с законодательством Республики Казахстан или иного государства. По ценным бумагам, приобретенным физическим лицом по опциону, стоимость приобретения определяется в размере цены исполнения опциона и премии опциона;
или
2) стоимость, по которой имущество получено акционером, участником, учредителем при распределении имущества, в том числе взамен ранее внесенного, отраженная в документе, подтверждающем прием и передачу такого актива и заверенном подписями сторон, – в случае, если активы были получены акционером (участником, учредителем) в результате распределения имущества при ликвидации юридического лица или уменьшении уставного капитала, а также выкупе юридическим лицом у учредителя, участника доли участия или ее части в этом юридическом лице, выкупе юридическим лицом – эмитентом у акционера акций, выпущенных этим эмитентом;
или
3) сумма ранее признанного дохода, полученного от налогового агента, или дохода, полученного из источников за пределами Республики Казахстан и отраженного в декларации индивидуального предпринимателя или декларации о доходах и имуществе, – в случае получения ценных бумаг в качестве выплаты такого дохода;
или
4) сумма дебиторской задолженности, в счет погашения которой получена ценная бумага, – в случае получения ценных бумаг в счет погашения дебиторской задолженности, возникшей не в связи с получением дохода;
или
5) стоимость, включенная ранее в доход в виде безвозмездно полученного имущества, – в случае, когда стоимость безвозмездно полученных ценных бумаг была включена в облагаемый доход индивидуального предпринимателя или облагаемый доход физического лица;
или
6) рыночная стоимость ценных бумаг, зарегистрированных за пределами Республики Казахстан, – в случае реализации ценных бумаг, полученных в виде наследования, благотворительной помощи.
Первоначальная стоимость ценных бумаг должна быть подтверждена документально. В случае отсутствия документов, подтверждающих первоначальную стоимость ценных бумаг, такая стоимость признается равной нулю.
Первоначальная стоимость единицы ценных бумаг при их реализации определяется по первоначальной стоимости ценных бумаг, поступивших первыми по времени.
5-7. Первоначальная стоимость ценных бумаг, кроме долговых ценных бумаг, права на которые или сделки по которым зарегистрированы в компетентном органе государства с льготным налогообложением, равна нулю.
Первоначальная стоимость долговых ценных бумаг, эмиссия которых зарегистрирована в государстве с льготным налогообложением, равна нулю.
5-8. В случаях, когда положения пункта 5-6 настоящей статьи не применимы для определения первоначальной стоимости, первоначальная стоимость ценных бумаг признается равной нулю.
5-9. В целях настоящей статьи рыночной стоимостью реализуемой ценной бумаги, зарегистрированной за пределами Республики Казахстан, полученной в виде наследования, является рыночная стоимость реализуемой ценной бумаги на дату возникновения права собственности на нее, определенная в отчете или ином документе о результатах оценки, проведенной по договору между независимым оценщиком и налогоплательщиком в соответствии с законодательством того государства, в котором зарегистрирована такая ценная бумага.
При этом такая рыночная стоимость должна быть определена налогоплательщиком не позднее срока, установленного для представления декларации о доходах и имуществе за налоговый период, в котором реализовано такое имущество.
6. Доход физического лица при реализации доли участия, полученный из источников за пределами Республики Казахстан, определяется как положительная разница между стоимостью реализации и стоимостью приобретения (вклада).
7. Положение пункта 2 настоящей статьи не применяется в следующих случаях:
1) недвижимое имущество находится на территории государства с льготным налогообложением;
2) права на движимое имущество или сделки по движимому имуществу зарегистрированы в компетентном органе государства с льготным налогообложением.
8. Положения пунктов 4, 5 и 6 настоящей статьи не применяются в случае, если доходы, указанные в пунктах 4, 5 и 6 настоящей статьи, получены из источников в государстве с льготным налогообложением.
9. Положения пунктов 2, 4, 5 и 6 настоящей статьи применяются на основании следующих документов, подтверждающих:
1) стоимость приобретения имущества (стоимость вклада);
2) стоимость реализации имущества;
3) регистрацию компетентным органом иностранного государства в соответствии с законодательством иностранного государства имущества и (или) права собственности на имущество, и (или) сделки по имуществу.
Сноска. Статья 332 с изменениями, внесенными законами РК от 21.12.2022 № 165-VII (вводится в действие с 01.01.2024); от 15.07.2025 № 208-VIII (вводится в действие с 01.01.2025).
Статья 332-1. Особенности налогообложения операций с цифровыми активами
1. Настоящая статья устанавливает особенности налогообложения операций с цифровыми активами в целях настоящего раздела.
2. Стоимость реализации, приобретения цифрового актива, выраженная в необеспеченном цифровом активе с фиксированной стоимостью, переводится в тенге по рыночному курсу обмена валюты, к которой привязана стоимость такого цифрового актива, определенному на последний рабочий день, предшествующий дате совершения реализации или приобретения цифрового актива.
3. В целях настоящей статьи при расчете стоимости реализации или приобретения одна единица необеспеченного цифрового актива с фиксированной стоимостью приравнивается к одной единице иностранной валюты, к которой привязана стоимость такого цифрового актива.
4. Не является реализацией цифрового актива для стороны, передающей необеспеченный цифровой актив с фиксированной стоимостью, передача необеспеченного цифрового актива с фиксированной стоимостью с целью обмена на следующее имущество:
цифровой актив;
имущество, по которому права и (или) сделки подлежат государственной или иной регистрации в компетентном органе иностранного государства в соответствии с законодательством иностранного государства;
имущество, подлежащее государственной или иной регистрации в компетентном органе иностранного государства в соответствии с законодательством иностранного государства.
5. Передача необеспеченного цифрового актива с фиксированной стоимостью с целью продажи является реализацией цифрового актива, за исключением случаев, когда реализуемый необеспеченный цифровой актив с фиксированной стоимостью ранее приобретен в результате обмена на другой цифровой актив.
6. Доход, полученный по сделкам с производными финансовыми инструментами, где базовым активом является цифровой актив, определяется как разница между стоимостью полученных цифровых активов при завершении такой сделки и стоимостью использованных в ходе совершения сделки собственных цифровых активов.
7. При определении положительной разницы между стоимостью реализации и стоимостью приобретения цифровых активов используется метод учета поступившей первой по времени по международному стандарту финансовой отчетности.
8. В целях применения настоящей статьи критерии отнесения цифрового актива к необеспеченному цифровому активу с фиксированной стоимостью и перечень необеспеченных цифровых активов с фиксированной стоимостью утверждаются уполномоченным органом в сфере цифровых активов по согласованию с уполномоченным органом.
9. Стоимость реализации цифрового актива, за исключением случаев, указанных в пункте 4 настоящей статьи, определяется при:
1) передаче с целью продажи за иностранную или национальную валюту – в размере сделки в соответствующей иностранной или национальной валюте;
2) передаче с целью обмена на необеспеченный цифровой актив с фиксированной стоимостью – в размере, выраженном в необеспеченном цифровом активе с фиксированной стоимостью, участвующем в сделке;
3) передаче с целью обмена на цифровой актив, за исключением указанного в абзаце третьем настоящего пункта, – в размере стоимости передаваемого цифрового актива, определенной в порядке, предусмотренном пунктом 12 настоящей статьи;
4) передаче за пределами Республики Казахстан с целью обмена на любое имущество, за исключением цифрового актива, – в размере стоимости передаваемого цифрового актива, определенной в порядке, предусмотренном пунктом 12 настоящей статьи;
5) передаче цифрового актива по договору дарения, наследования – в нулевом размере;
6) отсутствии стоимости реализации цифровых активов – в размере стоимости передаваемого цифрового актива, определенной в порядке, предусмотренном пунктом 12 настоящей статьи.
10. Стоимость приобретения цифрового актива, если иное не предусмотрено пунктом 11 настоящей статьи, определяется при:
1) приобретении за иностранную или национальную валюту – в размере сделки в соответствующей иностранной или национальной валюте;
2) приобретении в обмен на необеспеченный цифровой актив с фиксированной стоимостью – в размере, выраженном в необеспеченном цифровом активе с фиксированной стоимостью, участвующем в сделке;
3) приобретении в обмен на цифровой актив, за исключением указанного в подпункте 2) настоящего пункта, – в размере стоимости приобретенного цифрового актива, определенной в порядке, предусмотренном пунктом 12 настоящей статьи;
4) приобретении за пределами Республики Казахстан в обмен на любое имущество, за исключением цифрового актива, – в размере стоимости приобретенного цифрового актива, определенной в порядке, предусмотренном пунктом 12 настоящей статьи;
5) безвозмездном получении цифрового актива – в нулевом размере;
6) получении цифрового актива от биржи цифровых активов – в размере, выраженном в необеспеченном цифровом активе с фиксированной стоимостью на дату получения цифрового актива, определенной в порядке, предусмотренном пунктом 12 настоящей статьи;
7) получении цифрового актива в результате взаимодействия с контрактом на блокчейне – в нулевом размере.
11. Первоначальная стоимость цифровых активов, полученных из источников в государстве с льготным налогообложением, равна нулю. Перечень государств с льготным налогообложением утверждается уполномоченным органом.
12. В целях определения стоимости цифровых активов в случаях, предусмотренных подпунктами 3), 4) и 6) пункта 9 и подпунктами 3), 4) и 6) пункта 10 настоящей статьи, используется информация, размещенная на интернет-ресурсе, определенном уполномоченным органом по согласованию с уполномоченным органом в области цифровых активов.
Стоимость цифровых активов определяется как средневзвешенная цена за сутки, предшествующие дате реализации или приобретения цифровых активов на указанном интернет-ресурсе.
В случае отсутствия информации на интернет-ресурсе на дату проведения реализации цифрового актива применяется стоимость цифровых активов, определенная в последний день, предшествующий дню проведения реализации цифрового актива, когда проводились торги с таким цифровым активом.
Сноска. Глава 36 дополнена статьей 332-1 в соответствии с Законом РК от 15.07.2025 № 208-VIII (вводится в действие с 01.01.2025).
Статья 333. Доход от прироста стоимости при передаче физическим лицом имущества (кроме денег) в качестве вклада в уставный капитал
1. Доход от прироста стоимости при передаче физическим лицом имущества (кроме денег) в качестве вклада в уставный капитал возникает при передаче следующего имущества:
1) жилищ, дачных строений, гаражей, объектов личного подсобного хозяйства, находящихся на праве собственности менее года с даты регистрации права собственности;
2) земельных участков и (или) земельных долей, целевым назначением которых с даты возникновения права собственности до даты реализации являются индивидуальное жилищное строительство, дачное строительство, ведение личного подсобного хозяйства, под гараж, на которых расположены объекты, указанные в подпункте 1) настоящего пункта, находящихся на праве собственности менее года с даты регистрации права собственности;
3) земельных участков и (или) земельных долей, целевым назначением которых с даты возникновения права собственности до даты реализации являются индивидуальное жилищное строительство, дачное строительство, ведение личного подсобного хозяйства, садоводство, под гараж, на которых не расположены объекты, указанные в подпункте 1) настоящего пункта, находящихся на праве собственности менее года с даты регистрации права собственности;
4) земельных участков и (или) земельных долей с целевым назначением, не указанным в подпунктах 2) и 3) настоящего пункта;
5) инвестиционного золота;
6) недвижимого имущества, за исключением указанного в подпунктах 1), 2), 3) и 4) настоящего пункта;
7) механических транспортных средств и (или) прицепов, подлежащих государственной регистрации, находящихся на праве собственности менее года;
8) доли участия, а также производных финансовых инструментов (за исключением производных финансовых инструментов, исполнение которых происходит путем приобретения или реализации базового актива);
9) ценных бумаг.
2. Доходом от прироста стоимости физического лица при передаче в качестве вклада в уставный капитал имущества, указанного в подпунктах 1) – 7) пункта 1 настоящей статьи, является положительная разница между стоимостью имущества, определенной исходя из стоимости вклада, указанной в учредительных документах юридического лица, и стоимостью его приобретения.
Положения настоящего пункта не распространяются на доход от прироста стоимости при передаче в качестве вклада в уставный капитал безвозмездно полученного имущества, который определяется в соответствии с пунктами 5, 6 и 7 настоящей статьи.
3. При передаче недвижимого имущества, приобретенного путем долевого участия в жилищном строительстве, в качестве вклада в уставный капитал доходом от прироста стоимости является положительная разница между ценой (стоимостью) имущества, определенной исходя из стоимости вклада, указанной в учредительных документах юридического лица, и ценой договора о долевом участии в жилищном строительстве.
4. При передаче недвижимого имущества, приобретенного в результате уступки права требования доли в жилом здании по договору о долевом участии в жилищном строительстве, в качестве вклада в уставный капитал доходом от прироста стоимости является положительная разница между ценой (стоимостью) имущества, определенной исходя из стоимости вклада, указанной в учредительных документах юридического лица, и стоимостью, по которой налогоплательщик приобрел право требования доли в жилом здании по договору о долевом участии в жилищном строительстве.
5. В случае передачи физическим лицом в качестве вклада в уставный капитал имущества, указанного в пункте 1 настоящей статьи, которое ранее было включено в объект налогообложения в соответствии с пунктом 2 статьи 681 настоящего Кодекса в виде безвозмездно полученного имущества или по которому ранее был определен доход в виде безвозмездно полученного имущества в соответствии со статьей 238 настоящего Кодекса, доходом от прироста стоимости является положительная разница между ценой (стоимостью) имущества, определенной исходя из стоимости вклада, указанной в учредительных документах юридического лица, и стоимостью безвозмездно полученного имущества, включенной ранее в доход.
6. При передаче в качестве вклада в уставный капитал индивидуального жилого дома, построенного лицом, его передающим, а также имущества, указанного в подпунктах 1) – 7) пункта 1 настоящей статьи, полученного в виде наследования, дарения и благотворительной помощи (за исключением случая, предусмотренного пунктом 5 настоящей статьи), доходом от прироста стоимости является положительная разница между ценой (стоимостью) имущества, определенной исходя из стоимости вклада, указанной в учредительных документах юридического лица, и рыночной стоимостью передаваемого имущества в качестве вклада в уставный капитал на дату возникновения права собственности.
При этом такая рыночная стоимость должна быть определена налогоплательщиком не позднее срока, установленного для представления декларации о доходах и имуществе за налоговый период, в котором произведена передача имущества в качестве вклада в уставный капитал. В целях настоящего пункта рыночной стоимостью является стоимость, определенная в отчете об оценке, проведенной по договору между оценщиком и налогоплательщиком в соответствии с законодательством Республики Казахстан об оценочной деятельности.
7. При передаче в качестве вклада в уставный капитал имущества, легализованного в порядке, определенном Законом Республики Казахстан «Об амнистии граждан Республики Казахстан, оралманов и лиц, имеющих вид на жительство в Республике Казахстан, в связи с легализацией ими имущества», лицом, легализовавшим имущество, по которому отсутствует цена (стоимость) приобретения и исполнено обязательство по уплате сбора за легализацию, доходом от прироста стоимости является положительная разница между ценой (стоимостью) имущества, определенной исходя из стоимости вклада, указанной в учредительных документах юридического лица, и оценочной стоимостью, определенной в тенге для исчисления сбора за легализацию передаваемого имущества.
8. В случае, указанном в пункте 6 настоящей статьи, при отсутствии рыночной стоимости имущества, указанного в подпунктах 1) – 7) пункта 1 настоящей статьи, внесенного в качестве вклада в уставный капитал согласно учредительным документам юридического лица, определенной на дату возникновения права собственности, либо при несоблюдении срока определения рыночной стоимости, установленного пунктом 6 настоящей статьи, а также в других случаях отсутствия цены (стоимости) приобретения имущества, не указанных в пункте 6 настоящей статьи, доходом от прироста стоимости является:
1) по имуществу, указанному в подпункте 1) пункта 1 настоящей статьи, – положительная разница между ценой (стоимостью) имущества, определенной исходя из стоимости вклада в уставный капитал, указанной в учредительных документах юридического лица, и оценочной стоимостью. При этом оценочной стоимостью является стоимость, определенная для исчисления налога на имущество Государственной корпорацией «Правительство для граждан», на 1 января года, в котором возникло право собственности на переданное имущество в качестве вклада в уставный капитал;
2) по имуществу, указанному в подпунктах 2), 3) и 4) пункта 1 настоящей статьи, – положительная разница между ценой (стоимостью) имущества, определенной исходя из стоимости вклада, указанной в учредительных документах юридического лица, и кадастровой (оценочной) стоимостью земельного участка. При этом кадастровой (оценочной) стоимостью является стоимость, определенная Государственной корпорацией «Правительство для граждан», ведущей государственный земельный кадастр, на одну из наиболее поздних дат:
дату возникновения права собственности на земельный участок;
последнюю дату, предшествующую дате возникновения права собственности на земельный участок;
3) по имуществу, указанному в подпунктах 5), 6) и 7) пункта 1 настоящей статьи, – в размере цены (стоимости) имущества, внесенного в качестве вклада в уставный капитал согласно учредительным документам юридического лица.
При передаче в качестве вклада в уставный капитал имущества нежилого дома (здания), построенного физическим лицом, его передающим, который не является индивидуальным предпринимателем, доходом от прироста стоимости является положительная разница между ценой (стоимостью) такого имущества, внесенного в качестве вклада в уставный капитал согласно учредительным документам юридического лица, и стоимостью земельного участка, приобретенного для строительства такого нежилого дома (здания).
В случае передачи в качестве вклада в уставный капитал нежилого дома (здания), не используемого в предпринимательской деятельности, который был ранее реконструирован из жилого дома (здания), доходом от прироста стоимости является положительная разница между ценой (стоимостью) имущества, определенной исходя из стоимости вклада, указанной в учредительных документах юридического лица, и стоимостью его приобретения как жилого дома (здания).
9. Доходом от прироста стоимости при передаче в качестве вклада в уставный капитал имущества, указанного в подпункте 8) пункта 1 настоящей статьи, являются:
1) положительная разница между ценой (стоимостью) имущества, определенной исходя из стоимости вклада, указанной в учредительных документах юридического лица, и стоимостью приобретения – в случае наличия цены (стоимости) приобретения;
2) цена (стоимость) имущества, определенная в размере стоимости вклада, указанной в учредительных документах юридического лица, – в случае отсутствия цены (стоимости) приобретения имущества.
10. Поверенный в случае реализации, передачи в качестве вклада в уставный капитал механического транспортного средства и (или) прицепа, полученных на основании доверенности на управление механическим транспортным средством и (или) прицепом с правом отчуждения, для определения имущественного дохода до срока, установленного для представления декларации по индивидуальному подоходному налогу, сообщает собственнику транспортного средства (прицепа) стоимость, по которой были реализованы, переданы в качестве вклада в уставный капитал транспортное средство (прицеп), и дату их реализации, передачи в качестве вклада в уставный капитал или исполняет налоговое обязательство по представлению декларации по индивидуальному подоходному налогу и уплате индивидуального подоходного налога от имени собственника транспортного средства (прицепа), что является исполнением налогового обязательства собственника транспортного средства.
11. Доход от прироста стоимости при передаче в качестве вклада в уставный капитал ценных бумаг состоит из:
1) дохода от прироста стоимости при передаче в качестве вклада в уставный капитал ценных бумаг, кроме льготируемых ценных бумаг;
2) дохода от прироста стоимости при передаче в качестве вклада в уставный капитал льготируемых ценных бумаг.
12. Результат от передачи в качестве вклада в уставный капитал юридического лица ценных бумаг может иметь положительное или отрицательное значение и определяется по каждой операции выбытия за налоговый период как разница между стоимостью ценной бумаги, по которой она передана в качестве вклада в уставный капитал, и ее первоначальной стоимостью.
13. Общая сумма результатов от всех операций передачи ценных бумаг в качестве вклада в уставный капитал, кроме льготируемых ценных бумаг, за налоговый период признается:
доходом от прироста стоимости, если такая сумма имеет положительное значение;
равной нулю, если такая сумма имеет нулевое или отрицательное значение.
14. Общая сумма результатов от всех операций передачи льготируемых ценных бумаг в качестве вклада в уставный капитал за налоговый период признается:
доходом от прироста стоимости льготируемых ценных бумаг, если такая сумма имеет положительное значение и учитывается в соответствии с подпунктами 5), 6), 8-1), 15) и 16) пункта 1 статьи 341 настоящего Кодекса;
равной нулю, если такая сумма имеет нулевое или отрицательное значение.
Льготируемыми ценными бумагами являются ценные бумаги, указанные в подпунктах 5), 6), 8-1), 15) и 16) пункта 1 статьи 341 настоящего Кодекса, подпунктах 1) и 2) части первой пункта 7 статьи 6 Конституционного закона Республики Казахстан «О международном финансовом центре «Астана».
15. Доход от прироста стоимости при передаче в качестве вклада в уставный капитал ценных бумаг определяется путем последовательного в хронологическом порядке списания ценных бумаг в зависимости от даты их поступления.
16. Первоначальной стоимостью ценных бумаг является:
1) стоимость их приобретения, расходы на комиссионное вознаграждение за услуги по приобретению ценных бумаг лицу, осуществляющему брокерскую деятельность в соответствии с законодательством Республики Казахстан или иного государства. По ценным бумагам, приобретенным физическим лицом по опциону, стоимость приобретения определяется в размере цены исполнения опциона и премии опциона;
или
2) стоимость, по которой имущество получено акционером, участником, учредителем при распределении имущества, в том числе взамен ранее внесенного, отраженная в документе, подтверждающем прием и передачу такого актива и заверенном подписями сторон, – в случае, если активы были получены акционером (участником, учредителем) в результате распределения имущества при ликвидации юридического лица или уменьшении уставного капитала, а также выкупе юридическим лицом у учредителя, участника доли участия или ее части в этом юридическом лице, выкупе юридическим лицом – эмитентом у акционера акций, выпущенных этим эмитентом;
или
3) сумма ранее признанного дохода, полученного от налогового агента, или дохода, полученного из источников за пределами Республики Казахстан и отраженного в декларации индивидуального предпринимателя или декларации о доходах и имуществе, – в случае получения ценных бумаг в качестве выплаты такого дохода;
или
4) сумма дебиторской задолженности, в счет погашения которой получена ценная бумага, – в случае получения ценных бумаг в счет погашения дебиторской задолженности, возникшей не в связи с получением дохода;
или
5) стоимость, включенная ранее в доход в виде безвозмездно полученного имущества, – в случае, когда стоимость безвозмездно полученных ценных бумаг была включена в облагаемый доход индивидуального предпринимателя или облагаемый доход физического лица;
или
6) рыночная стоимость ценной бумаги – в случае передачи ценных бумаг, полученных в виде наследования, благотворительной помощи.
Первоначальная стоимость ценных бумаг должна быть подтверждена документально. В случае отсутствия документов, подтверждающих первоначальную стоимость ценных бумаг, такая стоимость признается равной нулю.
Первоначальная стоимость единицы ценных бумаг при их реализации, передаче в качестве вклада в уставный капитал определяется по первоначальной стоимости ценных бумаг, поступивших первыми по времени.
17. Первоначальная стоимость ценных бумаг, кроме долговых ценных бумаг, права на которые или сделки по которым зарегистрированы в компетентном органе государства с льготным налогообложением, равна нулю.
Первоначальная стоимость долговых ценных бумаг, эмиссия которых зарегистрирована в государстве с льготным налогообложением, равна нулю.
18. В случаях, когда положения пункта 16 настоящей статьи не применимы для определения первоначальной стоимости, первоначальная стоимость ценных бумаг признается равной нулю.
19. В целях настоящей статьи рыночной стоимостью является рыночная стоимость передаваемой ценной бумаги на дату возникновения права собственности на нее, определенная в отчете об оценке, проведенной по договору между оценщиком и налогоплательщиком в соответствии с законодательством Республики Казахстан об оценочной деятельности, если иное не установлено настоящим пунктом.
Рыночной стоимостью передаваемой ценной бумаги, зарегистрированной за пределами Республики Казахстан, полученной в виде наследования, является рыночная стоимость передаваемой ценной бумаги на дату возникновения права собственности на нее, определенная в отчете или ином документе о результатах оценки, проведенной по договору между независимым оценщиком и налогоплательщиком в соответствии с законодательством того государства, в котором зарегистрирована такая ценная бумага.
При этом такая рыночная стоимость должна быть определена налогоплательщиком не позднее срока, установленного для представления декларации о доходах и имуществе за налоговый период, в котором передано такое имущество.
Сноска. Статья 333 с изменениями, внесенными Законом РК от 15.07.2025 № 208-VIII (вводится в действие с 01.01.2025).
Статья 334. Доход от прироста стоимости при реализации прочих активов индивидуальным предпринимателем, применяющим специальный налоговый режим для субъектов малого бизнеса либо для крестьянских или фермерских хозяйств
1. В целях настоящей статьи к прочим активам относятся следующие активы, не являющиеся товарно-материальными запасами и требованиями:
1) основные средства, используемые в предпринимательской деятельности;
2) объекты незавершенного строительства;
3) неустановленное оборудование;
4) нематериальные активы;
5) биологические активы;
6) основные средства, стоимость которых полностью отнесена на вычеты в соответствии с налоговым законодательством Республики Казахстан, действовавшим до 1 января 2000 года, в случае, если такие основные средства являлись фиксированными активами в налоговых периодах, в течение которых индивидуальный предприниматель осуществлял расчеты с бюджетом в общеустановленном порядке и актив являлся фиксированным активом;
7) активы, введенные в эксплуатацию в рамках инвестиционного проекта по контрактам, заключенным до 1 января 2009 года в соответствии с законодательством Республики Казахстан в сфере предпринимательства, стоимость которых полностью отнесена на вычеты, в случае, если индивидуальный предприниматель осуществлял ранее расчеты с бюджетом в общеустановленном порядке и актив являлся фиксированным активом.
2. При реализации прочих активов индивидуальным предпринимателем, применяющим специальный налоговый режим для субъектов малого бизнеса либо для крестьянских или фермерских хозяйств, прирост определяется по каждому активу как положительная разница между ценой (стоимостью) реализации и первоначальной стоимостью.
3. Если иное не установлено настоящей статьей, в целях настоящей статьи первоначальной стоимостью прочих активов является совокупность затрат на приобретение, производство, строительство, монтаж, установку, реконструкцию и модернизацию, кроме затрат (расходов), указанных в подпунктах 1) – 6) и 8) статьи 264 настоящего Кодекса.
При этом признание реконструкции, модернизации осуществляется в соответствии с пунктом 1 статьи 269 настоящего Кодекса.
4. В случае, если прочий актив был получен безвозмездно, в целях настоящей статьи первоначальной стоимостью является стоимость данного актива, включенная в объект налогообложения в соответствии с пунктом 2 статьи 681 настоящего Кодекса в виде безвозмездно полученного имущества.
5. При реализации прочего актива, полученного в виде наследования, благотворительной помощи, за исключением случая, предусмотренного пунктом 4 настоящей статьи, первоначальной стоимостью является рыночная стоимость такого актива на дату возникновения у индивидуального предпринимателя, применяющего специальный налоговый режим для субъектов малого бизнеса либо для крестьянских или фермерских хозяйств, права собственности на данный актив, определенная в отчете об оценке, проведенной по договору между оценщиком и индивидуальным предпринимателем в соответствии с законодательством Республики Казахстан об оценочной деятельности.
При этом рыночная стоимость прочего актива должна быть определена не позднее срока, установленного для представления декларации по индивидуальному подоходному налогу за налоговый период, в котором реализованы такие активы.
6. Первоначальная стоимость прочего актива равна нулю в следующих случаях:
1) при отсутствии рыночной стоимости прочего актива, определяемой на дату возникновения права собственности на него;
2) при несоблюдении срока определения рыночной стоимости, установленного пунктом 5 настоящей статьи;
3) в случаях отсутствия первичных документов, подтверждающих затраты, предусмотренные пунктом 3 настоящей статьи, за исключением случаев, указанных в пунктах 4 и 5 настоящей статьи;
4) по активам, указанным в подпунктах 6) и 7) пункта 1 настоящей статьи.
Статья 335. Доход от уступки права требования, в том числе доли в жилом здании по договору о долевом участии в жилищном строительстве
1. Доходом от уступки права требования является положительная разница между стоимостью уступки права требования и стоимостью, по которой физическое лицо приобрело такое право.
2. Доходом от уступки права требования доли в жилом здании по договору о долевом участии в жилищном строительстве является положительная разница между стоимостью уступки права требования и ценой договора о долевом участии в жилищном строительстве.
3. Доходом от уступки права требования доли в жилом здании по договору о долевом участии в жилищном строительстве, ранее приобретенного путем уступки права требования по договору о долевом участии в жилищном строительстве, является положительная разница между стоимостью уступки права требования и стоимостью, по которой физическое лицо ранее приобрело такое право.
Статья 336. Доход лица, занимающегося частной практикой
1. К доходу лица, занимающегося частной практикой, относятся:
1) доход частного нотариуса;
2) доход частного судебного исполнителя;
3) доход адвоката;
4) доход профессионального медиатора.
2. Доходом лиц, занимающихся частной практикой, являются все виды доходов, полученных от осуществления деятельности по исполнению исполнительных документов, нотариальной, адвокатской деятельности, деятельности профессионального медиатора, включая соответственно оплату за оказание юридической помощи, совершение нотариальных действий, а также полученные суммы возмещения расходов, связанных с защитой и представительством.
3. Сумма индивидуального подоходного налога по доходам лиц, занимающихся частной практикой, исчисляется по доходам, полученным за месяц, по итогам каждого месяца путем применения ставки, установленной пунктом 1 статьи 320 настоящего Кодекса, к сумме облагаемого дохода лица, занимающегося частной практикой.
4. Сумма исчисленного налога подлежит уплате ежемесячно не позднее 5 числа месяца, следующего за месяцем, по доходам за который исчислен налог.
Сноска. Статья 336 – в редакции Закона РК от 15.07.2025 № 208-VIII (порядок введения в действие см. ст. 2.).
Статья 337. Доход индивидуального предпринимателя
1. Доход индивидуального предпринимателя, применяющего общеустановленный режим, определяется в соответствии со статьей 366 настоящего Кодекса.
2. Доход индивидуального предпринимателя, применяющего специальный налоговый режим, определяется в соответствии с пунктом 1 настоящей статьи, если иной порядок не установлен разделом 20 настоящего Кодекса.
Сноска. Статья 337 – в редакции Закона РК от 15.07.2025 № 208-VIII (вводится в действие с 01.01.2025).
Статья 338. Другие доходы из источников за пределами Республики Казахстан
Другими доходами из источников за пределами Республики Казахстан признаются все виды доходов, не указанных в подпунктах 1) – 16) статьи 321 настоящего Кодекса, полученных (подлежащих получению) физическим лицом-резидентом в течение отчетного налогового периода от лица, не являющегося налоговым агентом, и не являющихся доходами из источников в Республике Казахстан, независимо от места выплаты.
Статья 339. Общие положения по контролируемой иностранной компании
Финансовая прибыль контролируемой иностранной компании или постоянного учреждения контролируемой иностранной компании не подлежит налогообложению дважды.
Двойное налогообложение устраняется путем применения следующих положений:
1) освобождения от налогообложения в соответствии с пунктом 2 статьи 340 настоящего Кодекса;
2) корректировки финансовой прибыли до налогообложения контролируемой иностранной компании при соответствии условиям, указанным в пункте 3 статьи 297 настоящего Кодекса;
3) уменьшения финансовой прибыли до налогообложения контролируемой иностранной компании в соответствии с пунктом 3 статьи 340 настоящего Кодекса;
4) зачета в счет уплаты индивидуального подоходного налога в Республике Казахстан в порядке, определенном пунктом 2 статьи 638 настоящего Кодекса.
Сноска. Статья 339 — в редакции Закона РК от 10.12.2020 № 382-VI (вводится в действие с 01.01.2021); с изменением, внесенным Законом РК от 15.07.2025 № 208-VIII (вводится в действие с 01.01.2025).
Статья 340. Налогообложение прибыли контролируемой иностранной компании
1. Суммарная прибыль контролируемых иностранных компаний или постоянных учреждений контролируемых иностранных компаний, рассчитанная с учетом положений настоящей статьи и статьи 297 настоящего Кодекса, включается в годовой доход физического лица-резидента и облагается индивидуальным подоходным налогом в Республике Казахстан.
Такая суммарная прибыль контролируемых иностранных компаний или постоянных учреждений контролируемых иностранных компаний подлежит включению в декларацию о доходах и имуществе физических лиц.
2. Освобождается от налогообложения в Республике Казахстан финансовая прибыль контролируемой иностранной компании или финансовая прибыль постоянного учреждения контролируемой иностранной компании при выполнении одного из следующих условий:
1) при косвенном участии или косвенном контроле резидента в контролируемой иностранной компании, осуществляемом через другого резидента;
2) при косвенном участии или косвенном контроле резидента в контролируемой иностранной компании, осуществляемом через лицо, не являющееся контролируемым лицом;
3) если финансовая прибыль постоянного учреждения контролируемой иностранной компании облагалась налогом на прибыль в государстве, в котором зарегистрирована контролируемая иностранная компания, создавшая постоянное учреждение, по эффективной ставке, составляющей 10 и более процентов;
4) если финансовая прибыль контролируемой иностранной компании или финансовая прибыль постоянного учреждения контролируемой иностранной компании облагалась налогом в государстве, в котором зарегистрировано контролируемое лицо, через которого резидент косвенно владеет долями участия или имеет косвенный контроль в контролируемой иностранной компании, по эффективной ставке, составляющей 10 и более процентов;
5) если доля пассивных доходов контролируемой иностранной компании или постоянного учреждения контролируемой иностранной компании, за исключением зарегистрированных в государствах с льготным налогообложением, составляет менее 20 процентов;
6) при прямом и (или) косвенном владении и (или) контроле инвестиционным резидентом Международного финансового центра «Астана» в контролируемой иностранной компании.
Для целей применения настоящего пункта у физического лица-резидента должны быть в наличии подтверждающие документы, указанные в пункте 2 статьи 296 настоящего Кодекса.
3. Физическое лицо-резидент имеет право на уменьшение финансовой прибыли до налогообложения контролируемой иностранной компании или финансовой прибыли до налогообложения постоянного учреждения контролируемой иностранной компании на следующие суммы:
1) сумма уменьшения, определяемая по следующей формуле:
У = ФП × (Д(1)/ССД), где:
У – сумма уменьшения;
ФП – положительная величина финансовой прибыли до налогообложения контролируемой иностранной компании;
Д(1) – налогооблагаемый доход контролируемой иностранной компании от предпринимательской деятельности в Республике Казахстан через филиал, представительство, постоянное учреждение, обложенный корпоративным подоходным налогом в Республике Казахстан по ставке 20 и более процентов, в пределах налогооблагаемого дохода филиала, при условии, если финансовая прибыль до налогообложения контролируемой иностранной компании учитывает налогооблагаемый доход, указанный в настоящем подпункте;
ССД – совокупная сумма доходов;
2) сумма уменьшения, определяемая по следующей формуле:
У = ФП × (Д(2)/ССД), где:
У – сумма уменьшения;
ФП – положительная величина финансовой прибыли до налогообложения контролируемой иностранной компании;
Д(2) – доход от оказания услуг (выполнения работ) в Республике Казахстан без образования постоянного учреждения, полученный контролируемой иностранной компанией из источников в Республике Казахстан, обложенный в Республике Казахстан корпоративным подоходным налогом у источника выплаты по ставке 20 процентов, при условии, если финансовая прибыль до налогообложения определена с учетом дохода, указанного в настоящем подпункте;
ССД – совокупная сумма доходов;
3) дивиденды, полученные контролируемой иностранной компанией из источников в Республике Казахстан, не подлежащие налогообложению корпоративным подоходным налогом у источника выплаты согласно подпункту 3) пункта 9 статьи 645 настоящего Кодекса, при условии, если финансовая прибыль до налогообложения контролируемой иностранной компании включает такой доход;
4) сумма дивидендов, полученных одной контролируемой иностранной компанией от другой контролируемой иностранной компании, входящих в единую организационную структуру консолидированной группы.
При этом финансовая прибыль одной контролируемой иностранной компании должна включать такие дивиденды, которые ранее обложены (подлежат обложению в текущем периоде) индивидуальным подоходным налогом с финансовой прибыли другой такой контролируемой иностранной компании в Республике Казахстан и (или) уменьшены, согласно подпунктам 3), 5), 6), 7), 8) и 9) настоящего пункта или части первой настоящего подпункта;
5) сумма дивидендов, полученных контролируемой иностранной компанией от иностранной компании, входящих в единую организационную структуру консолидированной группы.
При этом финансовая прибыль одной контролируемой иностранной компании должна включать такие дивиденды, которые ранее обложены (подлежат обложению в текущем периоде) индивидуальным подоходным налогом с финансовой прибыли другой такой контролируемой иностранной компании в Республике Казахстан и (или) уменьшены, согласно подпунктам 3), 4), 6), 7), 8) и 9) настоящего пункта или части первой настоящего подпункта;
6) сумма уменьшения, определяемая по следующей формуле:
У = ФП × (Д(6)/ССД), где:
У – сумма уменьшения;
ФП – положительная величина финансовой прибыли до налогообложения контролируемой иностранной компании;
Д(6) – доходы в виде вознаграждений и (или) от прироста стоимости и (или) в виде роялти, полученные контролируемой иностранной компанией из источников в Республике Казахстан, ранее обложенные в Республике Казахстан корпоративным подоходным налогом у источника выплаты, при условии, если финансовая прибыль до налогообложения контролируемой иностранной компании включает такие доходы;
ССД – совокупная сумма доходов;
7) сумма уменьшения, определяемая по следующей формуле:
У = ФП × (Д(7)/ССД), где:
У – сумма уменьшения;
ФП – положительная величина финансовой прибыли до налогообложения контролируемой иностранной компании;
Д(7) – доход от прироста стоимости, полученный одной контролируемой иностранной компанией от реализации другой контролируемой иностранной компании, которая является учредителем резидента Республики Казахстан, соответствующего условиям подпункта 7) или 8) пункта 9 статьи 645 настоящего Кодекса, при условии, если финансовая прибыль одной контролируемой иностранной компании включает такой доход;
ССД – совокупная сумма доходов;
8) доходы в виде вознаграждений и (или) от прироста стоимости и (или) в виде роялти, полученные контролируемой иностранной компанией из источников в Республике Казахстан, не подлежащие налогообложению корпоративным подоходным налогом у источника выплаты согласно подпунктам 6), 7), 8) и 9) пункта 9 статьи 645 настоящего Кодекса, при условии, если финансовая прибыль до налогообложения контролируемой иностранной компании включает такие доходы;
9) сумма дивидендов, полученных контролируемой иностранной компанией из источников в Республике Казахстан, ранее обложенных в Республике Казахстан корпоративным подоходным налогом у источника выплаты, при условии, если финансовая прибыль до налогообложения включает такие дивиденды;
10) сумма дивидендов, полученных контролируемой иностранной компанией от иностранной компании, входящих в единую организационную структуру консолидированной группы.
При этом финансовая прибыль одной контролируемой иностранной компании должна включать такие дивиденды, полученные из источников Республики Казахстан, которые ранее обложены в Республики Казахстан корпоративным подоходным налогом у источника выплаты и (или) не подлежали налогообложению корпоративным подоходным налогом у источника выплаты согласно подпункту 3) пункта 9 статьи 645 настоящего Кодекса.
Положения части первой настоящего пункта не применяются к контролируемой иностранной компании и (или) постоянному учреждению контролируемой иностранной компании, которые зарегистрированы в государствах с льготным налогообложением.
Для применения настоящего пункта у физического лица-резидента должны быть в наличии подтверждающие документы, указанные в пункте 10 статьи 297 настоящего Кодекса.
4. Физическое лицо-резидент обязано представить заявление об участии (контроле) в контролируемой иностранной компании в порядке, определенном статьей 298 настоящего Кодекса.
Примечание.
Понятия, используемые в настоящей статье, определены статьей 294 настоящего Кодекса.
Сноска. Статья 340 с изменениями, внесенными законами РК от 10.12.2020 № 382-VI (порядок введения в действие см. ст. 2); от 11.07.2022 № 135-VII (вводится в действие с 01.01.2023).
Параграф 3. Корректировка дохода
Статья 341. Корректировка дохода
1. Из доходов физического лица, подлежащих налогообложению, исключаются следующие виды доходов (далее – корректировка дохода):
1) алименты, полученные на детей и иждивенцев;
2) вознаграждения, выплачиваемые физическим лицам по их вкладам (депозитам) в банках второго уровня и организациях, осуществляющих отдельные виды банковских операций, на основании лицензии уполномоченного государственного органа по регулированию, контролю и надзору финансового рынка и финансовых организаций, зарегистрированных на территории Республики Казахстан;
3) вознаграждения по долговым ценным бумагам;
4) вознаграждения по государственным эмиссионным ценным бумагам, агентским облигациям;
5) доходы от прироста стоимости при реализации государственных эмиссионных ценных бумаг;
6) доходы от прироста стоимости при реализации агентских облигаций;
7) дивиденды и вознаграждения по ценным бумагам, находящимся на дату начисления таких дивидендов и вознаграждений в официальном списке фондовых бирж, функционирующих на территории Республики Казахстан.
Положение части первой настоящего подпункта применяется к дивидендам по ценным бумагам, по которым за календарный год осуществлялись торги на бирже в соответствии с критериями, определенными Правительством Республики Казахстан;
8) дивиденды, полученные от юридического лица – резидента за календарный год в пределах 30 000-кратного размера месячного расчетного показателя, установленного законом о республиканском бюджете и действующего на 1 января соответствующего финансового года, при распределении:
чистого дохода или его части, подлежащих выплате по акциям, в том числе по акциям, являющимся базовыми активами депозитарных расписок;
чистого дохода или его части, распределяемых юридическим лицом – резидентом между его учредителями, участниками;
дохода от распределения имущества при ликвидации юридического лица – резидента или при уменьшении уставного капитала, а также при выкупе юридическим лицом у учредителя, участника доли участия или ее части в этом юридическом лице – резиденте и при выкупе таким юридическим лицом – эмитентом у акционера акций, выпущенных этим эмитентом;
8-1) доходы от прироста стоимости при реализации паев открытых и интервальных паевых инвестиционных фондов;
9) доходы военнослужащего в связи с исполнением обязанностей воинской службы, сотрудника специальных государственных органов, сотрудника правоохранительных органов (за исключением сотрудника таможенных органов), сотрудника государственной фельдъегерской службы в связи с исполнением служебных обязанностей;
10) все виды выплат, получаемых в связи с исполнением служебных обязанностей в других войсках и воинских формированиях, правоохранительных органах (за исключением таможенных органов), на государственной фельдъегерской службе лицами, права которых иметь воинские, специальные звания, классные чины и носить форменную одежду упразднены с 1 января 2012 года;
11) выигрыш по одной лотерее в пределах 6-кратного размера месячного расчетного показателя, установленного законом о республиканском бюджете и действующего на 1 января соответствующего финансового года;
12) выплаты в связи с выполнением общественных работ и профессиональным обучением, осуществляемые за счет средств бюджета и (или) грантов, в 12-кратном размере месячного расчетного показателя, установленного законом о республиканском бюджете и действующего на 1 января соответствующего финансового года;
13) выплаты в соответствии с законами Республики Казахстан «О социальной защите граждан, пострадавших вследствие экологического бедствия в Приаралье» и «О социальной защите граждан, пострадавших вследствие ядерных испытаний на Семипалатинском испытательном ядерном полигоне».
Положения настоящего подпункта применяются при представлении физическим лицом:
заявления для применения корректировки дохода в пределах, установленных законами Республики Казахстан «О социальной защите граждан, пострадавших вследствие экологического бедствия в Приаралье» и «О социальной защите граждан, пострадавших вследствие ядерных испытаний на Семипалатинском испытательном ядерном полигоне»;
копий подтверждающих документов;
14) действовал до 01.01.2021 в соответствии с Законом РК от 25.12.2017 № 121-VIII.
14-1) доход от личного подсобного хозяйства каждого лица, занимающегося личным подсобным хозяйством, – за год в пределах 282-кратного размера месячного расчетного показателя, установленного законом о республиканском бюджете и действующего на 1 января соответствующего финансового года.
При этом доходом от личного подсобного хозяйства признается доход от реализации лицом, занимающимся личным подсобным хозяйством, заготовительной организации в сфере агропромышленного комплекса, сельскохозяйственному кооперативу и (или) юридическому лицу, осуществляющему переработку сельскохозяйственного сырья, следующей сельскохозяйственной продукции от личного подсобного хозяйства:
скот крупный рогатый молочного стада живой;
скот крупный рогатый живой;
лошади и животные семейства лошадиных, прочие живые;
верблюды и верблюдовые живые;
овцы и козы живые;
свиньи живые;
домашняя птица живая;
яйца куриные в скорлупе свежие;
мясо скота крупного рогатого, свиней, овец, коз, лошадей и животных семейства лошадиных свежее или охлажденное;
молоко сырое скота крупного рогатого молочного стада;
мясо птицы домашней свежее или охлажденное;
картофель;
морковь;
капуста;
баклажаны;
помидоры;
огурцы;
чеснок;
лук;
свекла сахарная;
яблоки;
груши;
айва;
абрикосы;
вишня;
персики;
сливы;
шерсть щипаная, шкуры, кожи сырые скота крупного рогатого, животных семейства лошадиных, овец, коз.
Определение видов продукции в целях применения настоящего подпункта осуществляется в соответствии с классификатором продукции по видам экономической деятельности, утвержденным уполномоченным органом в области технического регулирования.
Положения настоящего подпункта применяются только одним налоговым агентом – заготовительной организацией в сфере агропромышленного комплекса, сельскохозяйственным кооперативом и (или) юридическим лицом, осуществляющим переработку сельскохозяйственного сырья, в отношении физического лица, представившего заготовительной организации в сфере агропромышленного комплекса, сельскохозяйственному кооперативу и (или) юридическому лицу, осуществляющему переработку сельскохозяйственного сырья, следующие документы:
подтверждение местного исполнительного органа о наличии используемых в личном подсобном хозяйстве:
земельного участка с указанием площади;
домашних животных с указанием количества;
домашних птиц с указанием количества;
заявление на применение корректировки доходов, подлежащих налогообложению.
При этом документы представляются налоговому агенту не менее одного раза в календарный год, в котором применена такая корректировка;
15) доходы от прироста стоимости при реализации акций, долей участия в юридическом лице-резиденте или консорциуме, созданном в Республике Казахстан. Настоящий подпункт применяется при одновременном выполнении следующих условий:
на день реализации акций или долей участия налогоплательщик владеет данными акциями или долями участия более трех лет;
такое юридическое лицо-эмитент или такое юридическое лицо, доля участия в котором реализуется, или участник такого консорциума, который реализует долю участия в таком консорциуме, не является недропользователем;
имущество лиц (лица), являющихся (являющегося) недропользователями (недропользователем), в стоимости активов такого юридического лица-эмитента или такого юридического лица, доля участия в котором реализуется, или общей стоимости активов участников такого консорциума, доля участия в котором реализуется, на день такой реализации составляет не более 50 процентов.
В целях настоящего подпункта недропользователем не признается недропользователь, являющийся таковым исключительно из-за обладания правом на добычу подземных вод и (или) общераспространенных полезных ископаемых для собственных нужд.
При этом доля имущества лиц (лица), являющихся (являющегося) недропользователями (недропользователем), в стоимости активов юридического лица или консорциума, чьи акции или доли участия реализуются, определяется в соответствии со статьей 650 настоящего Кодекса;
16) доходы от прироста стоимости при реализации методом открытых торгов на фондовой бирже, функционирующей на территории Республики Казахстан, ценных бумаг, находящихся на день реализации в официальных списках данной фондовой биржи;
17) прирост стоимости при реализации (передаче в качестве вклада в уставный капитал юридического лица) механических транспортных средств и прицепов, подлежащих государственной регистрации в Республике Казахстан и находящихся на праве собственности один год и более;
18) прирост стоимости при реализации (передаче в качестве вклада в уставный капитал юридического лица) жилищ, дачных строений, гаражей, объектов личного подсобного хозяйства, находящихся на территории Республики Казахстан на праве собственности один год и более с даты регистрации права собственности;
19) прирост стоимости при реализации (передаче в качестве вклада в уставный капитал юридического лица) земельных участков и (или) земельных долей, находящихся на территории Республики Казахстан на праве собственности один год и более, целевым назначением которых с даты возникновения права собственности до даты реализации (передачи в качестве вклада в уставный капитал юридического лица) являются индивидуальное жилищное строительство, дачное строительство, ведение личного подсобного хозяйства, садоводство, под гараж, на которых расположены объекты, указанные в подпункте 1) пункта 1 статьи 331 настоящего Кодекса;
20) прирост стоимости при реализации (передаче в качестве вклада в уставный капитал юридического лица) земельных участков и (или) земельных долей, находящихся на территории Республики Казахстан на праве собственности один год и более, целевым назначением которых с даты возникновения права собственности до даты реализации (передачи в качестве вклада в уставный капитал юридического лица) являются индивидуальное жилищное строительство, дачное строительство, ведение личного подсобного хозяйства, садоводство, под гараж, на которых не расположены объекты, указанные в подпункте 1) пункта 1 статьи 331 настоящего Кодекса;
21) прирост стоимости имущества, выкупленного для государственных нужд в соответствии с законами Республики Казахстан;
22) следующие выплаты за счет средств бюджета (кроме выплат в виде оплаты труда) в соответствии с законодательством Республики Казахстан:
в виде разницы между суммой фактически внесенных социальных платежей с учетом уровня инфляции и суммой пенсионных накоплений в едином накопительном пенсионном фонде на момент приобретения получателем права на пенсионные выплаты в соответствии с законодательством Республики Казахстан о социальной защите;
при причинении вреда жизни и здоровью – государственным служащим, в том числе сотрудникам специальных государственных и правоохранительных органов, военнослужащим, членам их семей, иждивенцам, наследникам и лицам, имеющим право на их получение в размерах, установленных законодательством Республики Казахстан;
в виде поощрения – лицам, сообщившим о факте коррупционного правонарушения или иным образом, оказывающим содействие в противодействии коррупции в порядке, определенном Правительством Республики Казахстан;
в виде возмещения убытков в связи со стихийным бедствием или другими чрезвычайными обстоятельствами;
в виде возмещения имущественного вреда, причиненного в период действия чрезвычайного положения;
в виде компенсационных выплат – при прекращении действия трудового договора, в размерах, установленных законодательством Республики Казахстан;
в виде поощрения – призерам и участникам универсиад и членам национальных сборных команд Республики Казахстан за высокие результаты на международных соревнованиях в размерах, установленных законодательством Республики Казахстан;
в виде ежемесячного пожизненного содержания – судьям, пребывающим в отставке, достигшим пенсионного возраста;
в виде государственных премий, государственных стипендий, учреждаемых Президентом Республики Казахстан, Правительством Республики Казахстан, в размерах, установленных законодательством Республики Казахстан;
23) выплаты в пределах 94-кратного размера месячного расчетного показателя, установленного законом о республиканском бюджете и действующего на 1 января соответствующего финансового года, по каждому виду выплат, произведенные налоговым агентом в течение календарного года:
для покрытия расходов физического лица на медицинские услуги (кроме косметологических) – при предоставлении физическим лицом документов, подтверждающих получение медицинских услуг (кроме косметологических) и фактические расходы на их оплату, или расходов работодателя на уплату в пользу работника страховых премий по договорам добровольного страхования на случай болезни – при наличии договора добровольного страхования на случай болезни и документа, подтверждающего уплату страховых премий по договору добровольного страхования на случай болезни;
в виде оказания материальной помощи работнику при рождении его ребенка – при предоставлении работником копии свидетельства (свидетельств) о рождении ребенка (детей);
на погребение – при наличии справки о смерти или свидетельства о смерти.
Указанные доходы освобождаются от налогообложения на основании заявления о применении корректировки дохода и при наличии подтверждающих документов.
Положения настоящего подпункта не распространяются на случаи, предусмотренные подпунктом 10-2) пункта 2 статьи 319 настоящего Кодекса;
24) официальные доходы дипломатических или консульских работников, не являющихся гражданами Республики Казахстан;
25) официальные доходы иностранцев, находящихся на государственной службе иностранного государства, в котором их доход подлежит налогообложению;
26) официальные доходы в иностранной валюте физических лиц, являющихся гражданами Республики Казахстан и находящихся на службе в дипломатических и приравненных к ним представительствах Республики Казахстан за границей, выплачиваемые за счет средств бюджета;
27) пенсионные выплаты по возрасту, пенсионные выплаты за выслугу лет и (или) государственная базовая пенсионная выплата;
28) премии по вкладам в жилищные строительные сбережения (премия государства), выплачиваемые за счет средств бюджета в размерах, установленных законодательством Республики Казахстан;
29) премии государства по образовательным накопительным вкладам, выплачиваемые за счет средств бюджета в размерах, установленных Законом Республики Казахстан «О Государственной образовательной накопительной системе»;
30) расходы, направленные на обучение, произведенные в соответствии с подпунктом 4) пункта 1 статьи 288 настоящего Кодекса;
31) социальные выплаты из Государственного фонда социального страхования;
32) доходы в виде расходов работодателя на оплату отпуска по беременности и родам, отпуска работникам, усыновившим (удочерившим) новорожденного ребенка (детей), за вычетом суммы социальной выплаты на случай потери дохода в связи с беременностью и родами, усыновлением (удочерением) новорожденного ребенка (детей), осуществленной в соответствии с законодательством Республики Казахстан о социальной защите, — в пределах 12-кратного размера месячного расчетного показателя, установленного законом о республиканском бюджете и действующего на дату начисления дохода.
Положения настоящего подпункта применяются в случае, если расходы работодателя, указанные в настоящем подпункте, предусмотрены условиями трудового и (или) коллективного договора, актом работодателя;
33) стипендии, выплачиваемые организациями лицам, обучающимся в организациях образования, в размерах, установленных законодательством Республики Казахстан для государственных стипендий;
34) специальные стипендии Президента Республики Казахстан и стипендии Президента Республики Казахстан, учреждаемые Президентом Республики Казахстан, выплачиваемые организациями образования обучающимся в таких организациях в порядке и размерах, которые установлены законодательством Республики Казахстан;
35) государственные именные стипендии, учреждаемые Правительством Республики Казахстан, выплачиваемые организациями образования обучающимся в таких организациях в порядке и размерах, которые установлены законодательством Республики Казахстан;
36) выплаты для оплаты расходов, связанных с организацией обучения и прохождения стажировок победителей конкурса на присуждение международной стипендии Президента Республики Казахстан «Болашак», в порядке и размерах, которые установлены законодательством Республики Казахстан;
37) компенсации расходов на проезд лицам, обучающимся на основе государственного образовательного заказа, выплачиваемые в размерах, установленных законодательством Республики Казахстан;
38) имущество, включая работы и услуги, полученное физическим лицом на безвозмездной основе от другого физического лица, в том числе в виде дарения и наследования.
Положения части первой настоящего подпункта не распространяются на:
имущество, полученное индивидуальным предпринимателем и предназначенное для использования в предпринимательских целях;
пенсионные накопления, унаследованные в порядке, определенном законодательством Республики Казахстан, выплачиваемые единым накопительным пенсионным фондом и добровольными накопительными пенсионными фондами;
39) стоимость имущества, полученного в виде благотворительной и спонсорской помощи;
39-1) стоимость путевок в детские лагеря для детей, не достигших шестнадцатилетнего возраста;
40) страховые выплаты, связанные со страховым случаем, наступившим в период действия договора, выплачиваемые при любом виде страхования, за исключением доходов, предусмотренных статьей 329 настоящего Кодекса;
41) страховые выплаты, осуществляемые страховыми организациями по договорам накопительного страхования, страховые премии по которым были оплачены физическим лицом в свою пользу и (или) в пользу близких родственников, супруга (супруги) и (или) работодателем в пользу работника;
41-1) выкупные суммы, выплачиваемые страховыми организациями по договорам накопительного страхования в соответствии с законодательством Республики Казахстан о страховании и страховой деятельности;
42) чистый доход от доверительного управления учредителя доверительного управления, полученный от физического лица-резидента, в том числе индивидуального предпринимателя, являющегося доверительным управляющим;
43) дивиденды, распределенные из финансовой прибыли (или ее части) контролируемой иностранной компании и (или) иностранной компании, входящих в единую организационную структуру консолидированной группы, ранее обложенные индивидуальным подоходным налогом согласно статье 340 настоящего Кодекса;
44) доход по инвестиционному депозиту, размещенному в исламском банке;
45) государственная адресная социальная помощь, пособия и компенсации, выплачиваемые за счет средств бюджета в размерах, установленных законодательством Республики Казахстан, а также субсидии из средств бюджета для оплаты за арендованное жилье в частном жилищном фонде в соответствии с жилищным законодательством Республики Казахстан;
46) возмещение вреда, причиненного жизни и здоровью физического лица, в соответствии с законодательством Республики Казахстан, за исключением морального вреда;
47) страховые выплаты по договорам страхования работника от несчастных случаев при исполнении им трудовых (служебных) обязанностей и договорам аннуитетного страхования, заключенным работодателем, в части возмещения вреда, причиненного жизни и (или) здоровью работника в связи с исполнением им трудовых (служебных) обязанностей;
48) суммы возмещения материального ущерба, присуждаемые по решению суда, а также судебных расходов;
49) стоимость имущества, полученного в виде гуманитарной помощи;
50) страховые премии, уплачиваемые работодателем по договорам обязательного страхования своих работников;
51) выплаты за счет средств грантов (кроме выплат в виде оплаты труда);
52) исключен от 10.12.2020 № 382-VI (порядок введения в действие см. ст. 2);
52-1) невостребованная сумма гарантийного возмещения, учитываемая на индивидуальном пенсионном счете для учета добровольных пенсионных взносов в соответствии с условиями договора о пенсионном обеспечении за счет добровольных пенсионных взносов.
Примечание РЦПИ!
Подпункт 53) действует до 01.01.2029 в соответствии с Законом РК от 26.12.2018 № 203-VI.
53) доходы работников юридических лиц, указанных в подпункте 6) пункта 1 статьи 293 настоящего Кодекса;
54) доходы физического лица, полученные в виде расходов некоммерческой организации, определенной пунктом 1 статьи 289 настоящего Кодекса, в рамках реализации уставных целей и задач на проезд, проживание и питание физического лица, не состоящего в трудовых отношениях с такой организацией и (или) не в рамках договора об оказании услуг, выполнении работ;
55) страховые премии (страховые взносы – в случае, если договором предусмотрена уплата страховых премий в рассрочку) в пределах 320-кратного размера месячного расчетного показателя, установленного законом о республиканском бюджете и действующего на 1 января соответствующего финансового года, оплаченные в течение календарного года физическим лицом-резидентом по договору накопительного страхования, заключенному на срок три и более года.
В целях части первой настоящего подпункта корректировка дохода применяется в том налоговом периоде, на который приходится дата уплаты страховой премии (страхового взноса), и подтверждающими документами для применения такой корректировки являются:
заявление о применении налогового вычета;
договор накопительного страхования;
график уплаты страховых взносов (при наличии);
документ, подтверждающий уплату страховой премии (страховых взносов);
56) доход от прироста стоимости при реализации цифровых активов, по которым доход исчислен в соответствии с пунктом 2-1 статьи 681 настоящего Кодекса.
2. В случае если корректировка дохода, предусмотренная подпунктами 13), 14) и 23) пункта 1 настоящей статьи, не применена налоговым агентом к доходу физического лица по причине обращения физического лица позже даты удержания индивидуального подоходного налога с такого дохода, то физическое лицо вправе представить налоговому агенту, производившему удержание индивидуального подоходного налога с такого дохода, заявление и подтверждающие документы, на основании которых налоговый агент производит перерасчет доходов в пределах срока исковой давности, предусмотренного пунктом 2 статьи 48 настоящего Кодекса.
Сноска. Статья 341 с изменениями, внесенными законами РК от 25.12.2017 № 121-VI (вводится в действие с 01.01.2021); от 02.07.2018 № 165-VII (вводится в действие с 01.01.2020); от 26.12.2018 № 203-VI (вводится в действие с 01.01.2020); от 02.04.2019 № 241-VI (вводится в действие с 01.01.2020); от 10.12.2020 № 382-VI (порядок введения в действие см. ст. 2); от 24.06. 2021 № 53-VII (вводится в действие с 01.01.2025); от 11.07.2022 № 135-VII (порядок введения в действие см. ст. 3); от 21.12.2022 № 165-VII (вводится в действие с 01.01.2023); от 06.02.2023 № 196-VII (вводится в действие с 01.04.2023); от 15.07.2025 № 208-VIII (вводится в действие с 01.01.2025).
Глава 37. НАЛОГОВЫЕ ВЫЧЕТЫ
Статья 342. Общие положения по налоговым вычетам
1. Физическое лицо имеет право на применение следующих видов налоговых вычетов:
1) налоговый вычет в виде обязательных пенсионных взносов – в размере, установленном законодательством Республики Казахстан о социальной защите;
2) налоговый вычет по взносам на обязательное социальное медицинское страхование – в размере, установленном законодательством Республики Казахстан об обязательном социальном медицинском страховании;
3) стандартные налоговые вычеты (далее – стандартные вычеты);
4) налоговый вычет для многодетных семей;
5) прочие налоговые вычеты (далее – прочие вычеты), которые включают в себя:
налоговый вычет по добровольным пенсионным взносам;
налоговый вычет на обучение;
налоговый вычет на медицину;
налоговый вычет по вознаграждениям;
6) налоговый вычет по социальным отчислениям, удерживаемым с доходов по договорам гражданско-правового характера, предметом которых является выполнение работ (оказание услуг), – в размере, установленном законодательством Республики Казахстан о социальной защите.
2. Физическое лицо применяет налоговые вычеты:
1) в виде обязательных пенсионных взносов, по взносам на обязательное социальное медицинское страхование, стандартные вычеты, для многодетных семей – у налогового агента;
2) в виде обязательных пенсионных взносов, по взносам на обязательное социальное медицинское страхование, стандартные вычеты, для многодетных семей – самостоятельно при неприменении у налогового агента;
3) не указанные в подпункте 1) настоящего пункта – самостоятельно.
3. Предельный размер общей суммы налогового вычета для многодетных семей и прочих вычетов, примененных в календарном году как у налогового агента, так и физическим лицом самостоятельно, не должен превышать 564-кратный размер месячного расчетного показателя.
4. Налоговые вычеты в виде добровольных пенсионных взносов и стандартного вычета, предусмотренного подпунктами 2) и 3) пункта 1 статьи 346 настоящего Кодекса, применяются на основании документов, подтверждающих право на применение налоговых вычетов. Оригиналы таких документов хранятся у физического лица в течение срока исковой давности, установленного пунктом 2 статьи 48 настоящего Кодекса.
5. Налоговые вычеты применяются последовательно в том порядке, в котором они отражены в пункте 1 настоящей статьи.
Примечание.
В целях применения главы 37 настоящего Кодекса под месячным расчетным показателем понимается месячный расчетный показатель, установленный законом о республиканском бюджете и действующий на 1 января соответствующего финансового года.
Сноска. Статья 342 с изменениями, внесенными законами РК от 26.12.2018 № 203-VI (вводится в действие с 01.01.2020); от 15.07.2025 № 208-VIII (вводится в действие с 01.01.2025).
Статья 343. Особенности применения налоговых вычетов у налогового агента
1. Налоговые вычеты, за исключением налогового вычета в виде обязательных пенсионных взносов, взносов на обязательное социальное медицинское страхование и социальных отчислений, удерживаемых с доходов по договорам гражданско-правового характера, предметом которых является выполнение работ (оказание услуг), применяются налоговым агентом у источника выплаты на основании:
1) заявления физического лица о применении налоговых вычетов;
2) копий подтверждающих документов, кроме прочих налоговых вычетов. Такие копии хранятся у налогового агента в течение срока исковой давности, составляющего три года.
2. При смене в течение календарного года налогового агента, за исключением случаев его реорганизации, не примененная сумма налогового вычета, образовавшаяся у предыдущего налогового агента, не учитывается у нового налогового агента.
Положение настоящего пункта не распространяется на стандартные вычеты, предусмотренные подпунктами 2) и 3) пункта 1 статьи 346 настоящего Кодекса, по которым превышение налогового вычета, образовавшееся у предыдущего налогового агента, учитывается у нового налогового агента в пределах, установленных настоящим Кодексом. При этом физическое лицо предоставляет справку о расчетах с физическим лицом, выданную предыдущим налоговым агентом в порядке, определенном статьей 359 настоящего Кодекса.
3. Физическое лицо вправе применить за налоговый период определенный вид налогового вычета только у одного налогового агента, за исключением налоговых вычетов в виде обязательных пенсионных взносов и взносов на обязательное социальное медицинское страхование.
При наличии у налогового агента за календарный месяц обязательств по выплате доходов одному физическому лицу в виде дохода работника и дохода от реализации товаров, выполнения работ, оказания услуг стандартный вычет применяется в пределах общей суммы стандартного вычета за календарный месяц в следующей последовательности:
1) к доходу работника – в пределах суммы такого дохода;
2) к доходу от реализации товаров, выполнения работ, оказания услуг налоговому агенту – в оставшемся размере стандартного вычета.
4. В случае, если налоговые вычеты не применены налоговым агентом к доходу физического лица по причине обращения физического лица позже даты удержания индивидуального подоходного налога с такого дохода, физическое лицо вправе представить налоговому агенту, производившему удержание индивидуального подоходного налога с такого дохода, заявление и подтверждающие документы, на основании которых налоговый агент производит перерасчет доходов в пределах срока исковой давности, предусмотренного пунктом 2 статьи 48 настоящего Кодекса.
Сноска. Статья 343 с изменениями, внесенными законами РК от 02.04.2019 № 241-VI (вводится в действие с 01.01.2020); от 10.12.2020 № 382-VI (вводится в действие с 01.01.2021); от 15.07.2025 № 208-VIII (вводится в действие с 01.01.2025).
Статья 344. Особенности применения налоговых вычетов физическим лицом самостоятельно
Сумма превышения налоговых вычетов, образовавшаяся у налогового агента, а также непримененная у налогового агента сумма налогового вычета учитываются физическим лицом самостоятельно при исчислении облагаемого дохода физического лица.
Статья 345. Налоговый вычет по пенсионным выплатам и договорам накопительного страхования
1. К доходу в виде пенсионных выплат, подлежащему налогообложению, применяется налоговый вычет в следующих размерах:
1) по выплатам, предусмотренным подпунктом 1) статьи 326 настоящего Кодекса, – в размере 14-кратного месячного расчетного показателя, установленного законом о республиканском бюджете и действующего на дату начисления дохода в виде пенсионной выплаты, за каждый месяц, за который осуществляется пенсионная выплата;
2) по выплатам, предусмотренным подпунктом 2) статьи 326 настоящего Кодекса, – в размере 168-кратного месячного расчетного показателя, установленного законом о республиканском бюджете и действующего на дату начисления дохода в виде пенсионной выплаты.
2. К доходу по договорам накопительного страхования, подлежащему налогообложению в виде страховых выплат, осуществляемых страховыми организациями, страховые премии которых были оплачены за счет пенсионных накоплений в едином накопительном пенсионном фонде, применяется налоговый вычет в сумме 14-кратного размера месячного расчетного показателя, установленного законом о республиканском бюджете и действующего на дату начисления дохода в виде страховой выплаты, за каждый месяц начисления дохода в виде страховой выплаты, за который осуществляется страховая выплата.
Сноска. Статья 345 — в редакции Закона РК от 20.12.2021 № 85-VII (вводится в действие с 01.01.2022).
Статья 345-1. Налоговый вычет по взносам на обязательное социальное медицинское страхование
1. Налоговый вычет по взносам на обязательное социальное медицинское страхование у налогового агента применяется на сумму взносов на обязательное социальное медицинское страхование, исчисленных в соответствии с Законом Республики Казахстан «Об обязательном социальном медицинском страховании» в том налоговом периоде, на который приходится дата их исчисления.
2. Налоговый вычет по взносам на обязательное социальное медицинское страхование применяется физическим лицом самостоятельно на сумму взносов на обязательное социальное медицинское страхование, исчисленных в соответствии с Законом Республики Казахстан «Об обязательном социальном медицинском страховании», на основании документа, подтверждающего уплату таких взносов в том налоговом периоде, на который приходится наиболее поздняя из следующих дат:
дата исчисления взносов на обязательное социальное медицинское страхование;
дата уплаты взносов на обязательное социальное медицинское страхование.
Сноска. Глава 37 дополнена статьей 345-1 в соответствии с Законом РК от 15.07.2025 № 208-VIII (вводится в действие с 01.01.2025).
Статья 345-2. Налоговый вычет по социальным отчислениям, удерживаемым с доходов по договорам гражданско-правового характера, предметом которых является выполнение работ (оказание услуг)
Налоговый вычет по социальным отчислениям, удерживаемым по договорам гражданско-правового характера, предметом которых является выполнение работ (оказание услуг), применяется у налогового агента на сумму социальных отчислений, удерживаемых по договорам гражданско-правового характера, предметом которых является выполнение работ (оказание услуг), исчисленных в соответствии с законодательством Республики Казахстан о социальной защите в том налоговом периоде, на который приходится дата их исчисления.
Сноска. Глава 37 дополнена статьей 345-2 в соответствии с Законом РК от 15.07.2025 № 208-VIII (вводится в действие с 01.01.2025).
Статья 346. Стандартные вычеты
1. Стандартными вычетами являются:
1) 14-кратный размер месячного расчетного показателя, установленного законом о республиканском бюджете и действующего на 1 января соответствующего финансового года. Стандартный вычет применяется за каждый календарный месяц. Общая сумма стандартного вычета за календарный год не должна превышать 168-кратный размер месячного расчетного показателя, установленного законом о республиканском бюджете и действующего на 1 января соответствующего финансового года;
2) 882-кратный размер месячного расчетного показателя за календарный год на основании того, что такое лицо на дату применения настоящего подпункта является:
участником Великой Отечественной войны, лицом приравненным по льготам к участникам Великой Отечественной войны, и ветераном боевых действий на территории других государств;
лицом, награжденным орденами и медалями бывшего Союза ССР за самоотверженный труд и безупречную воинскую службу в тылу в годы Великой Отечественной войны;
лицом, проработавшим (прослужившим) не менее шести месяцев с 22 июня 1941 года по 9 мая 1945 года и не награжденным орденами и медалями бывшего Союза ССР за самоотверженный труд и безупречную воинскую службу в тылу в годы Великой Отечественной войны;
лицом с инвалидностью первой, второй или третьей группы;
ребенком с инвалидностью.
В случае, если физическое лицо имеет несколько оснований для применения настоящего подпункта, исключение доходов не должно превышать предел дохода, установленного настоящим подпунктом;
3) 882-кратный размер месячного расчетного показателя за календарный год на основании того, что такое лицо на дату применения настоящего подпункта является:
одним из родителей, опекунов, попечителей ребенка с инвалидностью, – за каждого такого ребенка с инвалидностью до достижения им восемнадцатилетнего возраста;
одним из родителей, опекунов, попечителей лица, признанного лицом с инвалидностью по причине «лицо с инвалидностью с детства», – за каждое такое лицо в течение его жизни;
одним из усыновителей (удочерителей), – за каждое такое лицо до достижения усыновленным (удочеренным) ребенком восемнадцатилетнего возраста;
одним из приемных родителей, принявших детей-сирот и детей, оставшихся без попечения родителей, в приемную семью, – за каждое такое лицо на период срока действия договора о передаче детей-сирот, детей, оставшихся без попечения родителей, в приемную семью.
Положения настоящего подпункта не применяются в отношении:
работников администраций соответствующих организаций образования, медицинских организаций, организаций социальной защиты населения, являющихся опекунами и попечителями лиц, нуждающихся в опеке и попечительстве, в силу трудовых отношений с такими организациями;
лиц, вступающих в брак (супружество) с матерью или отцом усыновляемого ребенка (детей) в соответствии с брачно-семейным законодательством Республики Казахстан.
2. Стандартные вычеты, предусмотренные подпунктами 2) и 3) пункта 1 настоящей статьи, применяются в том календарном году, в котором возникло, имеется или имелось основание для применения данных налоговых вычетов.
Сноска. Статья 346 с изменениями, внесенными законами РК от 26.12.2018 № 203-VI (вводится в действие с 01.01.2020); от 06.05.2020 № 324-VІ (вводится в действие с 01.01.2020); от 20.12.2021 № 85-VII (вводится в действие с 01.01.2022).
Статья 347. Налоговый вычет для многодетной семьи
1. Налоговый вычет для многодетной семьи применяется в совокупности на обоих родителей в размере не более 282-кратного размера месячного расчетного показателя, определенного за календарный год, в одном из следующих порядков:
1) для одного из родителей многодетной семьи в 23,5-кратном размере месячного расчетного показателя за каждый месяц;
2) для каждого родителя многодетной семьи в 11,75-кратном размере месячного расчетного показателя за каждый месяц.
2. Налоговый вычет для многодетной семьи применяется в случае наличия у физического лица на 1 января календарного года, в котором применяется вычет, четырех и более несовершеннолетних детей, подтверждаемого копиями свидетельств о рождении таких детей.
Сноска. Статья 347 с изменениями, внесенными законами РК от 26.12.2018 № 203-VI (вводится в действие с 01.01.2020); от 15.07.2025 № 208-VIII (вводится в действие с 01.01.2025).
Статья 348. Налоговый вычет по добровольным пенсионным взносам
1. Налоговый вычет по добровольным пенсионным взносам применяется физическим лицом-резидентом Республики Казахстан по расходам на уплату добровольных пенсионных взносов в соответствии с законодательством Республики Казахстан о социальной защите, произведенным в свою пользу.
2. Подтверждающим документом для применения налогового вычета по добровольным пенсионным взносам является документ, подтверждающий уплату добровольных пенсионных взносов.
3. Налоговый вычет по добровольным пенсионным взносам применяется в том налоговом периоде, на который приходится дата уплаты добровольных пенсионных взносов.
4. Положения настоящей статьи не распространяются на невостребованную сумму гарантийного возмещения, учитываемую на индивидуальном пенсионном счете для учета добровольных пенсионных взносов в соответствии с условиями договора о пенсионном обеспечении за счет добровольных пенсионных взносов.
Сноска. Статья 348 с изменениями, внесенными законами РК от 10.12.2020 № 382-VI (вводится в действие с 01.01.2022); 21.12.2022 № 165-VII (вводится в действие с 01.01.2023).
Статья 349. Налоговый вычет на обучение
1. Налоговый вычет на обучение применяется по расходам на обучение по следующим уровням образования в соответствии с законодательством Республики Казахстан:
1) дошкольное воспитание и обучение, осуществляемые в дошкольных организациях образования в Республике Казахстан;
2) техническое и профессиональное образование, осуществляемое в Республике Казахстан по соответствующим лицензиям на право ведения таких видов деятельности в организациях образования;
3) послесреднее, высшее образование, осуществляемое в Республике Казахстан по соответствующим лицензиям на право ведения таких видов деятельности в организациях образования;
4) дошкольное воспитание и обучение, послесреднее, высшее образование, осуществляемые в автономных организациях образования, определенных пунктом 1 статьи 291 настоящего Кодекса.
2. Налоговый вычет на обучение применяет:
1) физическое лицо-резидент Республики Казахстан по расходам на оплату обучения, произведенным в свою пользу;
2) один из законных представителей по произведенным расходам на оплату обучения в пользу представляемого физического лица-резидента Республики Казахстан, не достигшего двадцати одного года. В случае применения лицом, не достигшим двадцати одного года, налогового вычета на обучение самостоятельно указанный налоговый вычет законным представителем не применяется.
3. Налоговый вычет на обучение применяется в размере не более 118-кратного размера месячного расчетного показателя, определенного за календарный год.
4. Подтверждающими документами для применения налогового вычета на обучение являются договор на оказание услуг и документ, подтверждающий факт оплаты таких услуг.
5. Налоговые вычеты по расходам на обучение применяются в том налоговом периоде, на который приходится наиболее поздняя из следующих дат:
дата получения услуг обучения;
дата оплаты услуг обучения.
Сноска. Статья 349 с изменением, внесенным Законом РК от 26.12.2018 № 203-VI (вводится в действие с 01.01.2020); от 15.07.2025 № 208-VIII (вводится в действие с 01.01.2025).
Статья 350. Налоговый вычет на медицину
1. Налоговый вычет на медицину применяется по следующим расходам на оплату:
1) медицинских услуг (кроме косметологических);
2) страховых премий по договорам добровольного страхования на случай болезни.
Положения настоящей статьи не распространяются на случаи, предусмотренные подпунктом 10-2) пункта 2 статьи 319 настоящего Кодекса.
2. Налоговый вычет на медицину применяет:
1) физическое лицо-резидент Республики Казахстан по расходам на медицину, произведенным в свою пользу;
2) один из законных представителей по произведенным расходам на медицину в пользу представляемого физического лица-резидента Республики Казахстан, не достигшего восемнадцати лет. В случае применения лицом, не достигшим восемнадцатилетнего возраста (совершеннолетия), налогового вычета на медицину самостоятельно указанный налоговый вычет законным представителем не применяется.
3. Налоговый вычет на медицину применяется в размере не более 118-кратного размера месячного расчетного показателя, определенного за календарный год.
При этом общая сумма налогового вычета на медицину и корректировки дохода для покрытия расходов физического лица на медицинские услуги (кроме косметологических) и (или) расходов работодателя на уплату в пользу работника страховых премий по договорам добровольного страхования на случай болезни в соответствии с подпунктом 23) пункта 1 статьи 341 настоящего Кодекса в совокупности за календарный год не должна превышать 118-кратный размер месячного расчетного показателя.
4. Подтверждающими документами для применения налогового вычета на медицину являются:
1) договор на оказание платных медицинских услуг с выделением стоимости медицинских услуг – в случае его заключения в письменной форме;
2) выписка из истории болезни, содержащая информацию о стоимости медицинских услуг;
3) договор добровольного страхования на случай болезни при применении лицом налогового вычета, указанного в подпункте 2) пункта 1 настоящей статьи;
4) документ, подтверждающий факт оплаты медицинских услуг или страховых премий по договору добровольного страхования на случай болезни.
5. Налоговые вычеты по расходам на оплату медицинских услуг применяются в том налоговом периоде, на который приходится наиболее поздняя из следующих дат:
дата получения медицинских услуг;
дата оплаты медицинских услуг.
6. Налоговые вычеты по расходам на оплату страховых премий по договорам добровольного страхования на случай болезни применяются в том налоговом периоде, на который приходится наиболее поздняя из следующих дат:
дата погашения страховых премий, установленная договором добровольного страхования на случай болезни;
дата оплаты страховых премий.
7. При оплате в иностранной валюте медицинских услуг, предоставленных за пределами Республики Казахстан, пересчет расходов, указанных в пункте 1 настоящей статьи, в тенге осуществляется с применением официального курса национальной валюты Республики Казахстан к иностранным валютам на дату осуществления платежа.
Сноска. Статья 350 с изменениями, внесенными законами РК от 26.12.2018 № 203-VI (вводится в действие с 01.01.2020); от 10.12.2020 № 382-VI (вводится в действие с 01.01.2021); 24.06.2021 № 53-VII (вводится в действие с 01.01.2025); от 15.07.2025 № 208-VIII (вводится в действие с 01.01.2025).
Статья 351. Налоговый вычет по вознаграждениям
1. Налоговый вычет по вознаграждениям применяется физическим лицом-резидентом Республики Казахстан по расходам на оплату вознаграждения по ипотечным жилищным займам, полученным в банках и организациях, осуществляющих отдельные виды банковских операций на основании лицензии уполномоченного государственного органа по регулированию, контролю и надзору финансового рынка и финансовых организаций.
2. Налоговый вычет по вознаграждениям применяется в размере не более 118-кратного размера месячного расчетного показателя, определенного за календарный год.
3. Подтверждающими документами для применения налогового вычета по вознаграждениям являются:
1) договор ипотечного жилищного займа с банком или организацией, осуществляющей отдельные виды банковских операций на основании лицензии уполномоченного государственного органа по регулированию, контролю и надзору финансового рынка и финансовых организаций;
2) график погашения ипотечного жилищного займа с выделением суммы вознаграждения;
3) документ, подтверждающий погашение вознаграждения по такому займу.
4. Налоговые вычеты применяются в том налоговом периоде, на который приходится наиболее поздняя из следующих дат:
дата погашения вознаграждения по графику погашения ипотечного жилищного займа;
дата оплаты вознаграждения.
5. При оплате вознаграждения в иностранной валюте пересчет расходов, указанных в пункте 1 настоящей статьи, в тенге осуществляется с применением официального курса национальной валюты Республики Казахстан к иностранным валютам на дату осуществления платежа.
Сноска. Статья 351 с изменением, внесенным Законом РК от 26.12.2018 № 203-VI (вводится в действие с 01.01.2020).
Глава 38. ПОРЯДОК ИСЧИСЛЕНИЯ, УПЛАТЫ И ПРЕДСТАВЛЕНИЯ НАЛОГОВОЙ ОТЧЕТНОСТИ ПО ИНДИВИДУАЛЬНОМУ ПОДОХОДНОМУ НАЛОГУ, УДЕРЖИВАЕМОМУ У ИСТОЧНИКА ВЫПЛАТЫ
Статья 352. Общие положения по индивидуальному подоходному налогу, удерживаемому у источника выплаты
1. Исчисление, удержание и уплата в бюджет индивидуального подоходного налога осуществляются у источника выплаты налоговым агентом по доходам, указанным в подпунктах 1) – 12) и 17) статьи 321 настоящего Кодекса, в случае, если такие доходы подлежат выплате (выплачиваются) указанным налоговым агентом.
2. Если иное не установлено пунктом 3 настоящей статьи, налоговыми агентами признаются следующие лица, выплачивающие доход физическому лицу-резиденту:
1) индивидуальный предприниматель;
2) лицо, занимающееся частной практикой;
3) юридическое лицо, в том числе нерезидент, осуществляющий деятельность в Республике Казахстан через постоянное учреждение.
При этом юридическое лицо-нерезидент признается налоговым агентом с даты постановки его структурного подразделения или постоянного учреждения без открытия структурного подразделения на регистрационный учет в налоговых органах Республики Казахстан;
4) юридическое лицо-нерезидент, осуществляющее деятельность в Республике Казахстан через структурное подразделение, в случае, если данное структурное подразделение не образует постоянного учреждения в соответствии с международным договором, регулирующим вопросы избежания двойного налогообложения и предотвращения уклонения от уплаты налогов, или статьей 220 настоящего Кодекса.
3. Не признаются налоговыми агентами:
1) дипломатические и приравненные к ним представительства иностранного государства, консульские учреждения иностранного государства, аккредитованные в Республике Казахстан;
2) международные и государственные организации, зарубежные и казахстанские неправительственные общественные организации и фонды, освобожденные от обязательства по исчислению, удержанию и перечислению индивидуального подоходного налога у источника выплаты в соответствии с международными договорами, ратифицированными Республикой Казахстан.
4. Юридическое лицо-резидент своим решением вправе признать одновременное исполнение обязанности своим структурным подразделением по:
исчислению, удержанию и перечислению индивидуального подоходного налога по доходам, подлежащим налогообложению у источника выплаты, которые начислены, выплачены таким структурным подразделением;
исчислению и уплате социального налога по объектам налогообложения, являющимся расходами такого структурного подразделения.
При этом такое решение юридического лица-резидента вводится в действие:
в отношении вновь созданного структурного подразделения юридического лица – со дня создания данного структурного подразделения или с начала квартала, следующего за кварталом, в котором создано данное структурное подразделение;
в остальных случаях – с начала квартала, следующего за кварталом, в котором принято такое решение.
Отмена такого решения юридического лица-резидента вводится в действие с начала квартала, следующего за кварталом, в котором отменено такое решение.
5. Исчисление и удержание индивидуального подоходного налога с доходов по депозитарным распискам производятся эмитентом базового актива таких депозитарных расписок.
Статья 353. Исчисление, удержание и уплата индивидуального подоходного налога
1. Исчисление индивидуального подоходного налога по доходам, подлежащим налогообложению у источника выплаты, производится налоговым агентом при начислении дохода, подлежащего налогообложению.
Сумма индивидуального подоходного налога исчисляется путем применения ставок, установленных статьей 320 настоящего Кодекса, к сумме облагаемого дохода у источника выплаты, определяемого в соответствии с настоящим разделом.
2. Удержание индивидуального подоходного налога производится налоговым агентом не позднее дня выплаты дохода, подлежащего налогообложению у источника выплаты.
3. Налоговый агент осуществляет перечисление индивидуального подоходного налога по выплаченным доходам не позднее двадцати пяти календарных дней после окончания месяца, в котором была осуществлена выплата дохода, по месту своего нахождения.
4. По доходам работников структурных подразделений налогового агента перечисление индивидуального подоходного налога производится в соответствующие бюджеты по месту нахождения данных структурных подразделений.
5. При уплате налоговым агентом суммы индивидуального подоходного налога, исчисленной с доходов, подлежащих налогообложению у источника выплаты в соответствии с положениями настоящего Кодекса, за счет собственных средств без его удержания обязанность налогового агента по удержанию и перечислению индивидуального подоходного налога у источника выплаты считается исполненной.
Статья 353-1. Особенности исчисления, удержания и уплаты индивидуального подоходного налога с единовременной пенсионной выплаты в соответствии с законодательством Республики Казахстан о социальной защите
1. При единовременной пенсионной выплате в соответствии с законодательством Республики Казахстан о социальной защите налоговый агент производит исчисление индивидуального подоходного налога при переводе единым накопительным пенсионным фондом на банковский счет получателя пенсионных выплат и (или) уполномоченного оператора.
Индивидуальный подоходный налог исчисляется путем применения ставок, установленных статьей 320 настоящего Кодекса, к сумме облагаемого дохода у источника выплаты, определяемого в соответствии с пунктом 1-2 статьи 356 настоящего Кодекса.
2. Если иное не предусмотрено пунктами 4, 5, 6 и 7 настоящей статьи, удержание суммы индивидуального подходного налога производится налоговым агентом по одному из следующих способов по выбору физического лица:
1) в порядке, предусмотренном статьей 353 настоящего Кодекса;
2) ежемесячно равными долями в течение не более шестнадцати лет по установленному единым накопительным пенсионным фондом графику для пенсионных выплат.
Удержание, указанное в части первой настоящего пункта, производится на основании заявления об удержании индивидуального подоходного налога, представленного налоговому агенту по форме, установленной уполномоченным органом по согласованию с уполномоченным органом в сфере социальной защиты населения.
3. Налоговый агент осуществляет перечисление удержанной суммы индивидуального подоходного налога не позднее двадцати пяти календарных дней:
1) следующего месяца, в котором осуществлена единовременная пенсионная выплата, – в случае, указанном в подпункте 1) части первой пункта 2 настоящей статьи;
2) следующего месяца, в котором начато и осуществляется перечисление пенсионной выплаты согласно установленному единым накопительным пенсионным фондом графику для пенсионных выплат, – в случае, указанном в подпункте 2) части первой пункта 2 настоящей статьи;
3) следующего месяца, в котором единовременно удержана сумма индивидуального подоходного налога, – в случаях, установленных пунктами 4, 5, 6 и 7 настоящей статьи.
4. При выезде физического лица на постоянное место жительства за пределы Республики Казахстан сумма индивидуального подоходного налога, не удержанного и не перечисленного налоговым агентом с единовременной пенсионной выплаты, подлежит удержанию единовременно в порядке, предусмотренном статьей 353 настоящего Кодекса, с суммы пенсионной выплаты.
5. При выплате лицу, унаследовавшему пенсионные накопления, в порядке, установленном законодательством Республики Казахстан, сумма индивидуального подоходного налога, не удержанного и не перечисленного налоговым агентом с единовременной пенсионной выплаты, подлежит удержанию единовременно в порядке, предусмотренном статьей 353 настоящего Кодекса, с суммы пенсионной выплаты.
6. При наличии у физического лица договора пенсионного аннуитета, заключенного со страховой организацией, индивидуальный подоходный налог с суммы единовременной пенсионной выплаты подлежит удержанию налоговым агентом единовременно в порядке, предусмотренном статьей 353 настоящего Кодекса, в следующих случаях:
1) при переводе пенсионных накоплений в страховую организацию – с суммы пенсионных накоплений;
2) при применении ранее к доходу в виде единовременной пенсионной выплаты положения подпункта 2) части первой пункта 2 настоящей статьи – с суммы пенсионных накоплений;
3) единовременной пенсионной выплаты – с оставшейся суммы на индивидуальном пенсионном счете физического лица в едином накопительном пенсионном фонде.
7. При единовременной пенсионной выплате физическому лицу, являющемуся получателем пенсионных выплат за выслугу лет, удержание индивидуального подоходного налога производится налоговым агентом единовременно в порядке, предусмотренном статьей 353 настоящего Кодекса.
Положения настоящего пункта применяются также в случае применения ранее к доходам физического лица способа удержания индивидуального подходного налога, предусмотренного подпунктом 2) части первой пункта 2 настоящей статьи, с удержанием индивидуального подходного налога с суммы пенсионных накоплений.
8. В целях настоящей статьи налоговым агентом признается единый накопительный пенсионный фонд.
Сноска. Раздел 8 дополнен статьей 353-1 в соответствии с Законом РК от 10.12.2020 № 382-VI (вводится в действие с 01.01.2021); в редакции Закона РК от 12.12.2023 № 45-VIII (вводится в действие с 01.01.2024).
Статья 354. Порядок исполнения налогового обязательства налоговым агентом по доходам, выплачиваемым резиденту в виде дивидендов по акциям, являющимся базовым активом депозитарных расписок, а также возврата индивидуального подоходного налога, удержанного у источника выплаты
Порядок исполнения налогового обязательства налоговым агентом по доходам, выплачиваемым резиденту в виде дивидендов по акциям, являющимся базовым активом депозитарных расписок, а также возврата индивидуального подоходного налога, удержанного у источника выплаты, определяется в соответствии со статьей 310 настоящего Кодекса.
Статья 355. Особенности исчисления, удержания и уплаты индивидуального подоходного налога государственными учреждениями
1. По решению государственного органа его структурные подразделения и (или) территориальные органы могут рассматриваться в качестве налоговых агентов по доходам работников подведомственных ему (им) государственных учреждений.
2. По решению местного исполнительного органа его структурные подразделения и (или) территориальные (нижестоящие) органы могут рассматриваться в качестве налоговых агентов по доходам работников подведомственных им государственных учреждений.
При этом государственные учреждения, признанные в порядке, определенном настоящей статьей, налоговыми агентами для целей раздела 12 настоящего Кодекса, признаются плательщиками социального налога.
Уплата индивидуального подоходного налога производится в соответствующие бюджеты по месту нахождения налогового агента.
3. Исчисление, удержание и уплата индивидуального подоходного налога производятся налоговым агентом в порядке и сроки, которые установлены статьями 352, 353 и 354 настоящего Кодекса.
4. Декларация по индивидуальному подоходному налогу и социальному налогу представляется налоговым агентом в порядке и сроки, которые установлены статьей 358 настоящего Кодекса.
Сноска. Статья 355 с изменением, внесенным Законом РК от 10.12.2020 № 382-VI (вводится в действие с 01.01.2021).
Статья 356. Определение облагаемого дохода у источника выплаты
1. Сумма облагаемого дохода работника определяется в следующем порядке:
сумма доходов работника, подлежащих налогообложению у источника выплаты, начисленных за налоговый период,
минус
сумма корректировки дохода за налоговый период, предусмотренной пунктом 1 статьи 341 настоящего Кодекса,
минус
сумма налоговых вычетов в виде обязательных пенсионных взносов в размере, установленном законодательством Республики Казахстан о социальной защите,
минус
сумма налоговых вычетов по взносам на обязательное социальное медицинское страхование в порядке и размере, которые установлены статьей 345-1 настоящего Кодекса,
минус
сумма стандартных вычетов в порядке и размерах, которые установлены статьей 346 настоящего Кодекса,
минус
сумма налогового вычета для многодетных семей в порядке и размере, которые установлены статьей 347 настоящего Кодекса,
минус
предварительная сумма прочих вычетов, определяемая в соответствии с пунктом 2 настоящей статьи.
1-1. Сумма облагаемого дохода работника, определенная пунктом 1 настоящей статьи, уменьшается на 90 процентов, если начисленный доход работника за налоговый период не превышает 25-кратный размер месячного расчетного показателя, установленного законом о республиканском бюджете и действующего на 1 января соответствующего финансового года.
1-2. Сумма облагаемого дохода в виде единовременных пенсионных выплат из единого накопительного пенсионного фонда определяется в следующем порядке:
сумма дохода в виде единовременных пенсионных выплат
минус
сумма налоговых вычетов, указанных в подпунктах 2) и (или) 3) пункта 1 статьи 346 настоящего Кодекса.
1-3. Сумма облагаемого дохода в виде пенсионных выплат определяется в следующем порядке:
1) из единого накопительного пенсионного фонда:
сумма дохода в виде пенсионных выплат, подлежащего налогообложению,
минус
сумма корректировки по индивидуальному подоходному налогу, предусмотренная пунктом 1 статьи 341 настоящего Кодекса,
минус
сумма налоговых вычетов в порядке и размерах, которые указаны в пункте 1 статьи 345 и подпунктах 2) и (или) 3) пункта 1 статьи 346 настоящего Кодекса;
2) из добровольного накопительного пенсионного фонда в размере дохода в виде пенсионных выплат, подлежащего налогообложению.
1-4. Сумма облагаемого дохода физического лица у источника выплаты от реализации товаров, выполнения работ, оказания услуг налоговому агенту определяется в следующем порядке:
сумма доходов, подлежащих налогообложению у источника выплаты, начисленная за налоговый период,
минус
сумма корректировки дохода в текущем налоговом периоде, предусмотренная пунктом 1 статьи 341 настоящего Кодекса,
минус
сумма налоговых вычетов в виде обязательных пенсионных взносов в размере, установленном законодательством Республики Казахстан о социальной защите,
минус
сумма налоговых вычетов по взносам на обязательное социальное медицинское страхование в порядке и размере, которые установлены статьей 345-1 настоящего Кодекса,
минус
сумма налоговых вычетов в виде социальных отчислений, удерживаемых по договорам гражданско-правового характера, предметом которых является выполнение работ (оказание услуг), в порядке и размере, которые установлены статьей 345-2 настоящего Кодекса,
минус
сумма стандартных вычетов в порядке и размерах, которые установлены статьей 346 настоящего Кодекса с учетом положений пункта 3 статьи 343 настоящего Кодекса.
2. Предварительная сумма прочих вычетов определяется физическим лицом как планируемая сумма прочих вычетов за календарный год в размере, не превышающем 282-кратного месячного расчетного показателя. Физическое лицо вправе самостоятельно определить сумму применения у налогового агента предварительной суммы прочих вычетов в размере 23,5-кратного месячного расчетного показателя за каждый календарный месяц либо 282-кратного месячного расчетного показателя за календарный месяц с последующим переносом на последующие месяцы суммы превышения налоговых вычетов в пределах календарного года. Физическое лицо указывает такую сумму в заявлении о применении налоговых вычетов и представляет его налоговому агенту.
Налоговый агент уменьшает облагаемый доход на предварительную сумму прочих налоговых вычетов на основании заявления физического лица без подтверждающих документов.
Совокупная сумма предварительных сумм прочих вычетов за календарный год, указанная физическим лицом в заявлениях, предоставленных всем налоговым агентам:
не должна превышать 282-кратного размера месячного расчетного показателя;
должна быть в последующем документально подтверждена при применении физическим лицом прочих вычетов в декларации о доходах и имуществе по итогам календарного года.
3. Сумма облагаемого дохода физического лица у источника выплаты, кроме дохода работника и дохода от реализации товаров, выполнения работ, оказания услуг, определяется в следующем порядке:
сумма доходов, подлежащих налогообложению у источника выплаты, полученных в текущем налоговом периоде,
минус
сумма корректировки дохода в текущем налоговом периоде, предусмотренной пунктом 1 статьи 341 настоящего Кодекса,
минус
сумма налоговых вычетов в виде обязательных пенсионных взносов в размере, установленном законодательством Республики Казахстан о социальной защите,
минус
сумма налоговых вычетов по взносам на обязательное социальное медицинское страхование в порядке и размере, которые установлены статьей 345-1 настоящего Кодекса,
минус
сумма стандартных вычетов в порядке и размерах, которые установлены подпунктами 2) и 3) пункта 1 статьи 346 настоящего Кодекса.
4. Сумма дохода, подлежащего налогообложению у источника выплаты, в иностранной валюте пересчитывается в национальную валюту Республики Казахстан с применением рыночного курса обмена валют, определенного в последний рабочий день, предшествующий дате выплаты дохода.
5. Если сумма, определенная в соответствии с пунктами 1, 2 и 3 настоящей статьи, является отрицательной, то такая сумма признается превышением налоговых вычетов.
Сумма превышения налоговых вычетов переносится на последующие налоговые периоды в пределах календарного года для погашения за счет облагаемого дохода в данных налоговых периодах.
Сноска. Статья 356 с изменениями, внесенными законами РК от 26.12.2018 № 203-VI (вводится в действие с 01.01.2020); от 10.12.2020 № 382-VI (вводится в действие с 01.01.2021); 12.12.2023 № 45-VIII (вводится в действие с 01.01.2024); от 15.07.2025 № 208-VIII (вводится в действие с 01.01.2025).
Статья 357. Налоговый и отчетный периоды
1. Налоговым периодом для исчисления налоговыми агентами индивидуального подоходного налога с доходов, подлежащих налогообложению у источника выплаты, является календарный месяц.
2. Отчетным периодом для составления декларации по индивидуальному подоходному налогу и социальному налогу является календарный квартал.
Статья 358. Декларация по индивидуальному подоходному налогу и социальному налогу
1. Декларация по индивидуальному подоходному налогу и социальному налогу представляется в налоговые органы по месту нахождения налогового агента не позднее 15 числа второго месяца, следующего за отчетным периодом:
налоговыми агентами, в том числе применяющими специальный налоговый режим с использованием фиксированного вычета;
агентами или плательщиками социальных платежей, в том числе в свою пользу в соответствии с законами Республики Казахстан.
2. Налоговый агент предоставляет данные об исчислении, удержании и перечислении сумм индивидуального подоходного налога по каждому физическому лицу — резиденту Республики Казахстан, являющемуся получателем доходов, в виде приложения к декларации по индивидуальному подоходному налогу и социальному налогу, которое:
1) составляется по итогам календарного года и представляется с декларацией по индивидуальному подоходному налогу и социальному налогу за последний отчетный период календарного года, установленный пунктом 2 статьи 357 настоящего Кодекса;
2) составляется и представляется с декларацией по индивидуальному подоходному налогу и социальному налогу при представлении ликвидационной налоговой отчетности.
3. Налоговые агенты, имеющие структурные подразделения, представляют приложение по исчислению суммы индивидуального подоходного налога и социального налога по структурному подразделению к декларации по индивидуальному подоходному налогу и социальному налогу в налоговый орган по месту нахождения данного структурного подразделения.
4. Налоговые агенты, применяющие специальный налоговый режим для производителей сельскохозяйственной продукции и сельскохозяйственных кооперативов, исчисленные суммы единого платежа отражают в декларации по индивидуальному подоходному налогу и социальному налогу.
Сноска. Статья 358 с изменениями, внесенными законами РК от 10.12.2020 № 382-VI (вводится в действие с 01.01.2021); 21.12.2022 № 165-VII (вводится в действие с 01.01.2023).
Глава 39. ПОРЯДОК ВЫДАЧИ СПРАВКИ О РАСЧЕТАХ С ФИЗИЧЕСКИМ ЛИЦОМ И ОПРЕДЕЛЕНИЯ ОБЛАГАЕМОГО ДОХОДА ФИЗИЧЕСКОГО ЛИЦА
Статья 359. Порядок Порядок выдачи налоговым агентом справки о расчетах с физическим лицом
1. В случаях начисления и (или) выплаты в течение календарного года физическому лицу дохода, подлежащего налогообложению у источника выплаты, налоговый агент по требованию физического лица обязан выдать справку о расчетах с физическим лицом в течение пяти календарных дней после даты обращения физического лица.
2. Справка о расчетах с физическим лицом должна содержать информацию о суммах:
1) дохода, подлежащего налогообложению у источника выплаты;
2) корректировки дохода;
3) примененных налоговых вычетов в виде:
обязательных пенсионных взносов;
взносов на обязательное социальное медицинское страхование;
стандартных налоговых вычетов;
налогового вычета по социальным отчислениям, удерживаемым по договорам гражданско-правового характера;
предварительной суммы прочих налоговых вычетов;
4) облагаемого дохода физического лица;
5) исчисленного индивидуального подоходного налога;
6) выплаченного дохода.
Сноска. Статья 359 – в редакции Законоа РК от 15.07.2025 № 208-VIII (вводится в действие с 01.01.2025).
Статья 360. Определение облагаемого дохода физического лица, подлежащего налогообложению физическим лицом самостоятельно
1. Исчисление и уплата в бюджет индивидуального подоходного налога осуществляются физическим лицом самостоятельно:
1) по доходам, указанным в подпунктах 1) – 12) и 17) статьи 321 настоящего Кодекса, – в случае получения таких доходов от лица, не являющегося налоговым агентом;
2) по доходам, указанным в подпунктах 13) – 18) статьи 321 настоящего Кодекса.
2. Доход, подлежащий налогообложению физическим лицом самостоятельно, полученный (подлежащий получению) в иностранной валюте, пересчитывается в национальную валюту Республики Казахстан с применением официального курса обмена валюты Национального Банка Республики Казахстан в среднем за календарный год, в котором получен доход.
3. Порядок определения облагаемого дохода физического лица, подлежащего налогообложению физическим лицом самостоятельно, определяется в соответствии с главой 71 настоящего Кодекса.
Сноска. Статья 360 с изменением, внесенным Законом РК от 15.07.2025 № 208-VIII (вводится в действие с 01.01.2025).
РАЗДЕЛ 9. ИНДИВИДУАЛЬНЫЙ ПОДОХОДНЫЙ НАЛОГ С ДОХОДОВ ЛИЦА, ЗАНИМАЮЩЕГОСЯ ЧАСТНОЙ ПРАКТИКОЙ, И ИНДИВИДУАЛЬНОГО ПРЕДПРИНИМАТЕЛЯ
Глава 40. ДОХОД ЛИЦА, ЗАНИМАЮЩЕГОСЯ ЧАСТНОЙ ПРАКТИКОЙ, И ИНДИВИДУАЛЬНОГО ПРЕДПРИНИМАТЕЛЯ, ПРИМЕНЯЮЩЕГО ОБЩЕУСТАНОВЛЕННЫЙ РЕЖИМ НАЛОГООБЛОЖЕНИЯ
Статья 361. Общие положения
1. Сумма денег, полученная за предоставление услуг лицом, занимающимся частной практикой, в качестве залога как способа обеспечения исполнения обязательства в соответствии с гражданским законодательством Республики Казахстан признается доходом с даты оплаты услуг из залоговых денег, указанной в акте оказанных услуг или документе, подтверждающем оказание услуг.
2. Датой признания дохода лица, занимающегося частной практикой, является:
1) дата оказания услуг, указанная в подписанном акте оказанных услуг;
2) дата оказания услуг, указанная в другом документе, подтверждающем факт оказания услуг, в случае отсутствия акта оказанных услуг.
3) исключен Законом РК от 15.07.2025 № 208-VIII (вводится в действие с 01.01.2025).
3. Активами лица, занимающегося частной практикой, признаются приобретенные после 1 января 2025 года и используемые в деятельности, связанной с получением доходов от занятия частной практикой:
1) компьютеры, ноутбуки, мониторы, проекторы;
2) устройства для печати, просмотра, копирования, отправления факсом;
3) сейфы.
Стоимость активов, указанных в настоящем пункте, на начало налогового периода определяется как:
стоимость активов, указанных в настоящем пункте, на конец налогового периода
плюс
сумма расходов на сопровождение, ремонт и эксплуатацию активов, понесенных в течение налогового периода,
минус
сумма амортизационных отчислений, исчисленных в предыдущем налоговом периоде.
Стоимость активов, указанных в настоящем пункте, на конец налогового периода определяется как:
стоимость активов, указанных в настоящем пункте, на начало налогового периода
плюс
поступившие в налоговом периоде активы, указанные в настоящем пункте,
минус
выбывшие в налоговом периоде активы, указанные в настоящем пункте.
4. Исчисление амортизационных отчислений лиц, занимающихся частной практикой, производится в размере 25 процентов от стоимости активов на конец налогового периода.
5. Для целей статей 362, 363, 364 и 365 настоящего Кодекса к компенсациям при служебных командировках, подлежащим вычету, относятся:
1) фактически произведенные расходы на проезд к месту командировки и обратно, включая оплату расходов за бронь, на основании документов, подтверждающих расходы на проезд и за бронь. В случае оформления проезда электронным билетом или электронным проездным документом, документами, подтверждающими расходы на проезд и за бронь, являются:
электронный билет, электронный проездной документ;
документ, подтверждающий факт оплаты стоимости электронного билета, электронного проездного документа;
документ, подтверждающий факт проезда, в том числе посадочный талон, выданный перевозчиком или лицом, у которого приобретен электронный билет или электронный проездной документ, на бумажном носителе или в электронном виде.
К расходам, предусмотренным настоящим подпунктом, не относятся расходы по проезду в пределах одного населенного пункта;
2) фактически произведенные расходы на наем (аренду) жилища, включая оплату расходов за бронь, на основании документов, подтверждающих расходы на наем жилого помещения и за бронь;
3) суточные не более 6-кратного размера месячного расчетного показателя, установленного законом о республиканском бюджете и действующего на 1 января соответствующего финансового года, за каждый календарный день нахождения в командировке – в течение периода, не превышающего сорока календарных дней нахождения в командировке.
Время нахождения в командировке определяется на основании:
приказа или письменного распоряжения налогоплательщика о направлении лица, занимающегося частной практикой, а также его работников в командировку;
количества дней командировки исходя из дат выбытия к месту командировки и прибытия обратно, указанных в документах, подтверждающих проезд.
Сноска. Статья 361 с изменениями, внесенными законами РК от 10.12.2020 № 382-VI (вводится в действие с 01.01.2021); от 15.07.2025 № 208-VIII (вводится в действие с 01.01.2025).
Статья 362. Налогооблагаемый доход частного нотариуса
1. Налогооблагаемый доход частного нотариуса за налоговый период определяется как сумма доходов, подлежащих получению (полученных) от осуществления нотариальной деятельности, уменьшенная на сумму профессиональных вычетов частного нотариуса.
2. К доходам от осуществления деятельности частного нотариуса относятся:
1) доход в виде оплаты нотариальных действий;
2) доход в виде оплаты услуг правового и технического характера при совершении нотариальных действий частным нотариусом;
3) другие доходы, подлежащие получению (полученные) при осуществлении нотариальной деятельности.
3. Частный нотариус вправе применить профессиональные вычеты по расходам, предусмотренным пунктом 4 настоящей статьи, одновременно соответствующим следующим условиям:
1) произведены в связи с получением дохода от осуществления деятельности частного нотариуса;
2) подтверждены документально;
3) отражены в налоговых регистрах частного нотариуса.
4. К профессиональным вычетам частного нотариуса относятся:
1) расходы на приобретение канцелярских принадлежностей;
2) расходы по имущественному найму (аренде) помещения для оказания нотариальных услуг;
3) амортизационные отчисления, исчисленные в размере 25 процентов от стоимости активов на конец налогового периода;
4) расходы по оплате услуг банка второго уровня, организаций, осуществляющих отдельные виды банковских операций, услуг связи, коммунальных услуг;
5) расходы налогоплательщика по доходу работника, подлежащему налогообложению у источника выплаты;
6) расходы, предусмотренные пунктом 11 статьи 243 и статьей 263 настоящего Кодекса;
7) компенсации при служебных командировках согласно пункту 5 статьи 361 настоящего Кодекса;
8) членские взносы, вносимые в нотариальную палату, в пределах 1-кратного месячного расчетного показателя, установленного законом о республиканском бюджете и действующего на 1 января соответствующего финансового года;
9) расходы по обязательному страхованию гражданско-правовой ответственности, предусмотренное Законом Республики Казахстан «Об обязательном страховании гражданско-правовой ответственности частных нотариусов».
Статья 363. Налогооблагаемый доход частного судебного исполнителя
1. Налогооблагаемый доход частного судебного исполнителя за налоговый период определяется как сумма доходов, подлежащих получению (полученных) от осуществления деятельности частного судебного исполнителя, уменьшенная на сумму профессиональных вычетов частного судебного исполнителя.
2. К доходам от осуществления деятельности частного судебного исполнителя относятся:
1) оплата деятельности частного судебного исполнителя;
2) возмещение расходов по совершению исполнительных действий, в том числе за счет бюджетных средств;
3) другие доходы, подлежащие получению (полученные) при осуществлении деятельности, предусмотренной для частного судебного исполнителя Законом Республики Казахстан «Об исполнительном производстве и статусе судебных исполнителей».
3. Частный судебный исполнитель вправе применить профессиональные вычеты по расходам, предусмотренным пунктом 4 настоящей статьи, одновременно соответствующим следующим условиям:
1) произведены в связи с получением дохода от осуществления деятельности частного судебного исполнителя;
2) подтверждены документально;
3) отражены в налоговых регистрах частного судебного исполнителя.
4. К профессиональным вычетам частного судебного исполнителя относятся:
1) расходы на приобретение канцелярских принадлежностей;
2) расходы по имущественному найму (аренде) помещения для оказания услуг частного судебного исполнителя;
3) амортизационные отчисления, исчисленные в размере 25 процентов от стоимости активов на конец налогового периода;
4) расходы по оплате услуг банка второго уровня, организаций, осуществляющих отдельные виды банковских операций, услуг связи, коммунальных услуг;
5) расходы налогоплательщика по доходу работника, подлежащему налогообложению у источника выплаты;
6) расходы, предусмотренные пунктом 11 статьи 243 и статьей 263 настоящего Кодекса;
7) компенсации при служебных командировках согласно пункту 5 статьи 361 настоящего Кодекса;
8) членские взносы, вносимые в Республиканскую палату частных судебных исполнителей, в пределах 1-кратного месячного расчетного показателя, установленного законом о республиканском бюджете и действующего на 1 января соответствующего финансового года;
9) расходы по обязательному страхованию гражданско-правовой ответственности, предусмотренной Законом Республики Казахстан «Об исполнительном производстве и статусе судебных исполнителей»;
10) возмещенные в соответствии с законодательством Республики Казахстан расходы по совершению исполнительных действий, не предусмотренные подпунктами 1) – 9) настоящего пункта.
Статья 364. Налогооблагаемый доход адвоката
1. Налогооблагаемый доход адвоката за налоговый период определяется как сумма доходов, подлежащих получению (полученных) от осуществления адвокатской деятельности, уменьшенная на сумму профессиональных вычетов адвоката.
2. К доходам от осуществления адвокатской деятельности относятся:
1) доход от оказания адвокатом юридической помощи;
2) доход в виде возмещения расходов, связанных с защитой и представительством, правовым информированием и правовым консультированием, в том числе за счет бюджетных средств, в соответствии с законодательством Республики Казахстан о гарантированной государством юридической помощи;
3) другие доходы, подлежащие получению (полученные) при осуществлении адвокатской деятельности.
3. Адвокат вправе применить профессиональные вычеты по расходам, предусмотренным пунктом 4 настоящей статьи, одновременно соответствующим следующим условиям:
1) произведены в связи с получением дохода от осуществления адвокатской деятельности;
2) подтверждены документально;
3) отражены в налоговых регистрах адвоката.
4. К профессиональным вычетам адвоката относятся:
1) расходы на приобретение канцелярских принадлежностей;
2) расходы по имущественному найму (аренде) помещения для осуществления адвокатской деятельности;
3) амортизационные отчисления, исчисленные в размере 25 процентов от стоимости активов на конец налогового периода;
4) расходы по оплате услуг банка второго уровня, организаций, осуществляющих отдельные виды банковских операций, услуг связи, коммунальных услуг;
5) расходы налогоплательщика по доходу работника, подлежащему налогообложению у источника выплаты;
6) расходы, предусмотренные пунктом 11 статьи 243 и статьей 263 настоящего Кодекса;
7) компенсации при служебных командировках согласно пункту 5 статьи 361 настоящего Кодекса;
8) членские взносы, вносимые в коллегию адвокатов, в пределах 1-кратного месячного расчетного показателя, установленного законом о республиканском бюджете и действующего на 1 января соответствующего финансового года;
9) возмещенные в соответствии с законодательством Республики Казахстан расходы, связанные с защитой и представительством, не предусмотренные подпунктами 1) – 8) настоящего пункта.
Статья 365. Налогооблагаемый доход профессионального медиатора
1. Налогооблагаемый доход профессионального медиатора за налоговый период определяется как сумма доходов, подлежащих получению (полученных) от осуществления деятельности профессионального медиатора, уменьшенная на сумму профессиональных вычетов профессионального медиатора.
2. Профессиональный медиатор вправе применить профессиональные вычеты по расходам, предусмотренным пунктом 3 настоящей статьи, одновременно соответствующим следующим условиям:
1) произведены в связи с получением дохода от осуществления деятельности профессионального медиатора;
2) подтверждены документально;
3) отражены в налоговых регистрах профессионального медиатора.
3. К профессиональным вычетам профессионального медиатора относятся:
1) расходы на приобретение канцелярских принадлежностей;
2) расходы по имущественному найму (аренде) помещения для оказания услуг профессионального медиатора;
3) амортизационные отчисления, исчисленные в размере 25 процентов от стоимости активов на конец налогового периода;
4) расходы по оплате услуг банка второго уровня, организаций, осуществляющих отдельные виды банковских операций, услуг связи, коммунальных услуг;
5) расходы налогоплательщика по доходу работника, подлежащему налогообложению у источника выплаты;
6) расходы, предусмотренные пунктом 11 статьи 243 и статьей 263 настоящего Кодекса;
7) компенсации при служебных командировках согласно пункту 5 статьи 361 настоящего Кодекса;
8) членские взносы, вносимые в организацию профессиональных медиаторов, в пределах 1-кратного месячного расчетного показателя, установленного законом о республиканском бюджете и действующего на 1 января соответствующего финансового года.
Статья 366. Доход индивидуального предпринимателя
1. Налогооблагаемый доход индивидуального предпринимателя, применяющего общеустановленный режим налогообложения, за налоговый период определяется в следующем порядке:
облагаемый доход индивидуального предпринимателя, определенный в соответствии с пунктом 2 настоящей статьи,
минус
уменьшение налогооблагаемого дохода индивидуального предпринимателя, определенное в порядке, аналогичном порядку определения уменьшения налогооблагаемого дохода в целях исчисления корпоративного подоходного налога, установленному статьей 288 настоящего Кодекса,
плюс
суммарная прибыль контролируемых иностранных компаний или постоянных учреждений контролируемых иностранных компаний, определяемая в соответствии со статьей 340 настоящего Кодекса,
минус
убытки, переносимые в порядке, аналогичном порядку переноса убытков в целях исчисления корпоративного подоходного налога, установленному статьями 299 и 300 настоящего Кодекса.
2. Облагаемый доход индивидуального предпринимателя за налоговый период определяется в следующем порядке:
доход индивидуального предпринимателя, полученный совокупно за налоговый период, определенный в порядке, аналогичном порядку определения совокупного годового дохода в целях исчисления корпоративного подоходного налога, установленному статьей 225 настоящего Кодекса, с учетом особенностей, предусмотренных статьями 226 – 240 настоящего Кодекса,
минус
корректировка дохода индивидуального предпринимателя, полученного совокупно за налоговый период, определенная в порядке, аналогичном порядку определения корректировки совокупного годового дохода в целях исчисления корпоративного подоходного налога в соответствии с пунктами 1 и 2 статьи 241 настоящего Кодекса,
плюс (минус)
корректировка дохода индивидуального предпринимателя, полученного совокупно за налоговый период, определенная в порядке, аналогичном порядку определения корректировки совокупного годового дохода в целях исчисления корпоративного подоходного налога, установленному пунктом 3 статьи 241 настоящего Кодекса,
минус
вычеты, определенные в порядке, аналогичном порядку определения расходов, относимых на вычеты в целях исчисления корпоративного подоходного налога, установленному статьями 242 – 276 настоящего Кодекса,
плюс (минус)
корректировка доходов и вычетов, определенная в порядке, аналогичном порядку определения корректировки доходов и вычетов в целях исчисления корпоративного подоходного налога, установленному статьей 287 настоящего Кодекса.
Сноска. Статья 366 с изменением, внесенным Законом РК от 10.12.2020 № 382-VI (вводится в действие с 01.01.2021).
РАЗДЕЛ 10. НАЛОГ НА ДОБАВЛЕННУЮ СТОИМОСТЬ
Глава 41. ОБЩИЕ ПОЛОЖЕНИЯ
Статья 367. Плательщики
1. Плательщиками налога на добавленную стоимость являются:
1) лица, по которым произведена постановка на регистрационный учет по налогу на добавленную стоимость в Республике Казахстан:
индивидуальные предприниматели, лица, занимающиеся частной практикой;
юридические лица-резиденты, за исключением государственных учреждений и государственных учебных заведений среднего образования;
нерезиденты, осуществляющие деятельность в Республике Казахстан через структурные подразделения;
2) лица, импортирующие товары на территорию Республики Казахстан в соответствии с таможенным законодательством Евразийского экономического союза и (или) таможенным законодательством Республики Казахстан.
3) иностранные компании, предусмотренные разделом 25 настоящего Кодекса.
2. Постановка на регистрационный учет по налогу на добавленную стоимость производится в соответствии со статьями 82 и 83 настоящего Кодекса.
Сноска. Статья 367 с изменением, внесенным Законом РК от 24.05.2018 № 156-VI (вводится в действие с 01.01.2018); от 10.12.2020 № 382-VI (вводится в действие с 01.01.2022).
Статья 368. Объекты налогообложения
Объектами обложения налогом на добавленную стоимость являются:
1) облагаемый оборот;
2) облагаемый импорт.
Статья 369. Определение облагаемого оборота
1. Облагаемым оборотом является:
1) оборот, совершаемый плательщиком налога на добавленную стоимость по реализации товаров, работ, услуг, за исключением необлагаемого оборота, указанного в статье 370 настоящего Кодекса.
В случае несоблюдения требований, установленных статьей 197 настоящего Кодекса, ранее освобожденный оборот при передаче имущества в финансовый лизинг признается облагаемым оборотом ретроспективно с даты совершения оборота по реализации;
2) оборот, совершаемый плательщиком налога на добавленную стоимость при приобретении работ, услуг от нерезидента в соответствии со статьей 373 настоящего Кодекса;
3) оборот в виде остатков товаров. Если иное не предусмотрено настоящим подпунктом, оборотом в виде остатков товаров признаются товары, по которым налог на добавленную стоимость был учтен как налог на добавленную стоимость, относимый в зачет, и которые принадлежат на праве собственности плательщику налога на добавленную стоимость при снятии его с регистрационного учета по налогу на добавленную стоимость:
с представлением ликвидационной налоговой отчетности по налогу на добавленную стоимость – на дату, предшествующую дате представления такой отчетности;
по решению налогового органа – на дату, указанную в пункте 6 статьи 85 настоящего Кодекса.
В оборот, предусмотренный настоящим подпунктом, не включается необлагаемый оборот, указанный в подпункте 3) статьи 370 настоящего Кодекса.
Положение настоящего пункта не применяется при снятии юридического лица с регистрационного учета по налогу на добавленную стоимость в связи с его реорганизацией при выполнении условия, что все вновь созданные в результате слияния юридические лица или юридическое лицо, к которому присоединилось (присоединились) другое юридическое лицо (юридические лица), после реорганизации являются плательщиками налога на добавленную стоимость.
2. Для целей настоящего раздела к товарам относятся основные средства, нематериальные и биологические активы, инвестиции в недвижимость и другое имущество, за исключением:
работ, услуг;
денег, в том числе авансов, в национальной и иностранной валюте.
Статья 370. Необлагаемый оборот
Необлагаемым оборотом является:
1) оборот по реализации товаров, работ, услуг, освобожденный от налога на добавленную стоимость в соответствии с настоящим Кодексом;
2) оборот по реализации товаров, работ, услуг, местом реализации которых не является Республика Казахстан.
Если иное не установлено настоящей статьей, место реализации товаров, работ, услуг определяется в соответствии со статьей 378 настоящего Кодекса.
Место реализации товаров, работ, услуг в государствах-членах Евразийского экономического союза определяется в соответствии со статьей 441 настоящего Кодекса;
3) оборот в виде остатков товаров, которые являются товарами, перечисленными в статье 394 настоящего Кодекса.
Статья 371. Определение облагаемого импорта
Облагаемым импортом являются товары, ввозимые или ввезенные на территорию государств-членов Евразийского экономического союза (за исключением освобожденных от налога на добавленную стоимость в соответствии со статьей 399 настоящего Кодекса), подлежащие декларированию в соответствии с таможенным законодательством Евразийского экономического союза и (или) таможенным законодательством Республики Казахстан.
Глава 42. ОБОРОТ ПО РЕАЛИЗАЦИИ ТОВАРОВ, РАБОТ, УСЛУГ И ОБОРОТ ПО ПРИОБРЕТЕНИЮ РАБОТ, УСЛУГ ОТ НЕРЕЗИДЕНТА
Статья 372. Оборот по реализации товаров, работ, услуг
1. Оборот по реализации товаров означает:
1) передачу прав собственности на товар, включая:
продажу товара, отгрузку товара, в том числе на условиях рассрочки платежа и (или) в обмен на другие товары, работы, услуги;
продажу предприятия в целом как имущественного комплекса;
безвозмездную передачу товара;
передачу товара работодателем работнику в счет погашения задолженности перед работником;
передачу заложенного имущества залогодателем в собственность покупателю или залогодержателю;
2) экспорт товара;
3) отгрузку товара, в том числе на условиях рассрочки платежа и (или) в обмен на другие товары, работы, услуги;
4) передачу имущества в финансовый лизинг в части стоимости, по которой предмет лизинга передан;
5) отгрузку товара по договору комиссии или договору поручения;
6) помещение под таможенную процедуру реимпорта товара, ранее вывезенного с помещением под таможенную процедуру экспорта;
7) утрату товара, приобретенного без налога на добавленную стоимость, с помещением под таможенную процедуру свободной таможенной зоны, кроме товара, указанного в статье 394 настоящего Кодекса.
2. Оборот по реализации работ, услуг означает любое выполнение работ или оказание услуг, в том числе безвозмездное, а также любую деятельность за вознаграждение, отличную от реализации товара, в том числе:
1) предоставление имущества во временное владение и пользование по договорам имущественного найма, кроме договоров лизинга;
2) вознаграждение при передаче имущества по договору лизинга в финансовый лизинг;
3) предоставление прав на объекты интеллектуальной собственности;
4) выполнение работ, оказание услуг работодателем работнику в счет погашения задолженности перед работником;
5) уступка прав требования, связанных с реализацией товаров, работ, услуг, за исключением авансов и штрафных санкций;
6) согласие ограничить или прекратить предпринимательскую деятельность;
7) предоставление кредита (займа, микрокредита);
8) финансирование исламским банком в соответствии с законодательством Республики Казахстан о банках и банковской деятельности физических и юридических лиц в качестве торгового посредника путем предоставления коммерческого кредита на условиях последующей продажи товара третьему лицу либо без таковых условий;
9) Действовал до 01.01.2022 в соответствии с Законом РК от 27.12.2019 № 295-VІ.
10) Действовал с 01.01.2022 до 01.01.2024 в соответствии с Законом РК от 21.12.2022 № 165-VII.
11) получение временной балансирующей платы в соответствии с законодательством Республики Казахстан о железнодорожном транспорте оператором локомотивной тяги в пассажирском движении.
3. Оборот по реализации товаров, работ, услуг структурного подразделения юридического лица-резидента, зарегистрированного на территории иностранного государства, местом реализации которых не признается Республика Казахстан, не является оборотом по реализации товаров, работ, услуг такого юридического лица в Республике Казахстан.
4. Нерезиденты, осуществляющие деятельность в Республике Казахстан через структурные подразделения, признают оборот по реализации работ, услуг таких структурных подразделений при соблюдении одного из следующих условий:
наличие контракта, заключенного структурным подразделением юридического лица-нерезидента;
наличие счета-фактуры по работам, услугам, выписанного структурным подразделением юридического лица-нерезидента;
наличие акта выполненных работ, оказанных услуг, подписанного структурным подразделением юридического лица-нерезидента;
наличие контракта, заключенного с юридическим лицом-нерезидентом, предусматривающего, что выполнение работ, оказание услуг осуществляются структурным подразделением такого юридического лица-нерезидента;
в акте выполненных работ, оказанных услуг, подписанном юридическим лицом-нерезидентом, указано, что работы выполнены, услуги оказаны структурным подразделением такого юридического лица-нерезидента;
выплата дохода за выполненные работы, оказанные услуги осуществляется структурному подразделению юридического лица-нерезидента.
5. Не являются оборотом по реализации:
1) передача имущества в качестве вклада в уставный капитал;
2) передача акционеру, участнику, учредителю товара при распределении имущества:
при ликвидации юридического лица или при уменьшении уставного капитала – в пределах размера оплаченного уставного капитала, приходящегося на долю участия, количество акций, на которые осуществляется уменьшение уставного капитала;
при выкупе юридическим лицом у учредителя, участника доли участия или ее части в этом юридическом лице – в пределах размера оплаченного уставного капитала, приходящегося на выкупаемую долю участия;
при выкупе юридическим лицом-эмитентом у акционера акций, выпущенных этим эмитентом – в пределах размера оплаченного уставного капитала, приходящегося на выкупаемое количество акций;
3) безвозмездная передача в рекламных целях товара в случае, если стоимость единицы такого товара не превышает 5-кратный размер месячного расчетного показателя, установленного законом о республиканском бюджете и действующего на дату такой передачи;
4) отгрузка давальческих товаров заказчиком подрядчику для изготовления, переработки, сборки (монтажа, установки), ремонта последним готовой продукции и (или) строительства объектов. В случае изготовления, переработки, сборки, ремонта за пределами таможенной территории Евразийского экономического союза отгрузка указанных товаров не является оборотом по реализации, если их вывоз осуществлен в таможенной процедуре переработки вне таможенной территории в соответствии с таможенным законодательством Евразийского экономического союза и (или) таможенным законодательством Республики Казахстан;
5) отгрузка возвратной тары. Возвратной тарой является тара, стоимость которой не включается в стоимость реализации отпускаемой в ней продукции и которая подлежит возврату поставщику на условиях и в сроки, которые установлены договором (контрактом) на поставку этой продукции, но не более срока, продолжительность которого составляет шесть месяцев. Если тара не возвращена в установленный срок, стоимость такой тары включается в оборот по реализации в соответствии с пунктом 14 статьи 381 настоящего Кодекса;
6) возврат товара получателем (покупателем), являющимся плательщиком налога на добавленную стоимость;
7) отгрузка товара, ввезенного ранее в таможенной процедуре свободной таможенной зоны на территорию специальной экономической зоны, пределы которой полностью или частично совпадают с участками таможенной границы Евразийского экономического союза;
8) вывоз товара за пределы таможенной территории Евразийского экономического союза для проведения выставок, других культурных и спортивных мероприятий, подлежащего обратному ввозу на условиях и в сроки, которые установлены договором, если такой вывоз оформлен в таможенной процедуре временного вывоза в соответствии с таможенным законодательством Евразийского экономического союза и (или) таможенным законодательством Республики Казахстан;
9) передача недропользователем в собственность Республики Казахстан вновь созданного и (или) приобретенного недропользователем имущества, использовавшегося для выполнения операций по недропользованию и подлежащего передаче Республике Казахстан в соответствии с условиями заключенного контракта на недропользование;
10) размещение эмиссионных ценных бумаг эмитентом;
11) передача основных средств, нематериальных активов и иного имущества реорганизуемого юридического лица его правопреемнику (правопреемникам), в том числе товаров, по которым признан оборот в виде остатков товаров в соответствии с подпунктом 3) пункта 1 статьи 369 настоящего Кодекса;
12) передача объекта концессии концеденту, а также последующая передача объекта концессии концессионеру (правопреемнику или юридическому лицу, специально созданному исключительно концессионером для реализации договора концессии) для эксплуатации в рамках договора концессии;
13) оборот по реализации физическим лицом, являющимся индивидуальным предпринимателем или лицом, занимающимся частной практикой, личного имущества такого физического лица;
14) передача доверительному управляющему имущества учредителем доверительного управления;
15) возврат имущества доверительным управляющим при прекращении действия основания возникновения доверительного управления;
16) передача доверительным управляющим чистого дохода от доверительного управления учредителю доверительного управления;
17) получение вкладчиком (клиентом) суммы вознаграждения, начисленной и (или) выплаченной ему по договорам банковского счета и (или) банковского вклада;
18) осуществление концессионером эксплуатации объекта концессии, находящегося в государственной собственности, с применением платы за доступность по концессионным проектам особой значимости, перечень которых определяется Правительством Республики Казахстан;
19) управление концессионером объектом концессии с применением платы за доступность по концессионным проектам особой значимости, перечень которых определяется Правительством Республики Казахстан;
20) вывоз товаров с территории Республики Казахстан на территорию другого государства-члена Евразийского экономического союза в связи с их передачей (перемещением) в пределах одного юридического лица;
21) получение операторами расширенных обязательств производителей (импортеров) платы за организацию сбора, транспортировки, переработки, обезвреживания, использования и (или) утилизации отходов;
22) получение предприятиями финансирования в рамках стимулирования производства в Республике Казахстан экологически чистых автомобильных транспортных средств (соответствующих экологическому классу 4 и выше; с электродвигателями) и их компонентов;
23) передача получателю от имени государства полезных ископаемых недропользователем в счет исполнения налогового обязательства по уплате налогов в натуральной форме;
24) реализация полезных ископаемых, переданных недропользователем в счет исполнения налогового обязательства по уплате налогов в натуральной форме, получателем от имени государства или лицом, уполномоченным получателем от имени государства на такую реализацию;
25) оказание услуг по реализации полезных ископаемых, переданных недропользователем в счет исполнения налогового обязательства по уплате налогов в натуральной форме, получателем от имени государства или лицом, уполномоченным получателем от имени государства на такую реализацию, за комиссионное вознаграждение, выраженное в возмещении расходов, связанных с реализацией таких полезных ископаемых;
26) деятельность, финансирование которой на безвозмездной основе обеспечивается за счет целевого вклада, предусмотренного бюджетным законодательством Республики Казахстан;
27) получение автономным кластерным фондом, определенным законодательством Республики Казахстан об инновационном кластере, платежей из бюджета в рамках бюджетной программы, направленной на целевое перечисление исключительно для создания совместных предприятий с участием транснациональных корпораций, а также для долевого участия в зарубежных инвестиционных фондах;
28) действовал до 01.01.2021 в соответствии с Законом РК от 25.12.2017 № 121-VI;
29) выполнение получателем благотворительной, спонсорской помощи, гранта условий их предоставления;
30) бюджетная субсидия по убыткам, определенным в виде отрицательной разницы между доходами и расходами, и (или) расходам.
Для целей настоящего подпункта доходы и расходы определяются в соответствии с международными стандартами финансовой отчетности и (или) требованиями законодательства Республики Казахстан о бухгалтерском учете и финансовой отчетности;
31) безвозмездное оказание энергопередающими организациями услуг по передаче электрической энергии субъектам, использующим возобновляемые источники энергии.
32) действовал до 01.01.2020 в соответствии с Законом РК от 25.12.2017 № 121-VI;
33) действовал до 01.01.2020 в соответствии с Законом РК от 25.12.2017 № 121-VI;
34) действовал до 01.01.2019 в соответствии с Законом РК от 25.12.2017 № 121-VI.
35) Действовал до 01.01.2022 в соответствии с Законом РК от 27.12.2019 № 295-VІ.
36) действовал с 01.01.2018 до 01.01.2021 в соответствии с Законом РК от 10.12.2020 № 382-VI;
37) поступление денег на текущий счет частного судебного исполнителя, предназначенный для хранения взысканных сумм в пользу взыскателей.
38) Действовал с 01.01.2022 до 01.01.2024 в соответствии с Законом РК от 21.12.2022 № 165-VII.
39) распределение цифровых активов цифровым майнинговым пулом между лицами, осуществляющими деятельность по цифровому майнингу.
40) оказание Национальным оператором инфраструктуры услуг магистральной железнодорожной сети при перевозке пассажиров железнодорожным транспортом железнодорожному перевозчику, осуществляющему деятельность по перевозке пассажиров, багажа, грузобагажа, почтовых отправлений, на безвозмездной основе, в том числе с применением временного понижающего коэффициента в размере 0 к тарифу на регулируемые услуги магистральной железнодорожной сети при перевозке пассажиров железнодорожным транспортом в соответствии с законодательством Республики Казахстан.
Сноска. Статья 372 с изменениями, внесенными законами РК от 03.04.2019 № 243-VI (вводится в действие по истечении десяти календарных дней после дня его первого официального опубликования); от 27.12.2019 № 295-VІ (порядок введения в действие см. ст. 2); от 10.12.2020 № 382-VI (порядок введения в действие см. ст. 2); от 21.12.2022 № 165-VII (действовал с 01.01.2022 до 01.01.2024); от 06.02.2023 № 196-VII (вводится в действие с 01.04.2023); от 12.12.2023 № 45-VIII (вводится в действие с 01.01.2024).
Статья 373. Оборот по приобретению работ, услуг от нерезидента
1. Если иное не предусмотрено пунктом 2 настоящей статьи, выполненные работы, оказанные услуги нерезидентом на возмездной основе, местом реализации которых признается Республика Казахстан, при приобретении их плательщиком налога на добавленную стоимость являются оборотом такого плательщика налога на добавленную стоимость по приобретению работ, услуг от нерезидента, который подлежит обложению налогом на добавленную стоимость в соответствии с настоящим Кодексом.
2. Работы, услуги, указанные в пункте 1 настоящей статьи, не являются оборотом по приобретению работ, услуг от нерезидента, если:
1) выполненные работы, оказанные услуги являются работами, услугами, перечисленными в статье 394 настоящего Кодекса;
2) стоимость таких работ, услуг включена в таможенную стоимость импортируемых товаров, определяемую в соответствии с таможенным законодательством Евразийского экономического союза и (или) таможенным законодательством Республики Казахстан, по которой налог на добавленную стоимость на ввозимые товары уплачен в бюджет Республики Казахстан и не подлежит возврату в соответствии с таможенным законодательством Республики Казахстан;
3) работы выполнены и услуги оказаны:
автономным организациям образования, указанным в подпунктах 2) и 3) пункта 1 статьи 291 настоящего Кодекса;
автономным организациям образования, указанным в подпунктах 4) и 5) пункта 1 статьи 291 настоящего Кодекса, по видам деятельности, определенным подпунктами 4) и 5) пункта 1 статьи 291 настоящего Кодекса;
Примечание РЦПИ!
Абзац четвертый подпункта 3) действует до 01.01.2029 в соответствии с Законом РК от 26.12.2018 № 203-VI.
юридическим лицам, указанным в подпункте 6) пункта 1 статьи 293 настоящего Кодекса, при условии приобретения таких работ, услуг для осуществления видов деятельности, включенных в перечень приоритетных видов деятельности в области информационно-коммуникационных технологий, утверждаемый уполномоченным органом в сфере информатизации по согласованию с центральным уполномоченным органом по государственному планированию, уполномоченным государственным органом, осуществляющим государственное регулирование в области технического регулирования, и уполномоченным органом;
4) стоимость таких работ, услуг включена в размер облагаемого импорта, определяемый в соответствии со статьей 444 настоящего Кодекса, по которому налог на добавленную стоимость на ввозимые товары из государств-членов Евразийского экономического союза уплачен в бюджет Республики Казахстан и не подлежит возврату в соответствии с главой 50 настоящего Кодекса;
5) выполненные работы, оказанные услуги являются оборотом структурного подразделения юридического лица-нерезидента в соответствии с пунктом 4 статьи 372 настоящего Кодекса.
6) в стоимость услуг в электронной форме, полученных индивидуальным предпринимателем от нерезидента, включена сумма налога на добавленную стоимость, уплаченная в соответствии с разделом 25 настоящего Кодекса.
Сноска. Статья 373 с изменениями, внесенными законами РК от 26.12.2018 № 203-VI (вводится в действие с 01.01.2019); от 02.04.2019 № 241-VI (вводится в действие с 01.01.2018); от 10.12.2020 № 382-VI порядок введения в действие см. ст. 2).
Статья 374. Обороты по реализации (приобретению), осуществляемые по договорам поручения
1. Реализация товаров, выполнение работ или оказание услуг, приобретение товаров, работ, услуг от имени и за счет доверителя, передача поверенным доверителю товаров, приобретенных для доверителя, а также выполнение работ, оказание услуг третьим лицом для доверителя по сделке, заключенной поверенным с таким третьим лицом от имени и за счет доверителя, не являются оборотом по реализации (приобретению) поверенного.
2. Положение пункта 1 настоящей статьи не применяется в отношении:
1) реализации товаров, полученных от доверителя-нерезидента, не являющегося плательщиком налога на добавленную стоимость в Республике Казахстан и не осуществляющего деятельность через структурное подразделение. В этом случае отгрузка товара является оборотом по реализации поверенного;
2) реализации товаров, выполнения работ, оказания услуг, а также приобретения товаров, работ, услуг оператором в случаях, предусмотренных пунктом 3 статьи 426 настоящего Кодекса.
Статья 375. Обороты по реализации, осуществляемые на условиях, соответствующих условиям договора комиссии
1. Не являются оборотом по реализации комиссионера:
реализация товаров, выполнение работ, оказание услуг комиссионером по поручению комитента на условиях, соответствующих условиям договора комиссии;
передача комиссионером комитенту товаров, приобретенных для комитента на условиях, соответствующих условиям договора комиссии;
выполнение работ, оказание услуг третьим лицом для комитента по сделке, заключенной таким третьим лицом с комиссионером, за исключением случаев, когда такие работы, услуги являются оборотом комиссионера по приобретению работ, услуг от нерезидента.
2. Положения пункта 1 настоящей статьи не применяются в отношении реализации товара, полученного от комитента-нерезидента, не являющегося плательщиком налога на добавленную стоимость в Республике Казахстан и не осуществляющего деятельность через структурное подразделение. В этом случае реализация товара является оборотом по реализации комиссионера.
Статья 376. Обороты по реализации (приобретению), осуществляемые по договору транспортной экспедиции
Выполнение работ, оказание услуг, определенных договором транспортной экспедиции, перевозчиком и (или) другими поставщиками для стороны, являющейся клиентом по договору транспортной экспедиции, не являются оборотом по реализации экспедитора.
Выполненные работы, оказанные услуги, определенные договором транспортной экспедиции, местом реализации которых является Республика Казахстан, при приобретении их экспедитором у нерезидента для стороны, являющейся клиентом по договору транспортной экспедиции, являются оборотом экспедитора по приобретению работ, услуг от нерезидента.
Статья 377. Обороты по реализации (приобретению), осуществляемые в результате учреждения доверительного управления имуществом
Реализация товаров, выполнение работ, оказание услуг, приобретение товаров, работ, услуг, осуществляемые доверительным управляющим в соответствии с договором доверительного управления имуществом или в иных случаях возникновения доверительного управления имуществом, являются оборотом по реализации (приобретению) доверительного управляющего.
Статья 378. Место реализации товаров, работ, услуг
1. Для целей настоящего раздела местом реализации товаров признается Республика Казахстан, если:
1) началом транспортировки товаров является Республика Казахстан – по товарам, которые перевозятся (пересылаются) поставщиком, получателем или третьим лицом;
2) товар передается получателю на территории Республики Казахстан – в остальных случаях.
2. Для целей настоящего раздела местом реализации работ, услуг признается Республика Казахстан, если:
1) работы, услуги связаны непосредственно с недвижимым имуществом, находящимся на территории Республики Казахстан.
Местом нахождения недвижимого имущества признается место государственной регистрации прав на недвижимое имущество или место фактического нахождения в случае отсутствия обязательства по государственной регистрации такого имущества.
В целях настоящей статьи недвижимым имуществом признаются здания, сооружения, многолетние насаждения и иное имущество, прочно связанное с землей, то есть объекты, перемещение которых без несоразмерного ущерба их назначению невозможно, а также трубопроводы, линии электропередачи, космические объекты, предприятие как имущественный комплекс. При этом в целях настоящей статьи имущество, не отнесенное в настоящем подпункте к недвижимому имуществу, признается движимым имуществом;
2) работы, услуги, связанные с движимым имуществом, фактически оказаны на территории Республики Казахстан.
К таким работам, услугам относятся: монтаж, сборка, ремонт, техническое обслуживание;
3) услуги относятся к услугам в сфере культуры, развлечений, науки, искусства, образования, физической культуры или спорта и фактически оказаны на территории Республики Казахстан.
В целях настоящего подпункта к услугам в сфере развлечений относятся услуги развлекательно-досугового назначения, которые оказываются в развлекательных заведениях, включая игорные заведения, ночные клубы, кафе-бары, рестораны, интернет-кафе, компьютерные, бильярдные, боулинг-клубы и кинотеатры;
4) покупатель работ, услуг осуществляет предпринимательскую или любую другую деятельность на территории Республики Казахстан.
В целях настоящего подпункта местом осуществления предпринимательской или другой деятельности покупателя работ, услуг признается территория Республики Казахстан в случае присутствия покупателя работ, услуг на территории Республики Казахстан на основе государственной (учетной) регистрации в регистрирующем органе или на основе постановки на регистрационный учет в налоговых органах в качестве индивидуального предпринимателя.
В случае, если покупателем работ, услуг является нерезидент, а получателем является его структурное подразделение, учетная регистрация которых произведена в регистрирующем органе, то местом реализации работ, услуг признается Республика Казахстан.
Положения настоящего подпункта применяются в отношении следующих работ, услуг:
передача прав на использование объектов интеллектуальной собственности; по техническому обслуживанию и обновлению программного обеспечения;
предоставление доступа к интернет-ресурсам;
консультационные, аудиторские, инжиниринговые, дизайнерские, маркетинговые, юридические, бухгалтерские, адвокатские, рекламные услуги, а также услуги по предоставлению и (или) обработке информации, кроме распространения продукции средств массовой информации, а также предоставления доступа к массовой информации, размещенной на интернет-ресурсе;
предоставление персонала;
сдача в имущественный наем (аренду) движимого имущества (кроме транспортных средств);
услуги агента по приобретению товаров, работ, услуг, а также привлечению от имени основного участника договора (контракта) лиц для осуществления услуг, предусмотренных настоящим подпунктом;
услуги связи;
согласие ограничить или прекратить предпринимательскую деятельность за вознаграждение;
услуги радио и телевизионные услуги;
услуги по предоставлению в аренду и (или) пользование грузовых вагонов и контейнеров;
5) работы, услуги, не предусмотренные подпунктами 1), 2), 3) и 4) части первой настоящего пункта и пунктом 4 настоящей статьи, выполняются или оказываются налогоплательщиком, осуществляющим предпринимательскую или любую другую деятельность на территории Республики Казахстан.
Местом осуществления предпринимательской или другой деятельности налогоплательщика, выполняющего работы, оказывающего услуги, не предусмотренные подпунктами 1), 2), 3) и 4) части первой настоящего пункта, считается территория Республики Казахстан:
в отношении услуг по перевозке пассажиров и багажа, транспортировке товаров, в том числе почты, – в случае присутствия такого налогоплательщика на территории Республики Казахстан на основе государственной (учетной) регистрации в регистрирующем органе или на основе постановки на регистрационный учет в налоговых органах в качестве индивидуального предпринимателя и при соблюдении одного или нескольких из следующих условий:
пассажиры, транспортируемые товары (почта, багаж) ввозятся на территорию Республики Казахстан;
пассажиры, транспортируемые товары (почта, багаж) вывозятся за пределы территории Республики Казахстан;
пассажиры перевозятся, товары (почта, багаж) транспортируются по территории Республики Казахстан;
в отношении прочих работ, услуг – в случае присутствия такого налогоплательщика на территории Республики Казахстан на основе государственной (учетной) регистрации в регистрирующем органе или на основе постановки на регистрационный учет в налоговых органах в качестве индивидуального предпринимателя.
Для целей подпунктов 2) и 3) части первой настоящего пункта фактическим местом оказания работ, услуг признается место присутствия налогоплательщика, оказывающего такие работы, услуги.
3. Если реализация товаров, работ, услуг носит вспомогательный характер по отношению к реализации других основных товаров, работ, услуг, местом такой реализации признается место реализации основных товаров, работ, услуг.
4. Местом реализации работ, услуг признается Республика Казахстан при выполнении работ, оказании услуг юридическим лицом-нерезидентом, осуществляющим деятельность на территории Республики Казахстан через постоянное учреждение без открытия структурного подразделения, налогоплательщику Республики Казахстан.
5. При применении пункта 2 настоящей статьи место выполнения работ или оказания услуг, соответствующих положениям более чем одного из подпунктов указанной статьи, определяется в соответствии с первым по порядку из этих подпунктов.
6. Положения настоящей статьи не применяются в случаях, установленных разделом 25 настоящего Кодекса.
Сноска. Статья 378 с изменениями, внесенными законами РК от 02.04.2019 № 241-VI (порядок введения в действие см. ст.2); от 10.12.2020 № 382-VI (порядок введения в действие см. ст. 2).
Статья 379. Дата совершения оборота по реализации товаров, работ, услуг
1. Датой совершения оборота по реализации товаров, за исключением оборотов, указанных в пунктах 2, 5, 7 – 12 и 14 настоящей статьи, является:
1) если в соответствии с условиями договора предусмотрена обязанность поставщика (продавца) по доставке товара – одна из следующих дат:
день передачи товара лицу, осуществляющему доставку товара, определенному поставщиком (продавцом), в том числе его доверенному лицу;
день погрузки товара на транспортное средство поставщика (продавца);
2) если по договору отсутствует обязанность поставщика (продавца) по доставке товара:
когда в соответствии с законодательством Республики Казахстан о бухгалтерском учете и финансовой отчетности подлежит оформлению документ, подтверждающий факт передачи товара, – дата подписания поставщиком (продавцом) и получателем (покупателем) такого документа;
в остальных случаях – определенный в соответствии с гражданским законодательством Республики Казахстан день предоставления товара в распоряжение получателя (покупателя) или определенного им лица, в том числе осуществляющего доставку такого товара.
2. При реализации товаров на основании товарораспорядительных документов, подтверждающих предоставление идентифицированных товаров в распоряжение покупателя, датой совершения оборота по реализации является последний день месяца, на который приходится дата фактической передачи таких товаров покупателю.
3. Датой совершения оборота по реализации работ, услуг является день выполнения работ, оказания услуг, за исключением случаев, установленных в пунктах 4, 5, 6 и 13 настоящей статьи.
При этом днем выполнения работ, оказания услуг признается дата подписания, указанная в:
акте выполненных работ, оказанных услуг;
документе (кроме счета-фактуры), подтверждающем факт выполнения работ, оказания услуг, оформленном в соответствии с законодательством Республики Казахстан о бухгалтерском учете и финансовой отчетности, в случае отсутствия акта выполненных работ, оказанных услуг.
4. При осуществлении банковских операций, оказании услуг по предоставлению кредита (займа, микрокредита), услуг по перевозке пассажиров, багажа, грузобагажа и почтовых отправлений на железнодорожном транспорте, услуг по предоставлению в пользование игровых автоматов без выигрыша, персональных компьютеров, игровых дорожек (боулинг (кегельбан), картов (картинг), бильярдных столов (бильярд) датой совершения оборота по реализации услуг является наиболее ранняя из следующих дат:
1) дата получения каждого платежа (независимо от формы расчета);
2) дата признания в бухгалтерском учете оказания услуг.
5. При реализации электрической и (или) тепловой энергии, воды, газа, коммунальных услуг, услуг связи, услуг по перевозке пассажиров, багажа и грузов на воздушном транспорте, услуг по перевозке грузов по системе магистральных трубопроводов, за исключением магистральных газопроводов, датой совершения оборота по реализации товаров, работ, услуг является последний день календарного месяца, в котором поставлены товары, выполнены работы, оказаны услуги.
Для целей настоящего раздела под коммунальными услугами понимаются работы по очистке сточных систем и канализации, услуги по сбору отходов (мусороудаление), услуги по обслуживанию лифтов, домофонов.
6. При выполнении работ, оказании услуг (кроме перевозок пассажиров, багажа, грузобагажа и почты на железнодорожном транспорте), при осуществлении которых документы оформляются в соответствии с законодательством Республики Казахстан о железнодорожном транспорте, датой совершения оборота по реализации работ, услуг является наиболее поздняя дата, указанная в документе, подтверждающем факт выполнения работ, оказания услуг.
7. При реализации периодических печатных изданий или иной продукции средств массовой информации, включая размещение на интернет-ресурсе в общедоступных телекоммуникационных сетях, датой совершения оборота является день передачи периодического печатного издания или день пересылки продукции средств массовой информации на электронную почту или электронный абонентский почтовый ящик и (или) день размещения продукции средств массовой информации на интернет-ресурсе в общедоступных телекоммуникационных сетях.
8. В случае вывоза товаров с помещением под таможенную процедуру экспорта датой совершения оборота по реализации товара является:
1) дата фактического пересечения таможенной границы Евразийского экономического союза в пункте пропуска, определяемая в соответствии с таможенным законодательством Евразийского экономического союза и (или) таможенным законодательством Республики Казахстан;
2) дата регистрации полной декларации на товары с отметками таможенного органа, производившего таможенное декларирование, в случае вывоза товаров с помещением под таможенную процедуру экспорта с использованием временного таможенного декларирования;
3) дата внесения изменений (дополнений) в сведения, заявленные в декларации на товары о фактическом количестве вывезенного товара, и иные недостающие сведения, вносимые после окончания заявленного периода поставки товаров с помещением под таможенную процедуру экспорта с использованием периодического таможенного декларирования в соответствии с таможенным законодательством Республики Казахстан.
9. В случае ввоза товаров с помещением под таможенную процедуру реимпорта, ранее вывезенных с помещением под таможенную процедуру экспорта, датой совершения оборота по реализации товаров является:
1) дата фактического пересечения таможенной границы Евразийского экономического союза в пункте пропуска при вывозе товара с помещением под таможенную процедуру экспорта без использования периодического или временного декларирования, определяемая в соответствии с таможенным законодательством Евразийского экономического союза и (или) таможенным законодательством Республики Казахстан;
2) дата регистрации полной декларации на товары с отметками таможенного органа, производившего таможенное декларирование, при вывозе товаров с помещением его под таможенную процедуру экспорта с использованием временного декларирования;
3) дата внесения изменений (дополнений) в сведения, заявленные в декларации на товары о фактическом количестве вывезенного товара, и иные недостающие сведения, вносимые после окончания заявленного периода поставки товаров с помещением под таможенную процедуру экспорта с использованием периодического таможенного декларирования в соответствии с таможенным законодательством Республики Казахстан.
10. При передаче заложенного имущества (товара) залогодателем датой совершения оборота по реализации для залогодателя является день перехода права собственности на предмет залога от залогодателя к победителю торгов, проведенных в процессе обращения взыскания на заложенное имущество, или к залогодержателю.
11. При передаче имущества в финансовый лизинг датой совершения оборота по реализации является:
1) в части суммы периодического лизингового платежа, установленного договором лизинга, без учета суммы вознаграждения, за исключением случаев, указанных в подпунктах 2) и 3) настоящего пункта, – дата наступления срока получения такого платежа;
2) в части суммы всех периодических лизинговых платежей без учета суммы вознаграждения, дата наступления срока получения которых по договору лизинга установлена до даты передачи имущества лизингополучателю, – дата передачи имущества в финансовый лизинг;
3) в части досрочно погашенных сумм лизинговых платежей, предусмотренных договором лизинга без учета суммы вознаграждения при соблюдении требований статьи 197 настоящего Кодекса, – дата получения такого платежа (независимо от формы расчета);
4) в части начисленной суммы вознаграждения датой совершения оборота является наиболее ранняя из следующих дат:
последний день отчетного налогового периода;
последний день прекращения начисления вознаграждения по договору финансового лизинга.
12. При утрате товара, приобретенного без налога на добавленную стоимость с помещением под таможенную процедуру свободной таможенной зоны, кроме товаров, которые являются товарами, перечисленными в статье 394 настоящего Кодекса, датой совершения оборота по реализации товара является дата установления налогоплательщиком факта утраты.
13. В случае признания работ и услуг, выполненных и оказанных нерезидентом, оборотом плательщика налога на добавленную стоимость в соответствии со статьей 373 настоящего Кодекса датой совершения такого оборота является одна из следующих дат:
дата подписания поставщиком (продавцом) и получателем (покупателем), являющимися сторонами договора, акта выполненных работ, оказанных услуг;
дата признания в бухгалтерском учете затрат по приобретению работ, услуг от нерезидента – при наличии иного документа, подтверждающего факт выполнения работ, оказания услуг, в случае отсутствия акта выполненных работ, оказанных услуг.
14. При снятии с регистрационного учета по налогу на добавленную стоимость датой совершения оборота, указанного в подпункте 3) части первой пункта 1 статьи 369 настоящего Кодекса, является день, предшествующий:
1) дню, в который плательщик налога на добавленную стоимость представил ликвидационную декларацию по налогу на добавленную стоимость;
2) дате снятия с регистрационного учета по налогу на добавленную стоимость по решению налогового органа, указанной в пункте 6 статьи 85 настоящего Кодекса.
15. Если в документах, определенных пунктами 3 и 13 настоящей статьи, указано несколько дат, то датой подписания документа является наиболее поздняя из указанных дат.
16. При реализации на условиях рассрочки платежа залогового имущества, ранее принятого на баланс дочерней организации банка, приобретающей сомнительные и безнадежные активы родительского банка в счет погашения задолженности, датой совершения оборота по реализации является дата наступления срока получения такого платежа по договору купли-продажи или дата получения такого платежа в зависимости от того, какое событие наступит раньше.
Сноска. Статья 379 с изменениями, внесенными законами РК от 02.04.2019 № 241-VI (порядок введения в действие см. ст. 2); от 10.12.2020 № 382-VI (вводится в действие с 01.01.2021); от 21.12.2022 № 165-VII (вводится в действие с 01.01.2023).
Глава 43. ОПРЕДЕЛЕНИЕ РАЗМЕРА ОБОРОТА И ИМПОРТА
Статья 380. Размер оборота по реализации товаров, работ, услуг
1. Если иное не предусмотрено статьей 381 настоящего Кодекса, размер оборота по реализации определяется как стоимость реализуемых товаров, работ, услуг исходя из применяемых сторонами сделки цен и тарифов без включения в них налога на добавленную стоимость, если иное не предусмотрено законодательством Республики Казахстан о трансфертном ценообразовании.
При реализации товара на условиях рассрочки платежа стоимость реализуемого товара определяется с учетом всех платежей, предусмотренных условиями договора.
2. При предоставлении услуг по проплате за третьих лиц размер оборота по реализации определяется в размере комиссионного вознаграждения.
3. Сумма акциза, подлежащая уплате (уплаченная) в соответствии с положениями настоящего Кодекса:
1) при передаче бензина (за исключением авиационного), дизельного топлива, являющегося продуктом переработки давальческого сырья, не включается в размер оборота по реализации производителя такого подакцизного товара, оказывающего услуги по переработке давальческого сырья;
2) в остальных случаях – включается в размер оборота по реализации.
4. Размер оборота в виде остатков товаров плательщика налога на добавленную стоимость определяется в размере балансовой стоимости таких товаров, подлежащей отражению (отраженной) в бухгалтерском учете такого плательщика налога на добавленную стоимость, на дату совершения оборота.
Для целей настоящего пункта балансовой стоимостью товара у плательщика налога на добавленную стоимость является:
1) при снятии его с регистрационного учета по налогу на добавленную стоимость в связи с реорганизацией, а также при реорганизации путем выделения – стоимость товара, отраженная в разделительном балансе или передаточном акте, но не ниже балансовой стоимости, подлежащей отражению (отраженной) в бухгалтерском учете такого плательщика налога на добавленную стоимость, на дату совершения оборота;
2) в остальных случаях – балансовая стоимость товара, подлежащая отражению (отраженная) в бухгалтерском учете такого плательщика налога на добавленную стоимость, на дату совершения оборота.
По обороту в виде остатков товаров плательщиком налога на добавленную стоимость составляется налоговый регистр по остаткам товаров в соответствии со статьей 215 настоящего Кодекса.
5. Размер оборота, совершаемого плательщиком налога на добавленную стоимость при приобретении работ, услуг от нерезидента, определяется в соответствии со статьей 382 настоящего Кодекса.
6. Операция в иностранной валюте в целях настоящего раздела пересчитывается в национальную валюту Республики Казахстан с применением рыночного курса обмена валют, определенного в последний рабочий день, предшествующий дате совершения оборота.
Статья 381. Особенности определения размера оборота по реализации в отдельных случаях
1. При передаче заложенного имущества залогодателем в собственность покупателю или залогодержателю размер оборота по реализации у залогодателя определяется:
1) при реализации залогового имущества – в размере стоимости реализуемого заложенного имущества исходя из примененной цены реализации без включения в нее налога на добавленную стоимость;
2) при обращении заложенного имущества в собственность залогодержателя – в размере текущей оценочной стоимости, устанавливаемой решением суда или доверенным лицом на основании заключения физического или юридического лица, имеющего лицензию на осуществление деятельности по оценке имущества (за исключением объектов интеллектуальной собственности, стоимости нематериальных активов), без включения в нее налога на добавленную стоимость. При этом доверенное лицо определяется в соответствии с гражданским законодательством Республики Казахстан при реализации заложенного имущества в принудительном внесудебном порядке посредством торгов.
2. Размер оборота по реализации у налогоплательщика при помещении под таможенную процедуру реимпорта товара, ранее вывезенного с помещением под таможенную процедуру экспорта, определяется пропорционально объему товара, помещаемого под таможенную процедуру реимпорта, в единицах измерения, примененных при помещении товара под таможенную процедуру экспорта, на основе стоимости данного товара, по которой в декларации по налогу на добавленную стоимость был отражен оборот по реализации товара на экспорт.
3. При продаже предприятия в целом как имущественного комплекса размер оборота по реализации определяется в размере балансовой стоимости передаваемого при продаже имущества, по которому налог на добавленную стоимость ранее был отнесен в зачет:
1) увеличенной на положительную разницу между стоимостью реализации по договору купли-продажи предприятия и балансовой стоимостью передаваемых активов, уменьшенной на балансовую стоимость передаваемых обязательств, по данным бухгалтерского учета на дату реализации;
2) уменьшенной на отрицательную разницу между стоимостью реализации по договору купли-продажи предприятия и балансовой стоимостью передаваемых активов, уменьшенной на балансовую стоимость передаваемых обязательств, по данным бухгалтерского учета на дату реализации.
4. При передаче имущества в финансовый лизинг размер оборота по реализации определяется в размере:
1) на дату совершения оборота, указанную в подпункте 1) пункта 11 статьи 379 настоящего Кодекса, – на основе размера лизингового платежа, установленного в соответствии с договором финансового лизинга без включения в него суммы вознаграждения по финансовому лизингу и налога на добавленную стоимость;
2) на дату совершения оборота, указанную в подпункте 2) пункта 11 статьи 379 настоящего Кодекса, – на основе суммы всех периодических лизинговых платежей без включения в них суммы вознаграждения по финансовому лизингу и налога на добавленную стоимость, дата наступления срока получения которых в соответствии с договором финансового лизинга установлена до даты передачи имущества лизингополучателю;
3) на дату совершения оборота, указанную в подпункте 3) пункта 11 статьи 379 настоящего Кодекса, – как разница между общей суммой всех лизинговых платежей, полученных (подлежащих получению) по договору финансового лизинга без включения в них суммы вознаграждения по финансовому лизингу и налога на добавленную стоимость, и размером облагаемого оборота, определяемым как сумма размеров облагаемых оборотов, приходящихся на предыдущие даты совершения оборота по реализации согласно данному договору;
4) на дату совершения оборота, указанную в подпункте 4) пункта 11 статьи 379 настоящего Кодекса, – в размере начисленной суммы вознаграждения.
5. Размер оборота по реализации при безвозмездной передаче товаров определяется в размере балансовой стоимости передаваемых товаров, подлежащей отражению (отраженной) в бухгалтерском учете налогоплательщика на дату их передачи, если иное не предусмотрено законодательством Республики Казахстан о трансфертном ценообразовании.
Размер оборота по реализации по безвозмездно выполненным работам, оказанным услугам определяется исходя из балансовой стоимости товаров, стоимости работ, услуг в случае одновременного соответствия следующим условиям:
использованы на безвозмездное выполнение работ, оказание услуг;
налог на добавленную стоимость при приобретении таких товаров, работ, услуг был учтен как налог на добавленную стоимость, разрешенный к отнесению в зачет, включая определенный пропорциональным методом;
подлежат отнесению (отнесены) в бухгалтерском учете налогоплательщика к расходам в соответствии с международными стандартами финансовой отчетности и (или) требованиями законодательства Республики Казахстан о бухгалтерском учете и финансовой отчетности.
Стоимость фиксированных активов, а также активов, предусмотренных подпунктами 2), 3), 4), 9), 10) и 11) пункта 2 статьи 228 настоящего Кодекса, в случае передачи их в безвозмездное пользование для включения в облагаемый оборот определяется в следующем порядке:
Са = (НДС пр/Си) х Тф/ставка,
где:
Са – стоимость актива, включаемая в облагаемый оборот при передаче в безвозмездное пользование;
НДС пр – сумма налога на добавленную стоимость, отнесенного в зачет при приобретении актива, передаваемого в безвозмездное пользование;
Си – срок использования актива, исчисленный в календарных месяцах, определяется:
по активам, подлежащим амортизации в бухгалтерском учете, как срок полезного использования актива, определенный в бухгалтерском учете для амортизации в соответствии с международными стандартами финансовой отчетности и (или) законодательством Республики Казахстан о бухгалтерском учете и финансовой отчетности;
по прочим активам – как срок службы актива, определенный на основании технической документации на актив, а при отсутствии такой документации – 120 месяцев;
Тф – фактическое количество месяцев передачи в пользование, приходящихся на отчетный налоговый период;
ставка – ставка налога на добавленную стоимость в процентах, действующая на дату предоставления в пользование.
6. При уступке прав требования по реализованным товарам, работам, услугам, облагаемым налогом на добавленную стоимость, кроме авансов и штрафных санкций, размер оборота по реализации определяется как положительная разница между стоимостью права требования, по которой произведена уступка, и стоимостью требования, подлежащей получению от должника на дату уступки права требования, согласно первичным документам налогоплательщика.
7. Размер оборота по реализации определяется в размере вознаграждения без включения в него налога на добавленную стоимость, предусмотренного:
1) договором об ограничении или прекращении предпринимательской деятельности, – при согласии ограничить или прекратить предпринимательскую деятельность;
2) договором о предоставлении кредита (займа, микрокредита) – при предоставлении кредита (займа, микрокредита);
3) договором поручения – при реализации товаров, выполнении работ, оказании услуг поверенным от имени и за счет доверителя, передаче поверенным доверителю товаров, приобретенных для доверителя, а также выполнении работ, оказании услуг третьим лицом для доверителя по сделке, заключенной поверенным с таким третьим лицом от имени и за счет доверителя.
8. Размер оборота по реализации при финансировании исламским банком в соответствии с законодательством Республики Казахстан о банках и банковской деятельности физических и юридических лиц в качестве торгового посредника путем предоставления коммерческого кредита в соответствии с подпунктами 7) и 8) пункта 2 статьи 372 настоящего Кодекса определяется в размере дохода, подлежащего получению исламским банком.
В целях настоящего пункта к доходу, подлежащему получению исламским банком, относится сумма наценки на товар, реализуемый покупателю, которая определяется условиями договора исламского банка о коммерческом кредите, заключенного в соответствии с законодательством Республики Казахстан о банках и банковской деятельности.
Положения настоящего пункта не распространяются на случаи реализации исламским банком товара третьему лицу при отказе покупателя от исполнения договора о коммерческом кредите.
9. При реализации товаров, выполнении работ, оказании услуг на условиях, соответствующих условиям договора комиссии, передаче комиссионером комитенту товаров, приобретенных для комитента на условиях, соответствующих условиям договора комиссии, а также при выполнении работ, оказании услуг третьим лицом для комитента по сделке, заключенной таким третьим лицом с комиссионером, размер оборота по реализации комиссионера определяется в размере одной из следующих сумм:
его комиссионного вознаграждения без включения в него налога на добавленную стоимость;
стоимости работ, услуг, являющихся оборотом комиссионера по приобретению работ, услуг от нерезидента.
10. При выполнении работ, оказании услуг, определенных договором транспортной экспедиции, перевозчиком и (или) другими поставщиками для стороны, являющейся клиентом по договору транспортной экспедиции, размер оборота по реализации экспедитора определяется в размере следующих сумм:
его вознаграждения без включения в него налога на добавленную стоимость, предусмотренного договором транспортной экспедиции;
стоимости работ, услуг, являющихся оборотом экспедитора по приобретению работ, услуг от нерезидента.
11. Размер оборота по реализации периодических печатных изданий и иной продукции средств массовой информации, включая размещенные на интернет-ресурсе в общедоступных телекоммуникационных сетях, определяется как стоимость реализации исходя из применяемых сторонами сделки цен и тарифов без включения в них налога на добавленную стоимость, переданных (отгруженных, размещенных) периодических печатных изданий и иной продукции средств массовой информации в отчетном налоговом периоде.
12. Размер оборота по реализации при передаче товара, выполнении работ, оказании услуг работодателем работнику в счет погашения задолженности перед работником определяется по следующей формуле:
Ор = Зр х 100/(100+ставка), где:
Ор – оборот по реализации при передаче товара, выполнении работ, оказании услуг работодателем работнику в счет погашения задолженности перед работником;
ставка – ставка налога на добавленную стоимость, действующая на дату передачи товара, в процентах;
Зр – сумма, подлежащая выплате работнику, в счет погашения которой осуществляется передача товара, выполнение работ, оказание услуг.
13. Размер оборота по реализации при утрате товара, приобретенного без налога на добавленную стоимость с помещением под таможенную процедуру свободной таможенной зоны, кроме товаров, которые являются товарами, перечисленными в статье 394 настоящего Кодекса, определяется в размере балансовой стоимости товаров, подлежащей отражению (отраженной) в бухгалтерском учете налогоплательщика, на дату их утраты.
14. Размер оборота по реализации тары, которая признана возвратной тарой в соответствии с подпунктом 5) пункта 5 статьи 372 настоящего Кодекса и не возвращена в установленный срок, определяется как балансовая стоимость такой тары, подлежащая отражению (отраженная) в бухгалтерском учете, на дату ее возврата.
15. Несмотря на положения пунктов 1 – 14 настоящей статьи, размер оборота по реализации определяется:
1) при реализации физическому лицу автомобилей, приобретенных юридическим лицом у физических лиц, как положительная разница между стоимостью реализации и стоимостью приобретения автомобилей;
2) при оказании услуг туроператора по выездному туризму – как положительная разница между стоимостью реализации туристского продукта и стоимостью услуг по страхованию, перевозке пассажиров и проживанию, в том числе питанию, если стоимость такого питания включена в стоимость проживания, вознаграждения туристского агента;
3) при осуществлении операций с ценными бумагами, долей участия – как прирост стоимости при реализации ценных бумаг, доли участия, определяемый в соответствии со статьей 228 настоящего Кодекса;
4) при реализации товаров, по которым налог на добавленную стоимость, указанный в счетах-фактурах, выписанных при приобретении этих товаров в соответствии с налоговым законодательством Республики Казахстан, действовавшим на дату их приобретения, не признается налогом на добавленную стоимость, относимым в зачет, – как положительная разница между стоимостью реализации и балансовой стоимостью товара, отраженной в бухгалтерском учете, на дату его передачи;
5) при передаче товара:
акционеру, участнику, учредителю при ликвидации юридического лица или при распределении имущества при уменьшении уставного капитала – как положительная разница между балансовой стоимостью передаваемого товара, подлежащей отражению (отраженной) в бухгалтерском учете юридического лица, передающего такой товар, на дату его передачи без учета переоценки и обесценения, и размером оплаченного уставного капитала, приходящимся на долю участия, количество акций, пропорционально которым осуществляется распределение имущества;
участнику, учредителю при выкупе юридическим лицом у такого учредителя, участника доли участия или ее части в этом юридическом лице –как положительная разница между балансовой стоимостью передаваемого товара, подлежащей отражению (отраженной) в бухгалтерском учете юридического лица, передающего такой товар, на дату его передачи без учета переоценки и обесценения, и размером оплаченного уставного капитала, приходящимся на выкупаемую долю участия;
акционеру при выкупе юридическим лицом-эмитентом у акционера акций, выпущенных этим эмитентом, – как положительная разница между балансовой стоимостью передаваемого товара, подлежащей отражению (отраженной) в бухгалтерском учете юридического лица, передающего такой товар, на дату его передачи без учета переоценки и обесценения, и размером оплаченного уставного капитала, приходящимся на выкупаемое количество акций.
16. Размер оборота при оказании услуг казино, зала игровых автоматов, тотализатора и букмекерской конторы, предусмотренных разделом 16 настоящего Кодекса, определяется по сумме дохода, полученного за налоговый период в результате осуществления деятельности по оказанию услуг казино, зала игровых автоматов, тотализатора и букмекерской конторы.
17. Размер оборота при реализации оператором лотереи лотерейных билетов, электронных лотерейных билетов определяется в размере одной из следующих сумм:
1) стоимости реализованных лотерейных билетов, электронных лотерейных билетов за вычетом суммы сформированного призового фонда, отчислений на развитие физической культуры и спорта в соответствии с Законом Республики Казахстан «О лотереях и лотерейной деятельности» и расходов, связанных с проведением лотереи, при наличии подтверждающих документов;
2) четырех процентов от стоимости реализуемых лотерейных билетов, электронных лотерейных билетов – в случае, если сумма, определенная в соответствии с подпунктом 1) настоящего пункта, составит менее четырех процентов от стоимости реализованных лотерейных билетов, электронных лотерейных билетов.
Сноска. Статья 381 с изменениями, внесенными законами РК от 02.04.2019 № 241-VI (порядок введения в действие см. ст. 2); от 10.12.2020 № 382-VI (порядок введения в действие см. ст. 2); от 21.12.2022 № 165-VII (вводится в действие с 01.01.2023); от 08.07.2024 № 119-VIII (вводится в действие со дня введения в действие Закона Республики Казахстан «О внесении изменений и дополнений в некоторые законодательные акты Республики Казахстан по вопросам игорного бизнеса, лотерейной деятельности, охраны здоровья, государственной инспекции труда, государственного контроля и исключения излишней законодательной регламентации»).
Статья 382. Размер оборота по приобретению работ, услуг от нерезидента
Размер оборота по приобретению работ, услуг от нерезидента определяется исходя из стоимости приобретения работ, услуг, указанных в пункте 1 статьи 373 настоящего Кодекса, включая корпоративный или индивидуальный подоходный налог, подлежащий удержанию у источника выплаты. При этом стоимость приобретения определяется на основании:
акта выполненных работ, оказанных услуг;
при отсутствии акта выполненных работ, оказанных услуг – иного документа, подтверждающего факт выполнения работ, оказания услуг.
В случае, когда оплата за полученные работы, услуги производится в иностранной валюте, облагаемый оборот пересчитывается в национальной валюте Республики Казахстан с применением рыночного курса обмена валют, определяемого в последний рабочий день, предшествующий дате совершения оборота.
Статья 383. Корректировка размера оборота
1. При изменении размера оборота по реализации товаров, работ и услуг в ту или иную сторону в случаях, предусмотренных пунктом 2 настоящей статьи, после даты его совершения соответствующим образом корректируется размер оборота.
2. Корректировка производится в случаях:
1) полного или частичного возврата товара, за исключением ввоза товара с помещением под таможенную процедуру реимпорта, ранее вывезенного с помещением под таможенную процедуру экспорта;
2) изменения условий сделки;
3) изменения цены, компенсации за реализованные товары, работы, услуги. Положение данного подпункта применяется также при изменении подлежащей оплате стоимости реализованных товаров, работ, услуг исходя из условий договора, в том числе в связи с применением коэффициента (индекса);
4) скидки с цены, скидки с продаж;
5) возврата тары, включенной в оборот по реализации в соответствии с подпунктом 5) пункта 5 статьи 372 настоящего Кодекса;
6) наступления иных случаев, в результате которых происходит изменение размера оборота.
3. Положения настоящей статьи не применяются в случае изменения размера облагаемого (необлагаемого) оборота в результате исправления ошибок.
4. Корректировка размера оборота налогоплательщика производится при наличии документов, на основании которых изменяется размер облагаемого (необлагаемого) оборота.
5. Сумма корректировки размера облагаемого (необлагаемого) оборота включается в облагаемый (необлагаемый) оборот того налогового периода, на который приходится дата наступления случаев, предусмотренных пунктом 2 настоящей статьи. Такая дата является датой совершения оборота на сумму корректировки.
6. Корректировка размера облагаемого (необлагаемого) оборота в сторону уменьшения не должна превышать размер ранее отраженного облагаемого (необлагаемого) оборота по реализации товаров, работ, услуг.
7. При корректировке размера облагаемого оборота в сторону увеличения сумма налога на добавленную стоимость по такому обороту определяется по ставке, действующей на дату наступления случаев, предусмотренных пунктом 2 настоящей статьи.
Статья 384. Корректировка размера облагаемого оборота по сомнительным требованиям
1. Если часть или весь размер требования по реализованным товарам, работам, услугам является сомнительным требованием, плательщик налога на добавленную стоимость имеет право уменьшить размер облагаемого оборота по такому требованию:
1) по истечении трех лет с начала налогового периода, на который приходится:
срок исполнения требования по реализованным товарам, работам, услугам, если такой срок определен;
день передачи товара, выполнения работ, оказания услуг, срок исполнения требования по которым не определен;
2) в налоговом периоде, в котором вынесено решение регистрирующего органа об исключении дебитора, признанного банкротом, из Национального реестра бизнес-идентификационных номеров.
3) в налоговом периоде, в котором завершена процедура внесудебного банкротства или вынесено решение суда о применении процедуры судебного банкротства в соответствии с Законом Республики Казахстан «О восстановлении платежеспособности и банкротстве граждан Республики Казахстан».
Корректировка размера облагаемого оборота в соответствии с настоящим пунктом производится при соблюдении условий, указанных в статье 248 настоящего Кодекса.
2. Уменьшение размера облагаемого оборота по сомнительному требованию производится в пределах размера ранее отраженного облагаемого оборота по реализации товаров, выполнению работ, оказанию услуг с применением ставки налога на добавленную стоимость, действовавшей на дату совершения оборота по реализации.
3. В случае получения оплаты за реализованные товары, работы, услуги после использования плательщиком налога на добавленную стоимость права, предоставленного ему в соответствии с пунктом 1 настоящей статьи, размер облагаемого оборота подлежит увеличению на стоимость указанной оплаты в том налоговом периоде, в котором была получена оплата, с применением ставки налога на добавленную стоимость, действующей на дату совершения оборота по реализации.
Сноска. Статья 384 с изменениями, внесенными законами РК от 02.04.2019 № 241-VI (вводится в действие с 01.07.2019); от 20.03.2023 № 213-VII (вводится в действие с 01.01.2023).
Статья 385. Размер облагаемого импорта
В размер облагаемого импорта включаются таможенная стоимость импортируемых товаров, определяемая в соответствии с таможенным законодательством Евразийского экономического союза и (или) таможенным законодательством Республики Казахстан с учетом законодательства Республики Казахстан о трансфертном ценообразовании, а также суммы налогов и таможенных платежей, специальных, антидемпинговых и компенсационных пошлин, подлежащих уплате в бюджет при импорте товаров в Республику Казахстан, за исключением налога на добавленную стоимость на импорт.
Сноска. Статья 385 с изменением, внесенным Законом РК от 10.12.2020 № 382-VI (вводится в действие с 01.01.2021).
Глава 44. ОБОРОТЫ, ОБЛАГАЕМЫЕ ПО НУЛЕВОЙ СТАВКЕ
Статья 386. Оборот по реализации товаров на экспорт
1. Оборот по реализации товаров на экспорт, за исключением оборотов по реализации товаров, предусмотренных статьей 394 настоящего Кодекса, облагается по нулевой ставке.
Экспортом товаров является вывоз товаров с таможенной территории Евразийского экономического союза, осуществляемый в соответствии с таможенным законодательством Евразийского экономического союза и (или) таможенным законодательством Республики Казахстан.
2. Документами, подтверждающими экспорт товаров, являются:
1) договор (контракт) на поставку экспортируемых товаров;
2) копия декларации на товары с отметками таможенного органа, осуществляющего выпуск товаров с помещением под таможенную процедуру экспорта, а также с отметкой таможенного органа Республики Казахстан или таможенного органа другого государства-члена Евразийского экономического союза, расположенного в пункте пропуска на таможенной границе Евразийского экономического союза, кроме случаев, указанных в подпунктах 3) и 6) настоящего пункта;
3) копия полной декларации на товары с отметками таможенного органа, производившего таможенное декларирование, при вывозе товаров с помещением под таможенную процедуру экспорта:
по системе магистральных трубопроводов или по линиям электропередачи;
с использованием временного таможенного декларирования;
4) копии товаросопроводительных документов.
В случае вывоза товаров с помещением под таможенную процедуру экспорта по системе магистральных трубопроводов или по линиям электропередачи вместо копий товаросопроводительных документов представляется акт приема-сдачи товаров;
5) подтверждение уполномоченного государственного органа в области охраны прав интеллектуальной собственности о праве на объект интеллектуальной собственности, а также его стоимости – в случае экспорта объекта интеллектуальной собственности;
6) копии декларации на товары с отметками таможенного органа, осуществляющего выпуск товаров в таможенной процедуре экспорта, а также с отметкой таможенного органа, расположенного в контрольно-пропускном пункте специальной экономической зоны, пределы которой полностью или частично совпадают с участками таможенной границы Евразийского экономического союза;
7) копия декларации на товары с изменениями (дополнениями), внесенными после окончания заявленного периода поставки товаров, содержащая сведения о фактическом количестве вывезенного товара, в случае вывоза товаров с помещением под таможенную процедуру экспорта с использованием периодического таможенного декларирования.
3. В случае осуществления дальнейшего экспорта товаров, ранее вывезенных за пределы таможенной территории Евразийского экономического союза с помещением под таможенную процедуру переработки вне таможенной территории, или продуктов их переработки подтверждение экспорта осуществляется в соответствии с пунктом 2 настоящей статьи, а также на основании следующих документов:
1) копии декларации на товары, в соответствии с которой производится изменение таможенной процедуры переработки вне таможенной территории на таможенную процедуру экспорта;
2) копии декларации на товары, оформленной с помещением под таможенную процедуру переработки вне таможенной территории;
3) копии декларации на товары, оформленной при ввозе товаров на территорию иностранного государства с помещением под таможенную процедуру переработки на таможенной территории (переработки товаров для внутреннего потребления), заверенной таможенным органом иностранного государства, осуществившим такое оформление;
4) копии декларации на товары, в соответствии с которой производится изменение таможенной процедуры переработки для внутреннего потребления на территории иностранного государства на таможенную процедуру выпуска для внутреннего потребления на территории иностранного государства или таможенную процедуру экспорта.
4. Декларация на товары в виде электронного документа, по которой в информационных системах налоговых органов имеется уведомление таможенных органов о фактическом вывозе товаров, также является документом, подтверждающим экспорт товаров. При наличии декларации на товары в виде электронного документа, предусмотренной настоящим пунктом, представление документов, установленных подпунктами 2), 3) и 6) пункта 2 и подпунктами 1) и 2) пункта 3 настоящей статьи, не требуется.
Сноска. Статья 386 с изменениями, внесенными законами РК от 02.04.2019 № 241-VI (порядок введения в действие см. ст. 2); от 03.04.2019 № 243-VI (вводится в действие по истечении десяти календарных дней после дня его первого официального опубликования); от 20.12.2021 № 85-VII (вводится в действие с 01.01.2022).
Статья 387. Налогообложение международных перевозок
1. Оборот по реализации услуг по международным перевозкам облагается по нулевой ставке.
Международной перевозкой признается:
1) транспортировка товаров, в том числе почтовых отправлений, экспортируемых с территории Республики Казахстан и импортируемых на территорию Республики Казахстан;
2) транспортировка по территории Республики Казахстан транзитных грузов;
3) перевозка пассажиров, багажа и грузобагажа в международном сообщении;
4) услуга по проследованию пассажирских поездов (вагонов) в международном сообщении.
Для целей настоящей главы перевозка считается международной, если оформление перевозки осуществляется едиными международными перевозочными документами, установленными пунктом 4 настоящей статьи.
2. В случае осуществления международной перевозки несколькими перевозчиками, за исключением случаев, установленных пунктом 3 настоящей статьи, к международной относится перевозка, осуществляемая перевозчиком до границы Республики Казахстан или перевозчиком, посредством транспорта которого пассажиры, товары (почтовые отправления, багаж, грузобагаж) были ввезены на территорию Республики Казахстан.
3. В случаях осуществления международной перевозки несколькими перевозчиками в прямом международном железнодорожно-паромном сообщении и международном железнодорожно-водном сообщении с перевалкой груза с железнодорожного на водный транспорт международной признается перевозка, осуществляемая перевозчиками на железнодорожном и водном транспорте.
4. Для целей настоящей статьи подтверждающими международные перевозки документами являются:
1) при перевозке грузов:
в международном автомобильном сообщении – товарно-транспортная накладная;
в международном железнодорожном сообщении, в том числе в прямом международном железнодорожно-паромном сообщении и международном железнодорожно-водном сообщении с перевалкой груза с железнодорожного на водный транспорт, – накладная единого образца;
воздушным транспортом – грузовая накладная (авианакладная);
морским транспортом – коносамент или морская накладная;
транзитом двумя или более видами транспорта (смешанная перевозка) – единая товарно-транспортная накладная (единый коносамент);
по системе магистральных трубопроводов:
копия декларации на товары, помещенные под таможенные процедуры экспорта и выпуска для внутреннего потребления, за расчетный период либо декларация на товары, помещенные под таможенную процедуру таможенного транзита, за расчетный период;
акты выполненных работ (оказанных услуг), акты приема-сдачи грузов от продавца либо от других лиц, осуществлявших ранее доставку указанных грузов, покупателю либо другим лицам, осуществляющим дальнейшую доставку указанных грузов;
2) при перевозке пассажиров, багажа и грузобагажа:
автомобильным транспортом:
при регулярных перевозках – отчет о продаже проездных билетов, проданных в Республике Казахстан, а также расчетные ведомости о пассажирских билетах, составленные автовокзалами (автостанциями) по пути следования;
при нерегулярных перевозках – договор об оказании транспортных услуг в международном сообщении;
железнодорожным транспортом:
отчет о продаже проездных, перевозочных и почтовых документов, проданных в Республике Казахстан;
расчетная ведомость о пассажирских билетах, проданных в Республике Казахстан, в международном сообщении;
балансовая ведомость по взаиморасчетам за пассажирские перевозки между железнодорожными администрациями и отчет об оформлении проездных и перевозочных документов;
воздушным транспортом:
генеральная декларация;
пассажирский манифест;
карго-манифест;
лоджит (центрально-загрузочный график);
сводно-загрузочная ведомость (проездной билет и багажная квитанция);
при услуге по проследованию пассажирских поездов (вагонов) в международном сообщении:
натурный лист пассажирского поезда.
Документы, указанные в настоящем пункте, могут быть составлены на бумажном носителе и (или) в электронной форме.
5. Декларация на товары в виде электронного документа, по которой в информационных системах налоговых органов имеется уведомление таможенных органов о фактическом вывозе товаров, также является документом, подтверждающим экспорт товаров. При наличии декларации на товары в виде электронного документа, предусмотренной настоящим пунктом, представление документов, установленных абзацем восьмым подпункта 1) части первой пункта 4 настоящей статьи, не требуется.
Сноска. Статья 387 с изменениями, внесенными Законом РК от 10.12.2020 № 382-VI (вводится в действие с 01.01.2021).
Статья 388. Налогообложение реализации горюче-смазочных материалов, осуществляемой аэропортами, поставщиками услуг наземного обслуживания, розничными реализаторами нефтепродуктов при заправке воздушных судов иностранных авиакомпаний, выполняющих международные полеты, международные воздушные перевозки
Сноска. Заголовок статьи 388 – в редакции Закона РК от 21.12.2022 № 165-VII (вводится в действие с 01.01.2023).
1. Оборот по реализации горюче-смазочных материалов, осуществляемой аэропортами , поставщиками услуг наземного обслуживания, розничными реализаторами нефтепродуктов при заправке воздушных судов иностранных авиакомпаний, выполняющих международные полеты, международные воздушные перевозки, облагается по нулевой ставке.
Положения настоящей статьи применяются в отношении аэропортов, поставщиков услуг наземного обслуживания, розничными реализаторами нефтепродуктов, реализующих горюче-смазочные материалы при заправке воздушных судов иностранных авиакомпаний, выполняющих международные полеты, международные воздушные перевозки.
2. Для целей настоящей статьи:
1) иностранными авиакомпаниями признаются авиакомпании иностранных государств, включая государства-члены Евразийского экономического союза;
2) международным полетом признается полет воздушного судна, при котором воздушное судно пересекает границу иностранного государства;
3) международной воздушной перевозкой признается воздушная перевозка, при выполнении которой пункты отправления и назначения независимо от того, имеется или нет перерыв в перевозке или перегрузке, расположены на:
территории двух или более государств;
территории одного государства, если предусмотрена остановка на территории другого государства.
Положение абзаца третьего настоящего подпункта не применяется, если пунктами отправления и назначения является территория Республики Казахстан.
3. Документами, подтверждающими обороты, облагаемые по нулевой ставке, при реализации горюче-смазочных материалов, осуществляемой аэропортами, поставщиками услуг наземного обслуживания, розничными реализаторами нефтепродуктов при заправке воздушных судов иностранных авиакомпаний, выполняющих международные полеты, международные воздушные перевозки, являются:
1) договор аэропорта, поставщика услуг наземного обслуживания, розничными реализаторами нефтепродуктов с иностранной авиакомпанией, предусматривающий и (или) включающий реализацию горюче-смазочных материалов, – при осуществлении регулярных рейсов;
заявка иностранной авиакомпании и (или) договор (соглашение) аэропорта, поставщика услуг наземного обслуживания, розничными реализаторами нефтепродуктов с иностранной авиакомпанией – при осуществлении нерегулярных рейсов.
При этом в заявке должны быть указаны следующие сведения:
наименование авиакомпании с указанием государства, в котором она зарегистрирована;
дата предполагаемой посадки воздушного судна.
При посадке иностранного воздушного судна вследствие форс-мажорных обстоятельств заявка, предусмотренная настоящим подпунктом, не заполняется.
Для целей настоящего подпункта:
регулярным рейсом признается рейс, выполняемый согласно расписанию, установленному и опубликованному авиакомпанией в порядке, определяемом законодательством Республики Казахстан об использовании воздушного пространства Республики Казахстан и деятельности авиации;
нерегулярным рейсом признается рейс, не подпадающий под определение регулярного рейса;
2) расходный ордер или требование на заправку иностранного воздушного судна с отметкой таможенного органа, подтверждающего заправку горюче-смазочными материалами воздушного судна, в котором должны быть указаны следующие сведения:
наименование авиакомпании;
количество заправленных горюче-смазочных материалов;
дата заправки воздушного судна;
подписи командира воздушного судна или представителя иностранной авиакомпании и сотрудника соответствующей службы аэропорта, поставщика услуг наземного обслуживания, розничными реализаторами нефтепродуктов, осуществившего заправку.
Положения настоящего подпункта не применяются при заправке воздушных судов авиакомпаний, выполняющих международные полеты, международные воздушные перевозки, в отношении которых в соответствии с таможенным законодательством Евразийского экономического союза и (или) Республики Казахстан не предусмотрены таможенное оформление и таможенный контроль;
3) документ, подтверждающий факт оплаты за реализованные аэропортом, поставщиком услуг наземного обслуживания, розничными реализаторами нефтепродуктов горюче-смазочные материалы;
4) заключение служащего уполномоченной организации в сфере гражданской авиации, участвующего в проведении тематической проверки по подтверждению достоверности сумм налога на добавленную стоимость, предъявленных к возврату, подтверждающее факт осуществления рейса воздушным судном иностранной авиакомпании и количество реализованных горюче-смазочных материалов (в разрезе авиакомпаний), по форме и в порядке, которые утверждены уполномоченным органом по согласованию с уполномоченным органом в сфере гражданской авиации.
При этом заключение, предусмотренное настоящим подпунктом, представляется служащим уполномоченной организации в сфере гражданской авиации в случаях осуществления рейсов, в отношении которых в соответствии с таможенным законодательством Евразийского экономического союза и (или) таможенным законодательством Республики Казахстан не предусмотрены таможенное оформление и таможенный контроль.
Сноска. Статья 388 с изменениями, внесенными законами РК от 19.04.2019 № 249-VI (вводится в действие с 01.08.2019); от 21.12.2022 № 165-VII (вводится в действие с 01.01.2023); от 15.07.2025 № 208-VIII (вводится в действие с 01.01.2025).
Статья 389. Налогообложение товаров, реализуемых на территорию специальной экономической зоны
1. Реализация на территорию специальной экономической зоны товаров, полностью потребляемых при осуществлении деятельности, отвечающей целям создания специальных экономических зон, по перечню товаров, определенных уполномоченным государственным органом, осуществляющим государственное регулирование в сфере создания, функционирования и упразднения специальных экономических и индустриальных зон по согласованию с уполномоченным органом и уполномоченным органом в области налоговой политики, облагается налогом на добавленную стоимость по нулевой ставке.
При этом налогоплательщик имеет право применить ставку налога на добавленную стоимость в соответствии с пунктом 1 статьи 422 настоящего Кодекса по товарам, указанным в части первой настоящего пункта.
Для целей настоящей статьи под товарами, указанными в части первой настоящего пункта, понимаются товары, помещаемые (помещенные) под таможенную процедуру свободной таможенной зоны и находящиеся под таможенным контролем.
2. Документами, подтверждающими обороты, облагаемые по нулевой ставке, при реализации товаров, полностью потребляемых при осуществлении деятельности, отвечающей целям создания специальных экономических зон, являются:
1) договор (контракт) на поставку товаров с организациями, осуществляющими деятельность на территориях специальных экономических зон, или лицом, заключившим соглашение об инвестициях;
2) копии декларации на товары и (или) транспортных (перевозочных), коммерческих и (или) иных документов с приложением перечня товаров с отметками таможенного органа, осуществляющего выпуск товаров по таможенной процедуре свободной таможенной зоны;
3) копии товаросопроводительных документов, подтверждающих отгрузку товаров организациям, указанным в подпункте 1) настоящего пункта;
4) копии документов, подтверждающих получение товаров организациями, указанными в подпункте 1) настоящего пункта.
3. Декларация на товары в виде электронного документа, полученная налоговыми органами по информационным каналам связи от таможенных органов, также является документом, подтверждающим обороты, облагаемые по нулевой ставке. При наличии декларации на товары в виде электронного документа, предусмотренной настоящим пунктом, представление копии декларации на товары, предусмотренной подпунктом 2) пункта 2 настоящей статьи, не требуется.
4. Возврат превышения налога на добавленную стоимость поставщикам товаров, реализуемых на территорию специальной экономической зоны, производится в части ввезенных товаров, фактически потребленных при осуществлении деятельности, отвечающей целям создания специальных экономических зон.
5. При определении суммы налога на добавленную стоимость, подлежащей возврату в соответствии с настоящей статьей, учитываются сведения таможенного органа, подтверждающие фактическое потребление ввезенных товаров при осуществлении деятельности, отвечающей целям создания специальных экономических зон, которые формируются на основе данных, представленных участником специальной экономической зоны или лицом, заключившим соглашение об инвестициях.
В случае невыполнения участником специальной экономической зоны или лицом, заключившим соглашение об инвестициях условий, предусмотренных частью первой пункта 1 настоящей статьи, товары, помещенные под таможенную процедуру свободной таможенной зоны, признаются облагаемым импортом и подлежат обложению налогом на добавленную стоимость с даты ввоза товаров на территорию специальной экономической зоны с начислением пени со срока, установленного для уплаты налога на добавленную стоимость на импортируемые товары, в порядке и размере, которые определены таможенным законодательством Евразийского экономического союза и (или) таможенным законодательством Республики Казахстан.
Сноска. Статья 389 с изменениями, внесенными законами РК от 02.04.2019 № 241-VI (вводится в действие по истечении десяти календарных дней после дня его первого официального опубликования); от 03.04.2019 № 243-VI (вводится в действие по истечении десяти календарных дней после дня его первого официального опубликования); от 10.12.2020 № 382-VI (вводится в действие с 01.01.2021).
Статья 390. Особенности налогообложения товаров, реализуемых на территорию специальной экономической зоны «Астана – новый город»
Сноска. Статья 390 исключена Законом РК от 03.04.2019 № 243-VI (вводится в действие по истечении десяти календарных дней после дня его первого официального опубликования).
Статья 391. Особенности налогообложения товаров, реализуемых на территорию специальной экономической зоны, пределы которой полностью или частично совпадают с участками таможенной границы Евразийского экономического союза
Сноска. Заголовок статьи 391 с изменением, внесенным Законом РК от 03.04.2019 № 243-VI (вводится в действие по истечении десяти календарных дней после дня его первого официального опубликования).
1. Реализация на территорию специальной экономической зоны, пределы которой полностью или частично совпадают с участками таможенной границы Евразийского экономического союза, товаров, потребляемых или реализуемых при осуществлении деятельности, отвечающей целям создания такой специальной экономической зоны, облагается налогом на добавленную стоимость по нулевой ставке.
Для целей настоящей статьи под товарами, указанными в части первой настоящего пункта, понимаются товары, помещаемые (помещенные) под таможенную процедуру свободной таможенной зоны и находящиеся под таможенным контролем.
2. Документами, подтверждающими обороты, облагаемые по нулевой ставке, при реализации товаров, потребляемых или реализуемых при осуществлении деятельности, отвечающей целям создания специальной экономической зоны, пределы которой полностью или частично совпадают с участками таможенной границы Евразийского экономического союза, являются:
1) договор (контракт) на поставку товаров с организациями и (или) лицами, осуществляющими деятельность на территории специальной экономической зоны, пределы которой полностью или частично совпадают с участками таможенной границы Евразийского экономического союза;
2) копии декларации на товары и (или) транспортных (перевозочных), коммерческих и (или) иных документов с приложением перечня товаров с отметками таможенного органа, осуществляющего выпуск товаров по таможенной процедуре свободной таможенной зоны;
3) копии товаросопроводительных документов, подтверждающих отгрузку товаров организациям и (или) лицам, указанным в подпункте 1) настоящего пункта;
4) копии документов, подтверждающих получение товаров организациями и (или) лицами, указанными в подпункте 1) настоящего пункта.
3. Возврат превышения налога на добавленную стоимость поставщикам товаров, реализуемых на территорию специальной экономической зоны, пределы которой полностью или частично совпадают с участками таможенной границы Евразийского экономического союза, производится в части ввезенных товаров, фактически потребленных при осуществлении деятельности, отвечающей целям создания специальных экономических зон.
4. При определении суммы налога на добавленную стоимость, подлежащей возврату в соответствии с настоящей статьей, учитываются сведения таможенного органа, подтверждающие реализацию или фактическое потребление ввезенных товаров при осуществлении деятельности, отвечающей целям создания специальной экономической зоны, которые формируются на основе данных, представленных участником специальной экономической зоны.
В случае невыполнения участником специальной экономической зоны условий, предусмотренных частью первой пункта 1 настоящей статьи, товары, помещенные под таможенную процедуру свободной таможенной зоны, признаются облагаемым импортом и подлежат обложению налогом на добавленную стоимость с даты ввоза товаров на территорию специальной экономической зоны, пределы которой полностью или частично совпадают с участками таможенной границы Евразийского экономического союза, с начислением пени со срока, установленного для уплаты налога на добавленную стоимость на импортируемые товары, в порядке и размере, которые определены таможенным законодательством Евразийского экономического союза и (или) таможенным законодательством Республики Казахстан.
Сноска. Статья 391 с изменениями, внесенными Законом РК от 03.04.2019 № 243-VI (вводится в действие по истечении десяти календарных дней после дня его первого официального опубликования).
Статья 392. Оборот по реализации аффинированного золота
1. Оборот по реализации налогоплательщиками, являющимися субъектами производства драгоценных металлов и лицами, ставшими собственниками аффинированного золота в результате его переработки, Национальному Банку Республики Казахстан аффинированного золота из сырья собственного производства для пополнения активов в драгоценных металлах облагается налогом на добавленную стоимость по нулевой ставке.
2. Документами, подтверждающими оборот, облагаемый по нулевой ставке, указанный в пункте 1 настоящей статьи, являются:
1) договор об общих условиях купли-продажи аффинированного золота для пополнения активов в драгоценных металлах, заключенный между налогоплательщиком и Национальным Банком Республики Казахстан;
2) копии документов, подтверждающих стоимость аффинированного золота, реализованного Национальному Банку Республики Казахстан;
3) копии документов, подтверждающих получение аффинированного золота Национальным Банком Республики Казахстан с указанием количества аффинированного золота.
В целях настоящей статьи под сырьем собственного производства понимается сырье, добытое налогоплательщиком самостоятельно или приобретенное им в собственность с целью переработки.
Статья 393. Налогообложение в отдельных случаях
1. Облагается налогом на добавленную стоимость по нулевой ставке оборот по реализации товаров собственного производства налогоплательщикам, осуществляющим на территории Республики Казахстан деятельность в рамках контракта на недропользование, соглашения (контракта) о разделе продукции, в соответствии с условиями которых освобождаются от налога на добавленную стоимость импортируемые товары.
В случае, если контрактом на недропользование, соглашением (контрактом) о разделе продукции определен перечень импортируемых товаров, освобождаемых от налога на добавленную стоимость, по нулевой ставке облагаются обороты по реализации товаров, указанных в этом перечне.
В целях настоящей статьи товаром собственного производства признается продукт (товар), произведенный налогоплательщиком, на который имеется сертификат происхождения.
Перечень налогоплательщиков, указанных в части первой настоящего пункта, утверждается уполномоченным органом в области нефти и газа по согласованию с уполномоченным органом и уполномоченным органом в области налоговой политики.
2. Облагается налогом на добавленную стоимость по нулевой ставке оборот по реализации нестабильного конденсата, добытого и реализованного недропользователем, осуществляющим деятельность в рамках контракта на недропользование, указанного в пункте 1 статьи 722 настоящего Кодекса, с территории Республики Казахстан на территорию других государств-членов Евразийского экономического союза.
Перечень налогоплательщиков, указанных в настоящем пункте, утверждается уполномоченным органом в области нефти и газа по согласованию с уполномоченным органом и уполномоченным органом в области налоговой политики.
3. Облагается налогом на добавленную стоимость по нулевой ставке оборот по реализации налогоплательщиком, осуществляющим деятельность в рамках межправительственного соглашения о сотрудничестве в газовой отрасли, на территории другого государства-члена Евразийского экономического союза продуктов переработки из давальческого сырья, ранее вывезенного этим налогоплательщиком с территории Республики Казахстан и переработанного на территории такого другого государства-члена Евразийского экономического союза.
Перечень налогоплательщиков, указанных в настоящем пункте, утверждается уполномоченным органом в области нефти и газа по согласованию с уполномоченным органом и уполномоченным органом в области налоговой политики.
4. Документами, подтверждающими реализацию товаров налогоплательщикам, указанным в пункте 1 настоящей статьи, являются:
1) договор на поставку товаров налогоплательщикам, осуществляющим на территории Республики Казахстан деятельность в рамках контракта на недропользование, соглашения (контракта) о разделе продукции, в соответствии с условиями которых освобождаются от налога на добавленную стоимость импортируемые товары, с указанием в нем, что поставляемые товары предназначены для выполнения рабочей программы контракта на недропользование, соглашения (контракта) о разделе продукции;
2) копии товаросопроводительных документов, подтверждающих отгрузку товаров налогоплательщикам;
3) копии документов, подтверждающих получение товаров налогоплательщиками.
5. Документами, подтверждающими реализацию нестабильного конденсата, указанного в пункте 2 настоящей статьи, являются:
1) договор (контракт) на поставку нестабильного конденсата, вывезенного (вывозимого) с территории Республики Казахстан на территорию других государств-членов Евразийского экономического союза;
2) акт снятия показаний с приборов учета количества реализованного нестабильного конденсата по системе трубопроводов;
3) акт приема-сдачи нестабильного конденсата, вывезенного с территории Республики Казахстан на территорию других государств-членов Евразийского экономического союза по системе трубопроводов.
Порядок снятия показаний с приборов учета количества реализованного нестабильного конденсата по системе трубопроводов определяется уполномоченным органом в области нефти и газа.
6. Документами, подтверждающими реализацию товаров, указанных в пункте 3 настоящей статьи, являются:
1) договоры (контракты) на переработку давальческого сырья;
2) договоры (контракты), на основании которых осуществляется реализация продуктов переработки;
3) документы, подтверждающие факт выполнения работ по переработке давальческого сырья;
4) копии товаросопроводительных документов, подтверждающих вывоз давальческого сырья с территории Республики Казахстан на территорию другого государства-члена Евразийского экономического союза.
В случае вывоза давальческого сырья по системе магистральных трубопроводов вместо копий товаросопроводительных документов представляется акт приема-сдачи такого давальческого сырья;
5) документы, подтверждающие отгрузку продуктов переработки их покупателю – налогоплательщику государства-члена Евразийского экономического союза, на территории которого осуществлялась переработка давальческого сырья;
6) документы, подтверждающие поступление валютной выручки по реализованным продуктам переработки на банковские счета налогоплательщика в банках второго уровня на территории Республики Казахстан, открытые в порядке, определенном законодательством Республики Казахстан;
7) заключение соответствующего уполномоченного государственного органа об условиях переработки товаров на территории государства-члена Евразийского экономического союза, предусмотренное пунктом 8 статьи 449 настоящего Кодекса.
При определении суммы превышения налога на добавленную стоимость, подлежащей возврату, учитываются результаты проверки, осуществленной в отношении покупателя продуктов переработки налоговой службой государства-члена Евразийского экономического союза по запросу налогового органа Республики Казахстан.
Сноска. Статья 393 с изменением, внесенным Законом РК от 03.04.2019 № 243-VI (вводится в действие по истечении десяти календарных дней после дня его первого официального опубликования).
Глава 45. НЕОБЛАГАЕМЫЙ ОБОРОТ И НЕОБЛАГАЕМЫЙ ИМПОРТ
Статья 394. Обороты по реализации товаров, работ, услуг, освобожденные от налога на добавленную стоимость
Освобождаются от налога на добавленную стоимость обороты по реализации следующих товаров, работ, услуг, местом реализации которых является Республика Казахстан:
1) указанных в статьях 395 – 398 настоящего Кодекса;
2) учетно-контрольных марок, предназначенных для маркировки подакцизных товаров в соответствии со статьей 172 настоящего Кодекса;
3) здания, сооружения, реализуемых государственной исламской специальной финансовой компанией уполномоченному органу по управлению государственным имуществом, ранее приобретенных по договорам, заключенным в соответствии с условиями выпуска государственных исламских ценных бумаг, и земельных участков, занятых таким имуществом;
4) услуг по предоставлению государственной исламской специальной финансовой компанией во временное владение и пользование по договорам имущественного найма (аренды) здания, сооружения, приобретенных по договорам, заключенным в соответствии с условиями выпуска государственных исламских ценных бумаг, и земельных участков, занятых таким имуществом;
5) имущества, передаваемого на безвозмездной основе государственному учреждению или государственному предприятию в соответствии с законодательством Республики Казахстан;
6) имущества в виде выигрышей, выдаваемых оператором лотереи участнику лотереи;
7) услуг по обеспечению информационного и технологического взаимодействия между участниками расчетов, включая оказание услуг по сбору, обработке и рассылке информации участникам расчетов по операциям с платежными карточками и электронными деньгами;
8) услуг по переработке и (или) ремонту товаров, ввезенных на таможенную территорию Евразийского экономического союза с помещением под таможенную процедуру переработки на таможенной территории;
9) услуг в рамках деятельности объединения собственников имущества многоквартирного жилого дома, кооператива собственников квартир (нежилых помещений) по управлению объектом кондоминиума, осуществляемых в соответствии с жилищным законодательством Республики Казахстан;
10) банкнот и монет национальной валюты;
11) товаров, работ, услуг, если в налоговом периоде, в котором осуществлена реализация, а также за четыре предшествующих налоговых периода соблюдается одно из следующих условий:
средняя численность лиц с инвалидностью составляет не менее 51 процента от общего числа работников;
расходы по оплате труда лиц с инвалидностью составляют не менее 51 процента (в специализированных организациях, в которых работают лица с инвалидностью по потере слуха, речи, зрения, – не менее 35 процентов) от общих расходов по оплате труда.
Положения настоящего подпункта не применяются к оборотам по реализации подакцизных товаров.
В отношении оборотов по реализации в рамках долгосрочных контрактов положения настоящего подпункта применяются при соблюдении условий, установленных настоящим пунктом, в течение всего периода действия такого контракта;
12) работ, услуг по безвозмездному ремонту и (или) техническому обслуживанию товаров в период установленного сделкой гарантийного срока их эксплуатации, включая стоимость запасных частей и деталей к ним, если условиями сделки предусмотрено предоставление налогоплательщиком гарантии качества реализованных товаров, выполненных работ, оказанных услуг;
13) если иное не установлено статьей 392 настоящего Кодекса, инвестиционного золота в виде слитков и пластин на основании сделки, заключенной на фондовой бирже, либо если одной из сторон такой сделки является банк второго уровня, юридические лица, имеющие в соответствии с Законом Республики Казахстан «О валютном регулировании и валютном контроле» право на осуществление через свои обменные пункты покупки и продажи аффинированного золота в слитках, выпущенных Национальным Банком Республики Казахстан, юридическое лицо – профессиональный участник рынка ценных бумаг или Национальный Банк Республики Казахстан;
14) действовал до 01.01.2019 в соответствии с Законом РК от 25.12.2017 № 121-VI;
15) услуг туроператора по въездному туризму;
16) предоставление кредита (займа, микрокредита) в денежной форме на условиях платности, срочности и возвратности;
17) товаров, помещенных под таможенную процедуру беспошлинной торговли;
18) лома и отходов цветных и черных металлов;
19) услуг по проведению религиозными объединениями религиозных обрядов и церемоний в соответствии с законодательством Республики Казахстан;
20) предметов религиозного назначения религиозными объединениями, зарегистрированными в регистрирующем органе.
Перечень указанных товаров и критерии его формирования утверждаются Правительством Республики Казахстан;
21) ритуальных услуг похоронных бюро, услуг кладбищ и крематориев;
22) специальных социальных услуг, осуществляемых некоммерческими организациями в соответствии с законодательством Республики Казахстан о социальной защите;
23) услуг по проведению социально значимых мероприятий в области культуры, зрелищных культурно-массовых мероприятий, осуществляемых в рамках государственного задания в соответствии с законодательством Республики Казахстан о культуре;
24) услуг по осуществлению музеями культурных, образовательных, научно-исследовательских функций и обеспечению популяризации историко-культурного наследия Республики Казахстан;
25) услуг по осуществлению библиотеками информационных, культурных, образовательных функций;
26) услуг и работ в сфере культуры и образования, осуществляемых театрами, филармониями, культурно-досуговыми организациями;
27) научно-реставрационных работ на памятниках истории и культуры, проводимых на основании лицензии на право осуществления данного вида деятельности;
28) образовательных услуг в сфере дошкольного воспитания и обучения;
29) услуг по дополнительному образованию, оказываемых организацией образования, имеющей лицензию на занятие образовательной деятельности;
30) образовательных услуг в сфере начального, основного среднего, общего среднего, технического и профессионального, послесреднего, высшего и послевузовского образования, осуществляемых по соответствующим лицензиям на право осуществления данных видов деятельности;
31) услуг по осуществлению автономными организациями образования, соответствующими условиям подпункта 2) или 4) пункта 1 статьи 291 настоящего Кодекса, видов деятельности, определенных подпунктом 2) пункта 1 статьи 291 настоящего Кодекса;
32) услуг по предоставлению во временное пользование библиотечного фонда, в том числе в электронной форме, организациями образования, имеющими лицензию на занятие образовательной деятельности, а также автономными организациями образования, указанными в подпунктах 2), 4) и 6) пункта 1 статьи 291 настоящего Кодекса;
33) лекарственных средств любых форм, в том числе фармацевтических субстанций (активных фармацевтических субстанций), медицинских изделий, включая протезно-ортопедические изделия и сурдотифлотехнику, а также материалов и комплектующих для их производства;
34) лекарственных средств любых форм, используемых (применяемых) в области ветеринарии, в том числе фармацевтических субстанций (активных фармацевтических субстанций); изделий ветеринарного назначения, включая протезно-ортопедические изделия, и ветеринарной техники; материалов и комплектующих для производства лекарственных средств любых форм, используемых (применяемых) в области ветеринарии, в том числе фармацевтических субстанций (активных фармацевтических субстанций) и изделий ветеринарного назначения, включая протезно-ортопедические изделия, и ветеринарной техники;
35) услуг в форме медицинской помощи в соответствии с законодательством Республики Казахстан (в том числе при осуществлении медицинской деятельности, не подлежащей лицензированию), оказываемых субъектом здравоохранения, имеющим лицензию на осуществление медицинской деятельности;
36) услуг в сфере санитарно-эпидемиологического благополучия населения, оказываемых государственной организацией санитарно-эпидемиологической службы в соответствии с законодательством Республики Казахстан в области здравоохранения;
37) услуг, оказываемых в области ветеринарии:
физическими или юридическими лицами, имеющими лицензию на осуществление деятельности в области ветеринарии;
физическими и юридическими лицами, включенными в государственный электронный реестр разрешений и уведомлений на осуществление предпринимательской деятельности в сфере ветеринарии, предусмотренный законодательством Республики Казахстан в области ветеринарии;
государственными ветеринарными организациями, созданными в соответствии с законодательством Республики Казахстан в области ветеринарии;
38) транспортных средств и (или) сельскохозяйственной техники, а также их компонентов при одновременном соблюдении следующих условий:
в состав реализуемого транспортного средства и (или) сельскохозяйственной техники, а также их компонентов входят ранее ввезенные сырье и (или) материалы, а также их компоненты, которые освобождаются от налога на добавленную стоимость в соответствии с подпунктом 15) пункта 1 статьи 399 или подпунктом 4) пункта 2 статьи 451 настоящего Кодекса;
ввоз сырья и (или) материалов, а также компонентов в составе реализуемого транспортного средства и (или) сельскохозяйственной техники, а также их компонентов осуществлен юридическим лицом, реализующим указанные транспортные средства и (или) сельскохозяйственную технику, а также их компоненты;
транспортные средства и (или) сельскохозяйственная техника, а также их компоненты включены в перечень транспортных средств и (или) сельскохозяйственной техники, а также их компонентов, реализация которых освобождается от налога на добавленную стоимость, утвержденный уполномоченным органом в области государственной поддержки индустриальной деятельности по согласованию с центральным уполномоченным органом по государственному планированию и уполномоченным органом;
39) товаров, работ и услуг, реализуемых на территории специальной экономической зоны, пределы которой полностью или частично совпадают с участками таможенной границы Евразийского экономического союза;
40) научно-исследовательских работ, проводимых на основании договоров на осуществление государственного задания, а также договоров государственного заказа по приоритетным направлениям в соответствии с законодательством Республики Казахстан о науке;
Примечание РЦПИ!
Подпункт 41) действует до 01.01.2027 в соответствии с Законом РК от 25.12.2017 № 121-VI.
41) товаров, работ, услуг, реализуемых организацией, специализирующейся на улучшении качества кредитных портфелей банков второго уровня, единственным акционером которой является Правительство Республики Казахстан, по видам деятельности, предусмотренным в статье 292 настоящего Кодекса;
42) услуг, оказываемых физкультурно-спортивными организациями на основании договоров на осуществление государственного задания;
43) фармацевтических услуг, услуг по учету и реализации лекарственных средств и медицинских изделий в рамках трансфертов из бюджета фонду социального медицинского страхования на оплату гарантированного объема бесплатной медицинской помощи;
43-1) товаров, произведенных и реализуемых на территории специальной экономической зоны «Астана — новый город», при одновременном соблюдении следующих условий:
товары полностью потребляются в процессе строительства и ввода в эксплуатацию объектов инфраструктуры, больниц, поликлиник, школ, детских садов, музеев, театров, высших и средних учебных заведений, библиотек, дворцов школьников, спортивных комплексов, административного и жилого комплексов в соответствии с проектно-сметной документацией;
товары включены в перечень товаров, утвержденный уполномоченным государственным органом, осуществляющим государственное регулирование в сфере создания, функционирования и упразднения специальных экономических и индустриальных зон, по согласованию с центральным уполномоченным органом по государственному планированию и уполномоченным органом;
наличие договора (контракта) на поставку товаров с организациями, осуществляющими на территории специальной экономической зоны «Астана — новый город» строительство объектов инфраструктуры, больниц, поликлиник, школ, детских садов, музеев, театров, высших и средних учебных заведений, библиотек, дворцов школьников, спортивных комплексов, административного и жилого комплексов;
наличие копий товаросопроводительных документов, подтверждающих отгрузку товаров;
наличие копий документов, подтверждающих получение товаров покупателем.
Для целей настоящей статьи под товарами, полностью потребляемыми в процессе строительства, понимаются товары, непосредственно вовлеченные в процесс возведения объектов инфраструктуры, больниц, поликлиник, школ, детских садов, музеев, театров, высших и средних учебных заведений, библиотек, дворцов школьников, спортивных комплексов, административного и жилого комплексов (за исключением электроэнергии, бензина, дизельного топлива и воды), при условии помещения таких товаров поставщиком и покупателем под таможенную процедуру свободной таможенной зоны и нахождения под таможенным контролем, если такие товары подлежат помещению под процедуру свободной таможенной зоны в соответствии с таможенным законодательством Республики Казахстан;
44) работ и услуг, выполняемых и оказываемых кинематографической организацией для инвестора при производстве фильмов;
Примечание РЦПИ!
Подпункт 45) действует до 01.01.2029 в соответствии с Законом РК от 26.12.2018 № 203-VI.
45) товаров, производимых и реализуемых участниками международного технологического парка «Астана-Хаб», соответствующими условиям пункта 4-3 статьи 293 настоящего Кодекса;
Примечание РЦПИ!
Подпункт 46) действует до 01.01.2029 в соответствии с Законом РК от 26.12.2018 № 203-VI.
46) работ, услуг, реализуемых участниками международного технологического парка «Астана-Хаб», соответствующими условиям пункта 4-3 статьи 293 настоящего Кодекса;
47) если иное не установлено подпунктом 43-1) части первой настоящей статьи, товаров, произведенных и реализуемых при осуществлении приоритетных видов деятельности на территории специальных экономических зон при одновременном соблюдении следующих условий:
наличие договора (контракта) на поставку товаров с организациями, осуществляющими деятельность на территории специальных экономических зон Республики Казахстан;
наличие документов, подтверждающих отгрузку товаров участнику специальной экономической зоны;
наличие документов, подтверждающих получение товаров покупателем – участником специальной экономической зоны;
48) транспортных средств и (или) сельскохозяйственной техники при соблюдении следующих условий:
реализующее юридическое лицо является уполномоченным представителем производителя транспортных средств и (или) сельскохозяйственной техники;
транспортные средства и (или) сельскохозяйственная техника приобретены у производителя без налога на добавленную стоимость в соответствии с подпунктом 38) части первой настоящей статьи.
В целях применения настоящего подпункта уполномоченным представителем производителя транспортных средств и (или) сельскохозяйственной техники признается юридическое лицо, назначенное уполномоченным представителем в рамках сделки, заключенной с производителем транспортных средств и (или) сельскохозяйственной техники, и включенное в реестр уполномоченных представителей, применяющих освобождение от налога на добавленную стоимость при реализации транспортных средств и (или) сельскохозяйственной техники, приобретенных у их производителя.
Реестр уполномоченных представителей, применяющих освобождение от налога на добавленную стоимость при реализации транспортных средств и (или) сельскохозяйственной техники, приобретенных у их производителя, ведется уполномоченным органом в области государственного стимулирования промышленности по утвержденной им форме;
49) услуги назначенного оператора, оформленные едиными документами в соответствии с актами Всемирного почтового союза, по транзиту международных почтовых отправлений назначенных операторов других стран-членов Всемирного почтового союза через территорию Республики Казахстан;
50) действовал до 01.01.2023 в соответствии с Законом РК от 10.12.2020 № 382-VI.
51) товаров, работ, услуг на безвозмездной основе в рамках благотворительной помощи некоммерческой организацией, созданной в форме фонда в соответствии с гражданским законодательством Республики Казахстан;
52) аффинированного золота и (или) серебра субъектами производства драгоценных металлов субъектам производства ювелирных и других изделий, осуществляющим деятельность на территории Республики Казахстан;
53) бытовых приборов и (или) приборов бытовой электроники, а также их компонентов, включенных в перечень, утвержденный уполномоченным органом в области государственного стимулирования промышленности по согласованию с центральным уполномоченным органом по государственному планированию и уполномоченным органом, при соблюдении следующих условий:
для производителя бытовых приборов и (или) приборов бытовой электроники, а также их компонентов – в состав реализуемого бытового прибора и (или) прибора бытовой электроники, а также их (его) компонентов входят ранее ввезенные сырье и (или) материалы, которые освобождаются от налога на добавленную стоимость в соответствии с пунктом 3 статьи 399 или пунктом 5 статьи 451 настоящего Кодекса;
для уполномоченного представителя производителя бытовых приборов и (или) приборов бытовой электроники, а также их компонентов – бытовые приборы и (или) приборы бытовой электроники, а также их компоненты приобретены у производителя без налога на добавленную стоимость в соответствии с настоящим подпунктом;
для иных лиц, реализующих бытовые приборы и (или) приборы бытовой электроники, а также их компоненты, – указанные бытовые приборы и (или) приборы бытовой электроники, а также их компоненты приобретены у производителя или уполномоченного представителя без налога на добавленную стоимость в соответствии с настоящим подпунктом.
В целях применения настоящего подпункта уполномоченный орган в области государственного стимулирования промышленности по утвержденной им форме ведет реестр юридических лиц, являющихся:
производителями бытовых приборов и (или) приборов бытовой электроники, а также их компонентов;
уполномоченными представителями производителя;
иными лицами, реализующими бытовые приборы и (или) приборы бытовой электроники, а также их компоненты.
Перечень товаров, указанных в подпункте 33) части первой настоящей статьи, утверждается уполномоченным органом в области здравоохранения по согласованию с центральным уполномоченным органом по государственному планированию и уполномоченным органом.
Перечень товаров, указанных в подпункте 34) части первой настоящей статьи, утверждается уполномоченным органом в области развития агропромышленного комплекса по согласованию с центральным уполномоченным органом по государственному планированию и уполномоченным органом.
Перечень работ и услуг, указанных в подпункте 44) части первой настоящей статьи, утверждается центральным исполнительным органом, осуществляющим руководство и межотраслевую координацию в сфере кинематографии, по согласованию с центральным уполномоченным органом по государственному планированию и уполномоченным органом.
Сноска. Статья 394 с изменениями, внесенными законами РК от 26.12.2018 № 203-VI (вводится в действие с 01.01.2019); от 28.12.2018 № 210-VI (вводится в действие с 01.01.2018); от 28.12.2018 № 211-VI (вводится в действие по истечении десяти календарных дней после дня его первого официального опубликования); от 03.01.2019 № 213-VI (вводится в действие по истечении десяти календарных дней после дня его первого официального опубликования); от 18.03.2019 № 237-VI (вводится в действие с 01.01.2018); от 02.04.2019 № 241-VI (вводится в действие с 01.07.2019); от 03.04.2019 № 243-VI (вводится в действие по истечении десяти календарных дней после дня его первого официального опубликования); от 26.12.2019 № 284-VІ (порядок введения в действие см. ст. 2); от 10.12.2020 № 382-VI (порядок введения в действие см. ст. 2); от 20.12.2021 № 85-VII (вводится в действие с 01.01.2022); от 21.12.2022 № 165-VII (порядок введения в действие см. ст. 4); от 12.12.2023 № 45-VIII (вводится в действие с 01.07.2023); от 08.07.2024 № 119-VIII (вводится в действие по истечении десяти календарных дней после дня его первого официального опубликования); от 15.07.2025 № 208-VIII (вводится в действие по истечении шестидесяти календарных дней после дня его первого официального опубликования).
Статья 395. Обороты, связанные с международными перевозками
Освобождаются от налога на добавленную стоимость обороты по реализации следующих работ, услуг, связанных с перевозками, являющимися международными в соответствии со статьями 387 и 448 настоящего Кодекса, местом реализации которых является Республика Казахстан:
погрузка, разгрузка, перегрузка (слив, налив, передача продукции в другие магистральные трубопроводы, перевалка на другой вид транспорта);
перестановка вагонов на тележки или колесные пары другой ширины колеи при пересечении таможенной границы государств-членов Евразийского экономического союза;
экспедирование товаров, в том числе почты, экспортируемых с территории Республики Казахстан, импортируемых на территорию Республики Казахстан, а также транзитных грузов;
услуги оператора вагонов (контейнеров);
услуги технического и аэронавигационного обслуживания, по реализации товаров, работ, услуг, входящих в состав аэропортовской деятельности в соответствии с законодательством Республики Казахстан об использовании воздушного пространства Республики Казахстан и деятельности авиации;
услуги морских портов по обслуживанию международных рейсов;
универсальные услуги почтовой связи;
услуги по пересылке регистрируемых почтовых отправлений.
В целях настоящего раздела услугами оператора вагонов (контейнеров) являются следующие услуги, оказываемые им в комплексе в целях организации перевозки грузов и предоставляемые оператором вагонов (контейнеров), указанным в перевозочном документе в качестве участника перевозочного процесса:
1) формирование плана предоставления в пользование вагонов (контейнеров) и его согласование между участниками перевозочного процесса;
2) предоставление в пользование вагонов (контейнеров);
3) диспетчеризация путем централизованного оперативного контроля и дистанционного управления фактическим движением груженых и порожних вагонов (контейнеров).
Сноска. Статья 395 с изменением, внесенным Законом РК от 21.12.2022 № 165-VII (вводится в действие с 01.01.2023).
Статья 396. Обороты по реализации, связанные с землей и жилыми зданиями
1. Освобождаются от налога на добавленную стоимость:
1) реализация жилого здания (части жилого здания), кроме части жилого здания, состоящей исключительно из нежилых помещений;
2) передача в аренду (субаренду) жилого здания (части жилого здания), кроме части жилого здания, состоящей исключительно из нежилых помещений;
3) услуги по организации проживания в студенческих и школьных общежитиях, рабочих поселках, детских домах отдыха, железнодорожных спальных вагонах.
2. Передача права владения и (или) пользования, и (или) распоряжения земельным участком и (или) аренда земельного участка (земельной доли), в том числе субаренда, освобождаются от налога на добавленную стоимость, за исключением:
1) передачи права владения и (или) пользования, и (или) распоряжения, и (или) аренды земельного участка (земельной доли), предоставленного (предоставленной) и (или) используемого (используемой) для размещения платных автостоянок (автопарковок);
2) передачи права владения и (или) пользования, и (или) распоряжения земельным участком (земельной доли) при реализации части жилого здания, состоящей исключительно из нежилых помещений;
3) передачи права владения и (или) пользования, и (или) распоряжения земельным участком (земельной долей), занятым зданием (частью здания), не относящимся (не относящегося) к жилому зданию, в том числе аренда (субаренда) земельного участка (земельной доли).
Сноска. Статья 396 с изменениями, внесенными Законом РК от 10.12.2020 № 382-VI (вводится в действие с 01.01.2021).
Статья 397. Обороты по реализации финансовых операций, освобождаемые от налога на добавленную стоимость
1. Освобождаются от налога на добавленную стоимость финансовые операции, предусмотренные пунктом 2 настоящей статьи.
2. К финансовым операциям, освобождаемым от налога на добавленную стоимость, относятся:
1) следующие банковские и иные операции, осуществляемые на основании лицензии банками и организациями, осуществляющими отдельные виды банковских операций, а также операции, проводимые иными юридическими лицами без лицензии в пределах полномочий, установленных законами Республики Казахстан:
прием депозитов, открытие и ведение банковских счетов физических лиц;
прием депозитов, открытие и ведение банковских счетов юридических лиц;
открытие и ведение корреспондентских счетов банков и организаций, осуществляющих отдельные виды банковских операций;
открытие и ведение металлических счетов физических и юридических лиц, на которых отражается физическое количество аффинированных драгоценных металлов и монет из драгоценных металлов, принадлежащих данным лицам;
переводные операции, в том числе почтовые переводы денег;
банковские заемные операции;
кассовые операции;
обменные операции с иностранной валютой, включая обменные операции с наличной иностранной валютой;
прием на инкассо платежных документов (за исключением векселей);
открытие (выставление) и подтверждение аккредитива и исполнение обязательств по нему;
выдача банками банковских гарантий, предусматривающих исполнение в денежной форме;
выдача банками банковских поручительств и иных обязательств за третьих лиц, предусматривающих исполнение в денежной форме;
факторинговые и форфейтинговые операции, осуществляемые банками;
2) следующие банковские операции исламского банка, осуществляемые на основании лицензии:
прием беспроцентных депозитов до востребования физических и юридических лиц, открытие и ведение банковских счетов физических и юридических лиц;
прием инвестиционных депозитов физических и юридических лиц;
банковские заемные операции: предоставление кредитов в денежной форме на условиях срочности, возвратности и без взимания вознаграждения;
3) операции с ценными бумагами;
4) услуги профессиональных участников рынка ценных бумаг, а также лиц, осуществляющих профессиональную деятельность на рынке ценных бумаг без лицензии в соответствии с законодательством Республики Казахстан о разрешениях и уведомлениях;
5) операции с производными финансовыми инструментами;
6) операции по страхованию (перестрахованию), а также услуги страховых брокеров (страховых агентов) по заключению и исполнению договоров страхования (перестрахования);
7) услуги по межбанковскому клирингу;
8) операции с платежными карточками, электронными деньгами, чеками, векселями, депозитными сертификатами;
9) деятельность по управлению инвестиционным портфелем с правом привлечения добровольных пенсионных взносов (добровольный накопительный пенсионный фонд), а также активами Государственного фонда социального страхования;
10) услуги по управлению правами требования по ипотечным жилищным займам;
11) услуги единого накопительного пенсионного фонда и добровольных накопительных пенсионных фондов по привлечению социальных платежей и добровольных пенсионных взносов, распределению и зачислению полученного инвестиционного дохода от пенсионных активов;
12) услуги фонда социального медицинского страхования по аккумулированию отчислений и взносов на обязательное социальное медицинское страхование, осуществлению закупа услуг у субъектов здравоохранения по оказанию медицинской помощи, реализации иных функций, определенных законами Республики Казахстан;
13) реализация доли участия;
14) операции по предоставлению микрокредитов;
15) исключен Законом РК от 03.07.2019 № 262-VI (вводится в действие с 01.01.2020);
16) выдача кредитным товариществом своим участникам гарантий, поручительств и иных обязательств, предусматривающих исполнение в денежной форме, за участников кредитного товарищества;
17) реализация инвестиционного золота через металлические счета, открытые в банках второго уровня, а также в Национальном Банке Республики Казахстан для категории юридических лиц, обслуживаемых в Национальном Банке Республики Казахстан;
18) уступка прав требования по кредитам (займам, микрокредитам);
19) операции, указанные в пункте 3 настоящей статьи;
20) операции инвестиционных фондов, зарегистрированных в соответствии с действующим правом Международного финансового центра «Астана», а также услуги по управлению указанными фондами.
21) гарантирование обязательств субъектов частного предпринимательства, осуществляемое специальным фондом развития частного предпринимательства в рамках системы гарантирования обязательств субъектов частного предпринимательства.
3. Освобождается от налога на добавленную стоимость сумма наценки на товар, реализуемый исламским банком покупателю, которая определяется условиями договора о коммерческом кредите, заключенного в соответствии с законодательством Республики Казахстан о банках и банковской деятельности.
Положения настоящего пункта применяются в случае передачи исламским банком имущества в соответствии с банковским законодательством Республики Казахстан в рамках финансирования физических и юридических лиц в качестве торгового посредника путем предоставления коммерческого кредита:
1) без условия о последующей продаже товара третьему лицу;
2) на условиях последующей продажи товара третьему лицу.
Положения настоящего пункта не распространяются на случаи реализации исламским банком товара третьему лицу при отказе покупателя от исполнения договора о коммерческом кредите.
4. Освобождается от налога на добавленную стоимость оборот по реализации цифровых активов.
Сноска. Статья 397 с изменениями, внесенными законами РК от 03.07.2019 № 262-VI (вводится в действие с 01.01.2020); от 10.12.2020 № 382-VI (вводится в действие с 01.01.2021); от 12.12.2023 № 45-VIII (вводится в действие с 01.01.2024); от 15.07.2025 № 208-VIII (вводится в действие с 01.01.2025).
Статья 398. Передача имущества в финансовый лизинг
1. Передача имущества в финансовый лизинг освобождается от налога на добавленную стоимость в части суммы вознаграждения, подлежащего получению лизингодателем, если такая передача соответствует требованиям, установленным статьей 197 настоящего Кодекса.
2. Передача имущества в финансовый лизинг освобождается от налога на добавленную стоимость при одновременном соблюдении следующих условий:
1) такая передача соответствует требованиям, установленным статьей 197 настоящего Кодекса;
2) передаваемое имущество приобретено без налога на добавленную стоимость в соответствии с подпунктом 38) части первой статьи 394 настоящего Кодекса.
Статья 399. Импорт, освобождаемый от налога на добавленную стоимость
1. Освобождается от налога на добавленную стоимость импорт:
1) банкнот и монет национальной и иностранной валюты (кроме банкнот и монет, представляющих собой культурно-историческую ценность), а также ценных бумаг;
2) сырья для производства денежных знаков, осуществляемый Национальным Банком Республики Казахстан и его организациями;
3) товаров, осуществляемый физическими лицами по нормам беспошлинного ввоза товаров, утвержденным в соответствии с таможенным законодательством Евразийского экономического союза и (или) таможенным законодательством Республики Казахстан;
4) товаров, за исключением подакцизных, ввозимых в качестве гуманитарной помощи в порядке, определяемом Правительством Республики Казахстан;
5) товаров, за исключением подакцизных, ввозимых по линии государств, правительств государств, международных организаций в целях благотворительной помощи, оказания технического содействия;
6) товаров, осуществляемый за счет средств грантов, предоставленных по линии государств, правительств государств и международных организаций;
7) товаров, ввезенных для официального пользования иностранными дипломатическими и приравненными к ним представительствами иностранного государства, консульскими учреждениями иностранного государства, аккредитованными в Республике Казахстан, а также для личного пользования лицами, относящимися к дипломатическому и административно-техническому персоналу этих представительств, включая членов их семей, проживающих вместе с ними, консульскими должностными лицами, консульскими служащими, включая членов их семей, проживающих вместе с ними, и освобождаемых от налога на добавленную стоимость в соответствии с международными договорами, ратифицированными Республикой Казахстан;
8) товаров, подлежащих таможенному декларированию в соответствии с таможенным законодательством Евразийского экономического союза и (или) таможенным законодательством Республики Казахстан, с помещением под таможенную процедуру, предусматривающую освобождение от уплаты налогов;
9) космических объектов, оборудования объектов наземной космической инфраструктуры, ввозимых участниками космической деятельности, перечень которых определен Правительством Республики Казахстан. Положения настоящего подпункта применяются на основании подтверждения уполномоченного органа в области космической деятельности о ввозе таких космических объектов и оборудования для целей космической деятельности, форма которого утверждается Правительством Республики Казахстан;
10) лекарственных средств любых форм, медицинских изделий:
зарегистрированных в Государственном реестре лекарственных средств и медицинских изделий;
не зарегистрированных в Государственном реестре лекарственных средств и медицинских изделий, на основании заключения (разрешительного документа), выданного уполномоченным органом в области здравоохранения.
Перечень товаров, указанных в настоящем подпункте, утверждается уполномоченным органом в области здравоохранения по согласованию с центральным уполномоченным органом по государственному планированию и уполномоченным органом;
10-1) материалов, оборудования и комплектующих для производства лекарственных средств любых форм, медицинских изделий, включая протезно-ортопедические изделия, сурдотифлотехнику, специальных средств передвижения, предоставляемых лицам с инвалидностью.
Перечень товаров, указанных в настоящем подпункте, утверждается уполномоченным органом в области здравоохранения по согласованию с центральным уполномоченным органом по государственному планированию и уполномоченным органом;
11) лекарственных средств любых форм, используемых (применяемых) в области ветеринарии; изделий ветеринарного назначения, включая протезно-ортопедические изделия, и ветеринарной техники; материалов, оборудования и комплектующих для производства лекарственных средств любых форм, используемых (применяемых) в области ветеринарии, и изделий ветеринарного назначения, включая протезно-ортопедические изделия, и ветеринарной техники.
Перечень товаров, указанных в настоящем подпункте, утверждается уполномоченным органом в области развития агропромышленного комплекса по согласованию с центральным уполномоченным органом по государственному планированию и уполномоченным органом;
12) инвестиционного золота, импортируемого Национальным Банком Республики Казахстан, банком второго уровня или юридическим лицом – профессиональным участником рынка ценных бумаг;
13) предметов религиозного назначения, ввозимых религиозными объединениями, зарегистрированными в регистрирующем органе.
Перечень указанных товаров и критерии его формирования утверждаются Правительством Республики Казахстан;
14) сырья и (или) материалов в рамках инвестиционного контракта (за исключением инвестиционного приоритетного проекта и инвестиционного стратегического проекта) при одновременном соответствии следующим условиям:
сырье и (или) материалы включены в перечень сырья и (или) материалов, импорт которых освобождается от налога на добавленную стоимость в рамках инвестиционного контракта, утвержденный уполномоченным государственным органом по инвестициям по согласованию с центральным уполномоченным органом по государственному планированию и уполномоченным органом;
ввоз сырья и (или) материалов оформлен документами, предусмотренными таможенным законодательством Евразийского экономического союза и (или) таможенным законодательством Республики Казахстан;
ввезенные сырье и (или) материалы будут использованы плательщиком налога на добавленную стоимость в пределах срока исковой давности исключительно при осуществлении деятельности в рамках инвестиционного контракта.
Освобождение от налога на добавленную стоимость импорта сырья и (или) материалов в рамках инвестиционного контракта предоставляется юридическим лицам Республики Казахстан на срок в течение пяти последовательных лет, начиная с 1 числа месяца, в котором введены в эксплуатацию фиксированные активы, предусмотренные в рабочей программе, являющейся приложением к инвестиционному контракту, заключенному в соответствии с законодательством Республики Казахстан в сфере предпринимательства. В случае, если рабочей программой предусматривается ввод двух и более фиксированных активов, исчисление срока освобождения от уплаты от налога на добавленную стоимость импорта сырья и (или) материалов в рамках инвестиционного контракта производится начиная с 1 числа месяца, в котором введен в эксплуатацию первый фиксированный актив по рабочей программе.
В случае нарушения в течение пяти лет с даты выпуска товаров для свободного обращения либо внутреннего потребления на территорию Республики Казахстан требований, установленных настоящим подпунктом, налог на добавленную стоимость по импортируемым сырью и (или) материалам подлежит уплате с начислением пени со срока, установленного для уплаты налога на добавленную стоимость на импортируемые товары при их ввозе, в порядке и размере, которые определены таможенным законодательством Евразийского экономического союза и (или) таможенным законодательством Республики Казахстан;
15) сырья и (или) материалов в составе транспортных средств и (или) сельскохозяйственной техники, а также их компонентов, помещенных под таможенную процедуру свободного склада или свободной таможенной зоны специальной экономической зоны «Qyzyljar» юридическим лицом в рамках заключенного специального инвестиционного контракта с уполномоченным органом по заключению специальных инвестиционных контрактов, определяемым Правительством Республики Казахстан, при соблюдении следующих условий:
в отношении производителей транспортных средств – наличие соглашения о промышленной сборке моторных транспортных средств или соглашения о промышленной сборке транспортных средств с уполномоченным органом в области государственной поддержки индустриальной деятельности;
в отношении производителей сельскохозяйственной техники – наличие соглашения о промышленной сборке сельскохозяйственной техники с уполномоченным органом в области государственной поддержки индустриальной деятельности;
в отношении производителей компонентов – наличие соглашения о промышленной сборке компонентов к транспортным средствам и (или) сельскохозяйственной технике с уполномоченным органом в области государственной поддержки индустриальной деятельности;
16) необработанных драгоценных металлов, лома и отходов драгоценных металлов и сырьевых товаров, содержащих драгоценные металлы, если они:
ввезены юридическим лицом, включенным в перечень субъектов производства драгоценных металлов в соответствии с Законом Республики Казахстан «О драгоценных металлах и драгоценных камнях»;
используются исключительно при производстве аффинированного золота для реализации Национальному Банку Республики Казахстан;
Примечание РЦПИ!
Подпункт 17) действует до 01.01.2029 в соответствии с Законом РК от 26.12.2018 № 203-VI.
17) товаров, ввезенных налогоплательщиками, являющимися участниками международного технологического парка «Астана Хаб», при одновременном соответствии следующим условиям:
товары включены в перечень товаров, импорт которых освобождается от налога на добавленную стоимость, утвержденный уполномоченным органом в сфере информатизации по согласованию с центральным уполномоченным органом по государственному планированию и уполномоченным органом;
ввоз товаров оформлен документами в соответствии с таможенным законодательством Евразийского экономического союза и (или) таможенным законодательством Республики Казахстан;
товары ввезены исключительно в целях использования при осуществлении приоритетных видов деятельности в области информационно-коммуникационных технологий по перечню, утверждаемому уполномоченным органом в сфере информатизации по согласованию с центральным уполномоченным органом по государственному планированию, уполномоченным государственным органом, осуществляющим государственное регулирование в области технического регулирования, и уполномоченным органом;
18) товаров, по которым изменен срок уплаты косвенных налогов в соответствии с пунктом 10 статьи 49 настоящего Кодекса и исполнены требования, установленные статьей 457 настоящего Кодекса.
Порядок и условия применения освобождения от налога на добавленную стоимость при импорте товаров, указанных в части первой настоящего подпункта, утверждаются уполномоченным органом.
В случае нарушения порядка подтверждения экспорта товаров налог на добавленную стоимость на импортируемые товары подлежит уплате с начислением пени со срока, установленного для уплаты налога на добавленную стоимость на импортируемые товары, в порядке и размере, которые определены таможенным законодательством Евразийского экономического союза и (или) таможенным законодательством Республики Казахстан.
19) сахара-сырца тростникового;
20) химических веществ (сырья) для производства пестицидов при одновременном соблюдении следующих условий:
производство указанных товаров отсутствует на территории Республики Казахстан или не покрывает потребности Республики Казахстан;
ввезенные товары включены в перечень, утвержденный уполномоченным органом в области государственной поддержки индустриальной деятельности по согласованию с уполномоченным органом, уполномоченным органом в области налоговой политики и уполномоченным органом в области развития агропромышленного комплекса;
ввезенные товары предназначены исключительно для производства пестицидов и не предназначены для дальнейшей реализации.
В случае нарушения в течение трех лет с даты выпуска товаров для внутреннего потребления на территории Республики Казахстан требований, установленных настоящим подпунктом, налог на добавленную стоимость на импортируемые товары подлежит уплате с начислением пени со срока, установленного для уплаты налога на добавленную стоимость на импортируемые товары, в порядке и размере, которые определены таможенным законодательством Евразийского экономического союза и (или) таможенным законодательством Республики Казахстан;
21) действовал с 01.01.2023 до 01.01.2026 в соответствии с Законом РК от 21.12.2022 № 165-VII.
2. Порядок освобождения от налога на добавленную стоимость импорта товаров, указанных в подпунктах 1) – 13) пункта 1 настоящей статьи, определяется уполномоченным органом.
3. Юридическое лицо, заключившее специальный инвестиционный контракт с уполномоченным органом по заключению специальных инвестиционных контрактов, определяемым Правительством Республики Казахстан, вправе применить освобождение от уплаты налога на добавленную стоимость при импорте товаров в составе готовой продукции, произведенной на территории специальной экономической зоны или свободного склада, при соблюдении следующих условий:
1) товары помещены под таможенную процедуру свободной таможенной зоны или свободного склада;
2) таможенная процедура свободной таможенной зоны или свободного склада завершается таможенной процедурой выпуска для внутреннего потребления;
3) осуществлена идентификация товаров в составе готовой продукции в соответствии с таможенным законодательством Республики Казахстан.
Сноска. Статья 399 с изменениями, внесенными законами РК от 26.12.2018 № 203-VI (вводится в действие с 01.01.2019); от 28.12.2018 № 211-VI (вводится в действие по истечении десяти календарных дней после дня его первого официального опубликования); от 02.04.2019 № 241-VI (вводится в действие с 01.07.2019); от 10.12.2020 № 382-VI (порядок введения в действие см. ст. 2); от 24.06. 2021 № 53-VII (вводится в действие по истечении десяти календарных дней после дня его первого официального опубликования); от 21.12.2022 № 165-VII (порядок введения в действие см. ст. 2).
Глава 46. ЗАЧЕТ ПО НАЛОГУ НА ДОБАВЛЕННУЮ СТОИМОСТЬ
Статья 400. Налог на добавленную стоимость, относимый в зачет
1. Суммой налога на добавленную стоимость, относимого в зачет получателем товаров, работ, услуг, являющимся плательщиком налога на добавленную стоимость в соответствии с подпунктом 1) пункта 1 статьи 367 настоящего Кодекса, признается сумма налога на добавленную стоимость, подлежащего уплате за полученные товары, работы и услуги, если они используются или будут использоваться в целях облагаемого оборота по реализации, и указанного:
1) в случае приобретения товаров, работ, услуг, за исключением случаев, предусмотренных подпунктами 2) и 3) настоящего пункта, – в одном из следующих документов с выделенным в нем налогом на добавленную стоимость и указанием идентификационного номера налогоплательщика-поставщика:
счете-фактуре или проездном билете (на бумажном носителе, в электронном билете, электронном проездном документе), выписанном поставщиком, являющимся плательщиком налога на добавленную стоимость на дату выписки счета-фактуры;
документе, подтверждающем факт проезда на воздушном транспорте, выписанном поставщиком, являющимся плательщиком налога на добавленную стоимость на дату выписки таких документов;
счете-фактуре, выписанном в соответствии со статьей 414 настоящего Кодекса, в части, приходящейся на стоимость полученных в отчетном налоговом периоде периодических печатных изданий и иной продукции средств массовой информации, включая размещенные на интернет-ресурсе в общедоступных телекоммуникационных сетях;
счете-фактуре, выписанном структурным подразделением уполномоченного органа в области государственного материального резерва при выпуске товаров из государственного материального резерва. Сумма налога на добавленную стоимость определяется по следующей формуле, но не более суммы налога, уплаченного при поставке данных товаров в государственный материальный резерв:
НДС = СВТ х СтНДС / (100 % + СтНДС), где:
НДС – сумма налога на добавленную стоимость;
СВТ – стоимость выпускаемых товаров, облагаемых налогом на добавленную стоимость;
СтНДС – ставка налога на добавленную стоимость, действующая на дату выпуска товаров;
2) в случае импорта товаров – в декларации на товары, оформленной в соответствии с таможенным законодательством Евразийского экономического союза и (или) таможенным законодательством Республики Казахстан, но не более суммы налога, уплаченного в бюджет Республики Казахстан и не подлежащего возврату в соответствии с условиями таможенной процедуры, или в заявлении (заявлениях) о ввозе товаров и уплате косвенных налогов, но не более суммы налога, уплаченного в бюджет Республики Казахстан и не подлежащего возврату;
3) в случае приобретения работ, услуг, предоставленных нерезидентом и являющихся оборотом покупателя таких работ, услуг, – в декларации по налогу на добавленную стоимость, но не более суммы налога, отраженной в платежном документе или документе, выданном налоговым органом по форме, установленной уполномоченным органом, и подтверждающем уплату налога на добавленную стоимость;
4) в случае постановки лица, указанного в подпункте 1) пункта 1 статьи 367 настоящего Кодекса, на регистрационный учет по налогу на добавленную стоимость – в налоговом регистре, составленном таким лицом в соответствии с пунктом 4 статьи 215 настоящего Кодекса, по товарам, приобретенным, созданным, построенным налогоплательщиком до даты постановки на регистрационный учет по налогу на добавленную стоимость и имеющимся на праве собственности на дату постановки на регистрационный учет по налогу на добавленную стоимость, при условии подтверждения такой суммы согласно одному из подпунктов 1) и 2) настоящего пункта.
Положения настоящего подпункта не применяются в отношении товаров, полученных вновь созданным юридическим лицом в результате реорганизации.
2. В случае получения физическим лицом услуг, расходы по которым признаны расходами плательщика налога на добавленную стоимость в соответствии международными стандартами финансовой отчетности и законодательством Республики Казахстан о бухгалтерском учете и финансовой отчетности и подлежат отнесению на вычеты как компенсации при служебных командировках в соответствии со статьей 244 настоящего Кодекса, такой плательщик налога на добавленную стоимость имеет право на зачет суммы налога на добавленную стоимость по указанным услугам при соблюдении требований подпункта 1) пункта 1 настоящей статьи.
3. При наличии нескольких оснований для отнесения в зачет сумм налога на добавленную стоимость, указанных в пункте 1 настоящей статьи, зачет суммы налога на добавленную стоимость производится однократно по наиболее раннему основанию.
4. При наступлении случаев, предусмотренных статьями 403, 404 и 405 настоящего Кодекса, в том же налоговом периоде, который определен в соответствии со статьей 401 настоящего Кодекса, размер налога на добавленную стоимость, относимого в зачет, определяется с учетом исключения, увеличения или уменьшения, предусмотренных статьями 403, 404 и 405 настоящего Кодекса.
5. Зачет по налогу на добавленную стоимость подлежит уменьшению на сумму превышения налога на добавленную стоимость после выполнения требования, указанного в подпункте 3) части первой пункта 1 статьи 369 настоящего Кодекса, в связи со снятием налогоплательщика с регистрационного учета по налогу на добавленную стоимость, в том налоговом периоде, в котором предоставлена ликвидационная декларация по налогу на добавленную стоимость.
6. Сумма налога на добавленную стоимость, не соответствующего положениям настоящей статьи, а также налога на добавленную стоимость, указанного в статье 402 настоящего Кодекса, признается суммой налога на добавленную стоимость, не относимого в зачет, за исключением случая, предусмотренного пунктом 9 настоящей статьи.
7. Действовал до 01.01.2022 в соответствии с Законом РК от 27.12.2019 № 295-VІ.
8. Действовал с 01.01.2022 до 01.01.2024 в соответствии с Законом РК от 21.12.2022 № 165-VII.
9. Сумма налога на добавленную стоимость по товарам, работам, услугам, использованным или которые будут использоваться Национальным оператором инфраструктуры для оказания железнодорожному перевозчику, осуществляющему деятельность по перевозке пассажиров, багажа, грузобагажа, почтовых отправлений, услуг магистральной железнодорожной сети при перевозке пассажиров железнодорожным транспортом на безвозмездной основе, в том числе с применением временного понижающего коэффициента в размере 0 к тарифу на регулируемые услуги магистральной железнодорожной сети при перевозке пассажиров железнодорожным транспортом в соответствии с законодательством Республики Казахстан, подлежит отнесению в зачет при соблюдении условий, установленных пунктом 1 настоящей статьи.
Сноска. Статья 400 с изменениями, внесенными законами РК от 02.04.2019 № 241-VI (вводится в действие с 01.01.2019); от 27.12.2019 № 295-VІ (порядок введения в действие см. ст. 2); от 10.12.2020 № 382-VI (порядок введения в действие см. ст. 2); от 21.12.2022 № 165-VII (действовал с 01.01.2022 до 01.01.2024); от 12.12.2023 № 45-VIII (вводится в действие с 01.01.2024).
Статья 401. Дата отнесения в зачет налога на добавленную стоимость
1. Налог на добавленную стоимость, относимый в зачет, учитывается в том налоговом периоде, на который приходится наиболее поздняя из следующих дат:
1) дата получения товаров, работ, услуг;
2) дата выписки счета-фактуры или иного документа, являющегося основанием для отнесения в зачет налога на добавленную стоимость в соответствии с пунктом 1 статьи 400 настоящего Кодекса.
В случае выписки исправленного счета-фактуры, сумма налога на добавленную стоимость учитывается в том налоговом периоде, в котором был учтен такой налог по аннулированному счету-фактуре, за исключением случаев, когда даты совершения оборота, указанные в аннулированном счете-фактуре и исправленном счете-фактуре, отличаются и приходятся на разные налоговые периоды.
В случае если в счете-фактуре, выписанном в электронной форме, указана дата выписки на бумажном носителе, то такая дата признается датой выписки счета-фактуры для целей настоящего пункта.
Положения настоящего пункта не применяются в случаях, установленных пунктами 2 – 6 настоящей статьи.
2. В случае, предусмотренном подпунктом 2) пункта 1 статьи 400 настоящего Кодекса, налог на добавленную стоимость, относимый в зачет, учитывается в том налоговом периоде, на который приходится наиболее поздняя из следующих дат:
1) дата осуществления платежа в бюджет, в том числе путем проведения зачетов в порядке, определенном статьями 102 и 103 настоящего Кодекса, в счет уплаты налога;
2) дата таможенного оформления, произведенного в соответствии с таможенным законодательством Евразийского экономического союза и (или) таможенным законодательством Республики Казахстан, или последний день налогового периода, в заявлении о ввозе товаров и уплате косвенных налогов за который исчислен такой налог.
3. В случае, предусмотренном подпунктом 3) пункта 1 статьи 400 настоящего Кодекса, налог на добавленную стоимость, относимый в зачет, учитывается в том налоговом периоде, на который приходится наиболее поздняя из следующих дат:
1) дата осуществления платежа в бюджет, в том числе путем проведения зачетов в порядке, определенном статьями 102 и 103 настоящего Кодекса, в счет уплаты налога;
2) последний день налогового периода, в декларации по налогу на добавленную стоимость за который исчислен такой налог.
4. В случае, предусмотренном подпунктом 4) пункта 1 статьи 400 настоящего Кодекса, налог на добавленную стоимость, относимый в зачет, учитывается в том налоговом периоде, на который приходится дата постановки на регистрационный учет по налогу на добавленную стоимость.
5. По дополнительному счету-фактуре налог на добавленную стоимость, относимый в зачет, учитывается в том налоговом периоде, на который приходится дата выписки такого счета-фактуры. При этом сумма налога на добавленную стоимость по дополнительному счету-фактуре, предусмотренному в части третьей пункта 1 статьи 419 настоящего Кодекса учитывается в том налоговом периоде, на который приходится дата выписки дополнительного счета-фактуры, признанного аннулированным.
6. Налог на добавленную стоимость, относимый в зачет, при приобретении электрической и (или) тепловой энергии, системных услуг в соответствии с Законом Республики Казахстан «Об электроэнергетике» учитывается в том налоговом периоде, на который приходится дата совершения оборота по реализации таких товаров, работ, услуг.
Сноска. Статья 401 с изменениями, внесенными Законом РК от 10.12.2020 № 382-VI (вводится в действие с 01.01.2021).
Статья 402. Налог на добавленную стоимость, не относимый в зачет
1. Налогом на добавленную стоимость, не относимым в зачет, признается налог на добавленную стоимость, который подлежит уплате в связи с получением:
1) товаров, работ, услуг, которые используются или будут использоваться в целях необлагаемого оборота, если плательщиком налога на добавленную стоимость применяется метод через ведение раздельного учета в соответствии со статьями 407 и 409 настоящего Кодекса;
2) легковых автомобилей, учтенных (учитываемых) в качестве основных средств;
3) товаров, работ, услуг, по которым:
в документе, являющемся основанием для отнесения в зачет, не отражены или некорректно отражен идентификационный номер лица, выписавшего такой документ, и (или) лица, которому выписан такой документ;
в счете-фактуре не отражены данные о дате выписки документа, номере счета-фактуры, наименовании товара, работы, услуги, размере облагаемого оборота;
счет-фактура не заверен в соответствии с требованиями статьи 412 настоящего Кодекса;
счет-фактура выписан на бумажном носителе в нарушение требований пункта 1 статьи 412 настоящего Кодекса, за исключением случая, предусмотренного подпунктом 1) пункта 2 статьи 412 настоящего Кодекса;
счет-фактура выписан на бумажном носителе в соответствии с подпунктом 2) пункта 2 и пунктом 2-1 статьи 412 настоящего Кодекса и не введен в информационную систему электронных счетов-фактур;
4) товаров, работ, услуг, по гражданско-правовой сделке оплата которых произведена за наличный расчет с учетом налога на добавленную стоимость независимо от периодичности платежа и превышает 1 000-кратный размер месячного расчетного показателя, установленного законом о республиканском бюджете и действующего на дату совершения платежа;
5) товаров, работ, услуг, которые используются или будут использоваться на строительство жилого здания, предназначенного для реализации в виде оборотов как освобождаемых, так и облагаемых налогом на добавленную стоимость;
6) товаров, работ, услуг, приобретенных за счет средств ликвидационного фонда, размещенного на специальном депозитном счете в банке на территории Республики Казахстан в соответствии со статьями 252 и 253 настоящего Кодекса;
7) товаров, работ, услуг, приобретенных автономными организациями образования, определенными пунктом 1 статьи 291 настоящего Кодекса, за счет полученного ими целевого вклада, предусмотренного бюджетным законодательством Республики Казахстан, или финансирования на безвозмездной основе из средств такого целевого вклада;
8) товаров, работ, услуг, приобретенных оператором лотереи, которые используются или будут использоваться в целях проведения лотерей.
2. Не признается налогом на добавленную стоимость, относимым в зачет:
1) у комиссионера – налог на добавленную стоимость, подлежащий уплате по товарам, работам, услугам, приобретенным для комитента на условиях, соответствующих условиям договора комиссии;
2) у экспедитора – налог на добавленную стоимость, подлежащий уплате по работам, услугам, приобретенным у перевозчика и (или) других поставщиков при исполнении обязанностей по договору транспортной экспедиции для стороны, являющейся клиентом по такому договору.
3. Налог на добавленную стоимость по товарам, работам, услугам, которые используются или будут использоваться на строительство жилого здания, предназначенного для реализации в виде оборотов как освобождаемых, так и облагаемых налогом на добавленную стоимость, учитывается плательщиком налога на добавленную стоимость, осуществляющим строительство жилого здания, отдельно в налоговом регистре для целей, указанных в статье 410 настоящего Кодекса, и отражается в декларации до:
наступления случая реализации или передачи в аренду части жилого здания, состоящей исключительно из нежилых помещений;
приемки в эксплуатацию такого жилого здания в соответствии с законодательством Республики Казахстан.
Такой налог на добавленную стоимость учитывается в дальнейшем в порядке, определенном статье 410 настоящего Кодекса.
При реализации такого объекта строительства или его части до наступления случаев, указанных в части первой настоящего пункта, в виде объекта незавершенного строительства сумма налога на добавленную стоимость, учитываемого отдельно на дату такой реализации, уменьшается на сумму налога на добавленную стоимость, разрешенного к отнесению в зачет, определяемого в соответствии с пунктом 1 статьи 410 настоящего Кодекса.
Сноска. Статья 402 с изменениями, внесенными законами РК от 10.12.2020 № 382-VI (вводится в действие с 01.01.2021); от 21.12.2022 № 165-VII (вводится в действие с 01.01.2023).
Статья 403. Исключение из суммы налога на добавленную стоимость, относимого в зачет
Налог на добавленную стоимость, ранее признанный как налог на добавленную стоимость, относимый в зачет, подлежит исключению в следующих случаях:
1) по сделке (операции), по которой действие (действия) по выписке счета-фактуры и (или) иного документа признано (признаны) судом или постановлением органа уголовного преследования о прекращении досудебного расследования по нереабилитирующим основаниям совершенным (совершенными) субъектом частного предпринимательства без фактического выполнения работ, оказания услуг, отгрузки товаров;
2) по сделке, признанной недействительной на основании вступившего в законную силу решения суда;
3) в части суммы, ошибочно отраженной в документе, являющемся основанием для отнесения в зачет налога на добавленную стоимость;
4) по сделкам, совершенным без фактического выполнения работ, оказания услуг, отгрузки товаров с налогоплательщиком, снятым с регистрационного учета по налогу на добавленную стоимость на основании решения налогового органа в соответствии с подпунктами 2) и 3) пункта 6 статьи 85 настоящего Кодекса, руководитель и (или) учредитель (участник) которого не причастен к регистрации (перерегистрации) и (или) осуществлению финансово-хозяйственной деятельности такого юридического лица, установленных решением суда, вступившим в законную силу, за исключением сделок, по которым судом установлено фактическое получение товаров, работ, услуг от такого налогоплательщика.
Исключение из суммы налога на добавленную стоимость, относимого в зачет, предусмотренное настоящей статьей, производится в том налоговом периоде, в декларации за который налог на добавленную стоимость признан как налог на добавленную стоимость, относимый в зачет.
Сноска. Статья 403 с изменением, внесенным Законом РК от 10.12.2020 № 382-VI (вводится в действие с 01.01.2021).
Статья 404. Корректировка суммы налога на добавленную стоимость, относимого в зачет
1. Корректировкой суммы налога на добавленную стоимость, относимого в зачет, является увеличение или уменьшение суммы налога на добавленную стоимость, относимого в зачет, в случаях, установленных настоящей статьей и статьей 405 настоящего Кодекса.
2. Уменьшение суммы налога на добавленную стоимость, относимого в зачет, производится по товарам, работам, услугам, по которым налог на добавленную стоимость ранее был отнесен в зачет, в следующих случаях:
1) по товарам, работам, услугам, использованным не в целях облагаемого оборота, за исключением использованных в целях необлагаемого оборота, в связи с наличием которого налогоплательщиком применен пропорциональный метод в соответствии со статьями 407 и 408 настоящего Кодекса;
2) по товарам в случае их порчи, утраты (за исключением случаев, возникших в результате чрезвычайных ситуаций и (или) в период действия чрезвычайного положения). При этом порча товара означает ухудшение всех или отдельных качеств (свойств) товара, в результате которого данный товар не может быть использован для целей облагаемого оборота. Под утратой товара понимается событие, в результате которого произошли уничтожение или потеря товара. Не является утратой потеря товаров, понесенная налогоплательщиком в пределах норм естественной убыли, установленных законодательством Республики Казахстан;
При порче, утрате товаров в случаях, возникших в результате чрезвычайных ситуаций, уменьшение суммы налога на добавленную стоимость, относимого в зачет, не производится при наличии подтверждения уполномоченного органа в сфере гражданской защиты о факте возникновения чрезвычайной ситуации по товарам, по которым имеются:
документ, подтверждающий факты порчи, утраты товара, оформленный в соответствии с законодательством Республики Казахстан о бухгалтерском учете и финансовой отчетности;
сведения, отраженные в налоговом регистре, составленном в соответствии с пунктом 7-1 статьи 215 настоящего Кодекса.
При порче, утрате товаров в случаях, возникших в период действия чрезвычайного положения, уменьшение суммы налога на добавленную стоимость, относимого в зачет, не производится при наличии копии постановления органа, ведущего уголовное преследование, о признании налогоплательщика потерпевшим по уголовным делам, связанным с чрезвычайным положением, по товарам (за исключением товаров, по которым получены деньги на возмещение имущественного вреда, причиненного в период действия чрезвычайного положения, по решению комиссии, созданной местным исполнительным органом, при включении налогоплательщика в реестр, формируемый указанным местным исполнительным органом), по которым имеются:
документ, подтверждающий факты порчи, утраты товара, оформленный в соответствии с законодательством Республики Казахстан о бухгалтерском учете и финансовой отчетности;
сведения, отраженные в налоговом регистре, составленном в соответствии с пунктом 7-1 статьи 215 настоящего Кодекса;
3) по сверхнормативным потерям, понесенным субъектом естественной монополии;
4) по имуществу, переданному в качестве вклада в уставный капитал;
5) по объемам полезных ископаемых, передаваемых недропользователем в счет исполнения налогового обязательства в натуральной форме;
6) при наступлении случаев, предусмотренных пунктом 2 статьи 383 настоящего Кодекса.
3. Увеличение суммы налога на добавленную стоимость, относимого в зачет, производится при наступлении случаев, предусмотренных пунктом 2 статьи 383 настоящего Кодекса.
Увеличение или уменьшение суммы налога на добавленную стоимость, относимого в зачет, при наступлении случаев, предусмотренных пунктом 2 статьи 383 настоящего Кодекса, производится в размере суммы налога на добавленную стоимость, указанного в дополнительном счете-фактуре, выписанном поставщиком товаров, работ, услуг в связи с корректировкой размера облагаемого оборота в сторону увеличения или уменьшения.
4. Корректировка суммы налога на добавленную стоимость, относимого в зачет, в случаях, установленных подпунктами 1), 2), 3), 4) и 5) пункта 2 и пунктом 3 настоящей статьи, производится в том налоговом периоде, в котором наступили такие случаи.
Корректировка суммы налога на добавленную стоимость, относимого в зачет, в случае, установленном подпунктом 6) пункта 2 настоящей статьи, производится в налоговом периоде, определенном пунктом 5 статьи 401 настоящего Кодекса.
5. В случаях, установленных подпунктами 1) – 5) пункта 2 настоящей статьи, корректировка суммы налога на добавленную стоимость, относимого в зачет, по приобретенным, построенным, созданным товарам производится в размере суммы налога на добавленную стоимость, определяемого путем применения ставки налога на добавленную стоимость, действующей на дату осуществления корректировки, к балансовой стоимости товаров по данным бухгалтерского учета на эту дату без учета переоценки и обесценения.
6. В случае если оборот по реализации по передаче права владения и (или) пользования, и (или) распоряжения частью делимого земельного участка, по которому до совершения такого оборота по реализации налог на добавленную стоимость был отнесен в зачет, является освобожденным от налога на добавленную стоимость в соответствии со статьей 396 настоящего Кодекса, по которому осуществляется ведение раздельного учета в соответствии со статьей 409 настоящего Кодекса, то корректировка суммы налога на добавленную стоимость, относимого в зачет, производится на сумму налога на добавленную стоимость, приходящегося на такой земельный участок, которая определяется по следующей формуле:
НДСкорр = НДСовз х Sзем /Sобщ, где:
НДСкорр – сумма корректировки налога на добавленную стоимость;
НДСовз – сумма налога на добавленную стоимость, ранее признанного относимым в зачет;
Sобщ – общая площадь земельного участка до его деления;
Sзем – площадь земельного участка, оборот по передаче права владения и (или) пользования, и (или) распоряжения которым освобождается от налога на добавленную стоимость в соответствии со статьей 396 настоящего Кодекса, по которому осуществляется ведение раздельного учета в соответствии со статьей 409 настоящего Кодекса.
7. Не производится корректировка, предусмотренная настоящей статьей, в случаях, указанных в пункте 5 статьи 372 настоящего Кодекса, за исключением указанных в подпунктах 1) и 6) пункта 5 статьи 372 настоящего Кодекса.
8. Сумма налога на добавленную стоимость, относимого в зачет, с учетом корректировки, предусмотренной настоящей статьей, может иметь отрицательное значение.
Сноска. Статья 404 с изменениями, внесенными законами РК от 02.04.2019 № 241-VI (вводится в действие с 01.01.2018); от 11.07.2022 № 135-VII (вводится в действие с 01.01.2022); от 21.12.2022 № 165-VII (порядок введения в действие см. ст. 4).
Статья 405. Корректировка сумм налога на добавленную стоимость, относимого в зачет, по сомнительным обязательствам, при списании обязательств
1. Если часть или весь размер обязательства по приобретенным товарам, работам, услугам признаются сомнительными в соответствии со статьей 230 настоящего Кодекса, то производится корректировка суммы налога на добавленную стоимость, относимого в зачет, в сторону уменьшения на сумму налога на добавленную стоимость, ранее признанного относимым в зачет по таким товарам, работам, услугам, в размере, соответствующем размеру сомнительного обязательства, кроме налога на добавленную стоимость, ранее признанного относимым в зачет на основании подпунктов 2) и 3) пункта 1 статьи 400 настоящего Кодекса. Корректировка, предусмотренная настоящим пунктом, производится в налоговом периоде, в котором истек трехлетний период, исчисляемый со дня:
следующего за днем окончания срока исполнения обязательства по приобретенным товарам, работам, услугам, срок исполнения которого определен;
передачи товара, выполнения работ, оказания услуг по обязательству по приобретенным товарам, работам, услугам, срок исполнения которого не определен.
2. В случае, если после корректировки суммы налога на добавленную стоимость, относимого в зачет, в сторону уменьшения плательщиком налога на добавленную стоимость произведена оплата за товары, работы, услуги, производится корректировка суммы налога на добавленную стоимость, относимого в зачет, в сторону увеличения на сумму налога по указанным товарам, работам, услугам в размере, соответствующем сумме оплаты, в том налоговом периоде, в котором была произведена оплата.
3. При списании обязательств в случаях, указанных в пункте 1 статьи 229 настоящего Кодекса, по которым не произведена корректировка в соответствии с пунктом 1 настоящей статьи, корректировка суммы налога на добавленную стоимость, относимого в зачет, в сторону уменьшения производится в размере суммы налога на добавленную стоимость, ранее признанного относимым в зачет, подлежащего уплате в составе такого обязательства. Корректировка, предусмотренная настоящим пунктом, производится в том периоде, в котором наступили такие случаи.
4. В случае если обязательство по приобретенным товарам, работам, услугам на дату вынесения решения регистрирующего органа об исключении из Национального реестра бизнес-идентификационных номеров поставщика – плательщика налога на добавленную стоимость, признанного банкротом, не удовлетворено полностью или частично, то корректировка суммы налога на добавленную стоимость, относимого в зачет, в сторону уменьшения производится в размере суммы налога на добавленную стоимость, ранее признанного относимым в зачет, подлежащего уплате по таким товарам, работам, услугам, если такая корректировка не произведена в соответствии с пунктом 1 настоящей статьи. Корректировка, предусмотренная настоящим пунктом, производится в том налоговом периоде, в котором вынесено указанное решение регистрирующего органа.
5. Корректировка, предусмотренная настоящей статьей, производится по ставке налога на добавленную стоимость, указанной в счете-фактуре, выписанном поставщиком товаров, работ, услуг при совершении оборота по реализации товаров, работ, услуг, по которым производится корректировка.
Сноска. Статья 405 с изменением, внесенным Законом РК от 02.04.2019 № 241-VI (вводится в действие с 01.07.2019).
Статья 406. Налог на добавленную стоимость, относимый в зачет, с учетом корректировки
1. Сумма налога на добавленную стоимость, относимого в зачет, с учетом корректировки исчисляется за налоговый период в следующем порядке:
сумма налога на добавленную стоимость, относимого в зачет, определенная в соответствии со статьей 400 настоящего Кодекса,
минус
сумма корректировки налога на добавленную стоимость, относимого в зачет, предусмотренной статьями 403, 404 и 405 настоящего Кодекса, в сторону уменьшения,
плюс
сумма корректировки налога на добавленную стоимость, относимого в зачет, предусмотренной пунктом 3 статьи 404 и пунктом 2 статьи 405 настоящего Кодекса, в сторону увеличения.
2. Сумма налога на добавленную стоимость, относимого в зачет, с учетом корректировки, определенная в соответствии с настоящей статьей, может иметь отрицательное значение.
Статья 407. Методы определения сумм налога на добавленную стоимость, разрешенного к отнесению в зачет
1. Если иное не предусмотрено пунктом 2 настоящей статьи, плательщик налога на добавленную стоимость, кроме указанного в пункте 3 настоящей статьи, определяет сумму налога на добавленную стоимость, разрешенного к отнесению в зачет, одним из следующих методов:
пропорциональным методом;
через ведение раздельного учета сумм налога на добавленную стоимость по товарам, работам, услугам, которые используются или будут использоваться для целей облагаемого и необлагаемого оборотов.
2. Следующие лица, использующие пропорциональный метод отнесения в зачет, вправе определять суммы налога на добавленную стоимость, разрешенного к отнесению в зачет, по отдельным видам оборотов через ведение раздельного учета:
1) банки второго уровня, организации, осуществляющие отдельные виды банковских операций, организации, осуществляющие микрофинансовую деятельность (за исключением кредитных товариществ и ломбардов), – по оборотам, связанным с получением и реализацией залогового имущества (товаров);
Примечание РЦПИ!
Подпункт 2) действует до 01.01.2027 в соответствии с Законом РК от 25.12.2017 № 121-VI.
2) организация, специализирующаяся на улучшении качества кредитных портфелей банков второго уровня, единственным акционером которой является Правительство Республики Казахстан, использующая пропорциональный метод отнесения в зачет, – по оборотам, связанным с приобретением, владением и (или) реализацией:
залогового имущества (товара), полученного от банка по приобретенным у такого банка правам требования по активам;
имущества (товара), перешедшего в собственность банка в результате обращения взыскания на заложенное имущество и полученного организацией, специализирующейся на улучшении качества кредитных портфелей банков второго уровня, единственным акционером которой является Правительство Республики Казахстан, по приобретенным у такого банка правам требования по сомнительным и безнадежным активам;
Примечание РЦПИ!
Подпункт 3) действует до 01.01.2027 в соответствии с Законом РК от 25.12.2017 № 121-VI.
3) дочерняя организация банка, приобретающая сомнительные и безнадежные активы родительского банка, – по оборотам, связанным с приобретением, владением и (или) реализацией:
залогового имущества (товара), полученного в результате обращения взыскания по приобретенным правам требования по сомнительным и безнадежным активам от родительского банка;
имущества (товара), перешедшего в собственность родительского банка в результате обращения взыскания на заложенное имущество и приобретенного дочерней организацией банка от родительского банка;
4) лизингодатель – по оборотам, связанным с передачей имущества в финансовый лизинг. Затраты лизингодателя, связанные с приобретением имущества, подлежащего передаче в финансовый лизинг, рассматриваются как затраты, понесенные для целей облагаемого оборота;
5) исламский банк – по финансированию физических и юридических лиц в качестве торгового посредника путем предоставления коммерческого кредита без условия о последующей продаже товара третьему лицу в соответствии с законодательством Республики Казахстан о банках и банковской деятельности;
6) плательщик налога на добавленную стоимость – по операциям купли-продажи товара в рамках финансирования физических и юридических лиц в качестве торгового посредника путем предоставления коммерческого кредита на условиях последующей продажи товара третьему лицу в соответствии с законодательством Республики Казахстан о банках и банковской деятельности;
7) индивидуальные предприниматели и юридические лица, имеющие лицензию на туристскую операторскую деятельность (туроператорскую деятельность) в соответствии с законодательством Республики Казахстан о туристской деятельности, ведут учет по товарам, работам, услугам в целях оказания услуг туроператора отдельно от остальной деятельности. Учет по товарам, работам, услугам в целях оказания услуг туроператора ведется раздельно по обороту, освобожденному от налога на добавленную стоимость в соответствии с подпунктом 15) статьи 394 настоящего Кодекса, и облагаемому обороту.
3. Лицо, осуществляющее строительство объектов, обороты по реализации которых освобождаются от налога на добавленную стоимость в соответствии с пунктом 1 статьи 396 настоящего Кодекса, обязано осуществлять ведение раздельного учета сумм налога на добавленную стоимость по товарам, работам, услугам, которые используются или будут использоваться:
для целей оборотов, освобождаемых от налога на добавленную стоимость в соответствии с пунктом 1 статьи 396 настоящего Кодекса, и прочего оборота;
в процессе строительства каждого объекта строительства – для целей применения пункта 3 статьи 402 и статьи 410 настоящего Кодекса.
По прочему обороту такой плательщик налога на добавленную стоимость вправе определять сумму налога на добавленную стоимость, разрешенного к отнесению в зачет, пропорциональным методом в соответствии со статьей 408 настоящего Кодекса.
Сноска. Статья 407 с изменением, внесенным Законом РК от 03.07.2019 № 262-VI (вводится в действие с 01.01.2020).
Статья 408. Порядок определения сумм налога на добавленную стоимость, разрешенного к отнесению в зачет, пропорциональным методом
1. По пропорциональному методу сумма налога на добавленную стоимость, разрешенного к отнесению в зачет, за налоговый период определяется по следующей формуле:
НДСрз = НДСзач х О обл/ О общ, где:
НДСрз – сумма налога на добавленную стоимость, разрешенного к отнесению в зачет. Данная сумма может иметь отрицательное значение;
НДСзач – сумма налога на добавленную стоимость, относимого в зачет, с учетом корректировки. Данная сумма может иметь отрицательное значение;
О обл – сумма облагаемого оборота;
О общ – общая сумма оборота, определяемая как сумма облагаемых и необлагаемых оборотов.
При этом лица, указанные в пункте 2 статьи 407 настоящего Кодекса, при определении значений О обл и О общ не учитывают обороты, по которым осуществляется ведение раздельного учета в соответствии со статьей 409 настоящего Кодекса.
При отсутствии в налоговом периоде оборота по реализации сумма налога на добавленную стоимость, разрешенного к отнесению в зачет, определяется в размере суммы налога на добавленную стоимость, относимого в зачет, с учетом корректировки.
2. Налог на добавленную стоимость, не разрешенный к отнесению в зачет, за налоговый период определяется по следующей формуле:
НДСнз = НДСзач – НДСрз, где:
НДСнз – сумма налога на добавленную стоимость, не разрешенного к отнесению в зачет. Данная сумма может иметь отрицательное значение;
НДСзач – сумма налога на добавленную стоимость, относимого в зачет, с учетом корректировки. Данная сумма может иметь отрицательное значение;
НДСрз – сумма налога на добавленную стоимость, разрешенного к отнесению в зачет, определяемая в соответствии с пунктом 1 настоящей статьи. Данная сумма может иметь отрицательное значение.
Сумма налога на добавленную стоимость, не разрешенного к отнесению в зачет, в том числе ее отрицательное значение, учитывается в порядке, определенном пунктом 9 статьи 243 настоящего Кодекса.
Статья 409. Порядок определения сумм налога на добавленную стоимость, разрешенного к отнесению в зачет, через ведение раздельного учета
1. При определении суммы налога на добавленную стоимость, разрешенного к отнесению в зачет, через ведение раздельного учета плательщик налога на добавленную стоимость ведет раздельный учет сумм налога на добавленную стоимость по полученным товарам, работам, услугам, используемым для целей облагаемых и необлагаемых оборотов.
2. Кроме случаев, предусмотренных статьей 410 настоящего Кодекса, при ведении раздельного учета:
1) сумма налога на добавленную стоимость, разрешенного к отнесению в зачет, определяется в размере налога на добавленную стоимость, относимого в зачет, по полученным товарам, работам, услугам, используемым для целей облагаемого оборота, с учетом корректировки;
2) сумма налога на добавленную стоимость, не разрешенного к отнесению в зачет, определяется в размере налога на добавленную стоимость, не относимого в зачет, по полученным товарам, работам, услугам, используемым для целей необлагаемого оборота;
3) сумма налога на добавленную стоимость по полученным товарам, работам, услугам, используемым одновременно для целей облагаемых и необлагаемых оборотов, распределяется на сумму налога на добавленную стоимость, разрешенного к отнесению в зачет и не разрешенного к отнесению в зачет, определяемых по следующим формулам:
НДСрз = НДСзач х О обл/ О общ;
НДСнз = НДСзач — НДСрз, где:
НДСрз – сумма налога на добавленную стоимость, разрешенного к отнесению в зачет. Данная сумма может иметь отрицательное значение;
НДСзач – сумма налога на добавленную стоимость, относимого в зачет, с учетом корректировки по товарам, работам, услугам, используемым одновременно для целей облагаемых и необлагаемых оборотов. Данная сумма может иметь отрицательное значение;
О обл – сумма облагаемого оборота за налоговый период. При этом лица, указанные в пункте 2 статьи 407 настоящего Кодекса, определяют О обл как обороты, по которым осуществляется ведение раздельного учета в соответствии с настоящей статьей;
О общ – общая сумма оборота, определяемая как сумма облагаемых и необлагаемых оборотов;
НДСнз – сумма налога на добавленную стоимость, не разрешенного к отнесению в зачет. Данная сумма может иметь отрицательное значение.
Сумма налога на добавленную стоимость, не разрешенного к отнесению в зачет, учитывается в порядке, определенном пунктом 9 статьи 243 настоящего Кодекса.
Статья 410. Порядок определения сумм налога на добавленную стоимость, разрешенного к отнесению в зачет, плательщиками налога на добавленную стоимость, осуществляющими строительство жилого здания (части жилого здания) или деятельность по оказанию услуг казино, зала игровых автоматов, тотализатора и букмекерской конторы
Сноска. Заголовок статьи 410 в редакции Закона РК от 02.04.2019 № 241-VI (вводится в действие с 01.01.2019).
1. В случае реализации объекта незавершенного строительства жилого здания по товарам, работам, услугам, использованным в процессе строительства данного объекта, налог на добавленную стоимость, разрешенный к отнесению в зачет, определяется в соответствии с данной статьей и учитывается в том налоговом периоде, в котором осуществляется реализация объекта незавершенного строительства:
1) при реализации объекта незавершенного строительства, ранее предназначенного для реализации в виде оборота, освобождаемого от налога на добавленную стоимость в соответствии со статьей 396 настоящего Кодекса, – в размере налога на добавленную стоимость, относимого в зачет, по указанным товарам по ставке, действующей на дату их приобретения;
2) при реализации объекта незавершенного строительства, являющегося частью объекта незавершенного строительства, ранее предназначенного для реализации в виде оборотов как освобождаемых, так и облагаемых налогом на добавленную стоимость, – в размере налога на добавленную стоимость, приходящегося на реализуемую часть объекта незавершенного строительства, исчисляемого по следующей формуле:
НДС рзнс = НДСуо х Sчнс / Sжз, где:
НДС рзнс – налог на добавленную стоимость, разрешенный к отнесению в зачет, по части объекта незавершенного строительства, ранее предназначенного для реализации в виде оборотов как освобождаемых, так и облагаемых налогом на добавленную стоимость;
НДСуо – сумма налога на добавленную стоимость по товарам, работам, услугам, использованным на строительство, учитываемого отдельно на дату реализации в соответствии с пунктом 3 статьи 402 настоящего Кодекса;
Sчнс – площадь объекта незавершенного строительства по проектно-сметной документации, являющегося частью объекта незавершенного строительства, ранее предназначенного для реализации в виде оборотов как освобождаемых, так и облагаемых налогом на добавленную стоимость;
Sнс – общая площадь объекта незавершенного строительства, ранее предназначенного для реализации в виде оборотов как освобождаемых, так и облагаемых налогом на добавленную стоимость.
2. Плательщик налога на добавленную стоимость, осуществляющий строительство жилого здания (части жилого здания), вправе в налоговом периоде, в котором наступил случай реализации или передачи в аренду части жилого здания, состоящей исключительно из нежилых помещений, но не ранее даты приемки в эксплуатацию жилого здания, определить сумму налога на добавленную стоимость, разрешенного к отнесению в зачет, по товарам, работам, услугам, использованным на строительство нежилого помещения, являющегося частью такого жилого здания (части жилого здания), по следующей формуле:
НДСрз = (НДСзач – НДСрзнс) х Sнп / Sжз, где:
НДСрз – сумма налога на добавленную стоимость, разрешенного к отнесению в зачет, по нежилому помещению, являющемуся частью жилого здания (части жилого здания);
НДСзач – сумма налога на добавленную стоимость, относимого в зачет, по товарам, работам, услугам, использованным на строительство жилого здания (части жилого здания), учитываемого отдельно. Сумма налога определяется на дату наступления случая реализации или передачи в аренду части жилого здания, состоящей исключительно из нежилых помещений, но не ранее даты приемки в эксплуатацию жилого здания в соответствии с законодательством Республики Казахстан об архитектурной, градостроительной и строительной деятельности;
НДСрзнс – налог на добавленную стоимость, разрешенный к отнесению в зачет, по части объекта незавершенного строительства, ранее предназначенного для реализации в виде оборотов как освобождаемых, так и облагаемых налогом на добавленную стоимость. Сумма налога определяется в случае и порядке, предусмотренных пунктом 1 настоящей статьи;
Sнп – площадь нежилых помещений в жилом здании (части жилого здания);
Sжз – общая площадь жилого здания (части жилого здания).
При этом сумма налога на добавленную стоимость, не разрешенного к отнесению в зачет, учитывается в порядке, определенном пунктом 9 статьи 243 настоящего Кодекса, и определяется по следующей формуле:
НДСнз = НДСзач – НДСрзнс- НДСрз, где:
НДСнз – сумма налога на добавленную стоимость, не разрешенного к отнесению в зачет, по жилому помещению, являющемуся частью жилого здания (части жилого здания), имеющего также нежилое помещение.
3. Налог на добавленную стоимость, разрешенный к отнесению в зачет, при осуществлении деятельности по оказанию услуг казино, зала игровых автоматов, тотализатора и букмекерской конторы определяется в размере 85 процентов от суммы налога на добавленную стоимость с облагаемого оборота, определенного в соответствии с пунктом 16 статьи 381 настоящего Кодекса.
Налог на добавленную стоимость, не разрешенный к отнесению в зачет, не учитывается для целей пункта 9 статьи 243 настоящего Кодекса.
Сноска. Статья 410 с изменениями, внесенными законами РК от 02.04.2019 № 241-VI (вводится в действие с 01.01.2019); от 21.12.2022 № 165-VII (вводится в действие с 01.01.2023).
Статья 411. Дополнительная сумма налога на добавленную стоимость, относимого в зачет
1. Следующие лица вправе относить в зачет дополнительную сумму налога на добавленную стоимость:
1) производители сельскохозяйственной продукции, продукции аквакультуры (рыбоводства), включая крестьянские или фермерские хозяйства, – по оборотам по реализации товаров, являющихся результатом осуществления деятельности по производству сельскохозяйственной продукции, продукции аквакультуры (рыбоводства), переработке указанной продукции собственного производства;
2) юридические лица – по оборотам по реализации товаров, являющихся результатом осуществления переработки сельскохозяйственной продукции, продукции рыбоводства или промыслового рыболовства. К переработке сельскохозяйственной продукции, продукции рыбоводства относятся следующие виды деятельности, за исключением деятельности в сфере общественного питания:
производство мяса и мясопродуктов;
переработка и консервирование фруктов и овощей;
производство растительных и животных масел и жиров;
переработка молока и производство сыра;
производство продуктов мукомольно-крупяной промышленности;
производство готовых кормов для животных;
производство хлеба;
производство детского питания и диетических пищевых продуктов;
производство продуктов крахмалопаточной промышленности;
переработка шкур и шерсти сельскохозяйственных животных;
переработка рыбы живой;
производство дрожжей;
производство шоколада, сахаристых кондитерских изделий, печенья и мучных кондитерских изделий длительного хранения при условии заключения налогоплательщиком соглашения в порядке, определенном уполномоченным органом в области развития агропромышленного комплекса;
производство сахара;
3) сельскохозяйственные кооперативы по оборотам по:
реализации сельскохозяйственной продукции, продукции аквакультуры (рыбоводства) собственного производства, а также произведенной членами такого кооператива;
реализации продукции, полученной в результате переработки сельскохозяйственной продукции, продукции аквакультуры (рыбоводства) собственного производства, приобретенной у отечественного производителя такой продукции и (или) произведенной членами такого кооператива;
выполнению работ, оказанию услуг по перечню, определенному уполномоченным органом в области развития агропромышленного комплекса по согласованию с центральным уполномоченным органом по государственному планированию и уполномоченным органом, членам такого кооператива в целях осуществления ими оборотов, указанных в настоящем подпункте.
4) созданные юридические лица в течение двух лет с момента государственной регистрации – по оборотам по реализации товаров, являющихся результатом осуществления деятельности по производству продукции в обрабатывающей промышленности (за исключением металлургической промышленности).
При этом произведенная продукция должна соответствовать критериям достаточной переработки и подтверждаться сертификатом о происхождении товара в соответствии с законодательством Республики Казахстан.
Положения настоящего подпункта распространяются на продукцию, производство которой отсутствует на территории Республики Казахстан либо не покрывает потребности Республики Казахстан.
Уполномоченный орган в области государственной поддержки индустриальной деятельности на основании сведений соответствующих уполномоченных органов публикует перечень продукции, производство которой отсутствует на территории Республики Казахстан либо не покрывает потребности Республики Казахстан, в соответствии с классификатором продукции по видам экономической деятельности, утвержденным уполномоченным государственным органом, осуществляющим государственное регулирование в области технического регулирования, по состоянию на 1 июля 2021 года не позднее 20 июля 2021 года и в последующем – ежегодно по состоянию на 1 января не позднее 10 января соответствующего года.
Положения настоящего подпункта распространяются на юридические лица, которые впервые вводят в эксплуатацию на территории Республики Казахстан здания, сооружения, машины и оборудование для осуществления деятельности по производству продукции в обрабатывающей промышленности (за исключением металлургической промышленности).
Положения настоящего пункта не распространяются на обороты по реализации подакцизных товаров и продуктов их переработки.
Определение видов деятельности в целях применения настоящего пункта осуществляется в соответствии с Общим классификатором видов экономической деятельности, утвержденным уполномоченным государственным органом, осуществляющим государственное регулирование в области технического регулирования.
2. Налогоплательщики, указанные в пункте 1 настоящей статьи, вправе применять положения настоящей статьи при условии ведения раздельного учета:
оборотов по реализации по деятельности, предусмотренной пунктом 1 настоящей статьи, и иной деятельности;
подлежащих получению (полученных) товаров, работ, услуг, которые используются или будут использоваться в деятельности, предусмотренной пунктом 1 настоящей статьи, и иной деятельности.
Сумма налога на добавленную стоимость по полученным товарам, работам, услугам, используемым одновременно в деятельности, предусмотренной пунктом 1 настоящей статьи, и иной деятельности, распределяется на суммы налога на добавленную стоимость, разрешенного к отнесению в зачет и не разрешенного к отнесению в зачет, определяемые по следующим формулам:
НДСрз 1 = НДСзач х О обл / О общ;
НДСрз 2 = НДСзач – НДСрз 1, где:
НДСрз 1 – сумма налога на добавленную стоимость, разрешенного к отнесению в зачет, по деятельности, предусмотренной пунктом 1 настоящей статьи. Данная сумма может иметь отрицательное значение;
НДСзач – сумма налога на добавленную стоимость, относимого в зачет, с учетом корректировки по товарам, работам, услугам, используемым одновременно в деятельности, предусмотренной пунктом 1 настоящей статьи, и иной деятельности. Данная сумма может иметь отрицательное значение;
О обл – сумма облагаемого оборота за налоговый период, по которому осуществляется ведение раздельного учета в соответствии с настоящей статьей;
О общ – общая сумма оборота, определяемая как сумма оборотов по деятельности, предусмотренной пунктом 1 настоящей статьи, и иной деятельности;
НДСрз 2 – сумма налога на добавленную стоимость, разрешенного к отнесению в зачет, по иной деятельности. Данная сумма может иметь отрицательное значение.
При наличии необлагаемых оборотов сумма разрешенного к отнесению в зачет налога на добавленную стоимость по иной деятельности определяется с учетом статей 408 и 409 настоящего Кодекса.
По иному обороту такой плательщик налога на добавленную стоимость вправе определять сумму налога на добавленную стоимость, разрешенного к отнесению в зачет, пропорциональным методом в соответствии со статьей 408 настоящего Кодекса.
3. Не вправе применять положения настоящей статьи налогоплательщики, указанные в подпунктах 1), 3) и 4) части первой пункта 1 настоящей статьи, если лицо является иностранцем, юридическим лицом-нерезидентом, осуществляющим деятельность в Республике Казахстан через постоянное учреждение.
4. Расчет дополнительной суммы налога на добавленную стоимость, относимого в зачет, производится по следующей формуле:
НДСдз = (НДСобл – НДСрз– НДСпр) х 70%, где:
НДСдз – дополнительная сумма налога на добавленную стоимость, относимого в зачет;
НДСобл – сумма налога на добавленную стоимость, начисленного с облагаемого оборота по реализации по деятельности, предусмотренной пунктом 1 настоящей статьи;
НДСрз – сумма налога на добавленную стоимость, разрешенного к отнесению в зачет, определенная в соответствии со статьями 408, 409 и 410 настоящего Кодекса. Такая сумма определяется по подлежащим получению (полученным) товарам, работам, услугам, которые используются или будут использоваться в деятельности, предусмотренной пунктом 1 настоящей статьи;
НДСпр – сумма превышения суммы налога на добавленную стоимость, относимого в зачет, над суммой начисленного налога, сложившегося на начало отчетного налогового периода нарастающим итогом, по деятельности, предусмотренной пунктом 1 настоящей статьи.
Полученное нулевое или отрицательное значение не учитывается при исчислении налога на добавленную стоимость за налоговый период.
Сноска. Статья 411 с изменениями, внесенными законами РК от 24.05.2018 № 156-VI (вводится в действие с 01.01.2018); от 10.12.2020 № 382-VI (порядок введения в действие см. ст. 2); от 24.06. 2021 № 53-VII (вводится в действие с 01.07.2021); от 21.12.2022 № 165-VII (вводится в действие с 01.01.2023).
Глава 47. СЧЕТ-ФАКТУРА
Статья 412. Общие положения
1. При совершении оборота по реализации товаров, работ, услуг обязаны выписать счет-фактуру:
1) плательщики налога на добавленную стоимость, предусмотренные подпунктом 1) пункта 1 статьи 367 настоящего Кодекса;
2) налогоплательщики в случаях, предусмотренных нормативными правовыми актами Республики Казахстан, принятыми в целях реализации международных договоров, ратифицированных Республикой Казахстан;
3) комиссионер, не являющийся плательщиком налога на добавленную стоимость, в случаях, установленных статьей 416 настоящего Кодекса;
4) экспедитор, не являющийся плательщиком налога на добавленную стоимость, в случаях, установленных статьей 415 настоящего Кодекса;
5) налогоплательщики в случае реализации импортированных товаров;
6) структурное подразделение уполномоченного органа в области государственного материального резерва при выпуске им товаров из государственного материального резерва;
7) налогоплательщики, не являющиеся плательщиками налога на добавленную стоимость, в случае реализации товаров, которые поступили в модуль «Виртуальный склад» информационной системы электронных счетов-фактур к таким налогоплательщикам;
8) юридические лица-резиденты (за исключением государственных учреждений и государственных организаций среднего образования), нерезиденты, осуществляющие деятельность в Республике Казахстан через филиал, представительство, индивидуальные предприниматели, лица, занимающиеся частной практикой, не зарегистрированные в качестве плательщика налога на добавленную стоимость в Республике Казахстан, по гражданско-правовой сделке, стоимость которой превышает 1000-кратный размер месячного расчетного показателя, установленного законом о республиканском бюджете и действующего на дату совершения такой сделки.
Настоящий подпункт применяется при осуществлении гражданско-правовых сделок между субъектами предпринимательства, за исключением случаев, когда покупателем является лицо, применяющее специальный налоговый режим на основе патента, упрощенной декларации или для крестьянских или фермерских хозяйств;
9) налогоплательщики – по услугам международной перевозки грузов.
10) юридическое лицо, аккредитованное в установленном порядке для осуществления деятельности по подтверждению соответствия, определенное законодательством Республики Казахстан о техническом регулировании;
11) налогоплательщик, являющийся таможенным представителем, таможенным перевозчиком, владельцем складов временного хранения, владельцем таможенных складов и уполномоченным экономическим оператором в соответствии с таможенным законодательством Евразийского экономического союза и (или) таможенным законодательством Республики Казахстан.
12) налогоплательщики, применяющие специальный налоговый режим розничного налога, по требованию покупателя товаров, работ, услуг в целях соблюдения положений пункта 3-2 статьи 242 настоящего Кодекса.
Положения настоящего пункта не применяются при реализации личного имущества физическим лицом, в том числе физическим лицом, являющимся индивидуальным предпринимателем или лицом, занимающимся частной практикой.
2. Счет-фактура выписывается в электронной форме, за исключением следующих случаев, когда налогоплательщик вправе выписывать счет-фактуру на бумажном носителе:
1) отсутствия по месту нахождения налогоплательщика в границах административно-территориальных единиц Республики Казахстан сети телекоммуникаций общего пользования.
Информация об административно-территориальных единицах Республики Казахстан, на территории которых отсутствуют сети телекоммуникаций общего пользования, размещается на интернет-ресурсе уполномоченного органа;
2) подтверждения информации на интернет-ресурсе уполномоченного органа о невозможности выписки счетов-фактур в информационной системе электронных счетов-фактур по причине технических ошибок.
После устранения технических ошибок счет-фактура, выписанный на бумажном носителе, подлежит введению в информационную систему электронных счетов-фактур в течение пятнадцати календарных дней с даты устранения технических ошибок.
2-1. При ограничении выписки электронных счетов-фактур в информационной системе электронных счетов-фактур в соответствии со статьей 120-1 настоящего Кодекса счет-фактура выписывается на бумажном носителе.
При этом счет-фактура, выписанный на бумажном носителе, подлежит введению в информационную систему электронных счетов-фактур в течение пятнадцати календарных дней с даты отмены ограничения выписки счетов-фактур в электронной форме в информационной системе электронных счетов-фактур в соответствии со статьей 120-1 настоящего Кодекса.
3. Счет-фактура в электронной форме выписывается в информационной системе электронных счетов-фактур в порядке и по форме, которые определены уполномоченным органом.
3-1. Перечень товаров, по которым электронные счета-фактуры выписываются посредством модуля «Виртуальный склад» информационной системы электронных счетов-фактур, утверждается уполномоченным органом и размещается на его интернет-ресурсе.
4. Выписка счета-фактуры на бумажном носителе производится в порядке, определенном пунктами 5 – 12 настоящей статьи, по форме, определяемой налогоплательщиком самостоятельно.
5. В счете-фактуре должны быть указаны:
1) порядковый номер счета-фактуры;
2) идентификационный номер поставщика и получателя товаров, работ, услуг;
3) в отношении физических лиц, являющихся получателями товаров, работ, услуг, – фамилия, имя, отчество (если оно указано в документе, удостоверяющем личность);
в отношении индивидуальных предпринимателей, являющихся поставщиками или получателями товаров, работ, услуг, – фамилия, имя, отчество (если оно указано в документе, удостоверяющем личность) и (или) наименование налогоплательщика;
в отношении юридических лиц (структурных подразделений юридических лиц), являющихся поставщиками или получателями товаров, работ, услуг, – наименование. При этом в части указания организационно-правовой формы возможно использование аббревиатуры в соответствии с обычаями, в том числе обычаями делового оборота;
4) дата выписки счета-фактуры;
5) в случаях, предусмотренных статьей 416 настоящего Кодекса, статус поставщика – комитент или комиссионер;
6) в случае реализации подакцизных товаров – дополнительно сумма акциза, если такая реализация является объектом обложения акцизом в соответствии с положениями раздела 11 настоящего Кодекса;
7) наименование реализуемых товаров, работ, услуг;
8) размер облагаемого (необлагаемого) оборота;
9) ставка налога на добавленную стоимость;
10) сумма налога на добавленную стоимость;
11) стоимость товаров, работ, услуг с учетом налога на добавленную стоимость;
12) в отношении товаров – код товарной номенклатуры внешнеэкономической деятельности;
13) в случае реализации товаров, работ, услуг по договору о государственных закупках – дата и номер договора о государственных закупках.
6. В счете-фактуре размер облагаемого оборота указывается отдельно по каждому наименованию товаров, работ, услуг.
В случае выписки счетов-фактур на бумажном носителе допускается указание общего размера оборота, если к такому счету-фактуре прилагается документ, содержащий данные, указанные в подпунктах 7) – 11) пункта 5 настоящей статьи. При этом счет-фактура должен содержать указание на номер и дату документа, а также его наименование.
7. Стоимостные и суммовые значения в счете-фактуре, выписанном на бумажном носителе, указываются в национальной валюте Республики Казахстан.
Стоимостные и суммовые значения в счете-фактуре, выписанном в электронной форме, указываются в национальной валюте Республики Казахстан, за исключением следующих случаев, при которых возможно указание в иностранной валюте:
1) по сделкам (операциям), заключенным (совершенным) в рамках соглашения (контракта) о разделе продукции, контракта на недропользование, утвержденного Президентом Республики Казахстан;
2) по сделкам (операциям) по реализации товаров на экспорт, облагаемым по нулевой ставке налога на добавленную стоимость в соответствии со статьями 386, 447 и 449 настоящего Кодекса;
3) по оборотам по реализации услуг по международным перевозкам, облагаемым по нулевой ставке налога на добавленную стоимость в соответствии со статьей 387 настоящего Кодекса;
4) по оборотам по реализации, облагаемым по нулевой ставке налога на добавленную стоимость в соответствии с пунктом 3 статьи 393 настоящего Кодекса.
8. В случае, если от имени юридического лица в качестве поставщика товаров, работ, услуг выступает его структурное подразделение и по решению юридического лица выписка счетов-фактур производится таким структурным подразделением, а также в случае, если от имени юридического лица структурное подразделение выступает получателем товаров, работ, услуг, в целях выполнения:
1) требований, установленных подпунктами 3) и 5) пункта 5 настоящей статьи, в счете-фактуре допускается указание реквизитов структурного подразделения юридического лица;
2) требования, установленного подпунктом 2) пункта 5 настоящей статьи, в счете-фактуре указывается идентификационный номер юридического лица. При этом в случае указания реквизитов структурного подразделения юридического лица в соответствии с подпунктом 1) настоящего пункта указывается идентификационный номер такого структурного подразделения.
9. Налогоплательщики указывают в счете-фактуре или ином документе, предусмотренном пунктом 1 статьи 400 настоящего Кодекса:
1) по оборотам, облагаемым налогом на добавленную стоимость, – сумму налога на добавленную стоимость;
2) по необлагаемым оборотам, в том числе освобожденным от налога на добавленную стоимость, – отметку «Без НДС».
10. Налогоплательщики вправе в счете-фактуре, выписываемом на бумажном носителе, указать дополнительные сведения, не предусмотренные настоящей статьей.
11. Счет-фактура на бумажном носителе выписывается в двух экземплярах, один из которых передается получателю товаров, работ, услуг.
12. Счет-фактура, выписанный на бумажном носителе, заверяется:
для юридических лиц – подписями руководителя и главного бухгалтера, а также печатью, содержащей название и указание организационно-правовой формы, если данное лицо в соответствии с законодательством Республики Казахстан должно иметь печать;
для индивидуальных предпринимателей – печатью (при ее наличии), содержащей фамилию, имя, отчество (если оно указано в документе, удостоверяющем личность) и (или) наименование, а также подписью индивидуального предпринимателя.
Счет-фактура может заверяться подписью работника, уполномоченного на то приказом налогоплательщика. При этом копия приказа должна быть доступна для визуального ознакомления получателей товаров, работ, услуг.
Получатель товаров, работ, услуг вправе обратиться к поставщику данных товаров, работ, услуг с требованием представить заверенную уполномоченным на то лицом копию приказа о назначении лица, уполномоченного подписывать счета-фактуры, а поставщик обязан выполнить данное требование в день обращения получателя товаров, работ, услуг.
Структурное подразделение юридического лица, являющееся поставщиком товаров, работ, услуг, по решению налогоплательщика вправе заверять выписанные им счета-фактуры печатью такого структурного подразделения, содержащей название и указание организационно-правовой формы юридического лица, если данное лицо в соответствии с законодательством Республики Казахстан должно иметь печать.
Счет-фактура, выписанный уполномоченным представителем участников простого товарищества (консорциума), в случаях, предусмотренных пунктом 2 статьи 200 настоящего Кодекса, заверяется печатью уполномоченного представителя, содержащей название и указание организационно-правовой формы, а также подписями руководителя и главного бухгалтера такого уполномоченного представителя.
В случае, если в соответствии с требованиями законодательства Республики Казахстан о бухгалтерском учете и финансовой отчетности и учетной политикой руководитель или индивидуальный предприниматель ведет бухгалтерский учет лично, вместо подписи главного бухгалтера указывается «не предусмотрен».
Счет-фактура, выписанный в электронной форме, заверяется электронной цифровой подписью.
13. Выписка счета-фактуры, за исключением случаев, предусмотренных подпунктами 2), 5) и 7) части первой пункта 1 настоящей статьи, не требуется в случаях:
1) реализации товаров, работ, услуг, расчеты за которые осуществляются:
наличными деньгами с представлением покупателю чека контрольно-кассовой машины и (или) через терминалы оплаты услуг;
с применением оборудования (устройства), предназначенного для осуществления платежей с использованием платежных карточек;
с представлением покупателю товаров, работ, услуг чека специального мобильного приложения, содержащего идентификационный номер такого покупателя товаров, работ, услуг;
2) реализации товаров, работ, услуг физическим лицам, расчеты за которые осуществляются электронными деньгами или с использованием средств электронного платежа;
3) осуществления расчетов через банки второго уровня, оператора почты за предоставленные физическому лицу коммунальные услуги, услуги связи;
4) оформления перевозки пассажира на железнодорожном или воздушном транспорте проездным билетом на бумажном носителе, электронным билетом или электронным проездным документом;
5) безвозмездной передачи товара, безвозмездного выполнения работ, оказания услуг физическому лицу, не являющемуся индивидуальным предпринимателем или лицом, занимающимся частной практикой;
6) оказания услуг, предусмотренных статьей 397 настоящего Кодекса;
7) оказания услуг по деятельности казино, зала игровых автоматов, тотализатора и букмекерской конторы.
Положения подпунктов 1) и 2) части первой настоящего пункта не применяются в случае реализации товаров, работ, услуг лицам, указанным в пункте 1 статьи 436 настоящего Кодекса.
В случаях, предусмотренных подпунктами 2), 5) и 7) части первой пункта 1 настоящей статьи, выписка счета-фактуры не требуется при реализации:
1) физическим лицам, которые используют приобретенный товар в целях личного, семейного, домашнего или иного использования, не связанного с предпринимательской деятельностью (конечное потребление);
2) физическим или юридическим лицам, являющимся субъектами микропредпринимательства в соответствии с Предпринимательским кодексом Республики Казахстан.
14. В случаях, предусмотренных подпунктами 1) и 2) части первой и частью третьей пункта 13 настоящей статьи, получатель товаров, работ, услуг вправе в течение ста восьмидесяти календарных дней с даты совершения поставщиком оборота по реализации обратиться к поставщику данных товаров, работ, услуг с требованием выписать счет-фактуру, а поставщик обязан выполнить такое требование с учетом положений настоящей статьи, в том числе в части указания в сведениях о получателе товаров, работ, услуг реквизитов юридического лица, через доверенное лицо которого осуществляется приобретение товаров, работ, услуг, или индивидуального предпринимателя, приобретающего товары, работы, услуги.
В случае, предусмотренном подпунктом 4) части первой пункта 13 настоящей статьи, получатель услуг вправе в течение ста восьмидесяти календарных дней с даты совершения поставщиком оборота по реализации обратиться с требованием выписать документ, подтверждающий факт проезда физического лица, или счет-фактуру к поставщику таких услуг, а поставщик обязан выполнить такое требование с учетом положений настоящей статьи, в том числе в части указания в сведениях о получателе работ, услуг реквизитов физического лица, которому оказана услуга по перевозке.
В случае приобретения товаров, работ, услуг у налогоплательщика, указанного в подпункте 8) части первой пункта 1 настоящей статьи, получатель товаров, работ, услуг вправе в течение ста восьмидесяти календарных дней с даты совершения поставщиком оборота по реализации обратиться к поставщику данных товаров, работ, услуг с требованием выписать счет-фактуру, а поставщик обязан выполнить такое требование.
Выписка счета-фактуры в соответствии с положениями настоящего пункта осуществляется по месту реализации товаров, работ, услуг.
15. Особенности выписки счетов-фактур в отдельных случаях установлены статьями 414 – 418 настоящего Кодекса.
Сноска. Статья 412 с изменениями, внесенными законами РК от 02.04.2019 № 241-VI (вводится в действие с 01.01.2019); от 10.12.2020 № 382-VI (порядок введения в действие см. ст. 2); от 24.06. 2021 № 53-VII (вводится в действие с 01.01.2022); от 21.12.2022 № 165-VII (вводится в действие с 01.01.2023); от 20.03.2023 № 213-VII (вводится в действие по истечении шестидесяти календарных дней после дня его первого официального опубликования).
Статья 413. Сроки выписки счетов-фактур
1. Счет-фактура выписывается:
1) при реализации электрической и (или) тепловой энергии, воды, газа, коммунальных услуг, услуг связи, услуг по перевозке на железнодорожном транспорте, услуг по перевозке пассажиров, багажа и грузов на воздушном транспорте, услуг по договору транспортной экспедиции, услуг оператора вагонов (контейнеров), услуг по перевозке грузов по системе магистральных трубопроводов, за исключением магистральных газопроводов, системных услуг, оказываемых системным оператором, услуг по предоставлению кредита (займа, микрокредита), облагаемых налогом на добавленную стоимость банковских операций, а также при реализации товаров, работ, услуг по договорам, заключенным сроком на один год или более, лицам, указанным в пункте 1 статьи 436 настоящего Кодекса, – по итогам месяца, в котором поставлены товары, оказаны услуги, не позднее 20 числа месяца, следующего за месяцем, на который по таким товарам, услугам приходится дата совершения оборота по реализации;
2) в случае вывоза товаров с помещением под таможенную процедуру экспорта счет-фактура выписывается не позднее двадцати календарных дней после даты совершения оборота по реализации;
3) при передаче имущества в финансовый лизинг в части начисленной суммы вознаграждения – по итогам календарного квартала не позднее 20 числа месяца, следующего за кварталом, по итогам которого выписывается счет-фактура;
3-1) при реализации товаров на основании товарораспорядительных документов, подтверждающих предоставление идентифицированных товаров в распоряжение покупателя, – не позднее 20 числа месяца, следующего за месяцем, на который по таким товарам приходится дата совершения оборота по реализации;
4) в остальных случаях – не ранее даты совершения оборота по реализации и не позднее пятнадцати календарных дней после такой даты.
2. В целях выполнения требований пункта 14 статьи 412 настоящего Кодекса выписка счета-фактуры осуществляется в день или в течение ста девяноста пяти календарных дней после даты совершения оборота.
3. Исправленный счет-фактура выписывается при необходимости внесения изменений и дополнений в ранее выписанный счет-фактуру.
4. Сроки выписки дополнительного счета-фактуры установлены статьей 420 настоящего Кодекса.
При несоблюдении требований статьи 197 настоящего Кодекса дополнительный счет-фактура выписывается лизингодателем в срок не позднее пятнадцати календарных дней с даты наступления такого случая.
Сноска. Статья 413 с изменениями, внесенными законами РК от 02.04.2019 № 241-VI (вводится в действие с 01.01.2019); от 21.12.2022 № 165-VII (вводится в действие с 01.01.2023).
Статья 414. Особенности выписки счетов-фактур при реализации печатных изданий и иной продукции средств массовой информации
В случае реализации периодических печатных изданий или иной продукции средств массовой информации, включая размещенные на интернет-ресурсе в общедоступных телекоммуникационных сетях, счет-фактура выписывается не позднее пятнадцати календарных дней после даты совершения оборота по реализации.
Налогоплательщик вправе выписать счет-фактуру ранее даты совершения оборота на весь оборот по реализации, дата совершения которого приходится на календарный год. При этом в счете-фактуре отдельно указываются размер оборота по реализации и соответствующая сумма налога на добавленную стоимость, приходящиеся на каждый налоговый период, входящий в такой календарный год.
Статья 415. Особенности выписки счетов-фактур экспедиторами
1. Выписка счетов-фактур при выполнении работ, оказании услуг по договору транспортной экспедиции для стороны, являющейся клиентом по такому договору, осуществляется экспедитором.
Счет-фактура выписывается экспедитором на основании счетов-фактур, выписанных перевозчиками и другими поставщиками работ, услуг, являющимися плательщиками налога на добавленную стоимость.
В случае, если перевозчик (поставщик) не является плательщиком налога на добавленную стоимость, счет-фактура выписывается экспедитором на основании документа, подтверждающего стоимость работ, услуг.
2. В счете-фактуре, выписываемом экспедитором, указывается облагаемый (необлагаемый) оборот с учетом стоимости работ и услуг, выполненных и оказанных перевозчиками и (или) поставщиками в рамках договора транспортной экспедиции:
являющимися плательщиками налога на добавленную стоимость;
не являющимися плательщиками налога на добавленную стоимость.
В целях выполнения требований подпунктов 2) и 3) пункта 5 статьи 412 настоящего Кодекса в счете-фактуре, выписываемом экспедитором, в качестве реквизитов:
поставщика – указываются реквизиты экспедитора;
получателя – указываются реквизиты налогоплательщика, являющегося клиентом по договору транспортной экспедиции.
3. При осуществлении деятельности по договору транспортной экспедиции экспедитор составляет налоговый регистр в соответствии со статьей 215 настоящего Кодекса, раскрывающий информацию о перевозчиках и (или) поставщиках работ, услуг, оказываемых в рамках такого договора, а также их стоимости.
4. Счет-фактура, выписанный в соответствии с указанными требованиями, является основанием для отнесения в зачет суммы налога на добавленную стоимость стороной, являющейся клиентом по договору транспортной экспедиции.
Статья 416. Особенности выписки счетов-фактур по договорам, условия которых соответствуют условиям договора комиссии
1. При реализации товаров, выполнении работ, оказании услуг на условиях, соответствующих условиям договора комиссии, в случае, если комитент и (или) комиссионер являются плательщиками налога на добавленную стоимость, выписка счетов-фактур покупателю товаров, работ, услуг осуществляется комиссионером.
Размер оборота по реализации товаров, работ, услуг в счете-фактуре, выписываемом комиссионером, указывается исходя из стоимости товаров, работ, услуг, по которой комиссионером осуществляется их реализация покупателю.
Счет-фактура выписывается комиссионером с учетом данных:
счета-фактуры, выписанного комиссионеру комитентом, являющимся плательщиком налога на добавленную стоимость (в этом случае сумма облагаемого (необлагаемого) оборота, указанная в счете-фактуре, выписанном комиссионеру комитентом, включается в облагаемый (необлагаемый) оборот в счете-фактуре, выписываемом комиссионером покупателю);
документа, подтверждающего стоимость товаров, работ, услуг, выписанного комитентом, не являющимся плательщиком налога на добавленную стоимость (в этом случае стоимость товаров, работ, услуг, указанная в таком документе, включается в необлагаемый оборот в счете-фактуре, выписываемом комиссионером покупателю).
Размер оборота в счете-фактуре, выписываемом комитентом комиссионеру, указывается исходя из стоимости товаров, работ, услуг, по которой они предоставлены комиссионеру с целью реализации.
Размер оборота в счете-фактуре, выписываемом комиссионером комитенту, указывается исходя из суммы комиссионного вознаграждения комиссионера и стоимости работ, услуг, являющихся оборотом комиссионера по приобретению работ, услуг от нерезидента.
2. При выписке комитентом в адрес комиссионера счета-фактуры на реализацию товаров, работ, услуг на условиях, соответствующих условиям договора комиссии, в целях выполнения требований подпунктов 2) и 3) пункта 5 статьи 412 настоящего Кодекса в качестве реквизитов:
поставщика – указываются реквизиты комитента с указанием статуса «комитент»;
получателя – указываются реквизиты комиссионера с указанием статуса «комиссионер».
При выписке комиссионером счета-фактуры получателю товаров, работ, услуг в целях выполнения требований подпунктов 2) и 3) пункта 5 статьи 412 настоящего Кодекса в качестве реквизитов поставщика указываются реквизиты комиссионера с указанием статуса «комиссионер».
3. При передаче комиссионером комитенту товаров, приобретенных для комитента на условиях, соответствующих условиям договора комиссии, а также выполнении работ, оказании услуг третьим лицом для комитента по сделке, заключенной таким третьим лицом с комиссионером, выписка счетов-фактур в адрес комитента осуществляется комиссионером.
Положения настоящего пункта применяются в случае, если комиссионер и (или) лицо, у которого комиссионер приобретает товары, работы, услуги для комитента, являются плательщиками налога на добавленную стоимость.
Размер оборота по реализации товаров, работ, услуг в счете-фактуре, выписываемом комиссионером, указывается с учетом стоимости товаров, работ, услуг, приобретенных комиссионером для комитента на условиях договора комиссии.
Счет-фактура выписывается комиссионером с учетом данных:
счета-фактуры, выписанного комиссионеру третьим лицом, являющимся плательщиком налога на добавленную стоимость (в этом случае сумма облагаемого (необлагаемого) оборота, указанного в счете-фактуре, выписанном третьим лицом комиссионеру, включается в облагаемый (необлагаемый) оборот в счете-фактуре, выписываемом комиссионером комитенту);
документа, подтверждающего стоимость товаров, работ, услуг, выписанного третьим лицом, не являющимся плательщиком налога на добавленную стоимость (в этом случае стоимость товаров, работ, услуг, указанная в таком документе, включается в необлагаемый оборот в счете-фактуре, выписываемом комиссионером комитенту, кроме работ, услуг, являющихся оборотом комиссионера по приобретению работ, услуг от нерезидента);
документа, подтверждающего стоимость работ, услуг, являющихся оборотом комиссионера по приобретению работ, услуг от нерезидента;
декларации на товары, оформленной в соответствии с таможенным законодательством Евразийского экономического союза и (или) таможенным законодательством Республики Казахстан или в заявлении о ввозе товаров и уплате косвенных налогов – в случае импорта товаров.
Сумма комиссионного вознаграждения комиссионера и стоимость работ, услуг, являющихся оборотом комиссионера по приобретению работ, услуг от нерезидента, в счете-фактуре, выписываемом комитенту, указываются отдельными строками. При этом, если комиссионер не является плательщиком налога на добавленную стоимость, сумма вознаграждения указывается с отметкой «Без НДС».
4. При выписке комиссионером комитенту счета-фактуры на приобретенные для комитента на условиях договора комиссии товары, работы, услуги в целях выполнения требований подпунктов 2) и 3) пункта 5 статьи 412 настоящего Кодекса в качестве реквизитов:
поставщика – указываются реквизиты комиссионера с указанием статуса «комиссионер»;
получателя – указываются реквизиты комитента с указанием статуса «комитент».
При выписке третьим лицом, являющимся поставщиком товаров, работ, услуг, счета-фактуры комиссионеру в целях выполнения требований подпунктов 2) и 3) пункта 5 статьи 412 настоящего Кодекса в качестве реквизитов получателя указываются реквизиты комиссионера.
5. Счет-фактура, выписанный в соответствии с указанными требованиями, а также требованиями статьи 400 настоящего Кодекса, является основанием для отнесения в зачет суммы налога на добавленную стоимость комитентом или покупателем товаров, работ, услуг по договору комиссии.
Сноска. Статья 416 в редакции Закона РК от 10.12.2020 № 382-VI (вводится в действие с 01.01.2018).
Статья 417. Особенности выписки счетов-фактур при реализации (приобретении) товаров, работ, услуг, осуществляемых в рамках договоров о совместной деятельности
1. В случаях, когда реализация товаров, работ, услуг осуществляется поверенным от имени и (или) по поручению участника (участников) договора о совместной деятельности:
1) счет-фактура выписывается от имени одного из участников договора о совместной деятельности или от имени поверенного с указанием в строке, отведенной для поставщика (продавца), реквизитов участника (участников) договора о совместной деятельности;
2) при выписке счетов-фактур отражается общая сумма оборота, а также сумма оборота, приходящаяся на каждого из участников согласно условиям договора о совместной деятельности.
2. В случае выписки счета-фактуры на бумажном носителе оригинал счета-фактуры выписывается как покупателю товаров, работ и услуг, так и каждому из участников договора о совместной деятельности.
3. В случаях, когда участником (участниками) договора о совместной деятельности или поверенным приобретаются товары, работы или услуги в рамках такой деятельности, в счетах-фактурах, получаемых от поставщика (продавца), должны быть выделены:
1) реквизиты участника (участников) договора о совместной деятельности в зависимости от количества участников совместной деятельности либо поверенного;
2) суммы приобретения, в том числе суммы налога на добавленную стоимость, приходящиеся на каждого из участников договора о совместной деятельности.
4. В случае выписки счета-фактуры на бумажном носителе количество выписываемых оригиналов счетов-фактур должно соответствовать количеству участников договора о совместной деятельности, для осуществления которой приобретаются товары, работы или услуги.
5. Положения настоящей статьи не применяются при реализации (приобретении) товаров, работ, услуг оператором в случаях, предусмотренных пунктом 3 статьи 426 настоящего Кодекса.
Статья 418. Особенности выписки счетов-фактур в отдельных случаях
1. При реализации (приобретении) товаров, работ, услуг оператором в случаях, предусмотренных пунктом 3 статьи 426 настоящего Кодекса, счет-фактура выписывается в соответствии с требованиями настоящей главы с указанием реквизитов оператора в качестве поставщика (покупателя).
2. Выписка счета-фактуры покупателю товаров, работ, услуг, реализуемых на условиях, соответствующих договору поручения, осуществляется доверителем, а в случаях, предусмотренных пунктом 2 статьи 374 настоящего Кодекса, – поверенным в порядке, определенном настоящим разделом.
Статья 419. Внесение изменений и дополнений в счет-фактуру
1. Исправленный счет-фактура выписывается в случае необходимости внесения изменений и (или) дополнений в ранее выписанный счет-фактуру, исправления ошибок, не влекущих замену поставщика и (или) получателя товаров, работ, услуг.
При выписке исправленного счета-фактуры ранее выписанный счет-фактура аннулируется, также аннулируются дополнительные счета-фактуры при их наличии.
Для восстановления аннулированных дополнительных счетов-фактур выписываются дополнительные счета-фактуры к исправленному счету-фактуре.
2. Исправленный счет-фактура должен:
1) соответствовать требованиям, установленным настоящей главой к выписке счетов-фактур;
2) содержать следующую информацию:
пометку о том, что счет-фактура является исправленным;
порядковый номер и дату выписки исправленного счета-фактуры;
порядковый номер и дату выписки аннулируемого счета-фактуры.
3. По исправленному счету-фактуре, выписанному на бумажном носителе, обязательно наличие одного из нижеперечисленных подтверждений о получении такого счета-фактуры получателем товаров, работ, услуг:
1) заверение получателем товаров, работ, услуг такого счета-фактуры подписями и печатью в соответствии с пунктом 12 статьи 412 настоящего Кодекса;
2) направление поставщиком товаров, работ, услуг такого счета-фактуры в адрес получателя товаров, работ, услуг заказным письмом и наличие уведомления о его получении;
3) наличие письма получателя товаров, работ, услуг о получении такого счета-фактуры с подписью и печатью:
для юридических лиц – содержащей название и указание на организационно-правовую форму, если данное лицо в соответствии с законодательством Республики Казахстан должно иметь печать;
для индивидуальных предпринимателей – при ее наличии, содержащей фамилию, имя, отчество (если оно указано в документе, удостоверяющем личность) и (или) наименование.
4. По исправленному счету-фактуре, выписанному в электронной форме, получатель товаров, работ, услуг вправе в течение десяти календарных дней со дня получения такого исправленного счета-фактуры указать несогласие с выпиской такого счета-фактуры согласно порядку документооборота счетов-фактур, выписываемых в электронной форме.
Положения настоящей статьи не применяются в случаях, предусмотренных статьей 420 настоящего Кодекса.
Сноска. Статья 419 с изменениями, внесенными Законом РК от 10.12.2020 № 382-VI (порядок введения в действие см. ст. 2).
Статья 420. Выписка дополнительного счета-фактуры
1. Выписка дополнительного счета-фактуры производится поставщиком в случаях:
1) корректировки размера оборота в соответствии со статьей 383 настоящего Кодекса;
2) несоблюдения требований статьи 197 настоящего Кодекса.
2. Дополнительный счет-фактура должен:
1) соответствовать требованиям, установленным настоящей главой к выписке счетов-фактур;
2) содержать следующую информацию:
пометку о том, что счет-фактура является дополнительным;
порядковый номер и дату выписки дополнительного счета-фактуры;
порядковый номер и дату выписки счета-фактуры, к которому выписывается дополнительный счет-фактура;
сумму корректировки размера оборота в случае его изменения;
сумму корректировки налога на добавленную стоимость в случае его изменения;
дату совершения оборота на сумму корректировки размера оборота – при выписке в электронной форме;
отметку «несоблюдение статьи 197 Налогового кодекса» в случае, установленном подпунктом 2) пункта 1 настоящей статьи.
3. Дополнительный счет-фактура выписывается не ранее даты совершения оборота на сумму корректировки и не позднее пятнадцати календарных дней после такой даты.
4. По дополнительному счету-фактуре, выписанному на бумажном носителе, обязательно наличие одного из нижеперечисленных подтверждений о получении такого счета-фактуры получателем товаров, работ, услуг:
1) заверение получателем товаров, работ, услуг такого счета-фактуры подписями и печатью в соответствии с пунктом 12 статьи 412 настоящего Кодекса;
2) направление поставщиком товаров, работ, услуг такого счета-фактуры в адрес получателя товаров, работ, услуг заказным письмом и наличие уведомления о его получении;
3) наличие письма получателя товаров, работ, услуг о получении такого счета-фактуры с подписью и печатью:
для юридических лиц – содержащей название и указание на организационно-правовую форму, если данное лицо в соответствии с законодательством Республики Казахстан должно иметь печать;
для индивидуальных предпринимателей – при ее наличии, содержащей фамилию, имя, отчество (если оно указано в документе, удостоверяющем личность) и (или) наименование.
5. По дополнительному счету-фактуре, выписанному в электронной форме, получатель товаров, работ, услуг вправе в течение десяти календарных дней со дня получения такого дополнительного счета-фактуры указать несогласие с выпиской такого счета-фактуры согласно порядку документооборота счетов-фактур, выписываемых в электронной форме.
Сноска. Статья 420 с изменением, внесенным Законом РК от 10.12.2020 № 382-VI (вводится в действие с 01.01.2021).
Глава 48. ПОРЯДОК ИСЧИСЛЕНИЯ И УПЛАТЫ НАЛОГА
Статья 421. Исчисление налога на добавленную стоимость
1. Налог на добавленную стоимость, за исключением налога на добавленную стоимость, начисленного по облагаемому импорту, исчисляется за налоговый период в следующем порядке:
сумма налога на добавленную стоимость, начисленного с облагаемого оборота,
минус
сумма налога на добавленную стоимость, разрешенного к отнесению в зачет, определенная в соответствии со статьями 408, 409 и 410 настоящего Кодекса,
минус
дополнительная сумма налога на добавленную стоимость, относимого в зачет, определенная в соответствии со статьей 411 настоящего Кодекса.
2. Сумма налога на добавленную стоимость, начисленного с облагаемого оборота, определяется в следующем порядке:
произведение ставки, установленной пунктом 1 статьи 422 настоящего Кодекса, и облагаемого оборота, за исключением оборотов по реализации, указанных в главе 44 настоящего Кодекса, уменьшенного и (или) увеличенного на сумму оборотов, предусмотренных статьями 383 и 384 настоящего Кодекса,
плюс
произведение ставки, установленной пунктом 2 статьи 422 настоящего Кодекса, и оборотов по реализации, указанных в главе 44 настоящего Кодекса, уменьшенных и (или) увеличенных на сумму оборотов, предусмотренных статьями 383 и 384 настоящего Кодекса.
2-1. Сумма налога на добавленную стоимость по деятельности по оказанию услуг казино, зала игровых автоматов, тотализатора и букмекерской конторы за налоговый период исчисляется в следующем порядке:
сумма налога на добавленную стоимость с облагаемого оборота, определенного в соответствии с пунктом 16 статьи 381 настоящего Кодекса,
минус
сумма налога на добавленную стоимость, разрешенного к отнесению в зачет, определенная в соответствии с пунктом 3 статьи 410 настоящего Кодекса.
3. Если результат расчета, предусмотренного пунктом 1 настоящей статьи, имеет:
1) положительное значение, такой результат является суммой налога, подлежащего уплате в бюджет в порядке, определенном настоящим Кодексом;
2) отрицательное значение, такой результат является превышением суммы налога на добавленную стоимость, относимого в зачет, над суммой начисленного налога.
4. Сумма налога на добавленную стоимость за нерезидента исчисляется путем применения ставки, предусмотренной пунктом 1 статьи 422 настоящего Кодекса, к размеру оборота по приобретению работ, услуг от нерезидента.
Сноска. Статья 421 с изменением, внесенным Законом РК от 02.04.2019 № 241-VI (вводится в действие с 01.01.2019).
Статья 422. Ставки налога на добавленную стоимость
1. Ставка налога на добавленную стоимость составляет 12 процентов и применяется к размеру облагаемого оборота и облагаемого импорта.
2. Обороты по реализации товаров, работ, услуг, указанные в главе 44 настоящего Кодекса, облагаются налогом на добавленную стоимость по нулевой ставке.
В случае неподтверждения в соответствии с главой 44 настоящего Кодекса оборота по реализации товаров, работ, услуг, облагаемого по нулевой ставке, указанный оборот по реализации товаров и услуг подлежит обложению налогом на добавленную стоимость по ставке, указанной в пункте 1 настоящей статьи.
Размеры и порядок уплаты единых ставок таможенных пошлин, налогов, а также совокупного таможенного платежа устанавливаются таможенным законодательством Евразийского экономического союза и (или) таможенным законодательством Республики Казахстан.
3. При снятии лица с регистрационного учета по налогу на добавленную стоимость к размеру облагаемого оборота, определяемого в соответствии с пунктом 4 статьи 380 настоящего Кодекса, применяется ставка налога на добавленную стоимость:
1) по товарно-материальным запасам – действующая на дату снятия лица с регистрационного учета по налогу на добавленную стоимость;
2) по основным средствам, нематериальным и биологическим активам, инвестициям в недвижимость – действовавшая на дату их приобретения.
Статья 423. Налоговый период
Налоговым периодом по налогу на добавленную стоимость является календарный квартал.
Статья 424. Налоговая декларация
1. Плательщик налога на добавленную стоимость, указанный в подпункте 1) пункта 1 статьи 367 настоящего Кодекса, обязан представить декларацию по налогу на добавленную стоимость в налоговый орган по месту нахождения за каждый налоговый период не позднее 15 числа второго месяца, следующего за отчетным налоговым периодом, если иное не установлено настоящей статьей.
Обязательство по представлению декларации по налогу на добавленную стоимость не распространяется на лиц, указанных в подпунктах 2) и 3) пункта 1 статьи 367 настоящего Кодекса, по которым не произведена постановка на регистрационный учет по налогу на добавленную стоимость.
В случаях, предусмотренных пунктом 3 статьи 426 настоящего Кодекса, оператор представляет декларацию по налогу на добавленную стоимость по контрактной деятельности по всем участникам простого товарищества (консорциума).
2. Одновременно с декларацией представляются реестры счетов-фактур по приобретенным и реализованным в течение налогового периода товарам, работам, услугам, являющиеся приложением к декларации. Формы реестров счетов-фактур по приобретенным и реализованным товарам, работам, услугам устанавливаются уполномоченным органом.
Количество ячеек для указания номеров счетов-фактур не ограничивается при представлении в электронной форме:
1) реестра счетов-фактур (документов на выпуск товаров из государственного материального резерва) по приобретенным товарам, работам, услугам в течение отчетного налогового периода;
2) реестра счетов-фактур по реализованным товарам, работам, услугам в течение отчетного налогового периода.
В случае если плательщик налога на добавленную стоимость:
выписывает в течение налогового периода счета-фактуры в электронной форме и на бумажном носителе, то в реестре счетов-фактур по реализованным в течение налогового периода товарам, работам, услугам отражаются счета-фактуры, выписанные на бумажном носителе;
получает в течение налогового периода счета-фактуры в электронной форме и на бумажном носителе, то в реестре счетов-фактур по приобретенным в течение налогового периода товарам, работам, услугам отражаются счета-фактуры, выписанные на бумажном носителе.
В случае если плательщик налога на добавленную стоимость:
выписывает в течение налогового периода счета-фактуры исключительно в электронной форме, то реестр счетов-фактур по реализованным в течение налогового периода товарам, работам, услугам в налоговые органы не представляется;
получает в течение налогового периода счета-фактуры исключительно в электронной форме, то реестр счетов-фактур по приобретенным в течение налогового периода товарам, работам, услугам в налоговые органы не представляется.
3. Исключен Законом РК от 02.04.2019 № 241-VI (вводится в действие по истечении десяти календарных дней после дня его первого официального опубликования).
4. Налогоплательщик, снятый с регистрационного учета по решению налогового органа в случаях, предусмотренных пунктом 4 статьи 85 настоящего Кодекса, обязан представить ликвидационную декларацию по налогу на добавленную стоимость в налоговый орган по месту нахождения не позднее 15 числа месяца, следующего за месяцем, в котором проведено снятие с такого учета. Ликвидационная декларация составляется за период с начала налогового периода, в котором налогоплательщик снят с регистрационного учета, до даты его снятия с такого учета.
Положение настоящего пункта не распространяется на лиц, указанных в подпункте 4), абзацах восьмом и девятом подпункта 6) пункта 4 статьи 85 настоящего Кодекса.
5. Плательщики налога на добавленную стоимость, осуществляющие деятельность по оказанию услуг казино, зала игровых автоматов, тотализатора и букмекерской конторы, представляют налоговую отчетность в соответствии с положениями раздела 16 настоящего Кодекса.
Сноска. Статья 424 с изменениями, внесенными законами РК от 02.04.2019 № 241-VI (вводится в действие с 01.01.2019); от 10.12.2020 № 382-VI порядок введения в действие см. ст. 2); от 21.12.2022 № 165-VII (вводится в действие с 01.01.2023).
Статья 425. Сроки уплаты налога на добавленную стоимость
Налог на добавленную стоимость подлежит уплате в бюджет по месту нахождения налогоплательщика в следующие сроки:
1) не позднее 25 числа второго месяца, следующего за отчетным налоговым периодом, – сумма налога на добавленную стоимость, подлежащего уплате в бюджет за каждый налоговый период, а также исчисленного налога на добавленную стоимость за нерезидента, за исключением налога на добавленную стоимость, указанного в подпунктах 2) и 3) части первой настоящей статьи;
1-1) действовал до 26.02.2021 в соответствии с Законом РК от 02.07.2020 № 354-VI;
2) в сроки, определенные таможенным законодательством Республики Казахстан, – сумма налога на добавленную стоимость по импортируемым товарам;
3) не позднее десяти календарных дней со дня представления в налоговый орган ликвидационной декларации по налогу на добавленную стоимость – сумма налога на добавленную стоимость, отраженного в такой декларации, в случае снятия плательщика налога на добавленную стоимость с регистрационного учета по налогу на добавленную стоимость в соответствии со статьей 85 настоящего Кодекса.
В случае, если срок уплаты налога на добавленную стоимость, отраженного в декларации по налогу на добавленную стоимость, представленной за налоговый период, предшествующий налоговому периоду, за который представлена ликвидационная декларация по такому налогу, наступает после истечения срока, указанного в подпункте 3) части первой настоящей статьи, уплата налога производится не позднее десяти календарных дней со дня представления в налоговый орган ликвидационной декларации.
Сноска. Статья 425 с изменениями, внесенными Законом РК от 02.07.2020 № 354-VI (вводится в действие с 01.07.2020 и действует до 26.02.2021).
Статья 426. Особенности исполнения налогового обязательства по налогу на добавленную стоимость недропользователями, осуществляющими деятельность по соглашению (контракту) о разделе продукции в составе простого товарищества (консорциума)
1. Налоговое обязательство по составлению и представлению налоговых форм по налогу на добавленную стоимость в рамках деятельности по соглашению (контракту) о разделе продукции должно быть исполнено одним из следующих способов:
каждым участником простого товарищества в части доли налога на добавленную стоимость, приходящейся на указанного участника;
оператором сводно по деятельности, осуществляемой в рамках соглашения (контракта) о разделе продукции, если условиями соглашения (контракта) о разделе продукции оператор уполномочен на исполнение такого налогового обязательства.
2. При исполнении налогового обязательства по составлению и представлению налоговых форм по налогу на добавленную стоимость каждым участником простого товарищества (консорциума):
счета-фактуры по реализации (приобретению) товаров, работ, услуг выписываются в соответствии с требованиями статьи 417 настоящего Кодекса;
декларация по налогу на добавленную стоимость и реестры счетов-фактур, являющиеся приложением к декларации, представляются каждым участником простого товарищества (консорциума) в части, приходящейся на долю такого участника;
исчисленные, начисленные (уменьшенные), перечисленные и уплаченные (с учетом зачтенных и возвращенных) суммы налога на добавленную стоимость отражаются на лицевом счете каждого участника простого товарищества в части, приходящейся на долю указанного лица;
возврат суммы превышения налога на добавленную стоимость производится участнику простого товарищества (консорциума), представившему декларацию;
порядок налогового администрирования, в том числе вручения предписания, уведомления и акта налоговой проверки, применяется в отношении каждого участника простого товарищества (консорциума) в порядке, определенном настоящим Кодексом.
3. При исполнении налогового обязательства по составлению и представлению налоговых форм по налогу на добавленную стоимость оператором сводно по деятельности, осуществляемой в рамках соглашения (контракта) о разделе продукции:
счета-фактуры по реализации (приобретению) товаров, работ, услуг выписываются в общеустановленном порядке в соответствии с требованиями статьи 412 настоящего Кодекса с указанием реквизитов оператора;
декларация по налогу на добавленную стоимость и реестры счетов-фактур, являющиеся приложением к декларации, представляются оператором сводно по деятельности, осуществляемой в рамках соглашения (контракта) о разделе продукции;
исчисленные, начисленные (уменьшенные), перечисленные и уплаченные (с учетом зачтенных и возвращенных) суммы налога на добавленную стоимость отражаются на лицевом счете оператора;
возврат суммы превышения налога на добавленную стоимость производится оператору;
порядок налогового администрирования, в том числе вручение предписания, уведомления и акта налоговой проверки, применяется в отношении оператора в соответствии с порядком, предусмотренным настоящим Кодексом для налогоплательщиков (налоговых агентов), и при этом указанные документы считаются врученными каждому участнику простого товарищества (консорциума) как налогоплательщику по соглашению (контракту) о разделе продукции.
4. Выбранный способ исполнения налогового обязательства по составлению и представлению налоговых форм по налогу на добавленную стоимость в соответствии с настоящей статьей должен быть отражен в налоговой учетной политике и оставаться неизменным до истечения периода действия соглашения (контракта) о разделе продукции.
Статья 427. Уплата налога на добавленную стоимость на импортируемые товары методом зачета
Сноска. Статья 427 действовала до 01.01.2025 в соответствии с Законом РК от 25.12.2017 № 121-VI.
Статья 428. Уплата налога на добавленную стоимость на импортируемые товары на территорию Республики Казахстан с территории государств-членов Евразийского экономического союза методом зачета
Сноска. Статья 428 действовала до 01.01.2025 в соответствии с Законом РК от 25.12.2017 № 121-VI.
Статья 428-1. Уплата налога на добавленную стоимость на импортируемые товары методом зачета
1. Налог на добавленную стоимость уплачивается методом зачета в порядке, определенном настоящей статьей, плательщиками налога на добавленную стоимость, указанными в подпункте 1) пункта 1 статьи 367 настоящего Кодекса, по следующим товарам, помещаемым под таможенную процедуру выпуска для внутреннего потребления:
1) оборудование;
2) сельскохозяйственная техника;
3) грузовой подвижной состав автомобильного транспорта;
4) вертолеты и самолеты;
5) локомотивы железнодорожные и вагоны;
6) морские суда;
7) запасные части;
8) пестициды;
9) племенные животные и оборудование для искусственного осеменения;
10) крупный рогатый скот живой.
Перечень указанных товаров и порядок его формирования определяются уполномоченным органом в области налоговой политики.
В данный перечень включаются товары, производство которых отсутствует на территории Республики Казахстан.
В данный перечень включаются товары, указанные в подпунктах 8), 9) и 10) части первой настоящего пункта, которые не покрывают потребности Республики Казахстан.
2. Положения настоящей статьи в части уплаты налога на добавленную стоимость методом зачета применяются в отношении товаров, ввозимых плательщиком налога на добавленную стоимость, указанным в подпункте 1) пункта 1 статьи 367 настоящего Кодекса:
1) не предназначенных для дальнейшей реализации;
2) с целью передачи в финансовый лизинг, за исключением передачи в международный финансовый лизинг;
3) указанных в подпункте 7) части первой пункта 1 настоящей статьи, используемых в производстве сельскохозяйственной техники, включенной в перечень, установленный уполномоченным органом в области развития агропромышленного комплекса по согласованию с центральным уполномоченным органом по государственному планированию и уполномоченным органом.
3. Выпуск товаров, указанных в пункте 1 настоящей статьи, для внутреннего потребления производится без фактической уплаты налога на добавленную стоимость при условии уплаты в установленном порядке таможенных платежей и акцизов по подакцизным товарам.
4. Сумма налога на добавленную стоимость, уплаченная методом зачета, отражается в декларации по налогу на добавленную стоимость одновременно в начислении и зачете в порядке, определенном налоговым законодательством Республики Казахстан.
В случае нарушения в течение пяти лет с даты выпуска товаров для внутреннего потребления на территорию Республики Казахстан требований, установленных пунктами 1 и 2 настоящей статьи, налог на добавленную стоимость на импортируемые товары подлежит уплате с начислением пеней со срока, установленного для уплаты налога на добавленную стоимость на импортируемые товары, в порядке и размере, которые определены таможенным законодательством Евразийского экономического союза и (или) таможенным законодательством Республики Казахстан.
При этом не являются нарушениями требований, установленных настоящей статьей:
1) реализация мяса и мясных продуктов, полученных в результате вынужденного забоя животных, указанных в подпунктах 9) и 10) части первой пункта 1 настоящей статьи, или убыль (падеж) таких животных в пределах норм естественной убыли.
Порядок вынужденного забоя и нормы естественной убыли утверждаются уполномоченным органом в области развития агропромышленного комплекса;
2) вывоз в соответствии с процедурой реэкспорта ранее ввезенных товаров;
3) снятие с регистрационного учета по налогу на добавленную стоимость после выпуска товаров;
4) выбытие (списание) товара в результате аварии, крушения и (или) неисправности при наличии документа, подтверждающего невозможность восстановления указанного товара.
5. Реализация товаров, по которым налог на добавленную стоимость на импортируемые товары уплачен методом зачета, по истечении пяти лет с даты их выпуска для внутреннего потребления на территорию Республики Казахстан не подлежит обложению налогом на добавленную стоимость на импортируемые товары.
Положения настоящего пункта применяются также при реализации после 31 декабря 2008 года товаров, ввезенных по 31 декабря 2008 года для собственных производственных нужд, при импорте которых налог на добавленную стоимость уплачен методом зачета.
6. Обороты по реализации товаров, указанных в пункте 1 настоящей статьи, по которым налог на добавленную стоимость уплачен методом зачета, при передаче в финансовый лизинг освобождаются от налога на добавленную стоимость.
Положения настоящего пункта применяются также при передаче после 31 декабря 2008 года в финансовый лизинг товаров, ввезенных по 31 декабря 2008 года для собственных производственных нужд, по которым налог на добавленную стоимость уплачен методом зачета.
Сноска. Глава 48 дополнена статьей 428-1 в соответствии с Законом РК от 15.07.2025 № 208-VIII (вводится в действие с 01.01.2025).
Статья 428-2. Уплата налога на добавленную стоимость на импортируемые товары на территорию Республики Казахстан с территории государств – членов Евразийского экономического союза методом зачета
1. Налог на добавленную стоимость уплачивается методом зачета в порядке, определенном настоящей статьей, плательщиками налога на добавленную стоимость, указанными в подпункте 1) пункта 1 статьи 367 настоящего Кодекса, по следующим товарам, импортируемым на территорию Республики Казахстан с территории государств – членов Евразийского экономического союза:
1) оборудование;
2) сельскохозяйственная техника;
3) грузовой подвижной состав автомобильного транспорта;
4) вертолеты и самолеты;
5) локомотивы железнодорожные и вагоны;
6) морские суда;
7) запасные части;
8) пестициды;
9) племенные животные и оборудование для искусственного осеменения;
10) крупный рогатый скот живой.
Перечень указанных товаров и порядок его формирования определяются уполномоченным органом в области налоговой политики.
В данный перечень включаются товары, производство которых отсутствует на территории Республики Казахстан.
В данный перечень включаются товары, указанные в подпунктах 8), 9) и 10) части первой настоящего пункта, которые не покрывают потребности Республики Казахстан.
2. Положения настоящей статьи в части уплаты налога на добавленную стоимость методом зачета применяются в отношении товаров, ввозимых плательщиком налога на добавленную стоимость, указанным в подпункте 1) пункта 1 статьи 367 настоящего Кодекса:
1) не предназначенных для дальнейшей реализации;
2) с целью передачи в финансовый лизинг, за исключением передачи в международный финансовый лизинг;
3) указанных в подпункте 7) части первой пункта 1 настоящей статьи, используемых в производстве сельскохозяйственной техники, включенной в перечень, установленный уполномоченным органом в области развития агропромышленного комплекса по согласованию с центральным уполномоченным органом по государственному планированию и уполномоченным органом.
3. Плательщик налога на добавленную стоимость, указанный в подпункте 1) пункта 1 статьи 367 настоящего Кодекса, одновременно с заявлением о ввозе товаров и уплате косвенных налогов представляет в налоговый орган:
1) документы, указанные в пункте 2 статьи 456 настоящего Кодекса;
2) документы, описывающие основные технические, коммерческие характеристики товаров, позволяющие отнести товар к конкретной товарной подсубпозиции единой Товарной номенклатуры внешнеэкономической деятельности Евразийского экономического союза. При необходимости представляются фотографии, рисунки, чертежи, паспорта изделий, пробы, образцы товаров и другие документы.
4. Ввоз товаров, указанных в пункте 1 настоящей статьи, производится без фактической уплаты налога на добавленную стоимость при условии уплаты в установленном порядке акцизов по подакцизным товарам.
5. Сумма налога на добавленную стоимость, уплаченная методом зачета, отражается в декларации по налогу на добавленную стоимость одновременно в начислении и зачете в порядке, определенном налоговым законодательством Республики Казахстан.
В случае нарушения в течение пяти лет с даты ввоза товаров на территорию Республики Казахстан требований, установленных пунктами 1 и 2 настоящей статьи, налог на добавленную стоимость на ввозимые товары подлежит уплате с начислением пеней со срока, установленного для уплаты налога на добавленную стоимость при ввозе товаров, в порядке и размере, которые определены налоговым законодательством Республики Казахстан.
При этом не являются нарушениями требований, установленных настоящей статьей:
1) реализация мяса и мясных продуктов, полученных в результате вынужденного забоя животных, указанных в подпунктах 9) и 10) части первой пункта 1 настоящей статьи, или убыль (падеж) таких животных в пределах норм естественной убыли.
Порядок вынужденного забоя и нормы естественной убыли утверждаются уполномоченным органом в области развития агропромышленного комплекса;
2) снятие с регистрационного учета по налогу на добавленную стоимость после даты принятия на учет импортированных товаров, определенной в соответствии со статьей 442 настоящего Кодекса;
3) выбытие (списание) товара в результате аварии, крушения и (или) неисправности при наличии документа, подтверждающего невозможность восстановления указанного товара.
6. Обороты по реализации товаров, указанных в пункте 1 настоящей статьи, по которым налог на добавленную стоимость уплачен методом зачета, при передаче в финансовый лизинг освобождаются от налога на добавленную стоимость.
7. Положения настоящей статьи также распространяются на товары, импортированные на территорию Республики Казахстан с территории государств – членов Евразийского экономического союза по договорам (контрактам) лизинга в части суммы налога на добавленную стоимость, приходящейся на сумму лизингового платежа, предусмотренного договором лизинга, без учета вознаграждения.
Сноска. Глава 48 дополнена статьей 428-2 в соответствии с Законом РК от 15.07.2025 № 208-VIII (вводится в действие с 01.01.2025).
Глава 49. ВЗАИМООТНОШЕНИЯ С БЮДЖЕТОМ ПО НАЛОГУ НА ДОБАВЛЕННУЮ СТОИМОСТЬ
Статья 429. Превышение суммы налога на добавленную стоимость, относимого в зачет, над суммой начисленного налога за налоговый период
1. Если иное не предусмотрено настоящей главой, превышение суммы налога на добавленную стоимость, относимого в зачет, над суммой начисленного налога, сложившееся по декларации нарастающим итогом на конец отчетного налогового периода (далее – превышение налога на добавленную стоимость), зачитывается в счет предстоящих платежей по налогу на добавленную стоимость.
Превышение налога на добавленную стоимость не зачитывается в счет уплаты налога на добавленную стоимость по импортируемым товарам и (или) при приобретении работ, услуг от нерезидента.
2. Превышение налога на добавленную стоимость, сложившееся на конец налогового периода, в котором совершены обороты по реализации, облагаемые по нулевой ставке, подлежит возврату по приобретенным товарам, работам и услугам, используемым в целях облагаемых оборотов по реализации, в порядке, определенном статьей 431 настоящего Кодекса, если одновременно выполняются следующие условия:
1) плательщиком налога на добавленную стоимость осуществляется постоянная реализация товаров, работ, услуг, облагаемых по нулевой ставке;
2) оборот по реализации, облагаемый по нулевой ставке, за налоговый период, в котором осуществлялась постоянная реализация товаров, работ, услуг, составляет не менее 70 процентов в общем облагаемом обороте по реализации.
В целях настоящего пункта к постоянной реализации товаров, работ, услуг, облагаемых по нулевой ставке, относится реализация товаров, выполнение работ, оказание услуг, облагаемых по нулевой ставке, осуществляемых в течение трех последовательных налоговых периодов, не реже одного раза в каждом квартале. При этом постоянной реализацией признается такая реализация в каждом из указанных налоговых периодов.
3. В случае невыполнения условий, установленных пунктом 2 настоящей статьи, превышение суммы налога на добавленную стоимость подлежит возврату в части суммы налога, отнесенного в зачет по товарам (работам, услугам), использованным для целей оборота по реализации, облагаемого по нулевой ставке.
При осуществлении международных перевозок сумма превышения налога на добавленную стоимость, подлежащая возврату, рассчитывается путем применения удельного веса физического объема международных перевозок в общем объеме перевозок к сумме налога на добавленную стоимость, отнесенного в зачет за налоговый период, за который представлено требование о возврате суммы превышения налога на добавленную стоимость в декларации по налогу на добавленную стоимость.
4. Возврат превышения налога на добавленную стоимость, образовавшегося в связи с приобретением товаров, работ, услуг, не используемых в целях оборотов по реализации, облагаемых по нулевой ставке, производится в пределах сумм налога на добавленную стоимость, отнесенного в зачет, уплаченного при приобретении работ, услуг от нерезидента в соответствии со статьей 373 настоящего Кодекса.
5. Превышение налога на добавленную стоимость, указанное в пункте 1 настоящей статьи, сложившееся у плательщика налога на добавленную стоимость, имеющего право на упрощенный порядок возврата налога на добавленную стоимость, подлежит возврату.
Превышение налога на добавленную стоимость, установленное настоящим пунктом, возвращается по выбору налогоплательщика порядка и сроков, которые установлены статьями 431 и (или) 434 настоящего Кодекса.
В случае выбора статьи 434 настоящего Кодекса на оставшуюся часть превышения налога на добавленную стоимость налогоплательщик вправе применить статью 431 настоящего Кодекса.
6. Положения пунктов 2, 3 и 4 настоящей статьи не применяются:
к сумме превышения налога на добавленную стоимость, возврат которого осуществляется в соответствии со статьей 432 настоящего Кодекса;
к налогоплательщикам, указанным в подпункте 1) пункта 2 статьи 434 настоящего Кодекса, имеющим право на применение упрощенного порядка возврата превышения налога на добавленную стоимость.
7. При определении суммы превышения налога на добавленную стоимость, подлежащего возврату из бюджета, не учитывается сумма налога на добавленную стоимость, отнесенная в зачет по:
счетам-фактурам, выписанным заготовительной организацией в сфере агропромышленного комплекса;
товарам, работам, услугам по полезным ископаемым, передаваемым в счет исполнения налогового обязательства в натуральной форме (в том числе товарам, работам, услугам, связанным с реализацией таких полезных ископаемых).
8. По налогоплательщикам, снятым с регистрационного учета по налогу на добавленную стоимость, подлежит списанию превышение налога на добавленную стоимость, сложившееся:
на дату вынесения решения налогового органа, в случае невыполнения условий, предусмотренных пунктом 4 статьи 424 настоящего Кодекса;
после выполнения требований, указанных в подпункте 3) пункта 1 статьи 369 настоящего Кодекса.
Списание превышения налога на добавленную стоимость с лицевых счетов налогоплательщиков осуществляется в порядке, определенном уполномоченным органом.
9. Исключен Законом РК от 10.12.2020 № 382-VI (вводится в действие с 01.01.2021).
10. Правила возврата превышения налога на добавленную стоимость утверждаются уполномоченным органом.
Сноска. Статья 429 с изменениями, внесенными законами РК от 24.05.2018 № 156-VI (вводится в действие с 01.01.2018); от 02.04.2019 № 241-VI (вводится в действие с 01.01.2019); от 10.12.2020 № 382-VI (вводится в действие с 01.01.2021); от 20.12.2021 № 85-VII (вводится в действие с 01.01.2022).
Статья 430. Возврат налога на добавленную стоимость по отдельным основаниям
Возврату из бюджета подлежит налог на добавленную стоимость:
1) уплаченный поставщикам товаров, работ, услуг, приобретенных за счет средств гранта, в порядке, определенном статьей 435 настоящего Кодекса;
2) уплаченный дипломатическими и приравненными к ним представительствами иностранных государств, консульскими учреждениями иностранных государств, аккредитованными в Республике Казахстан, и лицами, относящимися к дипломатическому и административно-техническому персоналу этих представительств, включая членов их семей, проживающих вместе с ними, консульскими должностными лицами, консульскими служащими, включая членов их семей, проживающих вместе с ними, поставщикам товаров, работ, услуг, приобретенных на территории Республики Казахстан, в порядке, определенном статьей 436 настоящего Кодекса;
3) излишне уплаченный в бюджет в порядке, определенном статьями 101 и 102 настоящего Кодекса.
Статья 431. Порядок и сроки возврата превышения налога на добавленную стоимость
1. Возврат превышения налога на добавленную стоимость осуществляется налогоплательщику:
1) в порядке и сроки, которые установлены настоящей статьей, если иное не установлено статьями 432 и 434 настоящего Кодекса;
2) на основании его требования о возврате суммы превышения налога на добавленную стоимость, указанного в декларации по налогу на добавленную стоимость за налоговый период.
2. Если иное не установлено статьями 432 и 434 настоящего Кодекса, возврат суммы превышения налога на добавленную стоимость, подтвержденного результатами проверки, производится налогоплательщику в следующие сроки:
осуществляющему обороты по реализации, облагаемые по нулевой ставке, которые составляют не менее 70 процентов в общем облагаемом обороте по реализации за налоговый период, за который предъявлено требование о возврате суммы превышения налога на добавленную стоимость, – в течение пятидесяти пяти рабочих дней;
в остальных случаях – в течение семидесяти пяти рабочих дней.
При этом течение срока возврата суммы превышения налога на добавленную стоимость начинается после истечения тридцати календарных дней со срока, установленного для представления декларации по налогу на добавленную стоимость в соответствии с пунктом 1 статьи 424 настоящего Кодекса.
В целях настоящего пункта основаниями для возврата суммы превышения налога на добавленную стоимость являются:
1) акт налоговой проверки по подтверждению достоверности суммы превышения налога на добавленную стоимость, предъявленной к возврату, с учетом результатов его обжалования (при обжаловании налогоплательщиком);
2) заключение к акту налоговой проверки, оформленное в случае, предусмотренном пунктом 13 статьи 152 настоящего Кодекса.
3. Не производится возврат превышения налога на добавленную стоимость:
1) налогоплательщику, осуществляющему расчеты с бюджетом в специальных налоговых режимах, установленных для:
субъектов малого бизнеса;
крестьянских или фермерских хозяйств;
производителей сельскохозяйственной продукции, продукции аквакультуры (рыбоводства) и сельскохозяйственных кооперативов;
2) налогоплательщику за налоговые периоды, по которым он применял положения статьи 411 настоящего Кодекса.
4. Сумма превышения налога на добавленную стоимость, подтвержденная к возврату из бюджета, возвращается налогоплательщику в порядке, определенном статьей 104 настоящего Кодекса.
5. Сумма превышения налога на добавленную стоимость, по которой налогоплательщиком в декларации указано требование о возврате суммы превышения налога на добавленную стоимость, возвращенная из бюджета, но не подтвержденная в последующем по результатам налогового контроля, подлежит уплате в бюджет налогоплательщиком в случае его согласия в соответствии с подпунктом 1) части второй пункта 2 статьи 96 настоящего Кодекса на основании уведомления об устранении нарушений, выявленных по результатам камерального контроля, или уведомления о результатах проверки.
Если возврат суммы превышения налога на добавленную стоимость налогоплательщику ранее был произведен с начислением и перечислением пени в соответствии с пунктом 4 статьи 104 настоящего Кодекса в пользу данного налогоплательщика, пеня, перечисленная ранее налогоплательщику и приходящаяся на возвращенную сумму превышения налога на добавленную стоимость, не подтвержденную по результатам налогового контроля, подлежит уплате в бюджет в случае его согласия в соответствии с подпунктом 1) части второй пункта 2 статьи 96 настоящего Кодекса на основании уведомления об устранении нарушений, выявленных по результатам камерального контроля, или уведомления о результатах проверки.
6. Суммы, указанные в пункте 5 настоящей статьи, подлежат уплате в бюджет с начислением пени за каждый день с даты возврата из бюджета в размере, указанном в пункте 4 статьи 104 настоящего Кодекса.
Сноска. Статья 431 с изменениями, внесенными законами РК от 10.12.2020 № 382-VI (вводится в действие с 01.01.2021); от 20.12.2021 № 85-VII (вводится в действие с 01.01.2022); от 21.12.2022 № 165-VII (вводится в действие с 01.01.2023).
Статья 432. Особенности возврата превышения налога на добавленную стоимость отдельным категориям налогоплательщиков
1. В случае, если превышение налога на добавленную стоимость сложилось по товарам, работам, услугам, приобретенным налогоплательщиком в связи со строительством зданий и сооружений производственного назначения, впервые вводимых в эксплуатацию на территории Республики Казахстан, возврат такому налогоплательщику суммы превышения налога на добавленную стоимость, сложившейся за период строительства, осуществляется в порядке и сроки, которые установлены пунктом 3 настоящей статьи.
Для целей настоящей статьи к зданиям производственного назначения относятся:
1) промышленные здания и склады;
2) здания транспорта, связи и коммуникаций;
3) нежилые сельскохозяйственные здания.
Для целей настоящей статьи к сооружениям производственного назначения относятся сооружения, кроме сооружений, предназначенных для спорта и мест отдыха, административных целей, стоянки или парковки автомобилей, а также культурно-развлекательного, гостиничного, ресторанного назначения.
Отнесение зданий и сооружений производственного назначения к зданиям и сооружениям, указанным в частях второй и третьей настоящего пункта, производится в соответствии с классификацией, установленной уполномоченным государственным органом, осуществляющим государственное регулирование в области технического регулирования.
Положения части первой настоящего пункта применяются также и при строительстве «под ключ» в соответствии с законодательством Республики Казахстан.
При этом под периодом строительства понимается период времени между началом строительства и датой ввода в эксплуатацию зданий, сооружений.
Для целей настоящей статьи началом строительства признается наиболее ранняя из следующих дат:
1) дата заключения контракта (договора) на осуществление строительства;
2) дата заключения контракта (договора) на осуществление проектных работ.
Положения настоящего пункта применяются при одновременном соблюдении следующих условий:
1) налогоплательщик является организацией, осуществляющей деятельность на территории специальной экономической зоны или вновь образованной, реализующей инвестиционный приоритетный проект;
2) строительство осуществляется на основании долгосрочного контракта, указанного в пункте 1 статьи 282 настоящего Кодекса;
3) здания, сооружения признаны основными средствами;
4) здания, сооружения приняты в эксплуатацию.
Требование о возврате суммы превышения налога на добавленную стоимость, предусмотренного в настоящем пункте, указывается в очередной декларации по налогу на добавленную стоимость за налоговые периоды, следующие за налоговым периодом, в котором произведен ввод в эксплуатацию зданий, сооружений, с учетом положений статьи 48 настоящего Кодекса.
2. В случае, если превышение налога на добавленную стоимость сложилось по товарам, работам, услугам, приобретенным налогоплательщиком в период проведения геологоразведочных работ и обустройства месторождения, возврат суммы такого превышения налога на добавленную стоимость осуществляется в порядке и сроки, которые установлены пунктом 3 настоящей статьи.
При этом под периодом проведения геологоразведочных работ и обустройства месторождения понимается период времени между датой заключения соответствующего контракта на недропользование в порядке, определенном законодательством Республики Казахстан, и датой начала экспорта полезных ископаемых, добытых в рамках соответствующего контракта на недропользование, за исключением общераспространенных полезных ископаемых, подземных вод и лечебных грязей.
Положение настоящего пункта применяется в отношении налогоплательщиков, осуществляющих деятельность в рамках контракта на недропользование (за исключением контрактов на разведку и (или) добычу общераспространенных полезных ископаемых, подземных вод и лечебных грязей), заключенного в порядке, определенном законодательством Республики Казахстан.
Требование о возврате суммы превышения налога на добавленную стоимость, указанного в части первой настоящего пункта, налогоплательщиком указывается в очередной декларации по налогу на добавленную стоимость за налоговые периоды, следующие за налоговым периодом, на который приходится дата начала экспорта полезных ископаемых, добытых в рамках соответствующего контракта на недропользование, за исключением общераспространенных полезных ископаемых, подземных вод и лечебных грязей, с учетом положений статьи 48 настоящего Кодекса.
3. Возврат превышения налога на добавленную стоимость, указанного в пунктах 1 и 2 настоящей статьи, осуществляется в течение двадцати налоговых периодов равными долями, начиная с налогового периода, в котором подтверждена достоверность предъявленной к возврату накопленной суммы превышения налога на добавленную стоимость.
4. Положения настоящей статьи не применяются к сумме превышения налога на добавленную стоимость, возврат которого осуществляется в соответствии со статьей 429 настоящего Кодекса, а также при возврате превышения налога на добавленную стоимость налогоплательщикам, имеющим право на применение упрощенного порядка возврата превышения налога на добавленную стоимость, предусмотренного статьей 434 настоящего Кодекса.
Сноска. Статья 432 с изменением, внесенным Законом РК от 20.12.2021 № 85-VII (вводится в действие с 01.01.2022).
Статья 433. Особенности возврата превышения налога на добавленную стоимость при использовании плательщиком налога на добавленную стоимость контрольного счета налога на добавленную стоимость
Сноска. Статья 433 исключена, в соответствии с Законом РК от 20.12.2021 № 85-VII (вводится в действие с 01.01.2022).
Статья 434. Упрощенный порядок возврата превышения налога на добавленную стоимость
1. Упрощенный порядок возврата превышения налога на добавленную стоимость заключается в осуществлении возврата превышения налога на добавленную стоимость без проведения налоговой проверки.
2. Право на применение упрощенного порядка возврата превышения налога на добавленную стоимость имеют следующие плательщики налога на добавленную стоимость, представившие декларации по налогу на добавленную стоимость с указанием требования о возврате суммы превышения налога на добавленную стоимость и не имеющие неисполненного налогового обязательства по представлению налоговой отчетности на дату представления декларации по налогу на добавленную стоимость:
1) состоящие не менее двенадцати последовательных месяцев на налоговом мониторинге;
2) производители товаров собственного производства, перечень которых утверждается уполномоченным органом в области регулирования торговой деятельности по согласованию с уполномоченным органом и уполномоченным органом в области налоговой политики.
3) экспортеры сырья при конвертации не менее 50 процентов валютной выручки, поступившей за налоговый период.
Перечень экспортеров сырья, предусмотренных настоящим подпунктом, утверждается Правительством Республики Казахстан.
Представление заключения в налоговые органы о конвертации валютной выручки осуществляется Национальным Банком Республики Казахстан и банками второго уровня в порядке и по форме, которые утверждены уполномоченным органом по согласованию с Национальным Банком Республики Казахстан.
Для получения заключения, указанного в части второй настоящего пункта, налоговые органы направляют соответствующий запрос о конвертации валютной выручки по состоянию на дату составления такого заключения.
При реорганизации путем разделения, выделения, преобразования налогоплательщика, подлежащего налоговому мониторингу, который соответствует требованиям, предусмотренным настоящим пунктом, право на применение упрощенного порядка возврата превышения налога на добавленную стоимость переходит к правопреемнику (правопреемникам) реорганизованного лица.
Если иное не установлено настоящим пунктом, при реорганизации путем слияния или присоединения налогоплательщиков, указанных в подпункте 1) части первой настоящего пункта, право на применение упрощенного порядка возврата превышения налога на добавленную стоимость переходит к правопреемнику при условии, если все реорганизуемые путем слияния или присоединения юридические лица до реорганизации являлись налогоплательщиками, которые соответствовали требованиям, предусмотренным настоящим пунктом.
При реорганизации путем слияния или присоединения в соответствии с решением Правительства Республики Казахстан юридического лица-налогоплательщика, подлежащего налоговому мониторингу, право на применение упрощенного порядка возврата превышения налога на добавленную стоимость переходит к правопреемнику.
Положения части четвертой настоящего пункта применяются при одновременном соблюдении следующих условий:
одно из реорганизуемых путем слияния и (или) присоединения юридических лиц является налогоплательщиком, подлежащим налоговому мониторингу, и соответствует требованиям, предусмотренным частью первой настоящего пункта;
контрольный пакет акций одного из реорганизуемых путем слияния и (или) присоединения юридических лиц на дату реорганизации принадлежит национальному управляющему холдингу.
При реорганизации путем слияния или присоединения налогоплательщиков, указанных в подпунктах 2) и 3) части первой настоящего пункта, такие налогоплательщики вправе применить упрощенный порядок возврата превышения налога на добавленную стоимость после проведения налоговой проверки в порядке, установленном статьей 152 настоящего Кодекса. При этом в проверяемый период включается налоговый период, в котором осуществлена реорганизация.
Право на применение упрощенного порядка возврата превышения налога на добавленную стоимость в отношении правопреемника (правопреемников), указанного (указанных) в частях второй, третьей и четвертой настоящего пункта, действует до прекращения действия перечня налогоплательщиков, подлежащих мониторингу крупных налогоплательщиков, или соглашения о горизонтальном мониторинге.
При этом возврату в упрощенном порядке подлежит превышение налога на добавленную стоимость:
для налогоплательщиков, подлежащих мониторингу крупных налогоплательщиков, – в размере не более 70 процентов от суммы превышения налога на добавленную стоимость, сложившегося за отчетный налоговый период;
для налогоплательщиков, состоящих на горизонтальном мониторинге, – в размере не более 90 процентов от суммы превышения налога на добавленную стоимость, сложившегося за отчетный налоговый период;
для налогоплательщиков, являющихся производителями товаров собственного производства обрабатывающей промышленности:
соответствующих условиям пункта 2 статьи 429 настоящего Кодекса, – в размере не более 50 процентов от суммы превышения налога на добавленную стоимость, сложившегося за отчетный налоговый период;
соответствующих условиям пункта 3 статьи 429 настоящего Кодекса, – в размере не более 50 процентов от части суммы налога на добавленную стоимость, отнесенного в зачет по товарам (работам, услугам), использованным для целей оборота по реализации, облагаемого по нулевой ставке, но не более 50 процентов от суммы превышения налога на добавленную стоимость, сложившегося за отчетный налоговый период;
для экспортеров сырья при конвертации не менее 50 процентов валютной выручки, поступившей за налоговый период, которые соответствуют условиям пункта 2 статьи 429 настоящего Кодекса, – в размере не более 80 процентов от суммы превышения налога на добавленную стоимость, сложившегося за отчетный налоговый период.
3. Возврат суммы превышения налога на добавленную стоимость в упрощенном порядке производится в течение пятнадцати рабочих дней после истечения последней даты, установленной настоящим Кодексом для представления в налоговый орган декларации по налогу на добавленную стоимость за налоговый период, в которой указано требование о возврате суммы превышения налога на добавленную стоимость.
В случае продления срока представления налоговой отчетности по налогу на добавленную стоимость в соответствии с подпунктами 2) и 3) пункта 3 статьи 212 настоящего Кодекса, возврат превышения суммы налога на добавленную стоимость производится с учетом периода продления.
Сноска. Статья 434 с изменениями, внесенными законами РК от 10.12.2020 № 382-VI (вводится в действие с 01.01.2021); от 20.12.2021 № 85-VII (вводится в действие с 01.01.2022); от 11.07.2022 № 135-VII (вводится в действие с 01.01.2022); от 21.12.2022 № 165-VII (вводится в действие с 01.01.2023).
Статья 435. Возврат налога на добавленную стоимость, уплаченного по товарам, работам, услугам, приобретенным за счет средств гранта
1. Возврат налога на добавленную стоимость, уплаченного по товарам, работам, услугам, приобретенным за счет средств гранта, производится:
1) грантополучателю – государственному органу, являющемуся бенефициаром в соответствии с международным договором о предоставлении Республике Казахстан гранта и назначающему исполнителя, если иное не предусмотрено указанным международным договором Республики Казахстан;
2) исполнителю – лицу, назначенному грантополучателем для целей реализации гранта (далее – исполнитель).
2. Возврат налога на добавленную стоимость, предусмотренного пунктом 1 настоящей статьи, уплаченного поставщикам товаров, работ, услуг, приобретенных за счет средств гранта, производится налоговыми органами в течение тридцати рабочих дней с даты представления налогового заявления о возврате налога на добавленную стоимость, уплаченного по товарам, работам, услугам, приобретенным за счет средств гранта, если одновременно соблюдаются следующие условия:
1) грант, за счет средств которого приобретены товары, работы, услуги, предоставлен по линии государств, правительств государств, международных организаций;
2) товары, работы, услуги приобретены исключительно в целях, для реализации которых предоставлен грант;
3) реализация товаров, выполнение работ, оказание услуг осуществляются в соответствии с договором (контрактом), заключенным с грантополучателем либо с исполнителем, назначенным грантополучателем для осуществления целей гранта.
3. Возврат налога на добавленную стоимость в соответствии с настоящей статьей производится грантополучателям или исполнителям в порядке, определенном статьями 101 и 102 настоящего Кодекса, на основании документов, подтверждающих уплату налога на добавленную стоимость из средств гранта.
4. Для возврата налога на добавленную стоимость в соответствии с настоящей статьей к налоговому заявлению о возврате налога на добавленную стоимость, уплаченного по товарам, работам, услугам, приобретенным за счет средств гранта, грантополучатель или исполнитель представляет в налоговый орган по месту нахождения следующие документы:
1) копию договора о предоставлении гранта между Республикой Казахстан и иностранным государством, правительством иностранного государства либо международной организацией, включенной в перечень, утвержденный Правительством Республики Казахстан;
2) копию договора (контракта), заключенного грантополучателем либо исполнителем с поставщиком товаров, работ, услуг;
3) копию документа, подтверждающего назначение исполнителя в качестве такового при его обращении с налоговым заявлением о возврате налога на добавленную стоимость;
4) документы, подтверждающие отгрузку и получение товаров, работ, услуг;
5) счет-фактуру, выписанный поставщиком, являющимся плательщиком налога на добавленную стоимость, с выделением суммы налога на добавленную стоимость отдельной строкой;
6) накладную, товарно-транспортную накладную;
7) документ, подтверждающий получение товара материально- ответственным лицом грантополучателя или исполнителя;
8) акты выполненных и принятых грантополучателем или исполнителем работ, услуг, оформленные в установленном порядке;
9) документы, подтверждающие оплату за полученные товары, работы, услуги, в том числе уплату налога на добавленную стоимость.
Возврат налога на добавленную стоимость, предусмотренный настоящей статьей, производится также грантополучателям или исполнителям, не являющимся плательщиками налога на добавленную стоимость.
Статья 436. Возврат налога на добавленную стоимость дипломатическим и приравненным к ним представительствам иностранных государств, консульским учреждениям иностранного государства, аккредитованным в Республике Казахстан, и их персоналу
1. Возврат налога на добавленную стоимость производится дипломатическим и приравненным к ним представительствам иностранных государств, консульским учреждениям иностранного государства, аккредитованным в Республике Казахстан (далее – представительство), и лицам, относящимся к дипломатическому, административно-техническому персоналу этих представительств, включая членов их семей, проживающих вместе с ними, консульским должностным лицам, консульским служащим, включая членов их семей, проживающих вместе с ними (далее – персонал), за приобретенные товары, выполненные работы, оказанные услуги на территории Республики Казахстан при условии, если такой возврат предусмотрен международными договорами, участником которых является Республика Казахстан, или документами, подтверждающими принцип взаимности при предоставлении льгот по налогу на добавленную стоимость.
Возврат налога на добавленную стоимость осуществляется налоговыми органами по месту нахождения представительств, включенных в перечень, утвержденный Министерством иностранных дел Республики Казахстан.
2. В отношении некоторых представительств, исходя из принципа взаимности, могут устанавливаться ограничения по размерам и условиям возврата налога на добавленную стоимость.
Перечень представительств, в отношении которых устанавливаются ограничения по возврату налога на добавленную стоимость, утверждается Министерством иностранных дел Республики Казахстан по согласованию с уполномоченным органом.
3. Если иное не установлено пунктом 2 настоящей статьи, возврат представительствам налога на добавленную стоимость производится при условии, если сумма приобретенных товаров, выполненных работ, оказанных услуг, включая налог на добавленную стоимость, в каждом отдельном счете-фактуре, выписанном в порядке, определенном настоящим Кодексом, и документах, подтверждающих факт оплаты, составляет или превышает 8-кратный размер месячного расчетного показателя, установленный законом о республиканском бюджете и действующий на дату выписки счета-фактуры.
Ограничения, установленные настоящим пунктом, не распространяются на плату за услуги связи, электроэнергию, воду, газ и иные коммунальные услуги.
4. Налоговые органы осуществляют возврат налога на добавленную стоимость на основании составленных представительствами сводных ведомостей (реестров) и копий документов, подтверждающих уплату налога на добавленную стоимость (счетов-фактур, выписанных в порядке, определенном настоящим Кодексом, документов, подтверждающих факт оплаты).
В отношении членов персонала представительства дополнительно представляются копии аккредитационных документов, выданных Министерством иностранных дел Республики Казахстан.
Сводные ведомости (реестры) по приобретенным товарам, выполненным работам, оказанным услугам за отчетный квартал составляются представительствами ежеквартально на бумажном носителе по форме, установленной уполномоченным органом, заверяются печатью и подписываются руководителем либо иным уполномоченным на то должностным лицом представительства.
Сводные ведомости (реестры), составленные представительствами, передаются в организацию по работе с дипломатическими представительствами Министерства иностранных дел Республики Казахстан с приложением копий документов, подтверждающих уплату налога на добавленную стоимость (счетов-фактур, выписанных в порядке, определенном настоящим Кодексом, документов, подтверждающих факт оплаты), в течение месяца, следующего за отчетным кварталом, за исключением случаев завершения срока пребывания в Республике Казахстан члена (членов) персонала представительства.
5. После подтверждения принципа взаимности организация по работе с дипломатическими представительствами Министерства иностранных дел Республики Казахстан передает в налоговый орган по месту нахождения представительств, аккредитованных в Республике Казахстан, с сопроводительным документом сводные ведомости (реестры) с приложением копий документов, подтверждающих уплату налога на добавленную стоимость (счетов-фактур, выписанных в порядке, определенном настоящим Кодексом, документов, подтверждающих факт оплаты).
6. Возврат налога на добавленную стоимость представительствам осуществляется налоговыми органами в течение тридцати рабочих дней после получения от организации по работе с дипломатическими представительствами Министерства иностранных дел Республики Казахстан сводных ведомостей (реестров) и документов, подтверждающих уплату налога на добавленную стоимость, с письменным извещением.
Налоговые органы после проверки сводных ведомостей (реестров) и копий документов, подтверждающих уплату налога на добавленную стоимость, извещают организацию по работе с дипломатическими представительствами Министерства иностранных дел Республики Казахстан о возврате и (или) отказе в возврате сумм налога на добавленную стоимость.
В случае отказа в возврате сумм налога на добавленную стоимость налоговые органы сообщают, какие нарушения и по каким документам они были допущены.
7. В случае выявления в представленных представительствами документах нарушений, в том числе невыделения сумм налога на добавленную стоимость отдельной строкой, налоговыми органами производится встречная проверка у поставщика товаров, работ, услуг.
Если в течение срока возврата, установленного пунктом 6 настоящей статьи, не будут устранены нарушения, выявленные в ходе проведения встречной проверки, возврат налога на добавленную стоимость производится в пределах сумм, по которым не выявлены либо устранены нарушения.
Если нарушения устранены после завершения встречной проверки, возврат налога на добавленную стоимость производится на основании представленной дополнительной сводной ведомости (реестра) с приложением копий документов, подтверждающих уплату налога на добавленную стоимость (счетов-фактур, выписанных в порядке, определенном настоящим Кодексом, документов, подтверждающих факт оплаты).
Сумма налога на добавленную стоимость, не предъявленная к возврату за квартал, в котором приобретены товары, выполнены работы, оказаны услуги, может быть предъявлена к возврату представительствами на основании представленной сводной ведомости (реестра) с приложением копий документов, подтверждающих уплату налога на добавленную стоимость (счетов-фактур, выписанных в порядке, определенном настоящим Кодексом, документов, подтверждающих факт оплаты).
8. Представительства направляют документы в налоговые органы на казахском и (или) русском языках.
При наличии отдельных документов, составленных на иностранных языках, представляется перевод на казахский и (или) русский языки, заверенный печатью представительства.
9. Возврат налога на добавленную стоимость производится налоговыми органами на соответствующие счета представительств и (или) персонала представительств, открытые в банках Республики Казахстан в порядке, определенном законодательством Республики Казахстан.
Глава 50. ОСОБЕННОСТИ ОБЛОЖЕНИЯ НАЛОГОМ НА ДОБАВЛЕННУЮ СТОИМОСТЬ ПРИ ЭКСПОРТЕ И ИМПОРТЕ ТОВАРОВ, ВЫПОЛНЕНИИ РАБОТ, ОКАЗАНИИ УСЛУГ В ЕВРАЗИЙСКОМ ЭКОНОМИЧЕСКОМ СОЮЗЕ
Статья 437. Общие положения
1. Положения настоящей главы установлены на основании международных договоров, заключенных между государствами-членами Евразийского экономического союза, и регулируют налогообложение в части налога на добавленную стоимость при экспорте и импорте товаров, выполнении работ, оказании услуг, а также его налоговое администрирование во взаимной торговле государств-членов Евразийского экономического союза.
Если настоящей главой установлены иные нормы в части обложения налогом на добавленную стоимость при экспорте и импорте товаров, выполнении работ, оказании услуг, а также его налогового администрирования, чем те, которые содержатся в других главах настоящего Кодекса, применяются нормы настоящей главы.
Не урегулированные в настоящей главе вопросы, касающиеся обложения налогом на добавленную стоимость при экспорте и импорте товаров, выполнении работ, оказании услуг, а также его налогового администрирования, регулируются другими главами настоящего Кодекса, а также Законом Республики Казахстан о введении в действие настоящего Кодекса.
Применяемые в настоящей главе понятия предусмотрены ратифицированными Республикой Казахстан международными договорами, заключенными между государствами-членами Евразийского экономического союза.
Если в ратифицированных Республикой Казахстан международных договорах, заключенных между государствами-членами Евразийского экономического союза, не предусмотрены понятия, используемые в настоящей главе, применяются понятия, предусмотренные в соответствующих статьях настоящего Кодекса, гражданском и других отраслях законодательства Республики Казахстан.
Взимание налога на добавленную стоимость по товарам, импортируемым на территорию Республики Казахстан с территории другого государства-члена Евразийского экономического союза, осуществляется налоговыми органами по ставке, установленной пунктом 1 статьи 422 настоящего Кодекса, применяемой к размеру облагаемого импорта.
Налоговый контроль за исполнением налогоплательщиком налогового обязательства по налогу на добавленную стоимость при экспорте и импорте товаров, выполнении работ, оказании услуг во взаимной торговле государств-членов Евразийского экономического союза осуществляется налоговыми органами на основании налоговой отчетности, представленной налогоплательщиком, а также сведений и (или) документов о деятельности налогоплательщика, полученных от государственных органов и иных лиц.
Для целей настоящей главы стоимость товаров, работ, услуг в иностранной валюте пересчитывается в тенге по рыночному курсу обмена валюты, определенному в последний рабочий день, предшествующий дате совершения оборота по реализации товаров, работ, услуг, облагаемого импорта.
2. В целях настоящей главы лизингом признается передача имущества (предмета лизинга) по договору лизинга на срок свыше трех лет, если она отвечает одному из следующих условий:
1) передача имущества (предмета лизинга) в собственность лизингополучателю по фиксированной цене определена договором лизинга;
2) срок лизинга превышает 75 процентов срока полезной службы передаваемого по лизингу имущества (предмета лизинга);
3) текущая (дисконтированная) стоимость лизинговых платежей за весь срок лизинга превышает 90 процентов стоимости передаваемого по лизингу имущества (предмета лизинга).
В целях настоящей главы такая передача рассматривается как продажа имущества (предмета лизинга) лизингодателем и покупка данного имущества (предмета лизинга) лизингополучателем. При этом лизингополучатель рассматривается как владелец предмета лизинга, а лизинговые платежи – как платежи по кредиту, предоставленному лизингополучателю, в размере части стоимости товаров.
В целях настоящей главы под лизинговым платежом понимается часть стоимости товара (предмета лизинга) с учетом вознаграждения, предусмотренной договором (контрактом) лизинга.
В целях настоящей главы не признаются лизингом лизинговые сделки в случае несоблюдения указанных выше условий или расторжения по ним договора лизинга (прекращения обязательств по договору лизинга) до истечения трех лет с даты заключения таких договоров.
В целях настоящей главы под вознаграждением по договору лизинга понимаются все выплаты, связанные с передачей имущества (предмета лизинга) в лизинг, за исключением стоимости, по которой такое имущество (предмет лизинга) получено (передано), выплат лицу, не являющемуся для лизингополучателя лизингодателем, взаимосвязанной стороной.
Статья 438. Плательщики налога на добавленную стоимость в Евразийском экономическом союзе
Плательщиками налога на добавленную стоимость в Евразийском экономическом союзе являются:
1) лица, указанные в подпункте 1) пункта 1 статьи 367 настоящего Кодекса;
2) лица, импортирующие товары на территорию Республики Казахстан с территории государств-членов Евразийского экономического союза:
юридическое лицо-резидент;
структурное подразделение юридического лица-резидента в случае, если оно является стороной договора (контракта);
структурное подразделение юридического лица-резидента на основании соответствующего решения такого юридического лица в случае, если по условиям договора (контракта) между юридическим лицом-резидентом и налогоплательщиком государства-члена Евразийского экономического союза получателем товаров является структурное подразделение юридического лица-резидента;
юридическое лицо-нерезидент, осуществляющее деятельность через постоянное учреждение без открытия структурного подразделения, зарегистрированное в качестве налогоплательщика в налоговых органах Республики Казахстан;
юридическое лицо-нерезидент, осуществляющее деятельность в Республике Казахстан через структурное подразделение;
юридическое лицо-нерезидент, осуществляющее деятельность без образования постоянного учреждения;
доверительные управляющие, импортирующие товары в рамках осуществления деятельности по договорам доверительного управления с учредителями доверительного управления либо с выгодоприобретателями в иных случаях возникновения доверительного управления;
дипломатическое и приравненное к нему представительство иностранного государства, аккредитованное в Республике Казахстан, лица, относящиеся к дипломатическому, административно-техническому персоналу этих представительств, включая членов их семей, проживающих вместе с ними; консульское учреждение иностранного государства, аккредитованное в Республике Казахстан, консульские должностные лица, консульские служащие, включая членов их семей, проживающих вместе с ними;
лица, занимающиеся частной практикой, импортирующие товары в целях осуществления нотариальной деятельности, деятельности по исполнению исполнительных документов, адвокатской деятельности;
медиаторы, импортирующие товары в целях осуществления деятельности медиатора;
физическое лицо, импортирующее товары в целях предпринимательской деятельности. Критерии отнесения товаров к импортируемым в целях предпринимательской деятельности устанавливаются уполномоченным органом.
Статья 439. Объекты налогообложения, определение облагаемого оборота
Если иное не установлено статьей 440 настоящего Кодекса, объекты обложения налогом на добавленную стоимость в Евразийском экономическом союзе, а также облагаемый оборот определяются в соответствии со статьями 368, 369 и 373 настоящего Кодекса.
Статья 440. Определение оборота по реализации товаров, работ, услуг и облагаемого импорта в Евразийском экономическом союзе
1. Оборотом по реализации товаров является экспорт товаров с территории Республики Казахстан на территорию другого государства-члена Евразийского экономического союза.
2. Не является оборотом по реализации временный вывоз товаров с территории Республики Казахстан на территорию государств-членов Евразийского экономического союза, которые в последующем будут ввезены на территорию Республики Казахстан без изменения их свойств и характеристик.
3. Оборотом по реализации работ, услуг в Евразийском экономическом союзе являются обороты в соответствии с пунктом 2 статьи 372 настоящего Кодекса, если на основании пункта 2 статьи 441 настоящего Кодекса местом реализации работ, услуг признается Республика Казахстан.
4. Облагаемым импортом являются:
1) товары, ввезенные (ввозимые) на территорию Республики Казахстан (за исключением освобожденных от налога на добавленную стоимость в соответствии с пунктом 2 статьи 451 настоящего Кодекса).
Положение настоящего подпункта применяется также в отношении ввезенных (ввозимых) транспортных средств, подлежащих государственной регистрации в государственных органах Республики Казахстан;
2) товары, являющиеся продуктами переработки давальческого сырья, ввезенные на территорию Республики Казахстан с территории другого государства-члена Евразийского экономического союза.
5. Не является облагаемым импортом:
1) временный ввоз товаров на территорию Республики Казахстан с территории государств-членов Евразийского экономического союза, которые в последующем будут вывезены с территории Республики Казахстан без изменения их свойств и характеристик;
2) ввоз товаров на территорию Республики Казахстан с территории государств-членов Евразийского экономического союза без изменения свойств и характеристик, которые ранее были временно вывезены на территорию государств-членов Евразийского экономического союза.
Положения настоящего пункта применяются при временном ввозе товаров:
1) по договорам имущественного найма (аренды) движимого имущества и транспортных средств;
2) на выставки и ярмарки.
Положения настоящего пункта не распространяются на транспортные средства, посредством которых оказываются услуги по международным перевозкам, предусмотренным пунктом 2 статьи 387 настоящего Кодекса.
В случае реализации товаров, указанных в настоящем пункте, ввоз таких товаров признается облагаемым импортом и подлежит обложению налогом на добавленную стоимость по импортированным товарам с даты принятия на учет таких товаров в порядке и размере, которые определены настоящим Кодексом.
В случае нахождения временно ввезенных товаров на территории Республики Казахстан более двух лет с даты ввоза ввоз таких товаров признается облагаемым импортом и подлежит обложению налогом на добавленную стоимость по импортированным товарам с даты принятия на учет таких товаров в порядке и размере, которые определены настоящим Кодексом.
6. Косвенные налоги не взимаются при импорте на территорию Республики Казахстан:
1) товаров, ввозимых физическими лицами не в целях предпринимательской деятельности;
2) товаров, ввозимых с территории государства-члена Евразийского экономического союза в связи с их передачей в пределах одного юридического лица.
7. Налогоплательщик обязан уведомлять налоговые органы при ввозе (вывозе) товаров, указанных в подпунктах 1) и 2) части второй пункта 5 и подпункте 2) пункта 6 настоящей статьи.
При временном ввозе товаров на территорию Республики Казахстан с территории государств-членов Евразийского экономического союза юридическим лицом-нерезидентом, осуществляющим деятельность без образования постоянного учреждения в Республике Казахстан, обязанность по представлению уведомления возникает у налогоплательщика Республики Казахстан, который получил во временное пользование товары.
Форма уведомления о ввозе (вывозе) товаров, порядок и сроки его представления в налоговые органы утверждаются уполномоченным органом.
Сноска. Статья 440 с изменением, внесенным Законом РК от 21.12.2022 № 165-VII (вводится в действие с 01.01.2023).
Статья 441. Место реализации товаров, работ, услуг
1. Место реализации товаров определяется в соответствии с пунктом 1 статьи 378 настоящего Кодекса.
2. Местом реализации работ, услуг признается территория государства-члена Евразийского экономического союза, если:
1) работы, услуги связаны непосредственно с недвижимым имуществом, находящимся на территории этого государства.
Положения настоящего подпункта применяются также в отношении услуг по аренде, найму и предоставлению в пользование на иных основаниях недвижимого имущества.
Для целей настоящего подпункта недвижимым имуществом признаются земельные участки, участки недр, обособленные водные объекты и все, что прочно связано с землей, то есть объекты, перемещение которых без несоразмерного ущерба их назначению невозможно, в том числе леса, многолетние насаждения, здания, сооружения, трубопроводы, линии электропередачи, предприятия как имущественные комплексы и космические объекты;
2) работы, услуги связаны непосредственно с движимым имуществом, транспортными средствами, находящимися на территории этого государства (кроме услуг по аренде, лизингу и предоставлению в пользование на иных основаниях движимого имущества и транспортных средств).
Для целей настоящего подпункта движимым имуществом признаются вещи, не относящиеся к недвижимому имуществу, указанному в подпункте 1) настоящего пункта, транспортным средствам.
Для целей настоящего подпункта транспортными средствами признаются морские и воздушные суда, суда внутреннего плавания, суда смешанного (река-море) плавания; единицы железнодорожного или трамвайного подвижного состава; автобусы; автомобили, включая прицепы и полуприцепы; грузовые контейнеры; карьерные самосвалы;
3) услуги в сфере культуры, искусства, обучения (образования), физической культуры, туризма, отдыха и спорта оказаны на территории этого государства;
4) налогоплательщиком этого государства приобретаются:
консультационные, юридические, бухгалтерские, аудиторские, инжиниринговые, рекламные, дизайнерские, маркетинговые услуги, услуги по обработке информации, а также научно-исследовательские, опытно-конструкторские и опытно-технологические (технологические) работы;
работы, услуги по разработке программ для ЭВМ и баз данных (программных средств и информационных продуктов вычислительной техники), их адаптации и модификации, сопровождению таких программ и баз данных;
услуги по предоставлению персонала в случае, если персонал работает в месте деятельности покупателя.
Положения настоящего подпункта применяются также при:
передаче, предоставлении, уступке патентов, лицензий, иных документов, удостоверяющих права на охраняемые государством объекты промышленной собственности, торговых марок, товарных знаков, фирменных наименований, знаков обслуживания, авторских, смежных прав или иных аналогичных прав;
аренде, лизинге и предоставлении в пользование на иных основаниях движимого имущества, за исключением аренды, лизинга и предоставления в пользование на иных основаниях транспортных средств;
оказании услуг лицом, привлекающим от имени основного участника договора (контракта) другое лицо для выполнения работ, услуг, предусмотренных настоящим подпунктом;
5) работы выполняются, услуги оказываются налогоплательщиком этого государства, если иное не предусмотрено подпунктами 1), 2), 3) и 4) настоящего пункта.
Положения настоящего подпункта применяются также при аренде, лизинге и предоставлении в пользование на иных основаниях транспортных средств.
3. Документами, подтверждающими место реализации работ, услуг, являются:
договор (контракт) на выполнение работ, оказание услуг, заключенный между налогоплательщиком Республики Казахстан и налогоплательщиком государства-члена Евразийского экономического союза;
документы, подтверждающие факт выполнения работ, оказания услуг;
иные документы, предусмотренные законодательством Республики Казахстан.
4. В случае если налогоплательщиком выполняются, оказываются несколько видов работ, услуг, порядок налогообложения которых регулируется настоящим разделом, и реализация одних работ, услуг носит вспомогательный характер по отношению к реализации других работ, услуг, то местом реализации вспомогательных работ, услуг признается место реализации основных работ, услуг.
5. Положения настоящей статьи не применяются в случаях, установленных разделом 25 настоящего Кодекса.
Сноска. Статья 441 с изменением, внесенным Законом РК от 10.12.2020 № 382-VI (вводится в действие с 01.01.2022).
Статья 442. Дата совершения оборота по реализации товаров, работ, услуг, облагаемого импорта
1. В целях исчисления налога на добавленную стоимость при реализации товаров на экспорт датой совершения оборота по реализации товаров является дата отгрузки, определяемая как дата первого по времени составления первичного бухгалтерского (учетного) документа, подтверждающего отгрузку товаров, оформленного на покупателя товаров (первого перевозчика).
2. Если иное не установлено настоящей статьей, датой совершения облагаемого импорта является дата принятия налогоплательщиком на учет импортированных товаров (в том числе товаров, являющихся результатом выполнения работ по договорам (контрактам) об их изготовлении), а также товаров, полученных по договору (контракту), предусматривающему предоставление займа в виде вещей, товаров, являющихся продуктами переработки давальческого сырья.
Если иное не установлено настоящим пунктом, для целей настоящей главы датой принятия на учет импортированных товаров является:
1) наиболее ранняя из дат признания (отражения) таких товаров в бухгалтерском учете в соответствии с международными стандартами финансовой отчетности и (или) требованиями законодательства Республики Казахстан о бухгалтерском учете и финансовой отчетности;
2) дата ввоза таких товаров на территорию Республики Казахстан.
При наличии у налогоплательщика обеих дат, указанных в подпунктах 1) и 2) части второй настоящего пункта, датой принятия на учет импортированных товаров признается наиболее поздняя из указанных дат.
Для целей настоящего пункта датой ввоза товаров на территорию Республики Казахстан является:
при перевозке товаров воздушными или морскими судами – дата ввоза в аэропорт или порт, расположенные на территории Республики Казахстан;
при перевозке товаров в международном автомобильном сообщении – дата пересечения Государственной границы Республики Казахстан.
При этом дата пересечения Государственной границы Республики Казахстан определяется на основании талона о прохождении государственного контроля (либо копии талона о прохождении государственного контроля), выдаваемого структурными подразделениями территориального подразделения Пограничной службы Комитета национальной безопасности Республики Казахстан, форма и порядок представления которого устанавливаются совместно уполномоченным органом и Комитетом национальной безопасности Республики Казахстан. В целях налогового администрирования уполномоченным органом и Комитетом национальной безопасности Республики Казахстан организуется взаимодействие по передаче сведений посредством единой информационной системы;
при перевозке товаров в международном и межгосударственном сообщении железнодорожным транспортом – дата ввоза на первый приграничный пункт пропуска (станция), установленный Правительством Республики Казахстан;
при транспортировке товаров по системе магистральных трубопроводов или по линиям электропередачи – дата ввоза на пункт сдачи товаров;
при пересылке товаров по международным почтовым отправлениям – дата проставления почтового штемпеля на территории Республики Казахстан в соответствии с законодательством Республики Казахстан о почте.
При отсутствии сведений о дате ввоза товаров на территорию Республики Казахстан датой принятия на учет импортированных товаров является дата, указанная в подпункте 1) части второй настоящего пункта.
При отсутствии признания (отражения) товаров в бухгалтерском учете в соответствии с международными стандартами финансовой отчетности и (или) требованиями законодательства Республики Казахстан о бухгалтерском учете и финансовой отчетности датой принятия на учет импортированных товаров является дата, указанная в подпункте 2) части второй настоящего пункта.
В иных случаях, не указанных в частях второй – седьмой настоящего пункта, а также для лиц, обязанность осуществлять ведение бухгалтерского учета которых не предусмотрена законодательством Республики Казахстан, дата принятия на учет импортированных товаров определяется по дате выписки документа, подтверждающего получение (либо приобретение) таких товаров. При этом при наличии документов, подтверждающих доставку товаров, датой принятия на учет импортированных товаров признается дата передачи товаров перевозчиком покупателю.
3. Датой совершения облагаемого импорта при ввозе товаров (предметов лизинга) на территорию Республики Казахстан с территории другого государства-члена Евразийского экономического союза по договору лизинга, предусматривающему переход права собственности на данные товары (предметы лизинга) к лизингополучателю, является дата оплаты части стоимости товаров (предметов лизинга), предусмотренная договором лизинга (независимо от фактического размера и даты осуществления платежа) без учета вознаграждения.
В случае, если по договору лизинга дата наступления срока оплаты части стоимости товаров (предметов лизинга) установлена до даты ввоза товаров (предмета лизинга) на территорию Республики Казахстан, первой датой совершения облагаемого импорта является дата принятия на учет импортированных товаров (предметов лизинга).
В случае, если досрочное погашение лизингополучателем лизинговых платежей, предусмотренных договором лизинга, осуществляется после истечения трех лет, дата окончательного расчета является последней датой совершения облагаемого импорта по данному договору лизинга.
В случае несоблюдения требований, установленных пунктом 2 статьи 437 настоящего Кодекса, а также в случае расторжения договора (контракта) лизинга после истечения трех лет с момента передачи имущества (предмета лизинга) датой совершения облагаемого импорта является дата принятия на учет импортированных товаров (предметов лизинга).
4. Датой совершения оборота по реализации работ, услуг является день выполнения работ, оказания услуг, если иное не предусмотрено настоящим пунктом.
Днем выполнения работ, оказания услуг признается дата подписания документа, подтверждающего факт выполнения работ, оказания услуг.
Если работы, услуги реализуются на постоянной (непрерывной) основе, то датой совершения оборота по реализации является дата, которая наступит первой:
дата выписки счета-фактуры;
дата получения каждого платежа (независимо от формы расчета).
Реализация на постоянной (непрерывной) основе означает выполнение работ, оказание услуг на основе долгосрочного контракта, заключенного на срок двенадцать месяцев и более, при условии, что получатель работ, услуг может использовать их результаты в своей производственной деятельности в день выполнения работ, оказания услуг.
В случае приобретения налогоплательщиком Республики Казахстан работ, услуг от нерезидента, не являющегося плательщиком налога на добавленную стоимость в Республике Казахстан, не осуществляющего деятельность через структурное подразделение и являющегося налогоплательщиком (плательщиком) государства-члена Евразийского экономического союза, датой совершения оборота является дата подписания документов, подтверждающих факт выполнения работ, оказания услуг.
Сноска. Статья 442 с изменениями, внесенными Законом РК от 10.12.2020 № 382-VI (порядок введения в действие см. ст. 2).
Статья 443. Определение размера облагаемого оборота при экспорте товаров
1. Размер облагаемого оборота при экспорте товаров определяется на основе стоимости реализуемых товаров исходя из применяемых сторонами сделки цен и тарифов, если иное не предусмотрено настоящей статьей и законодательством Республики Казахстан о трансфертном ценообразовании.
2. Размер облагаемого оборота при экспорте товаров (предметов лизинга) по договору (контракту) лизинга, предусматривающему переход права собственности на них к лизингополучателю, определяется на дату, предусмотренную договором (контрактом) лизинга для уплаты каждого лизингового платежа в размере части первоначальной стоимости товаров (предметов лизинга), приходящейся на каждый лизинговый платеж.
При этом под первоначальной стоимостью товара (предмета лизинга) следует понимать стоимость предмета лизинга, указанную в договоре, без учета вознаграждения.
3. Размер облагаемого оборота при экспорте товаров по договорам (контрактам), предусматривающим предоставление займа в виде вещей, определяется как стоимость передаваемых (предоставляемых) товаров, предусмотренная договором (контрактом), при отсутствии стоимости в договоре (контракте) – стоимость, указанная в товаросопроводительных документах, при отсутствии стоимости в договорах (контрактах) и товаросопроводительных документах – стоимость товаров, отраженная в бухгалтерском учете.
При этом для целей настоящей главы под товаросопроводительными документами понимаются: международная автомобильная накладная, железнодорожная транспортная накладная, товарно-транспортная накладная, накладная единого образца, багажная ведомость, почтовая ведомость, багажная квитанция, авианакладная, коносамент, а также документы, используемые при перемещении товаров трубопроводным транспортом и по линиям электропередачи, и иные документы, используемые при перемещении отдельных видов подакцизных товаров, а также сопровождающие товары и транспортные средства при перевозках, предусмотренные законами Республики Казахстан и международными договорами, участником которых является Республика Казахстан; счета-фактуры, спецификации, отгрузочные и упаковочные листы, а также другие документы, подтверждающие сведения о товарах, в том числе стоимость товаров, и используемые в соответствии с международными договорами, участником которых является Республика Казахстан.
4. Если иное не установлено настоящей статьей, при изменении в сторону увеличения (уменьшения) цены реализованных товаров либо при уменьшении количества (объема) реализованных товаров в связи с их возвратом по причине ненадлежащих качества и (или) комплектации размер облагаемого оборота при экспорте товаров корректируется в том налоговом периоде, в котором участники договора (контракта) изменили цену (согласовали возврат) экспортированных товаров.
Статья 444. Определение размера облагаемого импорта
1. Размер облагаемого импорта товаров, в том числе товаров, являющихся результатом выполнения работ по договору (контракту) об их изготовлении, определяется на основе стоимости приобретенных товаров.
2. Для целей настоящей статьи стоимость приобретенных товаров определяется на основании принципа определения цены в целях налогообложения.
Принцип определения цены в целях налогообложения означает определение стоимости приобретенных товаров на основе цены сделки, подлежащей уплате за товары, согласно условиям договора (контракта).
Если по условиям договора (контракта) цена сделки состоит из стоимости приобретенных товаров, а также других расходов и при этом стоимость приобретенных товаров и (или) стоимость других расходов указаны отдельно, то размером облагаемого импорта является исключительно стоимость приобретенных товаров.
Если по условиям договора (контракта) цена сделки состоит из стоимости приобретенных товаров, а также других расходов и при этом стоимость приобретенных товаров и (или) стоимость других расходов не указаны отдельно, то размером облагаемого импорта является цена сделки, указанная в договоре (контракте).
В отношении отдельных видов импортируемых товаров для определения стоимости приобретенных товаров применяется минимальный уровень цен в соответствии с порядком, определенным уполномоченным органом в области регулирования торговой деятельности.
Перечень отдельных видов товаров, в отношении которых применяется минимальный уровень цен, утверждается Правительством Республики Казахстан.
3. В размер облагаемого импорта товаров включаются суммы акциза по подакцизным товарам.
В размер облагаемого импорта товаров (предметов лизинга) по договорам лизинга исчисленные суммы акциза по подакцизным товарам включаются на дату принятия на учет импортированных подакцизных товаров (предметов лизинга).
4. Размер облагаемого импорта товаров, полученных по товарообменным (бартерным) договорам (контрактам), а также договорам (контрактам), предусматривающим предоставление займа в виде вещей, определяется на основе стоимости товаров с учетом принципа определения цены в целях налогообложения, предусмотренного в пункте 2 настоящей статьи.
При этом стоимость товаров определяется на основе цены товаров, предусмотренной договором (контрактом), при отсутствии цены товаров в договоре (контракте) – цены товаров, указанной в товаросопроводительных документах, при отсутствии цены товаров в договорах (контрактах) и товаросопроводительных документах – цены товаров, отраженной в бухгалтерском учете.
5. Размер облагаемого импорта товаров, являющихся продуктами переработки давальческого сырья, определяется на основе стоимости работ по переработке данного давальческого сырья, включая акцизы, подлежащие уплате по подакцизным продуктам переработки.
6. Размер облагаемого импорта товаров (предметов лизинга) по договору лизинга, предусматривающему переход права собственности на них к лизингополучателю, определяется в размере части стоимости товара (предмета лизинга), предусмотренной на дату, установленную пунктом 3 статьи 442 настоящего Кодекса, без учета вознаграждения на основании принципа определения цены в целях налогообложения, предусмотренного в пункте 2 настоящей статьи.
В случае, если по договору (контракту) лизинга дата наступления срока оплаты части стоимости товаров (предметов лизинга) установлена до даты ввоза товаров (предмета лизинга) на территорию Республики Казахстан, размер облагаемого импорта на первую дату совершения облагаемого импорта товаров (предметов лизинга) определяется как сумма всех лизинговых платежей по договору (контракту) лизинга без учета вознаграждения, дата наступления срока оплаты которых в соответствии с договором (контрактом) лизинга установлена до даты передачи товаров (предметов лизинга) лизингополучателю.
В случае досрочного погашения лизингополучателем лизинговых платежей, предусмотренных договором (контрактом) лизинга, соответствующим условиям пункта 2 статьи 437 настоящего Кодекса, размер облагаемого импорта на последнюю дату его совершения определяется как разница между суммой всех лизинговых платежей по договору (контракту) лизинга без учета вознаграждения и погашенными платежами без учета вознаграждения.
В случае несоблюдения требований, установленных пунктом 2 статьи 437 настоящего Кодекса, а также в случае расторжения договора (контракта) лизинга после истечения трех лет с момента передачи имущества (предмета лизинга) размер облагаемого импорта определяется на основе стоимости товаров (предметов лизинга), ввезенных на территорию Республики Казахстан с территории государств-членов Евразийского экономического союза, с учетом принципа определения цены в целях налогообложения, уменьшенный на сумму лизинговых платежей (без учета вознаграждения) по договору (контракту) лизинга, по которым ранее были уплачены косвенные налоги. При этом в размер облагаемого импорта включается вознаграждение, предусмотренное договором (контрактом) лизинга до момента наступления указанных случаев.
7. Налоговые органы при осуществлении контроля за исполнением налоговых обязательств по налогу на добавленную стоимость при импорте товаров на территорию Республики Казахстан с территории государств-членов Евразийского экономического союза вправе корректировать размер облагаемого импорта в порядке, определенном уполномоченным органом, и (или) с учетом требований законодательства Республики Казахстан о трансфертном ценообразовании.
При этом налогоплательщик самостоятельно корректирует размер облагаемого импорта с учетом указанного выше порядка, определенного уполномоченным органом, и (или) требований законодательства Республики Казахстан о трансфертном ценообразовании.
8. В случае изменения в сторону увеличения участниками договора (контракта) цены импортированных товаров после истечения месяца, в котором такие товары приняты на учет, соответствующим образом корректируется размер облагаемого импорта.
Сноска. Статья 444 с изменениями, внесенными законами РК от 24.06. 2021 № 53-VII (вводится в действие с 01.01.2022); от 11.07.2022 № 135-VII (вводится в действие с 01.01.2023).
Статья 445. Определение размера облагаемого оборота по реализации работ, услуг
Если иное не установлено настоящей главой, размер облагаемого оборота по реализации работ, услуг определяется в соответствии со статьями 380, 381 и 382 настоящего Кодекса.
Статья 446. Экспорт товаров в Евразийском экономическом союзе
1. При экспорте товаров с территории Республики Казахстан на территорию другого государства-члена Евразийского экономического союза применяется нулевая ставка налога на добавленную стоимость.
Если иное не установлено настоящей главой, при экспорте товаров с территории Республики Казахстан на территорию другого государства-члена Евразийского экономического союза плательщик налога на добавленную стоимость имеет право на отнесение налога на добавленную стоимость в зачет в соответствии с главой 46 настоящего Кодекса.
2. Положения настоящей статьи применяются также в отношении товаров, являющихся результатом выполнения работ по договорам об их изготовлении, вывозимых с территории Республики Казахстан, на территории которой выполнялись работы по их изготовлению, на территорию другого государства-члена Евразийского экономического союза. К указанным товарам не относятся товары, являющиеся результатом выполнения работ по переработке давальческого сырья.
3. При вывозе товаров (предметов лизинга) с территории Республики Казахстан на территорию другого государства-члена Евразийского экономического союза по договору (контракту) лизинга, предусматривающему переход права собственности на них к лизингополучателю, по договору (контракту), предусматривающему предоставление займа в виде вещей, по договору (контракту) об изготовлении товаров применяется нулевая ставка налога на добавленную стоимость.
Статья 447. Подтверждение экспорта товаров
1. Документами, подтверждающими экспорт товаров, являются:
1) договоры (контракты) с учетом изменений, дополнений и приложений к ним (далее – договоры (контракты), на основании которых осуществляется экспорт товаров, а в случае лизинга товаров или предоставления займа в виде вещей – договоры (контракты) лизинга, договоры (контракты), предусматривающие предоставление займа в виде вещей, договоры (контракты) на изготовление товаров;
2) заявление о ввозе товаров и уплате косвенных налогов с отметкой налогового органа государства-члена Евразийского экономического союза, на территорию которого импортированы товары, об уплате косвенных налогов и (или) освобождении и (или) ином способе уплаты (на бумажном носителе в оригинале или копии либо в электронной форме);
3) копии товаросопроводительных документов, подтверждающих перемещение товаров с территории одного государства-члена Евразийского экономического союза на территорию другого государства-члена Евразийского экономического союза.
В случае экспорта товаров по системе магистральных трубопроводов или по линиям электропередачи вместо копий товаросопроводительных документов представляется акт приема-сдачи товаров;
4) подтверждение уполномоченного государственного органа в области охраны прав интеллектуальной собственности о праве на объект интеллектуальной собственности, а также его стоимости – в случае экспорта объекта интеллектуальной собственности.
2. В случае реализации на территории государств-членов Евразийского экономического союза продуктов переработки давальческого сырья, ранее вывезенного с территории Республики Казахстан на территорию государств-членов Евразийского экономического союза для переработки, за исключением случаев, предусмотренных пунктом 3 статьи 393 настоящего Кодекса, подтверждение экспорта продуктов переработки осуществляется на основании следующих документов:
1) договоров (контрактов) на переработку давальческого сырья;
2) договоров (контрактов), на основании которых осуществляется экспорт продуктов переработки;
3) документов, подтверждающих факт выполнения работ по переработке давальческого сырья;
4) копий товаросопроводительных документов, подтверждающих вывоз давальческого сырья с территории Республики Казахстан на территорию другого государства-члена Евразийского экономического союза.
В случае вывоза давальческого сырья по системе магистральных трубопроводов или по линиям электропередачи вместо копий товаросопроводительных документов представляется акт приема-сдачи товаров;
5) заявления о ввозе товаров и уплате косвенных налогов (с отметкой налогового органа государства-члена Евразийского экономического союза, на территорию которого импортированы продукты переработки, об уплате косвенных налогов и (или) освобождении и (или) ином способе уплаты (на бумажном носителе в оригинале или копии либо в электронной форме);
6) копий товаросопроводительных документов, подтверждающих вывоз продуктов переработки с территории государства-члена Евразийского экономического союза.
В случае, если продукты переработки реализованы налогоплательщику государства-члена Евразийского экономического союза, на территории которого были выполнены работы по переработке давальческого сырья, – на основании документов, подтверждающих отгрузку таких продуктов переработки.
В случае вывоза продуктов переработки по системе магистральных трубопроводов или по линиям электропередачи вместо копий товаросопроводительных документов представляется акт приема-сдачи товаров;
7) документов, подтверждающих поступление валютной выручки на банковские счета налогоплательщика в банках второго уровня на территории Республики Казахстан, открытые в порядке, определенном законодательством Республики Казахстан.
В случае экспорта продуктов переработки по внешнеторговым товарообменным (бартерным) операциям при определении суммы налога на добавленную стоимость, подлежащей возврату, учитывается наличие договора (контракта), а также документов, подтверждающих импорт товаров (выполнение работ, оказание услуг), полученных по указанной операции.
3. В случае дальнейшего экспорта на территорию государства, не являющегося членом Евразийского экономического союза, продуктов переработки давальческого сырья, ранее вывезенного с территории Республики Казахстан для переработки на территории другого государства-члена Евразийского экономического союза, подтверждение экспорта продуктов переработки осуществляется на основании следующих документов:
1) договоров (контрактов) на переработку давальческого сырья;
2) договоров (контрактов), на основании которых осуществляется экспорт продуктов переработки;
3) документов, подтверждающих факт выполнения работ по переработке давальческого сырья;
4) копий товаросопроводительных документов, подтверждающих вывоз давальческого сырья с территории Республики Казахстан на территорию другого государства-члена Евразийского экономического союза.
В случае вывоза давальческого сырья по системе магистральных трубопроводов или по линиям электропередачи вместо копий товаросопроводительных документов представляется акт приема-сдачи товаров;
5) копий товаросопроводительных документов.
В случае вывоза продуктов переработки по системе магистральных трубопроводов или по линиям электропередачи вместо копий товаросопроводительных документов представляется акт приема-сдачи товаров;
6) декларации на товары с отметками таможенного органа государства-члена Евразийского экономического союза, осуществляющего выпуск товаров в таможенной процедуре экспорта, а также с отметкой таможенного органа государства-члена Евразийского экономического союза, расположенного в пункте пропуска на таможенной границе Евразийского экономического союза, кроме случаев, указанных в подпункте 7) настоящего пункта;
7) полной декларации на товары с отметками таможенного органа государства-члена Евразийского экономического союза, производившего таможенное декларирование, в следующих случаях при:
вывозе товаров в таможенной процедуре экспорта по системе магистральных трубопроводов или по линиям электропередачи;
вывозе товаров в таможенной процедуре экспорта с применением процедуры временного декларирования;
7-1) копия декларации на товары с изменениями (дополнениями), внесенными после окончания заявленного периода поставки товаров, содержащая сведения о фактическом количестве вывезенного товара, в случае вывоза товаров с помещением под таможенную процедуру экспорта с использованием периодического таможенного декларирования;
8) декларации на товары в виде электронного документа, по которой в информационных системах налоговых органов имеется уведомление таможенных органов о фактическом вывозе товаров, также являющаяся документом, подтверждающим экспорт товаров. При наличии декларации на товары в виде электронного документа, предусмотренной настоящим подпунктом, представление документов, установленных подпунктами 6) и 7) настоящего пункта, не требуется;
9) документов, подтверждающих поступление валютной выручки на банковские счета налогоплательщика в банках второго уровня на территории Республики Казахстан, открытые в порядке, определенном законодательством Республики Казахстан.
4. В случае экспорта продуктов переработки по внешнеторговым товарообменным (бартерным) операциям при определении суммы налога на добавленную стоимость, подлежащей возврату, учитывается наличие договора (контракта), а также документов, подтверждающих импорт товаров (выполнение работ, оказание услуг), полученных по указанной операции.
Сноска. Статья 447 с изменениями, внесенными законами РК от 02.04.2019 № 241-VI (вводится в действие с 01.01.2018); от 10.12.2020 № 382-VI (вводится в действие с 01.01.2021).
Статья 448. Налогообложение международных перевозок в Евразийском экономическом союзе
1. Если иное не установлено настоящей статьей, налогообложение международных перевозок в Евразийском экономическом союзе производится в соответствии со статьей 387 настоящего Кодекса.
2. Перевозка экспортируемых или импортируемых товаров по системе магистральных трубопроводов на таможенной территории Евразийского экономического союза считается международной, если оформление перевозки осуществляется документами, подтверждающими передачу экспортируемых или импортируемых товаров покупателю либо другим лицам, осуществляющим дальнейшую доставку указанных товаров до покупателя на таможенной территории Евразийского экономического союза.
3. Для целей пункта 2 настоящей статьи подтверждающими документами являются:
1) в случае экспорта – копия заявления о ввозе товаров и уплате косвенных налогов, полученного экспортером от импортера товаров;
2) в случае импорта – копия заявления о ввозе товаров и уплате косвенных налогов, полученного от налогоплательщика, импортировавшего товары на территорию Республики Казахстан;
3) акты выполненных работ, акты приема-сдачи грузов от продавца либо от других лиц, осуществлявших ранее доставку указанных грузов покупателю либо другим лицам, осуществляющим дальнейшую доставку указанных грузов;
4) счета-фактуры.
4. Перевозка грузов по системе магистральных трубопроводов с территории одного государства-члена Евразийского экономического союза на территорию этого же или другого государства-члена Евразийского экономического союза через территорию Республики Казахстан считается международной, если оформление перевозки осуществляется следующими документами:
1) актами выполненных работ, оказанных услуг, приема-сдачи грузов от продавца либо других лиц, осуществлявших ранее доставку указанных грузов покупателю либо другим лицам, осуществляющим дальнейшую доставку указанных грузов;
2) счетами-фактурами.
Сноска. Статья 448 с изменением, внесенным Законом РК от 10.12.2020 № 382-VI (вводится в действие с 01.01.2021).
Статья 449. Налогообложение работ по переработке давальческого сырья в Евразийском экономическом союзе
1. Работы по переработке давальческого сырья, ввезенного на территорию Республики Казахстан с территории другого государства-члена Евразийского экономического союза с последующим вывозом продуктов переработки на территорию другого государства, облагаются налогом на добавленную стоимость по нулевой ставке при соблюдении условий переработки товаров и срока переработки давальческого сырья, предусмотренных пунктом 7 настоящей статьи и статьей 450 настоящего Кодекса.
2. В случае выполнения налогоплательщиком Республики Казахстан работ по переработке давальческого сырья, ввезенного на территорию Республики Казахстан с территории государства-члена Евразийского экономического союза с последующим вывозом продуктов переработки на территорию того же государства-члена Евразийского экономического союза, подтверждением факта выполнения работ по переработке давальческого сырья налогоплательщиком Республики Казахстан являются:
1) договоры (контракты), заключенные между налогоплательщиками государств-членов Евразийского экономического союза;
2) документы, подтверждающие факт выполнения работ по переработке давальческого сырья;
3) документы, подтверждающие ввоз давальческого сырья на территорию Республики Казахстан (в том числе обязательство о ввозе (вывозе) продуктов переработки);
4) документы, подтверждающие вывоз продуктов переработки с территории Республики Казахстан (в том числе исполнение обязательства о ввозе (вывозе) продуктов переработки);
5) заявление о ввозе товаров и уплате косвенных налогов (на бумажном носителе в оригинале или копии либо в электронной форме), подтверждающие уплату налога на добавленную стоимость со стоимости работ по переработке давальческого сырья.
В случае вывоза продуктов переработки давальческого сырья на территорию государства, не являющегося членом Евразийского экономического союза, заявление, указанное в части первой настоящего подпункта, не представляются;
6) документы, предусмотренные пунктом 7 статьи 152 настоящего Кодекса, подтверждающие поступление валютной выручки на банковские счета налогоплательщика в банках второго уровня на территории Республики Казахстан, открытые в порядке, определенном законодательством Республики Казахстан;
7) заключение соответствующего уполномоченного государственного органа об условиях переработки товаров.
3. В случае выполнения налогоплательщиком Республики Казахстан работ по переработке давальческого сырья, ввезенного на территорию Республики Казахстан с территории одного государства-члена Евразийского экономического союза с последующей реализацией продуктов переработки на территорию другого государства-члена Евразийского экономического союза, для подтверждения факта выполнения работ по переработке давальческого сырья налогоплательщиком Республики Казахстан представляются:
1) договоры (контракты) на переработку давальческого сырья, поставку готовой продукции, заключенные между налогоплательщиками государств-членов Евразийского экономического союза;
2) документы, подтверждающие факт выполнения работ по переработке давальческого сырья;
3) акты приема-сдачи давальческого сырья и готовой продукции;
4) документы, подтверждающие ввоз давальческого сырья на территорию Республики Казахстан (в том числе обязательство о ввозе (вывозе) продуктов переработки);
5) документы, подтверждающие вывоз продуктов переработки с территории Республики Казахстан (в том числе исполнение обязательства о ввозе (вывозе) продуктов переработки);
6) заявление о ввозе товаров и уплате косвенных налогов, подтверждающее уплату налога на добавленную стоимость со стоимости работ по переработке давальческого сырья, полученное от собственника давальческого сырья;
7) заключение соответствующего уполномоченного государственного органа об условиях переработки товаров;
8) документы, предусмотренные пунктом 7 статьи 152 настоящего Кодекса, подтверждающие поступление валютной выручки на банковские счета налогоплательщика в банках второго уровня на территории Республики Казахстан, открытые в порядке, определенном законодательством Республики Казахстан.
4. В случае выполнения налогоплательщиком Республики Казахстан работ по переработке давальческого сырья, ввезенного на территорию Республики Казахстан с территории другого государства-члена Евразийского экономического союза с последующей реализацией продуктов переработки на территорию государства, не являющегося членом Евразийского экономического союза, для подтверждения факта выполнения работ по переработке давальческого сырья налогоплательщиком Республики Казахстан представляются:
1) договоры (контракты), заключенные между налогоплательщиками государств-членов Евразийского экономического союза;
2) документы, подтверждающие факт выполнения работ по переработке давальческого сырья;
3) документы, подтверждающие ввоз давальческого сырья на территорию Республики Казахстан (в том числе обязательство о ввозе (вывозе) продуктов переработки);
4) документы, подтверждающие вывоз продуктов переработки с территории Республики Казахстан (в том числе исполнение обязательства о ввозе (вывозе) продуктов переработки);
5) копия декларации на товары, оформленной при вывозе товаров на территорию государства, не являющегося членом Евразийского экономического союза, в таможенной процедуре экспорта, заверенной таможенным органом государства-члена Евразийского экономического союза, осуществившим таможенное декларирование;
6) декларация на товары в виде электронного документа, по которой в информационных системах налоговых органов имеется уведомление таможенных органов о фактическом вывозе товаров, также являющаяся документом, подтверждающим экспорт товаров. При наличии декларации на товары в виде электронного документа, предусмотренной настоящим подпунктом, представление документа, установленного подпунктом 5) пункта 4 настоящей статьи, не требуется;
7) документы, предусмотренные пунктом 7 статьи 152 настоящего Кодекса, подтверждающие поступление валютной выручки на банковские счета налогоплательщика в банках второго уровня на территории Республики Казахстан, открытые в порядке, определенном законодательством Республики Казахстан;
8) заключение соответствующего уполномоченного государственного органа об условиях переработки товаров.
5. Работы по переработке давальческого сырья, ввезенного на территорию Республики Казахстан с территории другого государства-члена Евразийского экономического союза с последующей реализацией продуктов переработки на территории Республики Казахстан, подлежат обложению налогом на добавленную стоимость по ставке, установленной пунктом 1 статьи 422 настоящего Кодекса.
6. В случае осуществления ввоза (вывоза) давальческого сырья на переработку налогоплательщиком Республики Казахстан представляется обязательство о вывозе (ввозе) продуктов переработки, а также его исполнение в порядке, по форме и в сроки, которые утверждены уполномоченным органом по согласованию с центральным уполномоченным органом по государственному планированию.
7. Переработка давальческого сырья должна соответствовать условиям переработки товаров, установленным уполномоченным органом.
8. Заключение соответствующего уполномоченного государственного органа об условиях переработки товаров должно содержать следующие сведения:
1) наименования, классификацию товаров и продуктов переработки в соответствии с единой Товарной номенклатурой внешнеэкономической деятельности Евразийского экономического союза, их количество и стоимость;
2) дату и номер договора (контракта) на переработку, срок переработки;
3) нормы выхода продуктов переработки;
4) характер переработки;
5) сведения о лице, осуществляющем переработку.
9. По мотивированному запросу лица с разрешения налогового органа допускается замена продуктов переработки товарами, произведенными переработчиком ранее, если они совпадают по своему описанию, количеству, стоимости, качеству и техническим характеристикам с продуктами переработки.
Сноска. Статья 449 с изменениями, внесенными Законом РК от 10.12.2020 № 382-VI (вводится в действие с 01.01.2021).
Статья 450. Срок переработки давальческого сырья
1. Срок переработки давальческого сырья, вывезенного с территории Республики Казахстан на территорию государства-члена Евразийского экономического союза, а также ввезенного на территорию Республики Казахстан с территории государств-членов Евразийского экономического союза, определяется согласно условиям договора (контракта) на переработку давальческого сырья и не может превышать два года с даты принятия на учет и (или) отгрузки давальческого сырья.
2. В случае превышения срока, установленного в пункте 1 настоящей статьи, давальческое сырье, ввезенное для переработки на территорию Республики Казахстан, в целях налогообложения признается облагаемым импортом и подлежит обложению налогом на добавленную стоимость с даты ввоза товаров на территорию Республики Казахстан в соответствии с настоящей главой.
3. В случае превышения срока, установленного в пункте 1 указанной статьи, давальческое сырье, вывезенное для переработки с территории Республики Казахстан на территорию государства-члена Евразийского экономического союза, в целях налогообложения признается облагаемым оборотом по реализации и подлежит обложению налогом на добавленную стоимость с даты вывоза давальческого сырья с территории Республики Казахстан по ставке, установленной пунктом 1 статьи 422 настоящего Кодекса, за исключением случаев, установленных пунктом 3 статьи 393 настоящего Кодекса и пунктами 2 и 3 статьи 447 настоящего Кодекса.
В целях настоящего пункта размер облагаемого оборота по давальческому сырью, приходящемуся на не ввезенный обратно на территорию Республики Казахстан в установленные сроки объем продуктов переработки давальческого сырья, определяется в размере стоимости давальческого сырья, включенной в себестоимость таких продуктов переработки, на основании учетной политики, разработанной в соответствии с международными стандартами финансовой отчетности и (или) требованиями законодательства Республики Казахстан о бухгалтерском учете и финансовой отчетности.
Для целей применения настоящей статьи метод определения себестоимости, установленный в учетной политике налогоплательщика, не подлежит изменению в течение календарного года.
Сноска. Статья 450 с изменением, внесенным Законом РК от 10.12.2020 № 382-VI (вводится в действие с 01.01.2018).
Статья 451. Обороты и импорт, освобожденные от налога на добавленную стоимость в Евразийском экономическом союзе
1. Освобождаются от налога на добавленную стоимость обороты по реализации:
1) работ, услуг, указанных в главе 45 настоящего Кодекса, если местом их реализации является Республика Казахстан;
2) услуг по ремонту товара, ввезенного на территорию Республики Казахстан с территории государств-членов Евразийского экономического союза, включая его восстановление, замену составных частей.
Документами, подтверждающими оказание услуг, указанных в настоящем подпункте, являются документы, предусмотренные пунктом 3 статьи 441 настоящего Кодекса.
Перечень услуг, указанных в настоящем подпункте, утверждается уполномоченным органом;
3) услуг международной связи, оказываемых налогоплательщиком Республики Казахстан налогоплательщику другого государства-члена Евразийского экономического союза.
2. Освобождается от налога на добавленную стоимость импорт следующих товаров:
1) предусмотренных подпунктами 1), 2), 4) – 13) и 15) пункта 1 статьи 399 настоящего Кодекса.
Порядок освобождения от налога на добавленную стоимость импорта товаров в рамках Евразийского экономического союза, указанных в настоящем подпункте, определяется уполномоченным органом;
2) импортируемых в рамках гарантийного обслуживания, предусмотренного договором (контрактом).
Подтверждением импорта товаров в рамках гарантийного обслуживания являются договор (контракт), предусматривающий гарантийное обслуживание, на основании которого приобретен товар, товаросопроводительные документы, претензия и дефектный акт, подтвержденные участниками договора (контракта);
3) сырья и (или) материалов в рамках инвестиционного контракта при одновременном соответствии следующим условиям:
сырье и (или) материалы включены в перечень сырья и (или) материалов, импорт которых освобождается от налога на добавленную стоимость в рамках инвестиционного контракта, утвержденного уполномоченным государственным органом по инвестициям по согласованию с центральным уполномоченным органом по государственному планированию и центральным уполномоченным органом по бюджетному планированию;
ввезенные сырье и (или) материалы будут использованы плательщиком налога на добавленную стоимость в пределах срока исковой давности исключительно при осуществлении деятельности в рамках инвестиционного контракта.
Освобождение от налога на добавленную стоимость импорта сырья и (или) материалов в рамках инвестиционного контракта предоставляется юридическим лицам Республики Казахстан на срок в течение пяти последовательных лет, начиная с 1 числа месяца, в котором введены в эксплуатацию фиксированные активы, предусмотренные в рабочей программе, являющейся приложением к инвестиционному контракту, заключенному в соответствии с законодательством Республики Казахстан в сфере предпринимательства. В случае, если рабочей программой предусматривается ввод двух и более фиксированных активов, исчисление срока освобождения от уплаты налога на добавленную стоимость импорта сырья и (или) материалов в рамках инвестиционного контракта производится начиная с 1 числа месяца, в котором введен в эксплуатацию первый фиксированный актив по рабочей программе.
В случае нарушения в течение пяти лет с даты принятия налогоплательщиком на учет импортированных товаров требований, установленных настоящим подпунктом, налог на добавленную стоимость по импортируемым сырью и (или) материалам подлежит уплате с начислением пени со срока, установленного для уплаты налога на добавленную стоимость на импортируемые товары при их ввозе, в порядке и размере, которые определены налоговым законодательством Республики Казахстан;
4) сырья и (или) материалов в составе транспортных средств и (или) сельскохозяйственной техники, а также их компонентов, помещенных под таможенную процедуру свободного склада или свободной таможенной зоны специальной экономической зоны «Qyzyljar» юридическим лицом в рамках заключенного специального инвестиционного контракта с уполномоченным органом по заключению специальных инвестиционных контрактов, определяемым Правительством Республики Казахстан, при соблюдении следующих условий:
в отношении производителей транспортных средств – наличие соглашения о промышленной сборке моторных транспортных средств или соглашения о промышленной сборке транспортных средств с уполномоченным органом в области государственной поддержки индустриальной деятельности;
в отношении производителей сельскохозяйственной техники – наличие соглашения о промышленной сборке сельскохозяйственной техники с уполномоченным органом в области государственной поддержки индустриальной деятельности;
в отношении производителей компонентов – наличие соглашения о промышленной сборке компонентов к транспортным средствам и (или) сельскохозяйственной технике с уполномоченным органом в области государственной поддержки индустриальной деятельности.
3. В случае использования товаров, ранее ввезенных на территорию Республики Казахстан, в иных целях, чем те, в связи с которыми в соответствии с законодательством Республики Казахстан предоставлено освобождение от налога на добавленную стоимость по импорту, налог на добавленную стоимость по импорту таких товаров подлежит уплате на последнюю дату срока, установленного настоящим Кодексом для уплаты налога на добавленную стоимость при ввозе товара.
4. Вознаграждение, выплачиваемое лизингополучателем-налогоплательщиком Республики Казахстан лизингодателю другого государства-члена Евразийского экономического союза по договору лизинга, освобождается от налога на добавленную стоимость.
5. Юридическое лицо, заключившее специальный инвестиционный контракт с уполномоченным органом по заключению специальных инвестиционных контрактов, определяемым Правительством Республики Казахстан, вправе применить освобождение от уплаты налога на добавленную стоимость при импорте товаров в составе готовой продукции, произведенной на территории специальной экономической зоны или свободного склада при соблюдении следующих условий:
1) товары помещены под таможенную процедуру свободной таможенной зоны или свободного склада;
2) таможенная процедура свободной таможенной зоны или свободного склада завершается таможенной процедурой выпуска для внутреннего потребления;
3) осуществлена идентификация товаров в составе готовой продукции в соответствии с таможенным законодательством Республики Казахстан.
Сноска. Статья 451 с изменениями, внесенными Законом РК от 10.12.2020 № 382-VI (вводится в действие с 01.01.2020); от 24.06. 2021 № 53-VII (вводится в действие по истечении десяти календарных дней после дня его первого официального опубликования).
Статья 452. Порядок отнесения в зачет сумм налога на добавленную стоимость в Евразийском экономическом союзе
1. Если иное не установлено настоящей статьей, налог на добавленную стоимость относится в зачет в порядке, определенном главой 46 настоящего Кодекса.
2. При импорте товаров на территорию Республики Казахстан с территории государств-членов Евразийского экономического союза отнесению в зачет подлежит сумма налога на добавленную стоимость по импортированным товарам, уплаченного в установленном порядке в бюджет Республики Казахстан, в пределах исчисленных и (или) начисленных сумм.
Суммой налога на добавленную стоимость, относимого в зачет при импорте товаров по договору (контракту) лизинга, является сумма налога на добавленную стоимость, уплаченного в бюджет, но не превышающая сумму налога на добавленную стоимость, приходящегося на размер облагаемого импорта за налоговый период, определяемого в соответствии с пунктом 6 статьи 444 настоящего Кодекса. При этом суммы налога на добавленную стоимость, начисленные (исчисленные) за предыдущие налоговые периоды и уплаченные, в том числе путем проведения зачета в порядке, определенном статьями 101, 102 и 103 настоящего Кодекса, в текущем налоговом периоде, подлежат зачету в текущем налоговом периоде.
3. При передаче лизингодателем-налогоплательщиком Республики Казахстан товаров (предметов лизинга) в лизинг, подлежащих получению лизингополучателем-налогоплательщиком другого государства-члена Евразийского экономического союза, сумма налога на добавленную стоимость, подлежащего отнесению в зачет лизингодателем-налогоплательщиком Республики Казахстан, определяется в части, приходящейся на стоимость товаров (предметов лизинга) по каждому лизинговому платежу, без учета вознаграждения.
Статья 453. Счет-фактура
1. Порядок выписки счетов-фактур определяется в соответствии с главой 47 настоящего Кодекса, если иное не установлено настоящей статьей.
2. В случае экспорта товаров с территории Республики Казахстан на территорию другого государства-члена Евразийского экономического союза счет-фактура выписывается не позднее двадцати календарных дней после даты совершения оборота по реализации.
3. В случае выполнения работ по переработке давальческого сырья, ввезенного на территорию Республики Казахстан с территории другого государства-члена Евразийского экономического союза с последующим вывозом продуктов переработки на территорию другого государства, счет-фактура выписывается на дату подписания документа, подтверждающего выполнение работ по переработке давальческого сырья.
4. Счет-фактура, выписываемый в случаях, указанных в пунктах 2 и 3 настоящей статьи, должен соответствовать требованиям, установленным пунктом 5 статьи 412 настоящего Кодекса, а также отражать:
1) дату совершения оборота по реализации;
2) номер, идентифицирующий лицо в качестве налогоплательщика-покупателя в государстве-члене Евразийского экономического союза.
5. При передаче лизингодателем-налогоплательщиком Республики Казахстан товаров (предметов лизинга) в лизинг, подлежащих получению лизингополучателем-налогоплательщиком другого государства-члена Евразийского экономического союза, счет-фактура выписывается на дату каждого лизингового платежа без учета вознаграждения в размере части первоначальной стоимости товара (предмета лизинга), предусмотренной договором лизинга, но не превышающей сумму фактически полученного платежа.
Сумма вознаграждения лизингодателя-налогоплательщика Республики Казахстан в счете-фактуре должна быть выделена отдельной строкой.
6. При реализации импортером товаров, ввезенных с территории государств – членов Евразийского экономического союза на территорию Республики Казахстан в одном налоговом периоде, счет-фактура в электронной форме выписывается не позднее 20 числа месяца, следующего за налоговым периодом.
В иных случаях счет-фактура при реализации импортером товаров, ввезенных с территории государств – членов Евразийского экономического союза на территорию Республики Казахстан, выписывается в сроки, установленные главой 47 настоящего Кодекса.
Сноска. Статья 453 с изменениями, внесенными законами РК от 10.12.2020 № 382-VI (вводится в действие с 01.01.2021); от 21.12.2022 № 165-VII (вводится в действие с 01.01.2023).
Статья 454. Особенности определения плательщиков налога на добавленную стоимость при импорте товаров
1. В случае, если товары приобретаются налогоплательщиком Республики Казахстан на основании договора (контракта) с налогоплательщиком другого государства-члена Евразийского экономического союза, уплата налога на добавленную стоимость осуществляется налогоплательщиком Республики Казахстан (собственником товаров либо комиссионером, поверенным, оператором), на территорию которой импортированы товары.
В целях настоящей главы под собственником товаров следует понимать лицо, которое обладает правом собственности на товары или к которому переход права собственности на товары предусматривается договором (контрактом).
2. В случае, если товары приобретаются налогоплательщиком Республики Казахстан на основании договора (контракта) с налогоплательщиком другого государства-члена Евразийского экономического союза и при этом товары импортируются с территории третьего государства-члена Евразийского экономического союза, налог на добавленную стоимость уплачивается налогоплательщиком Республики Казахстан, на территорию которой импортированы товары, – собственником товаров.
3. В случае, если товары реализуются налогоплательщиком одного государства-члена Евразийского экономического союза на основании договора комиссии, поручения налогоплательщику Республики Казахстан и импортируются с территории третьего государства-члена Евразийского экономического союза, уплата налога на добавленную стоимость осуществляется налогоплательщиком Республики Казахстан, на территорию которой импортированы товары, – комиссионером, поверенным.
4. В случае, если налогоплательщик Республики Казахстан приобретает на выставочно-ярмарочной торговле, организованной другим налогоплательщиком Республики Казахстан, товары, ранее импортированные на территорию Республики Казахстан налогоплательщиком другого государства-члена Евразийского экономического союза, по которым не был уплачен налог на добавленную стоимость, уплата налога на добавленную стоимость осуществляется налогоплательщиком Республики Казахстан – собственником товаров либо комиссионером, поверенным (оператором), если иное не предусмотрено настоящим пунктом.
При приобретении налогоплательщиком Республики Казахстан на выставочно-ярмарочной торговле, организованной налогоплательщиком Республики Казахстан, товаров, ранее импортированных на территорию Республики Казахстан с территории государств-членов Евразийского экономического союза, по которым не был уплачен налог на добавленную стоимость, уплата налога на добавленную стоимость осуществляется собственником товаров при наличии договоров (контрактов) с нерезидентом на их куплю-продажу.
При отсутствии договоров (контрактов) на куплю-продажу товаров уплата налога на добавленную стоимость по таким товарам осуществляется налогоплательщиком Республики Казахстан, организовавшим выставочно-ярмарочную торговлю.
Налогоплательщик Республики Казахстан, организующий выставочно-ярмарочную торговлю, обязан письменно уведомить о проведении такой торговли налоговый орган по месту нахождения за десять рабочих дней до начала ее проведения с приложением списка участников торговли из государств-членов Евразийского экономического союза.
Порядок контроля за уплатой налога на добавленную стоимость по выставочно-ярмарочной торговле определяется уполномоченным органом.
5. В случае, если товары приобретаются на основании договора между налогоплательщиком Республики Казахстан и налогоплательщиком государства, не являющегося членом Евразийского экономического союза, и при этом товары импортируются с территории другого государства-члена Евразийского экономического союза, налог на добавленную стоимость уплачивается налогоплательщиком Республики Казахстан, на территорию которой импортированы товары, – собственником товаров либо комиссионером, поверенным (оператором).
Статья 455. Особенности исчисления налога на добавленную стоимость при импорте товаров на территорию Республики Казахстан по договорам комиссии (поручения) с территорий государств-членов Евразийского экономического союза
Сноска. Заголовок статьи 455 с изменением, внесенным Законом РК от 10.12.2020 № 382-VI (вводится в действие с 01.01.2021).
1. При ввозе товаров на территорию Республики Казахстан комиссионером (поверенным) на основе договоров комиссии (поручения) обязанность по исчислению и перечислению в бюджет налога на добавленную стоимость по импортированным товарам возлагается на комиссионера (поверенного).
При этом суммы налога на добавленную стоимость, уплаченные комиссионером (поверенным) по товарам, импортированным на территорию Республики Казахстан, подлежат отнесению в зачет покупателем таких товаров на основании счета-фактуры, выставленного комиссионером (поверенным) в адрес покупателя, а также копии заявления о ввозе товаров и уплате косвенных налогов, содержащего отметку налогового органа, предусмотренную пунктом 7 статьи 456 настоящего Кодекса.
2. Реализация товаров, выполнение работ или оказание услуг комиссионером от своего имени и за счет комитента не являются оборотом по реализации комиссионера.
3. Реализация товаров, выполнение работ или оказание услуг поверенным от имени и за счет доверителя не являются оборотом по реализации поверенного.
4. Выписка счетов-фактур по товарам, ввезенным на территорию Республики Казахстан по договорам комиссии (поручения), заключенным между комитентом (доверителем)-налогоплательщиком государства-члена Евразийского экономического союза и комиссионером (поверенным) -налогоплательщиком Республики Казахстан, реализующим товары на территории Республики Казахстан, осуществляется комиссионером (поверенным). При этом счет-фактура выписывается с указанием статуса поставщика «комиссионер» («поверенный»).
В счете-фактуре, выписываемом комиссионером (поверенным) покупателю, должны быть указаны реквизиты, установленные подпунктами 1) – 7) пункта 5 статьи 412 настоящего Кодекса, стоимость товаров без учета налога на добавленную стоимость, а также номер и дата заявления о ввозе товаров и уплате косвенных налогов, прилагаемого к счету-фактуре.
Сумма налога на добавленную стоимость, уплаченная комиссионером (поверенным) по импортируемым товарам, в счете-фактуре выделяется отдельной строкой.
К такому счету-фактуре прилагаются полученные от комиссионера (поверенного) копия заявления о ввозе товаров и уплате косвенных налогов, являющегося основанием для отнесения в зачет налога на добавленную стоимость, уплаченного при импорте товаров комиссионером (поверенным).
Налог на добавленную стоимость по импортированным товарам, уплаченный комиссионером (поверенным) при импорте товаров на территорию Республики Казахстан, не подлежит отнесению в зачет комиссионером (поверенным).
5. Датой совершения облагаемого импорта при ввозе товаров на территорию Республики Казахстан на основании договоров комиссии (поручения) является дата принятия на учет комиссионером (поверенным) импортированных товаров.
Для целей настоящего пункта датой принятия на учет является дата первичного документа, составленного комитентом (доверителем) в адрес комиссионера (поверенного), подтверждающего передачу товаров.
6. При реализации товаров, выполнении работ, оказании услуг на условиях, соответствующих условиям договора комиссии (поручения), размер облагаемого оборота комиссионера (поверенного) определяется на основе вознаграждения по договору комиссии (поручения).
Сноска. Статья 455 с изменениями, внесенными Законом РК от 10.12.2020 № 382-VI (вводится в действие с 01.01.2021).
Статья 456. Порядок исчисления и уплаты налога на добавленную стоимость при импорте товаров в Евразийском экономическом союзе
1. Если иное не установлено настоящей статьей, порядок исчисления и уплаты налога на добавленную стоимость в Евразийском экономическом союзе определяется в соответствии с главой 48 настоящего Кодекса.
2. При импорте товаров, в том числе товаров, являющихся продуктами переработки давальческого сырья, на территорию Республики Казахстан с территории государств-членов Евразийского экономического союза налогоплательщик обязан представить в налоговый орган по месту нахождения (жительства) заявление о ввозе товаров и уплате косвенных налогов, в том числе по договорам (контрактам) лизинга, на бумажном носителе и в электронной форме либо только в электронной форме не позднее 20 числа месяца, следующего за налоговым периодом, если иное не установлено настоящим пунктом.
Одновременно с заявлением о ввозе товаров и уплате косвенных налогов налогоплательщик представляет в налоговый орган следующие документы:
1) выписку банка, подтверждающую фактическую уплату косвенных налогов по импортированным товарам, и (или) иной платежный документ, предусмотренный законодательством Республики Казахстан о банках и банковской деятельности, подтверждающий исполнение налогового обязательства по уплате косвенных налогов по импортированным товарам, или документы, подтверждающие освобождение от налога на добавленную стоимость, с учетом требований статьи 451 настоящего Кодекса.
При этом указанные документы не представляются при ином порядке уплаты налога на добавленную стоимость, а также в случае наличия переплаты на лицевых счетах по налогу на добавленную стоимость по импортированным товарам, которая подлежит зачету в счет предстоящих платежей по налогу на добавленную стоимость по импортированным товарам при условии, что налогоплательщиком не подано заявление на зачет указанных сумм переплаты по другим видам налогов и платежей в бюджет или возврат на расчетный счет.
По договорам (контрактам) лизинга указанные в настоящем подпункте документы представляются в срок, установленный в настоящем пункте по сроку лизингового платежа, предусмотренного договором (контрактом) лизинга, приходящегося на отчетный налоговый период;
2) товаросопроводительные и (или) иные документы, подтверждающие перемещение товаров с территории одного государства-члена Евразийского экономического союза на территорию Республики Казахстан (указанные документы не представляются, если для отдельных видов перемещения товаров, в том числе перемещения товаров без использования транспортных средств, оформление этих документов не предусмотрено законодательством Республики Казахстан);
3) счета-фактуры, оформленные в соответствии с законодательством государства-члена Евразийского экономического союза при отгрузке товаров, в случае, если их выставление (выписка) предусмотрено (предусмотрена) законодательством государства-члена Евразийского экономического союза.
Если выставление (выписка) счета-фактуры не предусмотрено (не предусмотрена) законодательством государства-члена Евразийского экономического союза либо товары приобретаются у налогоплательщика государства, не являющегося государством-членом Евразийского экономического союза, вместо счета-фактуры представляется иной документ, выставленный (выписанный) продавцом, подтверждающий стоимость импортированных товаров;
4) договоры (контракты), на основании которых приобретены товары, импортированные на территорию Республики Казахстан с территории государства-члена Евразийского экономического союза, в случае лизинга товаров (предметов лизинга) – договоры (контракты) лизинга, в случае предоставления займа в виде вещей – договоры займа, договоры (контракты) об изготовлении товаров, договоры (контракты) на переработку давальческого сырья;
5) информационное сообщение (в случаях, предусмотренных пунктами 2, 3, 4 и 5 статьи 454 настоящего Кодекса), представленное налогоплательщику Республики Казахстан налогоплательщиком другого государства-члена Евразийского экономического союза либо налогоплательщиком государства, не являющегося членом Евразийского экономического союза, подписанное руководителем (индивидуальным предпринимателем) и заверенное печатью организации, реализующей товары, импортированные с территории третьего государства-члена Евразийского экономического союза, содержащее сведения о налогоплательщике третьего государства-члена Евразийского экономического союза и договоре (контракте), заключенном с налогоплательщиком этого третьего государства-члена Евразийского экономического союза, о приобретении импортированного товара:
номер, идентифицирующий лицо в качестве налогоплательщика государства-члена Евразийского экономического союза;
наименование налогоплательщика (организации, индивидуального предпринимателя) государства-члена Евразийского экономического союза;
место нахождения (жительства) налогоплательщика государства-члена Евразийского экономического союза;
номер и дата контракта (договора);
номер и дата спецификации.
В случае если налогоплательщик государства-члена Евразийского экономического союза, у которого приобретается товар, не является собственником реализуемого товара (является комиссионером, поверенным), то сведения, указанные в абзацах втором – шестом части первой настоящего подпункта, представляются также в отношении собственника реализуемого товара.
В случае представления информационного сообщения на иностранном языке обязательно наличие перевода на казахский и русский языки.
Информационное сообщение не представляется в случае, если сведения, предусмотренные настоящим подпунктом, содержатся в договоре (контракте), указанном в подпункте 4) части второй настоящего пункта;
6) договоры (контракты) комиссии или поручения (в случаях их заключения);
7) договоры (контракты), на основании которых приобретены товары, импортированные на территорию Республики Казахстан с территории другого государства-члена Евразийского экономического союза, по договорам комиссии или поручения (в случаях, предусмотренных пунктами 2 и 3 статьи 454 настоящего Кодекса, за исключением случаев, когда налог на добавленную стоимость уплачивается комиссионером, поверенным).
В случае розничной купли-продажи при отсутствии документов, указанных в подпунктах 2), 3) и 4) части второй настоящего пункта, представляются документы, подтверждающие получение (либо приобретение) импортированных на территорию Республики Казахстан товаров (в том числе чеки контрольно-кассовой машины, товарные чеки, закупочные акты).
Документы, указанные в подпунктах 1) – 7) части второй настоящего пункта, могут быть представлены в копиях, заверенных подписями руководителя и главного бухгалтера (при его наличии) либо иных лиц, уполномоченных на то по решению налогоплательщика, а также печатью налогоплательщика, за исключением случаев, когда у налогоплательщика печать отсутствует по основаниям, предусмотренным законодательством Республики Казахстан.
При этом указанные копии документов могут быть представлены в виде книги (книг), прошнурованной (прошнурованных), пронумерованной (пронумерованных) с указанием на последнем листе общего количества листов и заверенной (заверенных) на последнем листе подписями руководителя и главного бухгалтера (при его наличии) либо иных лиц, уполномоченных на то по решению налогоплательщика, а также печатью налогоплательщика, за исключением случаев, когда у налогоплательщика печать отсутствует по основаниям, предусмотренным законодательством Республики Казахстан.
По договорам (контрактам) лизинга налогоплательщик представляет в налоговый орган не позднее 20 числа месяца, следующего за налоговым периодом – месяцем принятия на учет импортированных товаров (предметов лизинга), одновременно с заявлением о ввозе товаров и уплате косвенных налогов документы, предусмотренные подпунктами 1) – 7) части второй настоящего пункта. В последующем налогоплательщик представляет в налоговый орган не позднее 20 числа месяца, следующего за налоговым периодом – месяцем срока платежа, предусмотренного договором (контрактом) лизинга, одновременно с заявлением о ввозе товаров и уплате косвенных налогов документы (их копии), предусмотренные подпунктом 1) части второй настоящего пункта.
В случае, если дата наступления срока оплаты части стоимости товаров (предметов лизинга), предусмотренная в договоре (контракте) лизинга, наступает после ввоза товаров (предметов лизинга) на территорию Республики Казахстан, налогоплательщик представляет в налоговый орган не позднее 20 числа месяца, следующего за налоговым периодом – месяцем принятия на учет импортированных товаров (предметов лизинга), одновременно с заявлением о ввозе товаров и уплате косвенных налогов документы, предусмотренные подпунктами 2), 3) и 4) части второй настоящего пункта. При этом налогоплательщик в заявлении о ввозе товаров и уплате косвенных налогов не отражает налоговую базу по налогу на добавленную стоимость.
В случае, если по договору (контракту) лизинга дата наступления срока оплаты части стоимости товаров (предметов лизинга) установлена до даты ввоза товаров (предметов лизинга) на территорию Республики Казахстан, налогоплательщик представляет в налоговый орган не позднее 20 числа месяца, следующего за налоговым периодом – месяцем принятия на учет импортированных товаров (предметов лизинга), одновременно с заявлением о ввозе товаров и уплате косвенных налогов документы, предусмотренные подпунктами 1) – 4) части второй настоящего пункта.
В последующем налогоплательщик представляет в налоговый орган не позднее 20 числа месяца, следующего за налоговым периодом – месяцем срока платежа, предусмотренного договором (контрактом) лизинга, одновременно с заявлением о ввозе товаров и уплате косвенных налогов документы (их копии), предусмотренные подпунктом 1) части второй настоящего пункта.
Форма заявления о ввозе товаров и уплате косвенных налогов, правила ее заполнения и представления утверждаются уполномоченным органом.
3. Заявление о ввозе товаров и уплате косвенных налогов на бумажном носителе (в четырех экземплярах) и в электронной форме представляются:
1) лицами, импортирующими на территорию Республики Казахстан с территории государств-членов Евразийского экономического союза товары с освобождением от уплаты налога на добавленную стоимость в соответствии с пунктом 2 статьи 451 настоящего Кодекса и (или) уплатой налога на добавленную стоимость методом зачета в соответствии со статьей 428 настоящего Кодекса;
2) налогоплательщиком в случае внесения изменений и дополнений в заявление о ввозе товаров и уплате косвенных налогов, предусмотренном пунктом 2 статьи 459 настоящего Кодекса.
4. При представлении заявления о ввозе товаров и уплате косвенных налогов только в электронной форме документы, указанные в подпунктах 1) – 7) части второй пункта 2 настоящей статьи, не представляются.
Положение настоящего пункта не применяется в случаях, установленных пунктом 3 настоящей статьи.
5. Налог на добавленную стоимость по импортированным товарам уплачивается по месту нахождения (жительства) налогоплательщиков не позднее 20 числа месяца, следующего за налоговым периодом.
В случае изменения в сторону увеличения цены импортированных товаров в соответствии с пунктом 8 статьи 444 настоящего Кодекса, налог на добавленную стоимость по импортированным товарам уплачивается не позднее 20 числа месяца, следующего за месяцем, в котором участники договора (контракта) изменили цену импортированных товаров.
6. Налоговым периодом для исчисления и уплаты косвенных налогов при импорте товаров, в том числе товаров, являющихся продуктами переработки давальческого сырья, товаров (предметов лизинга) по договорам (контрактам) лизинга, на территорию Республики Казахстан с территории государств-членов Евразийского экономического союза является календарный месяц, в котором приняты на учет такие импортированные товары или наступает срок платежа, предусмотренного договором (контрактом) лизинга.
При этом допускается исполнение налогового обязательства в течение налогового периода.
7. Подтверждение налоговыми органами факта уплаты налога на добавленную стоимость по импортированным товарам в заявлении о ввозе товаров и уплате косвенных налогов путем проставления соответствующей отметки либо мотивированный отказ в подтверждении осуществляются в случаях и порядке, которые предусмотрены уполномоченным органом.
По заявлениям, представленным на бумажном носителе и в электронной форме, подтверждение факта уплаты налога на добавленную стоимость производится налоговым органом в течение десяти рабочих дней со дня поступления заявления на бумажном носителе путем проставления соответствующей отметки на таком заявлении.
По заявлениям, представленным в соответствии с пунктом 4 настоящей статьи, подтверждение факта уплаты налога на добавленную стоимость производится налоговым органом в течение трех рабочих дней со дня поступления заявления в электронной форме путем направления налогоплательщику уведомления о подтверждении факта уплаты косвенных налогов в электронной форме.
8. По заявлениям, представленным на бумажном носителе и в электронной форме, отказ в подтверждении факта уплаты налога на добавленную стоимость производится налоговым органом в течение десяти рабочих дней со дня поступления заявления на бумажном носителе путем направления налогоплательщику мотивированного отказа на бумажном носителе.
По заявлениям, представленным в соответствии с пунктом 4 настоящей статьи, отказ в подтверждении факта уплаты налога на добавленную стоимость производится налоговым органом в течение трех рабочих дней со дня поступления заявления в электронной форме путем направления налогоплательщику мотивированного отказа в электронной форме.
9. В случаях, указанных в пункте 8 настоящей статьи, налогоплательщик обязан представить в налоговый орган заявление о ввозе товаров и уплате косвенных налогов с устранением нарушений в течение пятнадцати календарных дней с даты получения мотивированного отказа.
10. В случае изменения в сторону увеличения цены импортированных товаров в соответствии с пунктом 8 статьи 444 настоящего Кодекса, заявление о ввозе товаров и уплате косвенных налогов в электронной форме представляется не позднее 20 числа месяца, следующего за месяцем, в котором участники договора (контракта) изменили цену импортированных товаров.
При этом в заявлении о ввозе товаров и уплате косвенных налогов отражается измененная стоимость приобретенных импортированных товаров.
Документами, подтверждающими увеличение цены импортированных товаров, являются: договор (контракт) об изменении цены, дополнительный счет-фактура, в котором содержится измененное значение по облагаемому импорту и налогу на добавленную стоимость (в случае, если выставление (выписка) счета-фактуры предусмотрено (предусмотрена) законодательством государства-члена Евразийского экономического союза), и (или) иной документ, подтверждающий изменение цены импортированных товаров.
Сноска. Статья 456 в редакции Закона РК от 10.12.2020 № 382-VI (вводится в действие с 01.01.2021).
Статья 457. Порядок исчисления и уплаты налога на добавленную стоимость при экспорте товаров в Евразийском экономическом союзе
1. Исключен Законом РК от 10.12.2020 № 382-VI (вводится в действие с 01.01.2021).
2. В случае получения от налоговых органов государств-членов Евразийского экономического союза, налогоплательщиками которых импортированы товары, заявления о ввозе товаров и уплате косвенных налогов в электронной форме налогоплательщику Республики Казахстан, осуществившему экспорт товаров, налоговым органом Республики Казахстан направляется уведомление о получении такого заявления.
Уведомление, указанное в настоящем пункте, направляется в течение десяти рабочих дней со дня поступления такого заявления по форме, установленной уполномоченным органом.
3. При непоступлении в электронной форме в налоговый орган Республики Казахстан заявления о ввозе товаров и уплате косвенных налогов в течение ста восьмидесяти календарных дней с даты совершения оборота по реализации товаров при их экспорте, по реализации работ, услуг в случае выполнения работ по переработке давальческого сырья плательщик налога на добавленную стоимость, указанный в подпункте 1) пункта 1 статьи 367 настоящего Кодекса, обязан уплатить налог по ставке, установленной пунктом 1 статьи 422 настоящего Кодекса, в срок, предусмотренный статьей 425 настоящего Кодекса.
Начисление указанных в настоящем пункте сумм налога на добавленную стоимость производится налоговым органом в порядке, определенном уполномоченным органом.
4. В случае несвоевременной и неполной уплаты суммы налога на добавленную стоимость, исчисленной в соответствии с пунктом 3 настоящей статьи, налоговый орган применяет способы обеспечения исполнения не выполненного в срок налогового обязательства и меры принудительного взыскания в порядке, определенном настоящим Кодексом.
5. В случаях поступления заявления о ввозе товаров и уплате косвенных налогов в электронной форме в налоговый орган Республики Казахстан по истечении срока, предусмотренного пунктом 3 настоящей статьи, уплаченные суммы налога на добавленную стоимость подлежат зачету и возврату в соответствии со статьями 101 и 102 настоящего Кодекса.
При этом уплаченные суммы пени, начисленные в соответствии с пунктом 4 настоящей статьи, возврату не подлежат.
Сноска. Статья 457 с изменениями, внесенными Законом РК от 10.12.2020 № 382-VI (вводится в действие с 01.01.2021).
Статья 458. Отзыв заявления о ввозе товаров и уплате косвенных налогов при импорте товаров в Евразийском экономическом союзе
1. Заявление о ввозе товаров и уплате косвенных налогов подлежит отзыву из налоговых органов самостоятельно налогоплательщиком, а также на основании налогового заявления об отзыве налоговой отчетности, представленного налогоплательщиком в налоговый орган по месту нахождения (жительства) налогоплательщика.
2. Отзыв заявления о ввозе товаров и уплате косвенных налогов производится налогоплательщиком самостоятельно в случае внесения изменения и дополнения в сведения, ранее указанные в заявлении о ввозе товаров и уплате косвенных налогов, не влияющих на размер налоговой базы для исчисления сумм косвенных налогов.
3. Отзыв заявления о ввозе товаров и уплате косвенных налогов производится налогоплательщиком путем подачи налогового заявления в налоговый орган в случаях:
1) ошибочного представления заявления о ввозе товаров и уплате косвенных налогов;
2) установления налоговым органом факта отсутствия импорта товара;
3) внесения изменений и дополнений в сведения, ранее указанные в заявлении о ввозе товаров и уплате косвенных налогов, влияющих на размер налоговой базы для исчисления сумм косвенных налогов, в том числе в случаях, предусмотренных пунктами 2 и 3 статьи 459 настоящего Кодекса.
4. Отзыв заявления о ввозе товаров и уплате косвенных налогов производится одним из следующих методов:
1) удаления из центрального узла системы приема и обработки налоговой отчетности, который применяется по заявлениям о ввозе товаров и уплате косвенных налогов, представленным ошибочно или представленным по импортированным товарам, которые в полном объеме были возвращены по причине ненадлежащих качества и (или) комплектации, а также при установлении налоговым органом факта отсутствия импорта товара.
В целях части первой настоящего подпункта заявление о ввозе товаров и уплате косвенных налогов считается ошибочно представленным в случае, если обязанность по представлению такого заявления настоящим Кодексом не предусмотрена;
2) замены, при котором внесение изменений и дополнений в заявление о ввозе товаров и уплате косвенных налогов производится налогоплательщиком путем отзыва ранее представленного заявления с одновременным представлением нового заявления;
3) изменения в случае направления заявления о ввозе товаров и уплате косвенных налогов в налоговый орган не по месту нахождения (жительства).
В целях подпунктов 2) и 3) части первой настоящего пункта при отзыве заявления о ввозе товаров и уплате косвенных налогов методом замены или изменения в лицевых счетах налогоплательщика налоговым органом по месту регистрационного учета осуществляется сторнирование сумм, отраженных в отзываемом заявлении о ввозе товаров и уплате косвенных налогов, с последующим отражением в лицевом счете данных по заявлению о ввозе товаров и уплате косвенных налогов с учетом заявленных изменений и (или) дополнений.
5. Не допускается внесение налогоплательщиком изменений и дополнений в заявление о ввозе товаров и уплате косвенных налогов:
1) проверяемого налогового периода – в период проведения комплексных проверок и тематических проверок по налогу на добавленную стоимость и акцизам, указанным в предписании на проведение налоговой проверки;
2) обжалуемого налогового периода – в период срока подачи и рассмотрения жалобы на уведомление о результатах проверки с учетом восстановленного срока подачи жалобы по налогу на добавленную стоимость и акцизам, указанным в жалобе налогоплательщика.
6. Порядок отзыва заявления о ввозе товаров и уплате косвенных налогов определяется уполномоченным органом.
Сноска. Статья 458 с изменениями, внесенными Законом РК от 10.12.2020 № 382-VI (вводится в действие с 01.01.2021).
Статья 459. Порядок корректировки сумм налога на добавленную стоимость, уплаченного при импорте товаров
1. В случае осуществления частичного и (или) полного возврата товаров, импортированных на территорию Республики Казахстан с территории государств-членов Евразийского экономического союза, по причине ненадлежащих качества и (или) комплектации до истечения месяца, в котором такие товары ввезены, отражение сведений по таким товарам в заявлении о ввозе товаров и уплате косвенных налогов не производится.
2. При частичном возврате товаров по причине ненадлежащих качества и (или) комплектации после истечения месяца, в котором такие товары ввезены, сведения по таким товарам подлежат отражению в заявлении о ввозе товаров и уплате косвенных налогов, представленном взамен отозванного заявления.
3. При полном возврате товаров по причине ненадлежащих качества и (или) комплектации после истечения месяца, в котором такие товары ввезены, заявление о ввозе товаров и уплате косвенных налогов, представленное по таким товарам, отзывается методом удаления в соответствии с подпунктом 1) пункта 3 статьи 458 настоящего Кодекса.
4. В целях настоящей статьи документами, подтверждающими полный и (или) частичный возврат товаров, импортированных на территорию Республики Казахстан с территории государств-членов Евразийского экономического союза, по причине ненадлежащих качества и (или) комплектации, являются:
1) согласованная налогоплательщиком-экспортером и налогоплательщиком-импортером претензия, содержащая сведения о количестве импортированных товаров, подлежащих возврату по причине ненадлежащих качества и (или) комплектации;
2) акты приема-передачи товара (в случае отсутствия транспортировки возвращенных товаров);
3) транспортные (товаросопроводительные) документы (в случае транспортировки возвращенных товаров);
4) акты уничтожения (в случае уничтожения товаров).
Копии документов, указанных в настоящем пункте, на бумажном носителе представляются в налоговый орган одновременно с документами, предусмотренными подпунктами 1) – 7) части второй пункта 2 статьи 456 настоящего Кодекса.
5. Не подлежит обложению налогом на добавленную стоимость:
1) утрата товаров, понесенная налогоплательщиком в пределах норм естественной убыли, установленных законодательством Республики Казахстан;
2) порча товаров, возникшая в результате чрезвычайных ситуаций природного и техногенного характера.
Для целей настоящей статьи под утратой товара понимается событие, в результате которого произошли уничтожение или потеря товара. Порча товара означает ухудшение всех или отдельных качеств (свойств) товара, в результате которого данный товар не может быть использован для целей облагаемого оборота.
Сноска. Статья 459 с изменениями, внесенными Законом РК от 10.12.2020 № 382-VI (вводится в действие с 01.01.2021).
РАЗДЕЛ 11. АКЦИЗЫ
Глава 51. ОБЩИЕ ПОЛОЖЕНИЯ
Статья 460. Применение акцизов
Акцизами облагаются товары, произведенные на территории Республики Казахстан и импортируемые на территорию Республики Казахстан, указанные в статье 462 настоящего Кодекса.
Статья 461. Плательщики
1. Плательщиками акцизов являются физические и юридические лица, которые:
1) производят подакцизные товары на территории Республики Казахстан, за исключением товаров, предусмотренных подпунктом 6) части первой статьи 462 настоящего Кодекса, производство, сборка (комплектация) которых осуществляются на территории свободного склада;
2) импортируют подакцизные товары на территорию Республики Казахстан;
3) осуществляют оптовую, розничную реализацию бензина (за исключением авиационного) и дизельного топлива на территории Республики Казахстан;
4) осуществляют реализацию конфискованных, бесхозяйных, перешедших по праву наследования к государству и безвозмездно переданных в собственность государства на территории Республики Казахстан подакцизных товаров, указанных в подпунктах 5) – 7) части первой статьи 462 настоящего Кодекса, и по которым акциз на территории Республики Казахстан ранее не был уплачен в соответствии с законодательством Республики Казахстан;
5) осуществляют реализацию имущественной массы подакцизных товаров, указанных в статье 462 настоящего Кодекса, и по которым акциз на территории Республики Казахстан ранее не был уплачен в соответствии с законодательством Республики Казахстан;
6) осуществляют сборку (комплектацию) подакцизных товаров, предусмотренных подпунктом 6) части первой статьи 462 настоящего Кодекса, за исключением осуществления их сборки (комплектации) на территории свободного склада.
2. Плательщиками акцизов являются также физические лица, импортирующие подакцизные товары с территории государств-членов Евразийского экономического союза в целях предпринимательской деятельности.
Критерии отнесения подакцизных товаров к импортируемым в целях предпринимательской деятельности устанавливаются уполномоченным органом.
3. Плательщиками акцизов с учетом положений пункта 1 настоящей статьи являются также юридические лица-нерезиденты и их структурные подразделения.
4. Плательщиками акцизов не являются уполномоченные государственные органы, осуществляющие реализацию конфискованных, бесхозяйных, перешедших по праву наследования к государству и безвозмездно переданных в собственность государства, закладку и выпуск материальных ценностей государственного материального резерва на территории Республики Казахстан подакцизных товаров, указанных в подпунктах 5), 6) и 7) части первой статьи 462 настоящего Кодекса.
Сноска. Статья 461 с изменением, внесенным Законом РК от 15.07.2025 № 208-VIII (вводится в действие с 01.01.2025).
Статья 462. Перечень подакцизных товаров
Если иное не установлено настоящей статьей, подакцизными товарами являются:
1) все виды спирта;
2) алкогольная продукция;
3) табачные изделия;
4) изделия с нагреваемым табаком, никотиносодержащие жидкости для использования в электронных сигаретах;
5) бензин (за исключением авиационного), дизельное топливо, газохол, бензанол, нефрас, смесь легких углеводородов, экологическое топливо;
6) моторные транспортные средства, предназначенные для перевозки 10 и более человек с объемом двигателя более 3000 кубических сантиметров, за исключением микроавтобусов, автобусов и троллейбусов;
автомобили легковые и прочие моторные транспортные средства, предназначенные для перевозки людей с объемом двигателя более 3000 кубических сантиметров (кроме автомобилей с ручным управлением или адаптером ручного управления, специально предназначенных для лиц с инвалидностью);
моторные транспортные средства на шасси легкового автомобиля с платформой для грузов и кабиной водителя, отделенной от грузового отсека жесткой стационарной перегородкой, с объемом двигателя более 3000 кубических сантиметров (кроме автомобилей с ручным управлением или адаптером ручного управления, специально предназначенных для лиц с инвалидностью);
7) сырая нефть, газовый конденсат;
8) спиртосодержащая продукция медицинского назначения, зарегистрированная в соответствии с законодательством Республики Казахстан в качестве лекарственного средства.
Уполномоченный орган в области регулирования торговой деятельности определяет дополнительный перечень импортируемых товаров, которые будут подлежать обложению акцизами по стране происхождения, в порядке, определенном Правительством Республики Казахстан.
Ставки акцизов на товары, указанные в дополнительном перечне импортируемых товаров, определенном в соответствии с частью второй настоящей статьи, устанавливаются Правительством Республики Казахстан на основании предложений уполномоченного органа в области регулирования торговой деятельности.
Сноска. Статья 462 с изменениями, внесенными законами РК от 10.12.2020 № 382-VI (вводится в действие с 01.01.2022); от 11.07.2022 № 135-VII (вводится в действие с 01.01.2022).
Статья 463. Ставки акцизов
1. Ставки акцизов устанавливаются в абсолютной сумме на единицу измерения в натуральном выражении.
1-1. Сумма акциза по подакцизным товарам, в отношении которых установлены комбинированные налоговые ставки (состоящие из твердой (специфической) и адвалорной (в процентах) налоговых ставок), исчисляется как сумма, полученная в результате сложения сумм акциза, исчисленных как произведение твердой (специфической) налоговой ставки и объема реализованных (переданных, ввозимых) подакцизных товаров в натуральном выражении, и как соответствующая адвалорной (в процентах) налоговой ставке процентная доля максимальной розничной цены таких товаров.
2. Ставки акцизов на алкогольную продукцию утверждаются в соответствии с пунктом 1 настоящей статьи либо в зависимости от объемного содержания в ней безводного (стопроцентного) спирта.
3. На все виды спирта и вино наливом ставки акциза дифференцируются в зависимости от целей дальнейшего использования спирта и вина наливом.
4. Исчисление суммы акциза производится по следующим ставкам:
1) на подакцизные товары, указанные в подпунктах 1) – 4), 6), 7) и 8) части первой статьи 462 настоящего Кодекса:
|
№ п/п |
Код ТН ВЭД ЕАЭС |
Виды подакцизных товаров |
Ставки акцизов (в тенге за единицу измерения) |
|
1 |
2 |
3 |
4 |
|
1. |
из 2207 |
Спирт этиловый неденатурированный с концентрацией спирта 80 объемных процентов или более (кроме спирта этилового неденатурированного, реализуемого или используемого для производства алкогольной продукции, отпускаемого государственным медицинским учреждениям в пределах установленных квот), этиловый спирт и прочие спирты денатурированные, любой концентрации (кроме спирта этилового (этанола) денатурированного топливного (не бесцветного, окрашенного) для потребления на внутреннем рынке) |
600 тенге/литр |
|
2. |
из 2207 |
Спирт этиловый (этанол) денатурированный топливный (не бесцветный, окрашенный для потребления на внутреннем рынке) |
1,0 тенге/литр |
|
3. |
из 2208 |
Спирт этиловый неденатурированный, спиртовые настойки и прочие спиртные напитки с концентрацией спирта менее 80 объемных процентов (кроме спирта этилового неденатурированного, реализуемого или используемого для производства алкогольной продукции и отпускаемого государственным медицинским учреждениям в пределах установленных квот), этиловый спирт и прочие спирты денатурированные любой концентрации (кроме спирта этилового (этанола) денатурированного топливного (не бесцветного, окрашенного) для потребления на внутреннем рынке) |
2 550 тенге/литр 100 % спирта |
|
3-1. |
из 2208 |
Спирт этиловый неденатурированный, реализуемый или используемый для лечебных и фармацевтических препаратов |
600 тенге/литр 100 % спирта |
|
4. |
из 2207 |
Спирт этиловый неденатурированный с концентрацией спирта 80 объемных процентов или более, реализуемый или используемый для производства алкогольной продукции |
0 тенге/литр |
|
5. |
из 2208 |
Спирт этиловый неденатурированный, спиртовые настойки и прочие спиртные напитки с концентрацией спирта менее 80 объемных процентов, реализуемые или используемые для производства алкогольной продукции |
75 тенге/литр 100% спирта |
|
6. |
из 3003, 3004 |
Спиртосодержащая продукция медицинского назначения, зарегистрированная в соответствии с законодательством Республики Казахстан в качестве лекарственного средства |
500 тенге/литр 100% спирта |
|
7. |
из 2205, 2206 00 и 2208 |
Алкогольная продукция (кроме коньяка, бренди, вин, вина наливом, пивоваренной продукции) |
2550 тенге/литр 100 % спирта |
|
8. |
из 2208 |
Коньяк, бренди |
1000 тенге/литр 100 % спирта |
|
9. |
из 2204 |
Вина |
35 тенге/литр |
|
10. |
из 2204 |
Вино наливом (кроме реализуемого или используемого для производства этилового спирта и алкогольной продукции) |
170 тенге/литр |
|
11. |
из 2204 |
Вино наливом, реализуемое или используемое для производства этилового спирта и алкогольной продукции |
0 тенге/литр |
|
12. |
2203 00 |
Пивоваренная продукция |
90 тенге/литр |
|
13. |
2202 90 100 1 |
Пивоваренная продукция с объемным содержанием этилового спирта не более 0,5 процента |
0 тенге/литр |
|
14. |
из 2402 |
Сигареты с фильтром |
15 900 тенге/1 000 штук |
|
15. |
из 2402 |
Сигареты без фильтра, папиросы |
15 900 тенге/1 000 штук |
|
16. |
из 2402 |
Сигариллы |
15 900 тенге/1 000 штук |
|
17. |
из 2402 |
Сигары |
750 тенге/штука |
|
18. |
из 2403 |
Табак трубочный, курительный, жевательный, сосательный, нюхательный, кальянный и прочий, упакованный в потребительскую тару и предназначенный для конечного потребления, за исключением фармацевтической продукции, содержащей никотин |
14 150 тенге/килограмм |
|
19. |
из 2709 00 |
Сырая нефть, газовый конденсат |
0 тенге/тонна |
|
20. |
из 8702 |
Моторные транспортные средства, предназначенные для перевозки 10 и более человек, с объемом двигателя более 3 000 куб. см, за исключением микроавтобусов, автобусов и троллейбусов |
100 тенге/ |
|
из 8703 |
Автомобили легковые и прочие моторные транспортные средства, предназначенные главным образом для перевозки людей, с объемом двигателя более 3 000 куб. см (кроме автомобилей с ручным управлением или адаптером ручного управления, специально предназначенных для лиц с инвалидностью) |
||
|
из 8704 |
Моторные транспортные средства на шасси легкового автомобиля с платформой для грузов и кабиной водителя, отделенной от грузового отсека жесткой стационарной перегородкой, с объемом двигателя более 3 000 куб. см (кроме автомобилей с ручным управлением или адаптером ручного управления, специально предназначенных для лиц с инвалидностью) |
||
|
21. |
из 2403, 2404 |
Изделия с нагреваемым табаком (нагреваемая табачная палочка, нагреваемая капсула с табаком и прочие) |
11 130 тенге/1 000 штук |
|
22. |
из 2404 |
Никотиносодержащая жидкость в картриджах, резервуарах и других контейнерах для использования в электронных сигаретах |
55 тенге/миллилитр жидкости |
2) ставки акцизов на подакцизные товары, указанные в подпункте 5) части первой статьи 462 настоящего Кодекса, утверждаются Правительством Республики Казахстан.
Примечание.
Номенклатура товара определяется кодом единой Товарной номенклатуры внешнеэкономической деятельности Евразийского экономического союза и (или) наименованием товара.
Сноска. Статья 463 с изменениями, внесенными Законом РК от 10.12.2020 № 382-VI (вводится в действие с 01.01.2021); от 20.12.2021 № 85-VII (вводится в действие с 01.01.2022); от 11.07.2022 № 135-VII (вводится в действие с 01.01.2023); от 21.12.2022 № 165-VII (вводится в действие с 01.01.2024); от 12.12.2023 № 45-VIII (вводится в действие с 01.01.2025).
Глава 52. НАЛОГООБЛОЖЕНИЕ ПОДАКЦИЗНЫХ ТОВАРОВ, ПРОИЗВОДИМЫХ, РЕАЛИЗУЕМЫХ В РЕСПУБЛИКЕ КАЗАХСТАН
Статья 464. Объект налогообложения
1. Объектом обложения акцизом являются:
1) следующие операции, осуществляемые плательщиком акциза, с произведенными и (или) добытыми, и (или) розлитыми им подакцизными товарами:
реализация подакцизных товаров, за исключением товаров, предусмотренных подпунктом 6) части первой статьи 527 настоящего Кодекса, производство, сборка (комплектация) которых осуществляются на территории свободного склада;
передача подакцизных товаров на переработку на давальческой основе;
передача подакцизных товаров, являющихся продуктом переработки давальческих сырья и материалов, в том числе подакцизных;
взнос в уставный капитал;
использование подакцизных товаров при натуральной оплате, кроме случаев передачи подакцизных товаров в натуральной форме в счет уплаты налога на добычу полезных ископаемых, рентного налога на экспорт;
отгрузка подакцизных товаров, осуществляемая производителем своим структурным подразделениям;
использование производителем произведенных и (или) добытых, и (или) розлитых подакцизных товаров для собственных производственных нужд и для собственного производства подакцизных товаров;
перемещение подакцизных товаров, осуществляемое производителем с указанного в лицензии адреса производства;
2) оптовая реализация бензина (за исключением авиационного), дизельного топлива, газохола, бензанола, нефраса, смеси легких углеводородов и экологического топлива;
3) розничная реализация бензина (за исключением авиационного), дизельного топлива, газохола, бензанола, нефраса, смеси легких углеводородов и экологического топлива;
4) реализация имущественной массы, конфискованных и (или) бесхозяйных, перешедших по праву наследования к государству и безвозмездно переданных в собственность государства подакцизных товаров;
5) порча, утрата подакцизных товаров;
6) импорт подакцизных товаров на территорию Республики Казахстан.
2. Порча, утрата средств идентификации, учетно-контрольных марок рассматривается как реализация подакцизных товаров.
3. Освобождаются от обложения акцизом:
1) экспорт подакцизных товаров, если он отвечает требованиям, установленным статьей 471 настоящего Кодекса;
2) спирт этиловый в пределах квот, определяемых уполномоченным государственным органом по контролю за производством и оборотом этилового спирта и алкогольной продукции, отпускаемый государственным организациям здравоохранения, уведомившим о начале своей деятельности в установленном порядке;
3) подакцизные товары, указанные в пункте 2 статьи 172 настоящего Кодекса, подлежащие перемаркировке учетно-контрольными марками нового образца, если по указанным товарам акциз был ранее уплачен;
4) спиртосодержащая продукция медицинского назначения (кроме бальзамов), зарегистрированная в соответствии с законодательством Республики Казахстан в качестве лекарственного средства.
5) средства идентификации, которые выведены из оборота по причине брака, утраты, повреждения, принятые налоговыми органами на основании акта о списании и уничтожении.
Сноска. Статья 464 с изменениями, внесенными законами РК от 28.12.2018 № 211-VI (вводится в действие по истечении десяти календарных дней после дня его первого официального опубликования); от 10.12.2020 № 382-VI (вводится в действие с 01.01.2022); от 20.12.2021 № 85-VII (вводится в действие с 01.01.2022); от 11.07.2022 № 135-VII (вводится в действие с 01.01.2022); от 21.12.2022 № 165-VII (вводится в действие с 01.01.2024); от 15.07.2025 № 208-VIII (вводится в действие с 01.01.2025).
Статья 465. Дата совершения операции
1. Если иное не предусмотрено настоящей статьей, во всех случаях датой совершения операции является день отгрузки (передачи) подакцизных товаров получателю.
2. В случае реализации производителем произведенных им подакцизных товаров через сеть своих структурных подразделений датой совершения операции является день отгрузки товаров структурным подразделениям юридического лица.
3. При передаче подакцизных товаров, являющихся давальческим сырьем, датой совершения операции является день передачи указанных товаров подрядчику (переработчику).
При изготовлении подакцизных товаров, указанных в подпункте 5) статьи 462 настоящего Кодекса, являющихся продуктом переработки давальческого сырья, датой совершения операции является день передачи изготовленных подакцизных товаров заказчику, указанный в документе, оформленном в соответствии с законодательством Республики Казахстан о бухгалтерском учете и финансовой отчетности. Под передачей изготовленных подакцизных товаров заказчику понимается фактическая отгрузка подакцизных товаров в натуральном выражении путем налива в автомобильные и (или) железнодорожные цистерны либо прокачки по трубопроводу в резервуар или заправочную станцию поставщика нефти, принадлежащие ему на праве собственности или иных законных основаниях, подтвержденная актами приема-передачи.
Срок переработки давальческого сырья, являющегося подакцизным, вывезенного с территории Республики Казахстан на территорию государства-члена Евразийского экономического союза, а также ввезенного на территорию Республики Казахстан с территории государств-членов Евразийского экономического союза, определяется согласно условиям договора (контракта) на переработку давальческого сырья и не может превышать два года с даты принятия на учет и (или) отгрузки давальческого сырья.
В случае превышения установленного срока переработки давальческого сырья объектом обложения акцизом является предполагаемый объем продукта переработки в соответствии с условиями договора (контракта) по ставкам, утвержденным Правительством Республики Казахстан.
В случае осуществления ввоза (вывоза) давальческого сырья на переработку налогоплательщиком Республики Казахстан представляется обязательство о вывозе (ввозе) продуктов переработки, а также его исполнение в порядке, по форме и в сроки, которые утверждены уполномоченным органом по согласованию с центральным уполномоченным органом по государственному планированию.
4. При использовании подакцизных товаров для собственных производственных нужд и собственного производства подакцизных товаров датой совершения операции является день передачи указанных товаров для такого использования.
5. При перемещении подакцизных товаров, осуществляемом производителем с адреса производства, датой совершения операции является день перемещения подакцизных товаров с указанного в лицензии адреса производства.
6. В случае порчи подакцизных товаров, акцизных марок, учетно-контрольных марок датой совершения операции является день составления акта о списании испорченных подакцизных товаров, акта о списании и уничтожении средств идентификации, учетно-контрольных марок или день принятия решения об их дальнейшем использовании в производственном процессе.
В случае утраты подакцизных товаров, акцизных марок, учетно-контрольных марок датой совершения операции является день, когда произошла утрата подакцизных товаров, акцизных марок, учетно-контрольных марок.
7. При импорте подакцизных товаров на территорию Республики Казахстан с территории другого государства-члена Евразийского экономического союза датой совершения операции является дата принятия налогоплательщиком на учет импортированных подакцизных товаров.
При этом для целей настоящего раздела датой принятия на учет импортированных подакцизных товаров является дата оприходования таких товаров в соответствии с международными стандартами финансовой отчетности и (или) требованиями законодательства Республики Казахстан о бухгалтерском учете и финансовой отчетности.
Сноска. Статья 465 с изменениями, внесенными законами РК от 10.12.2020 № 382-VI (вводится в действие с 01.01.2018); от 20.12.2021 № 85-VII (вводится в действие с 01.01.2022).
Статья 466. Налоговая база
По подакцизным товарам налоговая база определяется как объем (количество) произведенных, реализованных подакцизных товаров в натуральном выражении.
По бензину (за исключением авиационного), дизельному топливу, газохолу, бензанолу, нефрасу, смеси легких углеводородов и экологическому топливу, являющимися продуктами переработки давальческого сырья, налоговая база определяется как объем (количество) переданных подакцизных товаров в натуральном выражении.
Сноска. Статья 466 с изменениями, внесенными законами РК от 10.12.2020 № 382-VI (вводится в действие с 01.01.2022); от 11.07.2022 № 135-VII (вводится в действие с 01.01.2022).
Статья 467. Особенности налогообложения всех видов спирта и вина наливом в случае установления разных ставок
Сноска.Заголовок статьи 467 с изменением, внесенным Законом РК от 20.12.2021 № 85-VII (вводится в действие с 01.01.2022).
1. В случае установления в соответствии с пунктом 3 статьи 463 настоящего Кодекса разных ставок акциза на все виды спирта и вино наливом налоговая база определяется отдельно по операциям, облагаемым по одним и тем же ставкам.
2. При использовании спирта и вина наливом, приобретенных производителями алкогольной продукции с акцизом по ставке ниже базовой не для производства этилового спирта и (или) алкогольной продукции, сумма акциза по данному спирту и вину наливом подлежит пересчету и уплате в бюджет по базовой ставке акциза, установленной для всех видов спирта и вина наливом, реализуемых лицам, не являющимся производителями алкогольной продукции. Пересчет и уплата акциза производятся получателем спирта или вина наливом.
3. Положения пункта 2 настоящей статьи применяются также в случае нецелевого использования спирта, приобретенного для производства лечебных и фармацевтических препаратов и оказания медицинских услуг. Плательщиками акциза по данному спирту являются производители лечебных и фармацевтических препаратов и государственные медицинские учреждения, получившие спирт без акциза.
Сноска. Статья 467 с изменениями, внесенными Законом РК от 20.12.2021 № 85-VII (вводится в действие с 01.01.2022).
Статья 468. Порча, утрата подакцизных товаров
1. При порче, утрате произведенных на территории Республики Казахстан и импортируемых, а также ввозимых на таможенную территорию Евразийского экономического союза подакцизных товаров акциз уплачивается в полном размере, за исключением случаев, возникших в результате чрезвычайных ситуаций и (или) в период действия чрезвычайного положения.
Настоящее положение применяется также в случае порчи, утраты бензина (за исключением авиационного), дизельного топлива, приобретенных для дальнейшей реализации.
2. Для целей настоящей статьи:
1) под порчей подакцизного товара понимается ухудшение всех или отдельных качеств (свойств) товара, в том числе на всех технологических стадиях его производства;
2) под утратой подакцизного товара понимается событие, в результате которого произошли уничтожение или потеря товара, в том числе на всех технологических стадиях его производства.
Не являются утратой потеря подакцизных товаров, понесенная налогоплательщиком в пределах норм естественной убыли, установленных законодательством Республики Казахстан, а также потери в пределах норм, регламентируемых нормативной и технической документацией производителя.
Сноска. Статья 468 с изменением, внесенным Законом РК от 11.07.2022 № 135-VII (вводится в действие с 01.01.2022).
Статья 469. Порча, утрата средств идентификации, учетно-контрольных марок
Сноска. Заголовок статьи 469 с изменением, внесенным законом РК от 20.12.2021 № 85-VII (вводится в действие с 01.01.2022).
1. Если иное не предусмотрено настоящей статьей, при порче, утрате средств идентификации, учетно-контрольных марок акциз уплачивается в размере заявленного ассортимента.
Исчисление акциза по испорченным или утерянным (в том числе похищенным) учетно-контрольным маркам, предназначенным для маркировки алкогольной продукции в соответствии со статьей 172 настоящего Кодекса, производится исходя из установленных ставок, применяемых к объему емкости (тары), указанному на марке.
2. При порче, утрате средств идентификации, выданных при импорте табачных изделий, учетно-контрольных марок уплаченные суммы акциза подлежат перерасчету в следующих случаях:
1) порча, утрата средств идентификации, учетно-контрольных марок возникли в результате чрезвычайных ситуаций и (или) в период действия чрезвычайного положения;
2) испорченные средства идентификации, учетно-контрольные марки приняты налоговыми органами на основании акта о списании и уничтожении.
3. При порче, утрате средств идентификации, выданных на табачные изделия, акциз не уплачивается в следующих случаях:
1) порча, утрата средств идентификации возникли в результате чрезвычайных ситуаций и (или) в период действия чрезвычайного положения;
2) испорченные средства идентификации приняты налоговыми органами на основании акта о списании и уничтожении.
Сноска. Статья 469 с изменениями, внесенными законами РК от 20.12.2021 № 85-VII (вводится в действие с 01.01.2022); от 11.07.2022 № 135-VII (вводится в действие с 01.01.2022).
Статья 470. Критерии отнесения к оптовой и розничной реализации бензина (за исключением авиационного), дизельного топлива, газохола, бензанола, нефраса, смеси легких углеводородов и экологического топлива, осуществляемой на территории Республики Казахстан
Сноска. Заголовок с изменениями, внесенными законами РК от 10.12.2020 № 382-VI (вводится в действие с 01.01.2022); от 11.07.2022 № 135-VII (вводится в действие с 01.01.2022).
1. Реализация бензина (за исключением авиационного), дизельного топлива, газохола, бензанола, нефраса, смеси легких углеводородов и экологического топлива относится к сфере оптовой реализации, если по договору купли-продажи (мены) покупатель обязуется принять указанные подакцизные товары и использовать их для дальнейшей реализации при условии, что поставщиками по данному договору купли-продажи (мены) являются:
1) производитель бензина (за исключением авиационного), дизельного топлива, газохола, бензанола, нефраса, смеси легких углеводородов и экологического топлива;
2) поставщик нефти, получивший бензин (за исключением авиационного), дизельное топливо, газохол, бензанол, нефрас, смесь легких углеводородов и (или) экологическое топливо в результате переработки принадлежащего ему на праве собственности давальческого сырья с целью их дальнейшей реализации;
3) налогоплательщик, состоящий на регистрационном учете по отдельным видам деятельности в соответствии со статьей 88 настоящего Кодекса и осуществивший ввоз (в том числе импорт) на территорию Республики Казахстан собственных бензина (за исключением авиационного), дизельного топлива, газохола, бензанола, нефраса, смеси легких углеводородов и (или) экологического топлива с целью их дальнейшей реализации.
К сфере оптовой реализации относится также отгрузка бензина (за исключением авиационного), дизельного топлива, газохола, бензанола, нефраса, смеси легких углеводородов и экологического топлива структурным подразделениям юридического лица для дальнейшей реализации.
2. К сфере розничной реализации бензина (за исключением авиационного), дизельного топлива, газохола, бензанола, нефраса, смеси легких углеводородов и экологического топлива относятся следующие операции, осуществляемые поставщиками, указанными в пункте 1 настоящей статьи:
1) реализация, а также передача производителем нефтепродуктов, изготовленных из давальческого сырья и материалов, бензина (за исключением авиационного), дизельного топлива, газохола, бензанола, нефраса, смеси легких углеводородов и экологического топлива лицам для их производственных нужд;
2) реализация бензина (за исключением авиационного), дизельного топлива, газохола, бензанола, нефраса, смеси легких углеводородов и экологического топлива физическим лицам;
3) использование на собственные производственные нужды произведенного или приобретенного для дальнейшей реализации бензина (за исключением авиационного), дизельного топлива, газохола, бензанола, нефраса, смеси легких углеводородов и экологического топлива.
Сноска. Статья 470 с изменениями, внесенными законами РК от 10.12.2020 № 382-VI (вводится в действие с 01.01.2022); от 11.07.2022 № 135-VII (вводится в действие с 01.01.2022).
Статья 471. Подтверждение экспорта подакцизных товаров
1. Документами, подтверждающими экспорт подакцизных товаров, являются:
1) договор (контракт) на поставку экспортируемых подакцизных товаров;
2) декларация на товары или ее копия, заверенная таможенным органом, с отметкой таможенного органа, осуществившего выпуск подакцизных товаров в таможенной процедуре экспорта.
В случае вывоза подакцизных товаров в таможенной процедуре экспорта по системе магистральных трубопроводов либо с применением процедуры неполного периодического декларирования подтверждением экспорта служит полная декларация на товары с отметкой таможенного органа, производившего таможенное декларирование;
3) копии товаросопроводительных документов с отметкой таможенного органа, расположенного в пункте пропуска на таможенной границе Евразийского экономического союза.
В случае вывоза подакцизных товаров в таможенной процедуре экспорта по системе магистральных трубопроводов вместо копий товаросопроводительных документов представляется акт приема-сдачи товаров;
4) платежные документы и выписка банка, которые подтверждают фактическое поступление выручки от реализации подакцизных товаров на банковские счета налогоплательщика в Республике Казахстан, открытые в соответствии с законодательством Республики Казахстан.
2. При экспорте подакцизных товаров в государства-участники Содружества Независимых Государств (за исключением государств-членов Евразийского экономического союза), с которыми Республикой Казахстан заключены международные договоры, предусматривающие освобождение от акциза экспорта подакцизных товаров, дополнительным документом, подтверждающим экспорт подакцизных товаров является декларация на товары, оформленная в стране импорта подакцизных товаров, вывезенных с таможенной территории Республики Казахстан в таможенной процедуре экспорта.
3. При экспорте подакцизных товаров на территорию государства-члена Евразийского экономического союза для подтверждения обоснованности освобождения от уплаты акцизов в соответствии с пунктом 3 статьи 464 настоящего Кодекса налогоплательщик представляет в налоговый орган по месту нахождения одновременно с декларацией по акцизу документы, предусмотренные статьей 447 настоящего Кодекса, за исключением документов, указанных в подпункте 4) пункта 1 статьи 447 настоящего Кодекса.
При этом налогоплательщик вправе представить указанные документы, за исключением декларации по акцизу, в налоговый орган в течение ста восьмидесяти календарных дней с даты совершения операции.
4. Декларация на товары в виде электронного документа, по которой в информационных системах налоговых органов имеется уведомление таможенных органов о фактическом вывозе товаров, также является документом, подтверждающим экспорт подакцизных товаров. При наличии декларации на товары в виде электронного документа, предусмотренной настоящим пунктом, представление документов, установленных подпунктом 2) пункта 1 настоящей статьи, не требуется.
5. В случае неподтверждения реализации подакцизных товаров на экспорт в соответствии с пунктами 1, 2 и 3 настоящей статьи такая реализация подлежит обложению акцизом в порядке, определенном настоящим разделом для реализации подакцизных товаров на территории Республики Казахстан.
6. В случае подтверждения реализации подакцизных товаров на экспорт по истечении сроков, установленных пунктом 3 настоящей статьи, уплаченные в соответствии с пунктом 5 настоящей статьи суммы акцизов подлежат зачету и возврату в соответствии со статьями 101 и 102 настоящего Кодекса.
При этом уплаченная сумма пени, начисленная в связи с неподтверждением реализации подакцизных товаров на экспорт на территорию государства-члена Евразийского экономического союза, возврату не подлежит.
Статья 472. Исчисление суммы акциза
Исчисление суммы акциза производится путем применения установленной ставки акциза к налоговой базе.
Статья 473. Корректировка налоговой базы
1. Если иное не установлено настоящей статьей, налоговая база корректируется в том налоговом периоде, в котором произведен возврат подакцизного товара.
Корректировка размера налоговой базы в соответствии с настоящей статьей производится на основании дополнительного счета-фактуры, в котором отдельной строкой выделена сумма акциза, подлежащая корректировке, а также двусторонних актов, подтверждающих основание для возврата подакцизного товара, и других документов, подтверждающих наступление указанных в договоре (контракте) случаев возврата.
Корректировка размера налоговой базы при возврате подакцизных товаров производителю на адрес производства производится на основании товаросопроводительных документов производителя в случае, если подакцизные товары были перемещены производителем с адреса производства, но не были реализованы.
Корректировка размера налоговой базы при импорте подакцизных товаров из государств-членов Евразийского экономического союза производится в соответствии с пунктами 1, 2, 3 и 4 статьи 459 настоящего Кодекса.
2. Налоговая база по подакцизным товарам, указанным в подпунктах 2) и 3) статьи 462 настоящего Кодекса, за исключением водки, водки особой и другой алкогольной продукции с объемной долей этилового спирта более пятнадцати процентов, корректируется производителем подакцизного товара на объем подакцизного товара, реализованного на экспорт, в случае, если по такому подакцизному товару ранее уплачен акциз в связи с его перемещением, осуществленным производителем с указанного в лицензии адреса производства.
Корректировка налоговой базы, предусмотренной настоящим пунктом, производится в том налоговом периоде, в котором такой подакцизный товар реализован на экспорт.
При этом налоговая база с учетом такой корректировки может иметь отрицательное значение.
Сноска. Статья 473 с изменением, внесенным Законом РК от 10.12.2020 № 382-VI (вводится в действие с 01.01.2020).
Статья 474. Вычет из налога
1. Налогоплательщик имеет право уменьшить сумму акциза, исчисленную в соответствии со статьей 472 настоящего Кодекса, на установленные настоящей статьей вычеты.
2. В соответствии с настоящей статьей на вычет относятся суммы акциза, уплаченные в Республике Казахстан, по подакцизным товарам, использованным в качестве основного сырья для производства других подакцизных товаров.
3. Вычету подлежат суммы акциза, уплаченные:
1) на территории Республики Казахстан при приобретении или импорте подакцизных товаров на территорию Республики Казахстан;
2) за подакцизное сырье собственного производства;
3) при передаче подакцизных товаров, изготовленных из давальческого подакцизного сырья.
Не подлежат вычету суммы акциза на все виды спирта, сырую нефть, газовый конденсат.
4. Вычет производится на сумму акциза, исчисленную исходя из объема подакцизного сырья, фактически использованного на изготовление подакцизных товаров в налоговом периоде.
5. Вычет суммы акциза, уплаченной при приобретении подакцизного сырья на территории Республики Казахстан, осуществляется при наличии следующих документов:
1) договора купли-продажи подакцизного сырья;
2) платежных документов или квитанции к приходно-кассовому ордеру с приложением чеков контрольно-кассовой машины, подтверждающих оплату подакцизного сырья;
3) товаротранспортных накладных на поставку подакцизного сырья;
4) счета-фактуры с выделенной отдельной строкой суммой акциза;
5) купажных листов (при производстве алкогольной продукции);
6) акта о списании подакцизного сырья в производство.
6. Вычет суммы акциза, уплаченной за подакцизное сырье собственного производства, осуществляется при наличии следующих документов:
1) платежных документов или иных документов, подтверждающих уплату акциза в бюджет;
2) купажных листов (при производстве алкогольной продукции);
3) акта о списании подакцизного сырья в производство.
7. Вычет суммы акциза, уплаченной в Республике Казахстан при импорте подакцизного сырья на территорию Республики Казахстан, осуществляется при наличии следующих документов:
1) договора купли-продажи подакцизного сырья;
2) платежных документов или иных документов, подтверждающих уплату акциза в бюджет при таможенном декларировании;
3) декларации на товары на импортируемое подакцизное сырье при импорте подакцизного сырья на территорию Республики Казахстан с территории государств, не являющихся членами Евразийского экономического союза, или заявления о ввозе товаров и уплате косвенных налогов при импорте на территорию Республики Казахстан с территории государств-членов Евразийского экономического союза;
4) купажных листов (при производстве алкогольной продукции);
5) акта о списании подакцизного сырья в производство.
8. Вычету также подлежит сумма акциза, уплаченная при передаче подакцизных товаров, изготовленных на территории Республики Казахстан из давальческого подакцизного сырья, при наличии следующих документов:
1) договора о переработке давальческого сырья между собственником давальческого подакцизного сырья и переработчиком;
2) платежных документов или иных документов, подтверждающих уплату акциза в бюджет собственником давальческого подакцизного сырья;
3) накладной на отпуск или акта приема-передачи подакцизного сырья.
9. В случае превышения суммы акциза, уплаченной производителями подакцизных товаров при приобретении на территории Республики Казахстан или импорте подакцизного сырья, над суммой акциза, исчисленной для изготовленных из этого сырья подакцизных товаров, сумма такого превышения вычету не подлежит.
Статья 475. Сроки уплаты акциза
1. Если иное не предусмотрено настоящим Кодексом, акциз на подакцизные товары подлежит перечислению в бюджет не позднее 20 числа месяца, следующего за отчетным налоговым периодом.
2. По подакцизным товарам, произведенным из давальческих сырья и материалов, акциз уплачивается в день передачи продукции заказчику или лицу, указанному заказчиком.
3. При передаче сырой нефти, газового конденсата, добытых на территории Республики Казахстан, на промышленную переработку акциз уплачивается в день их передачи.
4. Акциз на подакцизные товары, установленные подпунктом 2) части первой статьи 462 настоящего Кодекса, за исключением вина наливом и пивоваренной продукции, производителями алкогольной продукции уплачивается по выбору:
до получения учетно-контрольных марок;
в день отгрузки (передачи) подакцизных товаров в случае представления обязательства о целевом использовании учетно-контрольных марок в соответствии со статьей 172 настоящего Кодекса.
5. Подтверждение налоговыми органами факта уплаты акциза по импортированным с территории государств-членов Евразийского экономического союза подакцизным товарам в заявлении о ввозе товаров и уплате косвенных налогов путем проставления соответствующей отметки либо мотивированный отказ в подтверждении осуществляется в порядке, определенном уполномоченным органом.
Сноска. Статья 475 с изменением, внесенным Законом РК от 20.12.2021 № 85-VII (вводится в действие с 01.01.2022).
Статья 476. Место уплаты акциза
1. Уплата акциза производится по месту нахождения объекта обложения, за исключением случаев, указанных в пунктах 2 и 3 настоящей статьи.
2. Плательщики акциза, осуществляющие оптовую, розничную реализацию бензина (за исключением авиационного) и дизельного топлива, уплачивают акциз по месту нахождения объектов, связанных с налогообложением.
3. В случае импорта подакцизных товаров с территории государств-членов Евразийского экономического союза уплата акциза производится по месту нахождения (жительства) плательщика акциза.
Статья 477. Порядок исчисления и уплаты акциза налогоплательщиками за структурные подразделения, объекты, связанные с налогообложением
1. По операциям, облагаемым акцизом, совершенным в течение налогового периода структурным подразделением юридического лица, а также объектами, связанными с налогообложением, расчеты акциза составляются отдельно (далее по разделу – расчет по акцизу).
На основании расчета по акцизу определяется сумма акциза, подлежащая уплате за структурное подразделение юридического лица, а также объекты, связанные с налогообложением.
2. Плательщики акциза обязаны представить расчет по акцизу в налоговые органы по месту нахождения структурного подразделения юридического лица, объектов, связанных с налогообложением, в сроки, установленные статьей 478 настоящего Кодекса.
Плательщики акциза, имеющие несколько объектов, связанных с налогообложением, зарегистрированных в одном налоговом органе, представляют один расчет по акцизу за все объекты.
3. Уплата акциза, включая текущие платежи, за структурные подразделения юридического лица, объекты, связанные с налогообложением, производится юридическим лицом-плательщиком акциза непосредственно со своего банковского счета или возлагается на структурное подразделение юридического лица.
4. Индивидуальные предприниматели представляют расчет по акцизу, подлежащему уплате за объекты, связанные с налогообложением, по месту нахождения объектов, связанных с налогообложением.
Статья 478. Налоговый период и налоговая декларация по акцизу
1. Применительно к акцизу налоговым периодом является календарный месяц.
2. Если иное не предусмотрено настоящей статьей, по окончании каждого налогового периода плательщики акцизов обязаны представить в налоговый орган по месту своего нахождения декларацию по акцизу не позднее 15 числа второго месяца, следующего за отчетным налоговым периодом.
3. Плательщики акциза одновременно с декларацией представляют расчеты по акцизу.
4. Налогоплательщики, импортирующие подакцизные товары на территорию Республики Казахстан с территории государств-членов Евразийского экономического союза, обязаны представить в налоговый орган по месту нахождения (жительства) заявление о ввозе товаров и уплате косвенных налогов и иные документы в соответствии с пунктом 2 статьи 456 настоящего Кодекса, в срок не позднее 20 числа месяца, следующего за месяцем принятия на учет импортированных подакцизных товаров.
Сноска. Статья 478 с изменением, внесенным Законом РК от 10.12.2020 № 382-VI (вводится в действие с 01.01.2021).
Глава 53. НАЛОГООБЛОЖЕНИЕ ИМПОРТА ПОДАКЦИЗНЫХ ТОВАРОВ
Статья 479. Налоговая база импортируемых подакцизных товаров
По импортируемым на территорию Республики Казахстан подакцизным товарам налоговая база определяется как объем, количество импортируемых подакцизных товаров в натуральном выражении.
Статья 480. Сроки уплаты акциза на импортируемые подакцизные товары
1. Акцизы на импортируемые подакцизные товары с территории государств, не являющихся членами Евразийского экономического союза, уплачиваются в определяемый таможенным законодательством Евразийского экономического союза и (или) таможенным законодательством Республики Казахстан день для уплаты таможенных платежей, за исключением случаев, предусмотренных пунктом 2 настоящей статьи, в порядке, определенном уполномоченным органом.
2. Акциз на импортируемые подакцизные товары, подлежащие маркировке в соответствии со статьей 172 настоящего Кодекса, уплачивается до получения средств идентификации, учетно-контрольных марок.
При осуществлении импорта подакцизных товаров, указанных в части первой настоящего пункта, сумма акциза подлежит уточнению и применяется ставка акциза, действующая на дату импорта подакцизных товаров.
3. Акцизы по подакцизным товарам (за исключением маркируемых подакцизных товаров), импортированным с территории государств-членов Евразийского экономического союза, уплачиваются в срок не позднее 20 числа месяца, следующего за месяцем принятия на учет импортированных подакцизных товаров.
Уплата акцизов по маркируемым подакцизным товарам производится в сроки, установленные пунктом 2 настоящей статьи.
4. В случае использования подакцизных товаров, импорт которых на территорию Республики Казахстан в соответствии с законодательством Республики Казахстан осуществлен без уплаты акцизов, в иных целях, чем те, в связи с которыми предоставлены освобождение или иной порядок уплаты, данные подакцизные товары подлежат обложению акцизами в порядке и по ставкам акцизов, которые установлены статьями 463 и 479 настоящего Кодекса и постановлением Правительства Республики Казахстан.
Сноска. Статья 480 с изменением, внесенным Законом РК от 20.12.2021 № 85-VII (вводится в действие с 01.01.2022).
Статья 481. Импорт подакцизных товаров, освобожденных от акциза
1. Акцизами не облагаются подакцизные товары, импортируемые физическими лицами по нормам, предусмотренным таможенным законодательством Евразийского экономического союза и (или) таможенным законодательством Республики Казахстан.
2. Освобождаются от уплаты акциза следующие импортируемые подакцизные товары:
1) необходимые для эксплуатации транспортных средств, осуществляющих международные перевозки, во время следования в пути и в пунктах промежуточной остановки;
2) оказавшиеся вследствие повреждения до пропуска их через таможенную границу Евразийского экономического союза не пригодными к использованию в качестве изделий и материалов;
3) ввезенные для официального пользования иностранными дипломатическими и приравненными к ним представительствами, а также для личного пользования лицами из числа дипломатического и административно-технического персонала этих представительств, включая членов их семей, проживающих вместе с ними. Указанные товары освобождаются от уплаты акциза в соответствии с международными договорами, участником которых является Республика Казахстан;
4) перемещаемые через таможенную границу Евразийского экономического союза, освобождаемые от уплаты акциза на территории Республики Казахстан в рамках таможенных процедур, установленных таможенным законодательством Евразийского экономического союза и (или) таможенным законодательством Республики Казахстан, за исключением таможенной процедуры выпуска для внутреннего потребления;
5) спиртосодержащая продукция медицинского назначения (кроме бальзамов), зарегистрированная в соответствии с законодательством Республики Казахстан.
РАЗДЕЛ 12. СОЦИАЛЬНЫЙ НАЛОГ
Глава 54. ОБЩИЕ ПОЛОЖЕНИЯ
Статья 482. Плательщики
1. Плательщиками социального налога являются:
1) индивидуальные предприниматели;
2) лица, занимающиеся частной практикой;
3) юридические лица-резиденты Республики Казахстан, если иное не установлено пунктом 3 настоящей статьи;
4) юридические лица-нерезиденты, осуществляющие деятельность в Республике Казахстан через постоянные учреждения;
5) юридические лица-нерезиденты, осуществляющие деятельность через структурное подразделение, которое не приводит к образованию постоянного учреждения.
2. Не являются плательщиками социального налога следующие налогоплательщики:
1) применяющие специальный налоговый режим:
на основе патента;
для крестьянских или фермерских хозяйств;
розничного налога;
с использованием специального мобильного приложения;
2) специализированные организации, в которых работают лица с инвалидностью с нарушениями опорно-двигательного аппарата, по потере слуха, речи, зрения, соответствующие условиям пункта 3 статьи 290 настоящего Кодекса.
3. Юридическое лицо-резидент своим решением вправе признать одновременное исполнение обязанности своим структурным подразделением по:
исчислению и уплате социального налога по объектам налогообложения, являющимся расходами такого структурного подразделения;
исчислению, удержанию и перечислению индивидуального подоходного налога по доходам, подлежащим налогообложению у источника выплаты, которые начислены, выплачены таким структурным подразделением.
Принятие такого решения юридического лица-резидента или его отмена вводится в действие с начала квартала, следующего за кварталом, в котором принято такое решение.
В случае если плательщиком социального налога признается вновь созданное структурное подразделение, то решение юридического лица о таком признании вводится в действие со дня создания данного структурного подразделения или с начала квартала, следующего за кварталом, в котором создано данное структурное подразделение.
Сноска. Статья 482 с изменениями, внесенными законами РК от 10.12.2020 № 382-VI (вводится в действие с 01.01.2021); от 24.06. 2021 № 53-VII (вводится в действие с 01.01.2022).
Статья 483. Особенности исчисления, уплаты и представления налоговой отчетности по социальному налогу плательщиками, применяющими специальные налоговые режимы
Исчисление, уплата и представление налоговой отчетности по социальному налогу производятся плательщиками, применяющими специальные налоговые режимы:
1) для производителей сельскохозяйственной продукции, – с учетом положений главы 78 настоящего Кодекса;
2) на основе упрощенной декларации, – в соответствии со статьями 687 – 689 настоящего Кодекса.
Положения статей 484 – 488 настоящего Кодекса не применяются плательщиками, указанными в подпункте 2) части первой настоящей статьи.
Статья 484. Объект налогообложения
1. Объектом налогообложения для лиц, занимающихся частной практикой, и индивидуальных предпринимателей, за исключением индивидуальных предпринимателей, применяющих специальный налоговый режим на основе упрощенной декларации, является численность работников, включая самих плательщиков.
2. Объектом налогообложения для плательщиков, указанных в подпунктах 3), 4) и 5) пункта 1 статьи 482 настоящего Кодекса, являются расходы:
1) работодателя по доходам работника, указанным в пункте 1 статьи 322 настоящего Кодекса (в том числе расходы работодателя, указанные в подпунктах 20), 22), 23) и 24) пункта 1 статьи 644 настоящего Кодекса);
2) налогового агента по доходам иностранного персонала, указанного в пункте 7 статьи 220 настоящего Кодекса.
3. Из объекта налогообложения исключаются:
1) обязательные пенсионные взносы в единый накопительный пенсионный фонд в соответствии с законодательством Республики Казахстан;
2) взносы на обязательное социальное медицинское страхование в соответствии с законодательством Республики Казахстан об обязательном социальном медицинском страховании;
Примечание РЦПИ!
Внесенное изменение в подпункт 3) действует до 01.01.2029 в соответствии с Законом РК от 26.12.2018 № 203-VI.
3) доходы, установленные в пункте 1 статьи 341 настоящего Кодекса, за исключением доходов, установленных в подпункте 10) пункта 1 статьи 341 настоящего Кодекса, а также доходов, установленных в подпункте 53) пункта 1 статьи 341 настоящего Кодекса в части доходов работников, являющихся гражданами Республики Казахстан;
4) доходы, установленные в подпункте 10) статьи 654 настоящего Кодекса;
5) выплаты, производимые за счет средств грантов.
Положения настоящего подпункта применяются, если выплаты производятся в соответствии с договором (контрактом), заключенным с грантополучателем либо с исполнителем, назначенным грантополучателем для осуществления целей (задач) гранта.
4. В случае если объект налогообложения, указанный в пункте 2 настоящей статьи, определенный с учетом пункта 3 настоящей статьи, составляет за календарный месяц сумму от одного тенге до 14-кратного размера месячного расчетного показателя, установленного законом о республиканском бюджете и действующего на первое число этого календарного месяца, то объект налогообложения определяется исходя из 14-кратного размера месячного расчетного показателя.
Сноска. Статья 484 с изменениями, внесенными законами РК от 26.12.2018 № 203-VI (вводится в действие с 01.01.2019); от 10.12.2020 № 382-VI (порядок введения в действие см. ст. 2); от 20.12.2021 № 85-VII (вводится в действие с 01.01.2022); от 21.12.2022 № 165-VII (вводится в действие с 01.01.2023); от 15.07.2025 № 208-VIII (вводится в действие с 01.01.2025).
Статья 485. Ставки налога
1. Если иное не установлено настоящей статьей, социальный налог исчисляется по ставке:
с 1 января 2018 года – 9,5 процента;
с 1 января 2025 года – 11 процентов.
2. Индивидуальные предприниматели и лица, занимающиеся частной практикой, исчисляют социальный налог в 2-кратном размере месячного расчетного показателя, установленного законом о республиканском бюджете и действующего на дату уплаты, за себя и 1-кратном размере месячного расчетного показателя за каждого работника.
Положение настоящего пункта не распространяется на:
1) налогоплательщиков в период временного приостановления ими представления налоговой отчетности в соответствии со статьей 213 настоящего Кодекса;
2) индивидуальных предпринимателей, применяющих специальный налоговый режим на основе упрощенной декларации;
3) индивидуальных предпринимателей, за исключением указанных в подпункте 2) части второй настоящего пункта, и лиц, занимающихся частной практикой, которые не получали в налоговом периоде доход.
3. Ставки социального налога для плательщиков, применяющих специальный налоговый режим на основе упрощенной декларации, установлены главой 77 настоящего Кодекса.
Сноска. Статья 485 с изменениями, внесенными законами РК от 02.04.2019 № 241-VI (вводится в действие с 01.01.2020); от 10.12.2020 № 382-VI (вводится в действие с 01.01.2018).
Глава 55. ПОРЯДОК ИСЧИСЛЕНИЯ И УПЛАТЫ НАЛОГА
Статья 486. Порядок исчисления социального налога
1. Сумма социального налога определяется путем применения соответствующих ставок, установленных в пункте 1 статьи 485 настоящего Кодекса, к объекту налогообложения, определенному пунктом 2 статьи 484 настоящего Кодекса с учетом положений пункта 3 статьи 484 настоящего Кодекса.
2. Индивидуальные предприниматели, за исключением применяющих специальный налоговый режим на основе упрощенной декларации, лица, занимающиеся частной практикой, исчисление социального налога производят путем применения ставок, установленных в пункте 2 статьи 485 настоящего Кодекса, к объекту обложения социальным налогом, определенному пунктом 1 статьи 484 настоящего Кодекса.
3. Сумма социального налога, подлежащая уплате в бюджет, определяется как разница между исчисленным социальным налогом и суммой социальных отчислений, исчисленных в соответствии с Социальным кодексом Республики Казахстан.
При превышении суммы исчисленных социальных отчислений в Государственный фонд социального страхования над суммой исчисленного социального налога или равенстве их сумм сумма социального налога, подлежащая уплате в бюджет, считается равной нулю.
4. Организации, осуществляющие деятельность на территории специальной экономической зоны «Парк инновационных технологий», исчисляют социальный налог с учетом положений, установленных пунктом 9 статьи 709 настоящего Кодекса.
5. Государственный орган или местный исполнительный орган своим решением вправе признать одновременное исполнение обязанности своими структурными подразделениями и (или) территориальными органами по:
исчислению и уплате социального налога по объектам налогообложения, являющимся расходами структурных подразделений и (или) территориальных органов, подведомственных такому государственному органу или местному исполнительному органу;
исчислению, удержанию и перечислению индивидуального подоходного налога по доходам, подлежащим налогообложению у источника выплаты, которые начислены, выплачены работникам структурных подразделений и (или) территориальных органов, подведомственных такому государственному органу или местному исполнительному органу.
6. Сумма социального налога, исчисленная государственными учреждениями за налоговый период, уменьшается на сумму выплаченного в соответствии с законодательством Республики Казахстан социального пособия по временной нетрудоспособности.
7. В случае превышения за налоговый период суммы выплаченного социального пособия, указанного в пункте 6 настоящей статьи, над суммой исчисленного социального налога сумма превышения переносится на следующий налоговый период.
Сноска. Статья 486 с изменениями, внесенными законами РК от 10.12.2020 № 382-VI (порядок введения в действие см. ст. 2).
Статья 487. Уплата социального налога
1. Уплата социального налога производится не позднее 25 числа месяца, следующего за налоговым периодом, по месту нахождения налогоплательщика.
2. Уплата социального налога по объектам налогообложения, являющимся расходами структурного (территориального) подразделения, производится по месту нахождения такого структурного (территориального) подразделения.
Глава 56. НАЛОГОВЫЙ ПЕРИОД И НАЛОГОВАЯ ДЕКЛАРАЦИЯ
Статья 488. Налоговый период
1. Налоговым периодом для исчисления социального налога является календарный месяц.
2. Отчетным периодом для составления декларации по индивидуальному подоходному налогу и социальному налогу является календарный квартал.
Статья 489. Декларация по индивидуальному подоходному налогу и социальному налогу
1. Декларация по индивидуальному подоходному налогу и социальному налогу представляется плательщиками в налоговые органы по месту нахождения ежеквартально не позднее 15 числа второго месяца, следующего за отчетным периодом.
2. Плательщики, имеющие структурные подразделения, на которых не возложена обязанность по исчислению и уплате социального налога, представляют приложение по исчислению суммы социального налога по такому структурному (территориальному) подразделению к декларации по индивидуальному подоходному налогу и социальному налогу в налоговый орган по месту нахождения такого структурного (территориального) подразделения.
РАЗДЕЛ 13. НАЛОГ НА ТРАНСПОРТНЫЕ СРЕДСТВА
Глава 57. ОБЩИЕ ПОЛОЖЕНИЯ
Статья 490. Налогоплательщики
1. Плательщиками налога на транспортные средства являются физические лица, имеющие объекты налогообложения на праве собственности, и юридические лица, имеющие объекты налогообложения на праве собственности, хозяйственного ведения или оперативного управления, если иное не установлено настоящей статьей.
Юридическое лицо своим решением вправе признать самостоятельным плательщиком налога на транспортные средства свое структурное подразделение по транспортным средствам, зарегистрированным за таким структурным подразделением в соответствии с законодательством Республики Казахстан о транспорте.
Если иное не установлено настоящей статьей, решение юридического лица о таком признании или прекращении такого признания вводится в действие с 1 января года, следующего за годом принятия такого решения.
В случае если самостоятельным плательщиком налога на транспортные средства признается вновь созданное структурное подразделение, то решение юридического лица о таком признании вводится в действие со дня создания данного структурного подразделения или с 1 января года, следующего за годом создания данного структурного подразделения.
2. Плательщиком налога на транспортные средства по объектам обложения, переданным (полученным) по договору финансового лизинга, является лизингополучатель.
3. Если иное не установлено настоящей статьей, не являются плательщиками налога на транспортные средства:
1) юридические лица-производители сельскохозяйственной продукции, указанные в статье 697 настоящего Кодекса, а также глава и (или) члены крестьянского или фермерского хозяйства – по используемой в процессе собственного производства сельскохозяйственной продукции специализированной сельскохозяйственной технике, включенной в перечень, установленный уполномоченным органом в области развития агропромышленного комплекса по согласованию с центральным уполномоченным органом по государственному планированию и уполномоченным органом;
2) глава и (или) члены крестьянского или фермерского хозяйства, применяющего специальный налоговый режим для крестьянских или фермерских хозяйств, – по легковым и грузовым транспортным средствам, используемым в деятельности, на которую распространяется действие такого специального налогового режима, в пределах следующих нормативов потребности:
по одному легковому автомобилю с объемом двигателя включительно до 2500 кубических сантиметров на одно крестьянское или фермерское хозяйство;
по грузовым автомобилям с предельной суммарной мощностью двигателя в размере 1000 кВт на 1000 гектаров пашни (сенокосов, пастбищ) с соблюдением соотношения 1:1 на одно крестьянское или фермерское хозяйство.
При этом в случаях, если по итогам расчета количество транспортных средств составит более одной единицы с дробным значением от 0,5 и выше, такое значение подлежит округлению до целых единиц, если ниже 0,5 – округлению не подлежит.
В случае, если по итогам расчета количество грузовых автомобилей составит менее одной единицы, освобождению подлежит один грузовой автомобиль с наименьшей мощностью двигателя;
3) государственные учреждения и государственные учебные заведения среднего образования;
4) общественные объединения лиц с инвалидностью, соответствующие пункту 1 статьи 289 настоящего Кодекса, – по одному легковому автотранспорту с объемом двигателя не более 3000 кубических сантиметров и одному автобусу;
5) ветераны Великой Отечественной войны, ветераны, приравненные по льготам к ветеранам Великой Отечественной войны, и ветераны боевых действий на территории других государств, лица, награжденные орденами и медалями бывшего Союза ССР за самоотверженный труд и безупречную воинскую службу в тылу в годы Великой Отечественной войны, а также лица, проработавшие (прослужившие) не менее шести месяцев с 22 июня 1941 года по 9 мая 1945 года и не награжденные орденами и медалями бывшего Союза ССР за самоотверженный труд и безупречную воинскую службу в тылу в годы Великой Отечественной войны, герои Советского Союза и герои Социалистического Труда, лица, удостоенные званий «Халық қаһарманы», «Қазақстанның Еңбек Epi», награжденные орденом Славы трех степеней и орденом «Отан», многодетные матери, удостоенные звания «Мать-героиня» или награжденные подвеской «Алтын алқа» либо «Күмiс алқа», – по одному автотранспортному средству, являющемуся объектом обложения налогом;
6) лица с инвалидностью по имеющимся в собственности мотоколяскам и автомобилям – по одному автотранспортному средству, являющемуся объектом обложения налогом.
Не применяются положения подпунктов 1), 2) и 4) части первой настоящего пункта в случаях передачи таких транспортных средств в пользование, доверительное управление или аренду.
4. Положения подпунктов 5) и 6) части первой пункта 3 настоящей статьи применяются в течение налогового периода по одному автотранспортному средству (кроме легкового автомобиля с объемом двигателя свыше 4 000 кубических сантиметров, в отношении которого в уполномоченном государственном органе произведены регистрационные действия, связанные со сменой собственника транспортного средства, после 31 декабря 2013 года) независимо от того, относится ли физическое лицо, имеющее право применения положений таких подпунктов, к одной или к нескольким категориям, указанным в них.
5. В случае наличия на праве собственности у лица, имеющего право применения положений подпунктов 5) и 6) части первой пункта 3 настоящей статьи, в течение налогового периода нескольких автотранспортных средств данные положения применяются в отношении одного из автотранспортных средств с наибольшей суммой исчисленного налога.
6. В случае возникновения или прекращения в течение налогового периода права на применение положений подпунктов 5) и 6) части первой пункта 3 настоящей статьи такие положения:
при возникновении права – применяются с 1 числа месяца, в котором такое право возникло, до окончания налогового периода или до 1 числа месяца, в котором такое право прекращается;
при прекращении права – не применяются с 1 числа месяца, в котором такое право прекращается.
7. Плательщик налога по транспортным средствам, переданным государственными учреждениями в доверительное управление, определяется в соответствии со статьей 41 настоящего Кодекса.
Сноска. Статья 490 с изменением, внесенным Законом РК от 06.05.2020 № 324-VІ (вводится в действие с 01.01.2020).
Статья 491. Объекты налогообложения
1. Объектами налогообложения являются транспортные средства, за исключением прицепов, зарегистрированные и (или) состоящие на учете в Республике Казахстан.
2. Не являются объектами налогообложения:
1) карьерные автосамосвалы грузоподъемностью 40 тонн и выше;
2) специализированные медицинские транспортные средства;
3) морские суда, зарегистрированные в международном судовом реестре Республики Казахстан;
4) специальные автомобили, являющиеся объектом обложения налогом на имущество.
Глава 58. НАЛОГОВЫЕ СТАВКИ, ПОРЯДОК ИСЧИСЛЕНИЯ И СРОКИ УПЛАТЫ НАЛОГА
Статья 492. Налоговые ставки
1. Если иное не установлено настоящей статьей, исчисление налога производится по следующим ставкам, установленным в месячных расчетных показателях:
|
№ |
Объект налогообложения |
Налоговая ставка (месячный расчетный показатель) |
|
1 |
2 |
3 |
|
1. |
Легковые автомобили со следующей градацией по объему двигателя (куб. см): |
|
|
до 1 100 включительно |
1 |
|
|
свыше 1 100 до 1 500 включительно |
2 |
|
|
свыше 1 500 до 2 000 включительно |
3 |
|
|
свыше 2 000 до 2 500 включительно |
6 |
|
|
свыше 2 500 до 3 000 включительно |
9 |
|
|
свыше 3 000 до 4 000 включительно |
15 |
|
|
свыше 4 000 |
117 |
|
|
2. |
Грузовые, специальные автомобили со следующей градацией по грузоподъемности (без учета прицепов): |
|
|
до 1 тонны включительно |
3 |
|
|
свыше 1 тонны до 1,5 тонны включительно |
5 |
|
|
свыше 1,5 до 5 тонн включительно |
7 |
|
|
свыше 5 тонн |
9 |
|
|
3 |
Тракторы, самоходные сельскохозяйственные, мелиоративные и дорожно-строительные машины и механизмы, специальные машины повышенной проходимости и другие автотранспортные средства, не предназначенные для движения по автомобильным дорогам общего пользования |
3 |
|
4. |
Автобусы со следующей градацией по количеству посадочных мест: |
|
|
до 12 посадочных мест включительно |
9 |
|
|
свыше 12 до 25 посадочных мест включительно |
14 |
|
|
свыше 25 посадочных мест |
20 |
|
|
5. |
Мотоциклы, мотороллеры, мотосани, маломерные суда со следующей градацией по мощности двигателя: |
|
|
до 55 кВт (75 лошадиных сил) включительно |
1 |
|
|
свыше 55 кВт (75 лошадиных сил) |
10 |
|
|
6. |
Катера, суда, буксиры, баржи, яхты со следующей градацией по мощности двигателя (в лошадиных силах): |
|
|
до 160 включительно |
6 |
|
|
свыше 160 до 500 включительно |
18 |
|
|
свыше 500 до 1 000 включительно |
32 |
|
|
свыше 1 000 |
55 |
|
|
7. |
Летательные аппараты |
4 процента от месячного расчетного показателя с каждого киловатта мощности |
|
8. |
Железнодорожный тяговый подвижной состав, используемый: |
1 процент от месячного расчетного показателя с каждого киловатта общей мощности транспортного средства |
|
Моторвагонный подвижной состав, используемый для организации перевозок пассажиров по магистральным и станционным путям узкой и широкой колеи, а также транспортные средства городского рельсового транспорта |
1 процент от месячного расчетного показателя с каждого киловатта общей мощности транспортного средства |
2. Для легковых автомобилей с объемом двигателя свыше 3000 кубических сантиметров, произведенных (изготовленных или собранных) в Республике Казахстан после 31 декабря 2013 года или ввезенных на территорию Республики Казахстан после 31 декабря 2013 года, исчисление налога производится по следующим ставкам, установленным в месячных расчетных показателях:
|
№ п/п |
Объект налогообложения |
Налоговая ставка (месячный расчетный показатель) |
|
1 |
2 |
3 |
|
1. |
Легковые автомобили со следующей градацией по объему двигателя (куб. см): |
|
|
свыше 3 000 до 3 200 включительно |
35 |
|
|
свыше 3 200 до 3 500 включительно |
46 |
|
|
свыше 3 500 до 4 000 включительно |
66 |
|
|
свыше 4 000 до 5 000 включительно |
130 |
|
|
свыше 5 000 |
200 |
3. Для исчисления налога применяется месячный расчетный показатель, установленный законом о республиканском бюджете и действующий на 1 января соответствующего финансового года.
4. Для целей настоящего Кодекса:
1) к легковым автомобилям относятся:
автомобили категории В (включая BE, B1), если иное не установлено подпунктом 2) настоящего пункта;
моторные транспортные средства с платформой для грузов и кабиной водителя, отделенной от грузового отсека жесткой стационарной перегородкой (автомобили-пикапы);
автомобили увеличенной вместимости и повышенной проходимости, превышающие требования категории В (включая BE) по разрешенной максимальной массе и (или) количеству пассажирских мест (внедорожники, в том числе джипы, а также кроссоверы и лимузины);
2) к грузовым автомобилям относятся:
автомобили категории С (включая СЕ, С1Е, С1), если иное не установлено подпунктом 1) настоящего пункта;
специализированные грузовые автомобили категории В с жестким закрытым кузовом, устанавливаемым на автомобильном шасси, или кузовом вагонного типа с перегородкой, отделяющей грузовой отсек, предназначенный для перевозки промышленных, продовольственных и сельскохозяйственных грузов, оборудованный приспособлениями для укладки и закрепления груза внутри кузова (автомобили-фургоны);
грузовые автомобили категории В общего назначения с бортовой платформой (за исключением автомобилей-пикапов);
3) к специальным автомобилям относятся автомобили со специальным оборудованием, предназначенные для выполнения определенных технологических процессов или операций, если иное не установлено подпунктами 1) и 2) настоящего пункта;
4) к автобусам относятся автомобили категории D (включая DE, D1E, D1), если иное не установлено подпунктом 1) настоящего пункта.
5. По легковым автомобилям с объемом двигателя свыше 1500 кубических сантиметров сумма налога увеличивается на 7 тенге за каждую единицу превышения нижней границы соответствующей градации по объему двигателя, установленной пунктом 1 или 2 настоящей статьи.
6. В целях настоящей статьи датой ввоза легковых автомобилей, ввезенных на территорию Республики Казахстан, считается дата их первичной государственной регистрации.
7. В зависимости от срока эксплуатации к ставкам налога на летательные аппараты применяются следующие поправочные коэффициенты:
на летательные аппараты, приобретенные после 1 апреля 1999 года за пределами Республики Казахстан:
свыше 5 до 15 лет эксплуатации включительно – 2,0;
свыше 15 лет эксплуатации – 3,0.
8. Срок эксплуатации транспортного средства исчисляется исходя из года выпуска, указанного в паспорте транспортного средства (руководстве по летной эксплуатации воздушного судна).
9. Для исчисления налога по грузовым и специальным автомобилям используется показатель грузоподъемности транспортного средства, указанный в инструкции и (или) руководстве по эксплуатации транспортного средства. Если в инструкции (руководстве) по эксплуатации транспортного средства показатель грузоподъемности не указан, он рассчитывается как разница между разрешенной максимальной массой транспортного средства и массой транспортного средства без нагрузки (массой снаряженного транспортного средства).
Сноска. Статья 492 с изменениями, внесенными законами РК от 20.12.2021 № 85-VII (вводится в действие с 01.01.2021); от 12.12.2023 № 45-VIII (вводится в действие с 01.01.2024).
Статья 493.Порядок исчисления налога
1. Налогоплательщик исчисляет сумму налога за налоговый период самостоятельно путем применения к объекту налогообложения ставок налога в соответствии со статьей 492 настоящего Кодекса.
2. Налогоплательщики, применяющие специальный налоговый режим для производителей сельскохозяйственной продукции, производят исчисление налога на транспортные средства, за исключением транспортных средств, указанных в подпункте 1) пункта 3 статьи 490 настоящего Кодекса, с учетом положений главы 78 настоящего Кодекса.
3. В случае нахождения транспортного средства на праве собственности, праве хозяйственного ведения или праве оперативного управления менее налогового периода сумма налога исчисляется за период фактического нахождения транспортного средства на таком праве посредством деления годовой суммы налога на двенадцать и умножения на количество месяцев фактического нахождения транспортного средства на таком праве.
4. При передаче права собственности, хозяйственного ведения или оперативного управления на объекты налогообложения в течение налогового периода сумма налога исчисляется в следующем порядке:
1) для передающей стороны:
по транспортным средствам, имеющимся на начало налогового периода, сумма налога исчисляется за период с начала налогового периода до 1 числа месяца, в котором передано право собственности, право хозяйственного ведения или право оперативного управления на транспортное средство;
по транспортным средствам, приобретенным передающей стороной в течение налогового периода, сумма налога исчисляется за период с 1 числа месяца, в котором было приобретено право собственности, право хозяйственного ведения или право оперативного управления на транспортное средство, до 1 числа месяца, в котором такое право передано;
2) для приобретающей стороны – сумма налога исчисляется за период с 1 числа месяца, в котором приобретено право собственности, право хозяйственного ведения или право оперативного управления на транспортное средство, до конца налогового периода или до 1 числа месяца, в котором приобретающей стороной впоследствии было передано такое право.
5. Физические лица при приобретении транспортного средства, не состоявшего на момент приобретения на учете в Республике Казахстан, исчисляют сумму налога за период с 1 числа месяца, в котором возникло право собственности на транспортное средство, до конца налогового периода или до 1 числа месяца, в котором право собственности прекращено.
6. Основанием для освобождения от уплаты налога на период розыска транспортного средства, числящегося угнанным и (или) похищенным у владельцев, являются сведения, подтверждающие факт (дату) регистрации заявления в Едином реестре досудебных расследований об угоне (похищении) транспортного средства, представляемые в налоговые органы органами внутренних дел.
При этом исчисление (начисление) такого налога прекращается с даты регистрации заявления в Едином реестре досудебных расследований об угоне (похищении) транспортного средства.
Исчисление (начисление) налога возобновляется с даты прекращения уголовного дела об угоне (похищении) транспортного средства и его возврате на основании сведений, представленных в налоговые органы органами внутренних дел.
7. Юридические лица по транспортным средствам, находящимся на начало налогового периода на праве собственности, праве хозяйственного ведения или праве оперативного управления, а также по транспортным средствам, по которым возникли и (или) прекращены такие права в период с начала налогового периода до 1 июля налогового периода, исчисляют текущие платежи:
1) в случае, если право собственности, право хозяйственного ведения или право оперативного управления на транспортные средства возникло в период с начала налогового периода до 1 июля налогового периода и не прекращено до 1 июля налогового периода – в размере суммы налога, исчисленной за период с 1 числа месяца, в котором возникло такое право, до конца налогового периода;
2) в случае, если в период с начала налогового периода до 1 июля налогового периода право собственности, право хозяйственного ведения или право оперативного управления на транспортные средства:
прекращено – в размере суммы налога, исчисленной за период с начала налогового периода до 1 числа месяца, в котором прекращено такое право;
возникло и прекращено – в размере суммы налога, исчисленной за период с 1 числа месяца, в котором возникло право собственности, право хозяйственного ведения или право оперативного управления на транспортные средства, до 1 числа месяца, в котором прекращено такое право;
3) в остальных случаях – в размере годовой суммы налога. При этом в случае прекращения права собственности, права хозяйственного ведения или права оперативного управления на транспортные средства в период с 1 июля налогового периода до конца налогового периода в декларации указывается сумма налога, исчисленная за период с начала налогового периода до 1 числа месяца, в котором прекращено такое право.
8. Юридические лица не исчисляют текущие платежи и не представляют расчет текущих платежей по транспортным средствам, по которым право собственности, право хозяйственного ведения или право оперативного управления возникло в период с 1 июля налогового периода до конца налогового периода. При этом в декларации указывается сумма налога, исчисленная в порядке, определенном подпунктом 2) пункта 4 настоящей статьи.
9. В целях определения сальдо расчетов по налогу на транспортные средства физических лиц за отчетный налоговый период налоговые органы производят исчисление налога в срок не позднее 1 мая года, следующего за отчетным налоговым периодом, на основании сведений, представляемых в автоматизированном режиме уполномоченными органами, осуществляющими учет и регистрацию транспортных средств.
Сноска. Статья 493 с изменениями, внесенными законами РК от 10.12.2020 № 382-VI (вводится в действие с 01.01.2020); от 12.12.2023 № 45-VIII (вводится в действие с 01.01.2024).
Статья 494. Сроки и порядок уплаты налога
1. Юридические лица производят уплату сумм текущих платежей по месту регистрации объектов обложения посредством внесения текущих платежей не позднее 5 июля налогового периода.
2. В случае приобретения права собственности, права хозяйственного ведения или права оперативного управления на транспортное средство после 1 июля налогового периода юридические лица производят уплату налога по указанному транспортному средству не позднее десяти календарных дней после наступления срока представления декларации за налоговый период.
3. Исключен Законом РК от 21.12.2022 № 165-VII (вводится в действие с 01.01.2023).
4. Уплата налога физическими лицами производится в бюджет по месту жительства не позднее 1 апреля года, следующего за отчетным налоговым периодом.
5. Уплата налога на транспортные средства за налоговый период физическим лицом, являющимся поверенным на основании доверенности на управление транспортным средством с правом отчуждения, от имени собственника транспортного средства является исполнением налогового обязательства собственника транспортного средства за данный налоговый период.
Сноска. Статья 494 с изменениями, внесенными законами РК от 10.12.2020 № 382-VI (вводится в действие с 01.01.2020); от 21.12.2022 № 165-VII (вводится в действие с 01.01.2023).
Глава 59. НАЛОГОВЫЙ ПЕРИОД И НАЛОГОВАЯ ОТЧЕТНОСТЬ
Статья 495. Налоговый период
Налоговым периодом для исчисления налога на транспортные средства является календарный год с 1 января по 31 декабря.
Статья 496. Налоговая отчетность
1. Плательщики – юридические лица представляют в налоговые органы по месту регистрации объектов налогообложения расчет текущих платежей по налогу на транспортные средства не позднее 5 июля текущего налогового периода, а также декларацию не позднее 31 марта года, следующего за отчетным.
2. Налогоплательщики, применяющие специальный налоговый режим на основе уплаты единого земельного налога, налоговую отчетность по налогу на транспортные средства представляют в виде соответствующего приложения к декларации по единому земельному налогу.
РАЗДЕЛ 14. ЗЕМЕЛЬНЫЙ НАЛОГ
Глава 60. ОБЩИЕ ПОЛОЖЕНИЯ
Статья 497. Общие положения
1. В целях налогообложения все земли рассматриваются в зависимости от их целевого назначения и принадлежности к соответствующим категориям.
2. Принадлежность земель к той или иной категории устанавливается земельным законодательством Республики Казахстан. Земли населенных пунктов для целей налогообложения разделены на две группы:
1) земли населенных пунктов, за исключением земель, занятых жилищным фондом, в том числе строениями и сооружениями при нем;
2) земли, занятые жилищным фондом, в том числе строениями и сооружениями при нем.
3. Налогообложению не подлежат следующие категории земель:
1) земли особо охраняемых природных территорий;
2) земли лесного фонда;
3) земли водного фонда;
4) земли запаса.
5) земли зоны ядерной безопасности.
В случае передачи указанных земель (за исключением земель запаса и зоны ядерной безопасности) в постоянное землепользование или первичное безвозмездное временное землепользование они подлежат налогообложению в порядке, определенном статьей 508 настоящего Кодекса.
4. Земельный налог исчисляется на основании:
1) идентификационных документов: акта на право собственности, акта на право постоянного землепользования, акта на право безвозмездного временного землепользования;
2) данных государственного количественного и качественного учета земель по состоянию на 1 января каждого года, предоставленных центральным уполномоченным органом по управлению земельными ресурсами.
Сноска. Статья 497 с изменениями, внесенными Законом РК от 20.12.2021 № 85-VII (вводятся в действие после дня введения в действие законодательного акта, регулирующего создание и функционирование зоны ядерной безопасности).
Статья 498. Плательщики
1. Плательщиками земельного налога являются лица, имеющие объекты обложения:
1) на праве собственности;
2) на праве постоянного землепользования;
3) на праве первичного безвозмездного временного землепользования.
2. Юридическое лицо своим решением вправе признать самостоятельным плательщиком земельного налога свое структурное подразделение.
Если иное не установлено настоящей статьей, решение юридического лица о таком признании или прекращении такого признания вводится в действие с 1 января года, следующего за годом принятия такого решения.
В случае если самостоятельным плательщиком земельного налога признается вновь созданное структурное подразделение юридического лица, то решение юридического лица о таком признании вводится в действие со дня создания данного структурного подразделения или с 1 января года, следующего за годом создания данного структурного подразделения.
3. Если иное не установлено настоящей статьей, не являются плательщиками земельного налога:
1) налогоплательщики, применяющие специальный налоговый режим для крестьянских или фермерских хозяйств, по земельным участкам, используемым в деятельности, на которую распространяется данный специальный налоговый режим;
2) государственные учреждения и государственные учебные заведения среднего образования;
3) государственные предприятия исправительных учреждений уполномоченного государственного органа в сфере исполнения уголовных наказаний;
4) исключен Законом РК от 10.12.2020 № 382-VI (вводится в действие с 01.01.2020);
5) исключен Законом РК от 10.12.2020 № 382-VI (вводится в действие с 01.01.2020);
6) исключен Законом РК от 10.12.2020 № 382-VI (вводится в действие с 01.01.2020);
7) религиозные объединения.
4. Налогоплательщики, указанные в подпунктах 3) и 7) пункта 3 настоящей статьи, являются плательщиками налога по земельным участкам, переданным в пользование, доверительное управление или по договору имущественного найма (аренда).
5. Плательщик налога по земельным участкам, переданным государственными учреждениями в доверительное управление, определяется в соответствии со статьей 41 настоящего Кодекса.
Сноска. Статья 498 с изменениями, внесенными законами РК от 06.05.2020 № 324-VІ (вводится в действие с 01.01.2020); от 10.12.2020 № 382-VI (вводится в действие с 01.01.2020).
Статья 499. Определение плательщика в отдельных случаях
1. По земельному участку, находящемуся в общей собственности (пользовании) нескольких лиц, за исключением земельного участка, входящего в состав активов паевого инвестиционного фонда, плательщиком земельного налога является каждое из этих лиц, если иное не предусмотрено в документах, удостоверяющих право владения или пользования этими земельными участками, или соглашением сторон.
Плательщиком земельного налога по земельному участку, входящему в состав активов паевого инвестиционного фонда, является управляющая компания данного паевого инвестиционного фонда.
2. Исключен Законом РК от 10.12.2020 № 382-VI (вводится в действие с 01.01.2020).
3. В случае отсутствия идентификационных документов на земельный участок основанием для признания пользователя плательщиком земельного налога в отношении земельного участка является фактическое владение и пользование таким участком на основании:
1) актов государственных органов о предоставлении земельного участка – при предоставлении земельного участка из государственной собственности;
2) гражданско-правовых сделок или иных оснований, предусмотренных законодательством Республики Казахстан, – в остальных случаях.
4. По земельному участку, переданному (полученному) в финансовый лизинг вместе с объектом недвижимости в соответствии с договором финансового лизинга, плательщиком земельного налога является лизингополучатель.
Сноска. Статья 499 с изменением, внесенным Законом РК от 10.12.2020 № 382-VI (вводится в действие с 01.01.2020).
Статья 500. Объект налогообложения
1. Объектом налогообложения является земельный участок (при общей долевой собственности на земельный участок – земельная доля).
2. Не являются объектом налогообложения:
1) земельные участки общего пользования населенных пунктов.
К землям общего пользования населенных пунктов относятся земли, занятые и предназначенные для занятия площадями, улицами, проездами, дорогами, набережными, парками, скверами, бульварами, водоемами, пляжами, кладбищами и иными объектами в целях удовлетворения нужд населения (водопроводы, отопительные трубы, линии электропередачи, очистные сооружения, золошлакопроводы, теплотрассы и другие инженерные системы общего пользования);
2) земельные участки, занятые сетью государственных автомобильных дорог общего пользования.
К землям, занятым сетью государственных автомобильных дорог общего пользования в полосе отвода, относятся земли, занимаемые земляным полотном, транспортными развязками, путепроводами, искусственными сооружениями, притрассовыми резервами и иными сооружениями по обслуживанию дорог, служебными и жилыми помещениями дорожной службы, снегозащитными и декоративными насаждениями;
3) земельные участки, занятые под объекты, находящиеся на консервации по решению Правительства Республики Казахстан;
4) земельные участки, приобретенные для содержания арендных домов;
5) земельные участки, занятые зданиями, сооружениями, указанными в подпункте 6) пункта 3 статьи 519 настоящего Кодекса.
Статья 501. Определение объекта налогообложения в отдельных случаях
1. Объектом налогообложения для организаций железнодорожного транспорта являются земельные участки, предоставленные в установленном законодательством Республики Казахстан порядке под объекты организаций железнодорожного транспорта, включая земельные участки, занятые железнодорожными путями, полосами отчуждения, железнодорожными станциями, вокзалами.
2. Объектом налогообложения для организаций системы энергетики и электрификации, на балансе которых находятся линии электропередачи, являются земельные участки, предоставленные в установленном законодательством Республики Казахстан порядке этим организациям, включая земельные участки, занятые опорами линий электропередачи и подстанциями.
3. Объектом налогообложения для организаций, осуществляющих добычу, транспортировку нефти и газа, на балансе которых находятся нефтепроводы, газопроводы, являются земельные участки, предоставленные в установленном законодательством Республики Казахстан порядке этим организациям, включая земельные участки, занятые нефтепроводами, газопроводами.
4. Объектом налогообложения для организаций связи, на балансе которых находятся радиорелейные, воздушные, кабельные линии связи, являются земельные участки, предоставленные в установленном законодательством Республики Казахстан порядке этим организациям, включая земельные участки, занятые опорами линий связи.
Статья 502. Налоговая база
Налоговой базой для определения земельного налога является площадь земельного участка и (или) земельной доли.
Глава 61. НАЛОГОВЫЕ СТАВКИ
Статья 503. Базовые налоговые ставки на земли сельскохозяйственного назначения
1. Базовые ставки земельного налога на земли сельскохозяйственного назначения устанавливаются в расчете на один гектар и дифференцируются по качеству почв.
2. На земли степной и сухостепной зон устанавливаются следующие базовые налоговые ставки земельного налога пропорционально баллам бонитета:
|
№ п/п |
Балл бонитета |
Базовая налоговая ставка (тенге) |
|
1 |
2 |
3 |
|
1. |
1 |
2,4 |
|
2. |
2 |
3,35 |
|
3. |
3 |
4,35 |
|
4. |
4 |
5,3 |
|
5. |
5 |
6,25 |
|
6. |
6 |
7,25 |
|
7. |
7 |
8,4 |
|
8. |
8 |
9,65 |
|
9. |
9 |
10,8 |
|
10. |
10 |
12,05 |
|
11. |
11 |
14,45 |
|
12. |
12 |
15,45 |
|
13. |
13 |
16,4 |
|
14. |
14 |
17,35 |
|
15. |
15 |
18,35 |
|
16. |
16 |
19,3 |
|
17. |
17 |
20,45 |
|
18. |
18 |
21,7 |
|
19. |
19 |
22,85 |
|
20. |
20 |
24,1 |
|
21. |
21 |
26,55 |
|
22. |
22 |
28,95 |
|
23. |
23 |
31,35 |
|
24. |
24 |
33,75 |
|
25. |
25 |
36,2 |
|
26. |
26 |
38,6 |
|
27. |
27 |
41 |
|
28. |
28 |
43,4 |
|
29. |
29 |
45,85 |
|
30. |
30 |
48,25 |
|
31. |
31 |
72,35 |
|
32. |
32 |
77,7 |
|
33. |
33 |
82,95 |
|
34. |
34 |
90,4 |
|
35. |
35 |
93,8 |
|
36. |
36 |
99,1 |
|
37. |
37 |
104,4 |
|
38. |
38 |
110 |
|
39. |
39 |
115,3 |
|
40. |
40 |
120,6 |
|
41. |
41 |
144,75 |
|
42. |
42 |
150,05 |
|
43. |
43 |
155,35 |
|
44. |
44 |
160,85 |
|
45. |
45 |
166,15 |
|
46. |
46 |
171,45 |
|
47. |
47 |
176,8 |
|
48. |
48 |
182,4 |
|
49. |
49 |
187,7 |
|
50. |
50 |
193 |
|
51. |
51 |
217,1 |
|
52. |
52 |
222,45 |
|
53. |
53 |
227,75 |
|
54. |
54 |
233,25 |
|
55. |
55 |
238,55 |
|
56. |
56 |
243,85 |
|
57. |
57 |
249,15 |
|
58. |
58 |
254,75 |
|
59. |
59 |
260,05 |
|
60. |
60 |
265,35 |
|
61. |
61 |
289,5 |
|
62. |
62 |
303,15 |
|
63. |
63 |
316,3 |
|
64. |
64 |
329,75 |
|
65. |
65 |
343,05 |
|
66. |
66 |
356,55 |
|
67. |
67 |
369,8 |
|
68. |
68 |
383,3 |
|
69. |
69 |
396,6 |
|
70. |
70 |
410,1 |
|
71. |
71 |
434,25 |
|
72. |
72 |
447,75 |
|
73. |
73 |
460,95 |
|
74. |
74 |
474,45 |
|
75. |
75 |
487,8 |
|
76. |
76 |
501,3 |
|
77. |
77 |
514,55 |
|
78. |
78 |
528,05 |
|
79. |
79 |
541,35 |
|
80. |
80 |
554,85 |
|
81. |
81 |
579 |
|
82. |
82 |
595,1 |
|
83. |
83 |
611,05 |
|
84. |
84 |
627,25 |
|
85. |
85 |
643,35 |
|
86. |
86 |
659,3 |
|
87. |
87 |
675,5 |
|
88. |
88 |
691,6 |
|
89. |
89 |
707,55 |
|
90. |
90 |
723,75 |
|
91. |
91 |
747,85 |
|
92. |
92 |
772 |
|
93. |
93 |
796,1 |
|
94. |
94 |
820,25 |
|
95. |
95 |
844,35 |
|
96. |
96 |
868,5 |
|
97. |
97 |
892,6 |
|
98. |
98 |
916,75 |
|
99. |
99 |
940,85 |
|
100. |
100 |
965 |
|
101. |
свыше 100 |
1 013,3 |
3. На земли полупустынной, пустынной и предгорно-пустынной зон устанавливаются следующие базовые налоговые ставки земельного налога пропорционально баллам бонитета:
|
№ п/п |
Балл бонитета |
Базовая налоговая ставка (тенге) |
|
1 |
2 |
3 |
|
1. |
1 |
2,4 |
|
2. |
2 |
2,7 |
|
3. |
3 |
2,9 |
|
4. |
4 |
3,1 |
|
5. |
5 |
3,35 |
|
6. |
6 |
3,65 |
|
7. |
7 |
3,85 |
|
8. |
8 |
4,05 |
|
9. |
9 |
4,35 |
|
10. |
10 |
4,8 |
|
11. |
11 |
7,25 |
|
12. |
12 |
9,15 |
|
13. |
13 |
11,1 |
|
14. |
14 |
12,75 |
|
15. |
15 |
14,65 |
|
16. |
16 |
16,6 |
|
17. |
17 |
18,55 |
|
18. |
18 |
20,25 |
|
19. |
19 |
22,2 |
|
20. |
20 |
24,1 |
|
21. |
21 |
26,55 |
|
22. |
22 |
28,95 |
|
23. |
23 |
31,35 |
|
24. |
24 |
33,75 |
|
25. |
25 |
36,2 |
|
26. |
26 |
38,6 |
|
27. |
27 |
41 |
|
28. |
28 |
43,4 |
|
29. |
29 |
45,85 |
|
30. |
30 |
48,25 |
|
31. |
31 |
50,65 |
|
32. |
32 |
53,05 |
|
33. |
33 |
55,45 |
|
34. |
34 |
57,9 |
|
35. |
35 |
60,3 |
|
36. |
36 |
62,7 |
|
37. |
37 |
65,15 |
|
38. |
38 |
67,55 |
|
39. |
39 |
69,95 |
|
40. |
40 |
72,35 |
|
41. |
41 |
74,8 |
|
42. |
42 |
77,2 |
|
43. |
43 |
79,6 |
|
44. |
44 |
82 |
|
45. |
45 |
84,45 |
|
46. |
46 |
86,85 |
|
47. |
47 |
89,25 |
|
48. |
48 |
91,65 |
|
49. |
49 |
94,1 |
|
50. |
50 |
96,5 |
|
51. |
51 |
98,9 |
|
52. |
52 |
101,3 |
|
53. |
53 |
103,75 |
|
54. |
54 |
106,15 |
|
55. |
55 |
108,55 |
|
56. |
56 |
110,95 |
|
57. |
57 |
113,4 |
|
58. |
58 |
115,8 |
|
59. |
59 |
118,2 |
|
60. |
60 |
120,6 |
|
61. |
61 |
123,05 |
|
62. |
62 |
126,4 |
|
63. |
63 |
129,1 |
|
64. |
64 |
132,2 |
|
65. |
65 |
135,1 |
|
66. |
66 |
138,2 |
|
67. |
67 |
141,1 |
|
68. |
68 |
144,25 |
|
69. |
69 |
147,45 |
|
70. |
70 |
150,35 |
|
71. |
71 |
153,45 |
|
72. |
72 |
156,35 |
|
73. |
73 |
159,4 |
|
74. |
74 |
162,3 |
|
75. |
75 |
165,45 |
|
76. |
76 |
168,4 |
|
77. |
77 |
171,55 |
|
78. |
78 |
174,65 |
|
79. |
79 |
177,55 |
|
80. |
80 |
180,75 |
|
81. |
81 |
183,55 |
|
82. |
82 |
186,7 |
|
83. |
83 |
189,6 |
|
84. |
84 |
192,8 |
|
85. |
85 |
195,9 |
|
86. |
86 |
198,8 |
|
87. |
87 |
201,9 |
|
88. |
88 |
204,75 |
|
89. |
89 |
207,95 |
|
90. |
90 |
210,85 |
|
91. |
91 |
210,9 |
|
92. |
92 |
216,95 |
|
93. |
93 |
220 |
|
94. |
94 |
223,1 |
|
95. |
95 |
226 |
|
96. |
96 |
229,2 |
|
97. |
97 |
231,9 |
|
98. |
98 |
235,15 |
|
99. |
99 |
238,05 |
|
100. |
100 |
241,25 |
|
101. |
свыше 100 |
250,9 |
Статья 504. Базовые налоговые ставки на земли сельскохозяйственного назначения, предоставленные физическим лицам
Сноска. Статья 504 исключена Законом РК от 10.12.2020 № 382-VI (вводится в действие с 01.01.2020).
Статья 505. Базовые налоговые ставки на земли населенных пунктов
Базовые налоговые ставки на земли населенных пунктов устанавливаются в расчете на один квадратный метр площади в следующих размерах:
|
№ п/п |
Категория населенного пункта |
Базовые налоговые ставки на земли населенных пунктов, за исключением земель, занятых жилищным фондом, в том числе строениями и сооружениями при нем (тенге) |
|
1 |
2 |
3 |
|
Города: |
||
|
1. |
Алматы |
28,95 |
|
2. |
Шымкент |
9,17 |
|
3. |
Астана |
19,30 |
|
4. |
Актау |
9,65 |
|
5. |
Актобе |
6,75 |
|
6. |
Атырау |
8,20 |
|
7. |
Жезказган |
8,20 |
|
8. |
Кокшетау |
5,79 |
|
9. |
Караганда |
9,65 |
|
10. |
Қонаев |
9,17 |
|
11. |
Костанай |
6,27 |
|
12. |
Кызылорда |
8,68 |
|
13. |
Уральск |
5,79 |
|
14. |
Усть-Каменогорск |
9,65 |
|
15. |
Павлодар |
9,65 |
|
16. |
Петропавловск |
5,79 |
|
17. |
Семей |
8,68 |
|
18. |
Талдыкорган |
9,17 |
|
19. |
Тараз |
9,17 |
|
20. |
Туркестан |
7,79 |
|
21. |
Алматинская область: |
|
|
22. |
города областного значения |
6,75 |
|
23. |
города районного значения |
5,79 |
|
24. |
Акмолинская область: |
|
|
25. |
города областного значения |
5,79 |
|
26. |
города районного значения |
5,02 |
|
27. |
Остальные города областного значения |
85 процентов от ставки, установленной для областного центра |
|
28. |
Остальные города районного значения |
75 процентов от ставки, установленной для областного центра |
|
29. |
Поселки |
0,96 |
|
30. |
Села |
0,48 |
При этом категории населенных пунктов устанавливаются в соответствии с классификатором административно-территориальных объектов, утвержденным уполномоченным государственным органом, осуществляющим государственное регулирование в области технического регулирования.
Сноска. Статья 505 в редакции Закона РК от 10.12.2020 № 382-VI (вводится в действие с 01.01.2020); С изменением, внесенным Законом РК от 21.12.2022 № 165-VII (вводится в действие с 01.01.2024).
Статья 506. Базовые налоговые ставки на земли промышленности, транспорта, связи, обороны и иного несельскохозяйственного назначения (далее – земли промышленности), расположенные вне населенных пунктов
1. Базовые налоговые ставки на расположенные вне населенных пунктов земли промышленности устанавливаются в расчете на один гектар в следующих размерах пропорционально баллам бонитета:
|
№ п/п |
Балл бонитета |
Базовая налоговая ставка (тенге) |
№ |
Балл бонитета |
Базовая налоговая ставка (тенге) |
|
1 |
2 |
3 |
4 |
5 |
6 |
|
1. |
0 |
48,25 |
52. |
51 |
2634,45 |
|
2. |
1 |
91,67 |
53. |
52 |
2690,23 |
|
3. |
2 |
135,1 |
54. |
53 |
2745,95 |
|
4. |
3 |
178,52 |
55. |
54 |
2801,72 |
|
5. |
4 |
221,95 |
56. |
55 |
2857,46 |
|
6. |
5 |
265,37 |
57. |
56 |
2913,24 |
|
7. |
6 |
308,8 |
58. |
57 |
2968,96 |
|
8. |
7 |
352,22 |
59. |
58 |
3024,73 |
|
9. |
8 |
395,65 |
60. |
59 |
3080,47 |
|
10. |
9 |
439,07 |
61. |
60 |
3136,25 |
|
11. |
10 |
482,5 |
62. |
61 |
3188,36 |
|
12. |
11 |
530,75 |
63. |
62 |
3247,75 |
|
13. |
12 |
592,41 |
64. |
63 |
3325,49 |
|
14. |
13 |
654,08 |
65. |
64 |
3364,61 |
|
15. |
14 |
715,68 |
66. |
65 |
3423,05 |
|
16. |
15 |
777,35 |
67. |
66 |
3489,25 |
|
17. |
16 |
839,01 |
68. |
67 |
3539,95 |
|
18. |
17 |
900,67 |
69. |
68 |
3598,39 |
|
19. |
18 |
962,29 |
70. |
69 |
3656,81 |
|
20. |
19 |
1023,96 |
71. |
70 |
3715,25 |
|
21. |
20 |
1084,66 |
72. |
71 |
3769,29 |
|
22. |
21 |
1138,7 |
73. |
72 |
3829,64 |
|
23. |
22 |
1189,07 |
74. |
73 |
3890,53 |
|
24. |
23 |
1239,35 |
75. |
74 |
3951,67 |
|
25. |
24 |
1287,73 |
76. |
75 |
4012,79 |
|
26. |
25 |
1340,29 |
77. |
76 |
4073,88 |
|
27. |
26 |
1390,66 |
78. |
77 |
4135,02 |
|
28. |
27 |
1441,07 |
79. |
78 |
4196,15 |
|
29. |
28 |
1491,45 |
80. |
79 |
4257,23 |
|
30. |
29 |
1541,88 |
81. |
80 |
4319,34 |
|
31. |
30 |
1592,25 |
82. |
81 |
4371,45 |
|
32. |
31 |
1646,29 |
83. |
82 |
4432,57 |
|
33. |
32 |
1693,03 |
84. |
83 |
4493,66 |
|
34. |
33 |
1740,76 |
85. |
84 |
4554,8 |
|
35. |
34 |
1788,47 |
86. |
85 |
4615,92 |
|
36. |
35 |
1836,2 |
87. |
86 |
4677,01 |
|
37. |
36 |
1883,87 |
88. |
87 |
4738,15 |
|
38. |
37 |
1931,58 |
89. |
88 |
4799,27 |
|
39. |
38 |
1979,31 |
90. |
89 |
4860,36 |
|
40. |
39 |
2027,02 |
91. |
90 |
4921,5 |
|
41. |
40 |
2074,75 |
92. |
91 |
4975,54 |
|
42. |
41 |
2126,86 |
93. |
92 |
5054,48 |
|
43. |
42 |
2178,19 |
94. |
93 |
5134,32 |
|
44. |
43 |
2228,61 |
95. |
94 |
5214,22 |
|
45. |
44 |
2278,98 |
96. |
95 |
5294,09 |
|
46. |
45 |
2329,41 |
97. |
96 |
5373,99 |
|
47. |
46 |
2379,79 |
98. |
97 |
5453,83 |
|
48. |
47 |
2340,22 |
99. |
98 |
5533,73 |
|
49. |
48 |
2480,57 |
100. |
99 |
5613,59 |
|
50. |
49 |
2531 |
101. |
100 |
5693,5 |
|
51. |
50 |
2582,34 |
102. |
свыше 100 |
5790 |
2. Земли, предоставленные для нужд обороны, за исключением земель, временно используемых другими землепользователями в соответствии с земельным законодательством Республики Казахстан, подлежат налогообложению по ставкам, установленным пунктом 1 настоящей статьи.
3. Земли, предоставленные для нужд обороны, временно не используемые для нужд обороны и предоставленные для сельскохозяйственных целей другим землепользователям, подлежат налогообложению по ставкам, установленным статьей 503 настоящего Кодекса, с учетом условий пункта 1 статьи 510 настоящего Кодекса.
4. Земли предприятий железнодорожного транспорта, занятые защитными лесными насаждениями вдоль магистральных железных дорог, облагаются налогом по ставкам, установленным статьей 503 настоящего Кодекса, с учетом условий пункта 1 статьи 510 настоящего Кодекса.
Статья 507. Налоговые ставки на земли промышленности, расположенные в черте населенных пунктов
1. Земли промышленности (включая шахты, карьеры), за исключением земель, указанных в пункте 3 настоящей статьи и в статье 509 настоящего Кодекса, облагаются налогом по базовым ставкам, установленным статьей 505 настоящего Кодекса, с учетом условий пункта 1 статьи 510 настоящего Кодекса.
2. Базовые ставки на земли промышленности (включая шахты, карьеры), за исключением земель, указанных в пункте 3 настоящей статьи и в статье 509 настоящего Кодекса, могут быть снижены решениями местных представительных органов. Общее снижение ставок налога на указанные земли с учетом снижения, предусмотренного пунктом 1 статьи 510 настоящего Кодекса, не должно превышать 30 процентов базовой ставки.
3. Земли промышленности, расположенные в черте населенного пункта, занятые аэродромами, облагаются налогом по базовым ставкам, установленным статьей 506 настоящего Кодекса, с учетом условий пункта 1 статьи 510 настоящего Кодекса.
Земли промышленности, расположенные в черте населенного пункта, занятые аэропортами, за исключением земель, занятых аэродромами, облагаются налогом по базовым ставкам, установленным статьей 505 настоящего Кодекса, с учетом условий пункта 1 статьи 510 настоящего Кодекса.
Для целей настоящего Кодекса под аэродромом понимается земельный участок, специально подготовленный и оборудованный для обеспечения взлета, посадки, руления, стоянки и обслуживания воздушных судов.
Статья 508. Налоговые ставки на земли особо охраняемых природных территорий, лесного фонда и водного фонда
1. Земли особо охраняемых природных территорий, лесного фонда и водного фонда, используемые в сельскохозяйственных целях, облагаются земельным налогом по базовым ставкам, установленным статьей 503 настоящего Кодекса, с учетом условий пункта 1 статьи 510 настоящего Кодекса.
2. Земли особо охраняемых природных территорий, лесного фонда и водного фонда, предоставленные физическим и юридическим лицам в пользование для иных целей, помимо сельскохозяйственных, подлежат налогообложению по ставкам, установленным статьей 506 настоящего Кодекса, с учетом условий пункта 1 статьи 510 настоящего Кодекса.
Статья 509. Налоговые ставки на земельные участки, выделенные под автостоянки (паркинги), автозаправочные станции, занятые под казино, а также не используемые в соответствующих целях или используемые с нарушением законодательства Республики Казахстан
1. Земли населенных пунктов, выделенные под автозаправочные станции, подлежат налогообложению по базовым ставкам на земли населенных пунктов, установленным в графе 3 таблицы статьи 505 настоящего Кодекса, увеличенным в десять раз.
Земли других категорий, выделенные под автозаправочные станции, подлежат налогообложению по базовым ставкам на земли населенных пунктов, установленным для земель близлежащего населенного пункта в графе 3 таблицы статьи 505 настоящего Кодекса, увеличенным в десять раз. При этом местным представительным органом определяется близлежащий населенный пункт, базовые ставки на земли которого будут применяться при исчислении налога.
По решению местного представительного органа ставки налога могут быть уменьшены, но не менее установленных статьей 505 настоящего Кодекса.
2. Земли населенных пунктов, занятые под казино, подлежат налогообложению по базовым ставкам на земли населенных пунктов, установленным статьей 505 настоящего Кодекса, увеличенным в десять раз.
Земли других категорий, занятые под казино, подлежат налогообложению по базовым ставкам на земли населенных пунктов, за исключением земель, занятых жилищным фондом, в том числе строениями и сооружениями при нем, установленным для земель близлежащего населенного пункта статьей 505 настоящего Кодекса, увеличенным в десять раз.
Базовые ставки на земли населенного пункта, которые применяются при исчислении налога, устанавливаются местным представительным органом.
По решению местного представительного органа ставки налога могут быть уменьшены, но не менее установленных статьей 505 настоящего Кодекса.
3. Земли населенных пунктов, выделенные под автостоянки (паркинги), подлежат налогообложению по базовым ставкам на земли населенных пунктов, установленным в графе 3 таблицы статьи 505 настоящего Кодекса.
Земли других категорий, выделенные под автостоянки (паркинги), подлежат налогообложению по базовым ставкам на земли населенных пунктов, установленным для земель близлежащего населенного пункта в графе 3 таблицы статьи 505 настоящего Кодекса. При этом местным представительным органом определяется близлежащий населенный пункт, базовые ставки на земли которого будут применяться при исчислении налога.
По решению местного представительного органа базовые ставки налога на земли, занятые под автостоянки (паркинги), могут быть увеличены, но не более чем в десять раз. Увеличение ставок, предусмотренное настоящим пунктом, производится в зависимости от категорий автостоянок (паркингов), устанавливаемых местным представительным органом.
При этом запрещается понижение или повышение ставок земельного налога индивидуально для отдельных налогоплательщиков.
4. По земельным участкам, предназначенным для строительства объектов и не используемым в соответствующих целях или используемым с нарушением законодательства Республики Казахстан, базовые ставки налога, установленные статьями 505, 506 и 507 настоящего Кодекса и настоящей статьей, кроме ставок, указанных в строках 24 – 27 таблицы статьи 505 настоящего Кодекса, увеличиваются в десять раз с даты вручения уполномоченным органом по контролю за использованием и охраной земель письменного предписания собственнику или землепользователю о необходимости использования земельного участка по назначению и (или) устранения нарушения законодательства Республики Казахстан.
Порядок выявления земельных участков, не используемых в соответствующих целях или используемых с нарушением законодательства Республики Казахстан, для целей части первой настоящего пункта и пункта 5 настоящей статьи определяется центральным уполномоченным органом по управлению земельными ресурсами по согласованию с уполномоченным органом.
Положения настоящего пункта не распространяются на организацию, специализирующуюся на улучшении качества кредитных портфелей банков второго уровня, единственным акционером которой является Правительство Республики Казахстан, и на ее дочерние компании.
5. По земельным участкам сельскохозяйственного назначения, не используемым по назначению или используемым с нарушением законодательства Республики Казахстан, базовые ставки налога, установленные статьей 503 настоящего Кодекса, увеличиваются в двадцать раз с даты вручения собственнику или землепользователю письменного предписания об устранении нарушений требований земельного законодательства Республики Казахстан территориальным подразделением по управлению земельными ресурсами областей, городов республиканского значения, столицы, осуществляющим государственный контроль за использованием и охраной земель.
Положения настоящего пункта не распространяются на организацию, специализирующуюся на улучшении качества кредитных портфелей банков второго уровня, единственным акционером которой является Правительство Республики Казахстан, и на ее дочерние компании.
6. Порядок представления в налоговые органы сведений по земельным участкам, указанным в пунктах 4 и 5 настоящей статьи, уполномоченным органом по контролю за использованием и охраной земель определяется уполномоченным органом.
7. По земельным участкам, указанным в пунктах 4 и 5 настоящей статьи, сведения по которым представляются территориальным подразделением по управлению земельными ресурсами областей, городов республиканского значения, столицы, осуществляющим государственный контроль за использованием и охраной земель, земельный налог исчисляется налоговыми органами исходя из установленных ставок земельного налога и площади земельного участка с направлением налогоплательщику уведомления о начисленной сумме земельного налога.
Сноска. Статья 509 с изменениями, внесенными законами РК от 28.10.2019 № 268-VI (вводится в действие по истечении десяти календарных дней после дня его первого официального опубликования); от 10.12.2020 № 382-VI (порядок введения в действие см. ст. 2); от 12.12.2023 № 45-VIII (вводится в действие с 01.01.2022).
Статья 510. Корректировка базовых налоговых ставок
1. Местные представительные органы на основании проектов (схем) зонирования земель, проводимого в соответствии с земельным законодательством Республики Казахстан, имеют право понижать или повышать ставки земельного налога не более чем на 50 процентов от базовых ставок земельного налога, установленных статьями 505 и 506 настоящего Кодекса.
При этом запрещается понижение или повышение ставок земельного налога индивидуально для отдельных налогоплательщиков.
Такое решение о понижении или повышении ставок земельного налога принимается местным представительным органом не позднее 1 декабря года, предшествующего году его введения, и вводится в действие с 1 января года, следующего за годом его принятия.
Решение местного представительного органа о понижении или повышении ставок земельного налога подлежит официальному опубликованию.
Положения части первой настоящего пункта не распространяются на земельные участки, указанные в статье 509 настоящего Кодекса.
2. При исчислении земельного налога к соответствующим ставкам коэффициент 0 применяют следующие плательщики:
1) юридические лица, определенные пунктом 3 статьи 290 настоящего Кодекса и пунктом 1 статьи 291 настоящего Кодекса;
2) организации, осуществляющие деятельность на территориях специальных экономических зон, – по земельным участкам, расположенным на территории специальной экономической зоны и используемым при осуществлении приоритетных видов деятельности, указанных в статье 708 настоящего Кодекса, с учетом положений, установленных главой 79 настоящего Кодекса;
3) организации, реализующие инвестиционный приоритетный проект, –по земельным участкам, используемым для реализации инвестиционного приоритетного проекта, с учетом положений, установленных статьей 712 настоящего Кодекса.
4) действовал до 01.01.2020 в соответствии с Законом РК от 25.12.2017 № 121-VI;
5) лица, заключившие соглашение об инвестициях и применяющие положения главы 80-1 настоящего Кодекса, – по земельным участкам, используемым для реализации инвестиционного проекта.
3. При исчислении налога к соответствующим ставкам коэффициент 0,1 применяют следующие плательщики:
1) оздоровительные детские учреждения – по земельным участкам, используемым ими в деятельности таких детских оздоровительных учреждений по оздоровлению детей;
2) государственные предприятия, основным видом деятельности которых является выполнение работ по противопожарному устройству лесов, борьбе с пожарами, вредителями и болезнями лесов, воспроизводству природных биологических ресурсов и повышению экологического потенциала лесов, – по земельным участкам, используемым ими в данной деятельности;
3) государственные предприятия рыбовоспроизводственного назначения – по земельным участкам, используемым ими в деятельности по воспроизводству рыбы;
4) лечебно-производственные предприятия при психоневрологических и туберкулезных учреждениях;
5) технологические парки – по земельным участкам, используемым для осуществления основного вида деятельности, предусмотренного Предпринимательским кодексом Республики Казахстан.
Положения настоящего подпункта вправе применять технологические парки, соответствующие одновременно следующим условиям:
такие технологические парки созданы в соответствии с Предпринимательским кодексом Республики Казахстан;
50 и более процентов голосующих акций (долей участия) таких технологических парков принадлежат национальному институту развития в области технологического развития;
6) некоммерческие организации, определенные в соответствии с пунктом 1 статьи 289 настоящего Кодекса, за исключением религиозных объединений и некоммерческих организаций, указанных в пункте 4 статьи 289 настоящего Кодекса;
7) юридические лица, определенные пунктом 2 статьи 290 настоящего Кодекса, – по земельным участкам, используемым при осуществлении видов деятельности, указанных в пункте 2 статьи 290 настоящего Кодекса.
4. Положения подпункта 1) пункта 2 и подпунктов 4), 6) и 7) пункта 3 настоящей статьи не применяются в случаях предоставления земельного участка и (или) его части (вместе с находящимися на нем зданиями, строениями, сооружениями либо без них) по договору имущественного найма (аренды), передачи в пользование на иных основаниях или использования их в коммерческих целях, за исключением случая, когда доход от такого предоставления земельного участка и (или) его части по договору имущественного найма (аренды), передачи в пользование на иных основаниях зачисляется в государственный бюджет.
При применении положений части первой настоящего пункта:
плательщики налога обязаны вести раздельный учет объектов налогообложения;
размер земельного налога по части земельного участка определяется по удельному весу площади такой части участка к общей площади всего земельного участка.
Сноска. Статья 510 с изменениями, внесенными Законом РК от 10.12.2020 № 382-VI (порядок введения в действие см. ст. 2).
Глава 62. ПОРЯДОК ИСЧИСЛЕНИЯ И СРОКИ УПЛАТЫ НАЛОГА
Статья 511. Общий порядок исчисления и уплаты налога
1. Исчисление налога производится путем применения соответствующей налоговой ставки, определенной с учетом положений настоящей главы, к налоговой базе отдельно по каждому земельному участку.
2. Если иное не установлено настоящей главой, при предоставлении государством права собственности, права постоянного или первичного безвозмездного временного землепользования на земельный участок налогоплательщик исчисляет земельный налог начиная с месяца, следующего за месяцем предоставления таких прав на земельный участок.
3. В случае прекращения права владения или права пользования земельным участком земельный налог исчисляется за фактический период пользования земельным участком.
4. Уплата земельного налога производится в бюджет по месту нахождения земельного участка.
5. При переводе в течение налогового года населенного пункта из одной категории поселений в другую земельный налог за налоговый период, в котором произведен такой перевод, исчисляется по ставкам, установленным для категории населенного пункта, к которой относился данный населенный пункт до такого перевода.
6. При изменении границ административно-территориальной единицы земельный налог по земельным участкам, расположенным в населенном пункте, территория которого в связи с таким изменением переведена в границы другой административно-территориальной единицы, за налоговый период, в котором произведено такое изменение, исчисляется по ставкам, установленным для категории населенного пункта, в границах которого находился данный населенный пункт до даты такого изменения.
7. При невозможности определить балл бонитета земельных участков, занимаемых налогоплательщиками, размер земельного налога определяется исходя из балла бонитета смежно расположенных земель.
8. По объектам налогообложения, находящимся в общей долевой собственности, налог исчисляется пропорционально доле каждого из собственников в общей площади таких объектов.
9. Земельный участок, являющийся частью объекта кондоминиума, подлежит обложению земельным налогом пропорционально доле каждого собственника помещения (части здания), за исключением физического лица-собственника квартиры (жилища), в общем имуществе, являющемся частью объекта кондоминиума.
При этом часть земельного участка, соответствующая:
1) доле собственника жилища, за исключением физического лица, в общем имуществе, подлежит обложению земельным налогом по базовым ставкам налога на земли населенных пунктов, установленным в графе 4 таблицы, приведенной в статье 505 настоящего Кодекса;
2) доле собственника нежилого помещения (части здания, не являющегося жилым) в общем имуществе, подлежит обложению земельным налогом по базовым ставкам налога на земли населенных пунктов, установленным в графе 3 таблицы статьи 505 настоящего Кодекса.
Сноска. Статья 511 с изменением, внесенным Законом РК от 12.12.2023 № 45-VIII (вводится в действие с 01.01.2021).
Статья 512. Порядок исчисления и сроки уплаты налога юридическими лицами и индивидуальными предпринимателями
1. Налогоплательщики самостоятельно исчисляют суммы земельного налога путем применения соответствующей ставки налога к налоговой базе.
2. Юридические лица и индивидуальные предприниматели, за исключением индивидуальных предпринимателей, применяющих специальный налоговый режим для субъектов малого бизнеса, обязаны исчислять и уплачивать в течение налогового периода текущие платежи по земельному налогу.
3. Размер текущих платежей определяется путем применения соответствующих налоговых ставок к налоговой базе по объектам налогообложения, имеющимся на начало налогового периода.
4. Налогоплательщики, за исключением индивидуальных предпринимателей, применяющих специальные налоговые режимы для субъектов малого бизнеса, уплачивают суммы текущих платежей налога равными долями не позднее 25 февраля, 25 мая, 25 августа и 25 ноября налогового периода.
5. При возникновении в течение налогового периода налоговых обязательств, в том числе при передаче юридическими лицами, указанными в подпунктах 3) и 7) пункта 3 статьи 498 настоящего Кодекса, объектов налогообложения в пользование, доверительное управление или предоставлении по договору имущественного найма (аренды):
1) первым сроком уплаты текущих сумм налога является следующий очередной срок их уплаты в течение такого налогового периода;
2) после последнего срока уплаты текущих платежей производится только окончательный расчет и уплата суммы налога в сроки, предусмотренные пунктом 8 настоящей статьи.
6. При изменении обязательств по земельному налогу в течение налогового периода текущие платежи корректируются на сумму изменения налоговых обязательств равными долями по предстоящим срокам уплаты земельного налога в таком налоговом периоде, если иное не установлено пунктом 7 настоящей статьи.
7. В случае передачи в течение налогового периода прав на объекты налогообложения сумма налога исчисляется за фактический период владения земельным участком.
Сумма налога, подлежащая уплате за фактический период владения земельным участком лицом, передающим данные права, должна быть внесена в бюджет до или в момент государственной регистрации прав. При этом лицом, передающим данные права, сумма налога исчисляется с 1 января текущего года до начала месяца, в котором он передает земельный участок. Лицом, получившим такие права, сумма налога исчисляется за период с начала месяца, в котором у него возникло право на земельный участок.
8. Налогоплательщик производит окончательный расчет и уплачивает земельный налог не позднее десяти календарных дней после наступления срока представления декларации за налоговый период.
9. Индивидуальные предприниматели, применяющие специальный налоговый режим для субъектов малого бизнеса, уплачивают земельный налог не позднее десяти календарных дней после наступления срока представления декларации за налоговый период.
Статья 513. Особенности исчисления, уплаты налога и представления отчетности по налогу в отдельных случаях
1. За земельные участки, на которых расположены здания, строения и сооружения, находящиеся в пользовании нескольких налогоплательщиков, земельный налог исчисляется отдельно по каждому налогоплательщику пропорционально площади зданий и строений, находящихся в их раздельном пользовании.
2. При передаче юридическими лицами, указанными в подпунктах 3) и 7) пункта 3 статьи 498 настоящего Кодекса, в пользование, доверительное управление или аренду части здания либо части сооружения земельный налог подлежит исчислению в зависимости от удельного веса площади переданных в пользование, доверительное управление или аренду части здания либо части сооружения в общей площади всех зданий, сооружений, находящихся на данном земельном участке.
3. В случае приобретения юридическим лицом недвижимого имущества, находящегося в составе жилищного фонда, земельный налог подлежит исчислению по базовым ставкам налога на земли населенных пунктов, за исключением земель, занятых жилищным фондом, в том числе строениями и сооружениями при нем, установленным статьей 505 настоящего Кодекса.
Статья 514. Порядок исчисления и сроки уплаты налога физическими лицами
Сноска. Статья 514 исключена Законом РК от 10.12.2020 № 382-VI (вводится в действие с 01.01.2020).
Глава 63. НАЛОГОВЫЙ ПЕРИОД И НАЛОГОВАЯ ОТЧЕТНОСТЬ
Статья 515. Налоговый период
Налоговым периодом для исчисления земельного налога является календарный год с 1 января по 31 декабря.
Статья 516. Налоговая отчетность
1. Индивидуальные предприниматели (за исключением индивидуальных предпринимателей, применяющих специальный налоговый режим для субъектов малого бизнеса) по земельным участкам, используемым (подлежащим использованию) в предпринимательской деятельности, и юридические лица представляют в налоговые органы по месту нахождения земельных участков расчет текущих платежей по земельному налогу не позднее 15 февраля текущего налогового периода по налоговым обязательствам, определенным по состоянию на начало налогового периода.
2. Налогоплательщик представляет в срок не позднее десяти календарных дней до наступления очередного (в течение налогового периода) срока уплаты текущих платежей:
расчет текущих платежей – при возникновении налоговых обязательств в течение налогового периода, за исключением возникших после последнего срока уплаты текущих платежей;
дополнительный расчет текущих платежей с соответствующей корректировкой размеров таких платежей и распределением их равными долями на предстоящие сроки уплаты – при изменении налоговых обязательств по земельному налогу в течение налогового периода.
При возникновении налоговых обязательств после последнего срока уплаты текущих платежей налогоплательщики расчет текущих платежей не представляют.
При этом расчет текущих платежей или дополнительный расчет текущих платежей представляется по объектам, по которым возникли или изменились налоговые обязательства по состоянию на первое число месяца наступления очередного срока уплаты текущих платежей.
3. Декларация представляется в налоговые органы по месту нахождения земельных участков в срок не позднее 31 марта года, следующего за отчетным налоговым периодом:
1) юридическими лицами;
2) индивидуальными предпринимателями – по налоговым обязательствам, определенным по земельным участкам, используемым (подлежащим использованию) в предпринимательской деятельности;
3) физическими лицами (в том числе лицами, занимающимися частной практикой) – по налоговым обязательствам, определенным по земельным участкам, используемым (подлежащим использованию) в предпринимательской деятельности и (или) в деятельности, связанной с такой частной практикой.
Сноска. Статья 516 с изменением, внесенным Законом РК от 02.04.2019 № 241-VI (вводится в действие по истечении десяти календарных дней после дня его первого официального опубликования).
РАЗДЕЛ 15. НАЛОГ НА ИМУЩЕСТВО
Глава 64. НАЛОГ НА ИМУЩЕСТВО ЮРИДИЧЕСКИХ ЛИЦ И ИНДИВИДУАЛЬНЫХ ПРЕДПРИНИМАТЕЛЕЙ
Статья 517. Налогоплательщики
1. Плательщиками налога на имущество являются:
1) юридические лица, имеющие объект налогообложения на праве собственности, хозяйственного ведения или оперативного управления на территории Республики Казахстан;
2) индивидуальные предприниматели, имеющие объект налогообложения на праве собственности на территории Республики Казахстан;
3) концессионер, имеющий на праве владения, пользования объект налогообложения, являющийся объектом концессии в соответствии с договором концессии;
4) лица, указанные в статье 518 настоящего Кодекса.
2. Юридическое лицо своим решением вправе признать самостоятельным плательщиком налога на имущество свое структурное подразделение.
Если иное не установлено настоящей статьей, решение юридического лица о таком признании или прекращении такого признания вводится в действие с 1 января года, следующего за годом принятия такого решения.
В случае если самостоятельным плательщиком налога на имущество признается вновь созданное структурное подразделение юридического лица, то решение юридического лица о таком признании вводится в действие со дня создания данного структурного подразделения или с 1 января года, следующего за годом создания данного структурного подразделения.
3. Если иное не установлено настоящей статьей, плательщиками налога на имущество не являются:
1) индивидуальные предприниматели, применяющие специальный налоговый режим для крестьянских или фермерских хозяйств, по объектам налогообложения, имеющимся на праве собственности, непосредственно используемым ими в процессе производства сельскохозяйственной продукции, ее хранения и переработки;
Налогоплательщики, указанные в настоящем подпункте, по объектам налогообложения, не используемым непосредственно в процессе производства, хранения и переработки собственной сельскохозяйственной продукции, уплачивают налог на имущество в порядке, определенном настоящим разделом;
2) государственные учреждения и государственные учебные заведения среднего образования;
3) государственные предприятия исправительных учреждений уполномоченного государственного органа в сфере исполнения уголовных наказаний;
4) религиозные объединения.
5) недропользователи по контрактам на разведку и добычу или добычу углеводородов по сложным проектам (за исключением газовых проектов на суше) в рамках контрактной деятельности с учетом особенностей, предусмотренных пунктом 4 статьи 722-1 настоящего Кодекса.
Юридические лица, указанные в подпунктах 3) и 4) части первой настоящего пункта, являются плательщиками налога по объектам налогообложения, переданным в пользование, доверительное управление или аренду.
Сноска. Статья 517 с изменением, внесенным Законом РК от 21.12.2022 № 165-VII (вводится в действие с 01.01.2023).
Статья 518. Определение налогоплательщика в отдельных случаях
1. При передаче государственным учреждением объекта налогообложения в доверительное управление налогоплательщик определяется в соответствии со статьей 41 настоящего Кодекса.
2. Если объект налогообложения находится в общей долевой собственности нескольких лиц, за исключением объектов налогообложения, входящих в состав активов паевого инвестиционного фонда, налогоплательщиком признается каждое из этих лиц.
3. Плательщиком налога по объектам налогообложения, находящимся в общей совместной собственности, может являться один из собственников данных объектов налогообложения по согласованию между ними.
4. Если иное не установлено настоящим пунктом, плательщиком налога по объектам, переданным в финансовую аренду, соответствующую международным стандартам финансовой отчетности и (или) требованиям законодательства Республики Казахстан о бухгалтерском учете и финансовой отчетности, является арендодатель.
Плательщиком налога по объектам, переданным в финансовый лизинг, является лизингополучатель.
5. Плательщиком налога по объектам налогообложения, входящим в состав активов паевого инвестиционного фонда, является управляющая компания паевого инвестиционного фонда.
6. В случае отсутствия государственной регистрации прав на здания, сооружения, подлежащие такой регистрации, плательщиком налога на такой объект признается лицо, фактически им владеющее и использующее (эксплуатирующее) данный объект на основании:
1) акта государственной приемочной комиссии и (или) акта приемки (ввода) построенного объекта в эксплуатацию – для вновь возведенных (построенных) объектов;
2) гражданско-правовых сделок или иных оснований, предусмотренных законодательством Республики Казахстан, – в остальных случаях.
Сноска. Статья 518 с изменением, внесенным Законом РК от 21.12.2022 № 165-VII (вводится в действие с 01.01.2023).
Статья 519. Объект налогообложения
1. Объектом налогообложения для индивидуальных предпринимателей, за исключением индивидуальных предпринимателей, не осуществляющих ведение бухгалтерского учета и составление финансовой отчетности в соответствии с Законом Республики Казахстан «О бухгалтерском учете и финансовой отчетности», и юридических лиц являются находящиеся на территории Республики Казахстан:
1) здания, сооружения, относящиеся к таковым в соответствии с классификацией, установленной уполномоченным государственным органом, осуществляющим государственное регулирование в области технического регулирования, части таких зданий, учитываемые в составе основных средств, инвестиций в недвижимость в соответствии с международными стандартами финансовой отчетности и (или) требованиями законодательства Республики Казахстан о бухгалтерском учете и финансовой отчетности;
2) здания, относящиеся к таковым в соответствии с классификацией, установленной уполномоченным государственным органом, осуществляющим государственное регулирование в области технического регулирования, части таких зданий, предоставленные физическим лицам по договорам долгосрочной аренды жилища с правом выкупа, учитываемые в соответствии с международными стандартами финансовой отчетности и (или) требованиями законодательства Республики Казахстан о бухгалтерском учете и финансовой отчетности как долгосрочная дебиторская задолженность;
3) здания, сооружения, являющиеся объектами концессии, права владения, пользования которыми переданы по договору концессии;
4) активы, указанные в статье 260 настоящего Кодекса;
5) здания, сооружения, относящиеся к таковым в соответствии с классификацией, установленной уполномоченным государственным органом, осуществляющим государственное регулирование в области технического регулирования, части таких зданий, учитываемые в соответствии с международными стандартами финансовой отчетности и (или) требованиями законодательства Республики Казахстан о бухгалтерском учете и финансовой отчетности в составе активов банков второго уровня, перешедшие в собственность в результате обращения взыскания на имущество, выступающее в качестве залога, иного обеспечения, за исключением зданий (частей зданий) и сооружений, указанных в подпункте 1) настоящего пункта;
6) здания, сооружения, указанные в пункте 6 статьи 518 настоящего Кодекса.
7) здания и сооружения, относящиеся к таковым в соответствии с классификацией, установленной уполномоченным органом в области технического регулирования, части таких зданий и сооружений, предоставленные в финансовую аренду и учитываемые в соответствии с международными стандартами финансовой отчетности и (или) требованиями законодательства Республики Казахстан о бухгалтерском учете и финансовой отчетности как дебиторская задолженность.
2. Объектом налогообложения для индивидуальных предпринимателей, не осуществляющих ведение бухгалтерского учета и составление финансовой отчетности в соответствии с Законом Республики Казахстан «О бухгалтерском учете и финансовой отчетности», признаются находящиеся на территории Республики Казахстан здания, сооружения, относящиеся к таковым в соответствии с классификацией, установленной уполномоченным государственным органом, осуществляющим государственное регулирование в области технического регулирования, и являющиеся основными средствами в соответствии с подпунктом 9) статьи 201 настоящего Кодекса.
3. Не являются объектами налогообложения:
1) земля как объект обложения земельным налогом в соответствии со статьями 500 и 501 настоящего Кодекса;
2) здания, сооружения, находящиеся на консервации по решению Правительства Республики Казахстан;
3) государственные автомобильные дороги общего пользования и дорожные сооружения на них:
полоса отвода;
конструктивные элементы дорог;
обстановка и обустройство дорог;
мосты;
путепроводы;
виадуки;
транспортные развязки;
тоннели;
защитные галереи;
сооружения и устройства, предназначенные для повышения безопасности дорожного движения;
водоотводные и водопропускные сооружения;
лесополосы вдоль дорог;
линейные жилые дома и комплексы дорожно-эксплуатационной службы;
4) объекты незавершенного строительства, за исключением объектов, указанных в пункте 6 статьи 518 и подпункте 4) пункта 1 настоящей статьи;
5) здания, сооружения, являющиеся неотъемлемой частью транспортного комплекса, обеспечивающие функционирование метрополитена;
6) здания, сооружения, приобретенные государственной исламской специальной финансовой компанией по договорам, заключенным в соответствии с условиями выпуска государственных исламских ценных бумаг;
7) используемые в предпринимательской деятельности жилища и другие объекты физических лиц, по которым налоговая база определяется в соответствии со статьей 529 настоящего Кодекса и исчисление налога производится налоговыми органами в соответствии со статьей 532 настоящего Кодекса;
8) здания, сооружения, являющиеся объектами концессии, права владения, пользования которыми переданы по договору концессии с применением платы за доступность по концессионным проектам особой значимости, перечень которых определяется Правительством Республики Казахстан, при условии превышения стоимости объектов концессии 50 000 000-кратного размера месячного расчетного показателя, установленного законом о республиканском бюджете и действующего на 1 января соответствующего финансового года;
9) здания, сооружения, расположенные на территории земель зоны ядерной безопасности, используемые для размещения радиоактивных отходов и обеспечения ядерной физической защиты.
Сноска. Статья 519 с изменениями, внесенными Законом РК от 10.12.2020 № 382-VI (вводится в действие с 01.01.2018); от 20.12.2021 № 85-VII (вводятся в действие после дня введения в действие законодательного акта, регулирующего создание и функционирование зоны ядерной безопасности); от 21.12.2022 № 165-VII (вводится в действие с 01.01.2023).
Статья 520. Налоговая база
1. Если иное не установлено настоящей статьей, налоговой базой по объектам налогообложения индивидуальных предпринимателей и юридических лиц, указанным в подпунктах 1), 3), 4) и 5) пункта 1 статьи 519 настоящего Кодекса, является среднегодовая балансовая стоимость объектов налогообложения, определяемая по данным бухгалтерского учета.
В случае отсутствия среднегодовой балансовой стоимости объектов концессии налоговой базой является стоимость таких объектов, установленная в соответствии с порядком, определенным Правительством Республики Казахстан.
2. По объектам налогообложения индивидуальных предпринимателей и юридических лиц, указанным в подпунктах 2) и 7) пункта 1 статьи 519 настоящего Кодекса, налоговая база устанавливается в размере среднегодовой суммы дебиторской задолженности, в том числе долгосрочной, определяемой в соответствии с международными стандартами финансовой отчетности и (или) требованиями законодательства Республики Казахстан о бухгалтерском учете и финансовой отчетности.
3. Среднегодовая балансовая стоимость объектов налогообложения определяется как одна тринадцатая суммы, полученной при сложении балансовых стоимостей объектов налогообложения на 1 число каждого месяца текущего налогового периода и 1 число месяца налогового периода, следующего за отчетным.
В случае если условиями контракта на недропользование предусмотрено выполнение обязательств по демонтажу и удалению объектов налогообложения, а также положениями Экологического кодекса Республики Казахстан выполнение мероприятий, связанных с ликвидационным фондом полигонов захоронения отходов, то оценка таких обязательств, определенная в соответствии с международными стандартами финансовой отчетности и (или) требованиями законодательства Республики Казахстан о бухгалтерском учете и финансовой отчетности, не включается в балансовую стоимость объектов налогообложения при ведении отдельного учета.
В случае если положениями Закона Республики Казахстан «О магистральном трубопроводе» предусмотрено выполнение обязательств по ликвидации магистрального трубопровода, то оценка таких обязательств, определенная в соответствии с международными стандартами финансовой отчетности и (или) требованиями законодательства Республики Казахстан о бухгалтерском учете и финансовой отчетности, не включается в балансовую стоимость объектов налогообложения при ведении отдельного учета стоимости таких обязательств.
В случае, если энергопередающая организация принимает на свой баланс электрические сети, признанные бесхозяйными в соответствии с гражданским законодательством Республики Казахстан или полученные на безвозмездной основе в соответствии с законодательством Республики Казахстан, стоимость таких сетей не включается в налоговую базу до учета суммы налога на имущество по таким сетям в тарифной смете в соответствии с пунктом 8 статьи 13-1 Закона Республики Казахстан «Об электроэнергетике».
4. Среднегодовая сумма дебиторской задолженности, в том числе долгосрочной, устанавливаемой в соответствии с международными стандартами финансовой отчетности и (или) требованиями законодательства Республики Казахстан о бухгалтерском учете и финансовой отчетности, определяется как одна тринадцатая суммы, полученной при сложении сумм дебиторской задолженности, в том числе долгосрочной, на 1 число каждого месяца текущего налогового периода и 1 число месяца налогового периода, следующего за отчетным.
5. По объектам налогообложения юридических лиц, указанных в подпунктах 3) и 4) пункта 3 статьи 517 настоящего Кодекса, налоговая база определяется исходя из доли данных объектов налогообложения, переданных в пользование, доверительное управление или аренду.
6. Если иное не предусмотрено настоящим пунктом, налоговой базой по объектам налогообложения индивидуальных предпринимателей, не осуществляющих ведение бухгалтерского учета и составление финансовой отчетности в соответствии с Законом Республики Казахстан «О бухгалтерском учете и финансовой отчетности», является совокупность затрат на их приобретение, производство, строительство, монтаж, установку, а также на реконструкцию и модернизацию.
При этом признание реконструкции, модернизации осуществляется в соответствии с пунктом 2 статьи 269 настоящего Кодекса.
При отсутствии первичных документов, подтверждающих затраты на приобретение, производство, строительство, монтаж, установку, реконструкцию и модернизацию, а также по объектам налогообложения, полученным по сделкам, цена (стоимость) которых неизвестна, либо безвозмездно, в том числе в виде дарения, наследования, пожертвования, благотворительной помощи, налоговой базой является рыночная стоимость:
1) объекта налогообложения на дату возникновения права собственности на данный актив;
2) объекта налогообложения плательщиков, указанных в пункте 6 статьи 518 настоящего Кодекса, на дату признания плательщиками по таким объектам.
При этом рыночная стоимость определяется в отчете об оценке, проведенной по договору между оценщиком и налогоплательщиком в соответствии с законодательством Республики Казахстан об оценочной деятельности.
7. В случае, когда в соответствии с положениями статьи 41 настоящего Кодекса налоговые обязательства по налогу на имущество подлежат исполнению доверительным управляющим, налоговой базой является среднегодовая балансовая стоимость таких объектов налогообложения, установленная в порядке, определенном пунктом 3 настоящей статьи:
1) доверительным управляющим самостоятельно – в случае, если такое имущество передано ему на баланс;
2) государственным учреждением, на балансе которого находится такое имущество. При этом данные по налоговой базе такого имущества должны передаваться доверительному управляющему ежегодно, в срок не позднее 1 февраля.
В случае отсутствия при составлении налоговой отчетности по налогу на имущество данных по среднегодовой балансовой стоимости имущества, указанной в подпункте 2) части первой настоящего пункта, налоговой базой по такому имуществу является его балансовая стоимость, отраженная в соответствии с пунктом 4 статьи 41 настоящего Кодекса в акте приема-передачи.
Сноска. Статья 520 с изменениями, внесенными законами РК от 10.12.2020 № 382-VI (вводится в действие с 01.01.2018); от 02.01.2021 № 402-VI (вводится в действие с 01.01.2022); от 21.12.2022 № 165-VII (вводится в действие с 01.01.2023).
Статья 521. Налоговые ставки
1. Если иное не предусмотрено настоящей статьей, юридические лица исчисляют налог на имущество по ставке 1,5 процента к налоговой базе.
2. Налог на имущество по ставке 0,5 процента к налоговой базе исчисляют следующие плательщики:
1) индивидуальные предприниматели;
2) юридические лица, применяющие специальный налоговый режим на основе упрощенной декларации.
3) субъекты социального предпринимательства.
3. Юридические лица, указанные ниже, исчисляют налог на имущество по ставке 0,1 процента к налоговой базе:
1) юридические лица, определенные статьей 289 настоящего Кодекса, за исключением религиозных объединений и некоммерческих организаций, указанных в пункте 4 статьи 289 настоящего Кодекса;
2) юридические лица, определенные статьей 290 настоящего Кодекса;
3) организации, основным видом деятельности которых является выполнение работ (оказание услуг) в области библиотечного обслуживания;
4) юридические лица по объектам водохранилищ, гидроузлов, находящимся в государственной собственности и финансируемым за счет средств бюджета;
5) юридические лица по объектам гидромелиоративных сооружений, используемым для орошения земель юридических лиц — сельскохозяйственных товаропроизводителей и крестьянских или фермерских хозяйств;
6) юридические лица по объектам питьевого водоснабжения;
7) исключен Законом РК от 03.04.2019 № 243-VI (вводится в действие по истечении десяти календарных дней после дня его первого официального опубликования);
8) исключен Законом РК от 03.04.2019 № 243-VI (вводится в действие по истечении десяти календарных дней после дня его первого официального опубликования);
9) юридические лица по взлетно-посадочным полосам на аэродромах и терминалам аэропортов, за исключением взлетно-посадочных полос на аэродромах и терминалов аэропортов городов Астаны и Алматы;
10) технологические парки по объектам, используемым при осуществлении ими основного вида деятельности, предусмотренного Предпринимательским кодексом Республики Казахстан.
Положения настоящего подпункта вправе применять технологические парки, соответствующие одновременно следующим условиям:
созданные в соответствии с Предпринимательским кодексом Республики Казахстан;
50 и более процентов голосующих акций (долей участия) таких технологических парков принадлежат национальному институту развития в области технологического развития.
Положения настоящего подпункта не применяются в случаях передачи объектов налогообложения в пользование, доверительное управление или аренду.
11) действовал до 01.01.2020 в соответствии с Законом РК от 25.12.2017 № 121-VI;
12) действовал с 01.01.2020 до 01.01.2024 в соответствии с Законом РК от 10.12.2020 № 382-VI.
Примечание ИЗПИ!
Подпункт 13) Действует с 01.01.2024 до 01.01.2029 в соответствии с Законом РК от 01.07.2024 № 105-VIII.
13) организация, осуществляющая деятельность по организации и проведению международной специализированной выставки на территории Республики Казахстан.
Для целей части первой настоящего подпункта под организацией, осуществляющей деятельность по организации и проведению международной специализированной выставки на территории Республики Казахстан, понимается юридическое лицо со стопроцентным участием государства в уставном капитале, основным предметом деятельности которого являются организация и проведение международной специализированной выставки на территории Республики Казахстан, а также послевыставочное использование территории международной специализированной выставки.
4. Юридические лица, указанные в пункте 3 настоящей статьи, по объектам налогообложения, переданным в пользование, доверительное управление или аренду, исчисляют и уплачивают налог на имущество по ставке налога, установленной пунктом 1 настоящей статьи, за исключением юридических лиц, определенных:
1) пунктом 2 статьи 290 настоящего Кодекса, – в случае, если плата за такое пользование, доверительное управление или аренду поступает в государственный бюджет;
2) пунктом 3 статьи 290 настоящего Кодекса.
3) действовал с 01.01.2020 до 01.01.2024 в соответствии с Законом РК от 10.12.2020 № 382-VI.
Примечание ИЗПИ!
Подпункт 4) Действует с 01.01.2024 до 01.01.2029 в соответствии с Законом РК от 01.07.2024 № 105-VIII.
4) подпунктом 13) пункта 3 настоящей статьи.
5. Налог на имущество по ставке 0 процента к налоговой базе исчисляют:
1) юридические лица, определенные пунктом 1 статьи 291 настоящего Кодекса;
2) организации, осуществляющие деятельность на территориях специальных экономических зон, с учетом положений, установленных главой 79 настоящего Кодекса;
3) лицо, заключившее соглашение об инвестициях с учетом положений главы 80-1 настоящего Кодекса.
6. Юридические лица, определенные в перечне, утвержденном уполномоченным государственным органом, осуществляющим руководство и межотраслевую координацию в сфере жилищных отношений по согласованию с уполномоченным органом в области налоговой политики, исчисляют налог по ставкам, установленным статьей 531 настоящего Кодекса, по объектам налогообложения, предоставленным в рамках реализации государственных и (или) правительственных программ жилищного строительства по договорам долгосрочной аренды жилища физическому лицу, являющемуся участником такой программы.
7. В случае если субъект социального предпринимательства соответствует нескольким положениям пунктов 2, 3, 4 и 5 настоящей статьи, то применяется одна из наименьших ставок, установленных настоящей статьей.
Сноска. Статья 521 с изменениями, внесенными законами РК от 03.04.2019 № 243-VI (вводится в действие по истечении десяти календарных дней после дня его первого официального опубликования); от 27.12.2019 № 291-VІ (вводится в действие по истечении десяти календарных дней после дня его первого официального опубликования); от 10.12.2020 № 382-VI (порядок введения в действие см. ст. 2); от 24.06. 2021 № 53-VII (вводится в действие с 01.01.2022); от 21.12.2022 № 165-VII (вводится в действие с 01.01.2023).
Статья 522. Порядок исчисления и уплаты налога
1. Исчисление налога производится налогоплательщиками самостоятельно путем применения соответствующей ставки налога к налоговой базе.
Налогоплательщики, применяющие специальный налоговый режим для производителей сельскохозяйственной продукции, производят исчисление налога на имущество с учетом положений параграфа 1 главы 78 настоящего Кодекса.
2. Лица, определенные в пункте 6 статьи 521 настоящего Кодекса, исчисляют сумму налога путем применения ставок, установленных статьей 531 настоящего Кодекса, к налоговой базе, определяемой отдельно по каждому объекту в соответствии:
с пунктом 1 статьи 520 настоящего Кодекса, – в случае предоставления объектов обложения в аренду физическим лицам по договору долгосрочной аренды жилища без права выкупа;
с пунктом 2 статьи 520 настоящего Кодекса, – в случае предоставления объектов обложения в аренду физическим лицам по договору долгосрочной аренды жилища с правом выкупа.
3. По объектам налогообложения, находящимся в общей долевой собственности, налог на имущество для каждого налогоплательщика исчисляется пропорционально его доле в стоимости имущества.
4. Плательщики налога, за исключением индивидуальных предпринимателей, применяющих специальный налоговый режим для субъектов малого бизнеса, обязаны уплачивать в течение налогового периода текущие платежи по налогу на имущество, которые определяются путем применения соответствующей ставки налога к балансовой стоимости объектов налогообложения, определенной по данным бухгалтерского учета на начало налогового периода.
5. Уплата налога производится в бюджет по месту нахождения объектов налогообложения.
6. Размер текущих платежей определяется путем применения соответствующих налоговых ставок к балансовой стоимости объектов налогообложения, определенной по данным бухгалтерского учета на начало налогового периода.
7. Налогоплательщики, за исключением индивидуальных предпринимателей, применяющих специальные налоговые режимы для субъектов малого бизнеса, уплачивают суммы текущих платежей налога равными долями не позднее 25 февраля, 25 мая, 25 августа и 25 ноября налогового периода.
8. При возникновении в течение налогового периода налоговых обязательств, в том числе при передаче юридическими лицами, указанными в подпунктах 3) и 4) пункта 3 статьи 517 настоящего Кодекса, объектов налогообложения в пользование, доверительное управление или предоставлении по договору имущественного найма (аренды):
1) первым сроком уплаты текущих сумм налога является следующий очередной срок их уплаты в течение такого налогового периода;
2) после последнего срока уплаты текущих платежей производится только окончательный расчет и уплата суммы налога в сроки, предусмотренные пунктом 11 настоящей статьи.
9. При изменении обязательств по налогу на имущество в течение налогового периода текущие платежи корректируются на сумму изменения налоговых обязательств равными долями по предстоящим срокам уплаты налога в таком налоговом периоде, если иное не установлено пунктом 8 настоящей статьи.
10. В случае поступления в течение налогового периода объектов налогообложения текущие платежи по налогу на имущество увеличиваются на сумму, определяемую путем применения налоговой ставки к 1/13 первоначальной стоимости поступивших объектов налогообложения, определенной по данным бухгалтерского учета на дату поступления, умноженной на количество месяцев текущего налогового периода, начиная с месяца, в котором объекты налогообложения поступили, до конца налогового периода. Сумма, на которую подлежат увеличению текущие платежи, распределяется равными долями по срокам, установленным пунктом 7 настоящей статьи, при этом первым сроком уплаты текущих платежей является очередной срок, следующий за датой поступления объектов налогообложения.
В случае выбытия в течение налогового периода объектов налогообложения текущие платежи уменьшаются на сумму, определяемую путем применения налоговой ставки к 1/13 стоимости выбывших объектов налогообложения, умноженной на количество месяцев текущего налогового периода, начиная с месяца, в котором объекты налогообложения выбыли, до конца налогового периода.
При этом стоимостью выбывших объектов налогообложения является:
первоначальная стоимость по данным бухгалтерского учета на дату поступления – по объектам налогообложения, поступившим в текущем налоговом периоде;
балансовая стоимость по данным бухгалтерского учета на начало налогового периода – по остальным объектам налогообложения.
Сумма, на которую подлежат уменьшению текущие платежи, распределяется равными долями на оставшиеся сроки уплаты текущих платежей.
11. Налогоплательщики, за исключением индивидуальных предпринимателей, применяющих специальный налоговый режим для субъектов малого бизнеса, производят окончательный расчет по исчислению налога на имущество и уплачивают не позднее десяти календарных дней после наступления срока представления декларации за налоговый период.
12. Индивидуальные предприниматели, применяющие специальный налоговый режим для субъектов малого бизнеса, уплачивают налог на имущество не позднее десяти календарных дней после наступления срока представления декларации за налоговый период.
13. Для лица, являющегося плательщиком налога на основании подпункта 2) пункта 6 статьи 518 настоящего Кодекса, сумма налога исчисляется в случае передачи прав на незарегистрированный объект налогообложения:
1) для передающей стороны – за период с 1 числа месяца фактического владения и (или) использования (эксплуатации) такого объекта налогообложения до 1 числа месяца, в котором передан такой объект на основании акта приема передачи или иного документа;
2) для приобретающей стороны – за период с 1 числа месяца, в котором передан такой объект на основании акта приема-передачи или иного документа.
Сноска. Статья 522 с изменением, внесенным Законом РК от 10.12.2020 № 382-VI (вводится в действие с 01.01.2021).
Статья 523. Исчисление и уплата налога в отдельных случаях
По объектам налогообложения, используемым (подлежащим использованию) в предпринимательской деятельности, индивидуальный предприниматель исчисляет и уплачивает налог по ставкам и в порядке, которые установлены настоящей главой.
При этом для целей настоящей главы объектом налогообложения, используемым (подлежащим использованию) в предпринимательской деятельности, не признается объект налогообложения при одновременном соблюдении условий, если такой объект:
является жилищем, по которому налоговая база определяется в соответствии со статьей 529 настоящего Кодекса и налог исчисляется налоговыми органами;
предоставлен в аренду (пользование) исключительно для целей проживания и не выведен из жилого фонда.
Статья 524. Налоговый период
1. Налоговым периодом для исчисления налога на имущество является календарный год с 1 января по 31 декабря.
2. Для юридических лиц, указанных в подпунктах 3) и 4) пункта 3 статьи 517 настоящего Кодекса, налоговый период определяется с момента передачи объектов налогообложения в пользование, доверительное управление или аренду до момента окончания такого использования.
Статья 525. Налоговая отчетность
1. Индивидуальные предприниматели (за исключением индивидуальных предпринимателей, применяющих специальный налоговый режим для субъектов малого бизнеса) по объектам обложения, используемым (подлежащим использованию) в предпринимательской деятельности, и юридические лица представляют в налоговые органы по месту нахождения объектов обложения расчет текущих платежей по налогу не позднее 15 февраля текущего налогового периода по налоговым обязательствам, определенным по состоянию на начало налогового периода.
2. Налогоплательщик представляет в срок не позднее десяти календарных дней до наступления очередного (в течение налогового периода) срока уплаты текущих платежей:
расчет текущих платежей – при возникновении налоговых обязательств в течение налогового периода, за исключением возникших после последнего срока уплаты текущих платежей;
дополнительный расчет текущих платежей с соответствующей корректировкой размеров таких платежей и распределением их равными долями на предстоящие сроки уплаты – при изменении налоговых обязательств по налогу в течение налогового периода.
При этом расчет текущих платежей или дополнительный расчет текущих платежей представляется по объектам, по которым возникли или изменились налоговые обязательства по состоянию на первое число месяца наступления очередного срока уплаты текущих платежей.
При возникновении налоговых обязательств после последнего срока уплаты текущих платежей налогоплательщики расчет текущих платежей не представляют.
3. Декларация по налогу представляется в налоговые органы по месту нахождения объектов обложения в срок не позднее 31 марта года, следующего за отчетным налоговым периодом:
1) юридическими лицами;
2) индивидуальными предпринимателями – по налоговым обязательствам, определенным по объектам обложения, используемым (подлежащим использованию) в предпринимательской деятельности;
3) физическими лицами (в том числе лицами, занимающимися частной практикой) – по налоговым обязательствам, определенным по объектам обложения, используемым (подлежащим использованию) в предпринимательской деятельности и (или) в деятельности, связанной с такой частной практикой.
Сноска. Статья 525 с изменениями, внесенными Законом РК от 02.04.2019 № 241-VI (вводится в действие с 01.01.2018).
Глава 65. НАЛОГ НА ИМУЩЕСТВО ФИЗИЧЕСКИХ ЛИЦ
Статья 526. Налогоплательщики
1. Плательщиками налога на имущество физических лиц являются физические лица, имеющие объект налогообложения в соответствии со статьей 528 настоящего Кодекса.
2. Плательщиками налога на имущество физических лиц не являются:
1) герои Советского Союза, герои Социалистического Труда, лица, удостоенные званий «Халық қаһарманы», «Қазақстанның Еңбек Epi», награжденные орденом Славы трех степеней и орденом «Отан», – в пределах 1000-кратного размера месячного расчетного показателя, установленного законом о республиканском бюджете и действующего на 1 января соответствующего финансового года, от общей стоимости всех объектов налогообложения, указанных в подпункте 1) статьи 528 настоящего Кодекса;
2) ветераны Великой Отечественной войны, ветераны, приравненные по льготам к ветеранам Великой Отечественной войны, и ветераны боевых действий на территории других государств, лица, награжденные орденами и медалями бывшего Союза ССР за самоотверженный труд и безупречную воинскую службу в тылу в годы Великой Отечественной войны, а также лица, проработавшие (прослужившие) не менее шести месяцев с 22 июня 1941 года по 9 мая 1945 года и не награжденные орденами и медалями бывшего Союза ССР за самоотверженный труд и безупречную воинскую службу в тылу в годы Великой Отечественной войны, лица с инвалидностью по:
земельным участкам, занятым жилищным фондом, в том числе строениями и сооружениями при нем;
придомовым земельным участкам;
земельным участкам, предоставленным для ведения личного домашнего (подсобного) хозяйства, садоводства и дачного строительства, включая земли, занятые под постройки;
земельным участкам, занятым под гаражи;
в пределах 1500-кратного размера месячного расчетного показателя, установленного законом о республиканском бюджете и действующего на 1 января соответствующего финансового года, от общей стоимости всех объектов налогообложения, указанных в подпункте 1) статьи 528 настоящего Кодекса;
3) дети-сироты и дети, оставшиеся без попечения родителей, на период до достижения ими 18-летнего возраста по:
земельным участкам, занятым жилищным фондом, в том числе строениями и сооружениями при нем;
придомовым земельным участкам;
земельным участкам, предоставленным для ведения личного домашнего (подсобного) хозяйства, садоводства и дачного строительства, включая земли, занятые под постройки;
земельным участкам, занятым под гаражи;
объектам налогообложения, указанным в подпункте 1) статьи 528 настоящего Кодекса;
4) один из родителей лица с инвалидностью с детства, ребенка с инвалидностью по:
земельным участкам, занятым жилищным фондом, в том числе строениями и сооружениями при нем;
придомовым земельным участкам;
земельным участкам, предоставленным для ведения личного домашнего (подсобного) хозяйства, садоводства и дачного строительства, включая земли, занятые под постройки;
земельным участкам, занятым под гаражи;
5) многодетные матери, удостоенные звания «Мать-героиня», награжденные подвеской «Алтын алқа», отдельно проживающие пенсионеры по:
земельным участкам, занятым жилищным фондом, в том числе строениями и сооружениями при нем;
придомовым земельным участкам;
в пределах 1000-кратного размера месячного расчетного показателя, установленного законом о республиканском бюджете и действующего на 1 января соответствующего финансового года, от общей стоимости всех объектов налогообложения, указанных в подпункте 1) статьи 528 настоящего Кодекса.
Для целей настоящего Кодекса под отдельно проживающими пенсионерами понимаются пенсионеры, по юридическому адресу (адресу места их жительства) которых зарегистрированы исключительно пенсионеры;
6) индивидуальные предприниматели по объектам налогообложения, используемым в предпринимательской деятельности, за исключением жилищ и других объектов, по которым налоговая база определяется в соответствии со статьей 529 настоящего Кодекса, и налог исчисляется налоговыми органами в соответствии со статьей 532 настоящего Кодекса;
7) физические лица – собственники квартиры (комнаты), по доле собственника квартиры (комнаты), в земельном участке, занятом многоквартирным жилым домом.
3. Положения подпунктов 1) – 5) пункта 2 настоящей статьи не применяются по объектам налогообложения, переданным в пользование или имущественный наем (аренду).
Сноска. Статья 526 с изменениями, внесенными законами РК от 06.05.2020 № 324-VІ (вводится в действие с 01.01.2020); от 10.12.2020 № 382-VI (вводится в действие с 01.01.2020).
Статья 527. Определение налогоплательщика в отдельных случаях
1. При передаче государственным учреждением объектов налогообложения в доверительное управление налогоплательщик определяется в соответствии со статьей 41 настоящего Кодекса.
2. Если объект налогообложения находится в общей долевой собственности нескольких лиц, налогоплательщиком признается каждое из этих лиц.
3. Плательщиком налога по объектам налогообложения, находящимся в общей совместной собственности, может являться один из собственников данного объекта налогообложения по согласованию между ними.
При этом по объектам налогообложения, находящимся в общей совместной собственности, по которым государственная регистрация права собственности произведена после 31 декабря 2016 года, плательщиком налога может являться один из собственников данного объекта налогообложения, указанный собственниками в заявлении на осуществление государственной регистрации права собственности на такой объект.
4. В случае отсутствия идентификационных документов на земельный участок, основаниями для признания пользователя плательщиком налога в отношении земельного участка являются фактическое владение и пользование таким участком на основании:
1) актов государственных органов о предоставлении земельного участка – при предоставлении земельного участка из государственной собственности;
2) гражданско-правовых сделок или иных оснований, предусмотренных законодательством Республики Казахстан, – в остальных случаях.
Сноска. Статья 527 с изменением, внесенным Законом РК от 10.12.2020 № 382-VI (вводится в действие с 01.01.2020).
Статья 528. Объект налогообложения
Объектом обложения налогом на имущество физических лиц являются находящиеся на территории Республики Казахстан:
1) жилища, здания, дачные постройки, гаражи, парковочные места и иные строения, сооружения, помещения, принадлежащие им на праве собственности;
2) земельные участки, принадлежащие физическим лицам на праве собственности.
Сноска. Статья 528 в редакции Закона РК от 10.12.2020 № 382-VI (вводится в действие с 01.01.2020); с изменением, внесенным Законом РК от 20.12.2021 № 85-VII (вводится в действие с 01.01.2022).
Статья 529. Налоговая база
1. Налоговой базой по жилищам, дачным постройкам для физических лиц является стоимость объектов налогообложения, определяемая по состоянию на 1 января каждого года, следующего за отчетным, Государственной корпорацией «Правительство для граждан», в следующем порядке:
C = C б x S x K физ х К функц х К зон х К изм. Мрп, где:
С – стоимость имущества для целей налогообложения;
С б – базовая стоимость одного квадратного метра жилища, дачной постройки;
S – полезная площадь жилища, дачной постройки в квадратных метрах;
К физ – коэффициент физического износа;
К функц – коэффициент функционального износа;
К зон – коэффициент зонирования;
К изм. мрп – коэффициент изменения месячного расчетного показателя.
2. Базовая стоимость одного квадратного метра жилища, дачной постройки в национальной валюте (С б) определяется в зависимости от вида населенного пункта в следующих размерах:
|
№ п/п |
Категория населенного пункта |
Базовая стоимость в тенге |
|
1 |
2 |
3 |
|
Города: |
||
|
1. |
Алматы |
60 000 |
|
2. |
Шымкент |
60 000 |
|
3. |
Астана |
60 000 |
|
4. |
Актау |
36 000 |
|
5. |
Актобе |
36 000 |
|
6. |
Атырау |
36 000 |
|
7. |
Жезказган |
36 000 |
|
8. |
Кокшетау |
36 000 |
|
9. |
Караганда |
36 000 |
|
10. |
Қонаев |
36 000 |
|
11. |
Костанай |
36 000 |
|
12. |
Кызылорда |
36 000 |
|
13. |
Уральск |
36 000 |
|
14. |
Усть-Каменогорск |
36 000 |
|
15. |
Павлодар |
36 000 |
|
16. |
Петропавловск |
36 000 |
|
17. |
Семей |
36 000 |
|
18. |
Талдыкорган |
36 000 |
|
19. |
Тараз |
36 000 |
|
20. |
Туркестан |
36 000 |
|
21. |
Города областного значения |
12 000 |
|
22. |
Города районного значения |
6 000 |
|
23. |
Поселки |
4 200 |
|
24. |
Села |
2 700 |
При этом категории населенных пунктов определяются в соответствии с классификатором административно-территориальных объектов, утвержденным уполномоченным государственным органом, осуществляющим государственное регулирование в области технического регулирования.
3. Налоговой базой по кладовке, находящейся в многоквартирном жилом доме и используемой в личных целях, холодной пристройке, хозяйственной (служебной) постройке, цокольному этажу, подвалу жилища, гаражу, парковочному месту является стоимость такого объекта по состоянию на 1 января каждого года, следующего за отчетным, определяемая Государственной корпорацией «Правительство для граждан», рассчитываемая по формуле:
C = C б × S × К физ × К изм. мрп × К зон, где:
С – стоимость для целей налогообложения;
С б – базовая стоимость одного квадратного метра, определенная в следующем размере от базовой стоимости, установленной пунктом 2 настоящей статьи:
по кладовке, находящейся в многоквартирном жилом доме и используемой в личных целях, холодной пристройке, хозяйственной (служебной) постройке, цокольному этажу, подвалу жилища – 25 процентов,
по гаражу, парковочному месту – 15 процентов;
S – общая площадь холодной пристройки, хозяйственной (служебной) постройки, цокольного этажа, подвала жилища, гаража в квадратных метрах;
К физ – коэффициент физического износа, установленный в порядке, определенном пунктом 4 настоящей статьи;
К изм. мрп – коэффициент изменения месячного расчетного показателя, определенный в порядке, установленном пунктом 7 настоящей статьи;
К зон – коэффициент зонирования, установленный в порядке, определенном пунктом 6 настоящей статьи.
4. Коэффициент физического износа жилища, дачной постройки определяется с учетом норм амортизации и эффективного возраста по формуле:
К физ = 1 — И физ, где:
И физ – физический износ жилища, дачной постройки.
Физический износ определяется по формуле:
И физ = (Т баз — Т ввода) х Н аморт/100, где:
Т баз – год начисления налога;
Т ввода – год ввода объекта налогообложения в эксплуатацию;
Н аморт – норма амортизации.
В зависимости от характеристики здания при определении физического износа применяются следующие нормы амортизации:
|
№ п/п |
Группа капитальности |
Характеристика здания |
Н аморт, % |
Срок службы |
|
1 |
2 |
3 |
4 |
5 |
|
1. |
1. |
Здания каменные, особо капитальные, стены кирпичные толщиной свыше 2,5 кирпича или кирпичные с железобетонным или металлическим каркасом, перекрытия железобетонные и бетонные; здания с крупнопанельными стенами, перекрытия железобетонные |
0,7 |
143 |
|
2. |
2. |
Здания с кирпичными стенами толщиной в 1,5-2,5 кирпича, перекрытия железобетонные, бетонные или деревянные; здания с крупноблочными стенами, перекрытия железобетонные |
0,8 |
125 |
|
3. |
3. |
Здания со стенами облегченной кладки из кирпича, монолитного шлакобетона, легких шлакоблоков, ракушечников, перекрытия железобетонные или бетонные; здания со стенами крупноблочными или облегченной кладки из кирпича, монолитного шлакобетона, мелких шлакоблоков |
1,0 |
100 |
|
4. |
4. |
Здания со стенами смешанными, деревянными рублеными или брусчатыми |
2,0 |
50 |
|
5. |
5. |
Здания сырцовые, сборно-щитовые, каркасно-засыпные, глинобитные, саманные |
3,3 |
30 |
|
6. |
6. |
Здания каркасно-камышитовые и другие облегченные |
6,6 |
15 |
Если физический износ каменного или из несущих панелей жилища, дачной постройки превышает 70 процентов, из иных материалов – 65 процентов, то коэффициент физического износа принимается равным 0,2.
5. Коэффициент функционального износа (К функц), учитывающий изменения требований к качеству жилища, дачной постройки, рассчитывается по формуле:
К функц = К этаж х К угл х К мат. ст х К благ х К отопл, где:
К этаж – коэффициент, учитывающий изменения базовой стоимости в зависимости от этажа расположения жилища;
К угл – коэффициент, учитывающий расположение жилища на угловых участках здания;
К мат.ст – коэффициент, учитывающий материал стен;
К благ – коэффициент, учитывающий уровень благоустроенности жилища, дачной постройки и обеспеченности его инженерно-техническими устройствами;
К отопл – коэффициент, учитывающий вид отопления.
В зависимости от этажности применяются следующие поправочные коэффициенты этажности (К этаж):
|
№ п/п |
Этаж |
К этаж |
|
1 |
2 |
3 |
|
1. |
Первый |
0,95 |
|
2. |
Промежуточный или индивидуальный жилой дом |
1,00 |
|
3. |
Последний |
0,9 |
Для многоквартирных жилых зданий высотой не более трех этажей для любого этажа коэффициент этажности принимается равным 1.
В зависимости от расположения жилища на угловых участках здания применяются следующие поправочные коэффициенты (К угл):
|
№ п/п |
Расположение жилища на угловых участках здания |
К угл |
|
1 |
2 |
3 |
|
1. |
Угловое |
0,95 |
|
2. |
Неугловое или индивидуальный жилой дом |
1,0 |
В зависимости от материала стен применяются следующие поправочные коэффициенты (К мат. ст):
|
№ п/п |
Материал стен |
Коэффициент |
|
1 |
2 |
3 |
|
1. |
Из кирпича |
1,1 |
|
2. |
Сборный из керамзитобетонных блоков |
1,0 |
|
3. |
Сборный из керамзитобетонных блоков, облицованный кирпичом |
1,05 |
|
4. |
Железобетонные панели |
1,0 |
|
5. |
Из железобетонных панелей, облицованных кирпичом |
1,05 |
|
6. |
Саманно-глинобитные |
0,5 |
|
7. |
Саманные, облицованные снаружи в 0,5 кирпича |
0,6 |
|
8. |
Монолитные шлакобетонные |
0,7 |
|
9. |
Из железобетонных блоков |
1,0 |
|
10. |
Сборно-щитовые |
0,6 |
|
11. |
Сборно-щитовые, облицованные в 0,5 кирпича |
0,75 |
|
12. |
Деревянные рубленые |
0,85 |
|
13. |
Шпальные |
0,75 |
|
14. |
Шпальные, облицованные кирпичом |
0,95 |
|
15. |
Каркасно-камышитовые |
0,6 |
|
16. |
Прочие |
1,0 |
При обеспечении жилища, дачной постройки всеми соответствующими инженерными системами и техническими устройствами поправочный коэффициент благоустройства (К благ) принимается равным 1.
В случае отсутствия инженерных систем и технических устройств, создающих нормативные либо комфортные условия проживания (быта), пребывания людей (водопровод, канализация, другие виды благоустройства), К благ принимается равным 0,8.
В зависимости от вида отопления применяются следующие поправочные коэффициенты отопления (К отопл):
|
№ п/п |
Вид отопления |
К отопл |
|
1 |
2 |
3 |
|
1. |
Центральное отопление |
1,0 |
|
2. |
Местное отопление на газе или мазуте |
0,98 |
|
3. |
Местное водяное отопление на твердом топливе |
0,95 |
|
4. |
Печное отопление |
0,9 |
6. Коэффициент зонирования (К зон), учитывающий месторасположение объекта налогообложения в населенном пункте, утверждается в соответствии с методикой расчета коэффициента зонирования местными исполнительными органами в срок не позднее 1 декабря года, предшествующего году введения такого коэффициента, и вводится в действие с 1 января года, следующего за годом его утверждения.
Утвержденные коэффициенты зонирования подлежат официальному опубликованию.
Методика расчета коэффициента зонирования утверждается уполномоченным государственным органом, определяемым решением Правительства Республики Казахстан из числа центральных государственных органов.
7. Коэффициент изменения месячного расчетного показателя (далее – К изм. мрп) определяется по формуле:
К изм. мрп = мрп тек. г. / мрп предыд. г.,
где:
мрп тек. г. – месячный расчетный показатель, установленный законом о республиканском бюджете и действующий на 1 января соответствующего финансового года;
мрп предыд. г. –месячный расчетный показатель, установленный законом о республиканском бюджете и действующий на 1 января предыдущего финансового года.
8. В случае, когда холодная пристройка, хозяйственная (служебная) постройка, цокольный этаж, подвал жилого дома, гараж являются частью жилища, налоговая база определяется Государственной корпорацией «Правительство для граждан», как совокупная стоимость таких объектов налогообложения, рассчитываемая в соответствии с настоящей статьей.
9. В случае, когда по нескольким объектам налогообложения плательщиком налога является одно физическое лицо, налоговая база рассчитывается отдельно по каждому объекту.
10. По земельным участкам, указанным в подпункте 2) статьи 528 настоящего Кодекса, налоговой базой является площадь земельного участка и (или) земельной доли.
Сноска. Статья 529 с изменениями, внесенными законами РК от 28.12.2018 № 210-VI (вводится в действие с 01.01.2019); от 27.12.2019 № 291-VІ (вводится в действие по истечении десяти календарных дней после дня его первого официального опубликования); от 10.12.2020 № 382-VI (вводится в действие с 01.01.2020); от 20.12.2021 № 85-VII (вводится в действие с 01.01.2022); от 21.12.2022 № 165-VII (вводится в действие с 01.01.2024).
Статья 530. Исчисление и уплата налога в отдельных случаях
По объектам обложения, используемым (подлежащим использованию) в предпринимательской деятельности (в деятельности, связанной с частной практикой), физическое лицо, в том числе лицо, занимающееся частной практикой, исчисляет и уплачивает налог на имущество и представляет налоговую отчетность по данному виду налога в порядке, определенном главами 62, 63 и 64 настоящего Кодекса для индивидуальных предпринимателей, применяющих специальный налоговый режим для субъектов малого бизнеса.
Налоговая база по объектам обложения, указанным в подпункте 1) статьи 528 настоящего Кодекса, определяется в соответствии с пунктом 6 статьи 520 настоящего Кодекса.
При этом для целей настоящей главы земельным участком, используемым (подлежащим использованию) в предпринимательской деятельности, не признается земельный участок при одновременном соблюдении условий, что такой участок:
занят жилищем и другими объектами, налоговая база по которым определяется в соответствии со статьей 529 настоящего Кодекса, и исчисление налога производится налоговыми органами;
предоставлен в аренду (пользование) исключительно для целей проживания и не выведен из жилого фонда.
Сноска. Статья 530 в редакции Закона РК от 10.12.2020 № 382-VI (вводится в действие с 01.01.2020).
Статья 531. Налоговые ставки
1. Налог на имущество физических лиц, налоговая база по которым определяется в соответствии со статьей 529 настоящего Кодекса, исчисляется в зависимости от стоимости объектов налогообложения по следующим ставкам:
|
1 |
2 |
3 |
|
1. |
до 2 000 000 тенге включительно |
0,05 процента от стоимости объектов налогообложения |
|
2. |
свыше 2 000 000 тенге до 4 000 000 тенге включительно |
1 000 тенге + 0,08 процента с суммы, превышающей 2 000 000 тенге |
|
3. |
свыше 4 000 000 тенге до 6 000 000 тенге включительно |
2 600 тенге + 0,1 процента с суммы, превышающей 4 000 000 тенге |
|
4. |
свыше 6 000 000 тенге до 8 000 000 тенге включительно |
4 600 тенге + 0,15 процента с суммы, превышающей 6 000 000 тенге |
|
5. |
свыше 8 000 000 тенге до 10 000 000 тенге включительно |
7 600 тенге + 0,2 процента с суммы, превышающей 8 000 000 тенге |
|
6. |
свыше 10 000 000 тенге до 12 000 000 тенге включительно |
11 600 тенге + 0,25 процента с суммы, превышающей 10 000 000 тенге |
|
7. |
свыше 12 000 000 тенге до 14 000 000 тенге включительно |
16 600 тенге + 0,3 процента с суммы, превышающей 12 000 000 тенге |
|
8. |
свыше 14 000 000 тенге до 16 000 000 тенге включительно |
22 600 тенге + 0,35 процента с суммы, превышающей 14 000 000 тенге |
|
9. |
свыше 16 000 000 тенге до 18 000 000 тенге включительно |
29 600 тенге + 0,4 процента с суммы, превышающей 16 000 000 тенге |
|
10. |
свыше 18 000 000 тенге до 20 000 000 тенге включительно |
37 600 тенге + 0,45 процента с суммы, превышающей 18 000 000 тенге |
|
11. |
свыше 20 000 000 тенге до 75 000 000 тенге включительно |
46 600 тенге + 0,5 процента с суммы, превышающей 20 000 000 тенге |
|
12. |
свыше 75 000 000 тенге до 100 000 000 тенге включительно |
321 600 тенге + 0,6 процента с суммы, превышающей 75 000 000 тенге |
|
13. |
свыше 100 000 000 тенге до 150 000 000 тенге включительно |
471 600 тенге + 0,65 процента с суммы, превышающей 100 000 000 тенге |
|
14. |
свыше 150 000 000 тенге до 350 000 000 тенге включительно |
796 600 тенге + 0,7 процента с суммы, превышающей 150 000 000 тенге |
|
15. |
свыше 350 000 000 тенге до 450 000 000 тенге включительно |
2 196 600 тенге + 0,75 процента с суммы, превышающей 350 000 000 тенге |
|
16. |
свыше 450 000 000 тенге |
2 946 600 тенге + 2 процента с суммы, превышающей 450 000 000 тенге |
2. Базовые налоговые ставки на земли, занятые жилищным фондом, в том числе строениями и сооружениями при нем (за исключением придомовых участков), устанавливаются в расчете на один квадратный метр площади в следующих размерах:
|
№ п/п |
Категория населенного пункта |
Базовые налоговые ставки на земли, занятые жилищным фондом, в том числе строениями и сооружениями при нем (тенге) |
|
1 |
2 |
3 |
|
Города: |
||
|
1. |
Алматы |
0,96 |
|
2. |
Шымкент |
0,58 |
|
3. |
Астана |
0,96 |
|
4. |
Актау |
0,58 |
|
5. |
Актобе |
0,58 |
|
6. |
Атырау |
0,58 |
|
7. |
Жезказган |
0,58 |
|
8. |
Кокшетау |
0,58 |
|
9. |
Караганда |
0,58 |
|
10. |
Қонаев |
0,58 |
|
11. |
Костанай |
0,58 |
|
12. |
Кызылорда |
0,58 |
|
13. |
Уральск |
0,58 |
|
14. |
Усть-Каменогорск |
0,58 |
|
15. |
Павлодар |
0,58 |
|
16. |
Петропавловск |
0,58 |
|
17. |
Семей |
0,58 |
|
18. |
Талдыкорган |
0,58 |
|
19. |
Тараз |
0,58 |
|
20. |
Туркестан |
0,39 |
|
21. |
Алматинская область: |
|
|
22. |
города областного значения |
0,39 |
|
23. |
города районного значения |
0,39 |
|
24. |
Акмолинская область: |
|
|
25. |
города областного значения |
0,39 |
|
26. |
города районного значения |
0,39 |
|
27. |
Остальные города областного значения |
0,39 |
|
28. |
Остальные города районного значения |
0,19 |
|
29. |
Поселки |
0,13 |
|
30. |
Села |
0,09 |
При этом категории населенных пунктов устанавливаются в соответствии с классификатором административно-территориальных объектов, утвержденным уполномоченным государственным органом, осуществляющим государственное регулирование в области технического регулирования.
3. Придомовые земельные участки подлежат налогообложению по следующим базовым налоговым ставкам:
1) для городов республиканского значения, столицы и городов областного значения:
при площади до 1000 квадратных метров включительно – 0,20 тенге за 1 квадратный метр;
на площадь, превышающую 1000 квадратных метров, – 6,00 тенге за 1 квадратный метр.
По решению местных представительных органов ставки налога на земельные участки, превышающие 1000 квадратных метров, могут быть снижены с 6,00 до 0,20 тенге за 1 квадратный метр;
2) для остальных населенных пунктов:
при площади до 5000 квадратных метров включительно – 0,20 тенге за 1 квадратный метр;
на площадь, превышающую 5000 квадратных метров, – 1,00 тенге за 1 квадратный метр.
По решению местных представительных органов ставки налога на земельные участки, превышающие 5000 квадратных метров, могут быть снижены с 1,00 тенге до 0,20 тенге за 1 квадратный метр.
Придомовым земельным участком считается часть земельного участка, относящегося к землям населенных пунктов, предназначенная для обслуживания жилого дома (жилого здания) и не занятая жилым домом (жилым зданием), в том числе строениями и сооружениями при нем.
4. Базовые налоговые ставки на земли сельскохозяйственного назначения, а также земли населенных пунктов, предоставленные физическим лицам для ведения личного домашнего (подсобного) хозяйства, садоводства и дачного строительства, включая земли, занятые под соответствующие постройки, устанавливаются в следующих размерах:
1) при площади до 0,50 гектара включительно – 20 тенге за 0,01 гектара;
2) на площадь, превышающую 0,50 гектара, – 100 тенге за 0,01 гектара.
5. Местные представительные органы на основании проектов (схем) зонирования земель, проводимого в соответствии с земельным законодательством Республики Казахстан, имеют право понижать или повышать базовые налоговые ставки на земли, занятые жилищным фондом, в том числе строениями и сооружениями при нем, не более чем на 50 процентов от базовых ставок земельного налога.
При этом запрещаются понижение или повышение ставок индивидуально для отдельных налогоплательщиков.
Такое решение о понижении или повышении ставок принимается местным представительным органом не позднее 1 декабря года, предшествующего году его введения, и вводится в действие с 1 января года, следующего за годом его принятия.
Решение местного представительного органа о понижении или повышении ставок подлежит официальному опубликованию.
Сноска. Статья 531 в редакции Закона РК от 10.12.2020 № 382-VI (вводится в действие с 01.01.2020); с изменением, внесенным Законом РК от 21.12.2022 № 165-VII (вводится в действие с 01.01.2024).
Статья 532. Порядок исчисления и уплаты налога
1. Исчисление налога по объектам налогообложения физических лиц производится налоговыми органами не позднее 1 июля года, следующего за отчетным налоговым периодом, по месту нахождения объекта налогообложения, независимо от места жительства налогоплательщика, путем применения соответствующей ставки налога к налоговой базе с учетом фактического срока владения на праве собственности по объектам налогообложения физических лиц, права на которые были зарегистрированы до 1 января года, следующего за отчетным налоговым периодом.
1-1. Налог на имущество физических лиц включает суммы налогов, исчисленных отдельно по каждому объекту налогообложения, указанному в статье 528 настоящего Кодекса, за налоговый период.
2. Если в течение налогового периода объект налогообложения находится на праве собственности менее двенадцати месяцев, налог на имущество, подлежащий уплате по таким объектам, рассчитывается путем деления суммы налога, определенной в соответствии с пунктом 1 настоящей статьи, на двенадцать и умножения на количество месяцев фактического периода нахождения объекта налогообложения на праве собственности.
При этом фактический период нахождения объекта на праве собственности определяется с начала налогового периода (в случае если объект находился на праве собственности на такую дату) или с 1 числа месяца, в котором возникло право собственности на объект, до 1 числа месяца, в котором было передано право собственности на такой объект, или до конца налогового периода (в случае если объект находится на праве собственности на такую дату).
3. За объект налогообложения, находящийся в общей долевой собственности нескольких физических лиц, налог исчисляется пропорционально их доле в этом имуществе.
4. При уничтожении, разрушении, сносе объекта налогообложения перерасчет суммы налога производится при наличии документов, выдаваемых уполномоченным государственным органом, подтверждающих факт уничтожения, разрушения, сноса.
5. В случае возникновения или прекращения в течение налогового периода права на применение положений подпунктов 1) – 5) пункта 2 статьи 526 настоящего Кодекса такие положения:
при возникновении права – применяются с 1 числа месяца, в котором такое право возникло, до окончания налогового периода или до 1 числа месяца, в котором такое право прекращается;
при прекращении права – не применяются с 1 числа месяца, в котором такое право прекращается.
6. Если иное не установлено пунктом 7 настоящей статьи, уплата налога производится в бюджет по месту нахождения объектов обложения не позднее 1 октября года, следующего за отчетным налоговым периодом.
7. Сумма налога, подлежащая уплате за фактический период владения объектом налогообложения лицом, передающим право собственности, должна быть внесена в бюджет не позднее дня государственной регистрации права собственности.
При этом в целях исчисления налога на имущество физических лиц в случае, предусмотренном частью первой настоящего пункта, используется налоговая база, определенная за налоговый период, предшествующий году, в котором произведена передача права собственности на объект налогообложения.
8. При изменении границ административно-территориальной единицы налог на имущество физических лиц, находящееся в населенном пункте на территории, которая в результате такого изменения границ переведена в границы другой административно-территориальной единицы, за налоговый период, в котором произведено такое изменение, исчисляется исходя из базовой стоимости, установленной для категории населенного пункта, в границах которого находился данный населенный пункт до даты такого изменения.
9. При переводе в течение налогового года населенного пункта из одной категории поселений в другую налог на имущество за налоговый период, в котором произведен такой перевод, исчисляется по ставкам, установленным для категории населенного пункта, к которой относился данный населенный пункт до такого перевода.
Сноска. Статья 532 с изменениями, внесенными Законом РК от 10.12.2020 № 382-VI (вводится в действие с 01.01.2020).
Статья 533. Налоговый период
1. Налоговым периодом для исчисления налога на имущество физических лиц является календарный год с 1 января по 31 декабря.
2. При уничтожении, разрушении, сносе объектов налогообложения физических лиц в расчет налогового периода включается месяц, в котором произошел факт уничтожения, разрушения, сноса объектов налогообложения.
РАЗДЕЛ 16. НАЛОГ НА ИГОРНЫЙ БИЗНЕС
Глава 66. НАЛОГ НА ИГОРНЫЙ БИЗНЕС
Статья 534. Плательщики
Плательщиками налога на игорный бизнес являются юридические лица, осуществляющие деятельность по оказанию услуг:
1) казино;
2) зала игровых автоматов;
3) тотализатора;
4) букмекерской конторы.
Статья 535. Объекты налогообложения
Объектами обложения налогом на игорный бизнес при осуществлении деятельности в сфере игорного бизнеса являются:
1) игровой стол;
2) игровой автомат;
3) касса тотализатора;
4) электронная касса тотализатора;
5) касса букмекерской конторы;
6) электронная касса букмекерской конторы.
Статья 536. Ставки налога
1. Ставка налога на игорный бизнес с единицы объекта налогообложения составляет на:
1) игровой стол – 1 660-кратный размер месячного расчетного показателя в месяц;
2) игровой автомат – 60-кратный размер месячного расчетного показателя в месяц;
3) кассу тотализатора – 300-кратный размер месячного расчетного показателя в месяц;
4) электронную кассу тотализатора – 4 000-кратный размер месячного расчетного показателя в месяц;
5) кассу букмекерской конторы – 300-кратный размер месячного расчетного показателя в месяц;
6) электронную кассу букмекерской конторы – 3 000-кратный размер месячного расчетного показателя в месяц.
2. Ставки налога, установленные пунктом 1 настоящей статьи, определяются исходя из размера месячного расчетного показателя, установленного законом о республиканском бюджете и действующего на 1 число налогового периода.
Статья 537. Налоговый период
Налоговым периодом для налога на игорный бизнес является календарный квартал.
Статья 538. Порядок исчисления налога
1. Исчисление налога на игорный бизнес производится путем применения соответствующей ставки налога к каждому объекту налогообложения, определенному в статье 535 настоящего Кодекса, если иное не установлено пунктом 2 настоящей статьи.
2. При вводе в эксплуатацию объектов налогообложения до 15 числа месяца включительно налог на игорный бизнес исчисляется по установленной ставке, после 15 числа – в размере 1/2 от установленной ставки.
При выбытии объектов налогообложения до 15 числа месяца включительно налог на игорный бизнес исчисляется в размере 1/2 от установленной ставки, после 15 числа – по установленной ставке.
Статья 539. Дополнительный платеж плательщиков налога на игорный бизнес
Сноска. Статья 539 действовала до 01.01.2020 в соответствии с Законом РК от 25.12.2017 № 121-VI.
Статья 540. Порядок исчисления и уплаты дополнительного платежа
Сноска. Статья 540 действовала до 01.01.2020 в соответствии с Законом РК от 25.12.2017 № 121-VI.
Статья 541. Срок представления налоговой декларации
Декларация по налогу на игорный бизнес представляется не позднее 15 числа второго месяца, следующего за отчетным кварталом, в налоговый орган по месту регистрационного учета в качестве налогоплательщика, осуществляющего отдельные виды деятельности.
Статья 542. Срок уплаты налога
Налог на игорный бизнес подлежит уплате в бюджет по месту регистрации объектов налогообложения не позднее 25 числа второго месяца, следующего за отчетным налоговым периодом.
РАЗДЕЛ 17. ФИКСИРОВАННЫЙ НАЛОГ
Сноска. Раздел 17 действовал до 01.01.2020 в соответствии с Законом РК от 25.12.2017 № 121-VI.
РАЗДЕЛ 18. ПЛАТЕЖИ В БЮДЖЕТ
Глава 68. СБОРЫ
Статья 550. Общие положения о сборах
1. Сборами являются разовые платежи в бюджет, которые взимаются налоговыми органами, местными исполнительными органами и другими уполномоченными государственными органами при совершении:
1) регистрационных действий;
2) действий по выдаче разрешительных документов или их дубликатов.
При этом для целей настоящей главы под разрешительными документами также подразумеваются согласия, выдаваемые уполномоченным органом по регулированию, контролю и надзору финансового рынка и финансовых организаций и документ, подтверждающий резидентство иностранца или лица без гражданства, являющегося инвестиционным резидентом Международного финансового центра «Астана», выдаваемый налоговыми органами в порядке и случаях, которые установлены законодательством Республики Казахстан, не относящиеся к разрешениям.
2. Для целей настоящей главы под регистрационными действиями подразумевается совершение уполномоченными государственными органами в порядке, определенном законодательством Республики Казахстан, следующих действий:
1) государственной регистрации юридических лиц и учетной регистрации филиалов и представительств, а также их перерегистрации;
2) исключен Законом РК от 24.05.2018 № 156-VI (вводится в действие с 01.07.2018);
3) государственной регистрации залога движимого имущества и ипотеки судна;
4) государственной регистрации космических объектов и прав на них;
5) государственной регистрации транспортных средств, а также их перерегистрации;
6) государственной регистрации лекарственных средств и медицинских изделий, а также их перерегистрации;
7) исключен Законом РК от 20.06.2018 № 161-VI (вводится в действие по истечении трех месяцев после дня его первого официального опубликования);
8) постановки на учет теле-радиоканала, периодического печатного издания, информационного агентства и сетевого издания.
9) исключен Законом РК от 02.07.2020 № 354-VI (вводится в действие с 01.01.2021).
3. Сборы взимаются при выдаче соответствующими уполномоченными государственными органами, налоговыми органами, местными исполнительными органами в порядке, определенном законодательством Республики Казахстан, следующих документов или их дубликатов:
1) лицензий на занятие определенными видами деятельности, подлежащими лицензированию в соответствии с законодательством Республики Казахстан;
2) разрешительных документов, согласий для участников банковского и страхового рынков, выдаваемых уполномоченным государственным органом по регулированию, контролю и надзору финансового рынка и финансовых организаций в порядке и случаях, которые установлены законодательством Республики Казахстан;
3) разрешительных документов, выдаваемых за проезд автотранспортных средств по территории Республики Казахстан (далее – сбор за проезд автотранспортных средств по территории Республики Казахстан):
выезд с территории Республики Казахстан отечественных автотранспортных средств, осуществляющих перевозку пассажиров и грузов в международном сообщении;
въезд (выезд) на территорию (с территории) Республики Казахстан, транзит по территории Республики Казахстан иностранных автотранспортных средств, осуществляющих перевозку пассажиров и грузов в международном сообщении;
проезд отечественных и иностранных крупногабаритных и (или) тяжеловесных автотранспортных средств по территории Республики Казахстан;
4) разрешения на использование радиочастотного спектра телевизионным и радиовещательным организациям, выдаваемого уполномоченным государственным органом, осуществляющим реализацию государственной политики в области связи (кроме государственных учреждений, получающих разрешение на использование радиочастотного спектра для исполнения возложенных на них функциональных обязанностей);
5) Исключен Законом РК от 21.12.2022 № 165-VII (вводится в действие с 01.07.2023).
6) разрешения на привлечение иностранной рабочей силы в Республику Казахстан (его продления);
7) документа, подтверждающего резидентство иностранца или лица без гражданства, являющегося инвестиционным резидентом Международного финансового центра «Астана».
3-1. Действовал с 01.04.2023 до 31.12.2023 в соответствии с Законом РК от 25.12.2017 № 121-VI.
4. Уполномоченные государственные органы осуществляющие соответствующие действия, при совершении которых предусмотрено взимание сбора, производят исчисление и начисление сумм сборов в соответствии с законодательством Республики Казахстан, а также несут ответственность за полноту взимания, своевременность уплаты исчисленных (начисленных) сборов в бюджет, а также за достоверность сведений, представляемых органам государственным доходов согласно пункту 5 настоящей статьи.
5. Уполномоченные государственные органы ежеквартально, не позднее 20 числа месяца, следующего за отчетным кварталом, предоставляют налоговому органу по месту своего нахождения (до полной автоматизации передачи) сведения о плательщиках сбора и объектах обложения по форме, установленной уполномоченным органом, за исключением случаев, предусмотренных статьей 26 настоящего Кодекса.
Сноска. Статья 550 с изменениями, внесенными законами РК от 24.05.2018 № 156-VI (вводится в действие с 01.07.2018); от 20.06.2018 № 161-VI (вводится в действие по истечении трех месяцев после дня его первого официального опубликования); от 28.12.2018 № 211-VI (вводится в действие по истечении десяти календарных дней после дня его первого официального опубликования); от 19.04.2019 № 249-VI (вводится в действие с 01.08.2019); от 03.07.2019 № 262-VI (вводится в действие с 01.01.2020); от 02.07.2020 № 354-VI (вводится в действие с 01.01.2021); от 10.12.2020 № 382-VI (вводится в действие с 01.01.2021); от 21.12.2022 № 165-VII (вводится в действие с 01.07.2023).
Статья 551. Плательщики сборов
1. Если иное не установлено настоящей статьей, плательщиками сборов являются лица, а также структурные подразделения юридических лиц, в интересах которых уполномоченные государственные органы совершают действия, при осуществлении которых предусмотрено взимание сборов.
2. Не являются плательщиками сбора за выдачу или продление разрешения на привлечение иностранной рабочей силы в Республику Казахстан лица, привлекающие иностранную рабочую силу, в случаях, определяемых законодательством Республики Казахстан о социальной защите и в области миграции населения.
Сноска. Статья 551 с изменениями, внесенными законами РК от 10.12.2020 № 382-VI (вводится в действие с 01.01.2021); от 12.12.2023 № 45-VIII (вводится в действие с 01.07.2023).
Статья 552. Порядок исчисления и уплаты сборов
1. Суммы сборов исчисляются по установленным ставкам и уплачиваются по месту нахождения плательщика сборов до подачи соответствующих документов в уполномоченный государственный орган и местный исполнительный орган или до получения разрешительных документов.
2. В случае выявления факта проезда автотранспортного средства без оформления соответствующих разрешительных документов, а также с нарушением допустимых параметров автотранспортного средства, установленных уполномоченным государственным органом, осуществляющим руководство в области автомобильного транспорта, сумма сбора за проезд автотранспортного средства по территории Республики Казахстан уплачивается в бюджет в срок не позднее пяти рабочих дней со дня выявления такого факта.
3. Уплата в бюджет суммы сбора за проезд автотранспортных средств по территории Республики Казахстан производится путем перечисления через банки или организации, осуществляющие отдельные виды банковских операций, либо путем внесения наличными деньгами на контрольно-пропускных пунктах либо в иных специально оборудованных местах уполномоченного государственного органа на основании бланков строгой отчетности по форме, установленной уполномоченным органом.
Принятые наличными деньгами суммы сбора за проезд автотранспортных средств по территории Республики Казахстан сдаются уполномоченным государственным органом, осуществляющим руководство в области автомобильного транспорта, в банки или организации, осуществляющие отдельные виды банковских операций, ежедневно, не позднее следующего операционного дня со дня, в который был осуществлен прием денег, для последующего зачисления их в бюджет. В случае, если ежедневные поступления наличных денег составляют менее 10-кратного размера месячного расчетного показателя, установленного законом о республиканском бюджете и действующего на дату уплаты сбора, зачисление денег осуществляется один раз в три операционных дня со дня, в который был осуществлен прием денег.
При уплате физическими лицами суммы сбора за проезд автотранспортных средств по территории Республики Казахстан наличными деньгами на бланках строгой отчетности проставляется бизнес-идентификационный номер уполномоченного государственного органа.
4. Сбор за выдачу или продление разрешения работодателям на привлечение иностранной рабочей силы в Республику Казахстан взимается в течение десяти рабочих дней со дня получения уведомления местного исполнительного органа области, города республиканского значения, столицы о принятии решения о выдаче либо продлении разрешения работодателям на привлечение иностранной рабочей силы в Республику Казахстан в порядке, определяемом законодательством Республики Казахстан о социальной защите и в области миграции населения.
5. Сбор за выдачу документа, подтверждающего резидентство иностранца или лица без гражданства, являющегося инвестиционным резидентом Международного финансового центра «Астана», уплачивается по месту нахождения Международного финансового центра «Астана» до подачи соответствующих документов в налоговый орган.
Сноска. Статья 552 с изменениями, внесенными законами РК от 10.12.2020 № 382-VI (вводится в действие с 01.01.2021); от 20.12.2021 № 85-VII (вводится в действие с 01.01.2022); от 12.12.2023 № 45-VIII (вводится в действие с 01.07.2023); от 21.12.2022 № 165-VII (вводится в действие с 01.07.2023).
Статья 553. Ставки регистрационных сборов
1. Ставки регистрационных сборов определяются в размере, кратном месячному расчетному показателю, установленному законом о республиканском бюджете (далее по тексту настоящей главы – МРП) и действующему на дату уплаты таких сборов.
2. Ставки сбора за государственную (учетную) регистрацию юридических лиц, их филиалов и представительств, за исключением коммерческих организаций, а также их перерегистрацию составляют:
|
№ |
Виды регистрационных действий |
Ставки (МРП) |
|
1 |
2 |
3 |
|
1. |
За государственную регистрацию (перерегистрацию), государственную регистрацию прекращения деятельности юридических лиц (в том числе при реорганизации в случаях, предусмотренных законодательством Республики Казахстан), учетную регистрацию (перерегистрацию), снятие с учетной регистрации их филиалов и представительств, за исключением коммерческих организаций: |
|
|
1.1. |
юридических лиц, их филиалов и представительств |
6,5 |
|
1.2. |
политических партий, их филиалов и представительств |
14 |
|
2. |
За государственную регистрацию (перерегистрацию), государственную регистрацию прекращения деятельности (в том числе при реорганизации в случаях, предусмотренных законодательством Республики Казахстан) учреждений, финансируемых из средств бюджета, казенных предприятий, объединений собственников имущества многоквартирного жилого дома и кооператива собственников квартир (нежилых помещений), учетную регистрацию (перерегистрацию), снятие с учетной регистрации их филиалов и представительств: |
|
|
2.1. |
за государственную регистрацию, регистрацию прекращения деятельности, учетную регистрацию, снятие с учетной регистрации |
1 |
|
2.2. |
за перерегистрацию |
0,5 |
|
3. |
За государственную регистрацию (перерегистрацию), государственную регистрацию прекращения деятельности (в том числе при реорганизации в случаях, предусмотренных законодательством Республики Казахстан) детских и молодежных общественных объединений, а также общественных объединений лиц с инвалидностью, учетную регистрацию (перерегистрацию), снятие с учетной регистрации их филиалов и представительств, филиалов республиканских и региональных национально-культурных общественных объединений: |
|
|
3.1. |
за регистрацию (в том числе при реорганизации в случаях, предусмотренных законодательством Республики Казахстан) |
2 |
|
3.2. |
за перерегистрацию, государственную регистрацию прекращения деятельности (в том числе при реорганизации в случаях, предусмотренных законодательством Республики Казахстан), снятие с учетной регистрации |
1 |
3. Ставки сбора составляют:
|
№ |
Виды регистрационных действий |
Ставки |
|
1 |
2 |
3 |
|
1. – 16. |
Исключены Законом РК от 24.05.2018 № 156-VI (вводится в действие с 01.07.2018) |
|
|
17. |
За государственную регистрацию залога движимого имущества и ипотеки судна: |
|
|
17.1. |
за регистрацию залога движимого имущества и ипотеки судна, а также изменений, дополнений и прекращения зарегистрированного залога: |
|
|
17.1.1. |
с физических лиц** |
1 |
|
17.1.2. |
с юридических лиц |
5 |
|
17.1.3. |
с организации, специализирующейся на улучшении качества кредитных портфелей банков второго уровня, единственным акционером которой является Правительство Республики Казахстан |
0 |
|
17.2. |
за выдачу дубликата документа, удостоверяющего государственную регистрацию залога движимого имущества и ипотеки судна ** |
0,5 |
Примечание.
Нулевая ставка применяется при государственной регистрации:
1) исключен Законом РК от 24.05.2018 № 156-VI (вводится в действие с 01.07.2018);
2) залога движимого имущества, ипотеки судна или строящегося судна следующих лиц: **
ветеранов Великой Отечественной войны, ветеранов, приравненных по льготам к ветеранам Великой Отечественной войны, и ветеранов боевых действий на территории других государств, лиц, награжденных орденами и медалями бывшего Союза ССР за самоотверженный труд и безупречную воинскую службу в тылу в годы Великой Отечественной войны, лиц, проработавших (прослуживших) не менее шести месяцев с 22 июня 1941 года по 9 мая 1945 года и не награжденных орденами и медалями бывшего Союза ССР за самоотверженный труд и безупречную воинскую службу в тылу в годы Великой Отечественной войны, лиц с инвалидностью, а также одного из родителей лица с инвалидностью с детства, ребенка с инвалидностью;
кандасов.
4. Ставки сбора за государственную регистрацию космических объектов и прав на них, транспортных средств, а также их перерегистрацию составляют:
|
№п/п |
Виды регистрационных действий |
Ставки(МРП) |
|
1 |
2 |
3 |
|
1. |
За государственную регистрацию: |
|
|
1.1. |
механического транспортного средства (кроме транспортного средства, в отношении которого производится первичная государственная регистрация) или прицепа |
0,25 |
|
1.2. |
морских судов |
60 |
|
1.3. |
речных судов |
15 |
|
1.4. |
судов маломерного флота: |
|
|
1.4.1. |
самоходных маломерных судов мощностью свыше 50 лошадиных сил (37 кВт) |
3 |
|
1.4.2. |
самоходных маломерных судов мощностью до 50 лошадиных сил (37 кВт) |
2 |
|
1.4.3. |
несамоходных маломерных судов |
1,5 |
|
1.5. |
Исключен Законом РК от 21.12.2022 № 165-VII (вводится в действие с 01.07.2023). |
|
|
1.6. |
космических объектов и прав на них |
14 |
|
1.7. |
городского рельсового транспорта |
0,25 |
|
1.8. |
железнодорожного тягового, а также моторвагонного подвижного состава |
0,25 |
|
2. |
За перерегистрацию: |
|
|
2.1. |
механического транспортного средства или прицепа |
0,25 |
|
2.2. |
морских судов |
30 |
|
2.3. |
речных судов |
7,5 |
|
2.4. |
судов маломерного флота: |
|
|
2.4.1. |
самоходных маломерных судов мощностью свыше 50 лошадиных сил (37 кВт) |
1,5 |
|
2.4.2. |
самоходных маломерных судов мощностью до 50 лошадиных сил (37 кВт) |
1 |
|
2.4.3. |
несамоходных маломерных судов |
0,75 |
|
2.5. |
Исключен Законом РК от 21.12.2022 № 165-VII (вводится в действие с 01.07.2023). |
|
|
2.6. |
городского рельсового транспорта |
0,25 |
|
2.7. |
железнодорожного тягового, а также моторвагонного подвижного состава |
0,25 |
|
3. |
За выдачу дубликата документа, удостоверяющего государственную регистрацию: |
|
|
3.1. |
механического транспортного средства или прицепа |
0,25 |
|
3.2. |
морских судов |
15 |
|
3.3. |
речных судов |
3,75 |
|
3.4. |
судов маломерного флота: |
|
|
3.4.1. |
самоходных маломерных судов мощностью свыше 50 лошадиных сил (37 кВт) |
0,75 |
|
3.4.2. |
самоходных маломерных судов мощностью до 50 лошадиных сил (37 кВт) |
0,5 |
|
3.4.3. |
несамоходных маломерных судов |
0,38 |
|
3.5. |
Исключен Законом РК от 21.12.2022 № 165-VII (вводится в действие с 01.07.2023). |
|
|
3.6. |
городского рельсового транспорта |
0,25 |
|
3.7. |
железнодорожного тягового, а также моторвагонного подвижного состава |
0,25 |
|
4. |
За первичную государственную регистрацию механических транспортных средств: |
|
|
4.1. |
транспортные средства категории М1 с электродвигателями, за исключением гибридных транспортных средств: |
|
|
4.1.1. |
до 2 лет, включая год выпуска |
0,25 |
|
4.1.2. |
от 2 до 3 лет, включая год выпуска |
25 |
|
4.1.3. |
от 3 лет и выше, включая год выпуска |
250 |
|
4.2. |
транспортные средства категории М1, за исключением транспортных средств с электродвигателями: |
|
|
4.2.1. |
до 2 лет, включая год выпуска |
0,25 |
|
4.2.2. |
от 2 до 3 лет, включая год выпуска |
50 |
|
4.2.3. |
от 3 лет и выше, включая год выпуска |
500 |
|
4.3. |
транспортные средства категории М2, М3, N1, N2, N3 (за исключением седельных тягачей): |
|
|
4.3.1. |
до 2 лет, включая год выпуска |
0,25 |
|
4.3.2. |
от 2 до 3 лет, включая год выпуска |
240 |
|
4.3.3. |
от 3 до 5 лет, включая год выпуска |
350 |
|
4.3.4. |
от 5 лет и выше, включая год выпуска |
2500 |
|
4.4. |
транспортные средства категории N3 (седельные тягачи): |
|
|
4.4.1. |
до 2 лет, включая год выпуска |
0,25 |
|
4.4.2. |
от 2 до 3 лет, включая год выпуска |
240 |
|
4.4.3. |
от 3 до 7 лет, включая год выпуска |
350 |
|
4.4.4. |
от 7 лет и выше, включая год выпуска |
2500 |
5. Ставки сбора за государственную регистрацию лекарственных средств и медицинских изделий, а также их перерегистрацию составляют:
|
№ |
Виды регистрационных действий |
Ставки |
|
1 |
2 |
3 |
|
1. |
За регистрацию лекарственных средств и медицинских изделий |
11 |
|
2. |
За перерегистрацию лекарственных средств и медицинских изделий |
5 |
|
3. |
За выдачу дубликата документа, удостоверяющего государственную регистрацию |
0,7 |
6. Исключен Законом РК от 20.06.2018 № 161-VI (вводится в действие по истечении трех месяцев после дня его первого официального опубликования).
7. Ставки сбора за постановку на учет теле-, радиоканала, периодического печатного издания, интернет-издания составляют:
|
№ п/п |
Виды регистрационных действий |
Ставки |
|
1 |
2 |
3 |
|
1. |
Постановка на учет теле-, радиоканала, периодического печатного издания, интернет-издания: |
|
|
1.1. |
детской и научной тематики |
2 |
|
1.2. |
иной тематики |
5 |
|
2. |
Выдача дубликата документа, удостоверяющего постановку на учет периодического печатного издания, интернет-издания: |
|
|
2.1. |
детской и научной тематики |
1,6 |
|
2.2. |
иной тематики |
4 |
8. Исключен Законом РК от 02.07.2020 № 354-VI (вводится в действие с 01.01.2021).
Сноска. Статья 553 с изменениями, внесенными законами РК от 24.05.2018 № 156-VI (вводится в действие с 01.07.2018); от 20.06.2018 № 161-VI (вводится в действие по истечении трех месяцев после дня его первого официального опубликования); от 28.12.2018 № 211-VI (вводится в действие по истечении десяти календарных дней после дня его первого официального опубликования); от 02.04.2019 № 241-VI (вводится в действие с 01.07.2019); от 19.04.2019 № 249-VI (вводится в действие по истечении десяти календарных дней после дня его первого официального опубликования); от 03.07.2019 № 262-VI (вводится в действие с 01.01.2020); от 26.12.2019 № 284-VІ (порядок введения в действие см. ст. 2); от 06.05.2020 № 324-VІ (вводится в действие по истечении десяти календарных дней после дня его первого официального опубликования); от 02.07.2020 № 354-VI (порядок введения в действие см. ст. 2); от 10.12.2020 № 382-VI (порядок введения в действие см. ст. 2); от 21.12.2022 № 165-VII (вводится в действие с 01.07.2023); от 01.07.2024 № 105-VIII (вводится в действие после дня введения в действие Закона Республики Казахстан «О масс-медиа»); от 15.07.2025 № 208-VIII (вводится в действие по истечении шестидесяти календарных дней после дня его первого официального опубликования).
Статья 554. Ставки сборов за выдачу разрешительных документов
1. Ставки сборов за выдачу разрешительных документов определяются в размере, кратном МРП, установленному законом о республиканском бюджете и действующему на дату уплаты таких сборов.
2. Ставки сбора за проезд автотранспортных средств по территории Республики Казахстан составляют:
1) за выезд с территории Республики Казахстан отечественных автотранспортных средств, осуществляющих перевозку:
пассажиров и грузов в международном сообщении, – 1-кратный размер МРП;
пассажиров и багажа в международном сообщении на регулярной основе, с получением согласно международным договорам Республики Казахстан иностранного разрешения на один календарный год – 10-кратный размер МРП;
2) за въезд (выезд) на территорию (с территории) Республики Казахстан, транзит по территории Республики Казахстан иностранных автотранспортных средств, осуществляющих перевозку пассажиров и грузов в международном сообщении, – 30-кратный размер МРП;
3) за проезд отечественных и иностранных крупногабаритных и (или) тяжеловесных автотранспортных средств по территории Республики Казахстан – в размерах, установленных пунктом 3 настоящей статьи.
3. Ставки сбора за проезд отечественных и иностранных крупногабаритных и (или) тяжеловесных автотранспортных средств по территории Республики Казахстан составляют:
1) за превышение общей фактической массы автотранспортного средства (с грузом или без груза) над допускаемой общей массой – 0,005-кратный размер МРП за каждую тонну (включая неполную) превышения.
Сумма сбора за превышение общей фактической массы автотранспортного средства (с грузом или без груза) над допускаемой общей массой определяется путем умножения указанной ставки сбора на размер такого превышения и на соответствующее расстояние перевозки по маршруту (в километрах);
2) за превышение фактических осевых нагрузок автотранспортного средства (с грузом или без груза) над допускаемыми осевыми нагрузками (за каждые перегруженные одиночные, сдвоенные и утроенные оси):
|
№ |
Фактическое превышение над допускаемыми осевыми нагрузками, в % |
Тариф за превышение над допускаемыми осевыми нагрузками |
|
1 |
2 |
3 |
|
1. |
до 10 % включительно |
0,011 |
|
2. |
от 10,0 % до 20,0 % включительно |
0,014 |
|
3. |
от 20,0 % до 30,0 % включительно |
0,190 |
|
4. |
от 30,0 % до 40,0 % включительно |
0,380 |
|
5. |
от 40,0 % до 50,0% включительно |
0,500 |
|
6. |
свыше 50,0% |
1 |
Сумма сбора определяется путем умножения ставки, соответствующей размеру фактического превышения над допускаемыми осевыми нагрузками, на расстояние перевозки по маршруту (в километрах);
3) за превышение габаритов автотранспортного средства (с грузом или без груза) над допустимыми габаритными параметрами по высоте, ширине и длине автотранспортных средств:
|
№ |
Габаритные параметры |
Ставки за превышение допустимых габаритных параметров (МРП) |
|
1 |
2 |
3 |
|
1. |
Высота: |
|
|
1.1. |
свыше 4 до 4,5 |
0,009 |
|
1.2. |
свыше 4,5 до 5 включительно |
0,018 |
|
1.3. |
свыше 5 |
0,036 |
|
2. |
Ширина: |
|
|
2.1. |
свыше 2,55 (2,6 для изометрических кузовов) до 3 включительно |
0,009 |
|
2.2. |
свыше 3 до 3,75 включительно |
0,019 |
|
2.3. |
свыше 3,75 |
0,038 |
|
3. |
Длина: |
|
|
3.1. |
за каждый метр (включая неполный), превышающий допустимую длину |
0,004 |
Сумма сбора за превышение габаритов автотранспортного средства (с грузом или без груза) над допустимыми габаритными параметрами по высоте, ширине и длине автотранспортных средств определяется в следующем порядке:
сумма сбора за превышение габаритов автотранспортного средства (с грузом или без груза) над допустимыми габаритными параметрами по высоте, полученная путем умножения ставки, соответствующей фактическому габаритному размеру автотранспортного средства по высоте, на расстояние перевозки по маршруту (в километрах),
плюс
сумма сбора за превышение габаритов автотранспортного средства (с грузом или без груза) над допустимыми габаритными параметрами по ширине, полученная путем умножения ставки, соответствующей фактическому габаритному размеру автотранспортного средства по ширине, на расстояние перевозки по маршруту (в километрах),
плюс
сумма сбора за превышение габаритов автотранспортного средства (с грузом или без груза) над допустимыми габаритными параметрами по длине, полученная путем умножения ставки, соответствующей фактическому габаритному размеру автотранспортного средства по длине, на расстояние перевозки по маршруту (в километрах).
4. Ставки лицензионного сбора за право занятия отдельными видами деятельности (сбора за выдачу лицензий на занятие отдельными видами деятельности) составляют:
|
№ |
Виды лицензируемой деятельности |
Ставки сбора |
|
1 |
2 |
3 |
|
1. |
Ставки лицензионного сбора за право занятия отдельными видами деятельности: |
|
|
1.1. |
Исключена Законом РК от 10.12.2020 № 382-VI (вводится в действие с 01.01.2021). |
|
|
1.2. |
Исключена Законом РК от 10.12.2020 № 382-VI (вводится в действие с 01.01.2021). |
|
|
1.3. |
Эксплуатация горных и химических производств |
10 |
|
1.4. |
Покупка электрической энергии в целях энергоснабжения |
10 |
|
1.5. |
Выполнение работ, связанных с этапами жизненного цикла объектов использования атомной энергии |
100 |
|
1.6. |
Обращение с ядерными материалами |
50 |
|
1.7. |
Обращение с радиоактивными веществами, приборами и установками, содержащими радиоактивные вещества |
10 |
|
1.8. |
Обращение с приборами и установками, генерирующими ионизирующее излучение |
5 |
|
1.9. |
Предоставление услуг в области использования атомной энергии |
5 |
|
1.10. |
Обращение с радиоактивными отходами |
50 |
|
1.11. |
Транспортировка, включая транзитную, ядерных материалов, радиоактивных веществ, радиоизотопных источников ионизирующего излучения, радиоактивных отходов в пределах территории Республики Казахстан |
50 |
|
1.12. |
Деятельность на территориях бывших испытательных ядерных полигонов и других территориях, загрязненных в результате проведенных ядерных испытаний |
10 |
|
1.13. |
Исключена Законом РК от 10.12.2020 № 382-VI (вводится в действие с 01.01.2021). |
|
|
1.14. |
Исключена Законом РК от 10.12.2020 № 382-VI (вводится в действие с 01.01.2021). |
|
|
1.15. |
Производство, переработка, приобретение, хранение, реализация, использование, уничтожение ядов |
10 |
|
1.16. |
Производство (формуляция) пестицидов, реализация пестицидов, применение пестицидов аэрозольным и фумигационным способами |
10 |
|
1.17. |
Нерегулярная перевозка пассажиров автобусами, микроавтобусами в междугородном межобластном, межрайонном (междугородном внутриобластном) и международном сообщениях, а также регулярная перевозка пассажиров автобусами, микроавтобусами в международном сообщении |
3 |
|
1.18. |
Деятельность по перевозке грузов железнодорожным транспортом |
6 |
|
1.19. |
Деятельность, связанная с оборотом наркотических средств, психотропных веществ и прекурсоров |
20 |
|
1.20. |
Разработка и реализация (в том числе иная передача) средств криптографической защиты информации |
9 |
|
1.21. |
Разработка, производство, ремонт и реализация специальных технических средств, предназначенных для проведения оперативно-розыскных мероприятий |
20 |
|
1.22. |
Оказание услуг по выявлению технических каналов утечки информации и специальных технических средств, предназначенных для проведения оперативно-розыскных мероприятий |
20 |
|
1.23. |
Выдача заключения (разрешительного документа) на ввоз на таможенную территорию Евразийского экономического союза и вывоз с таможенной территории Евразийского экономического союза специальных технических средств, предназначенных для негласного получения информации |
0 |
|
1.24. |
Выдача заключения (разрешительного документа) на ввоз на таможенную территорию Евразийского экономического союза и вывоз с таможенной территории Евразийского экономического союза шифровальных (криптографических) средств |
0 |
|
1.25. |
Проведение технического исследования на предмет отнесения товаров к средствам криптографической защиты информации и специальным техническим средствам, предназначенным для проведения оперативно-розыскных мероприятий |
0 |
|
1.26. |
Регистрация нотификаций о характеристиках товаров (продукции), содержащих шифровальные (криптографические) средства |
0 |
|
1.27. |
Разработка, производство, ремонт, приобретение и реализация боеприпасов, вооружения и военной техники, запасных частей, комплектующих изделий и приборов к ним, а также специальных материалов и оборудования для их производства, включая монтаж, наладку, модернизацию, установку, использование, хранение, ремонт и сервисное обслуживание |
22 |
|
1.28. |
Разработка, производство, приобретение, реализация, хранение взрывчатых и пиротехнических (за исключением гражданских) веществ и изделий с их применением |
22 |
|
1.29. |
Ликвидация (уничтожение, утилизация, захоронение) и переработка высвобождаемых боеприпасов, вооружения, военной техники, специальных средств |
22 |
|
1.30. |
Разработка, производство, ремонт, торговля, коллекционирование, экспонирование гражданского и служебного оружия и патронов к нему |
10 |
|
1.31. |
Разработка, производство, торговля, использование гражданских пиротехнических веществ и изделий с их применением |
10 |
|
1.32. |
Деятельность в сфере использования космического пространства |
186 |
|
1.33. |
Предоставление услуг в области связи |
6 |
|
1.34. |
Образовательная деятельность |
10 |
|
1.35. |
Деятельность по распространению теле-, радиоканалов |
6 |
|
1.36. |
Исключен Законом РК от 24.06. 2021 № 53-VII (вводится в действие с 01.01.2022). |
|
|
1.37. |
Медицинская деятельность |
10 |
|
1.38. |
Фармацевтическая деятельность |
10 |
|
1.39. |
Адвокатская деятельность |
6 |
|
1.40. |
Нотариальная деятельность |
6 |
|
1.41. |
Деятельность по исполнению исполнительных документов |
6 |
|
1.42. |
Исключена Законом РК от 21.01.2019 № 217-VI (вводится в действие по истечении десяти календарных дней после дня его первого официального опубликования) |
|
|
1.43. |
Исключена Законом РК от 21.01.2019 № 217-VI (вводится в действие по истечении десяти календарных дней после дня его первого официального опубликования) |
|
|
1.44. |
Аудиторская деятельность |
10 |
|
1.45. |
Выполнение работ и оказание услуг в области охраны окружающей среды |
50 |
|
1.46. |
Осуществление охранной деятельности юридическими лицами |
6 |
|
1.47. |
Туроператорская деятельность |
10 |
|
1.48. |
Деятельность в области ветеринарии |
6 |
|
1.49. |
Судебно-экспертная деятельность |
6 |
|
1.50. |
Осуществление научно-реставрационных работ на памятниках истории и культуры и (или) археологических работ |
10 |
|
1.51. |
Банковские операции, осуществляемые *: |
|
|
1.51.1. |
банками второго уровня, филиалами банков – нерезидентов Республики Казахстан |
800 |
|
1.51.2. |
организациями, осуществляющими отдельные виды банковских операций |
400 |
|
1.52. |
Операции банков, филиалов банков – нерезидентов Республики Казахстан по осуществлению профессиональной деятельности на рынке ценных бумаг |
800 |
|
1.53. |
Иные операции, осуществляемые банками, филиалами банков – нерезидентов Республики Казахстан |
800 |
|
1.53.1. |
Микрофинансовая деятельность |
30 |
|
1.54. |
Операции юридических лиц, осуществляющих деятельность исключительно через обменные пункты на основании лицензии Национального Банка Республики Казахстан на обменные операции с наличной иностранной валютой |
40 |
|
1.55. |
Деятельность в сфере страхования жизни** |
500 |
|
1.56. |
Деятельность в сфере общего страхования** |
500 |
|
1.57. |
Деятельность по перестрахованию как исключительный вид деятельности |
500 |
|
1.58. |
Деятельность по перестрахованию |
200 |
|
1.59. |
Деятельность страхового брокера |
300 |
|
1.60. |
Актуарная деятельность |
10 |
|
1.61. |
Брокерская деятельность |
30 |
|
1.62. |
Дилерская деятельность |
30 |
|
1.63. |
Деятельность по управлению инвестиционным портфелем |
30 |
|
1.64. |
Кастодиальная деятельность |
30 |
|
1.65. |
Трансферагентская деятельность |
10 |
|
1.66. |
Деятельность по организации торговли с ценными бумагами и иными финансовыми инструментами |
10 |
|
1.67. |
Клиринговая деятельность по сделкам с финансовыми инструментами |
40 |
|
1.68. |
Изыскательская деятельность |
10 |
|
1.69. |
Строительно-монтажные работы |
10 |
|
1.70. |
Проектная деятельность |
10 |
|
1.71. |
Деятельность по организации строительства жилых зданий за счет привлечения денег дольщиков |
10 |
|
1.72. |
Изготовление Государственного Флага Республики Казахстан и Государственного Герба Республики Казахстан |
10 |
|
1.73. |
Производство этилового спирта |
3 000 |
|
1.74. |
Производство алкогольной продукции, кроме пивоваренной продукции |
3 000 |
|
1.75. |
Производство пивоваренной продукции |
2 000 |
|
1.76. |
Хранение и оптовая реализация алкогольной продукции, за исключением деятельности по хранению и оптовой реализации алкогольной продукции на территории ее производства, за каждый объект деятельности |
200 |
|
1.77. |
Хранение и розничная реализация алкогольной продукции, за исключением деятельности по хранению и розничной реализации алкогольной продукции на территории ее производства, за каждый объект деятельности для субъектов, осуществляющих деятельность: |
|
|
1.77.1. |
в столице, городах республиканского и областного значения |
100 |
|
1.77.2. |
в городах районного значения и поселках |
70 |
|
1.77.3. |
в сельских населенных пунктах |
30 |
|
1.78. |
Производство табачных изделий |
500 |
|
1.79. |
Экспорт и импорт товаров |
10 |
|
1.80. |
Экспорт и импорт продукции, подлежащей экспортному контролю |
10 |
|
1.81. |
Оказание услуг по складской деятельности с выпуском зерновых расписок |
10 |
|
1.82. |
Деятельность в сфере игорного бизнеса: |
|
|
1.82.1. |
для казино и зала игровых автоматов |
3 845 |
|
1.82.2. |
для тотализатора и букмекерской конторы |
640 |
|
1.83. |
Деятельность в сфере товарных бирж: |
|
|
1.83.1. |
для товарной биржи |
10 |
|
1.83.2. |
Исключена Законом РК от 02.04.2019 № 241-VI (вводится в действие по истечении десяти календарных дней после дня его первого официального опубликования) |
|
|
1.83.3. |
Исключена Законом РК от 02.04.2019 № 241-VI (вводится в действие по истечении десяти календарных дней после дня его первого официального опубликования) |
|
|
1.84. |
Исключена Законом РК от 18.03.2019 № 237-VI (вводится в действие с 01.01.2020) |
|
|
1.85. |
Оказание услуг по дезинфекции, дезинсекции и дератизации в области здравоохранения |
10 |
|
1.86. |
I подвид – осуществление деятельности по цифровому майнингу цифровым майнером, имеющим на праве собственности или других законных основаниях центр обработки данных цифрового майнинга |
2 000 |
|
1.87. |
II подвид – осуществление деятельности по цифровому майнингу цифровым майнером, не имеющим на праве собственности или других законных основаниях центр обработки данных цифрового майнинга и осуществляющим цифровой майнинг с использованием принадлежащего ему на праве собственности аппаратно-программного комплекса для цифрового майнинга, размещенного в центре обработки данных цифрового майнинга |
5 |
|
2. |
Ставки сбора за выдачу дубликата лицензии: |
|
|
2.1. |
на все виды деятельности, за исключением указанных в пунктах 1.51. – 1.53.1., 1.55. – 1.59., 1.79. – 1.80. |
100 % от соответствующей ставки, установленной в пункте 1 настоящей таблицы |
|
2.2. |
на виды деятельности, указанные в пунктах 1.51. – 1.53.1., 1.55. – 1.59. |
10 % от соответствующей ставки, установленной в пункте 1 настоящей таблицы |
|
2.3. |
на виды деятельности, указанные в пунктах 1.79. – 1.80. |
1 |
|
3. |
Ставки за переоформление лицензий: |
|
|
3.1. |
за все виды лицензий, за исключением переоформления лицензии на экспорт и импорт товаров, а также на экспорт и импорт продукции, подлежащей экспортному контролю |
10% от соответствующей ставки, установленной в пункте 1 настоящей таблицы |
|
3.2. |
за переоформление лицензии на экспорт и импорт товаров, а также на экспорт и импорт продукции, подлежащей экспортному контролю |
1 |
Примечание.
* За каждую банковскую операцию; ** за каждый класс страхования.
4-1. Ставки лицензионного сбора за выдачу лицензии, связанной с правом занятия отдельными подвидами деятельности в сфере углеводородов, составляют:
|
№п/п |
Подвиды лицензируемой деятельности |
Ставки сбора (МРП) |
|
1 |
2 |
3 |
|
1. |
Ставки лицензионного сбора за право занятия отдельными подвидами деятельности: |
|
|
1.1. |
промысловые исследования при разведке и добыче углеводородов |
100 |
|
1.2. |
сейсморазведочные работы при разведке и добыче углеводородов |
100 |
|
1.3. |
геофизические работы при разведке и добыче углеводородов |
100 |
|
1.4. |
прострелочно-взрывные работы в скважинах при разведке и добыче углеводородов |
100 |
|
1.5. |
бурение скважин на суше, на море и на внутренних водоемах при разведке и добыче углеводородов |
100 |
|
1.6. |
подземный ремонт, испытание, освоение, опробование, консервация, ликвидация скважин при разведке и добыче углеводородов. |
100 |
|
1.7. |
цементация скважин при разведке и добыче углеводородов |
100 |
|
1.8. |
повышение нефтеотдачи нефтяных пластов и увеличение производительности скважин при разведке и добыче углеводородов |
100 |
|
1.9. |
работы по предотвращению и ликвидации разливов на месторождениях углеводородов на море |
100 |
|
1.10. |
эксплуатация нефтегазохимических производств |
100 |
|
1.11. |
составление базовых проектных документов для месторождений углеводородов и анализ разработки месторождений углеводородов |
100 |
|
1.12. |
составление технических проектных документов для месторождений углеводородов |
100 |
|
1.13. |
эксплуатация магистральных трубопроводов |
100 |
|
2. |
ставка за переоформление лицензий на подвиды деятельности, указанные в пунктах 1.1 – 1.13 (при электронной подаче заявления на получение лицензии) |
8% от ставки при выдаче лицензии |
|
3. |
ставки сбора за выдачу дубликата лицензии |
80% от ставки при выдаче лицензии |
5. Ставки сбора за выдачу разрешения на использование радиочастотного спектра телевизионным и радиовещательным организациям составляют:
1) для телевидения с метровым диапазоном радиочастот:
|
№ |
Численность населения |
Мощность передающего средства (Вт) |
Ставка сбора за один канал (МРП) |
|
1 |
2 |
3 |
4 |
|
1. |
до 10 включительно |
до 100 включительно |
20 |
|
2. |
от 10 до 50 включительно |
до 500 включительно |
41 |
|
3. |
от 10 до 50 включительно |
свыше 500 |
83 |
|
4. |
от 50 до 100 включительно |
до 1000 включительно |
124 |
|
5. |
от 50 до 100 включительно |
свыше 1000 |
249 |
|
6. |
от 100 до 200 включительно |
до 1000 включительно |
290 |
|
7. |
от 100 до 200 включительно |
свыше 1000 |
435 |
|
8. |
от 200 до 500 включительно |
до 2000 включительно |
828 |
|
9. |
от 200 до 500 включительно |
свыше 2000 |
1243 |
|
10. |
свыше 500 |
до 5000 включительно |
2367 |
|
11. |
свыше 500 |
свыше 5000 |
3550 |
2) для телевидения с дециметровым диапазоном радиочастот:
|
№ |
Численность населения |
Мощность передающего средства (Вт) |
Ставка сбора за один канал (МРП) |
|
1 |
2 |
3 |
4 |
|
1. |
до 10 включительно |
до 100 включительно |
13 |
|
2. |
от 10 до 50 включительно |
до 500 включительно |
26 |
|
3. |
от 10 до 50 включительно |
свыше 500 |
52 |
|
4. |
от 50 до 100 включительно |
до 1000 включительно |
78 |
|
5. |
от 50 до 100 включительно |
свыше 1000 |
155 |
|
6. |
от 100 до 200 включительно |
до 1000 включительно |
181 |
|
7. |
от 100 до 200 включительно |
свыше 1000 |
272 |
|
8. |
от 200 до 500 включительно |
до 2000 включительно |
518 |
|
9. |
от 200 до 500 включительно |
свыше 2000 |
777 |
|
10. |
свыше 500 |
до 5000 включительно |
1479 |
|
11. |
свыше 500 |
свыше 5000 |
2219 |
3) для радиовещания с УКВ ЧМ (FM) – диапазоном радиочастот:
|
№ |
Численность населения |
Мощность передающего средства (Вт) |
Ставка сбора за один канал (МРП) |
|
1 |
2 |
3 |
4 |
|
1. |
до 10 включительно |
до 100 |
5 |
|
2. |
от 10 до 50 включительно |
до 500 включительно |
9 |
|
3. |
от 10 до 50 включительно |
свыше 500 |
18 |
|
4. |
от 50 до 100 включительно |
до 1000 включительно |
27 |
|
5. |
от 50 до 100 включительно |
свыше 1000 |
53 |
|
6. |
от 100 до 200 включительно |
до 1000 включительно |
62 |
|
7. |
от 100 до 200 включительно |
свыше 1000 |
93 |
|
8. |
от 200 до 500 включительно |
до 2000 включительно |
178 |
|
9. |
от 200 до 500 включительно |
свыше 2000 |
266 |
|
10. |
свыше 500 |
до 5000 включительно |
488 |
|
11. |
свыше 500 |
свыше 5000 |
732 |
4) для радиовещания с KB, СВ, ДВ – диапазоном радиочастот:
|
№ |
Численность населения |
Мощность передающего средства (Вт) |
Ставка сбора за один канал (МРП) |
|
1 |
2 |
3 |
4 |
|
1. |
свыше 500 |
до 100 включительно |
5 |
|
2. |
от 100 до 1000 включительно |
15 |
|
|
3. |
от 1000 до 10000 включительно |
30 |
|
|
4. |
от 10000 до 100000 включительно |
45 |
|
|
5. |
от 100000 |
89 |
6. Ставка сбора за выдачу дубликата разрешения на использование радиочастотного спектра телевизионным и радиовещательным организациям составляет 2 МРП.
7. Исключен Законом РК от 21.12.2022 № 165-VII (вводится в действие с 01.07.2023).
8. Ставки сбора за выдачу разрешительных документов, согласия для участников банковского и страхового рынков составляют:
|
№ |
Виды разрешительных документов |
Ставки сбора |
|
1 |
2 |
3 |
|
1. |
Разрешение на создание или приобретение банком и (или) банковским холдингом дочерней организации |
50 |
|
2. |
Разрешение на создание или приобретение страховой (перестраховочной) организацией и (или) страховым холдингом дочерней организации |
50 |
|
3. |
Разрешение на значительное участие банка, страховой (перестраховочной) организации, банковского холдинга, страхового холдинга в капитале организаций |
50 |
|
4. |
Согласие на приобретение статуса банковского холдинга или крупного участника банка: |
|
|
4.1. |
для физических лиц |
100 |
|
4.2. |
для юридических лиц |
500 |
|
5. |
Согласие на приобретение статуса страхового холдинга или крупного участника страховой (перестраховочной) организации: |
|
|
5.1. |
для физических лиц |
50 |
|
5.2. |
для юридических лиц |
50 |
|
6. |
Согласие на избрание (назначение) руководящих работников банка, страховой (перестраховочной) организации, страхового брокера, филиала банка – нерезидента Республики Казахстан, филиала страховой (перестраховочной) организации – нерезидента Республики Казахстан, филиала страхового брокера – нерезидента Республики Казахстан, банковских, страховых холдингов, акционерного общества «Фонд гарантирования страховых выплат» |
25 |
9. Ставки сбора за выдачу или продление разрешения на привлечение иностранной рабочей силы в Республику Казахстан устанавливаются Правительством Республики Казахстан.
10. Ставка сбора за выдачу документа, подтверждающего резидентство иностранца или лица без гражданства, являющегося инвестиционным резидентом Международного финансового центра «Астана», составляет 7000 МРП.
Сноска. Статья 554 с изменениями, внесенными законами РК от 24.05.2018 № 156-VI (вводится в действие по истечении десяти календарных дней после дня его первого официального опубликования); от 21.01.2019 № 217-VI (вводится в действие по истечении десяти календарных дней после дня его первого официального опубликования); от 18.03.2019 № 237-VI (вводится в действие с 01.01.2020); от 02.04.2019 № 241-VI (порядок введения в действие см. ст. 2); от 19.04.2019 № 249-VI (вводится в действие с 01.08.2019); от 03.07.2019 № 262-VI (вводится в действие с 01.01.2020); от 28.10.2019 № 268-VI (вводится в действие по истечении десяти календарных дней после дня его первого официального опубликования); от 26.12.2019 № 289-VІ (вводится в действие по истечении десяти календарных дней после дня его первого официального опубликования); от 02.07.2020 № 354-VI (вводится в действие с 01.01.2021); от 10.12.2020 № 382-VI (вводится в действие с 01.01.2021); от 20.12.2021 № 85-VII (порядок введения в действие см. ст. 2); от 21.12.2022 № 165-VII (порядок введения в действие см. ст. 2); от 06.02.2023 № 196-VII (вводится в действие с 01.01.2024).
Глава 69. ПЛАТЫ
Параграф 1. Плата за пользование лицензиями на занятие отдельными видами деятельности
Статья 555. Общие положения
1. Плата за пользование лицензией на занятие отдельными видами деятельности (далее в целях настоящего параграфа – плата) взимается при осуществлении следующих видов деятельности:
1) в сфере игорного бизнеса;
2) по хранению и оптовой реализации алкогольной продукции, за исключением деятельности по хранению и оптовой реализации алкогольной продукции на территории ее производства;
3) по хранению и розничной реализации алкогольной продукции, за исключением деятельности по хранению и розничной реализации алкогольной продукции на территории ее производства.
2. Лицензиары ежеквартально, не позднее 15 числа месяца, следующего за отчетным, представляют налоговым органам по месту нахождения налогоплательщиков сведения о плательщиках платы и объектах обложения по форме, установленной уполномоченным органом.
Статья 556. Плательщики платы
Плательщиками платы являются физические и юридические лица, получившие лицензию на осуществление соответствующих видов деятельности, указанных в пункте 1 статьи 555 настоящего Кодекса.
Статья 557. Ставки платы
Ставки платы определяются в размере, кратном месячному расчетному показателю, установленному законом о республиканском бюджете (далее в целях настоящей главы – МРП) и действующему на дату уплаты такой платы, и составляют:
|
№ |
Виды лицензируемой деятельности |
Ставки платы, в год (МРП) |
|
1 |
2 |
3 |
|
1. |
Деятельность в сфере игорного бизнеса: |
|
|
1.1. |
для казино и зала игровых автоматов |
3 845 |
|
1.2. |
для тотализатора и букмекерской конторы |
640 |
|
2. |
Хранение и оптовая реализация алкогольной продукции, за исключением деятельности по хранению и оптовой реализации алкогольной продукции на территории ее производства, за каждый объект деятельности |
200 |
|
3. |
Хранение и розничная реализация алкогольной продукции, за исключением деятельности по хранению и розничной реализации алкогольной продукции на территории ее производства, за каждый объект деятельности для субъектов, осуществляющих деятельность: |
|
|
3.1. |
в столице, городах республиканского значения и областных центрах |
100 |
|
3.2. |
в других городах и поселках |
60 |
|
3.3. |
в сельских населенных |
20 |
Статья 558. Порядок исчисления и уплаты
1. Плательщики платы ежегодно уплачивают по месту нахождения налогооблагаемого объекта суммы платы равными долями не позднее 25 марта, 25 июня, 25 сентября и 25 декабря текущего года.
2. В случае, если период пользования лицензией в отчетном налоговом периоде составляет менее одного года, сумма платы определяется путем деления суммы платы, исчисленной за год, на двенадцать и умножения на соответствующее количество месяцев (полных или неполных) пользования лицензией в году.
При этом при получении лицензии обязательство по уплате платы возникает начиная с календарного года, следующего за годом получения лицензии.
3. Уполномоченные государственные органы, осуществляющие соответствующие действия по выдаче лицензии, при которых предусмотрено взимание платы, производят исчисление, начисление платы и осуществляют контроль за правильностью применения ставок платы, а также несут ответственность за полноту взимания, своевременность уплаты плат в бюджет и за достоверность представляемых органам государственных доходов сведений в соответствии с законами Республики Казахстан.
Сноска. Статья 558 с изменением, внесенным Законом РК от 21.12.2022 № 165-VII (вводится в действие с 01.01.2023).
Параграф 2. Плата за пользование земельными участками
Статья 559. Общие положения
1. Плата за пользование земельными участками (далее в целях настоящего параграфа – плата) взимается за предоставление государством:
земельного участка во временное возмездное землепользование (аренду);
участка недр в соответствии с законодательством Республики Казахстан о недрах и недропользовании на основании лицензии на разведку или добычу твердых полезных ископаемых.
2. Порядок предоставления земельных участков и участков недр устанавливается Земельным кодексом Республики Казахстан и законодательством Республики Казахстан о недрах и недропользовании.
3. Уполномоченные государственные органы по земельным отношениям, а на территориях специальных экономических зон – местные исполнительные органы или администрации специальных экономических зон, местные исполнительные органы ежеквартально, в срок не позднее 15 числа месяца, следующего за отчетным кварталом, представляют налоговым органам по месту своего нахождения сведения о плательщиках платы, объектах обложения и периодах, на которые предоставлены земельные участки во временное возмездное землепользование (аренду) по форме, установленной уполномоченным органом.
4. Уполномоченные государственные органы по предоставлению права недропользования ежеквартально, в срок не позднее 15 числа месяца, следующего за отчетным кварталом, представляют налоговым органам по месту нахождения плательщиков платы сведения о плательщиках платы, объектах обложения, периоде действия лицензии на разведку или добычу твердых полезных ископаемых, идентифицирующих координатах блоков и их индивидуальных кодах по форме, установленной уполномоченным органом.
Статья 560. Плательщики платы
1. Плательщиками платы являются лица, получившие:
земельный участок во временное возмездное землепользование (аренду);
участок недр на основании лицензии на разведку или добычу твердых полезных ископаемых.
2. Юридическое лицо своим решением вправе признать самостоятельным плательщиком платы свое структурное подразделение.
Решение юридического лица или отмена такого решения вводится в действие с 1 января года, следующего за годом принятия такого решения.
В случае если юридическое лицо своим решением признало самостоятельным плательщиком платы вновь созданное структурное подразделение юридического лица, то такое решение вводится в действие со дня создания данного структурного подразделения или с 1 января года, следующего за годом создания данного структурного подразделения.
Положения настоящего пункта не распространяются на налогоплательщиков, получивших участок недр на основании лицензии на разведку или добычу твердых полезных ископаемых.
3. Не являются плательщиками платы:
налогоплательщики, применяющие специальный налоговый режим для крестьянских или фермерских хозяйств, – по земельным участкам, используемым в деятельности, на которую распространяется данный специальный налоговый режим;
концессионер – по земельным участкам, предоставленным в целях реализации договора концессии, заключенного в соответствии с законодательством Республики Казахстан, в течение срока, указанного в договоре концессии, но не более пяти лет со дня принятия решения местным исполнительным органом о предоставлении права временного возмездного землепользования.
4. Действовал с 01.01.2018 до 01.01.2020 в соответствии с Законом РК от 25.12.2017 № 121-VI.
Сноска. Статья 560 с изменением, внесенным Законом РК от 25.12.2017 № 121-VI (действует с 01.01.2018 до 01.01.2020).
Статья 561. Объект обложения
Объектом обложения является:
земельный участок, предоставляемый государством во временное возмездное землепользование (аренду);
участок недр на основании лицензии на разведку или добычу твердых полезных ископаемых.
Статья 562. Налоговый период
Налоговый период определяется в соответствии со статьей 314 настоящего Кодекса.
Статья 563. Ставки платы
1. По участку недр, предоставленному на основании лицензии на разведку или добычу твердых полезных ископаемых, ставки платы определяются исходя из размера МРП, установленного законом о республиканском бюджете и действующего на 1 число налогового периода, и составляют:
|
№ |
Период |
Ставки платы (МРП) |
|
1 |
2 |
3 |
|
1. |
с 1 по 36 месяцы действия лицензии на разведку, за 1 блок |
15 |
|
2. |
с 37 по 60 месяцы действия лицензии на разведку, за 1 блок |
23 |
|
3. |
с 61 по 84 месяцы действия лицензии на разведку, за 1 блок |
|
|
4. |
с 85 месяца действия лицензии на разведку и далее, за 1 блок |
60 |
|
5. |
с 1 месяца действия лицензии на добычу и далее, за 1 км2 |
450 |
Для целей настоящей главы блок означает территорию, на которую в соответствии с законодательством Республики Казахстан о недрах и недропользовании выдана лицензия на разведку или добычу твердых полезных ископаемых. Каждый блок имеет идентифицирующие его координаты и индивидуальный код, присваиваемый ему уполномоченным органом по изучению и использованию недр.
2. По остальным земельным участкам ставки платы определяются в соответствии с земельным законодательством Республики Казахстан. При этом ставки платы устанавливаются не ниже размеров ставок земельного налога без учета положений, предусмотренных пунктами 2 и 3 статьи 510 настоящего Кодекса.
Статья 564. Порядок исчисления и уплаты платы по земельным участкам, полученным во временное возмездное землепользование (аренду), а также по не используемым в соответствующих целях или используемым с нарушением законодательства Республики Казахстан
Сноска. Заголовок статьи 564 — в редакции Закона РК от 12.12.2023 № 45-VIII (вводится в действие с 01.01.2024).
1. Сумма платы по земельным участкам, полученным во временное возмездное землепользование (аренду), исчисляется на основании договоров временного возмездного землепользования, заключенных с уполномоченным органом по земельным отношениям, а на территории специальной экономической зоны – с местным исполнительным органом или управляющей компанией специальной экономической зоны.
Ежегодные суммы платы по земельным участкам, полученным во временное возмездное землепользование (аренду), устанавливаются в расчетах, составляемых уполномоченными органами по земельным отношениям, а на территориях специальных экономических зон – местными исполнительными органами или администрациями специальных экономических зон.
Расчеты суммы платы по земельным участкам, полученным во временное возмездное землепользование (аренду), пересматриваются уполномоченными органами по земельным отношениям, а на территориях специальных экономических зон – местными исполнительными органами или администрациями специальных экономических зон в случаях изменения условий договоров, а также порядка исчисления земельного налога, установленного настоящим Кодексом, влекущих изменение сумм земельного налога.
2. Размер платы по земельным участкам, полученным во временное возмездное землепользование (аренду), подлежащей уплате за налоговый период, определяется исходя из ставок платы, установленных в расчетах, указанных в пункте 1 настоящей статьи, и фактического срока пользования земельным участком в налоговом периоде.
При этом фактический срок пользования земельным участком определяется с начала налогового периода (в случае, если земельный участок находился на праве первичного возмездного землепользования на дату начала налогового периода) или с 1 числа месяца, в котором возникло такое право на земельный участок, до 1 числа месяца, в котором было прекращено такое право, или до конца налогового периода (в случае, если земельный участок находился на таком праве на дату окончания налогового периода).
3. Размер платы по земельным участкам, полученным во временное возмездное землепользование (аренду), устанавливается не ниже размера суммы земельного налога, рассчитанного по таким земельным участкам в соответствии с настоящим Кодексом.
По физическим лицам размер платы по земельным участкам, указанным в подпункте 2) статьи 528 настоящего Кодекса, полученным во временное возмездное землепользование (аренду), устанавливается не ниже размера суммы налога на имущество физических лиц, рассчитанного по таким земельным участкам в соответствии с настоящим Кодексом.
4. Плательщики платы уплачивают в бюджет сумму платы равными долями не позднее 25 февраля, 25 мая, 25 августа и 25 ноября текущего года, если иное не установлено пунктами 5 и 6 настоящей статьи.
В случаях предоставления государством земельных участков во временное возмездное землепользование после одного из вышеперечисленных сроков уплаты платы первым сроком внесения в бюджет платы является следующий очередной срок уплаты.
5. Физические лица по земельным участкам, полученным в возмездное землепользование и не используемым (не подлежащим использованию) в предпринимательской деятельности, уплачивают суммы платы не позднее 25 февраля.
В случае заключения договора временного возмездного землепользования после установленного частью первой настоящего пункта срока уплата платы физическим лицом за налоговый период, в котором заключен такой договор, производится не позднее 25 числа месяца, следующего за месяцем заключения такого договора.
6. В случаях истечения срока действия договора временного возмездного землепользования или его расторжения до окончания налогового периода внесению в бюджет подлежит сумма платы по земельным участкам, полученным во временное возмездное землепользование (аренду), за фактический период землепользования в таком году, не позднее 25 числа месяца, следующего за месяцем, в котором истек срок действия договора или расторгнут такой договор.
7. Сумма платы уплачивается в бюджет по месту нахождения земельного участка – по плате, исчисленной по земельному участку, предоставленному во временное возмездное землепользование (аренду).
8. Организации, осуществляющие деятельность на территориях специальных экономических зон, исчисляют плату за пользование земельными участками с учетом положений, установленных главой 79 настоящего Кодекса.
9. По земельным участкам, предназначенным для строительства объектов и не используемым в соответствующих целях или используемым с нарушением законодательства Республики Казахстан, сумма платы по земельным участкам, полученным во временное возмездное землепользование (аренду), исчисленная на основании договоров временного возмездного землепользования, заключенных с уполномоченным органом по земельным отношениям, а на территории специальной экономической зоны – с местным исполнительным органом или управляющей компанией специальной экономической зоны, увеличивается в десять раз с даты вручения уполномоченным органом по контролю за использованием и охраной земель письменного предписания землепользователю о необходимости использования земельного участка по назначению и (или) устранения нарушения законодательства Республики Казахстан.
Порядок выявления земельных участков, не используемых в соответствующих целях или используемых с нарушением законодательства Республики Казахстан, для целей части первой настоящего пункта и пункта 3 настоящей статьи определяется центральным уполномоченным органом по управлению земельными ресурсами по согласованию с уполномоченным органом.
Положения настоящего пункта не распространяются на организацию, специализирующуюся на улучшении качества кредитных портфелей банков второго уровня, единственным акционером которой является Правительство Республики Казахстан, и на ее дочерние компании.
10. По земельным участкам сельскохозяйственного назначения, не используемым по назначению или используемым с нарушением законодательства Республики Казахстан, сумма платы по земельным участкам, полученным во временное возмездное землепользование (аренду), исчисленная на основании договоров временного возмездного землепользования, заключенных с уполномоченным органом по земельным отношениям, а на территории специальной экономической зоны – с местным исполнительным органом или управляющей компанией специальной экономической зоны, увеличивается в двадцать раз с даты вручения землепользователю письменного предписания об устранении нарушений требований земельного законодательства Республики Казахстан территориальным подразделением по управлению земельными ресурсами областей, городов республиканского значения, столицы, осуществляющим государственный контроль за использованием и охраной земель.
Положения настоящего пункта не распространяются на организацию, специализирующуюся на улучшении качества кредитных портфелей банков второго уровня, единственным акционером которой является Правительство Республики Казахстан, и на ее дочерние компании.
11. Порядок представления в налоговые органы сведений по земельным участкам, указанным в пунктах 9 и 10 настоящей статьи, уполномоченным органом по контролю за использованием и охраной земель определяется уполномоченным органом.
12. По земельным участкам, указанным в пунктах 9 и 10 настоящей статьи, сведения по которым представляются территориальным подразделением по управлению земельными ресурсами областей, городов республиканского значения, столицы, осуществляющим государственный контроль за использованием и охраной земель, плата исчисляется налоговыми органами исходя из исчисленной суммы платы и площади земельного участка с направлением налогоплательщику уведомления о начисленной сумме платы.
Сноска. Статья 564 с изменениями, внесенными законами РК от 03.04.2019 № 243-VI (вводится в действие по истечении десяти календарных дней после дня его первого официального опубликования); от 10.12.2020 № 382-VI (вводится в действие с 01.01.2020); от 12.12.2023 № 45-VIII (вводится в действие с 01.01.2024).
Статья 564-1. Порядок исчисления и уплаты платы за участки недр в соответствии с законодательством Республики Казахстан о недрах и недропользовании на основании лицензии на разведку или добычу твердых полезных ископаемых
1. Недропользователи по участку недр, предоставленному на основании лицензии на разведку или добычу твердых полезных ископаемых, уплачивают годовую сумму платы не позднее 25 февраля отчетного налогового периода – в случае действия лицензии по состоянию на 1 января отчетного года и до его окончания или при получении лицензии до 1 февраля отчетного года включительно – в размере годовой суммы платы, определяемой по ставкам, установленным пунктом 1 статьи 563 настоящего Кодекса.
2. В случае если по состоянию на 1 февраля отчетного налогового периода известно, что срок действия лицензии на разведку или добычу твердых полезных ископаемых истекает в текущем налоговом периоде, то в срок не позднее 25 февраля отчетного налогового периода должна быть произведена уплата платы за фактический период действия такой лицензии, исчисленной в соответствии с пунктом 3 настоящей статьи.
3. В случае получения лицензии на разведку или добычу твердых полезных ископаемых после 1 февраля отчетного налогового периода или прекращения действия лицензии в течение отчетного налогового периода сумма платы определяется недропользователем исходя из ставок платы, установленных пунктом 1 статьи 563 настоящего Кодекса, и фактического периода действия в отчетном налоговом периоде такой лицензии.
При этом фактический период действия лицензии определяется с начала налогового периода (в случае, если такая лицензия действовала на дату начала налогового периода) или с 1 числа месяца, в котором начала действовать такая лицензия, до 1 числа месяца, в котором было прекращено действие такой лицензии, или до конца налогового периода (в случае, если такая лицензия действовала на дату окончания налогового периода).
4. В случаях получения или прекращения действия лицензии на разведку или добычу твердых полезных ископаемых после 1 февраля отчетного налогового периода сумма платы за фактический период действия такой лицензии подлежит внесению в бюджет в срок не позднее 25 числа второго месяца квартала, следующего за кварталом, в котором истек срок действия лицензии.
5. Сумма платы уплачивается в бюджет по месту нахождения участка недр – по плате по участку недр, предоставленному на основании лицензии на разведку или добычу твердых полезных ископаемых.
Сноска. Глава 68 дополнена статьей 564-1 в соответствии с Законом РК от 12.12.2023 № 45-VIII (вводится в действие с 01.01.2024).
Статья 565. Налоговая отчетность
1. Плательщики платы, за исключением физических лиц, не являющихся индивидуальными предпринимателями, а также индивидуальных предпринимателей по земельным участкам, занятым объектами налогообложения, налоговая база по налогу на имущество по которым исчисляется в соответствии со статьей 529 настоящего Кодекса, и (или) выделенным под индивидуальное жилищное строительство, представляют расчет сумм текущих платежей в налоговые органы:
1) по месту нахождения земельного участка – по плате, исчисленной по земельному участку, предоставленному во временное возмездное землепользование (аренду);
2) по месту нахождения участка недр – по плате по участку недр, предоставленному недропользователю на основании лицензии на разведку или добычу твердых полезных ископаемых.
2. Расчет сумм текущих платежей представляется плательщиками платы не позднее 20 февраля отчетного налогового периода.
3. Лица, заключившие договор о временном возмездном землепользовании или получившие лицензию на разведку или добычу твердых полезных ископаемых после 20 февраля отчетного налогового периода, представляют расчет сумм текущих платежей не позднее 20 числа месяца, следующего за месяцем заключения договора или получения лицензии.
4. При расторжении с местным исполнительным органом или с администрацией специальной экономической зоны договора о временном землепользовании или прекращении действия лицензии на разведку или добычу твердых полезных ископаемых после 20 февраля отчетного налогового периода представляется дополнительный расчет сумм текущих платежей не позднее десяти календарных дней со дня окончания срока действия (расторжения) договора.
Параграф 3. Плата за пользование водными ресурсами поверхностных источников
Статья 566. Общие положения
1. Плата за пользование водными ресурсами поверхностных источников (далее в целях настоящего параграфа – плата) взимается за виды специального водопользования, осуществляемого на основании разрешительного документа уполномоченного органа в области использования и охраны водного фонда, водоснабжения, водоотведения.
2. Специальное водопользование без оформленного разрешительного документа рассматривается как водопользование с превышением фактических объемов забора воды над установленными лимитами.
3. Региональные органы уполномоченного органа в области использования и охраны водного фонда, водоснабжения, водоотведения ежеквартально, не позднее 25 числа второго месяца, следующего за отчетным кварталом, представляют налоговым органам по месту своего нахождения сведения о плательщиках платы и объектах обложения, их месте нахождения, выданных разрешениях на специальное водопользование, установленных лимитах водопользования, изменениях, внесенных в разрешения и лимиты водопользования, о результатах проверок по соблюдению водного законодательства Республики Казахстан, судебных решениях по обжалованию результатов проверок по соблюдению водного законодательства Республики Казахстан по форме, установленной уполномоченным органом.
Статья 567. Плательщики платы
1. Плательщиками платы являются физические и юридические лица, осуществляющие пользование водными ресурсами поверхностных источников (первичные водопользователи):
1) с применением стационарных, передвижных и плавучих сооружений по механическому и самотечному забору воды из поверхностных и морских вод;
2) с применением гидравлических электростанций;
3) с применением водохозяйственных сооружений для ведения рыбного хозяйства;
4) для нужд водного транспорта.
2. Юридическое лицо вправе своим решением признать самостоятельным плательщиком платы свое структурное подразделение.
Решение юридического лица или отмена такого решения вводится в действие с 1 января года, следующего за годом принятия такого решения.
В случае если юридическое лицо своим решением признало самостоятельным плательщиком платы вновь созданное структурное подразделение юридического лица, то такое решение вводится в действие со дня создания данного структурного подразделения или с 1 января года, следующего за годом создания данного структурного подразделения.
Статья 568. Объекты обложения
1. Объектами обложения являются:
1) объем воды, забранной из поверхностного водного источника, за исключением:
объема воды, аккумулируемого плотинами и другими подпорными гидротехническими и водорегулирующими сооружениями;
потерь воды на фильтрацию и испарение в каналах, осуществляющих межбассейновую переброску стока, и во внерусловых водохранилищах, осуществляющих регулирование стока, подтвержденных уполномоченным органом в области использования и охраны водного фонда, водоснабжения, водоотведения на основании проектных данных водохозяйственных систем;
объема природоохранного и (или) санитарно-эпидемиологического попуска, утвержденного уполномоченным органом в области использования и охраны водного фонда, водоснабжения, водоотведения в установленном законодательством Республики Казахстан порядке;
объема вынужденного водозабора в оросительные системы, осуществляемого в целях предотвращения наводнений, затоплений и подтоплений, подтвержденного уполномоченным органом в области использования и охраны водного фонда, водоснабжения, водоотведения;
2) объем выработанной электроэнергии;
3) объем перевозок водным транспортом.
2. Плата не взимается за:
1) сплав древесины без судовой тяги, рекреацию;
2) применение землеройной техники;
3) осушение болот.
Статья 569. Ставки платы
Ставки платы устанавливаются местными представительными органами областей, городов республиканского значения и столицы на основании методики расчета платы, утвержденной уполномоченным органом в области использования и охраны водного фонда, водоснабжения, водоотведения.
При превышении фактических объемов забора воды над лимитами водопользования, установленными уполномоченным органом в области использования и охраны водного фонда, водоснабжения, водоотведения, к объему такого превышения применяются ставки платы, увеличенные в пять раз.
Статья 570. Порядок исчисления и уплаты
1. Сумма платы исчисляется плательщиками исходя из фактических объемов водопользования и установленных ставок.
2. За объем перевозок водным транспортом в водных объектах, имеющих подпорные гидротехнические и водорегулирующие сооружения, сумма платы исчисляется за тонну/километр перевезенных грузов.
3. Плательщики (кроме налогоплательщиков, применяющих специальный налоговый режим для крестьянских или фермерских хозяйств) уплачивают в бюджет текущие суммы платы за фактические объемы водопользования не позднее 25 числа второго месяца, следующего за отчетным кварталом, на основании ежемесячных лимитов водопользования, установленных уполномоченным органом в области использования и охраны водного фонда, водоснабжения, водоотведения.
4. Сумма платы уплачивается в бюджет по месту специального водопользования, указанному в разрешительном документе.
5. Налогоплательщики, применяющие специальный налоговый режим для крестьянских или фермерских хозяйств, производят уплату платы в сроки, установленные статьей 706 настоящего Кодекса.
6. Предприятия теплоэнергетики размер платы за воду, расходуемую для производства теплоэнергии для жилищно-эксплуатационных и коммунальных нужд, а также на технологические нужды для охлаждения агрегатов (возвратное водопотребление) в пределах лимита забора воды, определяют по ставкам, предусмотренным для организаций, оказывающих жилищно-эксплуатационные и коммунальные услуги.
За безвозвратное водопотребление размер платы определяется по ставкам, установленным для промышленных предприятий.
Статья 571. Налоговый период
Налоговый период определяется в соответствии со статьей 314 настоящего Кодекса.
Статья 572. Налоговая отчетность
1. Плательщики платы представляют декларацию по плате в налоговые органы по месту специального водопользования.
2. Декларация представляется плательщиками платы, за исключением налогоплательщиков, применяющих специальный налоговый режим для крестьянских или фермерских хозяйств, ежеквартально, в срок не позднее 15 числа второго месяца, следующего за отчетным кварталом.
3. Налогоплательщики, применяющие специальный налоговый режим для крестьянских или фермерских хозяйств, налоговую отчетность по плате представляют в виде соответствующего приложения к декларации по единому земельному налогу.
4. Декларация до представления в налоговый орган заверяется в региональном органе уполномоченного органа в области использования и охраны водного фонда, водоснабжения, водоотведения.
Параграф 4. Плата за негативное воздействие на окружающую среду
Сноска. Заголовок параграфа 4 — в редакции Закона РК от 02.01.2021 № 402-VI (вводится в действие с 01.01.2022).
Статья 573. Общие положения
1. Плата за негативное воздействие на окружающую среду (далее по тексту настоящего параграфа – плата) взимается за выбросы и сбросы загрязняющих веществ (эмиссии в окружающую среду), размещение серы в открытом виде на серных картах и захоронение отходов, осуществляемые на основании соответствующего экологического разрешения и декларации о воздействии на окружающую среду в соответствии с экологическим законодательством Республики Казахстан.
2. Территориальные органы уполномоченного органа в области охраны окружающей среды и местные исполнительные органы областей, городов республиканского значения и столицы ежеквартально, в срок не позднее 15 числа второго месяца, следующего за отчетным кварталом, представляют налоговым органам по месту своего нахождения сведения о плательщиках платы и объектах обложения, выданных экологических разрешениях, установленных нормативах эмиссий в окружающую среду, изменениях, внесенных в экологические разрешения и в установленные нормативы эмиссий в окружающую среду, а также сведения по природопользователям, касающиеся временного хранения ими отходов производства и потребления (объемы, установленные сроки временного хранения, фактический период размещения), – по форме, установленной уполномоченным органом.
3. Уполномоченный орган в области охраны окружающей среды и его территориальные органы представляют налоговым органам по месту своего нахождения сведения о фактических объемах негативного воздействия на окружающую среду, установленных в ходе осуществления проверок по соблюдению экологического законодательства Республики Казахстан (государственный экологический контроль), с учетом обжалования результатов таких проверок в соответствии с законами Республики Казахстан, по форме и в порядке, которые установлены уполномоченным органом, в срок не позднее десяти рабочих дней по истечении сроков обжалования результатов таких проверок, предусмотренных законами Республики Казахстан.
Сноска. Статья 573 с изменениями, внесенными Законом РК от 02.01.2021 № 402-VI (вводится в действие с 01.01.2022).
Статья 574. Плательщики платы
1. Плательщиками платы являются операторы объектов I, II и III категорий, определенные в соответствии с Экологическим кодексом Республики Казахстан.
2. Юридическое лицо вправе своим решением признать самостоятельным плательщиком платы свое структурное подразделение по объемам эмиссии в окружающую среду такого структурного подразделения.
Решение юридического лица, указанное в части первой настоящего пункта, или отмена такого решения вводится в действие с 1 января года, следующего за годом принятия такого решения.
В случае, если юридическое лицо своим решением признало самостоятельным плательщиком платы вновь созданное структурное подразделение юридического лица, то такое решение вводится в действие со дня создания данного структурного подразделения или с 1 января года, следующего за годом создания данного структурного подразделения.
3. Не являются плательщиками платы налогоплательщики, применяющие специальный налоговый режим для крестьянских или фермерских хозяйств, по негативному воздействию на окружающую среду, возникающему в результате осуществления деятельности, на которую распространяется специальный налоговый режим для крестьянских или фермерских хозяйств.
Сноска. Ствтья 574 с изменениями, внесенными Законом РК от 02.01.2021 № 402-VI (вводится в действие с 01.01.2022).
Статья 575. Объект обложения
Объектом обложения является фактический объем негативного воздействия на окружающую среду (масса, единица измерения активности – для радиоактивных отходов) в отчетном периоде (для объектов I и II категорий – в пределах установленных нормативов и лимитов, для объектов III категории – в пределах задекларированного объема), в том числе установленный по результатам осуществления уполномоченным органом в области охраны окружающей среды и его территориальными органами государственного экологического контроля за соблюдением экологического законодательства Республики Казахстан (государственный экологический контроль), в виде:
1) выбросов загрязняющих веществ;
2) сбросов загрязняющих веществ;
3) захороненных отходов;
4) размещенной серы в открытом виде на серных картах, образующейся при проведении операций по разведке и (или) добыче углеводородов.
Сноска. Статья 575 — в редакции Закона РК от 02.01.2021 № 402-VI (вводится в действие с 01.01.2022).
Статья 576. Ставки платы
1. Ставки платы определяются в размере, кратном МРП, установленному законом о республиканском бюджете и действующему на первое число налогового периода.
2. Ставки платы за выбросы загрязняющих веществ от стационарных источников составляют:
|
№ п/п |
Виды загрязняющих веществ |
Ставки платы за 1 тонну (МРП) |
Ставки платы за 1 килограмм (МРП) |
|
1 |
2 |
3 |
4 |
|
1. |
Оксиды серы (SOx) |
20 |
|
|
2. |
Оксиды азота (NOx) |
20 |
|
|
3. |
Пыль и зола |
10 |
|
|
4. |
Свинец и его соединения |
3 986 |
|
|
5. |
Сероводород |
124 |
|
|
6. |
Фенолы |
332 |
|
|
7. |
Углеводороды |
0,32 |
|
|
8. |
Формальдегид |
332 |
|
|
9. |
Монооксид углерода |
0,32 |
|
|
10. |
Метан |
0,02 |
|
|
11. |
Сажа |
24 |
|
|
12. |
Окислы железа |
30 |
|
|
13. |
Аммиак |
24 |
|
|
14. |
Хром шестивалентный |
798 |
|
|
15. |
Окислы меди |
598 |
|
|
16. |
Бенз(а)пирен |
996,6 |
3. Ставки платы за выбросы загрязняющих веществ от сжигания попутного и (или) природного газа в факелах составляют:
|
№ |
Виды загрязняющих веществ |
Ставки платы за 1 тонну (МРП) |
|
1 |
2 |
3 |
|
1. |
Углеводороды |
44,6 |
|
2. |
Окислы углерода |
14,6 |
|
3. |
Метан |
0,8 |
|
4. |
Диоксид серы |
200 |
|
5. |
Диоксид азота |
200 |
|
6. |
Сажа |
240 |
|
7. |
Сероводород |
1 240 |
|
8. |
Меркаптан |
199 320 |
4. Ставки платы за выбросы загрязняющих веществ в атмосферный воздух от передвижных источников составляют:
|
№ |
Виды топлива |
Ставка за 1 тонну использованного топлива (МРП) |
|
1 |
2 |
3 |
|
1. |
Для неэтилированного бензина |
0,33 |
|
2. |
Для дизельного топлива |
0,45 |
|
3. |
Для сжиженного, сжатого газа, керосина |
0,24 |
5. Ставки платы за сбросы загрязняющих веществ составляют:
|
№ п/п |
Виды загрязняющих веществ |
Ставки платы за 1 тонну (МРП) |
|
1 |
2 |
3 |
|
1. |
Нитриты |
1 340 |
|
2. |
Цинк |
2 680 |
|
3. |
Медь |
26 804 |
|
4. |
Биологическое потребление кислорода |
8 |
|
5. |
Аммоний солевой |
68 |
|
6. |
Нефтепродукты |
536 |
|
7. |
Нитраты |
2 |
|
8. |
Железо общее |
268 |
|
9. |
Сульфаты (анион) |
0,8 |
|
10. |
Взвешенные вещества |
2 |
|
11. |
Синтетические поверхностно-активные вещества |
54 |
|
12. |
Хлориды (анион) |
0,2 |
|
13. |
Алюминий |
54 |
6. Ставки платы за захоронение отходов производства и потребления составляют:
|
№ п/п |
Виды отходов |
Ставки платы (МРП) |
|
|
за 1 тонну |
за |
||
|
1 |
2 |
3 |
4 |
|
1. |
За захоронение отходов производства и потребления на полигонах, в накопителях и специально отведенных местах: |
||
|
1.1. |
Отходы, по которым для целей исчисления платы учитываются свойства опасности, за исключением отходов, указанных в строке 1.2 настоящей таблицы: |
||
|
1.1.1. |
опасные отходы |
8,01 |
|
|
1.1.2. |
неопасные отходы |
1,06 |
|
|
1.2. |
Отдельные виды отходов, по которым для целей исчисления платы свойства опасности не учитываются: |
||
|
1.2.1. |
Коммунальные отходы (твердые бытовые отходы, ил канализационных очистных сооружений) |
0,38 |
|
|
1.2.2. |
Отходы горнодобывающей промышленности и разработки карьеров (кроме добычи нефти и природного газа): |
||
|
1.2.2.1. |
вскрышные породы |
0,004 |
|
|
1.2.2.2. |
вмещающие породы |
0,026 |
|
|
1.2.2.3. |
отходы обогащения |
0,02 |
|
|
1.2.2.4. |
шлаки, шламы |
0,038 |
|
|
1.2.3. |
Шлаки, шламы, образуемые на металлургическом переделе при переработке руд, концентратов, агломератов и окатышей, содержащих полезные ископаемые, производстве сплавов и металлов |
0,038 |
|
|
1.2.4. |
Зола и золошлаки |
0,66 |
|
|
1.2.5. |
Отходы сельхозпроизводства, в том числе навоз, птичий помет |
0,002 |
|
|
1.2.6. |
Радиоактивные отходы: |
||
|
1.2.6.1. |
трансурановые |
0,76 |
|
|
1.2.6.2. |
альфа-радиоактивные |
0,38 |
|
|
1.2.6.3. |
бета-радиоактивные |
0,04 |
|
|
1.2.6.4. |
ампульные радиоактивные источники |
0,38 |
|
7. Ставки платы за размещение серы в открытом виде на серных картах, образующейся при проведении операций по разведке и (или) добыче углеводородов, составляют 3,77 МРП за одну тонну.
8. Местные представительные органы имеют право повышать ставки по захоронению коммунальных отходов (твердых бытовых отходов, ила канализационных очистных сооружений), установленные строкой 1.2.1 таблицы пункта 6 настоящей статьи.
Сноска. Статья 576 с изменениями, внесенными Законом РК от 02.01.2021 № 402-VI (вводится в действие с 01.01.2022).
Статья 577. Порядок исчисления и уплаты
1. Сумма платы:
1) исчисляется плательщиками, являющимися операторами объектов I и II категорий, исходя из объектов обложения, указанных в статье 575 настоящего Кодекса, и установленных ставок платы с применением коэффициентов, предусмотренных настоящей статьей;
2) исчисляется плательщиками, являющимися операторами объектов III категории, исходя из задекларированных объектов обложения, указанных в статье 575 настоящего Кодекса, и установленных ставок платы;
3) начисляется налоговыми органами с применением коэффициентов, предусмотренных настоящей статьей, исходя из установленных ставок платы и незадекларированной части объектов обложения, определенных статьей 575 настоящего Кодекса, выявленной, в том числе, по сведениям, полученным в результате государственного экологического или налогового контроля и представленным в порядке, по форме и в сроки, которые установлены пунктом 3 статьи 573 настоящего Кодекса.
В случае начисления суммы платы в соответствии с подпунктом 3) части первой настоящего пункта налоговым органом выносится соответствующее уведомление в течение десяти рабочих дней со дня получения сведений, предусмотренных пунктом 3 статьи 573 настоящего Кодекса.
1-1. В целях стимулирования внедрения и применения наилучших доступных техник на территории Республики Казахстан, предотвращения или снижения уровня вредного антропогенного воздействия на окружающую среду при исчислении платы по объектам, оказывающим негативное воздействие на окружающую среду, по которым выдано комплексное экологическое разрешение, в том числе до 1 июля 2021 года, плательщиками применяются следующие коэффициенты:
коэффициент 0 – к ставкам платы, предусмотренным пунктами 2 и 3 статьи 576 настоящего Кодекса, за выбросы загрязняющих веществ от стационарных источников и от сжигания попутного и (или) природного газа в факелах в пределах нормативов, установленных в комплексном экологическом разрешении, со дня его выдачи;
коэффициент 0 – к ставкам платы, предусмотренным пунктом 5 статьи 576 настоящего Кодекса, за сбросы загрязняющих веществ в пределах нормативов, установленных в комплексном экологическом разрешении, со дня его выдачи;
коэффициент 0 – к ставкам платы, предусмотренным пунктом 6 статьи 576 настоящего Кодекса, за захоронение отходов в пределах лимитов и в соответствии с отчетностью, представляемой при образовании, использовании, обезвреживании и захоронении отходов производства и потребления, со дня выдачи комплексного экологического разрешения;
коэффициент 0 – к ставке платы, предусмотренной пунктом 7 статьи 576 настоящего Кодекса, за размещение серы в открытом виде на серных картах в пределах лимитов при проведении операций по разведке и (или) добыче углеводородов и в соответствии с отчетностью, представляемой при образовании и размещении серы, со дня выдачи комплексного экологического разрешения.
Примечание ИЗПИ!
Действие пункта 2 приостановлено с 01.01.2025 до 01.01.2028 Законом РК от 25.12.2017 № 121-VI и в период приостановления данный пункт действует в следующей редакции.
Примечание ИЗПИ!
Пункт 2 предусмотрен в редакции Закона РК от 02.01.2021 № 402-VI (вводится в действие с 01.01.2022).
2. При исчислении отдельными плательщиками суммы платы по объектам, оказывающим негативное воздействие на окружающую среду, по которым не действует комплексное экологическое разрешение, к соответствующим ставкам платы применяются следующие коэффициенты:
1) по объектам I категории, включенным в перечень пятидесяти объектов I категории, наиболее крупных по суммарным выбросам загрязняющих веществ на 1 января 2021 года, утвержденный Правительством Республики Казахстан:
плательщиками, являющимися субъектами естественных монополий, – при оказании коммунальных услуг, плательщиками, являющимися энергопроизводящими организациями, – при производстве электроэнергии:
0,6 – к ставкам, установленным пунктом 2 статьи 576 настоящего Кодекса;
0,86 – к ставкам, установленным пунктом 5 статьи 576 настоящего Кодекса;
0,1 – к ставкам, установленным строкой 1.2.4 таблицы пункта 6 статьи 576 настоящего Кодекса;
иными плательщиками:
2 – к ставкам, установленным пунктами 2, 3, 5, 6 и 7 статьи 576 настоящего Кодекса;
2) по объектам I категории, кроме объектов, указанных в подпункте 1) части первой настоящего пункта, а также по объектам II и III категорий:
плательщиками, являющимися субъектами естественных монополий, – при оказании коммунальных услуг, плательщиками, являющимися энергопроизводящими организациями, – при производстве электроэнергии:
0,3 – к ставкам, установленным пунктом 2 статьи 576 настоящего Кодекса;
0,43 – к ставкам, установленным пунктом 5 статьи 576 настоящего Кодекса;
0,05 – к ставкам, установленным строкой 1.2.4 таблицы пункта 6 статьи 576 настоящего Кодекса;
плательщиками, являющимися операторами полигонов и осуществляющими захоронение коммунальных отходов:
0,2 – к ставкам, установленным строкой 1.2.1 таблицы пункта 6 статьи 576 настоящего Кодекса, с учетом их повышения местными представительными органами в соответствии с пунктом 8 статьи 576 настоящего Кодекса за объем твердых бытовых отходов, образуемых физическими лицами по месту их жительства.
При этом коэффициенты, установленные частью первой настоящего пункта, применяются в отношении объемов негативного воздействия на окружающую среду в пределах нормативов и лимитов, установленных в соответствующих экологических разрешениях плательщиков по объектам I и II категорий, или объемов негативного воздействия на окружающую среду, указанных в декларациях по объектам III категории.
2-1. При исчислении суммы платы юридическими лицами, осуществляющими размещение радиоактивных отходов, образованных в результате проведенных ядерных испытаний на территории Республики Казахстан, на территории земель зоны ядерной безопасности, к ставкам платы, установленным строками 1.2.6.1, 1.2.6.2 и 1.2.6.3 таблицы пункта 6 статьи 576 настоящего Кодекса, применяется коэффициент 0.
3. Плательщики платы, являющиеся операторами объектов I и II категорий, с объемами платежей до 100 МРП в суммарном годовом объеме вправе выкупить нормативы или лимиты негативного воздействия на окружающую среду, установленные органом, выдающим разрешительный документ. Выкуп нормативов или лимитов производится с полной предварительной оплатой за текущий год при оформлении разрешительного документа не позднее 20 марта отчетного налогового периода.
При получении разрешительного документа после указанного срока выкуп норматива производится не позднее 20 числа месяца, следующего за месяцем, в котором получен разрешительный документ.
4. Сумма платы уплачивается в бюджет по месту нахождения источника (объекта) негативного воздействия на окружающую среду, указанному в разрешительном документе, за исключением передвижных источников загрязнения.
Сумма платы по передвижным источникам загрязнения вносится в бюджет:
1) по передвижным источникам, подлежащим государственной регистрации, – по месту регистрации передвижных источников, определяемому уполномоченным государственным органом при проведении такой регистрации;
2) по передвижным источникам загрязнения, не подлежащим государственной регистрации, – по месту нахождения налогоплательщика, в том числе по месту нахождения структурного подразделения юридического лица (если на него возложено исполнение налогового обязательства).
5. Текущие суммы платы за фактический объем негативного воздействия на окружающую среду вносятся плательщиками не позднее 25 числа второго месяца, следующего за отчетным кварталом, за исключением плательщиков, указанных в пункте 3 настоящей статьи.
6. В случае недостижения к сроку, установленному в графике достижения показателей поэтапного снижения негативного воздействия на окружающую среду в рамках программы повышения экологической эффективности (далее в целях настоящего пункта – программа) к комплексному экологическому разрешению, выданному в отношении объекта I категории, показателя поэтапного снижения негативного воздействия на окружающую среду по маркерному загрязняющему веществу менее чем на 30 процентов от величины такого показателя в целях начисления суммы платы в отношении эмиссий указанного вещества коэффициент, предусмотренный пунктом 1-1 настоящей статьи, приобретает значение соответствующего коэффициента, предусмотренного пунктом 2 настоящей статьи, начиная с налогового периода, предшествующего году недостижения установленного показателя поэтапного снижения негативного воздействия, и до даты достижения такого показателя.
В случае недостижения к дате завершения срока выполнения программы к комплексному экологическому разрешению, выданному в отношении объекта I категории, установленных технологических нормативов по 30 процентам и менее от общего количества маркерных загрязняющих веществ в целях начисления суммы платы коэффициенты, предусмотренные пунктом 1-1 настоящей статьи, приобретают значения соответствующих коэффициентов, предусмотренных пунктом 2 настоящей статьи, за соответствующие годы начиная со дня получения комплексного экологического разрешения в отношении эмиссий маркерных загрязняющих веществ, по которым не достигнуты установленные технологические нормативы.
В случае отзыва, лишения или прекращения действия комплексного экологического разрешения, выданного в отношении объекта I категории под условием и в период выполнения программы, по основаниям, предусмотренным законами Республики Казахстан, в целях начисления суммы платы коэффициенты, предусмотренные пунктом 1-1 настоящей статьи, приобретают значения соответствующих коэффициентов, предусмотренных пунктом 2 настоящей статьи, за соответствующие годы начиная со дня получения комплексного экологического разрешения по всем видам негативного воздействия на окружающую среду по данному объекту I категории, за которые взимается плата, за исключением случая, предусмотренного частью четвертой настоящего пункта.
При этом, если в рамках выполнения программы технологические нормативы достигнуты по 70 процентам и более от общего количества маркерных загрязняющих веществ, часть третья настоящего пункта не применяется в отношении эмиссий маркерных загрязняющих веществ, осуществленных до даты отзыва, лишения или прекращения действия комплексного экологического разрешения, выданного в отношении объекта I категории, по которым к указанной дате технологические нормативы в рамках выполнения программы были достигнуты.
На сумму платы, возникшую и начисленную в соответствии с частями первой, второй и третьей настоящего пункта, со дня применения коэффициентов, указанных в пункте 2 настоящей статьи, начисляется пеня в размере, определенном настоящим Кодексом.
Сноска. Статья 577 с изменениями, внесенными законами РК от 20.12.2021 № 85-VII (вводятся в действие после дня введения в действие законодательного акта, регулирующего создание и функционирование зоны ядерной безопасности); от 02.01.2021 № 402-VI (вводится в действие с 01.01.2022).
Статья 578. Налоговый период
Налоговый период определяется в соответствии со статьей 314 настоящего Кодекса.
Статья 579. Налоговая отчетность
1. Плательщики платы представляют в налоговые органы декларацию по месту нахождения объекта загрязнения, за исключением декларации по передвижным источникам загрязнения.
Декларация представляется в налоговые органы по передвижным источникам загрязнения:
1) подлежащим государственной регистрации, – по месту регистрации передвижных источников, определяемому уполномоченным государственным органом при проведении такой регистрации;
2) не подлежащим государственной регистрации, – по месту нахождения налогоплательщика.
2. Декларация представляется плательщиками платы, за исключением указанных в пункте 3 настоящей статьи, ежеквартально, не позднее 15 числа второго месяца, следующего за отчетным кварталом.
3. Плательщики платы с объемами платежей до 100 МРП в суммарном годовом объеме представляют декларацию не позднее 20 марта отчетного налогового периода.
В случае оформления разрешительного документа после указанного срока плательщики представляют декларацию не позднее 20 числа месяца, следующего за месяцем, в котором получен разрешительный документ.
Параграф 5. Плата за пользование животным миром
Статья 580. Общие положения
1. Плата за пользование животным миром (далее в целях настоящего параграфа – плата) взимается за пользование животным миром в порядке специального пользования животным миром.
2. Плата за пользование редкими и находящимися под угрозой исчезновения видами животных устанавливается в каждом отдельном случае Правительством Республики Казахстан при выдаче разрешения на изъятие этих животных из природной среды.
3. Плата не взимается:
1) при изъятии из природной среды животных для целей мечения, кольцевания, переселения, искусственного разведения и скрещивания в научно-исследовательских и хозяйственных целях с последующим их выпуском в природную среду;
2) при использовании объектов животного мира, являющихся собственностью физических и юридических лиц, разведенных искусственным путем и содержащихся в неволе и (или) полувольных условиях;
3) при осуществлении уполномоченным органом в области рыбного хозяйства контрольного лова рыб и других водных животных в целях биологического обоснования на пользование рыбными ресурсами и другими видами водных животных;
4) при изъятии видов животных, численность которых подлежит регулированию в целях охраны здоровья населения, предохранения от заболеваний сельскохозяйственных и других домашних животных, предотвращения ущерба окружающей среде, предупреждения опасности нанесения существенного ущерба сельскохозяйственной деятельности.
4. Уполномоченный государственный орган в области охраны, воспроизводства и использования животного мира, уполномоченный орган в области рыбного хозяйства и местные исполнительные органы ежеквартально, в срок не позднее 15 числа месяца, следующего за отчетным кварталом, представляют налоговым органам по месту своего нахождения сведения о плательщиках платы и объектах обложения по форме, установленной уполномоченным органом.
Сноска. Статья 580 с изменениями, внесенными Законом РК от 15.07.2025 № 208-VIII (вводится в действие по истечении шестидесяти календарных дней после дня его первого официального опубликования).
Статья 581. Плательщики платы
Плательщиками платы являются лица, получившие в порядке, определенном законодательством Республики Казахстан, право на специальное пользование животным миром.
Статья 582. Ставки платы за пользование животным миром
1. Ставки платы определяются в размере, кратном МРП, установленному законом о республиканском бюджете и действующему на дату уплаты такой платы.
2. Ставки платы при проведении промысловой, любительской и спортивной охоты в Республике Казахстан составляют:
|
№ |
Виды диких животных |
Ставка платы, за одну особь (МРП) |
|
|
промысловая охота |
любительская и спортивная охота |
||
|
1 |
2 |
3 |
4 |
|
1. |
Млекопитающие: |
||
|
1.1. |
лось (самец) |
— |
16 |
|
1.2. |
лось (самка) |
— |
11 |
|
1.3. |
лось (сеголетка) |
— |
6 |
|
1.4. |
марал (самец) |
— |
13 |
|
1.5. |
марал (самка) |
— |
7 |
|
1.6. |
марал (сеголетка) |
— |
4 |
|
1.7. |
асканийский олень (самец) |
— |
9 |
|
1.8. |
асканийский олень (самка) |
— |
5 |
|
1.9. |
асканийский олень (сеголетка) |
— |
3,5 |
|
1.10. |
косуля (северная часть ареала, самец) |
4 |
|
|
1.11. |
косуля (северная часть ареала, самка, сеголетка) |
— |
3 |
|
1.12. |
косуля (южная часть ареала, самец) |
— |
3 |
|
1.13. |
косуля (южная часть ареала, самка, сеголетка) |
— |
2 |
|
1.14. |
сибирский горный козел (самец) |
— |
4 |
|
1.15. |
сибирский горный козел (самка, сеголетка) |
— |
3,5 |
|
1.16. |
кабарга |
— |
2 |
|
1.17. |
кабан (самец) |
— |
4 |
|
1.18. |
кабан (самка, сеголетка) |
— |
3 |
|
1.19. |
сайгак (самец) |
4 |
5 |
|
1.20. |
сайгак (самка, сеголетка) |
3 |
4 |
|
1.21. |
бурый медведь (кроме тянь-шаньского) |
— |
14 |
|
1.22. |
речной бобр, выдра (кроме среднеазиатской) |
1 |
2 |
|
1.23. |
соболь |
2 |
4 |
|
1.24. |
сурки (кроме сурка Мензбира) |
0,060 |
0,12 |
|
1.25. |
ондатра |
0,045 |
0,9 |
|
1.26. |
барсук, лисица |
0,10 |
0,20 |
|
1.27. |
корсак |
0,045 |
0,10 |
|
1.28. |
американская норка |
0,12 |
0,25 |
|
1.29. |
рысь (кроме туркестанской) |
— |
0,45 |
|
1.30. |
зайцы (толай, русак, беляк) |
0,010 |
0,045 |
|
1.31. |
енотовидная собака, енот-полоскун, росомаха, солонгой, ласка, горностай, колонок, степной хорек, обыкновенная белка |
0,020 |
0,35 |
|
1.32. |
желтый суслик (песчаник) |
0,015 |
0,025 |
|
1.33. |
Волк |
0 |
0 |
|
1.34. |
шакал |
0 |
0 |
|
2. |
Птицы |
||
|
2.1. |
гагара (краснозобая, чернозобая) |
0,015 |
0,030 |
|
2.2. |
глухарь |
— |
0,15 |
|
2.3. |
тетерев |
— |
0,055 |
|
2.4. |
гималайский улар |
— |
0,20 |
|
2.5. |
фазан |
0,020 |
0,060 |
|
2.6. |
гуси* (серый, белолобый, гуменник), черная казарка |
0,020 |
0,045 |
|
2.7. |
утки* (огарь, пеганка, кряква, клоктун, чирок-свистунок, серая, свиязь, шилохвость, чирок-трескунок, широконоска, красноносый нырок, красноголовая чернеть, хохлатая чернеть, морская чернеть, морянка, обыкновенный гоголь, |
0,010 |
0,020 |
|
2.8. |
лысуха, чибис, куропатки (белая, тундряная, пустынная, серая, бородатая), кеклик, рябчик, голуби (вяхирь, клинтух, сизый, скалистый), горлица (обыкновенная, большая), кулики (турухтан, гаршнеп, бекас, лесной дупель, азиатский бекас, горный дупель, дупель, вальдшнеп, большой кроншнеп, средний кроншнеп, большой веретенник, малый веретенник) |
0,005 |
0,010 |
|
2.9. |
перепел |
0,005 |
0,010 |
Примечание.
* Кроме видов, занесенных в Красную книгу Республики Казахстан.
3. Ставки платы за пользование видами животных, являющихся объектами рыболовства, составляют:
|
№ |
Виды водных животных |
Ставки платы (МРП) |
|
|
за одну особь |
за один килограмм |
||
|
1 |
2 |
3 |
4 |
|
1. |
В промысловых, научных и воспроизводственных целях: |
||
|
1.1. |
осетровые (белуга, осетр, севрюга, стерлядь, шип, сибирский осетр, сырдарьинский лжелопатонос) |
0,064 |
|
|
1.2. |
сельди (пузанок, бражниковская, черноспинка), кефаль, камбала, килька |
0 |
|
|
1.3. |
лососевые (радужная форель, ленок, хариус, каспийский лосось, аральский лосось, таймень, нельма, белорыбица) |
0,017 |
|
|
1.4. |
сиговые (рипус, ряпушка, пелядь, чир, муксун), длиннопалый рак |
0,012 |
|
|
1.5. |
вобла |
0,004 |
|
|
1.6. |
тюлень |
1,93 |
|
|
1.7. |
крупный частик: |
||
|
1.7.1. |
белый амур, сазан, карп, жерех, берш, сом, налим, толстолобик, щука, змееголов, судак, кутум, щуковидный жерех (лысач), аральский усач, туркестанский усач |
0,013 |
|
|
1.8. |
мелкий частик: |
||
|
1.8.1. |
лещ, плотва, голавль, шемая, подуст, осман, язь, карась, окунь, линь, елец обыкновенный и таласский, красноперка, густера, востробрюшка, белоглазка, синец, чехонь, буффало, маринка, илийская маринка (илийская популяция), чуйская остролучка, балхашский окунь (балхаш-илийская популяция), чаткальский подкаменщик, волжская многотычинковая сельдь |
0,004 |
|
|
2. |
При проведении спортивно-любительского (рекреационного) рыболовства: |
||
|
2.1. |
с изъятием: |
||
|
2.1.1. |
крупный частик |
0,017 |
|
|
2.1.2. |
белуга |
6,5 |
|
|
2.1.3. |
осетровые |
5,5 |
|
|
2.1.4. |
сиговые, лососевые |
0,042 |
|
|
2.1.5. |
мелкий частик |
0,008 |
|
|
2.1.6. |
Рак |
0,008 |
|
|
2.2. |
на основе принципа «поймал-отпустил»: |
||
|
2.2.1. |
крупный частик |
0,1 |
|
|
2.2.2. |
осетровые (белуга, осетр, севрюга, стерлядь, шип) |
4,97 |
|
|
2.2.3. |
сиговые и лососевые |
0,27 |
|
|
2.2.4. |
мелкий частик |
0,068 |
|
4. Ставки платы за пользование видами животных, используемых в иных хозяйственных целях (кроме охоты и рыболовства), составляют:
|
№ |
Виды животных |
Ставки платы (МРП) |
|
|
за одну особь |
за один килограмм |
||
|
1 |
2 |
3 |
4 |
|
1. |
Млекопитающие: |
||
|
1.1. |
пятнистая или степная кошка |
0,030 |
— |
|
1.2. |
лесная соня |
0,015 |
— |
|
2. |
Птицы: |
||
|
2.1. |
малая, черношейная, красношейная, серощекая, большая поганка, большой баклан, большая выпь, кваква, серая и рыжая цапля |
0,010 |
— |
|
2.2. |
большая белая цапля |
0,015 |
— |
|
2.3. |
тулес, бурокрылая и золотистая ржанка, галстучник, малый зуек, монгольский зуек, каспийский зуек, восточный зуек, морской зуек, хрустан, камнешарка, пастушок, погоныш, малый погоныш, погоныш — крошка, камышница, кулик, сорока, черныш, фифи, большой улит, травник, щеголь, поручейник, перевозчик, мородунка, плосконосый плавунчик, круглоносый плавунчик, кулик-воробей, песочник-красношейка, длиннопалый песочник, белохвостый песочник, краснозобик, чернозобик, острохвостый песочник, песчанка, грязовик, луговая и степная тиркушка, кольчатая горлица, майна, альпийская галка, скворец обыкновенный, обыкновенный щегол, красношапочный вьюрок, сизоворонка, жаворонки (хохлатый, малый, тонкоклювый, серый, солончаковый, степной, двупятнистый, белокрылый, черный, рогатый, лесной, полевой, индийский), клушица, пестрый каменный дрозд |
0,005 |
— |
|
2.4. |
ястреб-тетеревятник |
0,010 |
— |
|
2.5. |
ястреб-перепелятник, сплюшка, домовой сыч, мохноногий сыч, ушастая сова, болотная сова, канюк |
0,045 |
— |
|
3. |
Пресмыкающиеся: |
||
|
3.1. |
среднеазиатская черепаха, болотная черепаха |
0,020 |
— |
|
3.2. |
степная агама, ушастая круглоголовка, такырная круглоголовка, сцинковый геккон |
0,010 |
— |
|
3.3. |
обыкновенный щитомордник |
0,045 |
— |
|
3.4. |
узорчатый полоз, восточный и песчаный удавчик |
0,035 |
— |
|
3.5. |
лягушка озерная |
0,005 |
— |
|
4. |
Водные беспозвоночные животные: |
||
|
4.1. |
артемия (цисты) |
— |
0,045 |
|
4.2. |
гаммарус, дафнии |
— |
0,010 |
|
4.3. |
пиявки |
— |
0,030 |
|
4.4. |
другие водные беспозвоночные и цисты |
— |
0,005 |
|
4.5. |
артемия |
— |
0,0043 |
Сноска. Статья 582 с изменениями, внесенными законами РК от 10.12.2020 № 382-VI (вводится в действие с 01.01.2022); от 21.12.2022 № 165-VII (вводится в действие с 01.01.2024).
Статья 583. Порядок исчисления и уплаты
1. Сумма платы исчисляется плательщиками исходя из установленных ставок и количества животных или веса (для отдельных видов водных животных).
При расчете суммы платы для иностранцев при проведении охоты в Республике Казахстан к установленным ставкам применяется коэффициент, равный 10.
2. Сумма платы уплачивается в бюджет по месту получения разрешения на пользование животным миром. Уплата производится до получения разрешения путем перечисления через банки второго уровня или организации, осуществляющие отдельные виды банковских операций, за исключением платы за пользование видами животных, являющихся объектами промыслового рыболовства, при превышении суммы платы, подлежащей уплате в бюджет, в сумме более 350-кратного размера МРП по квотам изъятия объектов промыслового рыболовства текущего года.
Уплата платы за пользование видами животных, являющихся объектами промыслового рыболовства, при превышении суммы платы, подлежащей уплате в бюджет, в сумме более 350-кратного размера МРП по квотам изъятия объектов промыслового рыболовства текущего года производится долями в следующие сроки:
до 25 декабря текущего года – 20 процентов от общей квоты, выданной в текущем году;
до 25 марта года, следующего за годом, в котором выдана квота – 40 процентов от общей квоты, выданной в текущем году;
до 25 июня года, следующего за годом, в котором выдана квота – 40 процентов от общей квоты, выданной в текущем году.
Сноска. Статья 583 с изменением, внесенным Законом РК от 10.12.2020 № 382-VI (вводится в действие с 01.01.2021).
Параграф 6. Плата за пользование лесными и растительными ресурсами
Сноска. Заголовок параграфа 6 — в редакции Закона РК от 20.03.2023 № 213-VII (вводится в действие с 01.01.2024).
Статья 584. Общие положения
1. Плата за пользование растительными и лесными ресурсами (далее по тексту настоящего параграфа – плата) взимается:
за пользование растительными ресурсами на участках всех категорий земель, кроме земель государственного лесного фонда и особо охраняемых природных территорий, в порядке специального пользования при заготовке (сборе) дикорастущих видов растений для фармацевтических, продовольственных и технических нужд;
за следующие виды лесных пользований на участках государственного лесного фонда:
1) заготовка древесины;
2) заготовка живицы и древесных соков;
3) заготовка второстепенных древесных ресурсов (коры, ветвей, пней, корней, листьев, почек деревьев и кустарников);
4) побочные лесные пользования (сенокошение, пастьба скота, мараловодство, звероводство, размещение ульев и пасек, огородничество, бахчеводство, садоводство и выращивание иных сельскохозяйственных культур, заготовка и сбор лекарственных растений и технического сырья, дикорастущих плодов, орехов, грибов, ягод и других пищевых продуктов, мха, лесной подстилки и опавших листьев, камыша);
5) пользование участками государственного лесного фонда для:
культурно-оздоровительных, рекреационных, туристских и спортивных целей;
нужд охотничьего хозяйства;
6) пользование участками государственного лесного фонда для выращивания посадочного материала древесных и кустарниковых пород и плантационных насаждений специального назначения.
2. Для целей настоящей главы к лесным пользованиям также относится изъятие редких и находящихся под угрозой исчезновения видов растений, их частей или дериватов на основании соответствующего решения Правительства Республики Казахстан.
При принятии решения об изъятии редких и находящихся под угрозой исчезновения видов растений из природной среды, их частей или дериватов объемы таких изъятий, размер платы и срок ее уплаты устанавливаются в каждом отдельном случае Правительством Республики Казахстан.
3. Право лесопользования на участках государственного лесного фонда предоставляется на основании лесорубочного билета и лесного билета (далее – разрешительный документ), выдаваемых в порядке и сроки, которые установлены лесным законодательством Республики Казахстан.
3-1. Право пользования растительными ресурсами в порядке специального пользования растительным миром предоставляется при условии внесения платы за пользование растительными ресурсами в соответствии с налоговым законодательством Республики Казахстан и направления уведомления о заготовке (сборе) дикорастущих растений для фармацевтических, продовольственных и технических нужд.
4. Государственные лесовладельцы (государственные учреждения лесного хозяйства местных исполнительных органов; государственные учреждения лесного хозяйства и государственные организации уполномоченного органа в области лесного хозяйства; природоохранные учреждения уполномоченного органа в области особо охраняемых природных территорий; государственные организации уполномоченного государственного органа, осуществляющего реализацию государственной политики в области транспорта и уполномоченного органа по автомобильным дорогам в соответствии с ведомственной подчиненностью) ежеквартально, в срок не позднее 15 числа второго месяца, следующего за отчетным кварталом, представляют налоговым органам по месту своего нахождения сведения о плательщиках платы и объектах обложения по форме, установленной уполномоченным органом.
4-1. Местные исполнительные органы областей, городов республиканского значения и столицы ежеквартально в срок не позднее 15 числа второго месяца, следующего за отчетным кварталом (годом), представляют налоговым органам по месту своего нахождения сведения о плательщиках платы за пользование растительными ресурсами и объектах обложения по форме, установленной уполномоченным органом.
5. Уполномоченные органы в области лесного хозяйства, особо охраняемых природных территорий и растительного мира ежегодно в срок не позднее 15 числа второго месяца, следующего за отчетным годом, представляют налоговым органам по месту своего нахождения сведения о плательщиках платы, размер которой определяется в соответствии с пунктом 2 настоящей статьи, и объектах обложения по форме, установленной уполномоченным органом.
Сноска. Статья 584 с изменениями, внесенными Законом РК от 20.03.2023 № 213-VII (вводится в действие с 01.01.2024).
Статья 585. Плательщики платы
1. Плательщиками платы являются:
государственные лесовладельцы и лица, получившие право лесопользования в порядке, определенном Лесным кодексом Республики Казахстан;
лица, получившие право на изъятие редких и находящихся под угрозой исчезновения видов растений, их частей или дериватов на основании соответствующего решения Правительства Республики Казахстан.
лица, осуществляющие заготовку (сбор) дикорастущих видов растений для фармацевтических, продовольственных и технических нужд.
2. Не являются плательщиками платы:
лесовладельцы, осуществляющие лесопользование на участках частного лесного фонда, находящихся в их собственности или долгосрочном землепользовании в соответствии с Земельным кодексом Республики Казахстан, при получении права лесопользования с целевым назначением для лесоразведения;
государственные лесовладельцы и лица, получившие право лесопользования в порядке, определенном Лесным кодексом Республики Казахстан, осуществляющие рубки промежуточного пользования и прочие рубки на участках, пройденных пожарами, если площадь таких пожаров составила свыше ста гектаров.
Сноска. Статья 585 с изменениями, внесенными законами РК от 20.03.2023 № 213-VII (вводится в действие с 01.01.2024); от 15.07.2025 № 208-VIII (вводится в действие с 01.01.2025).
Статья 586. Объект обложения
Объектами обложения платой являются:
объем заготовок (сбора) дикорастущих видов растений для фармацевтических, продовольственных и технических нужд вне территории государственного лесного фонда и особо охраняемых природных территорий;
объем лесных пользований и (или) площадь участков государственного лесного фонда, предоставляемых в пользование, в том числе на особо охраняемых природных территориях, за исключением:
1) объема древесины, отпускаемой на корню, при осуществлении рубок ухода за составом и формой насаждений, а также регулировании его полноты в молодняках (осветление, прочистка) и рубок, связанных с реконструкцией малоценных лесных насаждений и формированием ландшафтов, а также при проведении рубок промежуточного пользования и прочих рубок на участках, пройденных пожарами, если площадь таких пожаров составила свыше ста гектаров;
2) объема древесных ресурсов, живицы, второстепенных лесных ресурсов, изъятых для проведения научно-исследовательских работ;
3) объема древесно-кустарниковых пород, отпускаемых на корню лесовладельцами, при проведении рубок промежуточного пользования и прочих рубок на участках, пройденных пожарами, если площадь таких пожаров составила свыше ста гектаров.
Сноска. Статья 586 с изменениями, внесенными законами РК от 20.03.2023 № 213-VII (вводится в действие с 01.01.2024); от 15.07.2025 № 208-VIII (вводится в действие с 01.01.2025).
Статья 587. Ставки платы за пользование лесными и растительными ресурсами
Сноска. Заголовок статьи 587 — в редакции Закона РК от 20.03.2023 № 213-VII (вводится в действие с 01.01.2024).
1. Ставки платы, за исключением указанных в пункте 2 настоящей статьи, устанавливаются местными представительными органами областей, городов республиканского значения и столицы на основании расчетов местных исполнительных органов областей, городов республиканского значения и столицы, составленных в соответствии с порядком, определенным уполномоченными органами в области лесного хозяйства и охраны, защиты, восстановления и использования растительного мира.
2. Ставки платы за древесину, отпускаемую на корню, определяются в размере, кратном МРП, установленному законом о республиканском бюджете и действующему на первое число соответствующего финансового года, в котором возникнет право на лесопользование, за один плотный кубический метр и составляют:
|
№ |
Наименование |
Деловая древесина в зависимости от диаметра отрезков ствола в верхнем торце, без коры (МРП) |
Дровяная древесина в коре (МРП) |
||
|
крупная |
средняя |
мелкая |
|||
|
1 |
2 |
3 |
4 |
5 |
6 |
|
1. |
Сосна |
1,48 |
1,05 |
0,52 |
0,21 |
|
2. |
Ель Шренка |
1,93 |
1,37 |
0,68 |
0,27 |
|
3. |
Ель сибирская, пихта |
1,34 |
0,95 |
0,48 |
0,16 |
|
4. |
Лиственница |
1,19 |
0,85 |
0,41 |
0,15 |
|
5. |
Кедр |
2,67 |
1,91 |
0,93 |
0,23 |
|
6. |
Можжевельник древовидный (арча) |
1,79 |
1,26 |
0,63 |
0,27 |
|
7. |
Дуб, ясень |
2,67 |
1,91 |
0,93 |
0,41 |
|
8. |
Ольха черная, клен, вяз, липа |
0,60 |
0,42 |
0,21 |
0,14 |
|
9. |
Саксаул |
0,60 |
|||
|
10. |
Береза |
0,69 |
0,48 |
0,23 |
0,16 |
|
11. |
Осина, ива древовидная, тополь |
0,52 |
0,37 |
0,18 |
0,11 |
|
12. |
Орех грецкий, фисташка |
3,24 |
2,32 |
1,15 |
0,35 |
|
13. |
Абрикос, акация белая, алыча, боярышник, вишня, лох, рябина, слива, черемуха, шелковица, яблоня, прочие древесные породы |
1,90 |
1,35 |
0,68 |
0,23 |
|
14. |
Можжевельник, кедровый стланик |
0,34 |
0,18 |
||
|
15. |
Гребенщик |
0,3 |
0,25 |
||
|
16. |
Акация желтая, ивы кустарниковые, облепиха, жузгун, чингил и прочие кустарники |
0,19 |
0,12 |
||
3. К ставкам платы применяются следующие коэффициенты:
1) в зависимости от удаленности лесосек от дорог общего пользования:
|
№ |
Удаленность |
Коэффициент |
|
1 |
2 |
3 |
|
1. |
до 10 км |
1,30 |
|
2. |
10,1 — 25 км |
1,20 |
|
3. |
25,1 — 40 км |
1,00 |
|
4. |
40,1 — 60 км |
0,75 |
|
5. |
60,1 — 80 км |
0,55 |
|
6. |
80,1 — 100 км |
0,40 |
|
7. |
более 100 км |
0,30 |
Удаленность лесосеки от дорог общего пользования определяется по картографическим материалам по кратчайшему расстоянию от центра лесосеки до дороги и корректируется в зависимости от рельефа местности по следующим коэффициентам:
равнинный рельеф – 1,1;
холмистый рельеф или заболоченная местность – 1,25;
горный рельеф – 1,5;
2) при проведении рубок промежуточного пользования – 0,6;
3) при проведении выборочных рубок главного пользования – 0,8;
4) при отпуске древесины на горных склонах с крутизной свыше 20 градусов – 0,7.
4. За порубочные остатки (дрова из кроны), образовавшиеся при отпуске древесины на корню, ставка платы устанавливается в размере 20 процентов от ставки на дровяную древесину соответствующей породы, указанной в пункте 2 настоящей статьи.
5. Ставки платы за пользование растительными ресурсами, находящимися вне территории государственного лесного фонда и особо охраняемых природных территорий, определяются в размере, кратном МРП, установленному законом о республиканском бюджете и действующему на первое число соответствующего финансового года, в котором возникнет право на пользование, за один килограмм.
Сноска. Статья 587 с изменениями, внесенными Законом РК от 20.03.2023 № 213-VII (вводится в действие с 01.01.2024).
Статья 588. Порядок исчисления и уплаты
1. Сумма платы за лесные пользования исчисляется государственными лесовладельцами и указывается в разрешительном документе, за исключением платы, размер которой устанавливается в соответствии с пунктом 2 настоящей статьи.
1-1. Сумма платы за пользование растительными ресурсами вне территории государственного лесного фонда и особо охраняемых природных территорий исчисляется местными исполнительными органами областей, городов республиканского значения, столицы.
2. Размер платы определяется:
при отпуске древесины на корню – исходя из объема лесопользования и ставок платы с учетом коэффициентов, установленных статьей 587 настоящего Кодекса;
при иных видах лесопользования, за исключением лесных пользований, размер платы по которым определяется в соответствии с пунктом 2 статьи 587 настоящего Кодекса, – исходя из объема и (или) площади лесопользования, ставок платы за иные виды лесопользования, устанавливаемых местными представительными органами областей, городов республиканского значения и столицы.
3. Сумма платы за лесные пользования уплачивается в бюджет по месту нахождения объекта лесопользования в сроки:
1) при долгосрочном лесопользовании – ежеквартально равными долями от общей суммы ежегодного объема лесопользования, в срок не позднее 20 числа месяца, следующего за отчетным кварталом;
2) при краткосрочном лесопользовании – до или в день получения разрешительных документов. При этом в разрешительном документе делается отметка о произведенной оплате с указанием реквизитов платежного документа;
3) за древесину, отпускаемую на корню, – ежеквартально равными долями от годовой суммы платы по выписанным лесорубочным билетам, в срок не позднее 15 числа месяца, следующего за отчетным кварталом;
4) за изъятие редких и находящихся под угрозой исчезновения видов растений, их частей или дериватов – в сроки, устанавливаемые в каждом отдельном случае на основании соответствующего решения Правительства Республики Казахстан.
3-1. Сумма платы за пользование растительными ресурсами вне территории государственного лесного фонда и особо охраняемых природных территорий уплачивается в бюджет по месту нахождения объекта пользования ежеквартально равными долями от годовой суммы платы в срок не позднее 20 числа месяца, следующего за отчетным кварталом.
4. В случае, если при отпуске древесины на корню, живицы, древесных соков и второстепенных лесных ресурсов общее количество заготовленной древесины, живицы, древесных соков и второстепенных лесных ресурсов не совпадает с количеством (площадью), предусмотренным в лесорубочном билете, государственными лесовладельцами производится перерасчет суммы платы за фактически заготовленный объем. Сумма платы, установленная при перерасчете, уплачивается в очередной срок ее уплаты.
5. За передаваемые в рубку на очередной срок недорубы, а также не начатые рубкой лесосеки предыдущего года уплата суммы платы производится в порядке, определенном статьей 587 настоящего Кодекса.
6. Уплата суммы платы производится путем перечисления через банки второго уровня или организации, осуществляющие отдельные виды банковских операций, либо внесения ее наличными деньгами в кассы государственных лесовладельцев на основании бланков строгой отчетности по форме, установленной уполномоченным органом в области лесного хозяйства.
Принятые суммы платы наличными деньгами сдаются государственными лесовладельцами в банки второго уровня или организации, осуществляющие отдельные виды банковских операций, не позднее следующего операционного дня со дня, в который был осуществлен прием денег для последующего зачисления их в бюджет. В случае, если ежедневные поступления наличных денег составляют менее 10-кратного размера МРП, сдача денег для зачисления в бюджет осуществляется один раз в три операционных дня со дня, в который был осуществлен прием денег.
7. При уплате физическими лицами суммы платы наличными деньгами на бланках строгой отчетности проставляется бизнес-идентификационный номер государственных лесовладельцев.
Сноска. Статья 588 с изменениями, внесенными Законом РК от 20.03.2023 № 213-VII (вводится в действие с 01.01.2024).
Параграф 7. Плата за использование особо охраняемых природных территорий
Сноска. Параграф 7 исключен Законом РК от 08.07.2024 № 119-VIII (вводится в действие по истечении десяти календарных дней после дня его первого официального опубликования).
Параграф 8. Плата за использование радиочастотного спектра
Статья 593. Общие положения
1. Плата за использование радиочастотного спектра (далее в целях настоящего параграфа – плата) взимается за выделенные уполномоченным государственным органом, осуществляющим реализацию государственной политики в области связи, номиналы (полосы, диапазоны) радиочастотного спектра (далее – номиналы радиочастотного спектра).
2. Право использования радиочастотного спектра удостоверяется разрешительными документами, выданными уполномоченным государственным органом, осуществляющим реализацию государственной политики в области связи, в порядке, определенном Законом Республики Казахстан «О связи».
3. Суммы разовой платы за осуществление предпринимательской деятельности по оказанию услуг в области связи с использованием радиочастотного спектра, подлежащие уплате в бюджет в соответствии с Законом Республики Казахстан «О связи», не засчитываются в счет платы.
4. Территориальные подразделения уполномоченного государственного органа, осуществляющего реализацию государственной политики в области связи, представляют в налоговые органы по месту нахождения плательщиков сведения о плательщиках, об объектах обложения, выданных разрешениях, периоде их действия, внесенных изменениях и дополнениях в выданные разрешения, направленных налогоплательщикам извещениях и о суммах платы по форме, установленной уполномоченным органом, в следующие сроки:
1) в случае, установленном частью первой пункта 3 статьи 596 настоящего Кодекса, – не позднее 25 февраля налогового периода;
2) в случае, установленном частью второй пункта 3 статьи 596 настоящего Кодекса, – не позднее 25 числа месяца, следующего за месяцем получения налогоплательщиком разрешения на использование радиочастотного спектра.
5. Территориальные подразделения уполномоченного государственного органа, осуществляющего реализацию государственной политики в области связи, в срок не позднее 25 числа месяца, следующего за отчетным кварталом, представляют в налоговые органы по месту нахождения плательщиков сведения о плательщиках разовой платы за осуществление предпринимательской деятельности по оказанию услуг в области связи с использованием радиочастотного спектра, суммах такой разовой платы, подлежащей уплате в бюджет, и сроках ее уплаты по форме, установленной уполномоченным органом.
Статья 594. Плательщики платы
1. Плательщиками платы являются лица, получившие в установленном законодательством Республики Казахстан порядке право использования радиочастотного спектра.
2. Юридическое лицо вправе своим решением признать самостоятельным плательщиком платы свое структурное подразделение за номиналы радиочастотного спектра, используемые таким структурным подразделением.
Решение юридического лица или отмена такого решения вводится в действие с 1 января года, следующего за годом принятия такого решения.
В случае если юридическое лицо своим решением признало самостоятельным плательщиком платы вновь созданное структурное подразделение юридического лица, то такое решение вводится в действие со дня создания данного структурного подразделения или с 1 января года, следующего за годом создания данного структурного подразделения.
3. Не являются плательщиками платы:
1) государственные учреждения, использующие радиочастотный спектр при исполнении возложенных на них основных функциональных обязанностей;
2) плательщики сбора, взимаемого при выдаче разрешения на использование радиочастотного спектра, указанного в подпункте 4) пункта 3 статьи 550 настоящего Кодекса;
3) владельцы радиостанций СВ-диапазона (27 МГц) за используемые частоты для одной станции.
Статья 595. Ставки платы
1. Годовые ставки платы определяются в размере, кратном МРП, установленному законом о республиканском бюджете и действующему на первое число налогового периода.
2. Годовые ставки платы для следующих видов радиосвязи составляют:
|
№ п/п |
Виды радиосвязи |
Территория использования |
Ставка платы (МРП) |
|
1 |
2 |
3 |
4 |
|
1. |
Радиосистемы персонального радиовызова (за частотное присвоение шириной 25 кГц) |
область, город республиканского значения и столица |
10 |
|
2. |
Транкинговая связь (за радиоканал шириной 25 кГц на прием/25 кГц на передачу) |
||
|
2.1. |
город республиканского значения и столица |
140 |
|
|
2.2. |
населенный пункт с количеством населения свыше 50 тысяч человек |
80 |
|
|
2.3. |
остальные административно-территориальные единицы (город районного значения, район, поселок, село, сельский округ) |
10 |
|
|
3. |
Радиосвязь УКВ-диапазона (за дуплексный канал шириной 25 кГц на прием/25 кГц на передачу) |
||
|
3.1. |
город республиканского значения и столица |
80 |
|
|
3.2. |
населенный пункт с количеством населения свыше 50 тысяч человек |
60 |
|
|
3.3. |
остальные административно-территориальные единицы (город районного значения, район, поселок, село, сельский округ) |
15 |
|
|
4. |
Радиосвязь УКВ-диапазона |
||
|
4.1. |
город республиканского значения и столица |
30 |
|
|
4.2. |
населенный пункт с количеством населения свыше 50 тысяч человек |
20 |
|
|
4.3. |
остальные административно-территориальные единицы (город районного значения, район, поселок, село, сельский округ) |
10 |
|
|
5. |
KB-связь (за одно частотное присвоение) при выходной мощности передатчика: |
область, город республиканского значения и столица |
10 |
|
6. |
Радиоудлинители (за канал) |
область, город республиканского значения и столица |
2 |
|
7. |
Сотовая связь (за полосу частот шириной 1 МГц на прием/1 МГц на передачу |
область, город республиканского значения и столица |
2 300 |
|
8. |
Глобальная персональная подвижная спутниковая связь (за дуплексную полосу частот шириной 100 кГц на прием/100 кГц на передачу) |
Республика Казахстан |
20 |
|
9. |
Спутниковая связь с HUB-технологией (за ширину полосой 100 кГц на прием/100 кГц на передачу, используемую на HUB) |
Республика Казахстан |
30 |
|
9.1. |
Спутниковая связь с применением негеостационарных спутников (за ширину полосой 2 МГц на прием/2 МГц на передачу, на одно приемо-передающее устройство станции сопряжения) |
Республика Казахстан |
1 |
|
10. |
Спутниковая связь без HUB-технологии (за используемые частоты одной станцией) |
Республика Казахстан |
100 |
|
11. |
Радиорелейные линии (за дуплексный ствол на одном пролете): |
||
|
11.1. |
Местные |
район, город, поселок, село, сельский округ |
40 |
|
11.2. |
зоновые и магистральные |
Республика Казахстан |
10 |
|
12. |
Системы беспроводного радиодоступа (за дуплексный канал шириной 25 кГц на прием/25кГц на передачу) |
||
|
12.1. |
населенный пункт с количеством населения свыше 50 тысяч человек |
25 |
|
|
12.2. |
остальные административно-территориальные единицы (город районного значения, район, поселок, село, сельский округ) |
2 |
|
|
13. |
Системы беспроводного радиодоступа при использовании ШПС-технологии (за дуплексный канал шириной на прием 2 МГц/2 МГц на передачу) |
||
|
13.1. |
город республиканского значения и столица |
140 |
|
|
13.2. |
населенный пункт с количеством населения свыше 50 тысяч человек |
70 |
|
|
13.3. |
остальные административно-территориальные единицы (город районного значения, район, поселок, село, сельский округ) |
5 |
|
|
14. |
Эфирно-кабельное телевидение (за полосу частот 8 МГц) |
||
|
14.1. |
населенный пункт с количеством населения свыше 200 тысяч человек |
300 |
|
|
14.2. |
населенный пункт с количеством населения от 50 тысяч до 200 тысяч человек |
135 |
|
|
14.3. |
город районного значения с количеством населения до 50 тысяч человек, район |
45 |
|
|
14.4. |
остальные административно-территориальные единицы (поселок, село, сельский округ) |
5 |
|
|
15. |
Морская радиосвязь (радиомодем, береговая связь, телеметрия, радиолокационная и т. д.), за один радиоканал |
область |
10 |
|
16. |
Сотовая связь 5G/IMT |
область, город республиканского значения и столица |
1150 |
3. Годовые ставки платы для цифрового эфирного телерадиовещания составляют:
|
№ п/п |
Диапазон частот для цифрового эфирного телерадиовещания |
Территория использования |
Ставка платы (МРП) |
|
1 |
2 |
3 |
4 |
|
1. |
Телевидение/метровый диапазон частот |
||
|
1.1. |
Мощность передающего радиоэлектронного средства до 50 Вт включительно |
город республиканского значения и столица |
81 |
|
область |
15 |
||
|
1.2. |
Мощность передающего радиоэлектронного средства до 250 Вт включительно |
город республиканского значения и столица |
361 |
|
область |
65 |
||
|
1.3. |
Мощность передающего радиоэлектронного средства до 500 Вт включительно |
город республиканского значения и столица |
957 |
|
область |
174 |
||
|
1.4. |
Мощность передающего радиоэлектронного средства до 1 000 Вт включительно |
город республиканского значения и столица |
1 353 |
|
область |
245 |
||
|
1.5. |
Мощность передающего радиоэлектронного средства свыше 1 000 Вт |
город республиканского значения и столица |
2 344 |
|
область |
425 |
||
|
2. |
Телевидение/дециметровый диапазон частот |
||
|
2.1. |
Мощность передающего радиоэлектронного средства до 50 Вт включительно |
город республиканского значения и столица |
51 |
|
область |
9 |
||
|
2.2. |
Мощность передающего радиоэлектронного средства до 250 Вт включительно |
город республиканского значения и столица |
228 |
|
область |
41 |
||
|
2.3. |
Мощность передающего радиоэлектронного средства до 500 Вт включительно |
город республиканского значения и столица |
605 |
|
область |
110 |
||
|
2.4. |
Мощность передающего радиоэлектронного средства до 1 000 Вт включительно |
город республиканского значения и столица |
855 |
|
область |
155 |
||
|
2.5. |
Мощность передающего радиоэлектронного средства свыше 1 000 Вт |
город республиканского значения и столица |
1 481 |
|
область |
269 |
4. При использовании радиочастотного спектра на период проведения опытной эксплуатации, соревнований, выставок и иных мероприятий сроком до шести месяцев включительно плата устанавливается в зависимости от вида радиосвязи, территории использования радиочастотного спектра и мощности передающего радиоэлектронного средства в размере, соответствующем сроку его фактического использования, но не менее 1/12 размера годовой ставки платы.
В случае применения технологий с использованием полосы дуплексного (симплексного) канала шириной, отличающейся от указанной в пунктах 2 и 3 настоящей статьи, ставки платы определяются исходя из удельного веса фактически применяемой плательщиком ширины полосы дуплексного (симплексного) канала к ширине полосы дуплексного (симплексного) канала, указанной в пунктах 2 и 3 настоящей статьи.
При использовании технологии широкополосного сигнала плата взимается за полосу шириной 2 МГц на прием/2 МГц на передачу.
Сноска. Статья 595 в редакции Закона РК от 28.12.2018 № 210-VI (вводится в действие с 01.01.2019); с изменениями, внесенными законами РК от 11.07.2022 № 135-VII (вводится в действие с 01.01.2023); от 15.07.2025 № 208-VIII (вводится в действие с 01.01.2025).
Статья 596. Порядок исчисления и уплаты
1. Сумма платы исчисляется уполномоченным государственным органом, осуществляющим реализацию государственной политики в области связи, в соответствии с техническими параметрами, в том числе мощностью передающего радиоэлектронного средства, указанными в разрешительных документах, на основании годовых ставок платы в зависимости от вида радиосвязи и территории использования радиочастотного спектра.
2. В случае, если период использования радиочастотного спектра в налоговом периоде составляет менее одного года, сумма платы определяется делением суммы платы, исчисленной на год, на двенадцать и умножением на соответствующее количество месяцев фактического периода использования радиочастотного спектра в году.
При этом фактический период использования радиочастотного спектра определяется с начала налогового периода (в случае, если право на использование радиочастотного спектра на основании разрешительного документа действовало (возникло) на дату начала налогового периода) или с 1 числа месяца возникновения такого права до 1 числа месяца, в котором прекращается (прекратилось) такое право, или до конца налогового периода (в случае, если такое право имелось (действовало) на дату окончания налогового периода).
3. Уполномоченные государственные органы, осуществляющие реализацию государственной политики в области связи, выписывают извещение с указанием годовой суммы платы и направляют его плательщикам платы не позднее 20 февраля текущего отчетного периода.
В случае получения разрешительного документа, удостоверяющего право использования радиочастотного спектра, после указанного срока уполномоченный государственный орган, осуществляющий реализацию государственной политики в области связи, направляет налогоплательщику извещение с указанием суммы платы не позднее 20 числа месяца, следующего за месяцем, в котором налогоплательщиком получено разрешение на использование радиочастотного спектра.
4. Если иное не установлено настоящим пунктом, сумма годовой платы уплачивается в бюджет по месту нахождения плательщика платы равными долями не позднее 25 марта, 25 июня, 25 сентября и 25 декабря текущего года.
В случаях получения разрешительного документа на использование радиочастотного спектра после одного из вышеперечисленных сроков уплаты первым сроком внесения в бюджет платы является следующий очередной срок уплаты после получения извещения, указанного в пункте 3 настоящей статьи.
При этом сумма платы, подлежащая уплате в бюджет, перераспределяется равными долями на предстоящие сроки уплаты в текущем налоговом периоде.
5. Иностранцы, лица без гражданства и юридические лица-нерезиденты, не осуществляющие деятельность в Республике Казахстан и не зарегистрированные в качестве налогоплательщиков Республики Казахстан, уплачивают плату в бюджет по месту нахождения уполномоченного государственного органа, осуществляющего реализацию государственной политики в области связи, за весь период действия права на использование радиочастотного спектра, указанного в разрешительном документе на использование радиочастотного спектра, но не менее чем за 1 месяц, в срок не позднее 25 числа месяца, следующего за месяцем, в котором получено такое разрешение.
Статья 597. Налоговый период
Налоговый период определяется в соответствии со статьей 314 настоящего Кодекса.
Параграф 9. Плата за предоставление междугородной и (или) международной телефонной связи, а также сотовой связи
Статья 598. Общие положения
1. Плата за предоставление междугородной и (или) международной телефонной связи, а также сотовой связи (далее в целях настоящего параграфа – плата) взимается за право предоставления:
1) междугородной и (или) международной телефонной связи;
2) сотовой связи.
2. Право предоставления междугородной и (или) международной телефонной связи, а также сотовой связи удостоверяется разрешительными документами, выданными уполномоченным государственным органом, осуществляющим реализацию государственной политики в области связи в порядке, определенном законодательством Республики Казахстан.
3. Территориальные подразделения уполномоченного государственного органа, осуществляющего реализацию государственной политики в области связи, представляют налоговым органам по месту нахождения плательщиков платы сведения о плательщиках, объектах обложения платой, выданных разрешениях, периоде их действия, внесенных изменениях и дополнениях в выданные разрешения, суммах платы по форме, установленной уполномоченным органом, в следующие сроки:
1) в случае, установленном частью первой пункта 3 статьи 602 настоящего Кодекса, – не позднее 25 февраля налогового периода;
2) в случае, установленном частью второй пункта 3 статьи 602 настоящего Кодекса, – не позднее 25 числа месяца, следующего за месяцем получения налогоплательщиком разрешения на предоставление междугородной и (или) международной телефонной связи, а также сотовой связи.
Статья 599. Плательщики платы
Плательщиками платы являются юридические лица, являющиеся операторами междугородной и (или) международной телефонной связи, а также сотовой связи, получившие право на предоставление междугородной и (или) международной телефонной связи, а также сотовой связи в порядке, определенном Законом Республики Казахстан «О связи».
Статья 600. Налоговый период
Налоговым периодом для исчисления платы является календарный год с 1 января по 31 декабря.
Статья 601. Ставки платы
Ставки платы устанавливаются Правительством Республики Казахстан.
Статья 602. Порядок исчисления и уплаты
1. Сумма платы исчисляется уполномоченным государственным органом, осуществляющим реализацию государственной политики в области связи, исходя из доходов плательщиков от предоставления услуг электрической связи (телекоммуникаций) за предшествующий год и установленных ставок платы.
2. В случае, если период предоставления междугородной и (или) международной телефонной связи, а также сотовой связи в отчетном налоговом периоде составляет менее одного года, сумма платы определяется путем деления суммы платы, исчисленной по году, на двенадцать и умножения на фактическое количество месяцев предоставления междугородной и (или) международной телефонной связи, а также сотовой связи в отчетном периоде.
При этом фактический период предоставления междугородной и (или) международной телефонной связи, а также сотовой связи в отчетном налоговом периоде определяется с начала налогового периода (в случае, если право на предоставление междугородной и (или) международной телефонной связи, а также сотовой связи на основании разрешительного документа действовало (возникло) на дату начала налогового периода) или с 1 числа месяца возникновения такого права до 1 числа месяца, в котором прекращено такое право, или до конца налогового периода (в случае, если такое право имелось (действовало) на дату окончания налогового периода).
3. Уполномоченный государственный орган, осуществляющий реализацию государственной политики в области связи, выписывает извещение с указанием годовой суммы платы и направляет его плательщику не позднее 20 февраля текущего отчетного периода.
В случае получения разрешительного документа, удостоверяющего право, после срока, установленного частью первой настоящего пункта, уполномоченный государственный орган, осуществляющий реализацию государственной политики в области связи, направляет плательщику извещение с указанием суммы платы в срок не позднее 20 числа месяца, следующего за месяцем получения налогоплательщиком разрешения на предоставление междугородной и (или) международной телефонной связи, а также сотовой связи.
4. Если иное не установлено настоящим пунктом, сумма годовой платы уплачивается в бюджет по месту нахождения плательщика платы равными долями в срок не позднее 25 марта, 25 июня, 25 сентября и 25 декабря текущего года.
В случаях получения разрешительного документа, удостоверяющего право предоставления междугородной и (или) международной телефонной связи, а также сотовой связи, после одного из вышеперечисленных сроков уплаты платы первым сроком внесения в бюджет платы является следующий очередной срок уплаты после получения извещения, указанного в пункте 3 настоящей статьи.
При этом сумма платы, подлежащая уплате в бюджет, перераспределяется равными долями на предстоящие сроки уплаты в текущем году.
Параграф 10. Плата за размещение наружной (визуальной) рекламы
Статья 603. Общие положения
1. Плата за размещение наружной (визуальной) рекламы (далее в целях настоящего параграфа – плата) взимается за размещение наружной (визуальной) рекламы на открытом пространстве за пределами помещений в населенных пунктах, в полосе отвода автомобильных дорог общего пользования, на открытом пространстве за пределами помещений вне населенных пунктов и вне полосы отвода автомобильных дорог общего пользования.
2. В случае ненаправления соответствующего уведомления основанием для взыскания и внесения в бюджет суммы платы является фактическое размещение наружной (визуальной) рекламы.
3. Местные исполнительные органы ежемесячно в срок не позднее 15 числа месяца, следующего за отчетным, представляют налоговым органам по месту размещения наружной (визуальной) рекламы сведения о плательщиках платы, суммах платы, периоде и месте размещения наружной (визуальной) рекламы, направлении (ненаправлении) уведомления по форме, установленной уполномоченным органом.
Сноска. Статья 603 в редакции Закона РК от 08.01.2019 № 215-VI (вводится в действие по истечении трех месяцев после дня его первого официального опубликования).
Статья 604. Плательщики платы
1. Плательщиками платы являются лица, размещающие наружную (визуальную) рекламу.
2. Юридическое лицо вправе своим решением признать самостоятельным плательщиком платы свое структурное подразделение.
Решение юридического лица или отмена такого решения вводится в действие с 1 января года, следующего за годом принятия такого решения.
В случае если юридическое лицо признало плательщиком платы вновь созданное структурное подразделение юридического лица, то такое решение вводится в действие со дня создания данного структурного подразделения или с 1 января года, следующего за годом создания данного структурного подразделения.
3. Не являются плательщиками платы государственные органы Республики Казахстан по наружной (визуальной) рекламе, размещаемой в связи с реализацией возложенных на них функциональных обязанностей.
Статья 605. Ставки платы
1. Ставки платы определяются в размере, кратном МРП, установленному законом о республиканском бюджете и действующему на первое число соответствующего календарного месяца, в котором осуществляется размещение наружной (визуальной) рекламы.
2. Базовые ежемесячные ставки платы за размещение наружной (визуальной) рекламы в полосе отвода автомобильных дорог общего пользования международного и республиканского значения с площадью стороны размещаемой наружной (визуальной) рекламы до трех квадратных метров составляют:
|
№ |
Категория дорог |
Ставка платы (МРП) |
|
1 |
2 |
3 |
|
1. |
Подходы к городу |
8 |
|
2. |
I, II |
7 |
|
3. |
III |
3 |
|
4. |
IV |
2 |
При размещении наружной (визуальной) рекламы с площадью стороны размещения такой рекламы три и более квадратных метра базовые ежемесячные ставки платы повышаются пропорционально увеличению площади стороны размещаемой наружной (визуальной) рекламы по отношению к трем квадратным метрам.
3. Базовые ежемесячные ставки платы за размещение наружной (визуальной) рекламы на открытом пространстве за пределами помещений в населенных пунктах, в полосе отвода автомобильных дорог общего пользования областного и районного значения, на открытом пространстве за пределами помещений вне населенных пунктов и вне полосы отвода автомобильных дорог общего пользования устанавливаются исходя из места расположения и площади стороны размещения наружной (визуальной) рекламы:
|
№ п/п |
Виды наружной (визуальной) рекламы |
Ставки платы за сторону размещения наружной (визуальной) рекламы (МРП) |
||
|
в городе республи-канского значения и столице |
в городе областного значения и в полосе отвода автомобильных дорог общего пользования областного значения |
в городе районного значения, селе, поселке, в полосе отвода автомобильных дорог общего пользования районного значения, вне населенных пунктов и вне полосы отвода автомобильных дорог общего пользования |
||
|
1 |
2 |
3 |
4 |
5 |
|
1. |
Наружная (визуальная) реклама до 2 кв.м, за исключением наружной (визуальной) рекламы, распространяемой посредством видеоизображения |
2 |
1 |
0,5 |
|
2. |
Лайтбоксы (сити-формата) |
3 |
2 |
1 |
|
3. |
Наружная (визуальная) реклама, за исключением наружной (визуальной) рекламы, распространяемой посредством видеоизображения, площадью: |
|||
|
3.1. |
от 2 до 5 кв.м |
5 |
3 |
1 |
|
3.2. |
от 5 до 10 кв.м |
10 |
5 |
2 |
|
3.3. |
от 10 до 20 кв.м |
20 |
10 |
3 |
|
3.4. |
от 20 до 30 кв.м |
30 |
15 |
5 |
|
3.5. |
от 30 до 50 кв.м |
50 |
20 |
7 |
|
3.6. |
от 50 до 70 кв.м |
70 |
30 |
12 |
|
3.7. |
свыше 70 кв.м |
100 |
50 |
25 |
|
4. |
Надкрышная световая наружная (визуальная) реклама (светодинамические панно или объемные |
|||
|
4.1. |
до 30 кв.м |
30 |
20 |
6 |
|
4.2. |
свыше 30 кв.м |
50 |
30 |
8 |
|
5. |
Наружная (визуальная) реклама на палатках, тентах, шатрах, навесах, зонтах, флагах, вымпелах, штандартах, уличной мебели (оборудовании), за исключением наружной (визуальной) рекламы, распространяемой посредством видеоизображения: |
|||
|
5.1. |
до 5 кв.м |
1 |
1 |
0 |
|
5.2. |
от 5 до 10 кв.м |
2 |
1 |
0 |
|
5.3. |
свыше 10 кв.м |
3 |
2 |
1 |
|
6. |
Наружная (визуальная) реклама на киосках временного типа, за исключением наружной (визуальной) рекламы, распространяемой посредством видеоизображения: |
|||
|
6.1. |
до 2 кв.м |
2 |
1 |
0 |
|
6.2. |
от 2 до 5 кв.м |
2 |
1 |
0 |
|
6.3. |
от 5 до 10 кв.м |
3 |
2 |
1 |
|
6.4. |
свыше 10 кв.м |
8 |
4 |
2 |
|
7. |
Выносная передвижная реклама |
10 |
5 |
1 |
|
8. |
Наружная (визуальная) реклама, распространяемая посредством видеоизображения, площадью: |
|||
|
8.1. |
до 20 кв.м |
20 |
14 |
6 |
|
8.2. |
свыше 20 кв.м |
30 |
24 |
16 |
|
9. |
Наружная (визуальная) реклама, распространяемая посредством бегущей строки |
3 |
2 |
1 |
Местные представительные органы областей, городов республиканского значения и столицы по наружной (визуальной) рекламе, размещаемой на открытом пространстве за пределами помещений в населенных пунктах и в полосе отвода автомобильных дорог общего пользования областного значения, имеют право повышать размеры базовых ежемесячных ставок платы не более чем в два раза в зависимости от месторасположения наружной (визуальной) рекламы.
Примечание. Под стороной размещения наружной (визуальной) рекламы понимается сторона объекта наружной (визуальной) рекламы исходя из места расположения и площади стороны размещения наружной (визуальной) рекламы, вне зависимости от количества размещаемой наружной (визуальной) рекламы, в том числе изображений, видеоизображений, бегущих строк на казахском и русском языках.
Сноска. Статья 605 с изменениями, внесенными законами РК от 08.01.2019 № 215-VI (вводится в действие по истечении трех месяцев после дня его первого официального опубликования); от 21.12.2022 № 165-VII (вводится в действие с 01.01.2024).
Статья 606. Порядок исчисления, уплаты и сроки уплаты
1. Размер платы исчисляется исходя из ставок платы и фактического срока размещения наружной (визуальной) рекламы:
1) указанного в уведомлении;
2) установленного местным исполнительным органом города республиканского значения, столицы, города областного значения и района – в случае размещения наружной (визуальной) рекламы без направления уведомления.
При размещении наружной (визуальной) рекламы на срок менее одного календарного месяца размер платы определяется за один календарный месяц.
2. Сумма платы, подлежащая внесению в бюджет, уплачивается ежемесячно, в срок не позднее 25 числа текущего месяца.
При этом в случае размещения наружной (визуальной) рекламы на основании уведомления уплата платы за первый месяц размещения рекламы должна быть произведена до направления уведомления.
3. При направлении уведомления местным исполнительным органам городов республиканского значения, столицы, городов областного значения и районов плательщики платы прилагают документ, подтверждающий внесение в бюджет суммы платы за первый месяц размещения наружной (визуальной) рекламы.
4. Сумма платы уплачивается в бюджет по месту размещения наружной (визуальной) рекламы.
Сноска. Статья 606 с изменениями, внесенными Законом РК от 08.01.2019 № 215-VI (вводится в действие по истечении трех месяцев после дня его первого официального опубликования).
Параграф 11. Плата за цифровой майнинг
Сноска. Глава 69 дополнена параграфом 11 в соответствии с Законом РК от 24.06. 2021 № 53-VII (вводится в действие с 01.01.2022).
Статья 606-1. Общие положения
1. Плата за цифровой майнинг (далее в целях настоящего параграфа – плата) взимается за объем электрической энергии, потребленной при цифровом майнинге.
2. исключан Законом РК от 12.12.2023 № 45-VIII (вводится в действие с 01.01.2024).
Сноска. Статья 606-1 с изменениями, внесенными законами РК от 20.12.2021 № 85-VII (вводится в действие с 01.01.2022); от 12.12.2023 № 45-VIII (вводится в действие с 01.01.2024).
Статья 606-2. Плательщики платы
В целях настоящей главы плательщиками платы являются лица:
осуществляющие цифровой майнинг на территории Республики Казахстан;
оказывающие услуги по обеспечению комплексной вычислительной инфраструктурой для выполнения вычислительных операций и обработки данных лицам, осуществляющим деятельность цифрового майнинга.
Сноска. Статья 606-2 — в редакции Закона РК от 21.12.2022 № 165-VII (вводится в действие с 01.01.2024).
Статья 606-3. Ставка платы
1. Если иное не предусмотрено настоящей статьей, в целях цифрового майнинга исчисление платы производится по ставке в размере 2 тенге за 1 киловатт-час потребленной электрической энергии за отчетный период.
2. В целях цифрового майнинга плата исчисляется по ставке 1 тенге за 1 киловатт-час потребленной электрической энергии при использовании электрической энергии, произведенной из возобновляемых источников электрической энергии на собственных электростанциях на территории Республики Казахстан или из генерирующих установок, не подключенных к единой электроэнергетической системе Республики Казахстан.
3. В случаях отсутствия контрольных приборов учета объема потребления электрической энергии и (или) нахождения их в неисправном состоянии в целях цифрового майнинга объем потребленной электрической энергии рассчитывается из расчета круглосуточного потребления максимальной мощности электрической энергии.
4. исключен Законом РК от 12.12.2023 № 45-VIII (вводится в действие с 01.01.2024).
Сноска. Статья 606-3 — в редакции Закона РК от 11.07.2022 № 135-VII (вводится в действие с 01.01.2023); от 06.02.2023 № 196-VII (вводится в действие с 01.01.2024); с изменениями, внесенными Законом РК от 12.12.2023 № 45-VIII (вводится в действие с 01.01.2024).
Статья 606-4. Налоговый период и налоговая декларация
1. Налоговым периодом для исчисления платы является квартал.
2. Декларация представляется в налоговый орган по месту нахождения налогоплательщика ежеквартально не позднее 15 числа второго месяца, следующего за отчетным кварталом.
Сноска. Статья 606-4 – в редакции Закона РК от 21.12.2022 № 165-VII (вводится в действие с 01.01.2023).
Статья 606-5. Порядок исчисления и уплаты
1. Сумма платы исчисляется плательщиками платы исходя из фактических объемов электрической энергии, потребленной при осуществлении цифрового майнинга, и установленной ставки платы.
2. Плательщики платы уплачивают в бюджет текущие суммы платы ежеквартально не позднее 25 числа второго месяца, следующего за отчетным кварталом.
3. Сумма платы подлежит уплате в бюджет по месту нахождения налогоплательщика.
Сноска. Статья 606-5 с изменением, внесенным Законом РК от 21.12.2022 № 165-VII (вводится в действие с 01.01.2023).
Глава 70. ГОСУДАРСТВЕННАЯ ПОШЛИНА. КОНСУЛЬСКИЙ СБОР
Параграф 1. Государственная пошлина
Статья 607. Общие положения
1. Государственной пошлиной является платеж в бюджет, взимаемый за совершение юридически значимых действий, в том числе связанных с выдачей документов (их копий, дубликатов) уполномоченными государственными органами или должностными лицами.
2. Уполномоченные государственные органы или должностные лица ежеквартально, в срок не позднее 20 числа месяца, следующего за отчетным кварталом, предоставляют налоговому органу по месту своего нахождения информацию о плательщиках государственной пошлины и исчисленных ими суммах государственной пошлины по форме, установленной уполномоченным органом.
Статья 608. Плательщики государственной пошлины
1. Плательщиками государственной пошлины являются лица, обращающиеся по поводу совершения юридически значимых действий в уполномоченные государственные органы или к должностным лицам.
2. Юридическое лицо вправе своим решением возложить обязанность по уплате сумм государственной пошлины на свое структурное подразделение при совершении соответствующими уполномоченными органами юридически значимых действий в интересах такого структурного подразделения.
Статья 609. Объекты взимания
1. Государственная пошлина взимается:
1) с подаваемых в Конституционный Суд Республики Казахстан обращений граждан, в суд административных исков, исковых заявлений, заявлений особого искового производства, заявлений (жалоб) по делам особого производства, заявлений о вынесении судебного приказа, заявлений о выдаче дубликата исполнительного листа, заявлений о выдаче исполнительных листов на принудительное исполнение решений арбитража и иностранных судов, ходатайств об отмене арбитражного решения, заявлений о повторной выдаче копий судебных актов, исполнительных листов и иных документов;
2) за совершение нотариальных действий, а также за выдачу копий (дубликатов) нотариально удостоверенных документов уполномоченными лицами, предусмотренных Законом Республики Казахстан «О нотариате»;
3) исключен Законом РК от 06.02.2023 № 196-VII (вводится в действие с 01.07.2023).
4) за оформление документов на выезд из Республики Казахстан на постоянное место жительства;
5) за оформление приглашений на въезд иностранцев и лиц без гражданства в Республику Казахстан по частным делам, прием и согласование приглашений принимающих лиц по выдаче виз Республики Казахстан;
6) за выдачу, восстановление или продление на территории Республики Казахстан иностранцам и лицам без гражданства виз на право выезда из Республики Казахстан и въезда в Республику Казахстан;
7) за оформление документов о приобретении гражданства Республики Казахстан, восстановлении гражданства Республики Казахстан и прекращении гражданства Республики Казахстан;
8) за выдачу (переоформление) удостоверения охотника (дубликата удостоверения охотника);
9) за выдачу:
разрешений на импорт на территорию Республики Казахстан, экспорт и (или) реэкспорт с территории Республики Казахстан объектов растительного мира, их частей и дериватов, подпадающих под действие Конвенции о международной торговле видами дикой фауны и флоры, находящимися под угрозой исчезновения;
разрешений на импорт на территорию Республики Казахстан, экспорт и (или) реэкспорт с территории Республики Казахстан видов животных, подпадающих под действие Конвенции о международной торговле видами дикой фауны и флоры, находящимися под угрозой исчезновения;
заключения (разрешительного документа) на вывоз с таможенной территории Евразийского экономического союза отдельных дикорастущих растений и дикорастущего лекарственного сырья, в том числе редких и находящихся под угрозой исчезновения;
заключения (разрешительного документа) на вывоз с таможенной территории Евразийского экономического союза диких животных, в том числе редких и находящихся под угрозой исчезновения;
10) за выдачу документов, удостоверяющих личность, за исключением удостоверения беженца;
11) за выдачу разрешений на приобретение, хранение или хранение и ношение, перевозку гражданского, служебного оружия и патронов к нему;
12) за выдачу заключений на ввоз на территорию Республики Казахстан и вывоз с территории Республики Казахстан гражданского, служебного оружия и патронов к нему;
13) исключен Законом РК от 25.11.2019 № 272-VI (вводится в действие по истечении десяти календарных дней после дня его первого официального опубликования);
14) за регистрацию и перерегистрацию каждой единицы гражданского, служебного оружия физических и юридических лиц (за исключением холодного охотничьего, сигнального оружия, механических распылителей, аэрозольных и других устройств, снаряженных слезоточивыми или раздражающими веществами, пневматического оружия с дульной энергией не более 7,5 Дж и калибра до 4,5 мм включительно);
15) за проставление уполномоченными Правительством Республики Казахстан государственными органами апостиля на официальных документах, совершенных в Республике Казахстан, в соответствии с международным договором, ратифицированным Республикой Казахстан;
16) за выдачу водительских удостоверений, удостоверений тракториста-машиниста, свидетельств о государственной регистрации механических транспортных средств;
17) за выдачу государственных регистрационных номерных знаков (дубликатов), за исключением государственных регистрационных номерных знаков на автомобиль, находившихся на хранении в течение периода, не превышающего срока, установленного для их хранения законодательством Республики Казахстан по учету государственных регистрационных номерных знаков;
18) за совершение уполномоченным государственным органом в области интеллектуальной собственности юридически значимых действий, предусмотренных статьей 614 настоящего Кодекса;
19) за выдачу удостоверения допуска к осуществлению международных автомобильных перевозок грузов и его дубликата;
20) за выдачу удостоверения личности моряка, мореходной книжки Республики Казахстан и профессионального диплома;
21) за выдачу разрешения на приобретение гражданских пиротехнических веществ и изделий с их применением.
22) за выдачу разрешения на постоянное проживание в Республике Казахстан.
2. Ставки государственной пошлины определяются в размере, кратном месячному расчетному показателю, установленному законом о республиканском бюджете и действующему на дату уплаты государственной пошлины (далее по тексту настоящей главы – МРП), или в процентах от суммы иска, если иное не установлено статьей 610 настоящего Кодекса.
Сноска. Статья 609 с изменениями, внесенными законами РК от 28.10.2019 № 268-VI (вводится в действие по истечении двадцати одного календарного дня после дня его первого официального опубликования); от 25.11.2019 № 272-VI (вводится в действие по истечении десяти календарных дней после дня его первого официального опубликования); от 10.12.2020 № 382-VI (вводится в действие с 01.01.2022); от 20.12.2021 № 85-VII (вводится в действие с 01.01.2022); от 21.12.2022 № 165-VII (порядок введения в действие см. ст. 4); от 06.02.2023 № 196-VII (вводится в действие с 01.07.2023); от 15.07.2025 № 208-VIII (вводится в действие по истечении шестидесяти календарных дней после дня его первого официального опубликования).
Статья 610. Ставки государственной пошлины в Конституционном Суде Республики Казахстан и в судах
Сноска. Заголовок статьи 610 с изменением, внесенным Законом РК от 21.12.2022 № 165-VII (вводится в действие с 01.01.2024).
1. С подаваемых в суд административных исков, исков, заявлений особого искового производства, заявлений (жалоб) по делам особого производства, заявлений о вынесении судебного приказа, заявлений о выдаче дубликата исполнительного листа, заявлений о выдаче исполнительных листов на принудительное исполнение решений арбитража и иностранных судов, заявлений о повторной выдаче копий судебных актов, исполнительных листов и иных документов государственная пошлина взимается в следующих размерах:
1) если иное не установлено настоящим пунктом, с исков имущественного характера:
для физических лиц – 1 процент от суммы иска, но не более 10 000 МРП;
для юридических лиц – 3 процента от суммы иска, но не более 20 000 МРП;
Нормативным постановлением Конституционного Суда РК от 22.02.2023 № 3 подпункт 1) пункта 1 статьи 610 настоящего Кодекса РК признан соответствующим пункту 2 статьи 13 и статье 14 Конституции Республики Казахстан.
2) с жалоб на неправомерные действия (бездействие) и решения государственных органов и их должностных лиц, ущемляющие права физических лиц, – 0,3 МРП;
3) с жалоб на неправомерные действия (бездействие) и решения государственных органов и их должностных лиц, ущемляющие права юридических лиц, – 5 МРП;
4) с административных исков об оспаривании уведомлений по актам проверок и (или) уведомлений по результатам горизонтального мониторинга:
для индивидуальных предпринимателей и крестьянских или фермерских хозяйств – 0,1 процента от оспариваемой суммы налогов, таможенных платежей и платежей в бюджет (включая пени), указанных в уведомлении, но не более 500 МРП;
для юридических лиц – 1 процент от оспариваемой суммы налогов, таможенных платежей и платежей в бюджет (включая пени), указанных в уведомлении, но не более 20 тысяч МРП;
5) с исковых заявлений о расторжении брака – 0,3 МРП.
В случаях раздела имущества при расторжении брака пошлина определяется от цены иска согласно подпункту 1) настоящего пункта;
6) с исковых заявлений о разделе имущества при расторжении брака с лицами, признанными в установленном порядке безвестно отсутствующими или недееспособными вследствие душевной болезни или слабоумия, либо с лицами, осужденными к лишению свободы на срок свыше трех лет, – согласно подпункту 1) настоящего пункта;
7) с исковых заявлений об изменении или расторжении договора найма жилища, о продлении срока принятия наследства, об освобождении имущества от ареста и с других исковых заявлений неимущественного характера или не подлежащих оценке, – 0,5 МРП;
8) с заявлений особого искового производства, заявлений (жалоб) по делам особого производства, административных исков в рамках Административного процедурно-процессуального кодекса Республики Казахстан, за исключением указанных в подпунктах 2), 3), 4) и 13) настоящего пункта, – 0,5 МРП;
9) с ходатайств об отмене решений арбитража – 50 процентов от размера государственной пошлины, взимаемой при подаче искового заявления неимущественного характера в суд Республики Казахстан, а по спорам имущественного характера – 50 процентов от размера государственной пошлины, взимаемой при подаче искового заявления имущественного характера в суд Республики Казахстан и исчисленной исходя из оспариваемой заявителем суммы;
10) с заявлений о вынесении судебного приказа – 50 процентов от ставок государственной пошлины, указанных в подпункте 1) настоящего пункта;
11) с заявлений о выдаче дубликата исполнительного листа, заявлений о выдаче исполнительных листов на принудительное исполнение решений арбитража и иностранных судов – 5 МРП;
12) с заявлений о повторной выдаче копий (дубликатов) судебных решений, приговоров, определений, прочих постановлений судов, а также копий других документов из дела, выдаваемых судами по просьбе сторон и других лиц, участвующих в деле, – 0,1 МРП за каждый документ, а также 0,03 МРП за каждую изготовленную страницу;
13) с заявлений о признании юридических лиц банкротами, применении реабилитационной процедуры – 0,5 МРП;
13-1) с заявлений о применении процедуры восстановления платежеспособности или процедуры судебного банкротства – 0,3 МРП;
14) с исковых заявлений физических лиц о взыскании в денежном выражении компенсации морального вреда, причиненного распространением сведений, порочащих честь, достоинство и деловую репутацию, – 1 процент от суммы иска;
15) с исковых заявлений юридических лиц о взыскании убытков, причиненных распространением сведений, порочащих деловую репутацию, – 3 процента от суммы иска.
1-1. С подаваемых в Конституционный Суд Республики Казахстан обращений граждан государственная пошлина взимается в размере нулевой ставки.
2. С ходатайств о пересмотре судебных актов в кассационном порядке на определения по вопросам отмены решений арбитража и выдачи исполнительных листов на принудительное исполнение решений арбитража и иностранных судов, решения и постановления судов по спорам неимущественного и имущественного характера государственная пошлина взимается в размере 50 процентов от соответствующей ставки государственной пошлины, установленной пунктом 1 настоящей статьи для субъекта обращения.
Нормативным постановлением Конституционного Суда РК от 22.02.2023 № 3 признаны не соответствующими пункту 2 статьи 13 и статье 14 Конституции Республики Казахстан положения пункта 2 статьи 610 Кодекса Республики Казахстан «О налогах и других обязательных платежах в бюджет» (Налоговый кодекс) в части слов «при подаче административного иска, искового заявления (заявления) по таким спорам», которые приводят к ущемлению и ограничению конституционного права каждого на судебную защиту своих прав и свобод.
3. За исковые заявления, содержащие одновременно требования имущественного и неимущественного характера, взимается одновременно государственная пошлина, установленная для исковых заявлений имущественного характера и для исковых заявлений неимущественного характера.
Сноска. Статья 610 с изменениями, внесенными законами РК от 27.12.2019 № 290-VІ (вводится в действие по истечении десяти календарных дней после дня его первого официального опубликования); от 20.12.2021 № 85-VII (вводится в действие с 01.01.2022); от 20.03.2023 № 213-VII (порядок введения в действие см. ст. 2); от 21.12.2022 № 165-VII (вводится в действие с 01.01.2024); от 12.12.2023 № 45-VIII (вводится в действие с 01.01.2024).
Статья 611. Ставки государственной пошлины за совершение нотариальных действий
За совершение нотариальных действий государственная пошлина взимается в следующих размерах:
1) за удостоверение договоров об отчуждении недвижимого имущества (земельных участков, жилищ, дач, гаражей, сооружений и иного недвижимого имущества) в городской местности:
если одной из сторон является юридическое лицо, – 10 МРП;
стоимостью до 30 МРП:
детям, супругу, родителям, родным братьям и сестрам, внукам – 1 МРП;
другим лицам – 3 МРП;
стоимостью свыше 30 МРП:
детям, супругу, родителям, родным братьям и сестрам, внукам – 5 МРП;
другим лицам – 7 МРП;
если сделка совершается в целях приобретения недвижимого имущества за счет средств, полученных по ипотечному жилищному займу, – 2 МРП;
2) за удостоверение договоров об отчуждении недвижимого имущества (земельных участков, жилищ, дач, гаражей, сооружений и иного недвижимого имущества) в сельской местности:
если одной из сторон является юридическое лицо, – 1 МРП;
детям, супругу, родителям, родным братьям и сестрам, внукам – 0,5 МРП;
другим лицам – 0,7 МРП;
3) за удостоверение договоров отчуждения автомототранспортных средств:
если одной из сторон является юридическое лицо, – 7 МРП;
детям, супругу, родителям, родным братьям и сестрам, внукам – 2 МРП;
другим лицам – 5 МРП;
4) за удостоверение договоров аренды, займа (за исключением договоров ипотечного жилищного займа), задатка, лизинга, подряда, брачных контрактов, раздела имущества, находящегося в общей собственности, раздела наследственного имущества, соглашений по уплате алиментов, учредительных договоров – 5 МРП;
5) за удостоверение договоров ипотечного жилищного займа – 2 МРП;
6) за удостоверение завещаний – 1 МРП;
7) за выдачу свидетельств о праве на наследство – 1 МРП за каждое выданное свидетельство;
8) за выдачу свидетельств о праве собственности на долю в общем имуществе супругов и иных лиц, имеющих имущество на праве общей совместной собственности, – 1 МРП;
9) за удостоверение доверенностей на право пользования и распоряжения имуществом – 0,5 МРП;
10) за удостоверение доверенностей на право пользования и управления автотранспортными средствами без права продажи – 1 МРП;
11) за удостоверение доверенностей на продажу, дарение, мену автотранспортных средств – 2 МРП;
12) за удостоверение прочих доверенностей:
для физических лиц – 0,1 МРП;
для юридических лиц – 0,5 МРП;
12-1) за удостоверение согласий, для которых законодательством Республики Казахстан предусмотрено обязательное нотариальное удостоверение, – 0,5 МРП;
13) за принятие мер по охране наследственного имущества – 1 МРП;
14) за совершение морского протеста – 0,5 МРП;
15) за свидетельствование верности копий документов и выписок из документов (за страницу):
для физических лиц – 0,05 МРП;
для юридических лиц – 0,1 МРП;
16) за свидетельствование подлинности подписи на документах, а также верности перевода документов с одного языка на другой (за каждый документ):
для физических лиц – 0,03 МРП;
для юридических лиц – 0,1 МРП;
17) за передачу заявлений физических и юридических лиц другим физическим и юридическим лицам – 0,2 МРП;
18) за выдачу нотариально засвидетельствованных копий документов – 0,2 МРП;
19) за выдачу дубликата – 1 МРП;
20) за свидетельствование подлинности подписей при открытии счетов в банках второго уровня (за каждый документ):
для физических лиц – 0,1 МРП;
для юридических лиц – 0,5 МРП;
21) за удостоверение договоров залога недвижимости, прав требования и ипотечных свидетельств по ипотечным жилищным займам – 2 МРП; за удостоверение иных договоров залога – 7 МРП;
22) за совершение протеста векселя и за удостоверение неоплаты чека – 0,5 МРП;
23) за совершение исполнительной надписи – 0,5 МРП;
24) за хранение документов и ценных бумаг – 0,1 МРП за каждый месяц;
25) за удостоверение договоров поручительства и гарантии – 0,5 МРП;
26) за совершение других нотариальных действий, предусмотренных иными законами Республики Казахстан, – 0,2 МРП.
Сноска. Статья 611 с изменением, внесенным Законом РК от 21.01.2019 № 217-VI (вводится в действие по истечении десяти календарных дней после дня его первого официального опубликования).
Статья 612. Ставки государственной пошлины за регистрацию актов гражданского состояния
Сноска. Статья 612 исключена Законом РК от 06.02.2023 № 196-VII (вводится в действие с 01.07.2023).
Статья 613. Ставки государственной пошлины при выдаче виз Республики Казахстан, оформлении документов на выезд из Республики Казахстан на постоянное место жительства, оформлении и согласовании приглашений на въезд иностранцев и лиц без гражданства в Республику Казахстан, приобретении гражданства Республики Казахстан, восстановлении гражданства Республики Казахстан или выходе из гражданства Республики Казахстан, выдаче разрешения на постоянное проживание в Республике Казахстан
Сноска. Заголовок статьи 613 — в редакции Закона РК от 10.12.2020 № 382-VI (вводится в действие с 01.01.2022).
За совершение действий, связанных с выдачей виз Республики Казахстан, оформлением документов на выезд из Республики Казахстан на постоянное место жительства, оформлением и согласованием приглашений на въезд иностранцев и лиц без гражданства в Республику Казахстан, приобретением гражданства Республики Казахстан, восстановлением гражданства Республики Казахстан или выходом из гражданства Республики Казахстан, выдачей разрешения на постоянное проживание в Республике Казахстан, государственная пошлина взимается в следующих размерах:
1) за выдачу, восстановление или продление на территории Республики Казахстан иностранцам и лицам без гражданства визы на право:
выезда из Республики Казахстан – 0,5 МРП;
въезда в Республику Казахстан и выезда из Республики Казахстан – 7 МРП;
многократного въезда в Республику Казахстан и выезда из Республики Казахстан – 30 МРП;
2) за оформление документов на выезд из Республики Казахстан на постоянное место жительства гражданам Республики Казахстан, а также иностранцам и лицам без гражданства, постоянно проживающим на территории Республики Казахстан, – 1 МРП;
3) за оформление приглашений на въезд иностранцев и лиц без гражданства в Республику Казахстан по частным делам, согласование приглашений принимающих лиц по выдаче виз Республики Казахстан – 0,5 МРП за каждого приглашаемого;
4) за оформление документов о приобретении гражданства Республики Казахстан, восстановлении в гражданстве Республики Казахстан, выходе из гражданства Республики Казахстан – 1 МРП.
5) за выдачу разрешения на постоянное проживание в Республике Казахстан – 4 МРП.
Сноска. Статья 613 с изменениями, внесенными Законом РК от 10.12.2020 № 382-VI (вводится в действие с 01.01.2022).
Статья 614. Ставки государственной пошлины за совершение юридически значимых действий уполномоченным государственным органом в области интеллектуальной собственности
За совершение юридически значимых действий уполномоченным государственным органом в области интеллектуальной собственности государственная пошлина взимается в следующих размерах:
1) за признание товарного знака общеизвестным – 1 МРП;
2) за аттестацию патентных поверенных – 15 МРП;
3) за регистрацию в качестве патентного поверенного – 1 МРП.
Сноска. Статья 614 в редакции Закона РК от 20.06.2018 № 161-VI (вводится в действие по истечении десяти календарных дней после дня его первого официального опубликования).
Статья 615. Ставки государственной пошлины за совершение прочих действий
За совершение прочих действий государственная пошлина взимается в следующих размерах:
1) за выдачу (переоформление) удостоверения охотника (дубликата удостоверения охотника) – 2 МРП;
2) за выдачу:
разрешений на импорт на территорию Республики Казахстан, экспорт и (или) реэкспорт с территории Республики Казахстан объектов растительного мира, их частей и дериватов, подпадающих под действие Конвенции о международной торговле видами дикой фауны и флоры, находящимися под угрозой исчезновения, – 2 МРП;
разрешений на импорт на территорию Республики Казахстан, экспорт и (или) реэкспорт с территории Республики Казахстан видов животных, подпадающих под действие Конвенции о международной торговле видами дикой фауны и флоры, находящимися под угрозой исчезновения, – 2 МРП;
заключения (разрешительного документа) на вывоз с таможенной территории Евразийского экономического союза отдельных дикорастущих растений и дикорастущего лекарственного сырья, в том числе редких и находящихся под угрозой исчезновения, – 2 МРП;
заключения (разрешительного документа) на вывоз с таможенной территории Евразийского экономического союза диких животных, в том числе редких и находящихся под угрозой исчезновения, – 2 МРП;
3) за выдачу:
паспорта гражданина Республики Казахстан объемом:
24 страницы – 4 МРП (для детей до 16 лет);
36 страниц – 8 МРП;
48 страниц – 12 МРП;
удостоверения лица без гражданства, проездного документа – 8 МРП;
удостоверения личности гражданина Республики Казахстан – 0,2 МРП;
удостоверения личности гражданина Республики Казахстан в связи с его утратой в течение года более двух раз – 1 МРП;
вида на жительство иностранца в Республике Казахстан – 0,2 МРП;
4) за выдачу:
юридическим лицам:
заключения на ввоз на территорию Республики Казахстан гражданского, служебного оружия и патронов к нему – 2 МРП;
заключения на вывоз с территории Республики Казахстан гражданского, служебного оружия и патронов к нему – 2 МРП;
разрешения на хранение гражданского, служебного оружия и патронов к нему – 1 МРП;
разрешения на хранение и ношение гражданского, служебного оружия и патронов к нему – 1 МРП;
разрешения на перевозку гражданского, служебного оружия и патронов к нему – 2 МРП;
разрешения на приобретение гражданского, служебного оружия и патронов к нему – 3 МРП;
разрешения на приобретение гражданских пиротехнических веществ и изделий с их применением – 3 МРП;
физическим лицам:
разрешения на приобретение гражданского оружия и патронов к нему – 0,5 МРП;
разрешения на хранение гражданского оружия и патронов к нему – 0,5 МРП;
разрешения на хранение и ношение гражданского оружия и патронов к нему – 0,5 МРП;
разрешения на перевозку гражданского оружия и патронов к нему – 0,1 МРП;
5) за регистрацию и перерегистрацию каждой единицы гражданского, служебного оружия физических и юридических лиц (за исключением холодного охотничьего, сигнального оружия, механических распылителей, аэрозольных и других устройств, снаряженных слезоточивыми или раздражающими веществами, пневматического оружия с дульной энергией не более 7,5 Дж и калибра до 4,5 мм включительно) – 0,1 МРП;
6) за внесение изменений в документы, удостоверяющие личность, – 0,1 МРП;
7) за проставление уполномоченными Правительством Республики Казахстан государственными органами апостиля на официальных документах, совершенных в Республике Казахстан, в соответствии с международным договором, ратифицированным Республикой Казахстан, – 0,5 МРП за каждый документ;
8) за выдачу:
водительского удостоверения – 1,25 МРП;
свидетельства о государственной регистрации транспортных средств – 1,25 МРП;
государственного регистрационного номерного знака на автомобиль, если иное не установлено настоящим подпунктом, – 2,8 МРП;
дубликата государственного регистрационного номерного знака в количестве 2 единиц на автомобиль – 2,8 МРП;
дубликата государственного регистрационного номерного знака в количестве 1 единицы на автомобиль – 1,4 МРП;
государственных регистрационных номерных знаков цифрового обозначения 010, 020, 030, 040, 050, 060, 070, 077, 080, 090, 707 на автомобиль – 57 МРП;
государственных регистрационных номерных знаков цифрового обозначения 010, 020, 030, 040, 050, 060, 070, 077, 080, 090, 707 с одинаковыми буквенными обозначениями на автомобиль – 114 МРП;
государственных регистрационных номерных знаков цифрового обозначения 100, 111, 200, 222, 300, 333, 400, 444, 500, 555, 600, 666, 700, 800, 888, 900, 999 на автомобиль – 137 МРП;
государственных регистрационных номерных знаков цифрового обозначения 100, 111, 200, 222, 300, 333, 400, 444, 500, 555, 600, 666, 700, 800, 888, 900, 999 с одинаковыми буквенными обозначениями на автомобиль – 194 МРП;
государственных регистрационных номерных знаков цифрового обозначения 001, 002, 003, 004, 005, 006, 007, 008, 009, 777 на автомобиль – 228 МРП;
государственных регистрационных номерных знаков цифрового обозначения 001, 002, 003, 004, 005, 006, 007, 008, 009, 777 с одинаковыми буквенными обозначениями на автомобиль – 285 МРП;
государственных регистрационных номерных знаков (за исключением государственных регистрационных номерных знаков цифрового обозначения 001, 002, 003, 004, 005, 006, 007, 008, 009, 010, 020, 030, 040, 050, 060, 070, 077, 080, 090, 100, 111, 200, 222, 300, 333, 400, 444, 500, 555, 600, 666, 700, 707, 777, 800, 888, 900, 999) с одинаковыми буквенными обозначениями на автомобиль – 57 МРП;
государственного регистрационного номерного знака на мототранспорт, прицеп к автомобилю – 1,4 МРП;
дубликата государственного регистрационного номерного знака на мототранспорт, прицеп к автомобилю – 1,4 МРП;
государственного регистрационного номерного знака (транзитного) для перегона транспортного средства – 0,35 МРП.
При этом размер государственной пошлины за выдачу государственного регистрационного номерного знака на автомобиль, находящийся в ведении государственного органа, составляет 2,8 МРП;
9) за выдачу:
удостоверения тракториста-машиниста – 0,5 МРП;
государственного регистрационного номерного знака на тракторы, изготовленные на их базе самоходные шасси и механизмы, прицепы к ним, (включая прицепы со смонтированным специальным оборудованием), самоходные сельскохозяйственные, мелиоративные и дорожно-строительные машины и механизмы – 1 МРП;
технического паспорта для государственной регистрации тракторов, изготовленных на их базе самоходных шасси и механизмов, прицепов к ним (включая прицепы со смонтированным специальным оборудованием), самоходных сельскохозяйственных, мелиоративных и дорожно-строительных машин и механизмов – 0,5 МРП;
10) за выдачу удостоверения допуска к осуществлению международных автомобильных перевозок грузов и его дубликата – 0,25 МРП;
11) за выдачу:
удостоверения личности моряка – 5 МРП;
мореходной книжки Республики Казахстан – 3,5 МРП;
профессионального диплома – 2 МРП.
Сноска. Статья 615 с изменениями, внесенными законами РК от 28.10.2019 № 268-VI (вводится в действие по истечении двадцати одного календарного дня после дня его первого официального опубликования); от 25.11.2019 № 272-VI (вводится в действие по истечении десяти календарных дней после дня его первого официального опубликования); от 10.12.2020 № 382-VI (вводится в действие с 01.01.2022); от 20.03.2023 № 213-VII (вводится в действие с 01.01.2024).
Статья 616. Освобождение от уплаты государственной пошлины в судах
Сноска. Заголовок статьи 616 — в редакции Закона РК от 12.12.2023 № 45-VIII (вводится в действие с 01.01.2024).
От уплаты государственной пошлины в судах освобождаются:
1) истцы – по искам о взыскании сумм оплаты труда и другим требованиям, связанным с трудовой деятельностью;
2) истцы – авторы, исполнители и организации, управляющие их имущественными правами на коллективной основе, – по искам, вытекающим из авторского права и смежных прав;
3) истцы – авторы объектов промышленной собственности – по искам, вытекающим из права на изобретение, полезные модели и промышленные образцы;
4) истцы – по искам о взыскании алиментов;
5) истцы – по искам о возмещении вреда, причиненного увечьем или иным повреждением здоровья, а также смертью кормильца;
6) истцы – по искам о возмещении материального ущерба, причиненного уголовным правонарушением;
7) физические и юридические лица, кроме лиц, не имеющих отношения к делу, – за выдачу им документов в связи с уголовными делами и делами по алиментам;
8) истцы – по искам о взыскании в доход государства средств в счет возмещения ущерба, причиненного государству нарушением природоохранного законодательства Республики Казахстан;
9) заявители – по заявлениям о нарушениях избирательных прав граждан и общественных объединений, прав граждан и общественных объединений участвовать в республиканском референдуме;
10) профессиональные школы и профессиональные лицеи, обеспечивающие подготовку работников квалифицированного труда и рабочих кадров повышенного уровня квалификации, – по искам о взыскании понесенных государством расходов на содержание учащихся, самовольно оставивших учебные заведения или исключенных из них;
11) физические и юридические лица, обратившиеся в случаях, предусмотренных законодательством Республики Казахстан, в суд с заявлением в защиту прав и охраняемых законом интересов других лиц или государства;
12) поверенный (агент), обратившийся в суд с иском по возврату бюджетных кредитов, а также государственных и гарантированных государством займов в соответствии с бюджетным законодательством Республики Казахстан;
13) ветераны Великой Отечественной войны, ветераны, приравненные по льготам к ветеранам Великой Отечественной войны, и ветераны боевых действий на территории других государств, лица, награжденные орденами и медалями бывшего Союза ССР за самоотверженный труд и безупречную воинскую службу в тылу в годы Великой Отечественной войны, лица, проработавшие (прослужившие) не менее шести месяцев с 22 июня 1941 года по 9 мая 1945 года и не награжденные орденами и медалями бывшего Союза ССР за самоотверженный труд и безупречную воинскую службу в тылу в годы Великой Отечественной войны, лица с инвалидностью, а также один из родителей лица с инвалидностью с детства, ребенка с инвалидностью – по всем делам и документам;
14) истцы-кандасы – по всем делам и документам, связанным с приобретением гражданства Республики Казахстан;
15) физические и юридические лица – за подачу в суд заявлений:
об отмене определения суда о прекращении производства по делу или оставлении заявления без рассмотрения;
об отсрочке или рассрочке исполнения решения;
об изменении способа и порядка исполнения решения;
об обеспечении исков или замене одного вида обеспечения другим;
о пересмотре решений, определений или постановлений суда по вновь открывшимся обстоятельствам;
о сложении или уменьшении штрафов, наложенных определениями суда;
о повороте исполнения решений суда о восстановлении пропущенных сроков;
о помещении в специальные организации образования и организации образования с особым режимом содержания;
а также жалоб:
на действия судебных исполнителей;
частных жалоб на определения судов об отказе в сложении или уменьшении штрафов;
других частных жалоб на определения суда;
жалоб на постановления по делам об административных правонарушениях;
16) органы прокуратуры – по всем искам;
17) государственные учреждения и государственные учебные заведения среднего образования – при предъявлении исков и обжаловании решений судов, за исключением случаев защиты интересов третьих лиц;
18) общественные объединения лиц с инвалидностью и (или) созданные ими организации, в которых работают не менее 35 процентов лиц с инвалидностью по потере слуха, речи, а также зрения, – при подаче исков в своих интересах;
19) страхователи и страховщики – по искам, возникающим из договоров обязательного страхования;
20) истцы и ответчики – по спорам, связанным с возмещением ущерба, причиненного гражданину незаконным осуждением, незаконным применением меры пресечения в виде заключения под стражу либо незаконным наложением административного взыскания в виде ареста;
21) Национальный Банк Республики Казахстан, его филиалы, представительства и ведомства – при подаче исков по вопросам, входящим в их компетенцию;
21-1) Уполномоченный по правам человека в Республике Казахстан – при подаче исков по вопросам, входящим в его компетенцию;
22) ликвидационные комиссии принудительно ликвидируемых финансовых организаций – по искам, заявлениям, жалобам, поданным в интересах ликвидационного производства;
22-1) ликвидационные комиссии принудительно прекращающих деятельность филиалов банков-нерезидентов Республики Казахстан, филиалов страховых (перестраховочных) организаций-нерезидентов Республики Казахстан – по искам, заявлениям, жалобам, поданным в интересах процедуры принудительного прекращения деятельности;
23) временные администрации принудительно ликвидируемых финансовых организаций – по искам, заявлениям, жалобам, поданным в интересах временной администрации;
24) банки, уполномоченные в соответствии с законом Республики Казахстан на реализацию государственной инвестиционной политики, – при подаче исков:
о взыскании задолженности по кредитам, выданным на возвратной основе за счет бюджетных средств;
об обращении взыскания на имущество;
о банкротстве должников в связи с неисполнением ими обязательств по внешним государственным и гарантированным государством займам, а также займам, выданным за счет бюджетных средств;
25) представители держателей облигаций – при подаче исков от имени держателей облигаций по вопросам неисполнения эмитентами обязательств, установленных проспектом выпуска облигаций;
26) банкротные и реабилитационные управляющие – при подаче исков в интересах процедуры банкротства, реабилитационной процедуры в пределах своих полномочий, предусмотренных законодательством Республики Казахстан о реабилитации и банкротстве;
26-1) единый накопительный пенсионный фонд, добровольные накопительные пенсионные фонды – при предъявлении исков и обжаловании решений судов в рамках проводимых работ по взысканию с должников задолженности, образовавшейся в связи с неисполнением ими обязательств в отношении пенсионных активов;
27) органы внутренних дел – при подаче заявлений по вопросам, связанным с выдворением иностранцев и лиц без гражданства за пределы Республики Казахстан за нарушение законодательства Республики Казахстан;
28) истцы (заявители) – по искам (заявлениям) о защите прав, свобод и законных интересов физических и юридических лиц, в том числе в интересах неопределенного круга лиц, по вопросам охраны окружающей среды и использования природных ресурсов;
Примечание РЦПИ!
Подпункт 29) действует до 01.01.2027 в соответствии с Законом РК от 25.12.2017 № 121-VI.
29) организация, специализирующаяся на улучшении качества кредитных портфелей банков второго уровня, единственным акционером которой является Правительство Республики Казахстан, – при предъявлении исков и обжаловании решений судов;
30) истцы – по искам о признании потенциального поставщика или поставщика недобросовестным участником государственных закупок.
Лица, указанные в части первой настоящей статьи, освобождаются от уплаты государственной пошлины в судах также при обжаловании судебных актов.
Сноска. Статья 616 с изменениями, внесенными законами РК от 26.12.2018 № 202-VI (вводится в действие с 01.01.2019); от 06.05.2020 № 324-VІ (вводится в действие по истечении десяти календарных дней после дня его первого официального опубликования); от 10.12.2020 № 382-VI (порядок введения в действие см. ст. 2); от 29.12.2021 № 93-VII (вводится в действие по истечении шести месяцев после дня его первого официального опубликования); от 21.12.2022 № 165-VII (вводится в действие с 01.01.2023); от 12.12.2023 № 45-VIII (вводится в действие с 01.01.2024); от 15.07.2025 № 208-VIII (вводится в действие с 01.01.2025).
Статья 617. Освобождение от уплаты государственной пошлины при совершении нотариальных действий
От уплаты государственной пошлины при совершении нотариальных действий освобождаются:
1) физические лица – за удостоверение их завещаний, договоров дарения имущества в пользу государства;
2) государственные учреждения – за выдачу им свидетельств (дубликатов свидетельств) о праве государства на наследство, а также за все документы, необходимые для получения этих свидетельств (дубликатов свидетельств);
3) физические лица – за выдачу им свидетельств о праве на наследство:
имущества лиц, погибших при защите Республики Казахстан, в связи с выполнением иных государственных или общественных обязанностей либо в связи с выполнением долга гражданина Республики Казахстан по спасению человеческой жизни, охране государственной собственности и правопорядка;
жилища или пая в жилищно-строительном кооперативе, если наследник проживал с наследодателем не менее трех лет на день смерти наследодателя и продолжает проживать в этом жилище после его смерти;
страховых выплат по договорам страхования, облигаций государственных займов, сумм оплаты труда, авторских прав, сумм авторского гонорара и вознаграждения за открытия, изобретения и промышленные образцы;
имущества реабилитированных граждан;
4) ветераны Великой Отечественной войны, ветераны, приравненные по льготам к ветеранам Великой Отечественной войны, и ветераны боевых действий на территории других государств, лица, награжденные орденами и медалями бывшего Союза ССР за самоотверженный труд и безупречную воинскую службу в тылу в годы Великой Отечественной войны, лица, проработавшие (прослужившие) не менее шести месяцев с 22 июня 1941 года по 9 мая 1945 года и не награжденные орденами и медалями бывшего Союза ССР за самоотверженный труд и безупречную воинскую службу в тылу в годы Великой Отечественной войны, лица с инвалидностью, а также один из родителей лица с инвалидностью с детства, ребенка с инвалидностью – по всем нотариальным действиям;
5) кандасы – по всем нотариальным действиям, связанным с приобретением гражданства Республики Казахстан;
6) многодетные матери, удостоенные звания «Мать-героиня», награжденные подвесками «Алтын алқа», «Күмiс алқа», – по всем нотариальным действиям;
7) физические лица, страдающие хронической душевной болезнью, над которыми учреждена опека в установленном законодательством Республики Казахстан порядке, – за получение свидетельств о наследовании ими имущества;
8) союз «Добровольное общество лиц с инвалидностью Казахстана» (ДОИК), Казахское общество глухих (КОГ), Казахское общество слепых (КОС), а также их производственные предприятия – по всем нотариальным действиям;
9) дети-сироты и дети, оставшиеся без попечения родителей, до достижения ими восемнадцатилетнего возраста – за выдачу им свидетельств о праве на наследство.
Сноска. Статья 617 с изменением, внесенным Законом РК от 06.05.2020 № 324-VІ (вводится в действие по истечении десяти календарных дней после дня его первого официального опубликования).
Статья 618. Освобождение от уплаты государственной пошлины при регистрации актов гражданского состояния
Сноска. Статья 618 исключена Законом РК от 06.02.2023 № 196-VII (вводится в действие с 01.07.2023).
Статья 619. Освобождение от уплаты государственной пошлины при оформлении документов о приобретении гражданства Республики Казахстан
1. От уплаты государственной пошлины освобождаются:
1) лица, вынужденно покинувшие территорию Республики Казахстан в периоды массовых репрессий, насильственной коллективизации, в результате иных антигуманных политических акций, и их потомки – за оформление документов о приобретении гражданства Республики Казахстан;
2) кандасы – за оформление документов о приобретении гражданства Республики Казахстан.
2. Указанное освобождение от уплаты государственной пошлины предоставляется один раз.
Статья 620. Освобождение от уплаты государственной пошлины при совершении юридически значимых действий уполномоченным государственным органом в области интеллектуальной собственности
Освобождаются от уплаты государственной пошлины при совершении юридически значимых действий уполномоченным государственным органом в области интеллектуальной собственности:
1) престарелые и лица с инвалидностью, проживающие в медико-социальных учреждениях общего типа для престарелых и лиц с инвалидностью;
2) учащиеся школ-интернатов, профессиональных школ и профессиональных лицеев, находящиеся на полном государственном обеспечении и проживающие в общежитиях;
3) кандасы;
4) герои Советского Союза, герои Социалистического Труда, лица, награжденные орденами Славы трех степеней и Трудовой Славы трех степеней, «Алтын Қыран», «Отан», удостоенные званий «Халық қаһарманы», «Қазақстанның Еңбек Epi», многодетные матери, удостоенные звания «Мать-героиня», награжденные подвесками «Алтын алқа», «Күмiс алқа»;
5) ветераны Великой Отечественной войны, ветераны, приравненные по льготам к ветеранам Великой Отечественной войны, и ветераны боевых действий на территории других государств, лица, награжденные орденами и медалями бывшего Союза ССР за самоотверженный труд и безупречную воинскую службу в тылу в годы Великой Отечественной войны, лица, проработавшие (прослужившие) не менее шести месяцев с 22 июня 1941 года по 9 мая 1945 года и не награжденные орденами и медалями бывшего Союза ССР за самоотверженный труд и безупречную воинскую службу в тылу в годы Великой Отечественной войны, лица с инвалидностью, один из родителей лица с инвалидностью с детства, ребенка с инвалидностью, а также граждане, пострадавшие вследствие Чернобыльской катастрофы.
Сноска. Статья 620 с изменением, внесенным Законом РК от 06.05.2020 № 324-VІ (вводится в действие по истечении десяти календарных дней после дня его первого официального опубликования).
Статья 621. Освобождение от уплаты государственной пошлины при согласовании приглашений принимающих лиц по выдаче виз Республики Казахстан, а также при выдаче, восстановлении или продлении виз Республики Казахстан
От уплаты государственной пошлины освобождаются:
1) при согласовании приглашений принимающих лиц по выдаче виз Республики Казахстан:
физические и юридические лица государств, заключивших с Республикой Казахстан международный договор о взаимном отказе от взимания консульских сборов;
принимающие лица, ходатайствующие о согласовании приглашений по выдаче виз Республики Казахстан:
членам иностранных официальных делегаций и сопровождающим их лицам, направляющимся в Республику Казахстан;
иностранцам, направляющимся в Республику Казахстан по приглашениям Администрации Президента Республики Казахстан, Правительства Республики Казахстан, Парламента Республики Казахстан, Конституционного Суда Республики Казахстан, Верховного Суда Республики Казахстан, Центральной избирательной комиссии Республики Казахстан, Канцелярии Премьер-Министра Республики Казахстан, государственных органов, акиматов областей, городов республиканского значения и столицы;
иностранцам, направляющимся в Республику Казахстан с гуманитарной помощью, согласованной с заинтересованными государственными органами Республики Казахстан;
иностранным инвесторам;
этническим казахам;
детям до 16 лет на основе принципа взаимности;
2) за выдачу, восстановление или продление на территории Республики Казахстан визы иностранцам и лицам без гражданства:
членам иностранных официальных делегаций и сопровождающим их лицам, прибывающим в Республику Казахстан;
прибывающим в Республику Казахстан по приглашению Администрации Президента Республики Казахстан, Правительства Республики Казахстан, Парламента Республики Казахстан, Конституционного Суда Республики Казахстан, Верховного Суда Республики Казахстан, Центральной избирательной комиссии Республики Казахстан, Канцелярии Премьер-Министра Республики Казахстан, государственных органов, акиматов областей, городов республиканского значения и столицы;
иностранцам, направляющимся в Республику Казахстан с гуманитарной помощью, согласованной с заинтересованными государственными органами Республики Казахстан;
этническим казахам;
детям до 16 лет на основе принципа взаимности;
лицам, которые ранее состояли в гражданстве Республики Казахстан, постоянно проживающим за границей и направляющимся в Республику Казахстан на похороны близких родственников;
иностранным инвесторам;
3) за выдачу повторных виз взамен первичных виз, содержащих ошибки, допущенные сотрудниками консульских учреждений Республики Казахстан, Министерства иностранных дел Республики Казахстан, Министерства внутренних дел Республики Казахстан.
Сноска. Статья 621 с именениями, внесенными законами РК от 10.12.2020 № 382-VI (вводится в действие с 01.01.2021); от 21.12.2022 № 165-VII (вводится в действие с 01.01.2023).
Статья 622. Освобождение от уплаты государственной пошлины при совершении прочих действий
Освобождаются от уплаты государственной пошлины:
1) при предъявлении гражданского иска в уголовном деле;
2) при проставлении апостиля на документах, поступающих на апостилирование через дипломатические представительства и консульские учреждения Республики Казахстан;
3) при выдаче повторных свидетельств о регистрации актов гражданского состояния – граждане, обратившиеся через дипломатические представительства и консульские учреждения Республики Казахстан;
4) при выдаче паспортов и удостоверений личности граждан Республики Казахстан, а также видов на жительство иностранного гражданина в Республике Казахстан и удостоверений лица без гражданства:
герои Советского Союза, герои Социалистического Труда;
лица, награжденные орденами Славы трех степеней и Трудовой Славы трех степеней, «Алтын Қыран», «Отан», удостоенные званий «Халық қаһарманы», «Қазақстанның Еңбек Epi»;
многодетные матери, удостоенные звания «Мать-героиня», награжденные подвесками «Алтын алқа», «Күмiс алқа»;
ветераны Великой Отечественной войны, ветераны, приравненные по льготам к ветеранам Великой Отечественной войны, и ветераны боевых действий на территории других государств, лица, награжденные орденами и медалями бывшего Союза ССР за самоотверженный труд и безупречную воинскую службу в тылу в годы Великой Отечественной войны, лица, проработавшие (прослужившие) не менее шести месяцев с 22 июня 1941 года по 9 мая 1945 года и не награжденные орденами и медалями бывшего Союза ССР за самоотверженный труд и безупречную воинскую службу в тылу в годы Великой Отечественной войны, лица с инвалидностью, а также один из родителей лица с инвалидностью с детства, ребенка с инвалидностью;
престарелые, проживающие в медико-социальных учреждениях общего типа для престарелых и лиц с инвалидностью, дети-сироты и дети, оставшиеся без попечения родителей, находящиеся на полном государственном обеспечении, проживающие в детских домах и (или) интернатах;
граждане, пострадавшие вследствие Чернобыльской катастрофы;
5) при выдаче государственного регистрационного номерного знака на автомобиль, прицеп к автомобилю, мототранспорт, за исключением выдачи государственных регистрационных номерных знаков повышенного спроса:
герои Советского Союза, герои Социалистического Труда, лица, награжденные орденами Славы трех степеней и Трудовой Славы трех степеней, «Алтын Қыран», «Отан», удостоенные званий «Халық қаһарманы», «Қазақстанның Еңбек Epi»;
ветераны Великой Отечественной войны, ветераны, приравненные по льготам к ветеранам Великой Отечественной войны, и ветераны боевых действий на территории других государств, лица, награжденные орденами и медалями бывшего Союза ССР за самоотверженный труд и безупречную воинскую службу в тылу в годы Великой Отечественной войны, лица, проработавшие (прослужившие) не менее шести месяцев с 22 июня 1941 года по 9 мая 1945 года и не награжденные орденами и медалями бывшего Союза ССР за самоотверженный труд и безупречную воинскую службу в тылу в годы Великой Отечественной войны, лица с инвалидностью, а также один из родителей лица с инвалидностью с детства, ребенка с инвалидностью;
граждане, пострадавшие вследствие Чернобыльской катастрофы.
Сноска. Статья 622 с изменениями, внесенными законами РК от 06.05.2020 № 324-VІ (вводится в действие по истечении десяти календарных дней после дня его первого официального опубликования); от 10.12.2020 № 382-VI (вводится в действие с 01.01.2021).
Статья 623. Порядок уплаты государственной пошлины
1. Государственная пошлина уплачивается:
1) по делам, рассматриваемым судами, – до подачи соответствующего иска, административного иска, заявления (жалобы) или заявления о вынесении судебного приказа, за исключением случаев, предусмотренных статьей 51-2 настоящего Кодекса, дел, предусмотренных частью третьей статьи 106 Гражданского процессуального кодекса Республики Казахстан, а также при выдаче судом копий документов;
по обращениям граждан, рассматриваемым Конституционным Судом Республики Казахстан, – до подачи обращения;
2) за выполнение нотариальных действий, а также за выдачу копий документов, дубликатов – при регистрации совершенного нотариального действия;
3) исключен Законом РК от 06.02.2023 № 196-VII (вводится в действие с 01.07.2023).
4) исключен Законом РК от 06.02.2023 № 196-VII (вводится в действие с 01.07.2023).
5) до выдачи соответствующих документов:
за выдачу паспортов и удостоверений личности граждан Республики Казахстан, удостоверений лица без гражданства, вида на жительство иностранца в Республике Казахстан и проездного документа;
за выдачу удостоверения допуска к осуществлению международных автомобильных перевозок грузов (дубликата удостоверения допуска);
за выдачу (переоформление) удостоверения охотника (дубликата удостоверения охотника);
за выдачу:
разрешений на импорт на территорию Республики Казахстан, экспорт и (или) реэкспорт с территории Республики Казахстан объектов растительного мира, их частей и дериватов, подпадающих под действие Конвенции о международной торговле видами дикой фауны и флоры, находящимися под угрозой исчезновения;
разрешений на импорт на территорию Республики Казахстан, экспорт и (или) реэкспорт с территории Республики Казахстан видов животных, подпадающих под действие Конвенции о международной торговле видами дикой фауны и флоры, находящимися под угрозой исчезновения;
заключения (разрешительного документа) на вывоз с таможенной территории Евразийского экономического союза отдельных дикорастущих растений и дикорастущего лекарственного сырья, в том числе редких и находящихся под угрозой исчезновения;
заключения (разрешительного документа) на вывоз с таможенной территории Евразийского экономического союза диких животных, в том числе редких и находящихся под угрозой исчезновения;
за выдачу разрешений на приобретение, хранение или хранение и ношение, перевозку, заключений на ввоз на территорию Республики Казахстан и вывоз с территории Республики Казахстан гражданского, служебного оружия и патронов к нему;
за выдачу разрешений на приобретение гражданских пиротехнических веществ и изделий с их применением;
за регистрацию и перерегистрацию каждой единицы гражданского, служебного оружия физических и юридических лиц (за исключением холодного охотничьего, сигнального оружия, механических распылителей, аэрозольных и других устройств, снаряженных слезоточивыми или раздражающими веществами, пневматического оружия с дульной энергией не более 7,5 Дж и калибра до 4,5 мм включительно);
по делам, связанным с приобретением гражданства Республики Казахстан или прекращением гражданства Республики Казахстан, а также с выездом из Республики Казахстан и въездом в Республику Казахстан;
за совершение уполномоченным государственным органом в области интеллектуальной собственности юридически значимых действий, связанных с признанием товарного знака общеизвестным, аттестацией патентных поверенных и регистрацией в качестве патентного поверенного;
за выдачу удостоверения личности моряка, мореходной книжки Республики Казахстан и профессионального диплома;
6) за выдачу водительских удостоверений, удостоверений тракториста-машиниста, свидетельств о государственной регистрации механических транспортных средств и прицепов, государственных регистрационных номерных знаков, а также дубликата государственного регистрационного номерного знака – до выдачи соответствующих документов, государственных регистрационных номерных знаков, дубликата государственного регистрационного номерного знака;
7) за проставление уполномоченными Правительством Республики Казахстан государственными органами апостиля на официальных документах, исходящих из государственных органов и от нотариусов Республики Казахстан, – до проставления апостиля.
2. Государственная пошлина зачисляется по месту совершения юридически значимых действий и (или) выдачи документов уполномоченными государственными органами или должностными лицами.
3. Уплата в бюджет суммы государственной пошлины производится путем перечисления через банки второго уровня или организации, осуществляющие отдельные виды банковских операций, либо внесения ее наличными деньгами на основании бланков строгой отчетности по форме, установленной уполномоченным органом.
4. При уплате суммы государственной пошлины наличными деньгами такие принятые суммы государственной пошлины сдаются уполномоченными государственными органами в банки второго уровня или организации, осуществляющие отдельные виды банковских операций, не позднее следующего операционного дня со дня, в который был осуществлен прием денег для последующего зачисления их в бюджет. В случае, если ежедневные поступления наличных денег составляют менее 10-кратного размера МРП, сдача денег осуществляется один раз в три операционных дня со дня, в который был осуществлен прием денег.
Сноска. Статья 623 с изменениями, внесенными законами РК от 20.06.2018 № 161-VI (вводится в действие по истечении десяти календарных дней после дня его первого официального опубликования); от 28.10.2019 № 268-VI (вводится в действие по истечении двадцати одного календарного дня после дня его первого официального опубликования); от 25.11.2019 № 272-VI (вводится в действие по истечении десяти календарных дней после дня его первого официального опубликования); от 10.12.2020 № 382-VI (вводится в действие с 01.01.2022); от 20.12.2021 № 85-VII (вводится в действие с 01.01.2022); от 06.02.2023 № 196-VII (вводится в действие с 01.07.2023); от 21.12.2022 № 165-VII (вводится в действие с 01.01.2024); от 12.12.2023 № 45-VIII (вводится в действие с 01.01.2024).
Параграф 2. Консульский сбор
Статья 624. Общие положения
Консульским сбором является платеж в бюджет, взимаемый дипломатическими представительствами и консульскими учреждениями Республики Казахстан, Министерством иностранных дел Республики Казахстан с иностранцев, лиц без гражданства, иностранных юридических лиц-нерезидентов, физических и юридических лиц Республики Казахстан, за совершение консульских действий и выдачу документов, имеющих юридическое значение.
Сноска. Статья 624 с изменением, внесенным Законом РК от 12.12.2023 № 45-VIII (вводится в действие с 01.01.2024).
Статья 625. Плательщики консульского сбора
Плательщиками консульского сбора являются иностранцы, лица без гражданства и иностранные юридические лица-нерезиденты, физические и юридические лица Республики Казахстан, в интересах которых совершаются консульские действия, предусмотренные статьей 626 настоящего Кодекса.
Статья 626. Объекты взимания
Консульский сбор взимается за совершение следующих консульских действий:
1) оформление паспорта гражданина Республики Казахстан, за исключением оформления дипломатического и служебного паспортов Республики Казахстан;
2) проработка обращений граждан и юридических лиц Республики Казахстан, а также иностранцев и лиц без гражданства, иностранных юридических лиц о выдаче виз и направление указания загранучреждениям Республики Казахстан о выдаче виз (визовой поддержке);
3) выдача виз Республики Казахстан;
4) выдача свидетельства на возвращение в Республику Казахстан;
5) оформление ходатайств граждан Республики Казахстан по вопросам пребывания за границей;
6) оформление документов по вопросам гражданства Республики Казахстан;
7) регистрация актов гражданского состояния;
8) истребование документов;
9) легализация документов, а также прием и препровождение документов для апостилирования;
10) совершение нотариальных действий;
11) хранение завещания, пакета с документами (кроме завещания), денег, ценных бумаг и других ценностей (за исключением наследственных) в консульском учреждении;
12) продажа товаров или иного имущества с публичных торгов;
13) принятие в депозит на срок до шести месяцев имущества или денежных сумм для передачи по принадлежности;
14) направление документов дипломатической почтой в адрес юридических лиц;
15) выдача временного свидетельства на право плавания под Государственным Флагом Республики Казахстан в случае приобретения судна за границей;
16) составление или заверение любой декларации или другого документа, предусмотренных законодательством Республики Казахстан или международными договорами, участником которых является Республика Казахстан, в отношении судов Республики Казахстан;
17) составление акта о морском протесте в случае гибели или повреждения судна или груза (кораблекрушения судов) Республики Казахстан, находящихся за границей;
18) выдача иных документов (справок), имеющих юридическое значение.
Статья 627. Ставки консульского сбора
Министерство иностранных дел Республики Казахстан по согласованию с уполномоченным органом и уполномоченным органом в области налоговой политики разрабатывает и утверждает ставки консульского сбора:
1) взимаемого на территории Республики Казахстан;
2) за совершение консульских действий на территории иностранного государства.
Министерство иностранных дел Республики Казахстан вправе устанавливать дополнительно к ставкам, утвержденным в соответствии с подпунктом 2) части первой настоящей статьи, ставки консульского сбора за срочность на основе принципа взаимности.
Сноска. Статья 627 — в редакции Закона РК от 12.12.2023 № 45-VIII (вводится в действие с 01.01.2024).
Статья 628. Освобождение от уплаты консульского сбора
Консульский сбор не взимается:
1) в случаях, предусмотренных статьями 617 – 622 настоящего Кодекса;
2) с физических и юридических лиц государств, заключивших с Республикой Казахстан международный договор о взаимном отказе от взимания консульских сборов;
3) за истребование по запросам властей и отдельных граждан государств, заключивших с Республикой Казахстан международный договор о правовой помощи, документов по семейным, гражданским и уголовным делам, об алиментах, государственных пособиях и пенсиях, об усыновлении (удочерении);
4) за составление и печатание нот в иностранные дипломатические представительства и консульские учреждения о выдаче виз:
членам официальных делегаций Республики Казахстан и сопровождающим их лицам;
депутатам Парламента Республики Казахстан;
государственным служащим Республики Казахстан – владельцам дипломатического, служебного или национального паспорта Республики Казахстан, выезжающим по служебным делам;
членам семей персонала загранучреждений Республики Казахстан;
близким родственникам персонала загранучреждений Республики Казахстан и сопровождающим их лицам, выезжающим в связи с болезнью или смертью сотрудника или работника загранучреждения Республики Казахстан;
5) за проработку обращений граждан и юридических лиц Республики Казахстан, а также иностранцев и лиц без гражданства, иностранных юридических лиц о выдаче виз и направление указания загранучреждениям Республики Казахстан о выдаче виз (визовой поддержке):
членам иностранных официальных делегаций и сопровождающим их лицам, направляющимся в Республику Казахстан;
иностранцам, направляющимся в Республику Казахстан для участия в мероприятиях республиканского и международного значения (симпозиумы, конференции и иные политические, культурные, научные и спортивные мероприятия);
иностранцам, направляющимся в Республику Казахстан по приглашению Администрации Президента Республики Казахстан, Правительства Республики Казахстан, Парламента Республики Казахстан, Конституционного Суда Республики Казахстан, Верховного Суда Республики Казахстан, Центральной избирательной комиссии Республики Казахстан, Канцелярии Премьер-Министра Республики Казахстан, государственных органов, акиматов областей, городов республиканского значения и столицы;
иностранцам, направляющимся в Республику Казахстан с гуманитарной помощью, согласованной с заинтересованными государственными органами Республики Казахстан;
сотрудникам международных организаций, направляющимся в Республику Казахстан по служебным делам;
иностранцам, направляющимся в Республику Казахстан по приглашению иностранных дипломатических представительств и консульских учреждений, а также международных организаций, аккредитованных в Республике Казахстан, на основе принципа взаимности;
инвесторских виз;
лицам казахской национальности, не являющимся гражданами Республики Казахстан;
детям до 16 лет, на основе принципа взаимности;
6) за выдачу виз:
членам иностранных официальных делегаций и сопровождающим их лицам, направляющимся в Республику Казахстан;
иностранцам, направляющимся в Республику Казахстан для участия в мероприятиях республиканского и международного значения (симпозиумы, конференции и иные политические, культурные, научные и спортивные мероприятия);
иностранцам, направляющимся в Республику Казахстан по приглашению Администрации Президента Республики Казахстан, Правительства Республики Казахстан, Парламента Республики Казахстан, Конституционного Суда Республики Казахстан, Верховного Суда Республики Казахстан, Центральной избирательной комиссии Республики Казахстан, Управления делами Президента Республики Казахстан, Канцелярии Премьер-Министра Республики Казахстан;
иностранцам, направляющимся в Республику Казахстан с гуманитарной помощью, согласованной с заинтересованными государственными органами Республики Казахстан;
сотрудникам международных организаций, направляющимся в Республику Казахстан по служебным делам;
иностранцам, направляющимся в Республику Казахстан по приглашению иностранных дипломатических представительств и консульских учреждений, а также международных организаций, аккредитованных в Республике Казахстан, на основе принципа взаимности;
иностранцам – владельцам дипломатических и служебных паспортов, направляющимся в Республику Казахстан по служебным делам;
детям до 16 лет, на основе принципа взаимности;
лицам казахской национальности, не являющимся гражданами Республики Казахстан;
бывшим гражданам Республики Казахстан, постоянно проживающим за границей и направляющимся в Республику Казахстан на похороны близких родственников;
инвесторских виз;
служебных виз;
дипломатических виз;
7) за выдачу повторных виз взамен первичных виз, содержащих ошибки, допущенные сотрудниками консульских учреждений Республики Казахстан и Министерства иностранных дел Республики Казахстан;
8) за выдачу свидетельств на возвращение в Республику Казахстан и справок гражданам Республики Казахстан, у которых отсутствуют документы и деньги вследствие их утери, стихийных бедствий или других форс-мажорных обстоятельств;
9) за выдачу свидетельств о смерти и справок при отправке в Республику Казахстан гробов и урн с прахом граждан Республики Казахстан, умерших за границей;
10) за истребование документов по ходатайствам иностранных дипломатических представительств и консульских учреждений, на основе принципа взаимности;
11) за легализацию документов граждан Республики Казахстан, истребуемых через загранучреждения Республики Казахстан;
12) за легализацию документов по ходатайствам иностранных дипломатических представительств и консульских учреждений, а также международных организаций, на основе принципа взаимности;
13) за постановку на консульский учет и снятие с консульского учета граждан Республики Казахстан, временно и постоянно проживающих за границей, а также детей, являющихся гражданами Республики Казахстан, переданных на усыновление (удочерение) иностранцам.
Сноска. Статья 628 с изменениями, внесенными законами РК от 10.12.2020 № 382-VI (вводится в действие с 01.01.2021); от 21.12.2022 № 165-VII (вводится в действие с 01.01.2023).
Статья 629. Порядок уплаты консульского сбора
1. Консульский сбор уплачивается до совершения консульских действий.
2. Дипломатические представительства и консульские учреждения Республики Казахстан осуществляют консульские действия после уплаты плательщиком консульского сбора.
3. Уплата консульских сборов на территории Республики Казахстан, ставка которых установлена в долларах США, производится в тенге по официальному курсу, установленному Национальным Банком Республики Казахстан на день уплаты сбора.
4. Консульский сбор уплачивается:
1) на территории Республики Казахстан – путем перечисления через банки второго уровня или организации, осуществляющие отдельные виды банковских операций, в бюджет по месту осуществления консульских действий или наличными деньгами в консульских учреждениях на основании бланков строгой отчетности по форме, установленной Министерством иностранных дел Республики Казахстан.
В случае уплаты консульского сбора наличными деньгами данные суммы консульского сбора сдаются уполномоченным государственным органом в банки второго уровня или организации, осуществляющие отдельные виды банковских операций, не позднее следующего операционного дня со дня, в который был осуществлен прием денег для последующего зачисления их в бюджет. В случае, если ежедневные поступления наличных денег составляют менее 10-кратного размера МРП, сдача денег осуществляется один раз в три операционных дня со дня, в который был осуществлен прием денег;
2) за пределами территории Республики Казахстан – путем перечисления через банки или организации, осуществляющие отдельные виды банковских операций, на банковский счет дипломатического представительства или консульского учреждения без права хозяйственного пользования или наличными деньгами в консульских учреждениях на основании бланков строгой отчетности по форме, установленной Министерством иностранных дел Республики Казахстан.
5. Уплата консульского сбора производится в валюте государства, на территории которого совершаются консульские действия, или в любой другой свободно конвертируемой валюте.
6. Принятые суммы консульского сбора за рубежом сдаются дипломатическим представительством или консульским учреждением в иностранный банк государства пребывания дипломатического представительства или консульского учреждения не позднее десяти операционных дней со дня их приема для зачисления на иностранный банковский счет.
Консульские сборы, поступившие на иностранный банковский счет в валюте государства пребывания дипломатического представительства или консульского учреждения, конвертируются в доллары США, евро, английские фунты стерлингов, швейцарские франки, канадские доллары, японские иены, российские рубли, китайские юани иностранным банком по поручению дипломатического представительства или консульского учреждения Республики Казахстан.
Распорядителем иностранного банковского счета является руководитель дипломатического представительства или консульского учреждения Республики Казахстан с правом первой подписи.
Консульские сборы, поступившие на иностранный банковский счет, ежемесячно, в срок не позднее 10 числа месяца, следующего за отчетным, переводятся дипломатическим представительством или консульским учреждением на валютный счет Министерства иностранных дел Республики Казахстан для дальнейшего зачисления в доход бюджета. В случае, если ежемесячные поступления от консульских сборов в дипломатическое представительство или консульское учреждение составляют менее 1 000 долларов США или его эквивалент в видах валюты, указанных в настоящем пункте, по курсу на конец отчетного периода, перевод осуществляется ежеквартально, в срок не позднее 10 числа месяца, следующего за отчетным.
Министерство иностранных дел Республики Казахстан переведенные дипломатическим представительством или консульским учреждением консульские сборы в течение трех рабочих дней со дня получения из Национального Банка Республики Казахстан выписок по корреспондентским счетам в иностранной валюте с приложением платежных документов в электронной форме перечисляет в доход республиканского бюджета.
7. Уплаченные суммы консульских сборов возврату не подлежат.
Сноска. Статья 629 с изменениями, внесенными Законом РК от 10.12.2020 № 382-VI (вводится в действие с 01.01.2021).
Глава 71. ВСЕОБЩЕЕ ДЕКЛАРИРОВАНИЕ ДОХОДОВ И ИМУЩЕСТВА ФИЗИЧЕСКИХ ЛИЦ
Параграф 1. Декларация об активах и обязательствах
Статья 630. Декларация об активах и обязательствах
1. Лица, указанные в пункте 2 настоящей статьи, составляют декларацию об активах и обязательствах по состоянию на 31 декабря года, предшествующего году представления декларации об активах и обязательствах, если иное не установлено Конституционным законом Республики Казахстан «О выборах в Республике Казахстан» и законами Республики Казахстан «О противодействии коррупции», «О банках и банковской деятельности в Республике Казахстан», «О страховой деятельности», «О рынке ценных бумаг».
2. Декларацию об активах и обязательствах обязаны представлять следующие физические лица:
1) лица, на которых возложена обязанность по представлению декларации об активах и обязательствах в соответствии с Конституционным законом Республики Казахстан «О выборах в Республике Казахстан» и законами Республики Казахстан «О противодействии коррупции», «О банках и банковской деятельности в Республике Казахстан», «О страховой деятельности» и «О рынке ценных бумаг»;
2) граждане Республики Казахстан, резиденты Республики Казахстан в случае наличия за пределами Республики Казахстан на праве собственности (требования) следующего имущества:
имущества, по которому права и (или) сделки подлежат государственной или иной регистрации в компетентном органе иностранного государства в соответствии с законодательством иностранного государства;
денег на банковских счетах в иностранных банках в сумме, совокупно превышающей по всем банковским вкладам 1000-кратный размер месячного расчетного показателя;
инвестиционного золота;
долей участия в уставном капитале юридического лица, созданного за пределами Республики Казахстан;
долей участия в жилищном строительстве;
ценных бумаг, эмитенты которых зарегистрированы за пределами Республики Казахстан, за исключением производных ценных бумаг, базовым активом которых являются ценные бумаги, эмитенты которых зарегистрированы на территории Республики Казахстан;
денег на иностранных брокерских счетах;
объектов интеллектуальной собственности, авторского права за пределами Республики Казахстан;
задолженности других лиц перед физическим лицом (дебиторской задолженности) и (или) задолженности физического лица перед другими лицами (кредиторской задолженности) за пределами Республики Казахстан, указанной в пункте 5 статьи 631 настоящего Кодекса;
прочего имущества, указанного в пункте 4 статьи 631 настоящего Кодекса;
3) граждане Республики Казахстан, резиденты Республики Казахстан в случае наличия цифровых активов;
4) лица, занимающиеся частной практикой.
Положения подпунктов 2) – 4) настоящего пункта не распространяются на лиц, представивших декларацию об активах и обязательствах до 1 января 2025 года.
3. В целях применения настоящего Кодекса налоговое обязательство несовершеннолетнего лица и (или) недееспособного или ограниченно дееспособного лица исполняется законным представителем в соответствии с законами Республики Казахстан.
4. Исключен Законом РК от 15.07.2025 № 208-VIII (вводится в действие с 01.01.2025).
5. Исключен Законом РК от 15.07.2025 № 208-VIII (вводится в действие с 01.01.2025).
5-1. Положения настоящей статьи не распространяются на иностранцев или лиц без гражданства, являющихся сотрудниками аккредитованных в Республике Казахстан дипломатических или приравненных к ним представительств, консульских учреждений иностранных государств, международных организаций и их представительств, а также членов их семей, проживающих вместе с ними.
5-2. При непредставлении физическим лицом первоначальной декларации об активах и обязательствах в срок, установленный статьей 632 настоящего Кодекса, налоговые органы при проведении налогового администрирования используют сведения об имуществе (активах) и обязательствах, полученных от уполномоченных органов, третьих лиц, банков второго уровня и организаций, осуществляющих отдельные виды банковских операций, по состоянию на 31 декабря года, предшествующего году, в котором возникло обязательство или право представления декларации.
Уполномоченным органом в веб-приложении физического лица ежегодно в срок до 1 июня календарного года размещаются сведения по:
имуществу, подлежащему государственной или иной регистрации, а также имуществу, по которому права и (или) сделки подлежат государственной или иной регистрации;
остаткам денег на банковских счетах по состоянию на 31 декабря отчетного года;
доходам, полученным за отчетный календарный год.
6. Декларация об активах и обязательствах подразделяется на следующие виды:
1) первоначальная – декларация об активах и обязательствах, представляемая физическим лицом в связи с тем, что установленная обязанность по представлению такой декларации возникла впервые;
2) очередная – декларация об активах и обязательствах, представляемая физическим лицом в соответствии с Конституционным законом Республики Казахстан «О выборах в Республике Казахстан», законами Республики Казахстан «О противодействии коррупции», «О банках и банковской деятельности», «О страховой деятельности», «О рынке ценных бумаг» в случае, если таким физическим лицом была представлена первоначальная декларация об активах и обязательствах;
3) дополнительная – декларация об активах и обязательствах, представляемая физическим лицом при внесении изменений и (или) дополнений в ранее представленную декларацию об активах и обязательствах физического лица, к которой относятся данные изменения и (или) дополнения;
4) дополнительная по уведомлению – декларация об активах и обязательствах, представляемая физическим лицом при внесении изменений и (или) дополнений в ранее представленную декларацию об активах и обязательствах, в которой налоговым органом выявлены нарушения по результатам камерального контроля по активам и обязательствам физического лица.
7. Декларация об активах и обязательствах представляется один раз, за исключением представления:
1) лицами, на которых возложена обязанность по представлению декларации в соответствии с Конституционным законом Республики Казахстан «О выборах в Республике Казахстан» и законами Республики Казахстан «О противодействии коррупции», «О банках и банковской деятельности в Республике Казахстан», «О страховой деятельности», «О рынке ценных бумаг»;
2) дополнительной налоговой отчетности, предусмотренной статьей 211 настоящего Кодекса.
Примечание. В целях настоящей главы под месячным расчетным показателем понимается месячный расчетный показатель, установленный законом о республиканском бюджете и действующий на 31 декабря отчетного налогового периода, предшествующего году представления декларации об активах и обязательствах физического лица.
Сноска. Статья 630 с изменениями, внесенными законами РК от 26.12.2018 № 203-VI (вводится в действие с 01.01.2019); от 10.12.2020 № 382-VI (вводится в действие с 01.01.2021); от 15.07.2025 № 208-VIII (вводится в действие с 01.01.2025).
Статья 631. Особенности составления декларации об активах и обязательствах
1. Декларация об активах и обязательствах предназначена для отражения физическими лицами, указанными в пункте 2 статьи 630 настоящего Кодекса, информации о наличии:
1) имущества, по которому права и (или) сделки подлежат государственной или иной регистрации в компетентном органе иностранного государства в соответствии с законодательством иностранного государства:
недвижимое имущество, земельные участки и (или) земельные доли, воздушные и морские суда, суда внутреннего водного плавания, суда плавания «река-море»;
транспортные средства, специальная техника и (или) прицепы;
деньги на банковских счетах в иностранных банках, находящихся за пределами Республики Казахстан, в сумме, совокупно превышающей по всем банковским вкладам 1000-кратный размер месячного расчетного показателя, установленного законом о республиканском бюджете и действующего на 31 декабря отчетного налогового периода.
При этом лица, принимающие в соответствии с Законом Республики Казахстан «О противодействии коррупции» антикоррупционное ограничение по открытию и владению счетами (вкладами) в иностранных банках, расположенных за пределами Республики Казахстан, хранению наличных денег и ценностей в иностранных банках, расположенных за пределами Республики Казахстан, в декларации об активах и обязательствах отражают информацию о наличии денег в иностранных банках, находящихся за пределами Республики Казахстан, вне зависимости от суммы банковского вклада;
2) имущества в Республике Казахстан и (или) за ее пределами:
доля в строительстве недвижимости по договору о долевом участии в строительстве;
доля участия в уставном капитале юридического лица, созданном за пределами Республики Казахстан;
ценные бумаги, за исключением производных ценных бумаг, базовым активом которых являются ценные бумаги, эмитенты которых зарегистрированы на территории Республики Казахстан, цифровые активы;
инвестиционное золото;
объекты интеллектуальной собственности, авторского права;
деньги на иностранных брокерских счетах;
наличные деньги, которые указываются в сумме, не превышающей предел 10000-кратного размера месячного расчетного показателя, установленного законом о республиканском бюджете и действующего на 31 декабря года, предшествующего году представления декларации об активах и обязательствах физического лица;
задолженность других лиц перед физическим лицом (дебиторской задолженности) и (или) задолженности физического лица перед другими лицами (кредиторской задолженности) , указанные в пункте 5 настоящей статьи;
3) прочего имущества, указанного в пункте 4 настоящей статьи.
2. Приложения к декларации об активах и обязательствах предназначены для детального отражения информации о сведениях, указанных в пункте 1 настоящей статьи, используемой налоговыми органами для целей налогового контроля.
3. Лица, на которых в соответствии с Законом Республики Казахстан «О противодействии коррупции» возложена обязанность по представлению деклараций физических лиц, в приложениях к декларации об активах и обязательствах отражают также сведения о передаче имущества в доверительное управление, трасты.
4. В декларации об активах и обязательствах физическое лицо вправе указать другое имущество стоимостью за единицу свыше 1000-кратного размера месячного расчетного показателя при наличии стоимости на 31 декабря отчетного налогового периода, определенной в отчете об оценке, проведенной по договору между оценщиком и налогоплательщиком в соответствии с законодательством Республики Казахстан об оценочной деятельности либо законодательством иностранного государства.
При этом оценочная стоимость должна быть определена не позднее срока представления декларации, установленного статьей 632 настоящего Кодекса.
Положение настоящего пункта не применяется в отношении имущества, подлежащего государственной или иной регистрации, а также имущества, по которому права и (или) сделки подлежат государственной или иной регистрации.
5. В декларации об активах и обязательствах отражается задолженность других лиц физическому лицу (дебиторская задолженность) и (или) задолженность физического лица другим лицам (кредиторская задолженность), образовавшиеся на дату составления декларации:
1) между физическими лицами, – при наличии нотариально удостоверенного договора (сделки, соглашения), являющегося основанием возникновения обязательства или требования, заключенного с физическим лицом.
Задолженность, указанная в настоящем подпункте, должна быть нотариально удостоверена в срок не позднее срока представления декларации, установленного статьей 632 настоящего Кодекса;
2) между физическим лицом и юридическим лицом и (или) индивидуальным предпринимателем, в том числе являющимся нерезидентом, – при наличии акта сверки и договора гражданско-правового характера, за исключением задолженности банкам и организациям, осуществляющим отдельные виды банковских операций, микрофинансовым организациям, созданным в соответствии с законодательством Республики Казахстан;
3) подтвержденная вступившим в законную силу решением суда.
Документы, указанные в части первой настоящего пункта, подлежат обязательному приложению при представлении декларации об активах и обязательствах.
Задолженность, не подтвержденная приложенными документами, считается равной нулю.
При этом в декларации об активах и обязательствах не отражается дебиторская и (или) кредиторская задолженность при наличии договора, заключенного с использованием заемной краудфандинговой платформы участника Международного финансового центра «Астана», действующего на основании выданной лицензии.
Сноска. Статья 631 с изменениями, внесенными законами РК от 26.12.2018 № 203-VI (вводится в действие с 01.01.2019); от 10.12.2020 № 382-VI (вводится в действие с 01.01.2021); от 21.12.2022 № 165-VII (вводится в действие с 01.01.2023); от 15.07.2025 № 208-VIII (вводится в действие с 01.01.2025).
Статья 632. Сроки представления декларации об активах и обязательствах
Декларация об активах и обязательствах представляется по месту жительства (пребывания) не позднее 15 сентября текущего года, в котором возникло обязательство по представлению декларации.
Положения части первой настоящей статьи в части сроков представления декларации об активах и обязательствах не распространяются на лиц, которые представляют декларацию об активах и обязательствах в качестве:
кандидатов на выборные должности, на государственную должность либо должность, связанную с выполнением государственных или приравненных к ним функций, в соответствии с Конституционным законом Республики Казахстан «О выборах в Республике Казахстан» и Законом Республики Казахстан «О противодействии коррупции» и их супругов;
лиц, желающих стать крупными участниками банка, страховой (перестраховочной) организации, управляющим инвестиционным портфелем в соответствии с законами Республики Казахстан «О банках и банковской деятельности в Республике Казахстан», «О страховой деятельности», «О рынке ценных бумаг».
Срок представления декларации об активах и обязательствах для военнослужащих срочной службы продлевается без направления в налоговый орган уведомления о продлении на период прохождения срочной службы со дня издания приказа об убытии из местного органа военного управления к месту прохождения воинской службы.
При утрате статуса военнослужащего срочной службы на основании приказа об исключении военнослужащего из списков личного состава воинской части физическое лицо представляет декларацию физического лица, по которой продлен срок представления, – не позднее шестидесяти календарных дней со дня издания приказа об исключении из списков воинской части.
Сноска. Статья 632 — в редакции Закона РК от 12.12.2023 № 45-VIII (вводится в действие с 01.01.2024); с изменением, внесенным Законом РК от 15.07.2025 № 208-VIII (вводится в действие с 01.01.2025).
Параграф 2. Декларация о доходах и имуществе
Статья 633. Декларация о доходах и имуществе
1. Если иное не установлено частью второй настоящего пункта, декларацию о доходах и имуществе представляют граждане Республики Казахстан, физические лица – резиденты при соответствии одному из следующих условий в течение отчетного налогового периода:
1) лица, на которых в соответствии с Законом Республики Казахстан «О противодействии коррупции» возложена обязанность по представлению декларации о доходах и имуществе;
2) крупные участники банка, страховой (перестраховочной) организации, управляющие инвестиционным портфелем в соответствии с законами Республики Казахстан «О банках и банковской деятельности в Республике Казахстан», «О страховой деятельности», «О рынке ценных бумаг», а также их супруги-резиденты;
3) руководители, учредители (участники) юридических лиц, владеющие более чем 10 процентами доли в уставном капитале (акций акционерных обществ), а также их супруги-резиденты, за исключением учредителей (участников) некоммерческих организаций;
4) лица, занимающиеся частной практикой;
5) лица, получившие за отчетный налоговый период доход, подлежащий налогообложению физическим лицом самостоятельно, за исключением доходов от предпринимательской деятельности;
6) лица, имеющие по состоянию на 31 декабря отчетного налогового периода деньги на банковских счетах в иностранных банках, находящихся за пределами Республики Казахстан, в сумме, в совокупности превышающей 1000-кратный размер месячного расчетного показателя;
7) лица, имеющие по состоянию на 31 декабря отчетного налогового периода имущество, по которому права и (или) сделки подлежат государственной или иной регистрации в компетентном органе иностранного государства в соответствии с законодательством иностранного государства;
8) лица, имеющие по состоянию на 31 декабря отчетного налогового периода в собственности цифровые активы;
9) лица, которые в течение отчетного налогового периода приобретали имущество стоимостью свыше 20 000-кратного месячного расчетного показателя, установленного законом о республиканском бюджете и действующего на 31 декабря отчетного налогового периода, в Республике Казахстан и (или) за ее пределами:
недвижимое имущество, подлежащее государственной или иной регистрации, а также имущество, по которому права и (или) сделки подлежат государственной или иной регистрации;
механические транспортные средства и прицепы, подлежащие государственной регистрации;
доли участия в уставном капитале юридического лица;
ценные бумаги;
производные финансовые инструменты (за исключением производных финансовых инструментов, исполнение которых происходит путем приобретения или реализации базового актива);
доли участия в жилищном строительстве;
инвестиционное золото;
10) лица, которые представили налоговому агенту заявление о применении налоговых вычетов в виде предварительной суммы прочих вычетов.
Положения подпунктов 6) – 8) части первой настоящего пункта не распространяются на лиц, в отношении которых одновременно в текущем отчетном периоде возникла обязанность по представлению декларации об активах и обязательствах в соответствии со статьей 630 настоящего Кодекса.
2. Иностранцы или лица без гражданства, являющиеся нерезидентами, представляют декларацию о доходах и имуществе, в случае наличия одного из условий:
1) получили в отчетном налоговом периоде из источников в Республике Казахстан доходы, подлежащие налогообложению физическим лицом самостоятельно;
2) являлись лицами, на которых возложена обязанность по представлению декларации о доходах и имуществе в соответствии с законами Республики Казахстан.
В случае возникновения обязательства по уплате индивидуального подоходного налога с доходов, подлежащих налогообложению физическим лицом самостоятельно, полученных в отчетном налоговом периоде, уплата индивидуального подоходного налога таким лицом осуществляется в порядке и сроки, которые установлены подпунктом 2) статьи 641 настоящего Кодекса.
3. Исключен Законом РК от 15.07.2025 № 208-VIII (вводится в действие с 01.01.2025).
4. Исключен Законом РК от 15.07.2025 № 208-VIII (вводится в действие с 01.01.2025).
5. Положения настоящей статьи не распространяются на иностранцев или лиц без гражданства, являющихся сотрудниками аккредитованных в Республике Казахстан дипломатических или приравненных к ним представительств, консульских учреждений иностранных государств, международных организаций и их представительств, а также членов их семей, проживающих вместе с ними.
6. Непредставление физическим лицом декларации о доходах и имуществе в срок, установленный статьей 635 настоящего Кодекса, считается подтверждением отсутствия у такого физического лица:
доходов, подлежащих обложению физическим лицом самостоятельно;
факта приобретения, отчуждения, безвозмездного получения имущества, подлежащего государственной или иной регистрации, имущества, по которому права и (или) сделки подлежат государственной или иной регистрации, в том числе за пределами Республики Казахстан.
Сноска. Статья 633 с изменениями, внесенными законами РК от 26.12.2018 № 203-VI (вводится в действие с 01.01.2019); от 10.12.2020 № 382-VI (вводится в действие с 01.01.2021); от 15.07.2025 № 208-VIII (вводится в действие с 01.01.2025).
Статья 634. Особенности составления декларации о доходах и имуществе
1. Исключен Законом РК от 10.12.2020 № 382-VI (вводится в действие с 01.01.2021).
2. Декларация о доходах и имуществе предназначена для отражения физическими лицами информации о:
1) доходах, подлежащих налогообложению физическим лицом самостоятельно, за исключением подлежащих декларированию доходов индивидуального предпринимателя от предпринимательской деятельности;
2) налоговых вычетах;
3) приобретении и (или) отчуждении имущества за пределами Республики Казахстан, в том числе на безвозмездной основе;
4) требовании по зачету и возврату суммы превышения по индивидуальному подоходному налогу, в том числе в случае применения налогового вычета, определенного статьей 351 настоящего Кодекса, c указанием согласия физического лица на представление банковскими учреждениями сведений о расходах физического лица на погашение вознаграждения по ипотечным жилищным займам, полученным на приобретение жилья в Республике Казахстан.
5) деньгах на банковских счетах в иностранных банках, находящихся за пределами Республики Казахстан, в сумме, в совокупности превышающей 1000-кратный размер месячного расчетного показателя, установленного законом о республиканском бюджете и действующего на 31 декабря отчетного налогового периода;
6) имуществе, имеющемся по состоянию на 31 декабря отчетного налогового периода на праве собственности физического лица:
имуществе, которое подлежит государственной или иной регистрации (учету) либо права и (или) сделки по которому подлежат государственной или иной регистрации (учету) в компетентном органе иностранного государства в соответствии с законодательством иностранного государства;
ценных бумагах, эмитенты которых зарегистрированы за пределами Республики Казахстан, цифровых активах;
инвестиционном золоте;
доле участия в уставном капитале юридического лица, зарегистрированного за пределами Республики Казахстан;
7) задолженности других лиц перед физическим лицом (дебиторской задолженности) и (или) задолженности физического лица перед другими лицами (кредиторской задолженности) за пределами Республики Казахстан, указанной в пункте 6 статьи 634 настоящего Кодекса.
3. Приложения к декларации о доходах и имуществе предназначены для детального отражения информации об исчислении налогового обязательства, используемой налоговыми органами в целях налогового контроля.
4. Физические лица, указанные в подпунктах 1) – 3) и 9) части первой пункта 1 статьи 633 настоящего Кодекса, отражают в декларации о доходах и имуществе сведения о приобретении и (или) отчуждении имущества, а также об источниках покрытия расходов на приобретение в течение отчетного налогового периода следующего имущества, в том числе за пределами Республики Казахстан:
1) недвижимого имущества, подлежащего государственной или иной регистрации, а также имущества, по которому права и (или) сделки подлежат государственной или иной регистрации;
2) механических транспортных средств и прицепов, подлежащих государственной регистрации;
3) доли участия в уставном капитале юридического лица;
4) ценных бумаг, цифровых активов;
5) инвестиционного золота;
6) производных финансовых инструментов (за исключением производных финансовых инструментов, исполнение которых происходит путем приобретения или реализации базового актива);
7) доли участия в жилищном строительстве.
Физические лица, принимающие в соответствии с Законом Республики Казахстан «О противодействии коррупции» антикоррупционное ограничение по открытию и владению счетами (вкладами) в иностранных банках, расположенных за пределами Республики Казахстан, хранению наличных денег и ценностей в иностранных банках, расположенных за пределами Республики Казахстан, в декларации о доходах и имуществе отражают информацию о наличии денег в иностранных банках, находящихся за пределами Республики Казахстан, вне зависимости от суммы банковского вклада.
Требование об отражении данных сведений указывается в приложении к декларации о доходах и имуществе.
5. Исключен Законом РК от 10.12.2020 № 382-VI (вводится в действие с 01.01.2021).
6. В декларации о доходах и имуществе отражается задолженность других лиц физическому лицу (дебиторская задолженность) и (или) задолженность физического лица другим лицам (кредиторская задолженность), образовавшиеся на дату составления декларации:
1) между физическими лицами, – при наличии нотариально удостоверенного договора (сделки, соглашения), являющегося основанием возникновения обязательства или требования, заключенного с физическим лицом.
Задолженность, указанная в настоящем подпункте, должна быть нотариально удостоверена в срок не позднее срока представления декларации, установленного статьей 632 настоящего Кодекса;
2) между физическим лицом и юридическим лицом и (или) индивидуальным предпринимателем, в том числе являющимся нерезидентом, – при наличии акта сверки и договора гражданско-правового характера, за исключением задолженности банкам и организациям, осуществляющим отдельные виды банковских операций, микрофинансовым организациям, созданным в соответствии с законодательством Республики Казахстан;
3) подтвержденная вступившим в законную силу решением суда.
Документы, указанные в части первой настоящего пункта, подлежат обязательному приложению при представлении декларации о доходах и имуществе.
Задолженность, не подтвержденная приложенными документами, считается равной нулю.
При этом в декларации о доходах и имуществе не отражается дебиторская и (или) кредиторская задолженность при наличии договора, заключенного с использованием заемной краудфандинговой платформы участника Международного финансового центра «Астана», действующего на основании выданной лицензии.
Сноска. Статья 634 с изменениями, внесенными законами РК от 10.12.2020 № 382-VI (вводится в действие с 01.01.2021); от 20.12.2021 № 85-VII (вводится в действие с 01.01.2022); от 21.12.2022 № 165-VII (вводится в действие с 01.01.2023); от 12.12.2023 № 45-VIII (вводится в действие с 01.01.2024); от 15.07.2025 № 208-VIII (вводится в действие с 01.01.2025).
Статья 635. Сроки представления декларации о доходах и имуществе
1. Декларация о доходах и имуществе представляется по месту жительства (пребывания) не позднее 15 сентября года, следующего за отчетным календарным годом.
2. исключен Законом РК от 12.12.2023 № 45-VIII (вводится в действие с 01.01.2024).
3. В случае, если на дату представления декларации о доходах и имуществе отсутствует утвержденная финансовая отчетность, исчисление суммарной прибыли контролируемых иностранных компаний или постоянных учреждений контролируемых иностранных компаний производится в дополнительной декларации о доходах и имуществе, представляемой в течение шестидесяти рабочих дней, следующих за днем утверждения финансовой отчетности, но не позднее 31 марта второго года, следующего за отчетным налоговым периодом, с учетом положений статьи 211 настоящего Кодекса.
4. Срок представления декларации о доходах и имуществе для военнослужащих срочной службы продлевается без направления в налоговый орган уведомления о продлении на период прохождения срочной службы со дня издания приказа об убытии из местного органа военного управления к месту прохождения воинской службы.
При утрате статуса военнослужащего срочной службы на основании приказа об исключении военнослужащего из списков личного состава воинской части физическое лицо представляет декларацию физического лица, по которой продлен срок представления, – не позднее шестидесяти календарных дней со дня издания приказа об исключении из списков воинской части.
Сноска. Статья 635 с изменениями, внесенными законами РК от 02.04.2019 № 241-VI (вводится в действие по истечении десяти календарных дней после дня его первого официального опубликования); от 10.12.2020 № 382-VI (вводится в действие с 01.01.2021); от 12.12.2023 № 45-VIII (вводится в действие с 01.01.2024); от 15.07.2025 № 208-VIII (вводится в действие с 01.01.2025).
Статья 636. Определение облагаемого дохода физического лица по итогам календарного года
1. Облагаемый доход физического лица по итогам календарного года определяется в соответствии с настоящей статьей.
2. Облагаемый доход физического лица, подлежащий налогообложению физическим лицом самостоятельно, за исключением дохода индивидуального предпринимателя и трудового иммигранта – резидента, определяется в следующем порядке:
доходы, подлежащие налогообложению физическим лицом самостоятельно, за исключением дохода индивидуального предпринимателя и трудового иммигранта – резидента,
плюс
налогооблагаемый доход лица, занимающегося частной практикой,
плюс
сумма начисленных работодателем доходов работника, подлежащих налогообложению у источника выплаты в случае применения к таким доходам предварительной суммы прочих вычетов,
минус
корректировка дохода, предусмотренная статьей 341 настоящего Кодекса,
минус
налоговые вычеты, указанные в пункте 1 статьи 342 настоящего Кодекса.
3. Облагаемый доход индивидуального предпринимателя определяется в следующем порядке:
налогооблагаемый доход индивидуального предпринимателя, определенный в порядке, установленном пунктом 1 статьи 366 настоящего Кодекса,
минус
корректировка дохода, предусмотренная статьей 341 настоящего Кодекса,
минус
налоговые вычеты, указанные в пункте 1 статьи 342 настоящего Кодекса.
4. Облагаемая сумма дохода трудового иммигранта – резидента определяется в порядке, установленном статьей 642 настоящего Кодекса.
5. Индивидуальные предприниматели, применяющие специальный налоговый режим для субъектов малого бизнеса, производят исчисление индивидуального подоходного налога по доходам, облагаемым в рамках указанных специальных налоговых режимов, в соответствии с главой 77 настоящего Кодекса.
Сноска. Статья 636 — в редакции Закона РК от 15.07.2025 № 208-VIII (вводится в действие с 01.01.2025).
Статья 637. Исчисление индивидуального подоходного налога с доходов физического лица, подлежащих налогообложению самостоятельно
1. Исчисление индивидуального подоходного налога с доходов физического лица, подлежащих налогообложению самостоятельно, производится физическим лицом:
1) в декларации по индивидуальному подоходному налогу по предпринимательской деятельности – по доходу индивидуального предпринимателя, определяемому в общеустановленном порядке;
2) в декларации о доходах и имуществе – по остальным доходам, подлежащим налогообложению самостоятельно.
2. Сумма индивидуального подоходного налога с доходов физического лица, подлежащих налогообложению самостоятельно, исчисляется путем применения ставок, установленных статьей 320 настоящего Кодекса, к соответствующей сумме облагаемого дохода физического лица.
3. Сумма индивидуального подоходного налога, подлежащая уплате в бюджет, определяется в следующем порядке:
сумма индивидуального подоходного налога, исчисленная в порядке, определенном пунктом 2 настоящей статьи,
минус
сумма индивидуального подоходного налога, исчисленная с доходов работника, подлежащих налогообложению у источника выплаты в случае применения к таким доходам предварительной суммы прочих вычетов,
минус
сумма индивидуального подоходного налога, на которую осуществляется зачет в соответствии со статьей 638 настоящего Кодекса,
минус
сумма корпоративного подоходного налога, на которую осуществляется зачет в соответствии со статьей 638-1 настоящего Кодекса.
4. Исчисление суммы индивидуального подоходного налога с доходов трудовых иммигрантов производится трудовыми иммигрантами самостоятельно в порядке, установленном в пункте 2 статьи 642 настоящего Кодекса.
Сноска. Статья 637 — в редакции Закона РК от 15.07.2025 № 208-VIII (вводится в действие с 01.01.2025).
Статья 638. Зачет иностранного налога
1. Суммы уплаченных за пределами Республики Казахстан налогов на доходы или иного иностранного налога, аналогичного индивидуальному подоходному налогу (далее в целях настоящей статьи – иностранный подоходный налог), с доходов, полученных физическим лицом-резидентом из источников за пределами Республики Казахстан, подлежат зачету в счет уплаты индивидуального подоходного налога в Республике Казахстан в порядке, определенном статьей 303 настоящего Кодекса, в пределах ставки индивидуального подоходного налога, при наличии документа, подтверждающего уплату такого иностранного подоходного налога.
2. Подлежит зачету в счет уплаты индивидуального подоходного налога в Республике Казахстан сумма иностранного подоходного налога с финансовой прибыли контролируемой иностранной компании или финансовой прибыли постоянного учреждения контролируемой иностранной компании, исчисленная по следующей формуле:
Нз = П х Д х Сэ/100 %, где:
Нз – сумма иностранного подоходного налога, подлежащая отнесению в зачет;
П – положительная величина финансовой прибыли контролируемой иностранной компании или положительная величина финансовой прибыли постоянного учреждения контролируемой иностранной компании, включенная в годовой доход физического лица-резидента в соответствии со статьей 340 настоящего Кодекса;
Д – коэффициент прямого или косвенного, или конструктивного участия или прямого или косвенного, или конструктивного контроля резидента в контролируемой иностранной компании, определяемый в соответствии со статьей 297 настоящего Кодекса;
Сэ – эффективная ставка, исчисленная в соответствии с подпунктом 12) пункта 4 статьи 294 настоящего Кодекса, без учета подоходного налога, в том числе удержанного у источника выплаты в Республике Казахстан с доходов, указанных в подпунктах 1) – 10) пункта 3 статьи 340 настоящего Кодекса.
Положения настоящего пункта не применяются к контролируемой иностранной компании и (или) постоянному учреждению контролируемой иностранной компании, которые зарегистрированы в государствах с льготным налогообложением, и (или) при расчете суммарной прибыли контролируемой иностранной компании и (или) постоянного учреждения контролируемой иностранной компании резидент использует в текущем налоговом периоде формулу с долей пассивных доходов.
Положения настоящего пункта применяются в случае уплаты иностранного подоходного налога с финансовой прибыли контролируемой иностранной компании или финансовой прибыли постоянного учреждения контролируемой иностранной компании по эффективной ставке, составляющей менее 10 процентов, в государствах, в которых зарегистрированы:
1) контролируемая иностранная компания или постоянное учреждение контролируемой иностранной компании;
2) контролируемая иностранная компания, создавшая постоянное учреждение;
3) контролируемое лицо, через которого резидент косвенно владеет долями участия (голосующими акциями) либо имеет косвенный контроль в контролируемой иностранной компании.
В случае если финансовая прибыль контролируемой иностранной компании или финансовая прибыль постоянного учреждения контролируемой иностранной компании облагалась иностранным подоходным налогом в двух и более иностранных государствах, то в зачет принимается только тот иностранный подоходный налог, у которого эффективная ставка составляет максимальную величину из эффективных ставок иностранного подоходного налога, уплаченного в таких иностранных государствах. Положения настоящего абзаца применяются:
1) при косвенном владении долями участия (голосующими акциями) или косвенном контроле в контролируемой иностранной компании и уплате иностранного подоходного налога в двух и более иностранных государствах (в которых зарегистрировано (зарегистрированы) контролируемое лицо (контролируемые лица), через которое (которые) осуществляется такое косвенное владение или такой косвенный контроль) с финансовой прибыли контролируемой иностранной компании или финансовой прибыли постоянного учреждения контролируемой иностранной компании, или
2) при прямом владении долями участия (голосующими акциями) или прямом контроле в контролируемой иностранной компании и уплате иностранного подоходного налога с финансовой прибыли постоянного учреждения контролируемой иностранной компании в иностранных государствах, в которых зарегистрированы:
постоянное учреждение контролируемой иностранной компании;
контролируемая иностранная компания, создавшая постоянное учреждение.
В случае владения резидентом прямо и косвенно или прямо и конструктивно долями участия (голосующими акциями) либо наличия у резидента прямого и косвенного или прямого и конструктивного контроля в контролируемой иностранной компании сумма иностранного подоходного налога с финансовой прибыли контролируемой иностранной компании или финансовой прибыли постоянного учреждения контролируемой иностранной компании, подлежащая отнесению в зачет в соответствии с настоящим пунктом, рассчитывается отдельно по каждому прямому и косвенному владению или прямому и конструктивному владению долями участия (голосующими акциями) либо прямому и косвенному контролю или прямому и конструктивному контролю в контролируемой иностранной компании. При этом отнесению в зачет в соответствии с настоящим пунктом подлежит сумма величин такого иностранного подоходного налога, рассчитанных отдельно по прямому и косвенному владению или прямому и конструктивному владению долями участия (голосующими акциями) либо прямому и косвенному контролю или прямому и конструктивному контролю в контролируемой иностранной компании.
Для применения настоящего пункта у резидента должны быть в наличии документы, указанные в части пятой пункта 4 статьи 303 настоящего Кодекса.
Сноска. Статья 638 с изменениями, внесенными законами РК от 02.04.2019 № 241-VI (вводится в действие по истечении десяти календарных дней после дня его первого официального опубликования); от 10.12.2020 № 382-VI (вводится в действие с 01.01.2021).
Статья 638-1. Зачет налога контролируемой иностранной компании
1. Индивидуальный подоходный налог уменьшается на величину, определяемую в одном из следующих порядков:
1) сумма корпоративного подоходного налога, удержанного у источника выплаты в Республике Казахстан в налоговом периоде с дохода или налогооблагаемого дохода контролируемой иностранной компании из источников в Республике Казахстан, включенного в финансовую прибыль контролируемой иностранной компании, подлежащую налогообложению (обложенную налогом) в отчетном или предыдущем налоговом периоде в Республике Казахстан в соответствии со статьей 340 настоящего Кодекса, за исключением суммы корпоративного подоходного налога, удержанного у источника выплаты в Республике Казахстан с доходов в виде дивидендов. Положение настоящего подпункта применяется к сумме корпоративного подоходного налога, удержанного у источника выплаты, исчисленного с применением ставки, составляющей менее 10 процентов, и в случае, если резидентом не применяются положения пункта 2 статьи 638 настоящего Кодекса;
2) величина, определяемая в следующем порядке:
Нв = Д х (Ск — Сэ)/100 %, где:
Нв – налог, подлежащий вычету в соответствии с настоящим подпунктом;
Д – доход или налогооблагаемый доход, полученный контролируемой иностранной компанией из источников в Республике Казахстан, за исключением доходов в виде дивидендов;
Ск – ставка корпоративного подоходного налога, удержанного в Республике Казахстан с дохода или налогооблагаемого дохода контролируемой иностранной компании из источников в Республике Казахстан по ставке, составляющей менее 10 процентов (далее – ставка корпоративного подоходного налога);
Сэ – эффективная ставка иностранного налога на прибыль или иного иностранного налога, аналогичного корпоративному подоходному налогу в Республике Казахстан, уплаченного в иностранном государстве с финансовой прибыли контролируемой иностранной компании, включающей доход или налогооблагаемый доход из источников в Республике Казахстан, по которой исчислен иностранный налог на прибыль, отнесенный или подлежащий отнесению в зачет в соответствии с пунктом 2 статьи 638 настоящего Кодекса (далее – эффективная ставка иностранного налога на прибыль).
Положение настоящего подпункта используется в случаях, если резидентом применяются положения пункта 2 статьи 638 настоящего Кодекса и если ставка корпоративного подоходного налога больше эффективной ставки иностранного налога на прибыль.
2. Положения подпункта 1) или 2) пункта 1 настоящей статьи применяются при наличии у физического лица – резидента копий следующих документов:
подтверждающих удержание и перечисление резидентом в бюджет Республики Казахстан корпоративного подоходного налога у источника выплаты с дохода или налогооблагаемого дохода контролируемой иностранной компании, полученного из источников в Республике Казахстан;
составленного (составленных) на иностранном языке (с обязательным переводом на казахский или русский язык) внутреннего документа (документов), подтверждающего (подтверждающих) включение в подлежащую налогообложению (обложенную налогом) в Республике Казахстан финансовую прибыль контролируемой иностранной компании дохода или налогооблагаемого дохода из источников в Республике Казахстан;
указанных в части пятой пункта 4 статьи 303 настоящего Кодекса при применении подпункта 2) пункта 1 настоящей статьи.
Сноска. Глава 71 дополнена статьей 638-1 в соответствии с Законом РК от 15.07.2025 № 208-VIII (вводится в действие с 01.01.2025).
Статья 639. Зачет налога контролируемой иностранной компании
Сноска. Исключена Законом РК от 10.12.2020 № 382-VI (вводится в действие с 01.01.2021)
Статья 640. Превышение по индивидуальному подоходному налогу
Превышением по индивидуальному подоходному налогу признается положительная разница между суммой индивидуального подоходного налога, удержанной у источника выплаты с доходов, подлежащих налогообложению у источника выплаты, за исключением доходов, предусмотренных статьями 327 и 328 настоящего Кодекса, и суммой индивидуального подоходного налога, исчисленной с доходов физического лица по итогам календарного года в порядке, определенном статьей 637 настоящего Кодекса.
Статья 641. Порядок и сроки уплаты налога, исчисленного в декларации о доходах и имуществе
Уплата индивидуального подоходного налога, исчисленного с облагаемого дохода физического лица по итогам календарного года, осуществляется налогоплательщиком не позднее 25 сентября года, следующего за отчетным налоговым периодом, в следующем порядке:
1) индивидуальным предпринимателем, лицом, занимающимся частной практикой, – по месту нахождения;
2) физическим лицом, не указанным в подпункте 1) настоящего пункта, – по месту жительства (пребывания).
Физическое лицо осуществляет уплату индивидуального подоходного налога, исчисленного с суммарной прибыли контролируемой иностранной компании и (или) постоянного учреждения контролируемой иностранной компании по итогам налогового периода, не позднее десяти календарных дней после срока, установленного пунктом 3 статьи 635 настоящего Кодекса. При этом положения настоящей части не применяются к индивидуальному подоходному налогу, исчисленному с суммарной прибыли контролируемых иностранных компаний и (или) постоянных учреждений контролируемых иностранных компаний, зарегистрированных в государствах с льготным налогообложением.
Сноска. Статья 641 с изменениями, внесенными законами РК от 10.12.2020 № 382-VI (вводится в действие с 01.01.2021); от 15.07.2025 № 208-VIII (вводится в действие с 01.01.2025).
Статья 642. Доход трудового иммигранта-резидента
1. Трудовые иммигранты-резиденты производят уплату предварительного платежа по индивидуальному подоходному налогу.
Предварительный платеж по индивидуальному подоходному налогу исчисляется в размере 2-кратного размера месячного расчетного показателя, установленного законом о республиканском бюджете и действующего на 1 января соответствующего финансового года, за каждый месяц выполнения работ, оказания услуг соответствующего периода, указанного трудовым иммигрантом-резидентом в заявлении на получение (продление) разрешения трудовому иммигранту.
Уплата предварительного платежа по индивидуальному подоходному налогу производится трудовым иммигрантом-резидентом по месту пребывания до получения (продления) разрешения трудовому иммигранту.
2. По окончании отчетного налогового периода трудовыми иммигрантами-резидентами производится исчисление суммы индивидуального подоходного налога путем применения ставки, установленной пунктом 1 статьи 320 настоящего Кодекса, к облагаемой сумме дохода.
Облагаемая сумма дохода определяется как сумма доходов, полученных (подлежащих получению) от выполнения работ, оказания услуг, уменьшенная на сумму минимального размера заработной платы, установленного законом о республиканском бюджете и действующего на 1 января соответствующего финансового года, исчисленная за каждый месяц выполнения работ, оказания услуг соответствующего периода, указанного в разрешении трудовому иммигранту.
Сумма предварительных платежей, уплаченная трудовым иммигрантом-резидентом в бюджет в течение налогового периода, зачитывается в счет уплаты индивидуального подоходного налога, исчисленного за отчетный налоговый период.
В случае если сумма уплаченных в течение налогового периода предварительных платежей по индивидуальному подоходному налогу превышает сумму индивидуального подоходного налога, исчисленную за отчетный налоговый период, то сумма такого превышения не является суммой излишне уплаченного индивидуального подоходного налога и не подлежит возврату или зачету.
Статья 643. Декларация Декларация по индивидуальному подоходному налогу по предпринимательской деятельности и сроки ее представления
1. Индивидуальные предприниматели, применяющие общеустановленный порядок налогообложения, представляют декларацию по индивидуальному подоходному налогу по предпринимательской деятельности.
2. Декларация по индивидуальному подоходному налогу по предпринимательской деятельности представляется в налоговый орган по месту нахождения не позднее 31 марта года, следующего за отчетным налоговым периодом, за исключением ликвидационной налоговой отчетности.
3. Срок представления ликвидационной декларации по индивидуальному подоходному налогу по предпринимательской деятельности при прекращении деятельности индивидуального предпринимателя установлен статьями 65, 66 и 67 настоящего Кодекса.
Сноска. Статья 643 — в редакции Закона РК от 15.07.2025 № 208-VIII (вводится в действие с 01.01.2025).
Статья 643-1. Порядок и сроки уплаты индивидуального подоходного налога, исчисленного в декларации по индивидуальному подоходному налогу по предпринимательской деятельности
1. Если иное не установлено настоящей статьей, уплата индивидуального подоходного налога, исчисленного в декларации по индивидуальному подоходному налогу по предпринимательской деятельности, осуществляется по месту нахождения не позднее 10 апреля года, следующего за отчетным налоговым периодом.
2. Уплата индивидуального подоходного налога, исчисленного в ликвидационной декларации по индивидуальному подоходному налогу по предпринимательской деятельности, при прекращении деятельности индивидуального предпринимателя осуществляется по месту нахождения не позднее десяти календарных дней со дня представления ликвидационной налоговой отчетности.
Сноска. Глава 71 дополнена статьей 643-1 в соответствии с Законом РК от 15.07.2025 № 208-VIII (вводится в действие с 01.01.2025).
РАЗДЕЛ 19. НАЛОГООБЛОЖЕНИЕ НЕРЕЗИДЕНТОВ
Статья 644. Доходы нерезидента из источников в Республике Казахстан
1. Доходами нерезидента из источников в Республике Казахстан признаются следующие виды доходов:
1) доход от реализации товаров на территории Республики Казахстан, а также доход от реализации товаров, находящихся в Республике Казахстан, за ее пределы в рамках осуществления внешнеторговой деятельности;
2) доход от выполнения работ, оказания услуг на территории Республики Казахстан;
3) доход от оказания управленческих, финансовых, консультационных, инжиниринговых, маркетинговых, аудиторских, юридических (за исключением услуг по представительству и защите прав и законных интересов в судах, арбитраже или третейском суде, а также нотариальных услуг) услуг за пределами Республики Казахстан.
В целях настоящего раздела финансовыми услугами признаются:
деятельность участников страхового рынка (за исключением услуг по страхованию и (или) перестрахованию), рынка ценных бумаг;
деятельность единого накопительного пенсионного фонда и добровольных накопительных пенсионных фондов;
банковская деятельность, деятельность организаций по проведению отдельных видов банковских операций (за исключением услуг, оказанных структурному подразделению юридического лица-резидента Республики Казахстан, расположенному за пределами Республики Казахстан, по открытию и ведению банковских счетов, переводным, кассовым операциям, обменным операциям с иностранной валютой, включая обменные операции с наличной иностранной валютой, приему на инкассо платежных документов);
деятельность центрального депозитария и обществ взаимного страхования;
деятельность фонда социального медицинского страхования;
4) доходы лица, зарегистрированного в государстве с льготным налогообложением, включенном в перечень, утвержденный уполномоченным органом, от выполнения работ, оказания услуг независимо от места их фактического выполнения, оказания, а также иные доходы, установленные настоящей статьей.
Положения настоящего подпункта не применяются в отношении дохода от:
оказания туристских услуг физическому лицу на территории такого государства;
осуществления аэропортовской деятельности, определенной в соответствии с законодательством Республики Казахстан;
5) доходы лица, зарегистрированного в иностранном государстве, в виде обязательств по полученному авансу (предоплате), не обложенные в соответствии с подпунктом 5-1) настоящей части, при выполнении одного из следующих условий:
не удовлетворенных нерезидентом по истечении двухлетнего периода со дня выплаты аванса (предоплаты);
не удовлетворенных нерезидентом на дату представления ликвидационной налоговой отчетности при ликвидации лица, выплатившего аванс (предоплату), до истечения двухлетнего периода со дня выплаты аванса (предоплаты), если иное не предусмотрено настоящим подпунктом.
В случае, когда при ликвидации лица, выплатившего аванс (предоплату), в соответствии с настоящим Кодексом предусмотрены проведение ликвидационной налоговой проверки или выдача заключения по результатам камерального контроля, размер такого обязательства определяется как:
сумма обязательств (за исключением суммы налога на добавленную стоимость), подлежавшая выплате в соответствии с первичными документами налогоплательщика и подлежащая отражению (отраженная) в промежуточном ликвидационном балансе, на день утверждения такого баланса
минус
сумма обязательств, которые будут удовлетворены в период со дня утверждения промежуточного ликвидационного баланса и до дня завершения ликвидационной налоговой проверки или камерального контроля.
По результатам ликвидационной налоговой проверки размер обязательства определяется налоговым органом исходя из фактической суммы удовлетворенных обязательств за указанный период. Размер такого обязательства отражается в акте налоговой проверки.
По результатам камерального контроля размер обязательства определяется налоговым органом исходя из фактической суммы удовлетворенных обязательств за указанный период и отражается в уведомлении об устранении нарушений, выявленных по результатам камерального контроля;
При этом положения настоящего подпункта в отношении доходов лиц, зарегистрированных в государствах, не включенных в перечень, утвержденный уполномоченным органом государств с льготным налогообложением, применяются по выплаченным с 1 января 2019 года авансам (предоплате);
5-1) доходы лица, зарегистрированного в иностранном государстве, в виде обязательств по полученному авансу (предоплате) при наличии одновременно следующих условий:
с государством нерезидента не заключен международный договор об избежании двойного налогообложения;
срок договора (контракта) составляет более двух лет;
6) доход от прироста стоимости при реализации:
находящегося на территории Республики Казахстан имущества, права на которое или сделки по которому подлежат государственной регистрации в соответствии с законами Республики Казахстан;
находящегося на территории Республики Казахстан имущества, подлежащего государственной регистрации в соответствии с законами Республики Казахстан;
ценных бумаг, выпущенных резидентом, а также долей участия в уставном капитале юридического лица-резидента, консорциума, расположенного в Республике Казахстан;
акций, выпущенных нерезидентом, а также долей участия в уставном капитале юридического лица-нерезидента, консорциума, если 50 и более процентов стоимости таких акций, долей участия или активов юридического лица-нерезидента составляет имущество, находящееся в Республике Казахстан;
7) доход от уступки прав требования долга резиденту или юридическому лицу-нерезиденту, осуществляющему деятельность в Республике Казахстан через постоянное учреждение, – для нерезидента, уступившего право требования.
При этом размер такого дохода определяется в виде положительной разницы между стоимостью права требования, по которой произведена уступка, и стоимостью требования, подлежащей получению от должника на дату уступки права требования, согласно первичным документам нерезидента;
8) доход от уступки прав требования при приобретении прав требования долга у резидента или юридического лица – нерезидента, осуществляющего деятельность в Республике Казахстан через постоянное учреждение, за исключением дохода, предусмотренного подпунктом 8-1) настоящего пункта, – для нерезидента, приобретающего право требования.
При этом размер такого дохода определяется в виде положительной разницы между суммой, подлежащей получению от должника по требованию основного долга, в том числе суммы сверх основного долга на дату уступки права требования, и стоимостью приобретения права требования;
8-1) доход от уступки прав требования при приобретении прав требования долга у резидента или юридического лица – нерезидента, осуществляющего деятельность в Республике Казахстан через постоянное учреждение, которые уступлены (переуступлены) в соответствии с законами Республики Казахстан «О банках и банковской деятельности в Республике Казахстан» и «О микрофинансовой деятельности», – для нерезидента, приобретающего право требования.
При этом размер такого дохода определяется в виде положительной разницы между суммой, фактически уплаченной должником, и стоимостью приобретения права требования.
Доход от уступки права требования признается в том налоговом периоде, в котором возникает (увеличивается) положительная разница. При этом не учитывается положительная разница, ранее признанная в предыдущих налоговых периодах;
9) доход в виде неустойки (штрафов, пени) и других видов санкций, кроме возвращенных из бюджета необоснованно удержанных ранее штрафов;
10) доход в виде дивидендов, получаемый от юридического лица-резидента, а также от паевых инвестиционных фондов, созданных в соответствии с законами Республики Казахстан;
11) доход в виде вознаграждений, за исключением вознаграждений по долговым ценным бумагам;
12) доход в виде вознаграждений по долговым ценным бумагам, получаемый от эмитента;
13) доход в виде роялти;
14) доход от сдачи в имущественный наем (аренду) имущества, которое находится или будет находиться в Республике Казахстан, кроме финансового лизинга;
15) доход, получаемый от недвижимого имущества, находящегося в Республике Казахстан;
16) доход в виде страховых премий, выплачиваемый по договорам страхования или перестрахования рисков, возникающих в Республике Казахстан;
17) доход от оказания услуг по международной перевозке.
В целях настоящего раздела международными перевозками признаются любые перевозки пассажиров, багажа, товаров, в том числе почты, морским, речным или воздушным судном, автотранспортным средством или железнодорожным транспортом, осуществляемые между пунктами, находящимися в разных государствах, одним из которых является Республика Казахстан.
Международными перевозками в целях настоящего раздела не признаются:
перевозка, осуществляемая исключительно между пунктами, находящимися за пределами Республики Казахстан, а также исключительно между пунктами, находящимися на территории Республики Казахстан;
транспортировка товаров по магистральным трубопроводам;
18) доход в виде платежа за простой судна при погрузочно-разгрузочных операциях сверх сталийного времени, предусмотренного в договоре (контракте) морской перевозки;
19) доход, получаемый от эксплуатации трубопроводов, линий электропередачи, линий волоконно-оптической связи, находящихся на территории Республики Казахстан;
20) доход физического лица-нерезидента от деятельности в Республике Казахстан по трудовому договору (соглашению, контракту), заключенному с резидентом или нерезидентом, являющимися работодателями;
21) доход трудового иммигранта-нерезидента по трудовому договору, заключенному в соответствии с трудовым законодательством Республики Казахстан на основании разрешения трудовому иммигранту;
22) гонорар руководителя и (или) иные выплаты членам органа управления (совета директоров или иного органа), получаемые указанными лицами в связи с выполнением возложенных на них управленческих обязанностей в отношении резидента, независимо от места фактического выполнения таких обязанностей;
23) надбавки физическому лицу-нерезиденту, выплачиваемые ему в связи с проживанием в Республике Казахстан резидентом или нерезидентом, являющимися работодателями;
24) доход физического лица-нерезидента от деятельности в Республике Казахстан в виде материальной выгоды, полученной от работодателя.
В целях настоящего раздела материальной выгодой признаются, в том числе:
оплата и (или) возмещение стоимости товаров, выполненных работ, оказанных услуг, полученных физическим лицом-нерезидентом от третьих лиц;
отрицательная разница между стоимостью товаров, работ, услуг, реализованных физическому лицу-нерезиденту, и ценой приобретения или себестоимостью этих товаров, работ, услуг;
списание суммы долга или обязательства физического лица-нерезидента;
25) доход физического лица-нерезидента в виде материальной выгоды, полученной от лица, не являющегося работодателем.
В целях настоящего раздела материальной выгодой признаются, в том числе:
оплата и (или) возмещение стоимости товаров, выполненных работ, оказанных услуг, полученных физическим лицом-нерезидентом от третьих лиц;
отрицательная разница между стоимостью товаров, работ, услуг, реализованных физическому лицу-нерезиденту, и ценой приобретения или себестоимостью этих товаров, работ, услуг;
списание суммы долга или обязательства физического лица-нерезидента;
26) пенсионные выплаты, осуществляемые накопительным пенсионным фондом-резидентом;
26-1) страховые выплаты физическим лицам – нерезидентам, осуществляемые по договору пенсионного аннуитета;
27) доход артиста театра, кино, радио, телевидения, музыканта, художника, спортсмена и иного физического лица-нерезидента от деятельности в Республике Казахстан в области культуры, искусства и спорта, независимо от того, как и кому осуществляются выплаты;
28) доход в виде выигрыша;
29) доход от оказания независимых личных (профессиональных) услуг в Республике Казахстан;
30) доход в виде безвозмездно полученного или унаследованного имущества, в том числе работ, услуг, за исключением безвозмездно полученного имущества физическим лицом-нерезидентом от физического лица-резидента.
Стоимость безвозмездно выполненных работ, оказанных услуг определяется в размере расходов, понесенных в связи с выполнением таких работ, оказанием услуг.
Стоимость безвозмездно полученного имущества, за исключением безвозмездно выполненных работ, оказанных услуг, определяется в размере его балансовой стоимости по данным бухгалтерского учета лица, передавшего такое имущество, на дату передачи имущества.
В случае невозможности определения стоимости безвозмездно полученного имущества по данным бухгалтерского учета, а также унаследованного имущества стоимость такого имущества на дату передачи или вступления в наследство устанавливается одним из следующих способов:
на основе стоимости, установленной Государственной корпорацией «Правительство для граждан» по состоянию на 1 января календарного года, в течение которого получено такое имущество;
на основе стоимости котировки ценной бумаги, торгуемой на казахстанской или иностранной фондовой бирже, на день получения указанной ценной бумаги (вступления) в наследство.
В случае невозможности определения стоимости безвозмездно полученного или унаследованного имущества в порядке, определенном настоящим подпунктом, стоимость определяется на основе отчета об оценке имущества;
31) доход по производным финансовым инструментам;
32) доход, полученный от передачи в доверительное управление имущества резиденту, на которого не возложено исполнение налогового обязательства в Республике Казахстан за нерезидента, являющегося учредителем доверительного управления;
33) доход по инвестиционному депозиту, размещенному в исламском банке;
34) другие доходы, возникающие от деятельности на территории Республики Казахстан.
При этом положения подпунктов 3), 4), 11), 12), 13), 25) и 28) настоящего пункта применяются при условии начисления, выплаты доходов и (или) отнесения на вычеты расходов по выплате доходов:
резидентом;
нерезидентом, осуществляющим деятельность в Республике Казахстан через постоянное учреждение, если начисление, выплата доходов и (или) отнесение на вычеты расходов по выплате доходов связаны с деятельностью или имуществом такого постоянного учреждения;
структурным подразделением юридического лица-нерезидента в случае, если такое структурное подразделение не образует постоянное учреждение в соответствии с международным договором, регулирующим вопросы избежания двойного налогообложения и предотвращения уклонения от уплаты налогов, или пунктом 6 статьи 220 настоящего Кодекса.
2. Доходом нерезидента из источников в Республике Казахстан не является:
1) сумма подоходного налога, исчисленная с дохода нерезидента в соответствии с положениями настоящего Кодекса и уплаченная в бюджет Республики Казахстан налоговым агентом за счет собственных средств без удержания такого подоходного налога;
2) компенсация расходов членам органа управления (совета директоров или иного органа), понесенных в связи с выполнением возложенных на них резидентом управленческих обязанностей, в пределах:
фактически произведенных расходов на проезд к месту выполнения управленческих обязанностей и обратно, включая оплату расходов за бронь, на основании документов, подтверждающих такие расходы (в том числе электронного билета, электронного проездного документа при наличии документа, подтверждающего факт оплаты его стоимости, а также посадочного талона или иного документа, подтверждающего факт проезда и выданного перевозчиком);
фактически произведенных расходов по найму жилого помещения за пределами Республики Казахстан на основании документов, подтверждающих такие расходы, но не более предельных норм возмещения расходов по найму одноместных стандартных номеров в отелях государственным служащим, находящимся в командировках за границей;
фактически произведенных расходов по найму жилого помещения в пределах Республики Казахстан на основании документов, подтверждающих такие расходы;
суммы денег не более 6-кратного размера месячного расчетного показателя, установленного законом о республиканском бюджете и действующего на 1 января соответствующего финансового года, за каждый календарный день нахождения в пределах Республики Казахстан для выполнения управленческих обязанностей в течение периода, не превышающего сорока календарных дней;
суммы денег не более 8-кратного размера месячного расчетного показателя, установленного законом о республиканском бюджете и действующего на 1 января соответствующего финансового года, за каждый календарный день нахождения за пределами Республики Казахстан для выполнения управленческих обязанностей в течение периода, не превышающего сорока календарных дней. При этом место выполнения управленческих обязанностей не должно совпадать с местом постоянного проживания;
3) доход юридического лица-нерезидента, полученный от:
автономных организаций образования, определенных подпунктами 1), 2) и 3) пункта 1 статьи 291 настоящего Кодекса;
некоммерческой организации, применяющей положения статьи 289 настоящего Кодекса, учрежденной лицом, указанным в абзаце втором настоящего подпункта;
автономных организаций образования, определенных подпунктами 4) и 5) пункта 1 статьи 291 настоящего Кодекса, за выполнение работ, оказание услуг по видам деятельности, указанным в подпунктах 4) и 5) пункта 1 статьи 291 настоящего Кодекса;
органов Международного финансового центра «Астана» или организаций органа Международного финансового центра «Астана»;
Примечание РЦПИ!
Подпункт 3-1) действует до 01.01.2029 в соответствии с Законом РК от 26.12.2018 № 203-VI.
3-1) доход, за исключением дохода лица, зарегистрированного в государстве с льготным налогообложением, включенном в перечень, утвержденный уполномоченным органом, от оказания консультационных, маркетинговых, инжиниринговых услуг, услуг в сфере информационной безопасности, выполнения работ по созданию центров обработки данных, выплачиваемый юридическим лицом, указанным в подпункте 6) пункта 1 статьи 293 настоящего Кодекса.
Положение настоящего подпункта применяется при условии приобретения таких работ, услуг для осуществления видов деятельности, включенных в перечень приоритетных видов деятельности в области информационно-коммуникационных технологий, утверждаемый уполномоченным органом в сфере информатизации по согласованию с центральным уполномоченным органом по государственному планированию, уполномоченным государственным органом, осуществляющим государственное регулирование в области технического регулирования, и уполномоченным органом;
4) доход юридического лица-нерезидента в виде роялти, выплачиваемый автономными организациями образования, определенными подпунктами 2), 3), 4) и 5) пункта 1 статьи 291 настоящего Кодекса;
4-1) действовал до 01.01.2024 в соответствии с Законом РК от 26.12.2018 № 203-VI.
5) стоимость имущества, полученного в виде вклада в уставный капитал юридического лица-нерезидента, а также стоимость имущества, полученного эмитентом-нерезидентом от размещения выпущенных им акций.
Сноска. Статья 644 с изменениями, внесенными законами РК от 02.07.2018 № 168-VІ (порядок введения в действие см. ст. 2); от 26.12.2018 № 203-VI (порядок введения в действие см. ст. 2); от 03.07.2019 № 262-VI (вводится в действие с 01.01.2021); от 10.12.2020 № 382-VI (порядок введения в действие см. ст. 2); от 21.12.2022 № 165-VII (вводится в действие с 01.01.2023); от 20.03.2023 № 213-VII (вводится в действие с 01.01.2024).
Глава 72. ПОРЯДОК НАЛОГООБЛОЖЕНИЯ ДОХОДОВ ЮРИДИЧЕСКОГО ЛИЦА-НЕРЕЗИДЕНТА, ДЕЯТЕЛЬНОСТЬ КОТОРОГО НЕ ПРИВОДИТ К ОБРАЗОВАНИЮ ПОСТОЯННОГО УЧРЕЖДЕНИЯ В РЕСПУБЛИКЕ КАЗАХСТАН
Статья 645. Порядок исчисления и удержания корпоративного подоходного налога у источника выплаты
1. Доходы из источников в Республике Казахстан юридического лица-нерезидента, деятельность которого не приводит к образованию постоянного учреждения в Республике Казахстан (далее в целях настоящей главы – нерезидент), облагаются корпоративным подоходным налогом у источника выплаты без осуществления вычетов.
При этом сумма корпоративного подоходного налога, удерживаемого у источника выплаты, исчисляется налоговым агентом путем применения ставок, установленных статьей 646 настоящего Кодекса, к сумме доходов, указанных в статье 644 настоящего Кодекса, за исключением доходов, указанных в пункте 9 настоящей статьи.
Исчисление и удержание корпоративного подоходного налога по доходам, облагаемым у источника выплаты, производятся налоговым агентом:
1) не позднее дня выплаты доходов нерезиденту – по начисленным и выплаченным доходам;
2) не позднее срока, установленного пунктом 1 статьи 315 настоящего Кодекса для представления декларации по корпоративному подоходному налогу, – по начисленным и невыплаченным доходам, которые отнесены на вычеты.
2. Корпоративный подоходный налог у источника выплаты удерживается налоговым агентом независимо от формы и места осуществления выплаты дохода нерезиденту.
3. Налогообложение доходов нерезидента у источника выплаты производится независимо от распоряжения данным нерезидентом своими доходами в пользу третьих лиц и (или) своих структурных подразделений в других государствах.
4. В целях настоящей статьи прирост стоимости при реализации ценных бумаг, долей участия определяется в соответствии со статьей 228 настоящего Кодекса.
5. При уплате налоговым агентом суммы корпоративного подоходного налога, исчисленной с доходов нерезидента в соответствии с положениями настоящего Кодекса, за счет собственных средств без его удержания обязанность налогового агента по удержанию и перечислению корпоративного подоходного налога у источника выплаты считается исполненной.
6. Обязанность и ответственность по исчислению, удержанию и перечислению в бюджет корпоративного подоходного налога у источника выплаты возлагаются на следующих лиц, выплачивающих доход нерезиденту и признанных налоговыми агентами:
1) индивидуального предпринимателя;
2) юридическое лицо-нерезидента, осуществляющее деятельность в Республике Казахстан через структурное подразделение.
При этом юридическое лицо-нерезидент признается налоговым агентом с даты постановки его структурного подразделения на регистрационный учет в налоговых органах Республики Казахстан;
3) юридическое лицо-нерезидента, осуществляющее деятельность в Республике Казахстан через постоянное учреждение без открытия структурного подразделения.
При этом юридическое лицо-нерезидент признается налоговым агентом с даты постановки его постоянного учреждения без открытия структурного подразделения на регистрационный учет в налоговых органах Республики Казахстан;
4) юридическое лицо-резидента, в том числе эмитента базового актива депозитарных расписок;
5) юридическое лицо-нерезидента, за исключением указанных в подпунктах 2) и 3) настоящего пункта, приобретающее имущество, указанное в подпункте 6) пункта 1 статьи 644 настоящего Кодекса, при невыполнении условий, установленных подпунктом 8) пункта 9 настоящей статьи.
6) физическое лицо – резидента, выплатившее доход, указанный в подпункте 6) части первой пункта 1 статьи 644 настоящего Кодекса, юридическому лицу – нерезиденту, не зарегистрированному в налоговом органе в качестве налогоплательщика.
При этом физическое лицо – резидент, выплатившее доход, указанный в подпункте 6) части первой пункта 1 статьи 644 настоящего Кодекса, в целях реализации части первой настоящего подпункта признается налоговым агентом, за исключением случаев совершения сделок с ценными бумагами на фондовой бирже.
Исчисление, удержание и перечисление корпоративного подоходного налога у источника выплаты в бюджет с доходов юридического лица – нерезидента производятся в порядке, определенном статьей 650 настоящего Кодекса.
7) юридическое лицо – резидента, являющееся сервисной компанией, при выплате должником нерезиденту дохода, установленного подпунктом 8-1) пункта 1 статьи 644 настоящего Кодекса, по активам, права (требования) по которым уступлены (переуступлены) в соответствии с законами Республики Казахстан «О банках и банковской деятельности в Республике Казахстан» и «О микрофинансовой деятельности».
Исчисление, удержание и перечисление корпоративного подоходного налога у источника выплаты в бюджет с доходов нерезидента производятся в порядке, определенном статьей 645 настоящего Кодекса;
8) индивидуального предпринимателя, юридическое лицо – резидента, которые являются должниками по активам, права (требования) по которым уступлены (переуступлены) в соответствии с законами Республики Казахстан «О банках и банковской деятельности в Республике Казахстан» и «О микрофинансовой деятельности», по доходу, установленному подпунктом 8-1) пункта 1 статьи 644 настоящего Кодекса, при отсутствии договора доверительного управления между нерезидентом и сервисной компанией, определенной подпунктом 7) настоящего пункта.
7. Под выплатой дохода понимается передача денег в наличной и (или) безналичной формах, ценных бумаг, доли участия, товаров, имущества, выполнение работ, оказание услуг, списание и (или) зачет требования долга, производимые в счет погашения задолженности перед нерезидентом по выплате доходов из источников в Республике Казахстан.
В целях настоящего раздела при налогообложении дивидендов, возникающих при корректировке объектов налогообложения в соответствии с настоящим Кодексом и законодательством Республики Казахстан о трансфертном ценообразовании, под выплатой дохода понимается определение дохода в соответствии с подпунктом 16) пункта 1 статьи 1 настоящего Кодекса. При этом датой выплаты дохода является 31 марта года, следующего за отчетным налоговым периодом.
8. При наличии в контракте, заключенном с нерезидентом, положений, предусматривающих выполнение, оказание различных видов работ, услуг на территории Республики Казахстан и за ее пределами, порядок исчисления и удержания подоходного налога у источника выплаты, установленный настоящей статьей, применяется к каждому виду работ, услуг отдельно. Каждый этап выполненных работ, оказанных услуг нерезидентом в рамках единого производственно-технологического цикла рассматривается как отдельный вид работ, услуг в целях исчисления и удержания подоходного налога у источника выплаты с доходов нерезидента.
При этом общая сумма доходов нерезидента по вышеуказанному контракту должна быть обоснованно распределена на доходы, полученные от выполнения работ, оказания услуг в Республике Казахстан и за ее пределами.
В целях применения положений настоящего пункта нерезидент обязан представить получателю услуг копии учетной документации, составленной в соответствии с законодательством Республики Казахстан и (или) иностранного государства, подтверждающей распределение общей суммы дохода нерезидента на доходы, полученные от выполнения работ, оказания услуг в Республике Казахстан, и на доходы, полученные от выполнения работ, оказания услуг за ее пределами.
При отсутствии такого распределения или необоснованном распределении дохода нерезидента, приведшего к занижению суммы дохода нерезидента, подлежащего налогообложению в Республике Казахстан в соответствии с положениями настоящей статьи, налогообложению подлежит совокупная сумма дохода нерезидента, полученного по вышеуказанному контракту от выполнения работ, оказания услуг как в Республике Казахстан, так и за ее пределами.
9. Налогообложению не подлежат:
1) выплаты, связанные с поставкой товаров на территорию Республики Казахстан в рамках внешнеторговой деятельности, за исключением оказанных услуг, выполненных работ на территории Республики Казахстан, связанных с данной поставкой.
В случае если по условиям договора (контракта) на поставку товаров в цену сделки включены расходы на оказание услуг, выполнение работ на территории Республики Казахстан без выделения в договоре (контракте) отдельно сумм по приобретенным товарам и (или) таким расходам, то стоимость приобретенных товаров определяется на основе цены сделки, указанной в договоре (контракте) с учетом таких расходов.
В случае если по условиям договора (контракта) на поставку товаров в цену сделки включены расходы на оказание услуг, выполнение работ на территории Республики Казахстан, при этом сумма по приобретенным товарам указана отдельно от таких расходов, то стоимость по приобретенным товарам определяется без учета стоимости таких расходов;
2) доходы от оказания услуг по открытию и ведению корреспондентских счетов банков-резидентов и проведению расчетов по ним, а также расчетов посредством международных платежных карточек;
3) дивиденды и вознаграждения по ценным бумагам, находящимся на дату начисления таких дивидендов и вознаграждений в официальном списке фондовых бирж, функционирующих на территории Республики Казахстан.
При этом положения настоящего подпункта применяются к дивидендам и вознаграждениям, начисленным по ценным бумагам, по которым за налоговый период осуществлялись торги на бирже в соответствии с критериями, определенными Правительством Республики Казахстан;
4) Исключен Законом РК от 11.07.2022 № 135-VII (вводится в действие с 01.01.2023).
5) Исключен Законом РК от 11.07.2022 № 135-VII (вводится в действие с 01.01.2023).
Примечание ИЗПИ!
Подпункт 6) предусмотрен в редакции Закона РК от 12.12.2023 № 45-VIII (вводится в действие с 01.01.2030).
6) вознаграждения по государственным эмиссионным ценным бумагам, агентским облигациям и доходы от прироста стоимости при реализации государственных эмиссионных ценных бумаг и агентских облигаций;
7) доходы от прироста стоимости при реализации методом открытых торгов на фондовой бирже, функционирующей на территории Республики Казахстан, или иностранной фондовой бирже ценных бумаг, находящихся на день реализации в официальных списках данной фондовой биржи;
8) доходы от прироста стоимости при реализации акций, выпущенных юридическим лицом, или долей участия в юридическом лице или консорциуме, указанные в подпункте 6) пункта 1 статьи 644 настоящего Кодекса, за исключением доходов лиц, зарегистрированных в государстве с льготным налогообложением, включенном в перечень, утвержденный уполномоченным органом, если иное не установлено подпунктом 7) настоящего пункта при одновременном выполнении следующих условий:
на день реализации акций или долей участия налогоплательщик владеет данными акциями или долями участия более трех лет;
такое юридическое лицо-эмитент или такое юридическое лицо, доля участия в котором реализуется, или участник такого консорциума, который реализует долю участия в таком консорциуме, не является недропользователем;
имущество лиц (лица), являющихся (являющегося) недропользователями (недропользователем), в стоимости активов такого юридического лица-эмитента или такого юридического лица, доля участия в котором реализуется, или общей стоимости активов участников такого консорциума, доля участия в котором реализуется, на день такой реализации составляет не более 50 процентов.
Указанный в части первой настоящего подпункта срок владения налогоплательщиком акциями или долями участия определяется совокупно с учетом сроков владения прежними собственниками акциями или долями участия, если такие акции или доли участия получены налогоплательщиком в результате реорганизации прежних собственников.
В целях настоящего подпункта недропользователем не признается недропользователь, являющийся таковым исключительно из-за обладания правом на добычу подземных вод и (или) общераспространенных полезных ископаемых для собственных нужд, а также недропользователь, осуществляющий в течение двенадцатимесячного периода, предшествовавшего первому числу месяца, в котором реализованы акции или доли участия, последующую переработку (после первичной переработки) не менее 70 процентов добытого за указанный период минерального сырья, включая уголь, на собственных и (или) принадлежащих юридическому лицу-резиденту, являющемуся взаимосвязанной стороной, производственных мощностях, расположенных на территории Республики Казахстан.
При определении объема минерального сырья, включая уголь, направленного на последующую переработку, учитывается сырье:
направленное непосредственно на производство продукции, полученной в результате любой переработки, следующей за первичной переработкой;
использованное в производстве продукции первичной переработки в целях ее дальнейшего использования в последующей переработке.
При этом доля имущества лиц (лица), являющихся (являющегося) недропользователями (недропользователем), в стоимости активов юридического лица или консорциума, чьи акции или доли участия реализуются, определяется в соответствии со статьей 650 настоящего Кодекса;
9) суммы накопленных (начисленных) вознаграждений по долговым ценным бумагам, оплаченные при их покупке покупателями-резидентами;
10) доходы от передачи основных средств в финансовый лизинг по договорам международного финансового лизинга;
11) доходы от выполнения работ, оказания услуг за пределами Республики Казахстан, за исключением доходов, указанных в подпунктах 3), 4) и 5) пункта 1 статьи 644 настоящего Кодекса;
12) выплаты, связанные с корректировкой стоимости по качеству реализации сырой нефти, транспортируемой по единой трубопроводной системе за пределы Республики Казахстан.
13) действовал до 01.01.2020 в соответствии с Законом РК от 25.12.2017 № 121-VI;
14) действовал до 01.01.2020 в соответствии с Законом РК от 25.12.2017 № 121-VI.
Примечание ИЗПИ!
Подпункт 15) действует с 01.01.2020 до 01.01.2027 в соответствии с Законом РК от 10.12.2020 № 382-VI.
15) сумма задолженности по кредиту (займу) и (или) задолженности, связанной с кредитом (займом), в том числе неустойки (штрафы, пени), по которой прощение долга произведено в порядке и на условиях, которые установлены пунктом 2-1 статьи 232 настоящего Кодекса, включая задолженность по вознаграждению, начисленному по 31 декабря 2012 года включительно.
16) действовал с 01.01.2020 до 01.01.2021 в соответствии с Законом РК от 10.12.2020 № 382-VI.
Сноска. Статья 645 с изменениями, внесенными законами РК от 26.12.2018 № 203-VI (вводится в действие с 01.01.2019); от 02.04.2019 № 241-VI (вводится в действие с 01.01.2018); от 10.12.2020 № 382-VI (порядок введения в действие см. ст. 2); от 11.07.2022 № 135-VII (вводится в действие с 01.01.2023); от 21.12.2022 № 165-VII (вводится в действие по истечении шестидесяти календарных дней после дня его первого официального опубликования); от 20.03.2023 № 213-VII (вводится в действие с 01.01.2024); от 12.12.2023 № 45-VIII (вводится в действие с 01.01.2024).
Статья 646. Ставки подоходного налога у источника выплаты
Примечание РЦПИ!
Внесенное изменение в абзац первый пункта 1 действует до 01.01.2029 в соответствии с Законом РК от 26.12.2018 № 203-VI.
1. Доходы нерезидента из источников в Республике Казахстан подлежат налогообложению у источника выплаты по следующим ставкам, если иное не установлено пунктами 2, 3, 4 и 5 настоящей статьи:
1) доходы, определенные статьей 644 настоящего Кодекса, за исключением доходов, указанных в подпунктах 2) – 5) настоящего пункта, – 20 процентов;
2) страховые премии по договорам страхования рисков – 15 процентов;
3) страховые премии по договорам перестрахования рисков – 5 процентов;
4) доходы от оказания услуг по международной перевозке – 5 процентов;
5) доходы от прироста стоимости, дивиденды, вознаграждения, роялти – 15 процентов.
2. Доходы лица, зарегистрированного в государстве с льготным налогообложением, включенном в перечень, утвержденный уполномоченным органом, определенные статьей 644 настоящего Кодекса, подлежат налогообложению у источника выплаты по ставке 20 процентов.
Примечание РЦПИ!
Пункт 3 действует до 01.01.2029 в соответствии с Законом РК от 26.12.2018 № 203-VI.
3. Доходы от прироста стоимости при реализации акций, выпущенных юридическими лицами, указанными в подпункте 6) пункта 1 статьи 293 настоящего Кодекса, долей участия в юридических лицах, указанных в подпункте 6) пункта 1 статьи 293 настоящего Кодекса, а также дивиденды, полученные от юридических лиц, указанных в подпункте 6) пункта 1 статьи 293 настоящего Кодекса, подлежат налогообложению у источника выплаты по ставке 5 процентов.
4. Доходы нерезидента в виде дивидендов, за исключением выплачиваемых лицам, зарегистрированным в государстве с льготным налогообложением, включенном в перечень, утвержденный уполномоченным органом, подлежат налогообложению по ставке 10 процентов при одновременном выполнении следующих условий:
на день начисления дивидендов налогоплательщик владеет акциями или долями участия, по которым выплачиваются дивиденды, более трех лет;
юридическое лицо – резидент, выплачивающее дивиденды, не является недропользователем в течение периода, за который выплачиваются дивиденды;
имущество лиц (лица), являющихся (являющегося) недропользователями (недропользователем), в стоимости активов юридического лица – резидента, выплачивающего дивиденды, на день выплаты дивидендов составляет не более 50 процентов.
В случае если юридическое лицо – резидент, за исключением юридического лица, указанного в подпункте 6) пункта 1 статьи 293 настоящего Кодекса, выплачивающее дивиденды, производит уменьшение исчисленного корпоративного подоходного налога на 100 процентов по деятельности, в том числе осуществляемой в рамках инвестиционного контракта, по которой предусмотрено такое уменьшение, то положения настоящего пункта применяются в следующем порядке:
если доля корпоративного подоходного налога, уменьшенного на 100 процентов в общей сумме исчисленного корпоративного подоходного налога в целом по юридическому лицу – резиденту, выплачивающему дивиденды, составляет 50 и более процентов, то положение настоящего пункта не применяется;
если доля корпоративного подоходного налога, уменьшенного на 100 процентов в общей сумме исчисленного корпоративного подоходного налога в целом по юридическому лицу – резиденту, выплачивающему дивиденды, составляет менее 50 процентов, то положение настоящего пункта применяется ко всей сумме дивидендов.
Указанный в части первой настоящего пункта срок владения налогоплательщиком акциями или долями участия определяется совокупно с учетом сроков владения прежними собственниками акциями или долями участия, если такие акции или доли участия получены налогоплательщиком в результате реорганизации прежних собственников или приобретены одним юридическим лицом у другого юридического лица при условии, что учредителями (собственниками) данных юридических лиц являются одни и те же лица.
Положения настоящего пункта применяются только к доходам, ранее обложенным корпоративным подоходным налогом и полученным от юридического лица – резидента в виде:
дохода, подлежащего выплате по акциям, в том числе являющимся базовыми активами депозитарных расписок;
части чистого дохода, распределяемого юридическим лицом – резидентом между его учредителями, участниками;
дохода от распределения имущества при ликвидации юридического лица – резидента или уменьшении уставного капитала путем пропорционального уменьшения размера вкладов учредителей, участников либо путем полного или частичного погашения долей учредителей, участников, а также изъятии учредителем, участником доли участия в юридическом лице – резиденте, за исключением имущества, внесенного учредителем, участником в качестве вклада в уставный капитал.
При этом доля имущества лиц (лица), являющихся (являющегося) недропользователями (недропользователем), в стоимости активов юридического лица – резидента, выплачивающего дивиденды, определяется в соответствии со статьей 650 настоящего Кодекса.
В целях настоящего пункта недропользователем не признается недропользователь, являющийся таковым исключительно из-за обладания правом на добычу подземных вод и (или) общераспространенных полезных ископаемых для собственных нужд.
5. Доходы нерезидента в виде дивидендов, выплачиваемые юридическими лицами – недропользователями, за исключением выплачиваемых лицам, зарегистрированным в государстве с льготным налогообложением, включенном в перечень, утвержденный уполномоченным органом, подлежат налогообложению по ставке 10 процентов при одновременном выполнении следующих условий:
на день начисления дивидендов налогоплательщик-нерезидент владеет акциями или долями участия, по которым выплачиваются дивиденды, более трех лет;
юридическое лицо – недропользователь, являющееся резидентом, выплачивающее дивиденды, осуществляет в течение двенадцатимесячного периода, предшествовавшего первому числу месяца, в котором начислены дивиденды, последующую переработку (после первичной переработки) не менее 70 процентов добытого за указанный период минерального сырья, включая уголь, на собственных и (или) принадлежащих юридическому лицу – резиденту, являющемуся взаимосвязанной стороной, производственных мощностях, расположенных на территории Республики Казахстан.
В случае если юридическое лицо – недропользователь, являющееся резидентом, за исключением юридического лица, указанного в подпункте 6) пункта 1 статьи 293 настоящего Кодекса, выплачивающее дивиденды, производит уменьшение исчисленного корпоративного подоходного налога на 100 процентов по деятельности, в том числе осуществляемой в рамках инвестиционного контракта, по которой предусмотрено такое уменьшение, то положения настоящего пункта применяются в следующем порядке:
если доля корпоративного подоходного налога, уменьшенного на 100 процентов в общей сумме исчисленного корпоративного подоходного налога в целом по юридическому лицу – резиденту, выплачивающему дивиденды, составляет 50 и более процентов, то положение настоящего пункта не применяется;
если доля корпоративного подоходного налога, уменьшенного на 100 процентов в общей сумме исчисленного корпоративного подоходного налога в целом по юридическому лицу – резиденту, выплачивающему дивиденды, составляет менее 50 процентов, то положение настоящего пункта применяется ко всей сумме дивидендов.
Указанный в части первой настоящего пункта срок владения налогоплательщиком акциями или долями участия определяется совокупно с учетом сроков владения прежними собственниками акциями или долями участия, если такие акции или доли участия получены налогоплательщиком в результате реорганизации прежних собственников.
В целях настоящего пункта при определении объема минерального сырья, включая уголь, направленного на последующую переработку, учитывается сырье:
направленное непосредственно на производство продукции, полученной в результате любой переработки, следующей за первичной переработкой;
использованное в производстве продукции первичной переработки в целях ее дальнейшего использования в последующей переработке.
Положения настоящего пункта применяются только к доходам, ранее обложенным корпоративным подоходным налогом и полученным от юридического лица – резидента в виде:
дохода, подлежащего выплате по акциям, в том числе являющимся базовыми активами депозитарных расписок;
части чистого дохода, распределяемого юридическим лицом – резидентом между его учредителями, участниками;
дохода от распределения имущества при ликвидации юридического лица – резидента или уменьшении уставного капитала путем пропорционального уменьшения размера вкладов учредителей, участников либо путем полного или частичного погашения долей учредителей, участников, а также при изъятии учредителем, участником доли участия в юридическом лице – резиденте, за исключением имущества, внесенного учредителем, участником в качестве вклада в уставный капитал.
При этом доля имущества лиц (лица), являющихся (являющегося) недропользователями (недропользователем), в стоимости активов юридического лица – резидента, выплачивающего дивиденды, определяется в соответствии со статьей 650 настоящего Кодекса.
В целях пункта 4 настоящей статьи и настоящего пункта доходы, ранее обложенные корпоративным подоходным налогом, определяются в следующем порядке:
налогооблагаемый доход, уменьшенный на сумму доходов и расходов, предусмотренных статьей 288 настоящего Кодекса, а также на сумму убытков, переносимых в соответствии со статьей 300 настоящего Кодекса,
минус
сумма корпоративного подоходного налога, исчисленного путем произведения ставки, установленной пунктом 1 или 2 статьи 313 настоящего Кодекса, и налогооблагаемого дохода, уменьшенного на сумму доходов и расходов, предусмотренных статьей 288 настоящего Кодекса, а также на сумму убытков, переносимых в соответствии со статьей 300 настоящего Кодекса.
Доход, ранее обложенный корпоративном подоходным налогом, определяется за каждый налоговый период, за который распределяются дивиденды.
При этом при определении дохода, ранее обложенного корпоративным подоходным налогом, не учитывается сумма уплаченных авансовых платежей по корпоративному подоходному налогу.
В случаях распределения и выплаты дивидендов до окончания налогового периода, указанного в статье 314 настоящего Кодекса, налоговый агент не вправе применить положения пункта 4 настоящей статьи и настоящего пункта.
При этом после окончания соответствующего налогового периода при выполнении условий, установленных пунктом 4 настоящей статьи и настоящим пунктом, налоговый агент вправе внести изменения и дополнения в ранее представленную налоговую отчетность по корпоративному подоходному налогу, удерживаемому у источника выплаты с дохода нерезидента, в порядке, установленном статьей 211 настоящего Кодекса. При возникновении излишне уплаченной суммы корпоративного подоходного налога налоговый агент имеет право на проведение зачета и (или) возврата такой суммы в порядке, предусмотренном параграфом 1 главы 11 настоящего Кодекса.
Сноска. Статья 646 с изменениями, внесенными законами РК от 26.12.2018 № 203-VI (вводится в действие с 01.01.2019); от 11.07.2022 № 135-VII (вводится в действие с 01.01.2023).
Статья 647. Порядок и сроки перечисления корпоративного подоходного налога у источника выплаты
1. Корпоративный подоходный налог у источника выплаты, удерживаемый с доходов нерезидента, подлежит перечислению налоговым агентом в бюджет:
1) по начисленным и выплаченным суммам дохода, кроме случая, указанного в подпункте 3) настоящего пункта, – не позднее двадцати пяти календарных дней после окончания месяца, в котором производилась выплата дохода, по рыночному курсу обмена валюты, определенному в последний рабочий день, предшествующий дате выплаты дохода;
2) по начисленным, но невыплаченным суммам дохода при отнесении их на вычеты – не позднее десяти календарных дней после срока, установленного для сдачи декларации по корпоративному подоходному налогу, по рыночному курсу обмена валюты, определенному в последний рабочий день, предшествующий последнему дню налогового периода, установленного статьей 314 настоящего Кодекса, в декларации по корпоративному подоходному налогу, за который доходы нерезидента отнесены на вычеты.
Положение настоящего подпункта не распространяется на вознаграждения по долговым ценным бумагам и депозитам, сроки погашения которых наступают по истечении десяти календарных дней после срока, установленного для сдачи декларации по корпоративному подоходному налогу. В таком случае применяются положения подпункта 1) пункта 1 настоящей статьи;
3) в случае выплаты предоплаты – не позднее двадцати пяти календарных дней после окончания месяца, в котором был начислен доход нерезидента в пределах суммы выплаченной предоплаты, по рыночному курсу обмена валюты, определенному в последний рабочий день, предшествующий дате начисления дохода.
2. Если начисленная сумма дохода нерезидента была отнесена на вычеты в декларации по корпоративному подоходному налогу за налоговый период, установленный статьей 314 настоящего Кодекса, но при этом выплата такого дохода нерезиденту была произведена по истечении такого периода, то подоходный налог у источника выплаты подлежит перечислению налоговым агентом в бюджет в сроки, установленные подпунктом 2) пункта 1 настоящей статьи.
3. Перечисление суммы подоходного налога с дохода нерезидента у источника выплаты в бюджет осуществляется налоговым агентом по месту нахождения.
Статья 648. Представление налоговой отчетности
Налоговый агент обязан представлять в налоговый орган по месту своего нахождения расчет по корпоративному подоходному налогу, удерживаемому у источника выплаты с дохода нерезидента, в следующие сроки:
1) за первый, второй и третий кварталы – не позднее 15 числа второго месяца, следующего за кварталом, в котором произведена выплата дохода нерезиденту;
2) за четвертый квартал – не позднее 31 марта года, следующего за отчетным налоговым периодом, установленным статьей 314 настоящего Кодекса, в котором произведена выплата дохода нерезиденту и (или) за который начисленный, но невыплаченный доход нерезидента отнесен на вычеты.
Статья 649. Особенности представления налоговой отчетности
Нерезидент, осуществляющий деятельность в Республике Казахстан через структурное подразделение, не приводящую к образованию постоянного учреждения в соответствии с международным договором или пунктом 6 статьи 220 настоящего Кодекса, представляет декларацию по корпоративному подоходному налогу в налоговый орган по месту нахождения в срок, установленный статьей 315 настоящего Кодекса.
Статья 650. Исчисление, удержание и перечисление налога с доходов от прироста стоимости при реализации имущества, находящегося в Республике Казахстан, и акций, долей участия, связанных с недропользованием в Республике Казахстан
1. Настоящая статья применяется к доходам нерезидента из источников в Республике Казахстан от прироста стоимости при реализации:
1) находящегося на территории Республики Казахстан имущества, права на которое или сделки по которому подлежат государственной регистрации в соответствии с законами Республики Казахстан;
2) находящегося на территории Республики Казахстан имущества, подлежащего государственной регистрации в соответствии с законами Республики Казахстан;
3) акций, выпущенных резидентом, и долей участия в уставном капитале юридического лица-резидента, являющегося недропользователем, или консорциума, участником (участниками) которого является (являются) недропользователь (недропользователи);
4) акций, выпущенных юридическим лицом-резидентом, и долей участия в уставном капитале юридического лица-резидента или консорциума при несоответствии условиям, установленным подпунктом 8) пункта 9 статьи 645 или подпунктом 7) статьи 654 настоящего Кодекса;
5) акций, выпущенных юридическим лицом-нерезидентом, и долей участия в уставном капитале юридического лица-нерезидента или консорциума при несоответствии условиям, установленным подпунктом 8) пункта 9 статьи 645 или подпунктом 7) статьи 654 настоящего Кодекса.
При этом прирост стоимости определяется в следующем порядке:
1) при реализации имущества, указанного в подпунктах 1) и 2) настоящего пункта, – как положительная разница между стоимостью реализации имущества и стоимостью его приобретения;
2) при реализации акций и долей участия – в соответствии со статьей 228 настоящего Кодекса.
В целях настоящего пункта недропользователем не признается недропользователь, являющийся таковым исключительно из-за обладания правом на добычу подземных вод и (или) общераспространенных полезных ископаемых для собственных нужд.
2. Для целей настоящей статьи и статей 288, 341, 645 и 654 настоящего Кодекса доля имущества недропользователя (недропользователей) в стоимости активов юридического лица на день реализации акций (долей участия) или выплаты дивидендов определяется как отношение суммы стоимости (стоимостей) имущества недропользователя (недропользователей), акциями которого (которых) или долями участия в котором (в которых) владеет юридическое лицо, выплачивающее дивиденды, или акции (доли участия) которого (в котором) реализуются, к общей стоимости активов такого юридического лица.
Для целей настоящей статьи и статей 288, 341, 645 и 654 настоящего Кодекса доля имущества недропользователя (недропользователей) в общей стоимости активов участников консорциума на день реализации долей участия определяется как отношение суммы стоимости (стоимостей) имущества недропользователя (недропользователей), акциями которого (которых) или долями участия в котором (в которых) владеют участники консорциума, доли участия в котором (в которых) реализуются, к сумме общих стоимостей активов таких участников.
Стоимостью имущества недропользователя (в зависимости от его организационно-правовой формы) признается балансовая стоимость:
1) доли участия в таком недропользователе, которой владеет юридическое лицо, выплачивающее дивиденды, или акции (доли участия) которого (в котором) реализуются;
2) акций, выпущенных таким недропользователем, которыми владеет юридическое лицо, выплачивающее дивиденды, или акции (доли участия) которого (в котором) реализуются.
Общей стоимостью активов юридического лица, выплачивающего дивиденды или акции (доли участия) которого (в котором) реализуются, признается сумма балансовых стоимостей всех активов такого юридического лица.
Балансовая стоимость активов определяется на основе данных отдельной финансовой отчетности юридического лица, выплачивающего дивиденды или акции (доли участия) которого (в котором) реализуются, или участников консорциума, доли участия в котором реализуются, составленной и утвержденной в соответствии с требованиями законодательства государства, в котором создано такое юридическое лицо или такой консорциум:
1) на дату выплаты дивидендов или передачи права собственности на акции (доли участия) покупателю;
2) при отсутствии отдельной финансовой отчетности на дату выплаты дивидендов или передачи права собственности на акции (доли участия) покупателю – на последнюю отчетную дату, предшествующую дате выплаты дивидендов или передачи права собственности на акции (доли участия) покупателю.
3. Доходы нерезидента, указанные в пункте 1 настоящей статьи, за исключением доходов, указанных в подпункте 7) пункта 9 статьи 645 настоящего Кодекса, подлежат обложению подоходным налогом у источника выплаты по ставке, установленной статьей 646 настоящего Кодекса.
4. Уполномоченные государственные и местные исполнительные органы, осуществляющие государственное регулирование в пределах компетенции в сфере недропользования в соответствии с законодательством Республики Казахстан о недрах и недропользовании, представляют в уполномоченный орган сведения о сделке по купле-продаже ценных бумаг, долей участия, указанных в подпунктах 3), 4) и 5) пункта 1 настоящей статьи, с отражением:
1) идентификационного номера и (или) его аналога в стране резидентства и наименования юридического лица и (или) фамилии, имени, отчества (при его наличии) физического лица, реализующего и приобретающего указанные акции (доли участия);
2) цены приобретения указанных акций (долей участия);
3) даты выплаты дохода по совершенной сделке;
4) сведений о предыдущей деятельности приобретателя, включая список государств, в которых он осуществлял свою деятельность за последние три года, предшествующие году заключения сделки;
5) сведений об аффилированности лица, реализующего имущество с другими лицами (размер прямого или косвенного участия).
5. Уполномоченный орган в течение трех рабочих дней со дня получения сведений от уполномоченных государственных и местных исполнительных органов, осуществляющих государственное регулирование в пределах компетенции в сфере недропользования в соответствии с законодательством Республики Казахстан о недрах и недропользовании, направляет их в налоговый орган по месту нахождения юридического лица, обладающего правом недропользования в Республике Казахстан, указанного в подпунктах 3), 4) и 5) пункта 1 части первой настоящей статьи, с одновременным извещением непосредственно подчиненного ему по вертикали налогового органа.
6. Налоговый орган по месту нахождения юридического лица, обладающего правом недропользования в Республике Казахстан, в течение пяти рабочих дней со дня получения сведений, указанных в пункте 4 настоящей статьи, обязан направить такому юридическому лицу сведения о приобретателе акций (долей участия), а также о цене приобретения таких акций (долей участия).
7. Лицо, реализующее акции, доли участия, недвижимое имущество, обязано представить покупателю – налоговому агенту копию документа, подтверждающего стоимость приобретения (вклада).
В случае непредставления налоговому агенту документа, подтверждающего стоимость приобретения (вклада), обложению подоходным налогом у источника выплаты подлежит стоимость реализации.
8. Обязанность и ответственность по исчислению, удержанию и перечислению подоходного налога у источника выплаты в бюджет возлагаются на налогового агента, выплачивающего доход.
При этом юридическое лицо-нерезидент признается налоговым агентом независимо от наличия или отсутствия в Республике Казахстан постоянного учреждения, а также структурное подразделение, деятельность которого не приводит к образованию постоянного учреждения в соответствии с положениями настоящего Кодекса или международного договора.
9. Нерезидент, являющийся налоговым агентом, подлежит обязательной регистрации.
При этом, юридическое лицо-нерезидент, являющееся налоговым агентом, подлежит регистрации в качестве налогоплательщика в налоговом органе в порядке, определенном статьей 76 настоящего Кодекса.
10. Подоходный налог у источника выплаты удерживается налоговым агентом в момент выплаты дохода нерезиденту независимо от формы и места осуществления выплаты дохода.
11. Нерезидент, получающий доход в виде прироста стоимости, указанный в пункте 1 настоящей статьи, от лица, не являющегося налоговым агентом, производит исчисление подоходного налога самостоятельно путем применения ставки, установленной статьей 646 настоящего Кодекса, к сумме такого дохода.
12. Перечисление суммы подоходного налога в бюджет производится налоговым агентом в сроки, установленные статьей 647 настоящего Кодекса.
Перечисление подоходного налога в бюджет, исчисленного в соответствии с пунктом 11 настоящей статьи, производится не позднее десяти календарных дней после срока, установленного для сдачи налоговой отчетности.
Налоговая отчетность по подоходному налогу, удерживаемому у источника выплаты с доходов нерезидентов, представляется налоговым агентом в сроки, установленные статьями 648 и 657 настоящего Кодекса, в налоговый орган по месту его регистрационного учета в Республике Казахстан.
Нерезиденты, исчисляющие подоходный налог в соответствии с пунктом 11 настоящей статьи, представляют декларацию по корпоративному подоходному налогу или декларацию о доходах и имуществе в сроки, установленные статьями 635 или 659 настоящего Кодекса.
13. Подоходный налог может быть уплачен за счет средств налогового агента (налогоплательщика) юридическим лицом-резидентом, являющимся недропользователем. При этом подоходный налог подлежит перечислению в бюджет таким юридическим лицом-резидентом в срок не позднее двадцати пяти календарных дней после окончания месяца, в котором получена сумма подоходного налога от налогового агента (налогоплательщика). Налоговая отчетность по подоходному налогу, удерживаемому у источника выплаты с доходов нерезидента, представляется таким юридическим лицом-резидентом не позднее 15 числа второго месяца, следующего за кварталом, в котором получена сумма подоходного налога от налогового агента (налогоплательщика), в налоговый орган по месту нахождения юридического лица-резидента в Республике Казахстан.
Сумма подоходного налога, перечисленная налоговым агентом (налогоплательщиком) юридическому лицу-резиденту, являющемуся недропользователем, указанному в подпунктах 3), 4) и 5) части первой пункта 1 настоящей статьи, не признается доходом такого юридического лица-резидента.
14. В случае неприменения налоговым агентом (налогоплательщиком) положений пунктов 12 и 13 настоящей статьи юридическое лицо-резидент, являющееся недропользователем, имеет право самостоятельно за счет своих средств произвести уплату подоходного налога с доходов от прироста стоимости за нерезидента в срок не позднее двадцати пяти календарных дней после окончания месяца, в котором получены сведения, указанные в пункте 6 настоящей статьи.
Юридическое лицо-резидент, указанное в подпунктах 3), 4) и 5) части первой пункта 1 настоящей статьи, при уплате подоходного налога в соответствии с настоящим пунктом обязано представить налоговую отчетность по подоходному налогу, удерживаемому у источника выплаты с доходов нерезидента, в налоговый орган по месту своего нахождения не позднее 15 числа второго месяца, следующего за кварталом, в котором получены сведения, указанные в пункте 6 настоящей статьи.
При этом сумма налога, уплаченная за нерезидента, не подлежит вычету при определении налогооблагаемого дохода юридического лица, являющегося недропользователем.
15. В случае неприменения налоговым агентом (налогоплательщиком), юридическим лицом-резидентом, являющимся недропользователем, указанным в подпунктах 3), 4) и 5) части первой пункта 1 настоящей статьи, положений пунктов 10, 12, 13 и 14 настоящей статьи исполнение такого обязательства возлагается на юридическое лицо-резидента, являющееся недропользователем, в порядке, определенном главами 13 и 14 настоящего Кодекса.
Сноска. Статья 650 с изменениями, внесенными законами РК от 10.12.2020 № 382-VI (вводится в действие с 01.01.2021); от 15.07.2025 № 208-VIII (вводится в действие с 01.01.2025).
Глава 73. ПОРЯДОК НАЛОГООБЛОЖЕНИЯ ДОХОДОВ ЮРИДИЧЕСКОГО ЛИЦА-НЕРЕЗИДЕНТА, ОСУЩЕСТВЛЯЮЩЕГО ДЕЯТЕЛЬНОСТЬ В РЕСПУБЛИКЕ КАЗАХСТАН ЧЕРЕЗ ПОСТОЯННОЕ УЧРЕЖДЕНИЕ
Статья 651. Определение налогооблагаемого дохода
1. Если иное не установлено настоящей статьей и статьей 653 настоящего Кодекса, определение налогооблагаемого дохода, исчисление и уплата корпоративного подоходного налога с дохода постоянного учреждения юридического лица-нерезидента производятся в соответствии с положениями настоящей статьи и статей 224 – 293, 299 – 315 настоящего Кодекса.
2. Совокупный годовой доход постоянного учреждения юридического лица-нерезидента составляют следующие виды доходов, связанных с деятельностью такого постоянного учреждения, полученных (подлежащих получению) с даты начала осуществления деятельности в Республике Казахстан:
1) доходы из источников в Республике Казахстан, предусмотренные пунктом 1 статьи 644 настоящего Кодекса;
2) доходы, указанные в пункте 1 статьи 226 настоящего Кодекса, не включенные в подпункт 1) части первой настоящего пункта;
3) доходы из источников за пределами Республики Казахстан, в том числе через работников или другой нанятый персонал;
4) доходы юридического лица-нерезидента, включая доходы его структурных подразделений в других государствах, получаемые от осуществления деятельности в Республике Казахстан, идентичной или однородной той, которая осуществляется через постоянное учреждение этого юридического лица-нерезидента в Республике Казахстан.
В совокупный годовой доход постоянного учреждения юридического лица-нерезидента не включаются:
1) доходы, определенные подпунктами 3) и 4) пункта 2 статьи 644 настоящего Кодекса;
2) превышение суммы положительной курсовой разницы над суммой отрицательной курсовой разницы, возникающих в соответствии с международными стандартами финансовой отчетности и законодательством Республики Казахстан о бухгалтерском учете и финансовой отчетности по обязательствам постоянного учреждения юридического лица-нерезидента перед головным офисом или другими структурными подразделениями такого юридического лица-нерезидента.
3. В случае, если нерезидент осуществляет предпринимательскую деятельность как в Республике Казахстан, так и за ее пределами в рамках одного проекта или связанных проектов, выполняемых совместно со своим постоянным учреждением в Республике Казахстан, доходом такого постоянного учреждения будет считаться доход, который оно могло бы получить, если бы оно было обособленным и отдельным юридическим лицом, занятым такой же или идентичной деятельностью при таких же или аналогичных условиях, и действовало независимо от юридического лица- нерезидента, постоянным учреждением которого оно является.
4. Если товары, произведенные постоянным учреждением юридического лица-нерезидента в Республике Казахстан, реализует другое структурное подразделение юридического лица-нерезидента, находящееся за пределами Республики Казахстан, доходом такого постоянного учреждения юридического лица-нерезидента признается доход, который оно могло бы получить, если бы оно было обособленным и отдельным юридическим лицом, занятым такой же или идентичной деятельностью при таких же или аналогичных условиях, и действовало независимо от юридического лица-нерезидента, постоянным учреждением которого оно является.
5. Доход постоянного учреждения юридического лица-нерезидента в целях применения настоящей статьи определяется с учетом норм законодательства Республики Казахстан о трансфертном ценообразовании.
6. На вычеты относятся расходы, непосредственно связанные с получением доходов от деятельности в Республике Казахстан через постоянное учреждение, независимо от того, понесены они в Республике Казахстан или за ее пределами, за исключением расходов, не подлежащих вычету в соответствии с настоящим Кодексом, а также расходов, направленных на получение доходов, определенных подпунктами 3) и 4) пункта 2 статьи 644 настоящего Кодекса.
7. Юридическое лицо-нерезидент не имеет права относить на вычеты постоянному учреждению суммы, предъявленные постоянному учреждению в виде:
1) роялти, гонораров, сборов и других платежей за пользование или предоставление права пользования собственностью или интеллектуальной собственностью этого юридического лица-нерезидента;
2) доходов за услуги, оказанные юридическим лицом-нерезидентом постоянному учреждению;
3) вознаграждений по займам, предоставленным этим юридическим лицом-нерезидентом постоянному учреждению;
4) расходов, не связанных с получением доходов от деятельности юридического лица-нерезидента через постоянное учреждение в Республике Казахстан;
5) документально неподтвержденных расходов;
6) управленческих и общеадминистративных расходов юридического лица-нерезидента, определенных пунктом 2 статьи 662 настоящего Кодекса, не связанных с осуществлением деятельности в Республике Казахстан через постоянное учреждение.
8. Не подлежит отнесению на вычеты постоянного учреждения юридического лица-нерезидента превышение суммы отрицательной курсовой разницы над суммой положительной курсовой разницы, возникающих в соответствии с международными стандартами финансовой отчетности и законодательством Республики Казахстан о бухгалтерском учете и финансовой отчетности по обязательствам постоянного учреждения юридического лица-нерезидента перед головным офисом или другими структурными подразделениями такого юридического лица-нерезидента.
Статья 652. Порядок налогообложения чистого дохода
1. Чистый доход юридического лица-нерезидента от деятельности в Республике Казахстан через постоянное учреждение облагается корпоративным подоходным налогом на чистый доход по ставке 15 процентов.
Чистый доход определяется в следующем порядке:
налогооблагаемый доход, уменьшенный на сумму доходов и расходов, предусмотренных статьей 288 настоящего Кодекса, а также на сумму убытков, переносимых в соответствии со статьей 300 настоящего Кодекса,
минус
сумма корпоративного подоходного налога, исчисленного путем произведения ставки, установленной пунктом 1 или пунктом 2 статьи 313 настоящего Кодекса, и налогооблагаемого дохода, уменьшенного на сумму доходов и расходов, предусмотренных статьей 288 настоящего Кодекса, а также на сумму убытков, переносимых в соответствии со статьей 300 настоящего Кодекса.
2. Исчисленная сумма корпоративного подоходного налога отражается в декларации по корпоративному подоходному налогу.
3. Юридическое лицо-нерезидент, осуществляющее деятельность в Республике Казахстан через постоянное учреждение, производит уплату корпоративного подоходного налога на чистый доход в бюджет по месту нахождения постоянного учреждения в течение десяти календарных дней после срока, установленного для сдачи декларации по корпоративному подоходному налогу.
Статья 653. Порядок налогообложения доходов в отдельных случаях
1. Налоговый агент, осуществляющий выплату доходов от выполнения работ, оказания услуг на территории Республики Казахстан, а также доходов, указанных в подпункте 4) части первой пункта 2 и пункте 3 статьи 651 настоящего Кодекса, производит исчисление, удержание и перечисление корпоративного подоходного налога с указанных доходов без осуществления вычетов по ставке 20 процентов при наличии одновременно следующих условий:
1) отсутствие контракта, заключенного со структурным подразделением юридического лица-нерезидента, постоянным учреждением юридического лица-нерезидента без открытия филиала, представительства;
2) отсутствие счета-фактуры по реализованным товарам, работам, услугам, выписанного филиалом, представительством юридического лица-нерезидента, постоянным учреждением юридического лица-нерезидента без открытия филиала, представительства.
Корпоративный подоходный налог у источника выплаты, удержанный налоговым агентом с доходов юридического лица-нерезидента, подлежит зачету в счет погашения налоговых обязательств постоянного учреждения указанного юридического лица-нерезидента.
При этом юридическое лицо-нерезидент, осуществляющее деятельность в Республике Казахстан через постоянное учреждение, исчисляет корпоративный подоходный налог в ретроспективном порядке в соответствии со статьями 651 и 652 настоящего Кодекса начиная с даты начала осуществления предпринимательской деятельности, которая привела к образованию постоянного учреждения, и представляет декларацию по корпоративному подоходному налогу в налоговый орган по месту нахождения такого постоянного учреждения с включением указанных доходов.
Сумма корпоративного подоходного налога, исчисленного юридическим лицом-нерезидентом, осуществляющим деятельность в Республике Казахстан через постоянное учреждение, уменьшается на сумму корпоративного подоходного налога, удержанного у источника выплаты с доходов такого юридического лица-нерезидента в соответствии с настоящим пунктом. Уменьшение производится при наличии документов, подтверждающих удержание налога налоговым агентом.
Положительная разница между суммой корпоративного подоходного налога, удержанного у источника выплаты с доходов юридического лица-нерезидента в соответствии с настоящим пунктом, и суммой корпоративного подоходного налога, исчисленного юридическим лицом-нерезидентом, осуществляющим деятельность в Республике Казахстан через постоянное учреждение, переносится на последующие десять налоговых периодов включительно и последовательно уменьшает суммы корпоративного подоходного налога, подлежащие уплате в бюджет, данных налоговых периодов.
2. Доходы юридического лица-нерезидента, получаемые от деятельности в Республике Казахстан через постоянное учреждение, не зарегистрированного в налоговых органах в качестве налогоплательщика в нарушение требований статьи 76 настоящего Кодекса, подлежат обложению корпоративным подоходным налогом у источника выплаты без осуществления вычетов по ставке 20 процентов.
Юридическое лицо-нерезидент, осуществляющее деятельность через постоянное учреждение, зарегистрированное в налоговых органах в качестве налогоплательщика с нарушением сроков, установленных статьей 76 настоящего Кодекса, обязано отразить в первоначально представляемых декларациях по соответствующим видам налогов объекты обложения и объекты, связанные с налогообложением, возникшие ретроспективно с даты начала осуществления предпринимательской деятельности, которая привела к образованию постоянного учреждения, исчислить и исполнить возникшие налоговые обязательства по уплате налогов, кроме налоговых обязательств налогового агента.
При этом сумма корпоративного подоходного налога, исчисленного таким юридическим лицом-нерезидентом за период с даты начала осуществления предпринимательской деятельности до даты его регистрации в налоговом органе, уменьшается на сумму корпоративного подоходного налога, удержанного у источника выплаты в соответствии с настоящим пунктом с доходов такого юридического лица-нерезидента за указанный период.
Уменьшение производится при наличии документов, подтверждающих удержание налога налоговым агентом.
Глава 74. ПОРЯДОК НАЛОГООБЛОЖЕНИЯ ДОХОДОВ ФИЗИЧЕСКИХ ЛИЦ-НЕРЕЗИДЕНТОВ
Статья 654. Доходы физического лица-нерезидента, освобождаемые от налогообложения
Налогообложению не подлежат следующие доходы физического лица-нерезидента:
1) выплаты, связанные с поставкой товаров на территорию Республики Казахстан в рамках внешнеторговой деятельности, за исключением услуг, оказанных на территории Республики Казахстан, связанных с контрактом по данной внешнеторговой деятельности;
2) суммы накопленных (начисленных) вознаграждений по долговым ценным бумагам при их покупке, оплаченные покупателями-резидентами;
3) дивиденды и вознаграждения по ценным бумагам, находящимся на дату начисления таких дивидендов и вознаграждений в официальном списке фондовых бирж, функционирующих на территории Республики Казахстан.
При этом положение части первой настоящего подпункта применяется к дивидендам и вознаграждениям, начисленным по ценным бумагам, по которым за календарный год осуществлялись торги на бирже в соответствии с критериями, определенными Правительством Республики Казахстан;
4) Исключен Законом РК от 11.07.2022 № 135-VII (вводится в действие с 01.01.2023).
Примечание ИЗПИ!
Подпункт 5) предусмотрен в редакции Закона РК от 12.12.2023 № 45-VIII (вводится в действие с 01.01.2030).
5) вознаграждения по государственным эмиссионным ценным бумагам, агентским облигациям и доходы от прироста стоимости при реализации государственных эмиссионных ценных бумаг и агентских облигаций;
6) доходы от прироста стоимости при реализации методом открытых торгов на фондовой бирже, функционирующей на территории Республики Казахстан, находящихся на день реализации в официальных списках данной фондовой биржи;
7) доходы от прироста стоимости при реализации акций, выпущенных юридическим лицом-резидентом, или долей участия в юридическом лице-резиденте или консорциуме, созданном в Республике Казахстан, указанные в подпункте 6) пункта 1 статьи 644 настоящего Кодекса, за исключением доходов лица, являющегося резидентом государства с льготным налогообложением, включенного в перечень, утвержденный уполномоченным органом, если иное не установлено подпунктом 6) настоящего пункта, при одновременном выполнении следующих условий:
на день реализации акций или долей участия налогоплательщик владеет данными акциями или долями участия более трех лет;
такое юридическое лицо-эмитент или такое юридическое лицо, доля участия в котором реализуется, или участник такого консорциума, который реализует долю участия в таком консорциуме, не является недропользователем;
имущество лиц (лица), являющихся (являющегося) недропользователями (недропользователем), в стоимости активов такого юридического лица-эмитента или такого юридического лица, доля участия в котором реализуется, или общей стоимости активов участников такого консорциума, доля участия в котором реализуется, на день такой реализации составляет не более 50 процентов.
В целях настоящего подпункта недропользователем не признается недропользователь, являющийся таковым исключительно из-за обладания правом на добычу подземных вод и (или) общераспространенных полезных ископаемых для собственных нужд.
При этом доля имущества лиц (лица), являющихся (являющегося) недропользователями (недропользователем), в стоимости активов юридического лица или консорциума, чьи акции или доли участия реализуются, определяется в соответствии со статьей 650 настоящего Кодекса;
8) доходы от выполнения работ, оказания услуг за пределами Республики Казахстан, за исключением доходов, указанных в подпунктах 3), 4) и 5) пункта 1 статьи 644 настоящего Кодекса;
9) выплаты, производимые за счет средств гранта в рамках межправительственного соглашения, участником которого является Республика Казахстан, направленного на поддержку (оказание помощи) малообеспеченным гражданам в Республике Казахстан;
10) материальная выгода, фактически произведенная автономной организацией образования, указанной в пункте 1 статьи 291 настоящего Кодекса, в виде оплаты (возмещения) расходов на проживание, медицинское страхование, проезд воздушным транспортом от места жительства за пределами Республики Казахстан до места осуществления деятельности в Республике Казахстан и обратно, полученная физическим лицом-нерезидентом:
являющимся работником такой автономной организации образования;
осуществляющим деятельность в Республике Казахстан по выполнению работ, оказанию услуг такой автономной организации образования;
являющимся работником юридического лица-нерезидента, выполняющего работы, оказывающего услуги такой автономной организации образования, и непосредственно выполняющим такие работы и оказывающим такие услуги.
11) действовал до 01.01.2020 в соответствии с Законом РК от 25.12.2017 № 121-VI;
12) действовал до 01.01.2020 в соответствии с Законом РК от 25.12.2017 № 121-VI.
Примечание ИЗПИ!
Подпункт 13) действует с 01.01.2020 до 01.01.2027 в соответствии с Законом РК от 10.12.2020 № 382-VI.
13) сумма задолженности по кредиту (займу), по которому прощение долга произведено в порядке и на условиях, которые установлены пунктом 2-1 статьи 232 настоящего Кодекса, включая задолженность по вознаграждению по таким кредитам, начисленному по 31 декабря 2012 года включительно.
Сноска. Статья 654 с изменениями, внесенными законами РК от 26.12.2018 № 203-VI (вводится в действие с 01.01.2019); от 10.12.2020 № 382-VI (порядок введения в действие см. ст. 2); от 11.07.2022 № 135-VII (вводится в действие с 01.01.2023); от 12.12.2023 № 45-VIII (вводится в действие с 01.01.2024).
Статья 655. Порядок исчисления, удержания и перечисления индивидуального подоходного налога по доходам, подлежащим налогообложению у источника выплаты
1. Доходы физического лица-нерезидента из источников в Республике Казахстан, за исключением доходов, указанных в пункте 1 статьи 656 настоящего Кодекса, облагаются индивидуальным подоходным налогом у источника выплаты по ставкам, указанным в статье 646 настоящего Кодекса, без осуществления налоговых вычетов, если иное не установлено настоящей статьей.
В целях настоящей статьи прирост стоимости при реализации ценных бумаг, долей участия определяется в соответствии со статьей 228 настоящего Кодекса.
2. Несмотря на положения настоящей статьи, исчисление, удержание и перечисление индивидуального подоходного налога у источника выплаты в бюджет с доходов физического лица-нерезидента, указанных в пункте 1 статьи 650 настоящего Кодекса, производятся в порядке, определенном статьей 650 настоящего Кодекса.
3. Исчисление индивидуального подоходного налога по доходам, подлежащим налогообложению у источника выплаты, с учетом положений, предусмотренных пунктом 2 статьи 319 настоящего Кодекса, производится налоговым агентом без осуществления налоговых вычетов путем применения ставки, установленной пунктом 1 статьи 320 настоящего Кодекса, к сумме следующих доходов физического лица-нерезидента, включая доходы, определенные пунктом 1 статьи 322 настоящего Кодекса:
от деятельности в Республике Казахстан по трудовому договору (соглашению, контракту), заключенному с резидентом или нерезидентом, являющимися работодателями;
от деятельности в Республике Казахстан в виде материальной выгоды, полученной от работодателя;
гонорары руководителя и (или) иные выплаты членам органа управления (совета директоров или иного органа), получаемые указанными лицами в связи с выполнением возложенных на них управленческих обязанностей в отношении резидента, независимо от места фактического выполнения таких обязанностей;
надбавки, выплачиваемые ему в связи с проживанием в Республике Казахстан резидентом или нерезидентом, являющимися работодателями;
страховые выплаты физическим лицам – нерезидентам, осуществляемые по договору пенсионного аннуитета;
пенсионные выплаты, осуществляемые накопительным пенсионным фондом-резидентом.
4. Исчисление и удержание индивидуального подоходного налога по доходам, подлежащим налогообложению у источника выплаты, производятся налоговым агентом не позднее дня выплаты доходов физическому лицу-нерезиденту, за исключением случая, указанного в пункте 7 настоящей статьи.
Индивидуальный подоходный налог у источника выплаты удерживается налоговым агентом независимо от формы и места осуществления выплаты дохода физическому лицу-нерезиденту.
5. Перечисление индивидуального подоходного налога с доходов физического лица-нерезидента, подлежащих налогообложению у источника выплаты, в бюджет производится налоговым агентом по месту нахождения не позднее 25 числа месяца, следующего за месяцем, в котором налог подлежит удержанию.
6. При выплате дохода в иностранной валюте размер дохода, облагаемого у источника выплаты, пересчитывается в тенге с применением рыночного курса обмена валют, определенного в последний рабочий день, предшествующий дате выплаты дохода.
7. При предоставлении иностранного персонала нерезидентом, деятельность которого не образует постоянного учреждения в Республике Казахстан в соответствии с положениями пункта 7 статьи 220 настоящего Кодекса, доход такого персонала от деятельности в Республике Казахстан облагается индивидуальным подоходным налогом у источника выплаты.
При этом объектом обложения индивидуальным подоходным налогом являются доходы физического лица-нерезидента, в том числе иная материальная выгода, получаемая таким лицом в связи с деятельностью в Республике Казахстан.
В случае, если доход выплачивается предоставленному персоналу нерезидентом, налоговая база в целях исчисления индивидуального подоходного налога определяется налоговым агентом на основании документов, представляемых нерезидентом в соответствии с пунктом 7 статьи 220 настоящего Кодекса.
Удержание индивидуального подоходного налога у источника выплаты с дохода иностранного персонала производится налоговым агентом при выплате дохода юридическому лицу-нерезиденту за услуги по предоставлению иностранного персонала.
Исчисление индивидуального подоходного налога, удерживаемого у источника выплаты, производится налоговым агентом путем применения ставки, установленной пунктом 1 статьи 320 настоящего Кодекса, к сумме доходов иностранного персонала, определенных в соответствии с настоящим пунктом с учетом положений пункта 2 статьи 319 настоящего Кодекса, без осуществления налоговых вычетов.
Налоговый агент обязан перечислить суммы индивидуального подоходного налога, удержанного у источника выплаты, по месту нахождения до 25 числа месяца, следующего за месяцем, в котором налог подлежит удержанию.
8. Обязанность и ответственность по исчислению, удержанию и перечислению индивидуального подоходного налога у источника выплаты в бюджет возлагаются на следующих лиц, выплачивающих доход нерезиденту и признанных налоговыми агентами:
1) индивидуального предпринимателя;
2) юридическое лицо-нерезидента, осуществляющее деятельность в Республике Казахстан через структурное подразделение.
При этом юридическое лицо-нерезидент признается налоговым агентом с даты постановки его структурного подразделения на регистрационный учет в налоговых органах Республики Казахстан;
3) юридическое лицо-нерезидента, осуществляющее деятельность в Республике Казахстан через постоянное учреждение без открытия структурного подразделения.
При этом юридическое лицо-нерезидент признается налоговым агентом с даты постановки его постоянного учреждения без открытия структурного подразделения на регистрационный учет в налоговых органах Республики Казахстан;
4) юридическое лицо-резидента, в том числе эмитента базового актива депозитарных расписок.
Для целей настоящей главы юридическое лицо-резидент своим решением вправе признать налоговым агентом по индивидуальному подоходному налогу, удерживаемому у источника выплаты, свое структурное подразделение по доходам, облагаемым у источника выплаты, которые выплачены (подлежат выплате) таким структурным подразделением, в порядке, определенном статьей 353 настоящего Кодекса;
5) юридическое лицо, в том числе нерезидента, осуществляющее деятельность в Республике Казахстан через постоянное учреждение, которому предоставлен иностранный персонал нерезидентом, деятельность которого не образует постоянного учреждения в соответствии с положениями пункта 7 статьи 220 настоящего Кодекса;
6) юридическое лицо-нерезидента, приобретающее имущество, указанное в подпункте 5) части первой пункта 1 статьи 650 настоящего Кодекса, при невыполнении условий, установленных подпунктом 7) статьи 654 настоящего Кодекса.
9. При уплате налоговым агентом суммы индивидуального подоходного налога, исчисленной с доходов физического лица-нерезидента в соответствии с положениями настоящего Кодекса, за счет собственных средств без его удержания обязанность налогового агента по удержанию и перечислению индивидуального подоходного налога у источника выплаты считается исполненной.
Сноска. Статья 655 с изменениями, внесенными законами РК от 10.12.2020 № 382-VI (вводится в действие с 01.01.2021); от 21.12.2022 № 165-VII (вводится в действие с 01.01.2023).
Статья 656. Порядок налогообложения доходов иностранцев и лиц без гражданства, направленных в Республику Казахстан юридическим лицом-нерезидентом, не зарегистрированным в качестве налогоплательщика Республики Казахстан
Сноска. Заголовок статьи 656 в редакции Закона РК от 25.11.2019 № 272-VI (вводится в действие с 01.01.2018).
1. Порядок налогообложения, установленный настоящей статьей, распространяется на доходы иностранцев и лиц без гражданства, направленных в Республику Казахстан юридическим лицом-нерезидентом, не зарегистрированным в качестве налогоплательщика Республики Казахстан, включая доходы, определенные статьей 322 настоящего Кодекса, полученные (подлежащие получению):
от деятельности в Республике Казахстан по трудовому договору (соглашению, контракту), заключенному с таким юридическим лицом-нерезидентом, являющимся работодателем;
от деятельности в Республике Казахстан по договору (контракту) гражданско-правового характера, заключенному с таким юридическим лицом-нерезидентом;
от деятельности в Республике Казахстан в виде материальной выгоды, полученной от лица, не являющегося работодателем;
надбавки, выплачиваемые в связи с проживанием в Республике Казахстан таким юридическим лицом-нерезидентом.
В целях настоящей статьи под юридическим лицом-нерезидентом, не зарегистрированным в качестве налогоплательщика Республики Казахстан, признается также юридическое лицо-нерезидент, зарегистрированное в качестве налогоплательщика Республики Казахстан в связи с открытием текущего счета в банках-резидентах и (или) в связи с возникновением обязательств в соответствии со статьей 650 настоящего Кодекса.
Положения настоящей статьи применяются к указанным в настоящей статье доходам иностранца или лица без гражданства, направленного в Республику Казахстан, если иное не установлено пунктом 7 статьи 655 настоящего Кодекса, при одновременном выполнении следующих условий:
1) иностранец или лицо без гражданства является работником и (или) подрядчиком (субподрядчиком) юридического лица-нерезидента, не зарегистрированного в качестве налогоплательщика Республики Казахстан, либо работником подрядчика (субподрядчика) указанного юридического лица-нерезидента;
2) иностранец или лицо без гражданства признается постоянно пребывающим в Республике Казахстан в соответствии с пунктом 2 статьи 217 настоящего Кодекса.
При этом в случае если иностранец или лицо без гражданства не признается постоянно пребывающим в Республике Казахстан в соответствии с пунктом 2 статьи 217 настоящего Кодекса, то доходы от деятельности в Республике Казахстан в виде материальной выгоды, полученной от лица, не являющегося работодателем, подлежат налогообложению по ставке, установленной статьей 646 настоящего Кодекса.
2. Обязанность и ответственность по исчислению, удержанию и перечислению индивидуального подоходного налога у источника выплаты в бюджет с дохода иностранца или лица без гражданства, указанного в пункте 1 настоящей статьи, возлагаются на лицо (в том числе нерезидента, осуществляющего деятельность через постоянное учреждение), в пользу которого выполняются работы, оказываются услуги юридическим лицом-нерезидентом. Такое лицо признается налоговым агентом.
3. Исчисление индивидуального подоходного налога производится налоговым агентом с дохода иностранца или лица без гражданства, указанного в документе, представленном нерезидентом в соответствии с настоящим пунктом, без осуществления налоговых вычетов по ставке, установленной статьей 320 настоящего Кодекса. При этом юридическое лицо-нерезидент обязано представить налоговому агенту:
нотариально засвидетельствованные копии индивидуального трудового договора (контракта) и (или) договора гражданско-правового характера, заключенных с иностранцем или лицом без гражданства, направленным в Республику Казахстан;
иной документ, содержащий сведения о доходах физического лица, получаемых от работы по найму в рамках трудового договора и (или) договора гражданско-правового характера, заключенного с таким нерезидентом.
В случае непредставления налоговому агенту документов, указанных в настоящем пункте, обложению индивидуальным подоходным налогом у источника выплаты подлежит доход в размере 80 процентов от суммы дохода, подлежащего выплате юридическому лицу-нерезиденту за выполненные работы, оказанные услуги, который распределяется равными долями на всех иностранцев и лиц без гражданства.
При этом доход, указанный в настоящем пункте, подлежит уменьшению на сумму:
дохода, указанного в документах, определенных настоящим пунктом, в случае их представления;
дохода от деятельности в Республике Казахстан в виде материальной выгоды, полученной от лица, не являющегося работодателем, в случае если такой доход предусмотрен условиями договора (контракта, соглашения).
4. Индивидуальный подоходный налог у источника выплаты исчисляется и удерживается налоговым агентом не позднее дня выплаты дохода юридическому лицу-нерезиденту независимо от формы и места осуществления выплаты дохода.
5. Перечисление индивидуального подоходного налога с доходов иностранца или лица без гражданства в бюджет производится налоговым агентом по месту своего нахождения до 25 числа месяца, следующего за месяцем, в котором налог подлежит удержанию в соответствии с пунктом 4 настоящей статьи.
6. При выплате дохода в иностранной валюте размер дохода, облагаемого у источника выплаты, пересчитывается в тенге с применением рыночного курса обмена валют, определенного в последний рабочий день, предшествующий дате выплаты дохода.
Сноска. Статья 656 с изменениями, внесенными законами РК от 02.04.2019 № 241-VI (вводится в действие с 01.01.2018); от 25.11.2019 № 272-VI (порядок введения в действие см. ст. 3); от 10.12.2020 № 382-VI (вводится в действие с 01.01.2018).
Статья 657. Представление декларации по индивидуальному подоходному налогу и социальному налогу
Декларация по индивидуальному подоходному налогу и социальному налогу представляется налоговым агентом в налоговый орган по месту уплаты налога ежеквартально, не позднее 15 числа второго месяца, следующего за кварталом, в который входят отчетные налоговые периоды.
Статья 658. Порядок исчисления и уплаты индивидуального подоходного налога с доходов физического лица-нерезидента в отдельных случаях
1. Положения настоящей статьи распространяются на доходы физического лица-нерезидента, полученные из источников в Республике Казахстан от лица, не являющегося налоговым агентом в соответствии с положениями настоящего Кодекса.
2. Если иное не установлено настоящей статьей, исчисление индивидуального подоходного налога с доходов физического лица-нерезидента, полученных из источников в Республике Казахстан от лица, не являющегося налоговым агентом в соответствии с положениями настоящего Кодекса, производится путем применения ставки, установленной статьей 646 настоящего Кодекса, к начисленной сумме дохода без осуществления налоговых вычетов.
3. Если иное не установлено настоящей статьей, уплата индивидуального подоходного налога производится физическим лицом-нерезидентом самостоятельно не позднее десяти календарных дней после срока, установленного для сдачи декларации по индивидуальному подоходному налогу за налоговый период.
4. Исчисление и удержание индивидуального подоходного налога с доходов физического лица-нерезидента, указанных в пункте 1 статьи 650 настоящего Кодекса, производятся в порядке, определенном статьей 650 настоящего Кодекса.
5. Трудовые иммигранты-нерезиденты по доходам, полученным (подлежащим получению) по трудовым договорам, заключенным в соответствии с трудовым законодательством Республики Казахстан на основании разрешения трудовому иммигранту, в течение налогового периода производят уплату предварительного платежа по индивидуальному подоходному налогу.
Предварительный платеж по индивидуальному подоходному налогу исчисляется в размере 2-кратного месячного расчетного показателя, установленного законом о республиканском бюджете и действующего на 1 января соответствующего финансового года, за каждый месяц выполнения работ, оказания услуг соответствующего периода, указанного трудовым иммигрантом-нерезидентом в заявлении на получение (продление) разрешения трудовому иммигранту.
Уплата предварительного платежа по индивидуальному подоходному налогу производится трудовым иммигрантом-нерезидентом по месту пребывания до получения (продления) разрешения трудовому иммигранту.
По окончании налогового периода по доходам, указанным в настоящем пункте, трудовыми иммигрантами-нерезидентами производится исчисление суммы индивидуального подоходного налога путем применения ставки, установленной пунктом 1 статьи 320 настоящего Кодекса, к облагаемой сумме дохода.
Облагаемая сумма дохода определяется как сумма доходов, полученных (подлежащих получению) от выполнения работ, оказания услуг, уменьшенная на сумму 12-кратного размера месячного расчетного показателя, установленного законом о республиканском бюджете и действующего на 1 января соответствующего финансового года, исчисленная за каждый месяц выполнения работ, оказания услуг соответствующего периода, указанного в разрешении трудовому иммигранту.
Сумма предварительных платежей, уплаченная трудовым иммигрантом-нерезидентом в бюджет в течение налогового периода, зачитывается в счет уплаты индивидуального подоходного налога, исчисленного за отчетный налоговый период.
В случае если сумма уплаченных в течение налогового периода предварительных платежей по индивидуальному подоходному налогу превышает сумму индивидуального подоходного налога, исчисленную за отчетный налоговый период, то сумма такого превышения не является суммой излишне уплаченного индивидуального подоходного налога и не подлежит возврату или зачету.
В случае если сумма уплаченных в течение налогового периода предварительных платежей по индивидуальному подоходному налогу меньше суммы индивидуального подоходного налога, исчисленной за отчетный налоговый период, то исчисление индивидуального подоходного налога отражается в декларации о доходах и имуществе и уплата индивидуального подоходного налога по декларации по итогам налогового периода осуществляется трудовым иммигрантом-нерезидентом по месту пребывания не позднее десяти календарных дней после срока представления декларации о доходах и имуществе, предусмотренного статьей 659 настоящего Кодекса.
Сноска. Статья 658 с изменениями, внесенными законами РК от 26.12.2018 № 203-VI (вводится в действие с 01.01.2019); ); от 15.07.2025 № 208-VIII (вводится в действие с 01.01.2025).
Статья 659. Представление декларации о доходах и имуществе
Если иное не установлено настоящей статьей, декларация о доходах и имуществе представляется по месту жительства (пребывания) не позднее 15 сентября года, следующего за отчетным календарным годом, физическим лицом – нерезидентом, получающим доходы из источников в Республике Казахстан, подлежащие налогообложению физическим лицом самостоятельно в соответствии с настоящим Кодексом.
В случае выезда за пределы Республики Казахстан в течение текущего налогового периода без последующего въезда на территорию Республики Казахстан до 31 марта года, следующего за текущим налоговым периодом, физическое лицо – нерезидент вправе представить декларацию о доходах и имуществе и уплатить индивидуальный подоходный налог в течение текущего налогового периода. При этом декларация о доходах и имуществе представляется за период с начала текущего налогового периода до даты выезда такого лица за пределы Республики Казахстан.
Декларация о доходах и имуществе представляется трудовыми иммигрантами – нерезидентами, получившими доходы, указанные в подпункте 21) части первой пункта 1 статьи 644 настоящего Кодекса, в случае превышения суммы индивидуального подоходного налога, исчисленной за отчетный налоговый период, над суммой предварительных платежей по индивидуальному подоходному налогу в налоговый орган по месту пребывания не позднее 31 марта года, следующего за отчетным налоговым периодом.
При этом в случае выезда за пределы Республики Казахстан трудового иммигранта – нерезидента, получившего доходы, указанные в подпункте 21) части первой пункта 1 статьи 644 настоящего Кодекса, в течение налогового периода, декларация (декларации) о доходах и имуществе представляется (представляются) до даты выезда такого лица за пределы Республики Казахстан.
Сноска. Статья 659 — в редакции Закона РК от 15.07.2025 № 208-VIII (вводится в действие с 01.01.2025).
Глава 75. СПЕЦИАЛЬНЫЕ ПОЛОЖЕНИЯ ПО МЕЖДУНАРОДНЫМ ДОГОВОРАМ, РЕГУЛИРУЮЩИМ ВОПРОСЫ ИЗБЕЖАНИЯ ДВОЙНОГО НАЛОГООБЛОЖЕНИЯ И ПРЕДОТВРАЩЕНИЯ УКЛОНЕНИЯ ОТ УПЛАТЫ НАЛОГОВ
Статья 660. Условия применения международного договора
1. Положения международного договора, регулирующего вопросы избежания двойного налогообложения и предотвращения уклонения от уплаты налогов, одной из сторон которого является Республика Казахстан (далее – международный договор), применяются к лицам, которые являются резидентами одного или обоих государств, заключивших такой договор.
2. Положения пункта 1 настоящей статьи не распространяются на резидента государства, с которым заключен международный договор, если этот резидент использует положения данного международного договора в интересах другого лица, не являющегося резидентом государства, с которым заключен международный договор.
Статья 661. Порядок применения международного договора
Применение положений международного договора осуществляется в порядке, определенном настоящим Кодексом и соответствующим международным договором.
Статья 662. Порядок отнесения на вычеты управленческих и общеадминистративных расходов юридического лица-нерезидента в целях налогообложения доходов из источников в Республике Казахстан
1. В случае если положениями международного договора при определении налогооблагаемого дохода юридического лица-нерезидента от деятельности в Республике Казахстан через постоянное учреждение допускается вычет управленческих и общеадминистративных расходов юридического лица-нерезидента (далее – распределяемые расходы юридического лица-нерезидента), то сумма таких расходов определяется таким юридическим лицом-нерезидентом по своему выбору по одному из следующих методов:
1) методу пропорционального распределения расходов;
2) методу непосредственного (прямого) отнесения расходов на вычеты.
Для целей настоящей статьи и статей 663, 664 и 665 настоящего Кодекса распределяемыми расходами юридического лица-нерезидента признаются управленческие и общеадминистративные расходы юридического лица-нерезидента, связанные с осуществлением деятельности в Республике Казахстан через постоянное учреждение, фактически понесенные как в Республике Казахстан, так и за ее пределами.
При этом в распределяемые расходы юридического лица-нерезидента не подлежат включению:
управленческие и общеадминистративные расходы, понесенные непосредственно структурным подразделением юридического лица-нерезидента, деятельность которого привела к образованию постоянного учреждения в Республике Казахстан, или постоянным учреждением юридического лица-нерезидента без открытия структурного подразделения в Республике Казахстан, относимые на вычеты в соответствии со статьями 242 – 273 настоящего Кодекса (далее – управленческие и общеадминистративные расходы постоянного учреждения в Республике Казахстан);
управленческие и общеадминистративные расходы, понесенные непосредственно структурными подразделениями или постоянными учреждениями юридического лица-нерезидента в других странах, не связанные с деятельностью постоянного учреждения, зарегистрированного в качестве налогоплательщика в Республике Казахстан (далее – управленческие и общеадминистративные расходы постоянных учреждений в других странах);
управленческие и общеадминистративные расходы юридического лица-нерезидента, не связанные с деятельностью постоянного учреждения, зарегистрированного в Республике Казахстан.
2. Управленческие и общеадминистративные расходы – это расходы, связанные с управлением организацией, оплатой труда управленческого персонала, не связанного с производственным процессом.
3. Юридическое лицо-нерезидент в течение отчетного налогового периода по своему выбору применяет только один из методов отнесения распределяемых расходов юридического лица-нерезидента на вычеты постоянному учреждению.
Применяемый метод отнесения на вычеты распределяемых расходов юридического лица-нерезидента указывается в приложении к декларации по корпоративному подоходному налогу, содержащем информацию по относимым на вычеты управленческим и общеадминистративным расходам юридического лица-нерезидента.
4. Распределяемые расходы юридического лица-нерезидента относятся на вычеты постоянным учреждением в Республике Казахстан при:
1) соблюдении условий международного договора;
2) наличии документов, указанных в пункте 3 статьи 663 или пункте 3 статьи 665 настоящего Кодекса;
3) наличии документа, подтверждающего резидентство юридического лица-нерезидента.
5. В случае, если документы, указанные в подпункте 2) пункта 4 настоящей статьи, составлены на иностранном языке, обязательно наличие перевода таких документов на казахский или русский язык, засвидетельствованного нотариусом в порядке, определенном законодательством Республики Казахстан.
6. Документ, подтверждающий резидентство, представляется юридическим лицом-нерезидентом в соответствующий налоговый орган в сроки, установленные для подачи декларации по корпоративному подоходному налогу.
Статья 663. Метод пропорционального распределения расходов
1. При использовании метода пропорционального распределения сумма распределяемых расходов юридического лица-нерезидента, относимых на вычеты постоянным учреждением в Республике Казахстан, определяется как произведение суммы распределяемых расходов юридического лица-нерезидента и расчетного показателя.
2. Расчетный показатель исчисляется по одному из следующих способов по выбору юридического лица-нерезидента:
1) соотношение суммы определяемого в соответствии с пунктом 2 статьи 651 настоящего Кодекса совокупного годового дохода, полученного юридическим лицом-нерезидентом от осуществления деятельности в Республике Казахстан через постоянное учреждение, за отчетный налоговый период к общей сумме совокупного годового дохода юридического лица-нерезидента за указанный налоговый период;
2) определение средней величины (СВ) по трем показателям:
соотношение суммы определяемого в соответствии с пунктом 2 статьи 651 настоящего Кодекса совокупного годового дохода, полученного юридическим лицом-нерезидентом от осуществления деятельности в Республике Казахстан через постоянное учреждение, за отчетный налоговый период к общей сумме совокупного годового дохода юридического лица-нерезидента за указанный налоговый период (Д);
соотношение первоначальной (текущей) стоимости основных средств, учтенных в финансовой отчетности постоянного учреждения в Республике Казахстан, по состоянию на конец отчетного налогового периода к общей первоначальной (текущей) стоимости основных средств юридического лица-нерезидента за такой же налоговый период (ОС);
соотношение суммы расходов по оплате труда персонала, работающего в постоянном учреждении в Республике Казахстан, по состоянию на конец отчетного налогового периода к общей сумме расходов по оплате труда персонала юридического лица-нерезидента за такой же налоговый период (ОТ).
Средняя величина определяется по формуле:
СВ = (Д + ОС + ОТ)/3
3. При использовании метода пропорционального распределения сумма распределяемых расходов юридического лица-нерезидента относится на вычеты постоянным учреждением в Республике Казахстан только при соблюдении условий международного договора и наличии у него следующих подтверждающих документов:
1) копии финансовой отчетности постоянного учреждения нерезидента в Республике Казахстан;
2) копии финансовой отчетности юридического лица-нерезидента, составленной в соответствии с требованиями законодательства государства, в котором создано и (или) резидентом которого является такое юридическое лицо, заверенной печатью, содержащей название юридического лица-нерезидента (при ее наличии), а также подписью руководителя.
При этом в финансовой отчетности, указанной в подпунктах 1) и 2) настоящего пункта, должны быть выделены отдельной строкой:
сумма управленческих и общеадминистративных расходов;
сумма совокупного годового дохода;
сумма расходов по оплате труда персонала;
первоначальная (текущая) и балансовая стоимости основных средств;
3) расшифровки суммы управленческих и общеадминистративных расходов, указанной в финансовой отчетности, предусмотренной подпунктом 2) настоящего пункта, с выделением:
распределяемых расходов юридического лица-нерезидента по видам расходов;
управленческих и общеадминистративных расходов постоянного учреждения в Республике Казахстан;
4) копии аудиторского отчета по аудиту финансовой отчетности юридического лица-нерезидента (при осуществлении аудита такой финансовой отчетности).
Статья 664. Порядок корректировки данных финансовой отчетности юридического лица-нерезидента при применении метода пропорционального распределения расходов в отдельных случаях
1. Юридическое лицо-нерезидент обязано скорректировать данные финансовой отчетности, используемые при исчислении суммы управленческих и общеадминистративных расходов, подлежащих отнесению на вычеты постоянному учреждению, в следующих случаях:
несоответствия продолжительности налоговых периодов в Республике Казахстан и стране резидентства такого нерезидента;
несоответствия дат начала и окончания налоговых периодов в Республике Казахстан и стране резидентства такого нерезидента при равной продолжительности указанных налоговых периодов.
Для корректировки данных финансовой отчетности нерезидента применяется поправочный коэффициент (К), который приводит в соответствие налоговый период в стране резидентства такого нерезидента с налоговым периодом в Республике Казахстан.
2. Коэффициент (К) определяется как соотношение количества месяцев налогового периода в стране резидентства такого нерезидента, входящих в рамки налогового периода в Республике Казахстан, к количеству месяцев налогового периода в стране резидентства нерезидента.
В случае, если в налоговый период в Республике Казахстан входят полностью или частично два налоговых периода в стране резидентства такого нерезидента, применяются два коэффициента (К1, К2).
3. Данные финансовой отчетности юридического лица-нерезидента корректируются следующим образом:
К1хФО(СР)1 + К2хФО(СР)2,
где К1 = НП (СР)1/ НП(СР)3; К2 = НП(СР)2/ НП(СР)3,
при этом:
НП (СР)1 – количество месяцев одного налогового периода в стране резидентства нерезидента, входящих в налоговый период в Республике Казахстан;
НП (СР)2 – количество месяцев другого налогового периода в стране резидентства нерезидента, входящих в налоговый период в Республике Казахстан;
НП (СР)3 – общее количество месяцев налогового периода в стране резидентства нерезидента;
ФО (СР)1 – финансовая отчетность нерезидента в стране резидентства за один налоговый период в стране резидентства нерезидента, входящий в налоговый период в Республике Казахстан;
ФО (СР)2 – финансовая отчетность нерезидента в стране резидентства за другой налоговый период в стране резидентства нерезидента, входящий в налоговый период в Республике Казахстан.
Статья 665. Метод непосредственного (прямого) отнесения расходов на вычеты
1. Метод непосредственного (прямого) отнесения распределяемых расходов юридического лица-нерезидента на вычеты используется в случае ведения юридическим лицом-нерезидентом раздельного учета доходов и расходов (включая управленческие и общеадминистративные расходы) головного офиса и постоянных учреждений в Республике Казахстан и других странах.
2. Распределяемые расходы юридического лица-нерезидента относятся на вычет постоянным учреждением в Республике Казахстан в соответствии с настоящей статьей, если они определяемы на основании подтверждающих документов и непосредственно понесены в целях получения доходов от деятельности в Республике Казахстан через постоянное учреждение.
3.Подтверждающими документами являются:
1) первичные учетные документы, подтверждающие распределяемые расходы юридического лица-нерезидента, понесенные на территории Республики Казахстан в целях получения доходов от деятельности в Республике Казахстан через постоянное учреждение;
2) копии первичных учетных документов, подтверждающих распределяемые расходы юридического лица-нерезидента, понесенные за пределами Республики Казахстан в целях получения доходов от деятельности в Республике Казахстан через постоянное учреждение;
3) налоговые регистры по учету распределяемых расходов юридического лица-нерезидента, понесенных как в Республике Казахстан, так и за пределами Республики Казахстан в целях получения доходов от деятельности в Республике Казахстан через постоянное учреждение, составленные на основе первичных учетных документов, подтверждающих данные расходы.
Форма налогового регистра, порядок его заполнения утверждаются в налоговой учетной политике юридического лица-нерезидента, осуществляющего деятельность в Республике Казахстан через постоянное учреждение;
4) копия финансовой отчетности юридического лица-нерезидента, составленной в соответствии с требованиями законодательства государства, в котором создано и (или) резидентом которого является такое юридическое лицо, и заверенной подписью руководителя и печатью (при ее наличии) такого юридического лица-нерезидента.
При этом в финансовой отчетности, указанной в настоящем подпункте, должна быть выделена отдельной строкой общая сумма управленческих и общеадминистративных расходов юридического лица-нерезидента;
5) копия аудиторского отчета по аудиту финансовой отчетности юридического лица-нерезидента (при осуществлении аудита такой финансовой отчетности).
Статья 666. Порядок применения международного договора в отношении полного освобождения от налогообложения доходов нерезидента, полученных из источников в Республике Казахстан
1. Если иное не установлено международным договором, порядок применения положений международного договора, установленный настоящей статьей, распространяется на доходы нерезидента, предусмотренные статьей 644 настоящего Кодекса, за исключением следующих доходов:
1) в отношении которых порядок применения положений международного договора установлен статьями 667, 668, 669, 670 и 671 настоящего Кодекса;
2) определенных статьей 650 настоящего Кодекса, в отношении которых применяется порядок, установленный статьями 672, 673 и 674 настоящего Кодекса.
2. В случае получения нерезидентом дохода от оказания услуг, выполнения работ в рамках одного или связанных проектов для целей применения настоящей статьи налоговый агент определяет факт образования нерезидентом постоянного учреждения, в том числе на основе договора (контракта) на оказание услуг или выполнение работ, а также документов, указанных в пункте 5 настоящей статьи.
При выявлении факта образования нерезидентом в Республике Казахстан постоянного учреждения налоговый агент не вправе применить положения международного договора в части освобождения доходов нерезидентов в Республике Казахстан.
3. Налоговый агент имеет право самостоятельно применить освобождение от налогообложения при выплате дохода нерезиденту или отнесении начисленного, но не выплаченного дохода нерезидента на вычеты.
В случае выплаты дохода нерезиденту – взаимосвязанной стороне, являющемуся резидентом государства, с которым Республикой Казахстан заключен международный договор, в который не внесены изменения многосторонним международным договором, налоговый агент вправе применить положение части первой настоящего пункта при условии, что такой нерезидент является окончательным (фактическим) получателем (владельцем) дохода.
В случае выплаты дохода нерезиденту – взаимосвязанной стороне, являющемуся резидентом государства, с которым Республикой Казахстан заключен международный договор, в который внесены изменения многосторонним международным договором, налоговый агент вправе применить положение части первой настоящего пункта при одновременном выполнении следующих условий:
такой доход подлежит включению в налогооблагаемый доход нерезидента в иностранном государстве, резидентом которого является нерезидент, и подлежит обложению налогом без права на исключение такого дохода из налогооблагаемого дохода и (или) уменьшение (корректировка) налогооблагаемого дохода на сумму такого дохода в отчетном периоде, и (или) возврата в отчетном и (или) последующих периодах налога, уплаченного с этого налогооблагаемого дохода;
номинальная ставка налога, которая применяется при обложении этого дохода в иностранном государстве, резидентом которого является нерезидент, в отчетном периоде составляет не менее 15 процентов.
Для целей части третьей настоящего пункта под номинальной ставкой понимается ставка, установленная налоговым законодательством иностранного государства.
4. Международный договор применяется при условии представления нерезидентом налоговому агенту документа, подтверждающего резидентство нерезидента.
При этом документ, подтверждающий резидентство, представляется нерезидентом налоговому агенту не позднее одной из следующих дат, которая наступит первой:
1) 31 марта года, следующего за налоговым периодом, определенным в соответствии со статьей 314 настоящего Кодекса, в котором произошла выплата дохода нерезиденту или невыплаченные доходы нерезидента отнесены на вычеты;
2) не позднее пяти рабочих дней до завершения налоговой проверки по вопросу исполнения налогового обязательства по подоходному налогу, удерживаемому у источника выплаты, за налоговый период, в течение которого выплачен доход нерезиденту. Дата завершения налоговой проверки определяется в соответствии с предписанием.
5. В случае, если юридическое лицо-нерезидент оказывает услуги или выполняет работы на территории Республики Казахстан в пределах срока, не приводящего к образованию постоянного учреждения в Республике Казахстан, в целях применения положений международного договора такой нерезидент наряду с документом, подтверждающим резидентство, представляет налоговому агенту:
нотариально засвидетельствованные копии учредительных документов либо
выписку из торгового реестра (реестра акционеров) или иной аналогичный документ, предусмотренный законодательством государства, в котором зарегистрирован нерезидент, с указанием учредителей (участников) и мажоритарных акционеров юридического лица-нерезидента.
В случае отсутствия у нерезидента в соответствии с требованиями законодательства иностранного государства учредительных документов или обязательства по регистрации в торговом реестре (реестре акционеров) или ином аналогичном документе, предусмотренном законодательством государства, в котором зарегистрирован нерезидент, такой нерезидент представляет налоговому агенту:
документ (акт), послуживший основанием для создания нерезидента, правовая (юридическая) сила которого подтверждена соответствующим органом иностранного государства, в котором зарегистрирован такой нерезидент, либо
иной документ, указывающий организационную структуру консолидированной группы, участником которой является нерезидент, с отражением наименования всех ее участников и их географического местонахождения (наименования государств (территорий), где участники консолидированной группы созданы (учреждены), и номеров государственной и налоговой регистрации всех участников консолидированной группы.
6. В случае если оказание услуг или выполнение работ на территории Республики Казахстан в пределах срока, не приводящего к образованию постоянного учреждения в Республике Казахстан, осуществляется в рамках договора о совместной деятельности, то юридическое лицо-нерезидент, являющийся участником такого договора, в целях применения положений международного договора наряду с документами, указанными в пунктах 4 и 5 настоящей статьи, представляет налоговому агенту нотариально засвидетельствованную копию договора о совместной деятельности или иного документа, подтверждающего долю его участия в совместной деятельности.
В случае, если нерезидент не образует постоянного учреждения в результате оказания услуг или выполнения работ в рамках такого договора (контракта) и связанных проектов, налоговый агент вправе применить положения международного договора к доходу юридического лица-нерезидента пропорционально доле его участия в совместной деятельности, указанной в договоре о совместной деятельности или ином документе, подтверждающем долю его участия в совместной деятельности.
7. Налоговый агент обязан указать в налоговой отчетности, представляемой в налоговый орган, суммы начисленных (выплаченных) доходов нерезиденту и удержанных, освобожденных от удержания налогов в соответствии с положениями международных договоров, ставки подоходного налога и наименования международных договоров.
При этом налоговый агент не позднее пяти календарных дней с даты, установленной для представления налоговой отчетности за четвертый квартал, обязан представить в налоговый орган по месту нахождения копию документа, подтверждающего резидентство нерезидента, – окончательного фактического) получателя (владельца) дохода.
8. В случае неприменения налоговым агентом положений международного договора налоговый агент обязан удержать подоходный налог у источника выплаты в порядке, определенном статьей 645 настоящего Кодекса.
Сумма удержанного подоходного налога подлежит перечислению в бюджет в сроки, установленные статьей 645 настоящего Кодекса.
9. При неправомерном применении положений международного договора, повлекшем неуплату или неполную уплату налога в государственный бюджет, налоговый агент несет ответственность в соответствии с законами Республики Казахстан.
Сноска. Статья 666 с изменениями, внесенными Законом РК от 10.12.2020 № 382-VI (порядок введения в действие см. ст. 2).
Статья 667. Порядок применения международного договора в отношении освобождения от налогообложения или применения сниженной ставки налога к доходам нерезидента в виде дивидендов, вознаграждений и (или) роялти, полученных из источников в Республике Казахстан
1. Если иное не установлено международным договором, при выплате доходов нерезиденту в виде дивидендов, вознаграждений и (или) роялти или при отнесении невыплаченных доходов нерезидента в виде вознаграждений и (или) роялти на вычеты налоговый агент вправе самостоятельно применить освобождение от налогообложения или сниженную ставку налога, предусмотренную международным договором, при соблюдении следующих условий:
1) нерезидент является окончательным (фактическим) получателем (владельцем) дохода;
2) налоговому агенту в срок, установленный пунктом 4 статьи 666 настоящего Кодекса, представлен документ, подтверждающий резидентство нерезидента.
В целях настоящего раздела под окончательным (фактическим) получателем (владельцем) доходов следует понимать лицо, которое имеет право владения, пользования, распоряжения доходами и не является посредником в отношении такого дохода, в том числе агентом, номинальным держателем.
При этом при выплате дохода в виде дивидендов, вознаграждений и (или) роялти нерезиденту – взаимосвязанной стороне, являющемуся резидентом государства, с которым Республикой Казахстан заключен международный договор, в который внесены изменения многосторонним международным договором, налоговый агент вправе применить положение части первой настоящего пункта при одновременном выполнении следующих условий:
такой доход подлежит включению в налогооблагаемый доход нерезидента в иностранном государстве, резидентом которого является нерезидент, и подлежит обложению налогом без права на исключение такого дохода из налогооблагаемого дохода и (или) уменьшение (корректировка) налогооблагаемого дохода на сумму такого дохода в отчетном периоде, и (или) возврат в отчетном и (или) последующих периодах налога, уплаченного с этого налогооблагаемого дохода;
номинальная ставка налога, которая применяется при обложении этого дохода в иностранном государстве, резидентом которого является нерезидент, в отчетном периоде составляет не менее 15 процентов.
Для целей части третьей настоящего пункта под номинальной ставкой понимается ставка, установленная налоговым законодательством иностранного государства.
2. При выплате дохода в виде вознаграждения окончательному (фактическому) получателю (владельцу) дохода через посредника налоговый агент вправе применить освобождение или сниженную ставку подоходного налога, предусмотренные международным договором с государством, резидентом которого является такой окончательный (фактический) получатель (владелец) дохода, при одновременном выполнении следующих условий:
1) в договоре (контракте), на основании которого выплачивается вознаграждение, отражены суммы вознаграждения по каждому лицу, являющемуся окончательным (фактическим) получателем (владельцем) вознаграждения через посредника, с указанием данных такого лица (фамилии, имени, отчества (если оно указано в документе, удостоверяющем личность) физического лица или наименования юридического лица); номера налоговой регистрации в стране инкорпорации или его аналога (при его наличии); номера государственной регистрации в стране инкорпорации (или его аналога);
2) налоговому агенту в срок, установленный пунктом 4 статьи 666 настоящего Кодекса, представлен документ, подтверждающий резидентство нерезидента, являющегося окончательным (фактическим) получателем (владельцем) вознаграждения.
3. Налоговый агент не позднее пяти календарных дней с даты, установленной для представления налоговой отчетности за четвертый квартал, обязан представить в налоговый орган по месту своего нахождения копию документа, подтверждающего резидентство нерезидента, – окончательного (фактического) получателя (владельца) дохода.
4. В случае неприменения налоговым агентом положений международного договора налоговый агент обязан удержать подоходный налог у источника выплаты в порядке, определенном статьей 645 настоящего Кодекса.
Сумма удержанного подоходного налога подлежит перечислению в бюджет в сроки, установленные статьей 647 настоящего Кодекса.
5. Окончательный (фактический) получатель (владелец) дохода-нерезидент в соответствии с положениями международного договора имеет право на возврат излишне удержанного подоходного налога у источника выплаты в случае перечисления налоговым агентом в бюджет подоходного налога, удержанного у источника выплаты дохода такому нерезиденту. Возврат нерезиденту излишне удержанного подоходного налога производит налоговый агент.
При этом окончательный (фактический) получатель (владелец) дохода-нерезидент обязан представить налоговому агенту:
1) нотариально засвидетельствованную копию договора (контракта), заключенного с посредником, в котором отражена сумма вознаграждения такого нерезидента с указанием данных такого лица (фамилии, имени, отчества (если оно указано в документе, удостоверяющем личность) физического лица или наименования юридического лица; номера налоговой регистрации в стране инкорпорации (или его аналога) при его наличии; номера государственной регистрации в стране инкорпорации (или его аналога);
2) документ, подтверждающий резидентство нерезидента, за период, за который такому нерезиденту начислен доход в виде вознаграждения.
Документы, указанные в части второй настоящего пункта, представляются нерезидентом до истечения срока исковой давности, установленного статьей 48 настоящего Кодекса, со дня последнего перечисления подоходного налога, удержанного у источника выплаты, в бюджет, если иные сроки не установлены международным договором.
6. В случае возврата нерезиденту в соответствии с пунктом 5 настоящей статьи удержанного подоходного налога, налоговый агент вправе представить в налоговый орган по месту своего нахождения дополнительный расчет по подоходному налогу, удерживаемому у источника выплаты, на сумму уменьшения при применении сниженной ставки налога или освобождения от налогообложения за налоговый период, в котором произведены удержание и перечисление подоходного налога с доходов окончательного (фактического) получателя (владельца) дохода-нерезидента в виде вознаграждения.
В указанном случае зачет излишне уплаченной суммы подоходного налога, удержанного у источника выплаты, производится налоговому агенту в порядке, определенном статьей 102 настоящего Кодекса.
Сноска. Статья 667 с изменениями, внесенными законами РК от 10.12.2020 № 382-VI (вводится в действие с 01.01.2021); от 21.12.2022 № 165-VII (вводится в действие с 01.01.2023).
Статья 668. Порядок применения международного договора в отношении частичного освобождения от налогообложения доходов нерезидента в виде дивидендов по акциям, являющимся базовым активом депозитарных расписок
1. При выплате доходов в виде дивидендов по акциям, являющимся базовым активом депозитарных расписок, окончательному (фактическому) получателю (владельцу) дохода-нерезиденту через номинального держателя депозитарных расписок налоговый агент имеет право применить сниженную ставку подоходного налога, предусмотренную соответствующим международным договором с государством, резидентом которого является окончательный (фактический) получатель (владелец) такого дохода, при одновременном выполнении следующих условий:
1) наличия списка держателей депозитарных расписок, содержащего:
фамилии, имена, отчества (при их наличии) физических лиц или наименования юридических лиц, являющихся собственниками депозитарных расписок, базовым активом которых являются акции, выпущенные резидентом Республики Казахстан;
информацию о количестве и виде депозитарных расписок;
наименование и реквизиты документов, удостоверяющих личность физических лиц, или номера и даты государственных регистраций юридических лиц.
Список держателей депозитарных расписок составляется следующими лицами:
центральным депозитарием – в случае, если договор на осуществление учета и подтверждения прав собственности по депозитарным распискам заключен между резидентом-эмитентом акций, являющихся базовым активом депозитарных расписок, и центральным депозитарием;
или иной организацией, обладающей правом осуществления депозитарной деятельности на рынке ценных бумаг иностранного государства, – в случае, если договор на осуществление учета и подтверждения прав собственности по депозитарным распискам заключен между резидентом-эмитентом акций, являющихся базовым активом депозитарных расписок, и такой организацией;
2) наличия документа, подтверждающего резидентство нерезидента, являющегося окончательным (фактическим) получателем (владельцем) дивидендов по акциям, являющимся базовым активом депозитарных расписок.
При этом документ, подтверждающий резидентство, представляется налоговому агенту в срок, установленный пунктом 4 статьи 666 настоящего Кодекса.
2. Налоговый агент обязан указать в налоговой отчетности, представляемой в налоговый орган, суммы начисленных (выплаченных) доходов и удержанных, освобожденных от удержания налогов в соответствии с положениями международных договоров, ставки подоходного налога и наименования международных договоров.
При этом налоговый агент обязан представить в налоговый орган по месту своего нахождения копию документа, подтверждающего резидентство налогоплательщика-нерезидента. Такая копия представляется не позднее пяти календарных дней с даты, установленной для представления налоговой отчетности за четвертый квартал.
3. В случае неприменения налоговым агентом положений международного договора при выплате нерезиденту доходов в виде дивидендов по акциям, являющимся базовым активом депозитарных расписок, в порядке, определенном пунктом 1 настоящей статьи, налоговый агент обязан удержать подоходный налог у источника выплаты по ставке, установленной статьей 646 настоящего Кодекса.
Сумма удержанного подоходного налога подлежит перечислению в бюджет в срок, установленный подпунктом 1) пункта 1 статьи 647 настоящего Кодекса.
4. Окончательный (фактический) получатель дохода — нерезидент имеет право на возврат излишне удержанного подоходного налога у источника выплаты в соответствии с положениями международного договора в случае перечисления налоговым агентом в бюджет подоходного налога, удержанного с доходов такого нерезидента.
При этом нерезидент обязан представить налоговому агенту:
1) нотариально засвидетельствованную копию документа, подтверждающего право собственности на депозитарные расписки, базовым активом которых являются акции резидента-эмитента;
2) документ, подтверждающий его резидентство за период, за который начислен доход такому нерезиденту в виде дивидендов.
Документы, указанные в части второй настоящего пункта, представляются нерезидентом до истечения срока исковой давности, установленного статьей 48 настоящего Кодекса, со дня последнего перечисления подоходного налога, удержанного у источника выплаты, в бюджет, если иные сроки не установлены международным договором.
При этом возврат нерезиденту излишне удержанного подоходного налога производится налоговым агентом.
5. Налоговый агент вправе представить в налоговый орган по месту своего нахождения дополнительный расчет по подоходному налогу, удерживаемому у источника выплаты, на сумму уменьшения подоходного налога при применении сниженной ставки за налоговый период, в котором произведены удержание и перечисление подоходного налога с доходов нерезидента в виде дивидендов по акциям, являющимся базовым активом депозитарных расписок.
В указанном случае зачет излишне уплаченной суммы подоходного налога, удержанного у источника выплаты, производится налоговому агенту в порядке, определенном статьей 102 настоящего Кодекса.
Статья 669. Порядок применения международного договора в отношении освобождения от налогообложения доходов нерезидента от оказания услуг по международной перевозке через постоянное учреждение
1. Нерезидент имеет право применить освобождение от налогообложения доходов от оказания услуг по международной перевозке в соответствии с положениями международного договора, если такой нерезидент является окончательным получателем дохода и резидентом государства, с которым заключен международный договор.
Международный договор в части освобождения от налогообложения применяется при наличии у нерезидента на дату представления декларации по корпоративному подоходному налогу документа, подтверждающего его резидентство.
Документ, подтверждающий резидентство, представляется нерезидентом в налоговый орган по месту нахождения постоянного учреждения при подаче декларации по корпоративному подоходному налогу.
2. Нерезидент обязан вести раздельный учет сумм доходов от оказания услуг по международной перевозке и других доходов из источников в Республике Казахстан за налоговый период.
3. Сумма расходов в связи с оказанием услуг по международной перевозке определяется нерезидентом прямым или пропорциональным методом.
Выбранный метод определения расходов может быть изменен только по согласованию с налоговым органом, являющимся вышестоящим по отношению к налоговому органу по месту нахождения постоянного учреждения такого нерезидента (за исключением уполномоченного органа), до начала налогового периода.
В течение одного налогового периода не может применяться более одного метода определения расходов.
4. При применении прямого метода определения расходов нерезидент ведет раздельный учет расходов, связанных с оказанием услуг по международной перевозке, и других расходов.
5. При применении пропорционального метода сумма расходов определяется как произведение доли и общей суммы расходов нерезидента в связи с осуществлением деятельности в Республике Казахстан за налоговый период.
Доля определяется как отношение суммы доходов от оказания услуг по международной перевозке к общей сумме доходов в связи с осуществлением деятельности в Республике Казахстан за налоговый период.
6. При отсутствии документа, подтверждающего резидентство нерезидента, на дату представления декларации по корпоративному подоходному налогу нерезидент не вправе применить положения международного договора.
При этом в случае исчисления и уплаты корпоративного подоходного налога в бюджет нерезидент имеет право применить положения международного договора до истечения срока исковой давности, установленного статьей 48 настоящего Кодекса, если иные сроки не установлены международным договором, при условии представления в налоговый орган дополнительной декларации по корпоративному подоходному налогу и документа, подтверждающего резидентство нерезидента.
Сноска. Статья 669 с изменением, внесенным Законом РК от 10.12.2020 № 382-VI (вводится в действие с 01.01.2021).
Статья 670. Порядок применения международного договора в отношении частичного освобождения от налогообложения чистого дохода от деятельности нерезидента в Республике Казахстан через постоянное учреждение
1. Нерезидент имеет право применить сниженную ставку налога на чистый доход от деятельности в Республике Казахстан через постоянное учреждение, предусмотренную международным договором, если он является резидентом государства, с которым заключен международный договор, и таким международным договором предусмотрен порядок налогообложения чистого дохода нерезидента, отличный от порядка, установленного статьей 652 настоящего Кодекса.
Сниженная ставка налога применяется при наличии у нерезидента на дату представления декларации по корпоративному подоходному налогу документа, подтверждающего его резидентство.
Документ, подтверждающий резидентство, представляется нерезидентом в налоговый орган по месту нахождения постоянного учреждения при подаче декларации по корпоративному подоходному налогу.
2. При отсутствии документа, подтверждающего резидентство нерезидента, на дату представления декларации по корпоративному подоходному налогу нерезидент не вправе применить положения международного договора.
При этом в случае исчисления и уплаты корпоративного подоходного налога в бюджет нерезидент имеет право применить положения международного договора до истечения срока исковой давности, установленного статьей 48 настоящего Кодекса, если иные сроки не установлены международным договором, при условии представления в налоговый орган дополнительной декларации по корпоративному подоходному налогу и документа, подтверждающего резидентство нерезидента.
Сноска. Статья 670 с изменением, внесенным Законом РК от 10.12.2020 № 382-VI (вводится в действие с 01.01.2021).
Статья 671. Порядок применения международного договора в отношении освобождения от налогообложения доходов физического лица-нерезидента, полученных от лиц, не являющихся налоговыми агентами
1. Физическое лицо-нерезидент имеет право применить в соответствии с положениями международного договора освобождение от налогообложения доходов, полученных от лиц, не являющихся налоговыми агентами, если такое физическое лицо-нерезидент является окончательным получателем дохода и резидентом государства, с которым заключен международный договор.
Международный договор в части освобождения от налогообложения применяется при наличии у нерезидента на дату представления декларации по индивидуальному подоходному налогу документа, подтверждающего его резидентство.
Документ, подтверждающий резидентство, представляется физическим лицом-нерезидентом в налоговый орган по месту пребывания (жительства) при подаче декларации по индивидуальному подоходному налогу.
2. Физическое лицо-нерезидент при отсутствии документа, подтверждающего резидентство, на дату представления декларации по индивидуальному подоходному налогу обязано произвести уплату подоходного налога в бюджет в порядке и сроки, которые установлены статьей 658 настоящего Кодекса.
При этом физическое лицо-нерезидент имеет право на возврат из бюджета уплаченного подоходного налога в порядке, определенном статьями 672, 673 и 674 настоящего Кодекса.
Сноска. Статья 671 с изменением, внесенным Законом РК от 10.12.2020 № 382-VI (вводится в действие с 01.01.2021).
Статья 672. Порядок представления нерезидентом заявления на возврат уплаченного подоходного налога из бюджета на основании международного договора
1. При применении положений международного договора нерезидент имеет право на возврат подоходного налога в порядке, определенном настоящей статьей и статьями 673, 674 настоящего Кодекса, в следующих случаях:
1) удержания и перечисления в бюджет налоговым агентом в соответствии с положениями настоящего Кодекса подоходного налога с доходов нерезидента, полученных из источников в Республике Казахстан;
2) исчисления и уплаты нерезидентом подоходного налога с доходов от осуществления деятельности в Республике Казахстан через структурное подразделение, не приводящей к образованию постоянного учреждения в соответствии с международным договором;
3) уплаты нерезидентом в бюджет подоходного налога с доходов, полученных из источников в Республике Казахстан, в соответствии с положениями настоящего Кодекса.
При этом нерезидент обязан представить в налоговый орган налоговое заявление на возврат уплаченного подоходного налога из бюджета (далее в целях настоящей статьи и статей 673, 674 настоящего Кодекса – заявление) с приложением документов, определенных пунктами 3 и 4 настоящей статьи.
2. Заявление представляется нерезидентом по форме, утвержденной уполномоченным органом, в двух экземплярах в налоговый орган, являющийся вышестоящим по отношению к налоговому органу по месту нахождения (жительства, пребывания) налогового агента.
Датой представления заявления в налоговый орган является дата получения заявления налоговым органом.
3. К заявлению должны быть приложены следующие документы:
1) копии контрактов (договоров, соглашений) на выполнение работ, оказание услуг или на иные цели;
2) документ, подтверждающий резидентство нерезидента;
3) копии бухгалтерских или иных документов, подтверждающих суммы полученных доходов и удержанных или уплаченных налогов;
4) в случае выполнения работ, оказания услуг нерезидентом на территории Республики Казахстан через работников или другой персонал, нанятый нерезидентом для таких целей, – копии документов, удостоверяющих личность таких физических лиц, и документов, подтверждающих сроки их пребывания на территории Республики Казахстан;
5) дополнительно в случае представления заявления юридическим лицом:
нотариально засвидетельствованные копии учредительных документов либо
выписки из торгового реестра (реестра акционеров) или иного аналогичного документа, предусмотренного законодательством государства, в котором зарегистрирован нерезидент, с указанием учредителей (участников) и мажоритарных акционеров юридического лица-нерезидента.
В случае отсутствия у нерезидента в соответствии с требованиями законодательства иностранного государства учредительных документов или обязательства по регистрации в торговом реестре (реестре акционеров) или ином аналогичном документе, предусмотренном законодательством государства, в котором зарегистрирован нерезидент, такой нерезидент представляет налоговому агенту:
документ (акт), послуживший основанием для создания нерезидента, правовая (юридическая) сила которого подтверждена соответствующим органом иностранного государства, в котором зарегистрирован такой нерезидент,
либо иной документ, указывающий организационную структуру консолидированной группы, участником которой является нерезидент, с отражением наименования всех ее участников и их географического местонахождения (наименования государств (территорий), где участники консолидированной группы созданы (учреждены), и номеров государственной и налоговой регистрации всех участников консолидированной группы;
6) дополнительно в случае представления заявления физическим лицом – копия документа, удостоверяющего личность.
Положения настоящего пункта не применяются в случае представления заявления в соответствии с пунктом 4 настоящей статьи.
4. При представлении нерезидентом заявления на возврат подоходного налога с доходов, полученных по акциям, являющимся базовым активом депозитарных расписок, к заявлению прилагаются следующие документы:
1) выписка со счета, полученная из центрального депозитария, содержащая:
наименование или фамилию, имя, отчество (если оно указано в документе, удостоверяющем личность) нерезидента;
информацию о количестве и виде депозитарных расписок;
наименование и реквизиты документа, удостоверяющего личность нерезидента (для физического лица), номер налоговой регистрации в стране инкорпорации нерезидента или его аналог (при его наличии), номер и дату государственной регистрации нерезидента (для юридического лица);
2) решение общего собрания акционеров эмитента акций, являющихся базовым активом депозитарных расписок, о выплате дивидендов за определенный период с указанием размера дивиденда в расчете на одну акцию и даты составления списка акционеров, имеющих право на получение дивидендов;
3) выписки с валютного счета по поступившим суммам дивидендов;
4) документ, подтверждающий резидентство нерезидента, являющегося окончательным (фактическим) получателем (владельцем) доходов по акциям, являющимся базовым активом депозитарных расписок.
5. Если документы, указанные в пунктах 3 и 4 настоящей статьи, составлены на иностранном языке, нерезидент обязан приложить их нотариально засвидетельствованный перевод на казахском или русском языке.
6. Заявление на возврат подоходного налога, удержанного с доходов от выполнения работ, оказания услуг представляется нерезидентом по завершении выполнения работ, оказания услуг в Республике Казахстан.
По долгосрочным контрактам нерезидент вправе представлять заявление в налоговый орган по мере завершения каждого этапа выполнения работ, оказания услуг.
В целях настоящего раздела долгосрочным контрактом является контракт (договор) на выполнение работ, оказание услуг, не завершенный в течение двенадцатимесячного периода со дня его заключения.
7. Заявление представляется нерезидентом в налоговый орган до истечения срока исковой давности, установленного статьей 48 настоящего Кодекса, если иное не установлено международным договором.
8. Налоговый орган отказывает в рассмотрении заявления в следующих случаях:
1) подачи нерезидентом заявления по истечении срока, установленного пунктом 7 настоящей статьи. При этом нерезидент не вправе повторно подать заявление;
2) несоответствия документа, подтверждающего резидентство, требованиям, установленным статьей 675 настоящего Кодекса;
3) непредставления нерезидентом документов, определенных в пунктах 3 и 4 настоящей статьи;
4) несоблюдения нерезидентом положений пункта 2 настоящей статьи;
5) при повторном представлении заявления за ранее рассмотренный (проверенный) период, по итогам которого налоговым органом вынесено решение об отказе в возврате подоходного налога из бюджета по одному из следующих оснований:
признание постоянным учреждением (постоянное место осуществления деятельности) нерезидента в Республике Казахстан в соответствии со статьей 220 настоящего Кодекса;
удержание и перечисление в бюджет налоговым агентом подоходного налога с доходов нерезидента, полученных из источников в Республике Казахстан, за счет собственных средств в соответствии с пунктом 5 статьи 645 настоящего Кодекса.
При этом решение налогового органа об отказе в рассмотрении заявления вручается нерезиденту под роспись или направляется по почте заказным письмом с уведомлением с приложением заявления и представленных документов в течение десяти рабочих дней со дня их получения налоговым органом с указанием причин отказа.
В случае отказа налогового органа в рассмотрении заявления по основаниям, предусмотренным подпунктами 2), 3) и 4) настоящего пункта, нерезидент вправе в пределах срока, установленного пунктом 7 настоящей статьи, повторно подать заявление, если им будут устранены допущенные нарушения.
Сноска. Статья 672 с изменением, внесенным Законом РК от 10.12.2020 № 382-VI (вводится в действие с 01.01.2021).
Статья 673. Порядок рассмотрения заявления нерезидента и принятия решения по результатам рассмотрения
1. Налоговый орган рассматривает заявление нерезидента, представленное в соответствии со статьей 672 настоящего Кодекса, в течение двадцати рабочих дней со дня его представления нерезидентом.
Срок рассмотрения заявления, предусмотренный частью первой настоящего пункта, приостанавливается на период:
1) проведения тематической проверки, указанной в пункте 3 настоящей статьи;
2) с даты направления налоговым органом запроса, указанного в пунктах 2, 4 и 5 настоящей статьи, до даты получения ответа на такой запрос.
2. В ходе рассмотрения заявления нерезидента налоговый орган вправе направить запросы в другие налоговые органы, уполномоченные государственные органы, компетентные органы иностранных государств, банки и организации, осуществляющие отдельные виды банковских операций, и иные организации, осуществляющие деятельность на территории Республики Казахстан, о предоставлении необходимой информации, а также нерезиденту – по вопросам, связанным с возвратом налога.
3. При рассмотрении заявления нерезидента налоговый орган проводит в порядке, определенном главой 18 настоящего Кодекса, тематическую проверку по вопросу возврата уплаченного подоходного налога из бюджета на основании заявления нерезидента, за исключением случаев, указанных в пунктах 5 и 6 настоящей статьи.
4. В случае, если нерезидент имеет структурное подразделение в Республике Казахстан, налоговый орган, рассматривающий заявление, обязан направить в налоговый орган по месту нахождения такого структурного подразделения запрос на проведение внеплановой комплексной проверки нерезидента за период срока исковой давности, установленного статьей 48 настоящего Кодекса, на предмет исполнения им налоговых обязательств и наличия либо отсутствия постоянного учреждения в Республике Казахстан.
5. В случае ликвидации (прекращения деятельности), банкротства налогового агента налоговый орган вправе направить запрос в компетентный орган страны резидентства нерезидента, заявление которого рассматривается, о предоставлении информации о взаимоотношениях налогового агента и нерезидента.
При этом решение, указанное в пункте 7 настоящей статьи, принимается на основании полученной информации от компетентного органа страны резидентства нерезидента на запрос налогового органа и (или) данных налоговой отчетности по подоходному налогу, удержанному у источника выплаты, предоставленной ликвидированным (прекратившим деятельность) или признанным банкротом налоговым агентом.
В случае письменного отказа компетентного органа иностранного государства в предоставлении информации по запросу, направленному по основаниям, предусмотренным частью первой настоящего пункта, или непредставления ответа в течение более двух лет с даты направления запроса налоговый орган обязан отказать в рассмотрении заявления. При этом налогоплательщик вправе инициировать процедуру взаимного согласования в соответствии с положениями статьи 221 настоящего Кодекса.
6. В случае уплаты физическим лицом-нерезидентом в бюджет подоходного налога с доходов, полученных от лиц, не являющихся налоговыми агентами, решение, указанное в пункте 7 настоящей статьи, принимается на основании документов, приложенных к заявлению на возврат подоходного налога, определенных пунктом 3 статьи 672 настоящего Кодекса, и данных налоговой отчетности по подоходному налогу, представленной нерезидентом.
7. По итогам рассмотрения заявления нерезидента налоговым органом выносится одно из следующих решений:
1) о возврате подоходного налога полностью или в части;
2) об отказе в возврате подоходного налога.
Решение налогового органа оформляется в письменной форме и подписывается руководителем или его заместителем.
При принятии налоговым органом решения о возврате подоходного налога полностью или в части на представленном заявлении проставляется сумма подоходного налога, подлежащая возврату в соответствии с положениями международного договора, и заявление заверяется подписью руководителя или его заместителя и печатью налогового органа.
В решении налогового органа по результатам рассмотрения заявления должны быть указаны:
1) дата принятия решения;
2) наименование налогового органа, принявшего решение;
3) полное наименование нерезидента, подавшего заявление;
4) номер налоговой регистрации в стране инкорпорации нерезидента или его аналог (при его наличии);
5) в случае принятия решения о возврате – сумма подоходного налога, подлежащая возврату нерезиденту из бюджета;
6) в случае вынесения решения об отказе в возврате подоходного налога – обоснование со ссылкой на нормы законодательства Республики Казахстан и (или) международного договора и (или) с указанием информации, полученной на основании запроса налогового органа от компетентного органа иностранного государства, которыми руководствовался налоговый орган при вынесении такого решения.
8. В случае уплаты подоходного налога в бюджет и принятия налоговым органом решения о возврате подоходного налога полностью или в части копии решения и заявления нерезидента направляются таким налоговым органом в налоговый орган, в котором зарегистрирован по месту нахождения (жительства, пребывания) налоговый агент (налогоплательщик), производивший уплату подоходного налога.
Налоговый орган, в котором зарегистрирован по месту нахождения (жительства, пребывания) налоговый агент (налогоплательщик), производит нерезиденту возврат суммы подоходного налога из бюджета в порядке, определенном статьей 101 настоящего Кодекса, в течение тридцати рабочих дней со дня принятия такого решения.
9. Решение налогового органа с приложением одного экземпляра заявления нерезидента вручается нерезиденту под роспись или направляется по почте заказным письмом с уведомлением о получении.
Датой получения нерезидентом решения налогового органа является дата вручения или отметки нерезидента в уведомлении почтовой или иной организации связи.
Статья 674. Порядок обжалования решения по результатам рассмотрения заявления нерезидента и вынесения решения по результатам рассмотрения жалобы
1. В случаях несогласия с решением налогового органа, указанным в пункте 7 статьи 673 настоящего Кодекса, нерезидент вправе обжаловать его в уполномоченный орган.
Жалоба подается в письменной форме в течение девяноста календарных дней со дня, следующего за днем получения решения налогового органа.
При этом копия жалобы должна быть направлена нерезидентом в налоговый орган, решение которого обжалуется.
Датой подачи жалобы в уполномоченный орган является дата получения жалобы уполномоченным органом.
2. В жалобе должны быть указаны:
1) дата подписания жалобы нерезидентом;
2) фамилия, имя и отчество (если оно указано в документе, удостоверяющем личность) либо полное наименование лица, подающего жалобу, его место жительства (место нахождения);
3) номер налоговой регистрации в стране инкорпорации нерезидента или его аналог (при его наличии);
4) наименование налогового органа, решение которого обжалуется нерезидентом;
5) обстоятельства, на которых нерезидент, подающий жалобу, обосновывает свои требования, и доказательства, подтверждающие эти обстоятельства;
6) перечень прилагаемых документов.
Жалоба подписывается нерезидентом либо лицом, являющимся его представителем.
3. К жалобе прилагаются:
1) копии заявления и решения налогового органа;
2) документы, установленные пунктами 3 или 4 статьи 672 настоящего Кодекса, за исключением заявления;
3) документы, подтверждающие обстоятельства, на которых нерезидент обосновывает свои требования;
4) иные документы, имеющие отношение к делу.
4. Уполномоченный орган отказывает нерезиденту в рассмотрении жалобы в следующих случаях:
1) подачи нерезидентом жалобы по истечении срока, установленного частью второй пункта 1 настоящей статьи;
2) несоответствия содержания жалобы требованиям, установленным пунктом 2 настоящей статьи;
3) несоответствия документа, подтверждающего резидентство, требованиям, установленным статьей 675 настоящего Кодекса;
4) непредставления нерезидентом документов, установленных пунктами 3 или 4 статьи 672 настоящего Кодекса;
5) подачи нерезидентом жалобы (заявления) в суд на решение налогового органа, указанное в пункте 7 статьи 673 настоящего Кодекса.
Решение об отказе в рассмотрении жалобы направляется нерезиденту в письменной форме в течение десяти рабочих дней со дня подачи жалобы в уполномоченный орган.
В случае отказа уполномоченным органом в рассмотрении жалобы по основаниям, предусмотренным подпунктами 2), 3) и 4) части первой настоящего пункта, нерезидент вправе в течение девяноста календарных дней со дня получения решения об отказе в рассмотрении жалобы повторно подать ее, если им будут устранены допущенные нарушения.
5. Уполномоченный орган рассматривает жалобу нерезидента в течение тридцати рабочих дней со дня подачи жалобы в уполномоченный орган.
При этом срок рассмотрения жалобы приостанавливается в случае направления уполномоченным органом запросов компетентному органу иностранного государства или другим государственным органам Республики Казахстан, банкам и организациям, осуществляющим отдельные виды банковских операций, иным организациям, осуществляющим деятельность на территории Республики Казахстан, о предоставлении необходимой информации, а также нерезиденту – по вопросам, связанным с рассмотрением его заявления, до получения такой информации.
6. По итогам рассмотрения жалобы нерезидента уполномоченным органом выносится одно из следующих решений:
1) о возврате подоходного налога полностью или в части;
2) об отказе в возврате подоходного налога.
Решение уполномоченного органа вручается нерезиденту под роспись или направляется ему по почте заказным письмом с уведомлением о получении.
Датой получения решения уполномоченного органа нерезидентом является дата вручения или отметки нерезидента в уведомлении почтовой или иной организации связи.
В решении уполномоченного органа по результатам рассмотрения жалобы должны быть указаны:
1) дата принятия решения;
2) полное наименование нерезидента, подавшего заявление;
3) номер налоговой регистрации в стране инкорпорации нерезидента или его аналог (при его наличии);
4) в случае принятия решения о возврате – сумма подоходного налога, подлежащая возврату нерезиденту из государственного бюджета;
5) в случае вынесения решения об отказе в возврате подоходного налога – обоснование со ссылкой на нормы законодательства Республики Казахстан и (или) международного договора и (или) с указанием информации, полученной на основании запроса уполномоченного органа от компетентного органа иностранного государства, которыми руководствовался налоговый орган при вынесении такого решения.
7. Копия решения уполномоченного органа направляется в налоговый орган, решение которого обжаловалось нерезидентом.
В случае принятия уполномоченным органом решения о возврате подоходного налога налоговый орган, решение которого обжаловалось нерезидентом, указывает на заявлении, ранее представленном нерезидентом в такой налоговый орган, сумму подоходного налога, подлежащую возврату в соответствии с положениями международного договора. Датой заверения заявления является дата получения таким налоговым органом копии решения уполномоченного органа. При этом заявление заверяется подписью руководителя или его заместителя и печатью такого налогового органа и вручается нерезиденту под роспись или направляется по почте заказным письмом с уведомлением о получении.
Налоговый орган, решение которого обжаловалось нерезидентом, направляет копии указанного решения и заверенного заявления такого нерезидента в налоговый орган, в котором зарегистрирован по месту нахождения (жительства, пребывания) налоговый агент (налогоплательщик), производивший уплату подоходного налога.
Статья 675. Требования, предъявляемые к документу, подтверждающему резидентство нерезидента
1. В целях применения положений настоящего раздела документом, подтверждающим резидентство нерезидента, является официальный документ, подтверждающий, что нерезидент – получатель дохода является резидентом государства, с которым Республикой Казахстан заключен международный договор, представленный в одном из следующих видов:
1) оригинала, заверенного компетентным органом иностранного государства, резидентом которого является нерезидент. Подпись должностного лица и печать компетентного органа, подтверждающего резидентство нерезидента, должны быть легализованы в порядке, определенном законодательством Республики Казахстан, или документ, легализующий подпись должностного лица и печать компетентного органа, размещен на:
интернет-ресурсе государственного органа, осуществляющего легализацию;
интернет-ресурсе иной государственной организации или общественной нотариальной палаты, осуществляющей сбор (хранение) электронных апостилей иностранного государства;
2) нотариально засвидетельствованной копии оригинала документа, соответствующего требованиям подпункта 1) настоящего пункта. Подпись и печать иностранного нотариуса должны быть легализованы в порядке, определенном законодательством Республики Казахстан, или документ, легализующий подпись и печать иностранного нотариуса, размещен на:
интернет-ресурсе государственного органа, осуществляющего легализацию;
интернет-ресурсе иной государственной организации или общественной нотариальной палаты, осуществляющей сбор (хранение) электронных апостилей иностранного государства.
3) бумажной копии электронного документа, подтверждающего резидентство нерезидента, размещенного на интернет-ресурсе компетентного органа иностранного государства.
2. Легализация в порядке, определенном законодательством Республики Казахстан, не требуется в случае, если:
документ, подтверждающий резидентство нерезидента, размещен на интернет-ресурсе компетентного органа иностранного государства;
установлен иной порядок удостоверения подлинности подписи и печати лица (лиц), указанного (указанных) в пункте 1 настоящей статьи:
международным договором Республики Казахстан;
между уполномоченным органом и компетентным органом иностранного государства в рамках процедуры взаимного согласования, проводимой в соответствии со статьей 221 настоящего Кодекса;
решением органа Евразийского экономического союза.
3. Нерезидент признается резидентом государства, с которым Республикой Казахстан заключен международный договор, в течение периода времени, указанного в документе, подтверждающем резидентство нерезидента. При этом в случае подтверждения резидентства на определенную дату нерезидент признается резидентом государства, с которым Республикой Казахстан заключен международный договор на период времени с начала календарного года до даты, на которую подтверждено резидентство.
Если в документе, подтверждающем резидентство нерезидента, не указан период времени резидентства, нерезидент признается резидентом государства, с которым Республикой Казахстан заключен международный договор, в течение календарного года, в котором такой документ выдан (размещен на интернет-ресурсе компетентного органа иностранного государства).
Сноска. Статья 675 с изменениями, внесенными Законом РК от 10.12.2020 № 382-VI (порядок введения в действие см. ст. 2).
Статья 676. Справка о суммах полученных доходов из источников в Республике Казахстан и удержанных (уплаченных) налогов
1. Нерезидент вправе получить в налоговом органе справку о суммах полученных доходов из источников в Республике Казахстан и удержанных (уплаченных) налогов (далее в целях настоящей статьи – справка) по форме, утвержденной уполномоченным органом, в случае, если такой налог подлежит уплате в бюджет Республики Казахстан, в том числе на основании международного договора, и не подлежит возврату в соответствии со статьями 672, 673 и 674 настоящего Кодекса.
Справку в налоговом органе вправе также получить налоговый агент по сумме начисленных и (или) выплаченных таким налоговым агентом доходов нерезиденту и удержанных (уплаченных) налогов с такого дохода. При этом не требуется наличие доверенности в соответствии со статьей 16 настоящего Кодекса.
2. Для получения справки нерезидент (налоговый агент) обязан представить налоговое заявление в следующий налоговый орган:
1) по доходам юридического лица-нерезидента, осуществляющего деятельность в Республике Казахстан без образования постоянного учреждения, – по месту нахождения налогового агента;
2) постоянное учреждение нерезидента – по месту нахождения такого постоянного учреждения;
3) иностранец или лицо без гражданства, уплачивающие налоги с доходов из источников в Республике Казахстан самостоятельно, – по месту пребывания (жительства) в Республике Казахстан;
4) по доходам иностранца или лица без гражданства, не указанным в подпункте 3) настоящего пункта, – по месту нахождения налогового агента.
3. При выявлении несоответствия данных налогового заявления нерезидента (налогового агента) данным, указанным в формах налоговой отчетности налогоплательщика и (или) налогового агента, а также в случае отсутствия уплаты налога или наличия налоговой задолженности у налогоплательщика и (или) налогового агента по перечислению налога с доходов нерезидента на дату подачи налогового заявления налоговый орган направляет нерезиденту (налоговому агенту) отказ в выдаче справки.
4. Справка выдается не позднее десяти календарных дней с наиболее поздней из следующих дат:
подачи налогового заявления;
представления налогоплательщиком-нерезидентом и (или) налоговым агентом соответствующей формы налоговой отчетности, в которой отражены суммы начисленных доходов нерезидента и подлежащих уплате налогов.
5. В случае непредставления нерезидентом (налоговым агентом) налогового заявления справка налоговым органом не выдается.
Статья 677. Помощь в сборе налогов
1. Уполномоченный орган в соответствии с положениями международного договора в целях исполнения невыполненного налогового обязательства имеет право запросить содействия компетентного органа иностранного государства путем направления налогового требования по форме, установленной уполномоченным органом. Налоговое требование направляется в компетентный орган иностранного государства в случае неисполнения или неполного исполнения налогового обязательства нерезидентом по доходам из источников в Республике Казахстан, а также доходам постоянного учреждения нерезидента из источников за пределами Республики Казахстан исключительно после применения всех возможных мер принудительного взимания, установленных настоящим Кодексом.
2. При поступлении запроса на содействие от компетентного органа иностранного государства уполномоченный орган имеет право обеспечить исполнение налогового обязательства резидента, возникшего в иностранном государстве. При этом уполномоченный орган рассматривает правомерность уплаты налогов с доходов резидента из источников в иностранном государстве в соответствии с положениями международного договора и выносит заключение.
3. В случае вынесения положительного заключения по запросу компетентного органа иностранного государства уполномоченный орган в соответствии с положениями международного договора обеспечивает исполнение налоговых обязательств резидентом в порядке, определенном настоящим Кодексом. Сумма налога перечисляется налогоплательщиком-резидентом по требованию уполномоченного органа на счет компетентного органа иностранного государства, указанного в запросе о содействии в сборе налогов, направленном согласно положениям международного договора.
4. Уполномоченный орган рассматривает запросы компетентного органа иностранного государства на принципах взаимности.
5. Положения настоящей статьи применяются до истечения срока исковой давности, установленного статьей 48 настоящего Кодекса, если иное не определено международным договором.
РАЗДЕЛ 20. СПЕЦИАЛЬНЫЕ НАЛОГОВЫЕ РЕЖИМЫ
Глава 76. ОБЩИЕ ПОЛОЖЕНИЯ
Статья 678. Виды специальных налоговых режимов
1. В случаях, установленных настоящим разделом, налогоплательщик вправе выбрать один из следующих специальных налоговых режимов:
1) специальные налоговые режимы для субъектов малого бизнеса, включающие в себя:
специальный налоговый режим на основе патента;
специальный налоговый режим на основе упрощенной декларации;
специальный налоговый режим с использованием фиксированного вычета;
специальный налоговый режим с использованием специального мобильного приложения;
1-1) специальный налоговый режим розничного налога;
2) специальные налоговые режимы для производителей сельскохозяйственной продукции:
специальный налоговый режим для крестьянских или фермерских хозяйств;
специальный налоговый режим для производителей сельскохозяйственной продукции и сельскохозяйственных кооперативов.
2. Индивидуальные предприниматели вправе применять два специальных налоговых режима одновременно в случаях, установленных в пункте 4 статьи 686-2 и пункте 4 статьи 703 настоящего Кодекса.
3. Патентом является электронный документ, подтверждающий факт уплаты индивидуального подоходного налога (за исключением индивидуального подоходного налога, удерживаемого у источника выплаты), социальных платежей.
Сноска. Статья 678 с изменениями, внесенными законами РК от 10.12.2020 № 382-VI (вводится в действие с 01.01.2021); от 24.06. 2021 № 53-VII (вводится в действие с 01.01.2022); от 01.07.2024 № 105-VIII (вводится в действие по истечении шестидесяти календарных дней со дня его первого официального опубликования).
Статья 679. Порядок выбора и прекращения применения специального налогового режима
1. Выбор специального налогового режима при соответствии условиям его применения, установленным для каждого такого режима настоящим разделом, осуществляется:
1) физическими лицами – в уведомлении, направляемом в соответствии со статьей 79 настоящего Кодекса для постановки на регистрационный учет в качестве индивидуального предпринимателя;
2) вновь образованными юридическими лицами – в уведомлении о применяемом режиме налогообложения по форме, установленной уполномоченным органом, представляемом в налоговый орган не позднее пяти рабочих дней после государственной регистрации в регистрирующем органе;
3) при переходе на:
специальный налоговый режим на основе патента с общеустановленного порядка налогообложения – в расчете стоимости патента;
другие специальные налоговые режимы – в уведомлении о применяемом режиме налогообложения по форме, установленной уполномоченным органом.
В случае если вновь образованный налогоплательщик не выбрал специальный налоговый режим в порядке, определенном частью первой настоящего пункта, то такой налогоплательщик, до подачи уведомления о применяемом режиме налогообложения, по умолчанию признается выбравшим общеустановленный порядок налогообложения.
2. Налогоплательщик, за исключением вновь образованного, вправе при соответствии условиям применения перейти на специальный налоговый режим:
1) на основе патента – с общеустановленного порядка налогообложения или специального налогового режима для крестьянских или фермерских хозяйств;
1-1) с использованием специального мобильного приложения – с общеустановленного порядка налогообложения, специальных налоговых режимов на основе патента, для крестьянских или фермерских хозяйств;
2) на основе упрощенной декларации – с общеустановленного порядка налогообложения, специальных налоговых режимов на основе патента или с использованием специального мобильного приложения, для крестьянских или фермерских хозяйств;
3) с использованием фиксированного вычета – с общеустановленного порядка налогообложения, других специальных налоговых режимов для субъектов малого бизнеса, а также со специальных налоговых режимов для производителей сельскохозяйственной продукции;
4) для производителей сельскохозяйственной продукции и сельскохозяйственных кооперативов – с общеустановленного порядка налогообложения или иного специального налогового режима;
5) для крестьянских или фермерских хозяйств – с общеустановленного порядка налогообложения или иного специального налогового режима.
6) розничного налога – с общеустановленного порядка налогообложения или иного специального налогового режима.
Крестьянские или фермерские хозяйства в случае, установленном пунктом 4 статьи 703 настоящего Кодекса, в уведомлении о применяемом режиме налогообложения указывают все применяемые налоговые режимы;
3. Выбранный специальный налоговый режим для производителей сельскохозяйственной продукции изменению в течение календарного года не подлежит, за исключением возникновения случаев несоответствия условиям применения специального налогового режима, установленным настоящим разделом для такого режима налогообложения.
4. При переходе (переводе) со специального налогового режима для субъектов малого бизнеса на общеустановленный порядок налогообложения последующий переход на специальный налоговый режим для субъектов малого бизнеса возможен не ранее чем через один календарный год применения общеустановленного порядка.
5. В случаях возникновения условий, не позволяющих применять специальный налоговый режим, для перехода на общеустановленный порядок налогообложения или иной специальный налоговый режим налогоплательщик обязан представить уведомление о применяемом режиме налогообложения в течение пяти рабочих дней с даты возникновения таких условий.
6. Уведомление о применяемом режиме налогообложения представляется налогоплательщиками в налоговый орган по месту нахождения на бумажном носителе или в электронной форме, в том числе посредством веб-портала «электронное правительство».
7. Налоговый орган переводит налогоплательщиков на общеустановленный порядок при установлении факта несоответствия налогоплательщиков условиям, установленным настоящим разделом для применения соответствующего специального налогового режима.
В случае установления таких фактов в ходе камерального контроля налоговые органы до перевода на общеустановленный порядок направляют налогоплательщику уведомление об устранении нарушений, выявленных по результатам камерального контроля, или извещение о нарушениях, выявленных по результатам камерального контроля в соответствии с главой 10 настоящего Кодекса, в сроки и порядке, которые установлены статьями 114 и 115 настоящего Кодекса.
8. Датой начала применения выбранного специального налогового режима является:
1) для вновь образованных индивидуальных предпринимателей, указавших выбранный специальный налоговый режим в уведомлении о начале деятельности в качестве индивидуального предпринимателя, – дата постановки на регистрационный учет в качестве индивидуального предпринимателя в налоговых органах;
2) для вновь образованных юридических лиц, представивших уведомление о применяемом режиме налогообложения в установленный настоящей статьей срок, – дата государственной регистрации в регистрирующем органе;
2-1) для лиц, осуществляющих переход на специальный налоговый режим с использованием специального мобильного приложения, – дата выбора специального налогового режима с использованием специального мобильного приложения в уведомлении о применяемом режиме налогообложения;
3) в остальных случаях – 1 число месяца, следующего за месяцем, в котором представлено уведомление о применяемом режиме налогообложения.
8-1. Действовал с 01.01.2023 до 01.05.2023 в соответствии с Законом РК от 25.12.2017 № 121-VI.
9. Применение специального налогового режима или общеустановленного порядка налогообложения при переходе на специальный налоговый режим в соответствии с пунктом 8 настоящей статьи прекращается с последнего числа месяца, в котором представлено соответствующее уведомление о применяемом режиме налогообложения.
10. При переходе (переводе) налогоплательщика со специального налогового режима на общеустановленный порядок налогообложения при возникновении условий, не позволяющих применять специальный налоговый режим, датой начала применения общеустановленного порядка налогообложения является 1 число месяца, в котором возникли такие условия.
Сноска. Статья 679 с изменениями, внесенными законами РК от 24.05.2018 № 156-VI (вводится в действие с 01.01.2018); от 02.04.2019 № 241-VI (порядок введения в действие см. ст.2); от 10.12.2020 № 382-VI (вводится в действие с 01.01.2021); от 24.06. 2021 № 53-VII (вводится в действие с 01.01.2022); от 21.12.2022 № 165-VII (вводится в действие с 01.01.2023).
Глава 77. ОБЩИЕ ПОЛОЖЕНИЯ ПО СПЕЦИАЛЬНЫМ НАЛОГОВЫМ РЕЖИМАМ ДЛЯ СУБЪЕКТОВ МАЛОГО БИЗНЕСА
Параграф 1. Общие положения
Статья 680. Общие положения
1. Специальный налоговый режим устанавливает для субъектов малого бизнеса упрощенный порядок исчисления и уплаты:
1) индивидуального подоходного налога, за исключением налогов, удерживаемых у источника выплаты, – при применении специального налогового режима на основе патента;
1-1) индивидуального подоходного налога (за исключением налогов, удерживаемых у источника выплаты), социальных платежей – при применении специального налогового режима с использованием специального мобильного приложения;
2) социального налога, корпоративного или индивидуального подоходного налога, за исключением налогов, удерживаемых у источника выплаты, – при применении специального налогового режима на основе упрощенной декларации;
3) индивидуального или корпоративного подоходного налога, за исключением налогов, удерживаемых у источника выплаты, – при применении специального налогового режима с использованием фиксированного вычета.
Исчисление, уплата и представление налоговой отчетности по налогам и платежам в бюджет, не указанным в части первой настоящего пункта, производятся в общеустановленном порядке.
2. Налогоплательщик, применяющий специальный налоговый режим для субъектов малого бизнеса, исполняет обязательство налогового агента по индивидуальному подоходному налогу с доходов, подлежащих налогообложению у источника выплаты, по исчислению, удержанию данного налога и его перечислению в порядке и сроки, которые установлены главой 38 настоящего Кодекса.
Налогоплательщик, применяющий специальный налоговый режим на основе патента или с использованием специального мобильного приложения, представляет налоговую отчетность по индивидуальному подоходному налогу с доходов, подлежащих налогообложению у источника выплаты, в порядке и сроки, которые установлены главой 38 настоящего Кодекса.
Сноска. Статья 680 с изменениями, внесенными Законом РК от 24.06. 2021 № 53-VII (вводится в действие с 01.01.2022).
Статья 681. Порядок определения доходов при применении специальных налоговых режимов на основе патента, упрощенной декларации или с использованием специального мобильного приложения
Сноска. Заголовок с изменением, внесенным Законом РК от 24.06. 2021 № 53-VII (вводится в действие с 01.01.2022).
1. Объектом налогообложения для налогоплательщика, применяющего специальный налоговый режим на основе патента, упрощенной декларации или с использованием специального мобильного приложения, является доход, полученный за налоговый период.
2. Доход, определяемый для целей пункта 1 настоящей статьи, состоит из следующих видов доходов, полученных (подлежащих получению) в Республике Казахстан и за ее пределами (с учетом корректировок, производимых в соответствии с пунктом 6 настоящей статьи), если иное не установлено пунктом 2-1 настоящей статьи:
1) доход от реализации товаров, выполнения работ, оказания услуг, в том числе роялти, доход от сдачи в имущественный наем (аренду) имущества;
2) доход от списания обязательств;
3) доход от уступки права требования;
4) доход от осуществления совместной деятельности;
5) присужденные или признанные должником штрафы, пени и другие виды санкций (кроме возвращенных из бюджета необоснованно удержанных штрафов, если эти суммы ранее не были отнесены на вычеты в период, когда налогоплательщик осуществлял расчеты с бюджетом в общеустановленном порядке);
6) суммы, полученные из средств государственного бюджета на покрытие затрат;
7) излишки материальных ценностей, выявленные при инвентаризации;
8) доход в виде безвозмездно полученного имущества (кроме благотворительной помощи), предназначенного для использования в предпринимательских целях;
9) возмещение арендатором расходов индивидуального предпринимателя-арендодателя на содержание и ремонт имущества, переданного в аренду;
10) расходы арендатора на содержание и ремонт арендованного у индивидуального предпринимателя имущества, зачитываемые в счет платы по договору аренды.
2-1. Доход лица, осуществляющего деятельность по цифровому майнингу, определяется в порядке, предусмотренном статьей 227-1 настоящего Кодекса.
3. Размер доходов, указанных в пункте 2 настоящей статьи, при применении специального налогового режима для субъектов малого бизнеса определяется:
1) юридическим лицом – в общеустановленном порядке в соответствии с разделом 7 настоящего Кодекса и пунктами 5, 6, 7 и 8 настоящей статьи;
2) индивидуальным предпринимателем, не осуществляющим ведение бухгалтерского учета и составление финансовой отчетности в соответствии с Законом Республики Казахстан «О бухгалтерском учете и финансовой отчетности» (далее – ведение бухгалтерского учета и составление финансовой отчетности), – в соответствии с главой 24 настоящего Кодекса и пунктами 5, 6, 7 и 8 настоящей статьи;
3) индивидуальным предпринимателем, осуществляющим ведение бухгалтерского учета и составление финансовой отчетности, – в соответствии со статьями 226-240 настоящего Кодекса и пунктами 5, 6, 7 и 8 настоящей статьи.
4. При получении доходов, не указанных в пункте 2 настоящей статьи, налогоплательщики, применяющие специальный налоговый режим для субъектов малого бизнеса, производят исчисление, уплату соответствующих налогов и представление налоговой отчетности по ним в общеустановленном порядке в соответствии с настоящим Кодексом.
5. В целях налогообложения в качестве дохода налогоплательщика, применяющего специальный налоговый режим для субъектов малого бизнеса, не рассматриваются:
1) стоимость безвозмездно переданного имущества – для налогоплательщика, передающего такое имущество;
2) реализация активов, выкупаемых для государственных нужд в соответствии с законами Республики Казахстан;
3) стоимость безвозмездно полученного индивидуальным предпринимателем товара, переданного ему в рекламных целях (в том числе в виде дарения), в случае, если стоимость единицы такого товара не превышает 5-кратный размер месячного расчетного показателя, установленного на соответствующий финансовый год законом о республиканском бюджете и действующего на дату такой передачи;
4) следующие расходы, понесенные физическим лицом-арендатором, не являющимся индивидуальным предпринимателем, при имущественном найме (аренде) жилища, жилого помещения (квартиры), – в случае, если указанные расходы не включаются в арендную плату на:
содержание общего имущества объекта кондоминиума в соответствии с жилищным законодательством Республики Казахстан;
оплату коммунальных услуг, предусмотренных Законом Республики Казахстан «О жилищных отношениях»;
ремонт жилища, жилого помещения (квартиры);
5) сумма пени и штрафов, списанных в соответствии с налоговым законодательством Республики Казахстан.
Примечание ИЗПИ!
Подпункт 6) действует с 01.01.2022 до 01.01.2023 в соответствии с Законом РК от 11.07.2022 № 135-VII.
6) сумма полученных субъектами малого бизнеса денег на возмещение имущественного вреда, причиненного в период действия чрезвычайного положения, по решению комиссии, созданной местным исполнительным органом, при включении налогоплательщика в реестр, формируемый указанным местным исполнительным органом.
6. Для целей настоящей главы корректировкой признается увеличение размера дохода отчетного налогового периода или уменьшение размера дохода отчетного налогового периода в пределах суммы ранее признанного дохода.
Доходы, указанные в пункте 2 настоящей статьи, подлежат корректировке в случаях:
1) полного или частичного возврата товаров;
2) изменения условий сделки;
3) изменения цены, компенсации за реализованные или приобретенные товары, выполненные работы, оказанные услуги;
4) скидки с цены, скидки с продаж;
5) изменения суммы, подлежащей оплате в национальной валюте за реализованные или приобретенные товары, выполненные работы, оказанные услуги, исходя из условий договора;
6) списания требования с юридического лица, индивидуального предпринимателя, юридического лица-нерезидента, осуществляющего деятельность в Республике Казахстан через постоянное учреждение, по требованиям, относящимся к деятельности такого постоянного учреждения, а также с филиала, представительства юридического лица-нерезидента, осуществляющего деятельность в Республике Казахстан через филиал, представительство, которая не привела к образованию постоянного учреждения.
Корректировка дохода, предусмотренная настоящим подпунктом, осуществляется в сторону уменьшения в случаях:
невостребования налогоплательщиком-кредитором требования при ликвидации налогоплательщика-дебитора на день утверждения его ликвидационного баланса;
списания налогоплательщиком требования по вступившему в законную силу решению суда.
Корректировка, предусмотренная настоящим подпунктом, производится в пределах суммы списанного требования и ранее признанного дохода по такому требованию при наличии первичных документов, подтверждающих возникновение требования.
Корректировка, предусмотренная подпунктами 1) – 5) части второй настоящего пункта, производится при наличии первичных документов, подтверждающих наступление случаев для осуществления такой корректировки.
Корректировка доходов производится в том налоговом периоде, в котором наступили случаи, указанные в настоящей статье.
В случае отсутствия дохода или недостаточности его размера для осуществления корректировки в сторону уменьшения в том периоде, в котором наступили случаи, указанные в настоящей статье, корректировка производится в том налоговом периоде, в котором ранее был признан подлежащий корректировке доход.
7. В случае, если одни и те же доходы могут быть отражены в нескольких статьях доходов, указанные доходы включаются в доход один раз.
Дата признания дохода для целей налогообложения определяется в соответствии с положениями настоящей главы.
8. Если иное не установлено пунктом 5 настоящей статьи, индивидуальный предприниматель, применяющий специальный налоговый режим на основе патента, упрощенной декларации или с использованием специального мобильного приложения, определяет размер:
1) имущественного дохода – в соответствии со статьями 330, 331, 332, 333 и 334 настоящего Кодекса;
2) доходов, указанных в пункте 2 настоящей статьи:
в соответствии с пунктами 5, 6 и 7 настоящей статьи и статьей 682 настоящего Кодекса – индивидуальным предпринимателем, не осуществляющим ведение бухгалтерского учета и составление финансовой отчетности в соответствии с Законом Республики Казахстан «О бухгалтерском учете и финансовой отчетности»;
в соответствии с пунктами 5, 6 и 7 настоящей статьи и со статьями 226 – 240 настоящего Кодекса – индивидуальным предпринимателем, осуществляющим ведение бухгалтерского учета и составление финансовой отчетности в соответствии с Законом Республики Казахстан «О бухгалтерском учете и финансовой отчетности»;
3) иных доходов физического лица, не указанных в подпунктах 1) и 2) части первой настоящего пункта, – в соответствии с разделом 8 настоящего Кодекса.
При этом исчисление и уплата соответствующих налогов, представление налоговой отчетности по ним производятся:
1) по доходам, указанным в подпунктах 1) и 3) части первой настоящего пункта, – в соответствии с разделом 8 настоящего Кодекса;
2) по доходам, указанным в подпункте 2) части первой настоящего пункта:
индивидуальным предпринимателем, применяющим специальный налоговый режим на основе патента или с использованием специального мобильного приложения, – в соответствии с параграфами 2 и 2-1 настоящей главы;
индивидуальным предпринимателем, применяющим специальный налоговый режим на основе упрощенной декларации, – в соответствии с параграфом 3 настоящей главы.
Сноска. Статья 681 с изменениями, внесенными законами РК от 24.06. 2021 № 53-VII (вводится в действие с 01.01.2022); от 11.07.2022 № 135-VII (вводится в действие с 01.01.2022); от 06.02.2023 № 196-VII (вводится в действие с 01.04.2023).
Статья 682. Особенности признания в налоговом учете доходов индивидуальными предпринимателями, не осуществляющими ведение бухгалтерского учета и составление финансовой отчетности в соответствии с Законом Республики Казахстан «О бухгалтерском учете и финансовой отчетности»
1. Положения настоящей статьи применяются индивидуальными предпринимателями, не осуществляющими ведение бухгалтерского учета и составление финансовой отчетности в соответствии с Законом Республики Казахстан «О бухгалтерском учете и финансовой отчетности».
2. Если иное не установлено настоящей статьей, доход измеряется по стоимости полученного или подлежащего получению возмещения с учетом суммы любых торговых и оптовых скидок, предоставляемых индивидуальным предпринимателем. Сумма дохода, возникающая от операции, определяется в том числе на основании исполненного договора между индивидуальным предпринимателем и покупателем или пользователем актива.
3. Доход от реализации товаров признается, когда удовлетворяются все перечисленные ниже условия:
1) индивидуальный предприниматель передал покупателю значительные риски и вознаграждения, связанные с правом собственности на товар;
2) индивидуальный предприниматель больше не участвует в управлении в той степени, которая обычно ассоциируется с правом собственности, и не контролирует проданные товары;
3) сумма дохода может быть надежно измерена;
4) существует вероятность того, что экономические выгоды, связанные с операцией, поступят индивидуальному предпринимателю;
5) понесенные или ожидаемые затраты, связанные с операцией, могут быть надежно измерены.
4. Доход от выполнения работ, оказания услуг признается на основании акта выполненных работ, оказанных услуг или иного документа, подтверждающего факт выполнения работ, оказания услуг. Доходы от выполнения работ, оказания услуг признаются в том же периоде, в котором подписан акт выполненных работ, оказанных услуг или иной документ, подтверждающий факт выполнения работ, оказания услуг.
5. К доходу от списания обязательств относятся:
1) списание обязательств с налогоплательщика его кредитором;
2) обязательства, не востребованные кредитором на момент прекращения деятельности индивидуального предпринимателя;
3) списание обязательств в связи с истечением срока исковой давности, установленного законами Республики Казахстан;
4) списание обязательств по вступившему в законную силу решению суда.
Сумма дохода от списания обязательств равна сумме обязательств (за исключением суммы налога на добавленную стоимость), подлежавших выплате в соответствии с первичными документами индивидуального предпринимателя на день:
1) представления в налоговый орган налогового заявления о прекращении деятельности в случае, указанном в подпункте 2) части первой настоящего пункта;
2) списания в остальных случаях.
Доход от списания обязательств признается в том отчетном налоговом периоде:
1) в котором списано обязательство кредитором в случае, указанном в подпункте 1) части первой настоящего пункта;
2) за который представлена ликвидационная налоговая отчетность в налоговый орган в случае, указанном в подпункте 2) части первой настоящего пункта;
3) в котором истек срок исковой давности в случае, указанном в подпункте 3) части первой настоящего пункта;
4) в котором решение суда вступило в законную силу в случае, указанном в подпункте 4) части первой настоящего пункта.
6. Доход в виде излишков материальных ценностей, выявленных при инвентаризации, признается в том налоговом периоде, в котором была закончена инвентаризация и составлен инвентаризационный акт с отражением в нем факта наличия таких излишков. Стоимость излишков определяется индивидуальным предпринимателем самостоятельно, исходя из действующих в Республике Казахстан цен и тарифов.
7. Доход в виде штрафов, пени, неустойки и других видов санкций признается в том налоговом периоде, в котором судом вынесено решение об их взыскании или они признаны должником.
8. При осуществлении индивидуальным предпринимателем операций, при которых товары, работы или услуги индивидуального предпринимателя обмениваются на товары, работы или услуги другого лица, должен составляться акт приема-передачи товаров, работ или услуг. В акте приема-передачи должна отражаться стоимость переданных и полученных товаров, работ или услуг. Доход от такой операции определяется как положительная разница между стоимостью полученных товаров, работ или услуг, подлежащей отражению в акте приема-передачи, и себестоимостью переданных товаров, работ или услуг.
9. Доходом по долгосрочному контракту за отчетный налоговый период признается доход, подлежащий получению (полученный) за налоговый период.
10. Доходом от уступки права требования является:
1) для индивидуального предпринимателя, приобретающего право требования, – положительная разница между суммой, подлежащей получению от должника по требованию основного долга, в том числе суммы сверх основного долга на дату уступки права требования, и стоимостью приобретения права требования. Такой доход от уступки права требования является доходом того налогового периода, в котором приобретенное требование погашено должником;
2) для индивидуального предпринимателя, уступившего право требования, – положительная разница между стоимостью права требования, по которой произведена уступка, и стоимостью требования, подлежащей получению от должника на дату уступки права требования, согласно первичным документам налогоплательщика. Такой доход от уступки права требования является доходом того налогового периода, в котором произведена уступка.
11. Доходом в виде безвозмездно полученного имущества (кроме благотворительной помощи), предназначенного для использования в предпринимательских целях, является стоимость имущества, полученного безвозмездно в собственность индивидуальным предпринимателем, если такое имущество используется индивидуальным предпринимателем для предпринимательских целей в налоговом периоде, в котором такое имущество получено.
Доход в виде безвозмездно полученного имущества (кроме благотворительной помощи), предназначенного для использования в предпринимательских целях, признается в том налоговом периоде, в котором такое имущество получено, за исключением недвижимого имущества и транспортных средств, подлежащих государственной регистрации.
Доход в виде безвозмездно полученного недвижимого имущества (кроме благотворительной помощи), предназначенного для использования в предпринимательских целях, признается в том налоговом периоде, в котором произведена регистрация права собственности на такое имущество.
Доход в виде безвозмездно полученного транспортного средства, подлежащего государственной регистрации (кроме благотворительной помощи), предназначенного для использования в предпринимательских целях, признается в том налоговом периоде, в котором произведена государственная регистрация такого транспортного средства.
Стоимостью имущества, полученного безвозмездно в собственность индивидуальным предпринимателем, является рыночная стоимость данного имущества на дату возникновения права собственности на данное имущество, определенная в отчете об оценке, проведенной по договору между оценщиком и индивидуальным предпринимателем в соответствии с законодательством Республики Казахстан об оценочной деятельности.
12. Доход в виде возмещения арендатором расходов индивидуального предпринимателя-арендодателя на содержание и ремонт имущества, переданного в аренду, признается в том налоговом периоде, в котором такое возмещение получено.
Доход индивидуального предпринимателя-арендодателя в виде расходов арендатора на содержание и ремонт арендованного имущества, зачитываемых в счет платы по договору аренды, признается в том налоговом периоде, в котором произведен такой зачет.
Статья 683. Условия применения специального налогового режима
1. Для целей настоящего Кодекса субъектами малого бизнеса признаются индивидуальные предприниматели и юридические лица-резиденты Республики Казахстан, применяющие специальный налоговый режим для субъектов малого бизнеса.
2. Специальный налоговый режим для субъектов малого бизнеса вправе применять налогоплательщики, соответствующие следующим условиям:
1) среднесписочная численность работников за налоговый период не превышает для специального налогового режима:
на основе упрощенной декларации – 30 человек;
с использованием фиксированного вычета – 50 человек;
2) доход за налоговый период не превышает для специального налогового режима:
на основе патента или с использованием специального мобильного приложения – 3 528-кратный размер месячного расчетного показателя, установленного законом о республиканском бюджете и действующего на 1 января соответствующего финансового года;
на основе упрощенной декларации – 24 038-кратный размер месячного расчетного показателя, установленного законом о республиканском бюджете и действующего на 1 января соответствующего финансового года;
с использованием фиксированного вычета – 144 184-кратный размер месячного расчетного показателя, установленного законом о республиканском бюджете и действующего на 1 января соответствующего финансового года;
При этом в доход, указанный в абзаце третьем части первой настоящего подпункта, не включаются доходы в пределах 70 048-кратного размера месячного расчетного показателя, установленного законом о республиканском бюджете и действующего на 1 января соответствующего финансового года, полученные индивидуальным предпринимателем путем безналичных расчетов с обязательным применением трехкомпонентной интегрированной системы.
3) не осуществляющие следующие виды деятельности:
производство подакцизных товаров;
хранение и оптовая реализация подакцизных товаров;
реализация отдельных видов нефтепродуктов – бензина, дизельного топлива и мазута;
проведение лотерей;
Примечание ИЗПИ!
Действие абзаца шестого подпункта 3) пункта 2 приостановлено до 01.01.2026 в соответствии с Законом РК от 25.12.2017 № 121-VI и в период приостановления данный абзац действует в следующей редакции.
недропользование (за исключением деятельности по недропользованию, осуществляемой на основании лицензии на старательство);
сбор (заготовка), хранение, переработка и реализация лома и отходов цветных и черных металлов;
консультационные и (или) маркетинговые услуги;
деятельность в области бухгалтерского учета или аудита;
финансовая, страховая деятельность и посредническая деятельность страхового брокера и страхового агента;
деятельность в области права, юстиции и правосудия;
аренда и эксплуатация торгового рынка;
деятельность по цифровому майнингу по лицензии на осуществление деятельности по цифровому майнингу I подвида;
сдача в субаренду торговых объектов, относящихся к торговым рынкам, стационарным торговым объектам категории 1, 2 и 3 в соответствии с законодательством Республики Казахстан о регулировании торговой деятельности, а также находящихся на их территории торговых мест, торговых объектов и объектов общественного питания;
деятельность двух и более налогоплательщиков в сфере предоставления гостиничных услуг на территории одной гостиницы или отдельно стоящего нежилого здания, в которых оказываются такие услуги;
деятельность в рамках финансового лизинга.
3. Не вправе применять специальный налоговый режим на основе патента, упрощенной декларации или с использованием специального мобильного приложения и индивидуальные предприниматели и юридические лица, оказывающие услуги на основании агентских договоров (соглашений).
Для целей настоящего пункта под агентскими договорами (соглашениями) понимаются договоры (соглашения) гражданско-правового характера, заключенные в соответствии с законодательством Республики Казахстан, по которым одна сторона (агент) обязуется за вознаграждение совершать по поручению другой стороны определенные действия от своего имени, но за счет другой стороны либо от имени и за счет другой стороны.
4. Не вправе применять специальный налоговый режим для субъектов малого бизнеса:
1) юридические лица, имеющие структурные подразделения;
2) структурные подразделения юридических лиц;
3) налогоплательщики, имеющие иные обособленные структурные подразделения и (или) объекты налогообложения в разных населенных пунктах.
В целях налогообложения лиц, применяющих специальные налоговые режимы, иным обособленным структурным подразделением налогоплательщика признается территориально обособленное подразделение, по месту нахождения которого оборудованы стационарные рабочие места, выполняющее часть его функций. Рабочее место считается стационарным, если оно создано на срок более одного месяца.
Положение настоящего подпункта не распространяется на налогоплательщиков, осуществляющих исключительно деятельность по сдаче в имущественный наем (аренду) имущества;
4) юридические лица, в которых доля участия других юридических лиц составляет более 25 процентов;
5) юридические лица, у которых учредитель или участник одновременно является учредителем или участником другого юридического лица, применяющего специальный налоговый режим или особенности налогообложения;
6) некоммерческие организации;
7) плательщики налога на игорный бизнес.
5. Для целей настоящей статьи предельный доход индивидуального предпринимателя состоит из:
1) объекта налогообложения, определяемого в соответствии со статьей 681 настоящего Кодекса;
2) доходов в виде прироста стоимости, указанных в статье 330 настоящего Кодекса, возникающих в связи с реализацией и передачей в уставный капитал имущества, являющегося основными средствами индивидуального предпринимателя;
3) дохода, определяемого в соответствии со статьей 366 настоящего Кодекса.
6. Для целей настоящей статьи предельный доход юридического лица состоит из:
1) объекта налогообложения, определяемого в соответствии со статьей 681 настоящего Кодекса;
2) совокупного годового дохода с учетом корректировок, предусмотренных статьей 241 настоящего Кодекса, определяемого соответствии с разделом 7 настоящего Кодекса.
7. Индивидуальный предприниматель, являющийся субъектом малого бизнеса в соответствии с настоящей статьей, при применении специального налогового режима для субъектов малого бизнеса вправе вести налоговый учет в упрощенном порядке, предусмотренном настоящим разделом.
Сноска. Статья 683 с изменениями, внесенными законами РК от 26.12.2018 № 203-VI (вводится в действие с 01.01.2019); от 02.04.2019 № 241-VI (вводится в действие с 01.01.2019); от 24.06. 2021 № 53-VII (вводится в действие с 01.01.2022); от 20.12.2021 № 85-VII (вводятся в действие 01.01.2023); от 21.12.2022 № 165-VII (вводится в действие с 01.01.2023); от 06.02.2023 № 196-VII (вводится в действие с 01.01.2024); от 12.12.2023 № 45-VIII (вводится в действие с 01.01.2024)1
Статья 684. Налоговый период
1. Налоговым периодом для применения специального налогового режима на основе патента, специального налогового режима с использованием фиксированного вычета или специального налогового режима с использованием специального мобильного приложения является календарный год.
Периодом, за который в специальном мобильном приложении производятся исчисление и уплата индивидуального подоходного налога и социальных платежей, является календарный месяц.
2. Налоговый период для применения специального налогового режима на основе упрощенной декларации является полугодие.
Сноска. Статья 684 с изменениями, внесенными законми РК от 24.06. 2021 № 53-VII (вводится в действие с 01.01.2022); от 21.12.2022 № 165-VII (вводится в действие с 01.01.2022).
Параграф 2. Специальный налоговый режим на основе патента
Статья 685. Порядок применения
1. Специальный налоговый режим на основе патента вправе применять индивидуальные предприниматели, которые помимо соответствия условиям, установленным для субъектов малого бизнеса статьей 683 настоящего Кодекса:
1) не используют труд работников;
2) осуществляют деятельность в форме личного предпринимательства;
3) осуществляют один или несколько из следующих видов деятельности:
штукатурные работы;
столярные и плотницкие работы;
работы по покрытию полов и облицовке стен;
малярные и стекольные работы;
деятельность такси;
грузовые перевозки автомобильным транспортом;
управление недвижимостью за вознаграждение или на договорной основе;
деятельность в области фотографии;
переводческое (устное и письменное) дело;
сдача в имущественный наем (аренду);
сдача в имущественный наем (аренду) транспортных средств;
прокат и имущественный наем (аренда) развлекательного и спортивного инвентаря;
прокат видеозаписей и дисков;
прокат и имущественный наем (аренда) прочих предметов личного потребления и бытовых товаров;
сдача в имущественный наем (аренду) сельскохозяйственной техники и оборудования;
сдача в имущественный наем (аренду) офисных машин и оборудования, включая вычислительную технику;
услуги в области спортивного образования и образования специалистов организации досуга;
услуги образования в сфере культуры;
услуги в области прочего образования;
вспомогательные образовательные услуги;
деятельность в области искусства;
ремонт компьютеров и периферийного оборудования;
ремонт коммуникационного оборудования;
ремонт предметов личного потребления и бытовых товаров;
парикмахерские услуги;
маникюр и педикюр;
ветеринарные услуги;
услуги по обработке земельных участков;
услуги по уборке жилых помещений и ведению домашнего хозяйства;
услуги носильщиков на рынках, вокзалах;
изготовление и ремонт музыкальных инструментов;
выпас домашних животных.
2. Для применения специального налогового режима на основе патента в налоговый орган по месту нахождения представляется расчет стоимости патента (далее в целях настоящей главы – расчет).
Расчет представляется на бумажном носителе или в электронной форме, в том числе посредством веб-портала «электронное правительство», индивидуальными предпринимателями:
1) вновь образованными, – в срок не позднее трех рабочих дней со дня представления уведомления для постановки на регистрационный учет в качестве индивидуального предпринимателя в порядке, определенном законодательством Республики Казахстан о разрешениях и уведомлениях;
2) осуществляющими переход с общеустановленного порядка или иного специального налогового режима, – до 1 числа месяца применения специального налогового режима на основе патента;
3) применяющими специальный налоговый режим на основе патента для получения очередного патента, – до истечения срока действия предыдущего патента или срока приостановления представления налоговой отчетности.
3. Расчет является налоговой отчетностью для исчисления стоимости патента.
Стоимость патента исчисляется в соответствии со статьей 686 настоящего Кодекса.
4. Уплата стоимости патента производится налогоплательщиком до представления расчета.
В случае уплаты стоимости патента через банки второго уровня или организации, осуществляющие отдельные виды банковских операций, к расчету, представленному в электронной форме, прилагается уведомление платежного шлюза «электронного правительства», формируемое на веб-портале «электронного правительства» при указании в запросе реквизитов платежного документа.
Одновременно с расчетом на бумажном носителе представляются документы, подтверждающие уплату стоимости патента.
5. В расчете, представленном в электронной форме, в том числе посредством веб-портала «электронное правительство», индивидуальными предпринимателями указываются реквизиты платежных документов по уплате сумм налогов и социальных платежей, включаемых в стоимость патента.
После представления индивидуальными предпринимателями расчета налоговый орган производит формирование патента в информационной системе налогового органа в течение одного рабочего дня, следующего за датой представления расчета.
Форма патента утверждается уполномоченным органом.
5. Специальный налоговый режим на основе патента применяется не менее одного месяца в пределах одного налогового периода, если иное не предусмотрено настоящим пунктом.
Специальный налоговый режим на основе патента применяется в течение срока менее одного месяца индивидуальными предпринимателями:
1) вновь зарегистрированными в последнем месяце текущего налогового периода;
2) возобновившими деятельность до или после окончания срока приостановления представления налоговой отчетности в последнем месяце текущего налогового периода.
7. Для приостановления представления налоговой отчетности индивидуальными предпринимателями, применяющими специальный налоговый режим на основе патента, в налоговый орган по месту нахождения представляется налоговое заявление в порядке, определенном статьей 214 настоящего Кодекса.
Статья 686. Исчисление стоимости патента
1. В стоимость патента включаются подлежащие уплате суммы индивидуального подоходного налога (кроме индивидуального подоходного налога, удерживаемого у источника выплаты) и социальных платежей.
2. Исчисление суммы индивидуального подоходного налога, включаемого в стоимость патента, производится путем применения ставки в размере 1 процента к объекту налогообложения.
2-1. действовал с 01.01.2020 до 01.01.2022 в соответствии с Законом РК от 25.12.2017 № 121-VI.
3. Исчисление включаемых в стоимость патента социальных платежей производится в соответствии с Социальным кодексом Республики Казахстан и Законом Республики Казахстан «Об обязательном социальном медицинском страховании.
4. Если сумма фактически полученного дохода в течение срока действия патента превысит размер дохода, указанного в расчете, индивидуальные предприниматели обязаны в течение пяти рабочих дней представить расчет в виде дополнительной налоговой отчетности на сумму превышения и произвести уплату налогов с этой суммы.
Положения настоящего пункта не применяются в случае, если сумма фактически полученного дохода превысила размер предельного дохода, установленного подпунктом 2) пункта 2 статьи 683 настоящего Кодекса.
На основании указанного расчета взамен ранее сформированного патента формируется новый патент.
5. Если сумма фактически полученного дохода в течение срока действия патента (с учетом случаев его досрочного прекращения) менее размера дохода, указанного в расчете, индивидуальные предприниматели вправе представить расчет в виде дополнительной налоговой отчетности на сумму уменьшения стоимости патента.
В указанном случае возврат излишне уплаченных сумм налогов производится в порядке, определенном главой 11 настоящего Кодекса.
6. В случае превышения суммы фактически полученного дохода над суммой предельного дохода, установленного подпунктом 2) пункта 2 статьи 683 настоящего Кодекса, доход индивидуального предпринимателя, полученный с даты начала применения общеустановленного порядка или иного специального налогового режима, установленных статьей 679 настоящего Кодекса, облагается соответственно в общеустановленном порядке или в порядке, определенном специальным налоговым режимом.
7. При прекращении предпринимательской деятельности до истечения срока действия патента внесенная сумма налога возврату и перерасчету не подлежит, за исключением случая признания индивидуального предпринимателя недееспособным.
Сноска. Статья 686 с изменением, внесенным Законом РК от 25.12.2017 № 121-VI (действует с 01.01.2018 до 01.01.2022).
Параграф 2-1. Специальный налоговый режим с использованием специального мобильного приложения
Сноска. Глава 77 дополнена параграфом 2-1 в соответствии с Законом РК от 24.06. 2021 № 53-VII (вводится в действие с 01.01.2022).
Статья 686-1. Специальное мобильное приложение
1. Специальное мобильное приложение – мобильное приложение, разработанное уполномоченным органом для целей применения упрощенного порядка исполнения налоговых обязательств и обязательств по социальным платежам при применении специального налогового режима, установленного настоящим параграфом, постановки на регистрационный учет в качестве индивидуального предпринимателя (снятия с такого регистрационного учета) на основании электронного документа, удостоверенного посредством электронной цифровой подписи налогоплательщика.
Порядок использования специального мобильного приложения для целей исполнения налоговых обязательств и обязательств по социальным платежам при применении специальных налоговых режимов определяется уполномоченным органом.
2. В специальном мобильном приложении в качестве документа, подтверждающего факт осуществления расчетов между индивидуальным предпринимателем, применяющим специальный налоговый режим с использованием специального мобильного приложения или на основе упрощенной декларации, не являющимся плательщиком налога на добавленную стоимость, и покупателем (клиентом), получателем работ, услуг, формируется чек специального мобильного приложения.
3. Чек специального мобильного приложения содержит следующую информацию:
1) наименование налогоплательщика;
2) идентификационный номер налогоплательщика;
3) порядковый номер чека специального мобильного приложения;
4) наименование лица (юридического лица, индивидуального предпринимателя), для которого выполнены работы, оказаны услуги, его идентификационный номер.
Информация, указанная в настоящем подпункте, заполняется по требованию индивидуального предпринимателя, юридического лица, для которых выполнены работы, оказаны услуги, для целей подтверждения вычетов на определенные расходы;
5) дату и время совершения оплаты за реализуемую категорию товара, выполненные работы, оказанные услуги;
6) стоимость реализуемой категории товара, выполненных работ, оказанных услуг (за единицу измерения);
7) наименование реализуемой категории товара, выполненных работ, оказанных услуг;
8) объем реализуемых категорий товаров, выполненных работ, оказанных услуг (в единицах их измерения);
9) общую стоимость реализуемых категорий товаров, выполненных работ, оказанных услуг;
10) штриховой код, содержащий в кодированном виде информацию о чеке специального мобильного приложения.
Для целей настоящего пункта под категорией товара понимается группа товаров, объединенных по функциональному назначению.
4. Индивидуальные предприниматели, применяющие специальный налоговый режим с использованием специального мобильного приложения или на основе упрощенной декларации, вправе уполномочить банк второго уровня или организацию, осуществляющую отдельные виды банковских операций, оператора электронных площадок при использовании их мобильного приложения формировать чеки специального мобильного приложения.
Под оператором электронной площадки в настоящей статье понимается оператор информационных систем, размещенных в Интернете, предназначенных для оказания посреднических услуг, выполнения работ в электронном формате.
5. Порядок взаимодействия уполномоченных банков второго уровня, организаций, осуществляющих отдельные виды банковских операций, операторов электронных площадок с налоговыми органами для целей передачи сведений по операциям в специальное мобильное приложение определяется уполномоченным органом по согласованию с Национальным Банком Республики Казахстан.
6. Чек специального мобильного приложения должен быть передан налогоплательщиком в момент расчета наличными деньгами и (или) с использованием системы (устройства) для приема безналичных платежей покупателю (клиенту), получателю работ и услуг, в том числе на указанный ими адрес электронной почты.
При иных формах расчетов в безналичной форме чек специального мобильного приложения должен быть сформирован и передан покупателю (клиенту), получателю работ, услуг, в том числе на указанный ими адрес электронной почты, не позднее трех календарных дней со дня, в котором произведены расчеты.
7. Специальное мобильное приложение формирует реестр доходов на основании чеков специального мобильного приложения и других сведений о доходах, полученных из иных источников.
8. Специальное мобильное приложение может быть использовано индивидуальными предпринимателями, применяющими специальный налоговый режим на основе упрощенной декларации, для формирования и выдачи чека специального мобильного приложения, для исполнения налоговых обязательств по расчету индивидуального подоходного налога и социальных платежей, их уплате и представлению упрощенной декларации.
Сноска. Статья 686-1 с изменениями, внесенными Законом РК от 21.12.2022 № 165-VII (вводится в действие с 01.01.2023).
Статья 686-2. Порядок применения
1. Специальный налоговый режим с использованием специального мобильного приложения вправе применять индивидуальные предприниматели, которые помимо соответствия условиям, установленным для субъектов малого бизнеса статьей 683 настоящего Кодекса:
1) не используют труд работников;
2) осуществляют деятельность в форме личного предпринимательства;
3) осуществляют один или несколько из следующих видов деятельности:
штукатурные работы;
столярные и плотницкие работы;
работы по покрытию полов и облицовке стен;
малярные и стекольные работы;
деятельность такси;
грузовые перевозки автомобильным транспортом;
управление недвижимостью за вознаграждение или на договорной основе;
деятельность в области фотографии;
переводческое (устное и письменное) дело;
сдача в имущественный наем (аренду);
сдача в имущественный наем (аренду) транспортных средств;
прокат и имущественный наем (аренда) развлекательного и спортивного инвентаря;
прокат видеозаписей и дисков;
прокат и имущественный наем (аренда) прочих предметов личного потребления и бытовых товаров;
сдача в имущественный наем (аренду) сельскохозяйственной техники и оборудования;
сдача в имущественный наем (аренду) офисных машин и оборудования, включая вычислительную технику;
услуги в области спортивного образования и образования специалистов организации досуга;
услуги образования в сфере культуры;
услуги в области прочего образования;
вспомогательные образовательные услуги;
деятельность в области искусства;
ремонт компьютеров и периферийного оборудования;
ремонт коммуникационного оборудования;
ремонт предметов личного потребления и бытовых товаров;
парикмахерские услуги;
маникюр и педикюр;
ветеринарные услуги;
услуги по обработке земельных участков;
услуги по уборке жилых помещений и ведению домашнего хозяйства;
услуги носильщиков на рынках, вокзалах;
изготовление и ремонт музыкальных инструментов;
выпас домашних животных;
курьерская доставка, за исключением услуг по доставке почтовых отправлений;
4) не являются плательщиками налога на добавленную стоимость, указанными в подпункте 1) пункта 1 статьи 367 настоящего Кодекса.
2. Датой начала применения специального налогового режима с использованием специального мобильного приложения считается дата выбора специального налогового режима с использованием специального мобильного приложения.
3. При переходе со специального налогового режима с использованием специального мобильного приложения на другие специальные налоговые режимы или общеустановленный порядок налогообложения датой окончания режима является последнее число месяца, в котором представлено соответствующее уведомление о применяемом режиме налогообложения.
4. Индивидуальные предприниматели по доходам, полученным ими за оказанные услуги или выполненные работы с использованием интернет-платформ в соответствии с Социальным кодексом Республики Казахстан, применяют специальный налоговый режим с использованием специального мобильного приложения.
При этом такой индивидуальный предприниматель по доходам, не указанным в части первой настоящего пункта, вправе применять иные специальные налоговые режимы или общеустановленный порядок налогообложения в соответствии с настоящим Кодексом.
Сноска. Статья 686-2 с изменениями, внесенными законами РК от 20.03.2023 № 213-VII (вводится в действие по истечении десяти календарных дней после дня его первого официального опубликования); от 01.07.2024 № 105-VIII (вводится в действие по истечении шестидесяти календарных дней со дня его первого официального опубликования).
Статья 686-3. Порядок исчисления индивидуального подоходного налога и социальных платежей при применении специального налогового режима с использованием специального мобильного приложения
Сноска. Заголовок статьи 686-3 — в редакции Закона РК от 01.07.2024 № 105-VIII (вводится в действие по истечении шестидесяти календарных дней со дня его первого официального опубликования).
1. Исчисление суммы индивидуального подоходного налога производится специальным мобильным приложением путем применения ставки в размере 1 процента к объекту налогообложения.
2. Специальное мобильное приложение производит исчисление сумм социальных платежей в соответствии с Социальным кодексом Республики Казахстан и Законом Республики Казахстан «Об обязательном социальном медицинском страховании».
3. Исчисление суммы индивидуального подоходного налога и социальных платежей производится специальным мобильным приложением ежемесячно не позднее 15 числа месяца, следующего за отчетным.
4. Индивидуальный подоходный налог и социальные платежи подлежат уплате не позднее 25 числа месяца, следующего за отчетным.
Сноска. Статья 686-3 с изменениями, внесенными Законом РК от 01.07.2024 № 105-VIII (вводится в действие по истечении шестидесяти календарных дней со дня его первого официального опубликования).
Параграф 3. Специальный налоговый режим на основе упрощенной декларации
Статья 687. Исчисление налогов по упрощенной декларации
1. Исчисление налогов по упрощенной декларации производится налогоплательщиком самостоятельно путем применения к объекту налогообложения за отчетный налоговый период ставки в размере 3 процентов.
2. Сумма налогов, исчисленная за налоговый период согласно пункту 1 настоящей статьи, подлежит корректировке в сторону уменьшения на сумму в размере 1,5 процента от суммы налога за каждого работника исходя из среднесписочной численности работников, если среднемесячная заработная плата работников по итогам отчетного периода составила у индивидуальных предпринимателей не менее 23-кратного, юридических лиц – не менее 29-кратного размера месячного расчетного показателя, установленного законом о республиканском бюджете и действующего на первое число налогового периода.
2-1. действовал с 01.01.2020 до 01.01.2022 в соответствии с Законом РК от 25.12.2017 № 121-VI.
3. При возникновении случаев несоответствия условиям применения специального налогового режима, установленным статьей 683 настоящего Кодекса, доход налогоплательщика, полученный с даты начала применения общеустановленного или иного специального налогового режима, подлежит налогообложению соответственно в общеустановленном порядке или порядке, установленном иным специальным налоговым режимом.
Сноска. Статья 687 с изменениями, внесенными законами РК от 26.12.2018 № 203-VI (вводится в действие с 01.01.2019); от 25.12.2017 № 121-VI (действует с 01.01.2018 до 01.01.2022); от 10.12.2020 № 382-VI (вводится в действие с 01.01.2021).
Статья 688. Сроки представления упрощенной декларации и уплаты налогов
1. Упрощенная декларация представляется в налоговый орган по месту нахождения налогоплательщика не позднее 15 числа второго месяца, следующего за отчетным налоговым периодом.
2. Уплата в бюджет налогов, указанных в упрощенной декларации, производится не позднее 25 числа второго месяца, следующего за отчетным налоговым периодом, в виде индивидуального (корпоративного) подоходного налога и социального налога.
При этом индивидуальный (корпоративный) подоходный налог подлежит уплате в размере 1/2 от исчисленной суммы налогов по упрощенной декларации, социальный налог – в размере 1/2 от исчисленной суммы налогов по упрощенной декларации за минусом суммы социальных отчислений в Государственный фонд социального страхованияили суммы социальных отчислений, приходящейся на долю социальных отчислений в едином платеже, исчисленных в соответствии с Социальным кодексом Республики Казахстан и главой 89-1 настоящего Кодекса».
При превышении суммы социальных отчислений в Государственный фонд социального страхования над суммой социального налога сумма социального налога считается равной нулю.
3. В упрощенной декларации отражаются подлежащие уплате в бюджет суммы индивидуального подоходного налога, удерживаемого у источника выплаты, социальных платежей и (или) единого платежа.
Сноска. Статья 688 с изменениями, внесенными Законом РК от 21.12.2022 № 165-VII (вводится в действие с 01.01.2023).
Статья 689. Исчисление, уплата и представление налоговой отчетности по отдельным видам налогов, социальных платежей и единого платежа
Сноска. Заголовок статьи 689 с изменением, внесенным Законом РК от 21.12.2022 № 165-VII (вводится в действие с 01.01.2023).
Исчисление, уплата сумм индивидуального подоходного налога, удерживаемого у источника выплаты, и перечисление социальных платежей производятся налогоплательщиком, применяющим специальный налоговый режим на основе упрощенной декларации, в общеустановленном порядке и (или) в порядке, предусмотренном главой 89-1 настоящего Кодекса.
При этом исчисленные суммы индивидуального подоходного налога, удерживаемого у источника выплаты, социальных платежей и (или) единого платежа отражаются в упрощенной декларации, представляемой в порядке и сроки, которые определены статьей 688 настоящего Кодекса.
Сноска. Статья 689 с изменением, внесенным Законом РК от 21.12.2022 № 165-VII (вводится в действие с 01.01.2023).
Параграф 4. Специальный налоговый режим с использованием фиксированного вычета
Статья 690. Объект обложения
1. Объектом налогообложения для налогоплательщика, применяющего специальный налоговый режим с использованием фиксированного вычета, является налогооблагаемый доход, определяемый как разница между доходом с учетом корректировок, предусмотренных пунктом 4 статьи 691 настоящего Кодекса, и вычетами, предусмотренными настоящим параграфом.
2. Доход юридического лица или индивидуального предпринимателя состоит из доходов, подлежащих получению (полученных) данными лицами в Республике Казахстан и за ее пределами в течение налогового периода.
3. В целях настоящего параграфа в качестве дохода не рассматриваются:
1) стоимость имущества, полученного в качестве вклада в уставный капитал;
2) стоимость имущества, получаемого (полученного) акционером, в том числе получаемого (полученного) взамен ранее внесенного, при распределении имущества при ликвидации юридического лица или при уменьшении уставного капитала, в размере оплаченного уставного капитала, приходящемся на количество акций, пропорционально которой осуществляется распределение имущества;
3) стоимость имущества, получаемого (полученного) участником, учредителем, в том числе получаемого (полученного) взамен ранее внесенного, при распределении имущества при ликвидации юридического лица или при уменьшении уставного капитала, а также при возврате учредителю, участнику доли участия или ее части в юридическом лице, в размере оплаченного уставного капитала, приходящемся на долю участия, пропорционально которой осуществляется распределение имущества, но не более суммы затрат на ее приобретение и (или) оплату взносов в уставный капитал, произведенных участником, в пользу которого осуществляется распределение имущества;
4) стоимость имущества, полученного эмитентом от размещения выпущенных им акций;
5) для налогоплательщика, передающего имущество, – стоимость имущества, переданного на безвозмездной основе;
6) сумма пени и штрафов, списанных в соответствии с налоговым законодательством Республики Казахстан;
7) стоимость безвозмездно полученного в рекламных целях товара (в том числе в виде дарения), если стоимость единицы такого товара не превышает 5-кратный размер месячного расчетного показателя, установленного на соответствующий финансовый год законом о республиканском бюджете и действующего на дату такого получения;
8) сумма уменьшения размера налогового обязательства в случаях, предусмотренных настоящим Кодексом;
9) если иное не предусмотрено разделом 7 настоящего Кодекса, доход, возникающий в связи с изменением стоимости активов и (или) обязательств, признаваемый доходом в бухгалтерском учете в соответствии с международными стандартами финансовой отчетности и (или) требованиями законодательства Республики Казахстан о бухгалтерском учете и финансовой отчетности, кроме подлежащего получению (полученного) от другого лица;
10) увеличение нераспределенной прибыли за счет уменьшения резервов на переоценку активов в соответствии с международными стандартами финансовой отчетности и (или) требованиями законодательства Республики Казахстан о бухгалтерском учете и финансовой отчетности;
11) доход, возникающий в связи с признанием обязательства в бухгалтерском учете в соответствии с международными стандартами финансовой отчетности и (или) требованиями законодательства Республики Казахстан о бухгалтерском учете и финансовой отчетности, в виде положительной разницы между размером фактически подлежащего исполнению обязательства и стоимостью данного обязательства, признанной в бухгалтерском учете;
12) стоимость имущества, в том числе работ, услуг, полученного в соответствии с пунктом 8 статьи 243 настоящего Кодекса;
13) превышение суммы положительной курсовой разницы над суммой отрицательной курсовой разницы;
14) доход от списания обязательств;
15) доход по сомнительным обязательствам;
16) следующие расходы, понесенные физическим лицом-арендатором, не являющимся индивидуальным предпринимателем, при имущественном найме (аренде) жилища, жилого помещения (квартиры), – в случае, если указанные расходы не включаются в арендную плату на:
содержание общего имущества объекта кондоминиума в соответствии с жилищным законодательством Республики Казахстан;
оплату коммунальных услуг, предусмотренных Законом Республики Казахстан «О жилищных отношениях»;
ремонт жилища, жилого помещения (квартиры);
17) доход от выбытия фиксированных активов.
При этом налогоплательщик, применяющий специальный налоговый режим с использованием фиксированного вычета, не ведет учет фиксированных активов.
4. В качестве дохода индивидуального предпринимателя для целей настоящего параграфа также не рассматриваются полученные им доходы в виде:
1) дивидендов, вознаграждений, выигрышей, ранее обложенные индивидуальным подоходным налогом у источника выплаты, при наличии документов, подтверждающих удержание такого налога у источника выплаты;
2) адресной социальной помощи, пособий и компенсаций, выплачиваемые за счет средств бюджета, в размерах, установленных законодательством Республики Казахстан;
3) стипендий;
4) благотворительной помощи;
5) стоимость имущества, полученного в виде гуманитарной помощи;
6) имущественного дохода;
7) дохода работника;
8) суммы возмещения материального ущерба, присуждаемые по решению суда.
Сноска. Статья 690 с изменениями, внесенными Законом РК от 10.12.2020 № 382-VI (вводится в действие с 01.01.2018).
Статья 691. Доходы
1. В доход налогоплательщика для целей настоящего параграфа включаются все виды доходов, за исключением:
1) указанных в пункте 3 статьи 690 настоящего Кодекса, – для юридического лица;
2) указанных в пунктах 3 и 4 статьи 690 настоящего Кодекса, – для индивидуального предпринимателя.
2. В случае, когда признание дохода в соответствии с международными стандартами финансовой отчетности и (или) требованиями законодательства Республики Казахстан о бухгалтерском учете и финансовой отчетности отличается от порядка определения и признания дохода в соответствии с настоящим Кодексом, указанный доход учитывается для целей налогообложения в порядке, определенном настоящим Кодексом.
3. Налогоплательщик имеет право на корректировку доходов в соответствии с пунктом 4 настоящей статьи. При этом совокупный годовой доход с учетом корректировок в соответствии пунктом 4 настоящей статьи может иметь отрицательное значение.
4. Для целей настоящего параграфа корректировкой признается увеличение размера дохода отчетного налогового периода или уменьшение размера дохода отчетного налогового периода в пределах суммы ранее признанного дохода.
Доходы, указанные в настоящей статье, подлежат корректировке в случаях:
1) полного или частичного возврата товаров;
2) изменения условий сделки;
3) изменения цены, компенсации за реализованные или приобретенные товары, выполненные работы, оказанные услуги;
4) скидки с цены, скидки с продаж;
5) изменения суммы, подлежащей оплате в национальной валюте за реализованные или приобретенные товары, выполненные работы, оказанные услуги, исходя из условий договора;
6) списания требования с юридического лица, индивидуального предпринимателя, юридического лица-нерезидента, осуществляющего деятельность в Республике Казахстан через постоянное учреждение, по требованиям, относящимся к деятельности такого постоянного учреждения, а также с филиала, представительства юридического лица-нерезидента, осуществляющего деятельность в Республике Казахстан через филиал, представительство, которая не привела к образованию постоянного учреждения.
Корректировка дохода, предусмотренная настоящим подпунктом, осуществляется в сторону уменьшения в случаях:
невостребования налогоплательщиком-кредитором требования при ликвидации налогоплательщика-дебитора на день утверждения его ликвидационного баланса;
списания налогоплательщиком требования по вступившему в законную силу решению суда.
Корректировка, предусмотренная настоящим подпунктом, производится в пределах суммы списанного требования и ранее признанного дохода по такому требованию при наличии первичных документов, подтверждающих возникновение требования.
Корректировка, предусмотренная подпунктами 1) – 5) части второй настоящего пункта, производится при наличии первичных документов, подтверждающих наступление случаев для осуществления такой корректировки.
Корректировка доходов производится в том налоговом периоде, в котором наступили случаи, указанные в настоящей статье.
В случае отсутствия дохода или недостаточности его размера для осуществления корректировки в сторону уменьшения в том периоде, в котором наступили случаи, указанные в настоящей статье, корректировка производится в том налоговом периоде, в котором ранее был признан подлежащий корректировке доход.
5. В случае если одни и те же доходы могут быть отражены в нескольких статьях доходов, то они включаются в доход один раз.
Дата признания дохода для целей налогообложения определяется в соответствии с положениями настоящего параграфа.
Сноска. Статья 691 с изменением, внесенным Законом РК от 10.12.2020 № 382-VI (вводится в действие с 01.01.2018).
Статья 692. Порядок определения расходов, относимых на вычеты
1. Вычету при определении налогооблагаемого дохода подлежат предусмотренные настоящей статьей расходы налогоплательщика, связанные с осуществлением деятельности, направленной на получение дохода, за исключением расходов, не подлежащих вычету в соответствии с разделом 7 настоящего Кодекса.
2. В целях настоящего параграфа вычету подлежат следующие виды расходов:
1) на приобретение товаров;
2) по начисленным доходам работников и иным выплатам физическим лицам, подлежащим отнесению на вычеты в соответствии со статьей 257 настоящего Кодекса;
3) на уплату налогов и платежей в бюджет, подлежащих отнесению на вычеты в соответствии со статьей 263 настоящего Кодекса;
4) суммы компенсаций при служебных командировках, подлежащие отнесению на вычеты в соответствии со статьей 244 настоящего Кодекса;
5) на оплату услуг связи, электроэнергии, воды, теплоэнергии, газа, используемых в предпринимательских целях;
6) расходы, произведенные арендатором в отношении арендуемого имущества, используемого в предпринимательских целях.
3. Индивидуальный предприниматель при определении налогооблагаемого дохода имеет право на применение налоговых вычетов, предусмотренных статьей 342 настоящего Кодекса, если он не применил их как физическое лицо, в том числе у налогового агента.
4. В случаях, предусмотренных настоящим Кодексом, размер относимых на вычеты расходов не должен превышать установленные нормы.
5. Вычеты производятся налогоплательщиком при наличии документов, подтверждающих, что такие расходы связаны с его деятельностью, направленной на получение дохода, если иное не установлено статьей 693 настоящего Кодекса.
Данные расходы подлежат вычету в том налоговом периоде, в котором они фактически были произведены, за исключением расходов будущих периодов, определяемых в соответствии с международными стандартами финансовой отчетности и (или) требованиями законодательства Республики Казахстан о бухгалтерском учете и финансовой отчетности.
6. Расходы будущих периодов, определяемые в соответствии с международными стандартами финансовой отчетности и (или) требованиями законодательства Республики Казахстан о бухгалтерском учете и финансовой отчетности, подлежат вычету в том налоговом периоде, к которому они относятся.
7. Расходы налогоплательщика, указанные в настоящей статье, подлежат корректировке в случаях, предусмотренных пунктом 4 статьи 691 настоящего Кодекса.
При этом для целей настоящего параграфа корректировкой признается увеличение размера вычета отчетного налогового периода или уменьшение размера вычета отчетного налогового периода в пределах суммы ранее признанного вычета.
Сноска. Статья 692 с изменениями, внесенными Законом РК от 10.12.2020 № 382-VI (порядок введения в действие см. ст. 2).
Статья 693. Дополнительный фиксированный вычет
Налогоплательщик, применяющий специальный налоговый режим с использованием фиксированного вычета, вправе при определении налогооблагаемого дохода включить в сумму расходов, относимых на вычеты, сумму фиксированного вычета в размере не более 30 процентов от суммы дохода, определенного с учетом корректировок, предусмотренных пунктом 4 статьи 691 настоящего Кодекса.
При этом в случае применения положений части первой настоящей статьи общая сумма расходов, относимых на вычеты, включая фиксированный вычет, не должна превышать 70 процентов от суммы дохода с учетом корректировок, предусмотренных пунктом 4 статьи 691 настоящего Кодекса.
Статья 694. Уменьшение налогооблагаемого дохода
1. Налогоплательщик имеет право на уменьшение налогооблагаемого дохода в 2-кратном размере произведенных расходов на оплату труда лиц с инвалидностью и на 50 процентов от суммы исчисленного социального налога от заработной платы и других выплат лицам с инвалидностью.
2. Юридическое лицо имеет право на уменьшение налогооблагаемого дохода на следующие виды доходов:
1) стоимость имущества, полученного в виде гуманитарной помощи в случае возникновения чрезвычайных ситуаций природного и техногенного характера и использованного по назначению;
2) доходы от прироста стоимости при реализации акций, выпущенных юридическим лицом, или долей участия в юридическом лице или консорциуме, если иное не установлено подпунктом 3) настоящего пункта, при одновременном выполнении следующих условий:
на день реализации акций или долей участия налогоплательщик владеет данными акциями или долями участия более трех лет;
юридическое лицо-эмитент или юридическое лицо, доля участия в котором реализуется, или участник консорциума, который реализует долю участия в таком консорциуме, не является недропользователем;
имущество лиц (лица), являющихся (являющегося) недропользователями (недропользователем), в стоимости активов юридического лица-эмитента или юридического лица, доля участия в котором реализуется, или общей стоимости активов участников консорциума, доля участия в котором реализуется, на день такой реализации составляет не более 50 процентов.
Указанный в настоящем подпункте срок владения налогоплательщиком акциями или долями участия определяется совокупно с учетом сроков владения прежними собственниками акциями или долями участия, если такие акции или доли участия получены налогоплательщиком в результате реорганизации прежних собственников.
В целях настоящего подпункта недропользователем не признается недропользователь, являющийся таковым исключительно из-за обладания правом на добычу подземных вод;
3) доходы от прироста стоимости при реализации методом открытых торгов на фондовой бирже, функционирующей на территории Республики Казахстан, ценных бумаг, находящихся на день реализации в официальных списках данной фондовой биржи, уменьшенные на убытки, возникшие от реализации методом открытых торгов на фондовой бирже, функционирующей на территории Республики Казахстан, ценных бумаг, находящихся на день реализации в официальных списках данной фондовой биржи.
3. Налогоплательщик, применяющий специальный налоговый режим с использованием фиксированного вычета, имеет право на уменьшение налогооблагаемого дохода на 1-кратный размер начисленных в отчетном налоговом периоде расходов работодателя по доходам работника, подлежащих отнесению на вычеты при определении налогооблагаемого дохода в соответствии с настоящим параграфом.
Уменьшение, предусмотренное частью первой настоящего пункта, налогоплательщик вправе производить при условии, если среднемесячная заработная плата работников такого налогоплательщика за отчетный налоговый период превышает 47-кратный размер месячного расчетного показателя, установленного законом о республиканском бюджете и действующего на 1 января соответствующего финансового года.
Сноска. Статья 694 с изменением, внесенным Законом РК от 26.12.2018 № 203-VI (вводится в действие с 01.01.2019).
Статья 695. Исчисление налогов по специальному налоговому режиму с использованием фиксированного вычета
1. Корпоративный подоходный налог, за исключением корпоративного подоходного налога на чистый доход и корпоративного подоходного налога, удерживаемого у источника выплаты, подлежащий уплате при применении специального налогового режима с использованием фиксированного вычета, исчисляется за налоговый период в следующем порядке:
произведение ставки, установленной пунктами 1 или 2 статьи 313 настоящего Кодекса, и налогооблагаемого дохода, определенного в виде разницы между доходами, предусмотренными статьями 690 и 691 настоящего Кодекса, и расходами, предусмотренными статьями 692 и 693 настоящего Кодекса, уменьшенного в соответствии со статьей 694 настоящего Кодекса,
минус
сумма корпоративного подоходного налога, на которую осуществляется зачет в соответствии со статьей 303 настоящего Кодекса,
минус
сумма корпоративного подоходного налога, удержанного в налоговом периоде у источника выплаты с дохода в виде выигрыша, на которую осуществляется уменьшение в соответствии с пунктом 2 статьи 302 настоящего Кодекса,
минус
сумма корпоративного подоходного налога, удержанного у источника выплаты с дохода в виде вознаграждения, дивидендов, перенесенная из предыдущих налоговых периодов в соответствии с пунктом 3 статьи 302 настоящего Кодекса,
минус
сумма корпоративного подоходного налога, удержанного в налоговом периоде у источника выплаты с дохода в виде вознаграждения, дивидендов, на которую осуществляется уменьшение в соответствии с пунктом 2 статьи 302 настоящего Кодекса.
2. Индивидуальный подоходный налог, подлежащий уплате при применении специального налогового режима с использованием фиксированного вычета, за исключением индивидуального подоходного налога, удерживаемого у источника выплаты, исчисляется за налоговый период в следующем порядке:
произведение ставки, установленной пунктом 1 статьи 320 настоящего Кодекса, и налогооблагаемого дохода, определенного в виде разницы между доходами, предусмотренными статьями 690 и 691 настоящего Кодекса, и расходами, предусмотренными статьями 692 и 693 настоящего Кодекса, уменьшенного в соответствии со статьей 694 настоящего Кодекса.
Статья 696. Порядок представления налоговой декларации и уплаты налогов по специальному налоговому режиму с использованием фиксированного вычета
1. Декларация для налогоплательщиков, применяющих специальный налоговый режим с использованием фиксированного вычета, представляется в налоговый орган по месту нахождения налогоплательщика в срок не позднее 31 марта года, следующего за отчетным налоговым периодом.
2. Уплата в бюджет налогов, указанных в декларации для налогоплательщиков, применяющих специальный налоговый режим с использованием фиксированного вычета, производится по итогам налогового периода в срок не позднее десяти календарных дней после срока, установленного для сдачи декларации пунктом 1 настоящей статьи.
Глава 77-1. СПЕЦИАЛЬНЫЙ НАЛОГОВЫЙ РЕЖИМ РОЗНИЧНОГО НАЛОГА
Сноска. Глава 77-1 действовала до 01.01.2023 в соответствии с Законом РК от 25.12.2017 № 121-VI.
Глава 77-2. Специальный налоговый режим розничного налога
Сноска. Кодекс дополнен главой 77-2 в соответствии с Законом РК от 20.03.2023 № 213-VII (вводится в действие с 01.01.2023).
Статья 696-3. Порядок применения специального налогового режима розничного налога и исчисления налогов при его применении
1. Специальный налоговый режим розничного налога вправе применять налогоплательщики, соответствующие следующим условиям:
1) среднесписочная численность работников за налоговый период не превышает 200 человек;
2) доход за календарный год не превышает 600 000 месячного расчетного показателя, установленного законом о республиканском бюджете и действующего на 1 января соответствующего финансового года;
3) осуществляют исключительно один или несколько из видов деятельности, определенных Правительством Республики Казахстан для целей применения данного режима.
2. Не вправе применять специальный налоговый режим розничного налога юридические лица, у которых учредитель или участник одновременно является учредителем или участником другого юридического лица, применяющего специальный налоговый режим.
3. Специальный налоговый режим розничного налога предусматривает особый порядок исчисления корпоративного или индивидуального подоходного налога, за исключением налогов, удерживаемых у источника выплаты.
4. Исчисление корпоративного или индивидуального подоходного налога, за исключением налогов, удерживаемых у источника выплаты, при применении специального налогового режима розничного налога производится налогоплательщиком самостоятельно путем применения к объекту налогообложения за отчетный налоговый период ставки в размере:
4 % по доходам, полученным (подлежащим получению) за налоговый период в Республике Казахстан и за ее пределами, если иное не предусмотрено абзацем третьим настоящего пункта;
8 % по доходам, полученным от реализации товаров, выполнения работ, оказания услуг налогоплательщикам, которые применяют нормы пункта 3-2 статьи 242 настоящего Кодекса по отнесению сумм расходов на вычеты для исчисления корпоративного или индивидуального подоходного налога.
5. Местные представительные органы имеют право понижать размер ставки, установленной абзацем вторым пункта 4 настоящей статьи, не более чем на 50 процентов в зависимости от вида деятельности и места нахождения объекта.
При этом запрещается понижение ставки индивидуально для отдельных налогоплательщиков.
Такое решение о понижении размера ставки принимается местным представительным органом не позднее 1 декабря года, предшествующего году его введения, вводится в действие с 1 января года, следующего за годом его принятия, и подлежит официальному опубликованию.
6. Налогоплательщик, применяющий специальный налоговый режим розничного налога, должен вести раздельный налоговый учет по доходам, облагаемым по ставкам, применяемым в соответствии с положениями пункта 4 настоящей статьи.
7. Объектом налогообложения для налогоплательщика, применяющего специальный налоговый режим розничного налога, является доход, полученный (подлежащий получению) в Республике Казахстан и за ее пределами и определяемый совокупно за налоговый период в порядке, аналогичном порядку определения доходов, установленному статьей 681 настоящего Кодекса.
При этом при исчислении корпоративного или индивидуального подоходного налога, за исключением налогов, удерживаемых у источника выплаты, объект налогообложения для налогоплательщика, применяющего специальный налоговый режим розничного налога, подлежит уменьшению на сумму расходов такого налогоплательщика-работодателя по доходам его работников.
Сноска. Статья 696-3 в соответствии с Законом РК от 12.12.2023 № 45-VIII (вводится в действие по истечении шестидесяти календарных дней после дня его первого официального опубликования).
Статья 696-4. Налоговый период, сроки представления декларации и уплаты налогов
1. Налоговым периодом для применения специального налогового режима розничного налога является календарный квартал.
2. Декларации для налогоплательщиков, применяющих специальный налоговый режим розничного налога, представляются в налоговый орган по месту нахождения налогоплательщика не позднее 15 числа второго месяца, следующего за отчетным налоговым периодом.
3. Уплата в бюджет налогов, указанных в декларации для налогоплательщиков, применяющих специальный налоговый режим розничного налога, производится не позднее 25 числа второго месяца, следующего за отчетным налоговым периодом.
Глава 78. СПЕЦИАЛЬНЫЕ НАЛОГОВЫЕ РЕЖИМЫ ДЛЯ ПРОИЗВОДИТЕЛЕЙ СЕЛЬСКОХОЗЯЙСТВЕННОЙ ПРОДУКЦИИ
Статья 697. Особенности налогообложения производителей сельскохозяйственной продукции
1. Для целей настоящей главы производителями сельскохозяйственной продукции признаются юридические лица, крестьянские или фермерские хозяйства, осуществляющие деятельность по производству и реализации следующей сельскохозяйственной продукции (далее для целей настоящей главы – сельскохозяйственная продукция):
1) продукции растениеводства;
2) продукции животноводства;
3) продукции птицеводства;
4) продукции пчеловодства.
Для целей настоящей главы к сельскохозяйственной продукции также относится продукция аквакультуры (рыбоводства).
2. Настоящим Кодексом предусмотрены следующие специальные налоговые режимы для производителей сельскохозяйственной продукции:
1) для производителей сельскохозяйственной продукции и сельскохозяйственных кооперативов;
2) для крестьянских или фермерских хозяйств.
3. Производители сельскохозяйственной продукции, сельскохозяйственные кооперативы по деятельности, на которую распространяется действие таких налоговых режимов, и при соответствии условиям их применения, установленным настоящим Кодексом, вправе самостоятельно выбрать один из следующих режимов налогообложения:
1) специальный налоговый режим для производителей сельскохозяйственной продукции и сельскохозяйственных кооперативов (далее в целях настоящей статьи и статей 698, 699 и 700 настоящего Кодекса – специальный налоговый режим);
2) специальный налоговый режим для субъектов малого бизнеса на основе упрощенной декларации или с использованием фиксированного вычета;
3) общеустановленный порядок.
4. Крестьянские или фермерские хозяйства при осуществлении видов деятельности, указанных в пункте 3 статьи 702 настоящего Кодекса, вправе выбрать один из налоговых режимов, указанных в пункте 3 настоящей статьи, или специальный налоговый режим для крестьянских или фермерских хозяйств – при соответствии другим условиям его применения, установленным статьей 702 настоящего Кодекса.
5. При выборе специального налогового режима, указанного в подпункте 1) или 2) пункта 3 настоящей статьи, такой налоговый режим применяется налогоплательщиками при соответствии условиям его применения, сроком не менее одного календарного года, за исключением случаев, установленных пунктами 5 и 7 статьи 679 настоящего Кодекса.
6. Налогоплательщики, применяющие специальные налоговые режимы для производителей сельскохозяйственной продукции, обязаны вести раздельный учет доходов и расходов, имущества в случае осуществления ими видов деятельности, на которые не распространяется действие таких налоговых режимов, а также производить исчисление и уплату соответствующих налогов и платежей в бюджет по указанным видам деятельности в общеустановленном порядке, если иное не установлено пунктом 4 статьи 703 настоящего Кодекса.
При этом раздельный учет, предусмотренный настоящим пунктом, налогоплательщики должны осуществлять в соответствии с положениями утвержденной ими налоговой учетной политики.
7. Не вправе применять специальные налоговые режимы для производителей сельскохозяйственной продукции иностранные юридические лица, иностранцы и лица без гражданства.
Параграф 1. Специальный налоговый режим для производителей сельскохозяйственной продукции и сельскохозяйственных кооперативов
Статья 698. Общие положения
1. Специальный налоговый режим предусматривает особый порядок исчисления корпоративного подоходного налога или индивидуального подоходного налога, за исключением налогов, удерживаемых у источника выплаты, социального налога, налога на имущество, налога на транспортные средства.
2. Специальный налоговый режим распространяется на:
1) деятельность производителей сельскохозяйственной продукции по производству сельскохозяйственной продукции (за исключением подакцизной), переработке и реализации указанной продукции собственного производства;
2) деятельность сельскохозяйственных кооперативов по:
производству сельскохозяйственной продукции, за исключением подакцизной продукции, и ее реализации;
заготовке, хранению и реализации сельскохозяйственной продукции, произведенной членами такого кооператива;
переработке сельскохозяйственной продукции (за исключением подакцизной) собственного производства и (или) произведенной членами такого кооператива, а также реализации продукции, полученной в результате такой переработки;
выполнению (оказанию) для членов такого кооператива (в целях осуществления ими видов деятельности, указанных в подпункте 1) настоящего пункта) работ (услуг), включая вспомогательные, по перечню, определенному уполномоченным органом в области развития агропромышленного комплекса по согласованию с центральным уполномоченным органом по государственному и бюджетному планированию;
реализации членам такого кооператива (в целях осуществления ими видов деятельности, указанных в подпункте 1) настоящего пункта) товаров по перечню, определенному уполномоченным органом в области развития агропромышленного комплекса по согласованию с центральным уполномоченным органом по государственному и бюджетному планированию.
Сельскохозяйственные кооперативы обязаны отражать реализацию товаров, предусмотренных настоящим подпунктом, а также предоставление таких товаров в пользование, доверительное управление, аренду в налоговом регистре, форма которого устанавливается уполномоченным органом.
3. Право применения специального налогового режима предоставляется налогоплательщикам при наличии земельных участков на правах частной собственности и (или) землепользования (включая право вторичного землепользования).
Требование части первой настоящего пункта не распространяется на сельскохозяйственные кооперативы и налогоплательщиков, осуществляющих деятельность по производству продукции пчеловодства, а также переработке и реализации указанной продукции собственного производства.
Статья 699. Налоговый период
Налоговым периодом для применения специального налогового режима является календарный год.
Статья 700. Особенность исчисления отдельных видов налогов
1. Производители сельскохозяйственной продукции, сельскохозяйственные кооперативы, применяющие специальный налоговый режим, вправе уменьшить на 70 процентов суммы следующих налогов, подлежащих уплате в бюджет:
1) суммы корпоративного подоходного налога или индивидуального подоходного налога (кроме налогов, удерживаемых у источника выплаты) – по доходам от осуществления деятельности, указанной в пункте 2 статьи 698 настоящего Кодекса;
2) сумму социального налога – по объектам налогообложения, связанным с осуществлением деятельности, указанной в пункте 2 статьи 698 настоящего Кодекса;
3) суммы налога на имущество, налога на транспортные средства – по объектам налогообложения, используемым при осуществлении деятельности, указанной в пункте 2 статьи 698 настоящего Кодекса.
2. Уменьшение суммы корпоративного подоходного налога, предусмотренное настоящей статьей, применяется также:
1) при исчислении сумм авансовых платежей по корпоративному подоходному налогу, определяемых в соответствии со статьей 305 настоящего Кодекса;
2) к доходам, полученным в виде бюджетных субсидий, предоставленных юридическим лицам-производителям сельскохозяйственной продукции, по направлениям, указанным в пункте 2 статьи 313 настоящего Кодекса.
3. Исчисление налогов, указанных в пункте 1 настоящей статьи, производители сельскохозяйственной продукции, применяющие данный специальный налоговый режим, производят в общеустановленном порядке.
Исчисление, уплата сумм индивидуального подоходного налога, удерживаемого у источника выплаты, и перечисление социальных платежей, за исключением сумм, включенных в единый платеж, производятся налогоплательщиком, применяющим данный специальный налоговый режим, в общеустановленном порядке.
Исчисление, уплата суммы единого платежа производятся в порядке, предусмотренном главой 89-1 настоящего Кодекса.
Сноска. Статья 700 с изменениями, внесенными Законом РК от 21.12.2022 № 165-VII (вводится в действие с 01.01.2023).
Статья 701. Сроки уплаты налогов и представления налоговой отчетности
Уплата в бюджет налогов, указанных в пункте 1 статьи 700 настоящего Кодекса, и представление налоговой отчетности по ним производятся в общеустановленном порядке.
Параграф 2. Специальный налоговый режим для крестьянских или фермерских хозяйств
Статья 702. Общие положения
1. Специальный налоговый режим для крестьянских или фермерских хозяйств вправе применять крестьянские или фермерские хозяйства, не являющиеся плательщиками налога на добавленную стоимость, указанными в подпункте 1) пункта 1 статьи 367 настоящего Кодекса, при наличии на территории Республики Казахстан земельных участков на правах частной собственности и (или) землепользования (включая право вторичного землепользования).
2. В целях применения специального налогового режима для крестьянских или фермерских хозяйств совокупная площадь земельных участков сельскохозяйственного назначения на правах частной собственности и (или) землепользования (включая право вторичного землепользования) не должна превышать размер предельной площади земельного участка, установленный для:
1 территориальной зоны – 5 000 га;
2 территориальной зоны – 3 500 га;
3 территориальной зоны – 1 500 га;
4 территориальной зоны – 500 га.
Для целей настоящего пункта применяется следующее зонирование земельных участков:
1 территориальная зона: пастбища, расположенные на землях пустынных, полупустынных и предгорно-пустынно-степных почвенно-климатических зон Алматинской, Актюбинской, Атырауской, Жамбылской, Кызылординской, Мангистауской, Туркестанской областей и области Жетісу, городов Алматы и Шымкента;
2 территориальная зона: земли Акмолинской, Восточно-Казахстанской, Западно-Казахстанской, Карагандинской, Костанайской, Павлодарской, Северо-Казахстанской областей, областей Ұлытау, Абай, города Астаны, а также Актюбинской области, за исключением земель 1 территориальной зоны;
3 территориальная зона: земли, включая орошаемые, Атырауской, Мангистауской областей, за исключением земель 1 территориальной зоны;
4 территориальная зона: земли, включая орошаемые, Алматинской, Жамбылской, Кызылординской, Туркестанской областей, области Жетісу, городов Алматы и Шымкента, за исключением земель 1 территориальной зоны.
В случае наличия у крестьянского или фермерского хозяйства земельных участков сельскохозяйственного назначения, находящихся в разных территориальных зонах, для целей настоящего пункта совокупная площадь таких участков не должна превышать наибольшую предельную площадь земельного участка, установленную для таких территориальных зон.
При этом площадь земельных участков сельскохозяйственного назначения, находящихся в каждой территориальной зоне, не должна превышать размеры предельной площади земельного участка, установленной для таких территориальных зон.
3. Специальный налоговый режим для крестьянских или фермерских хозяйств предусматривает особый порядок расчетов с бюджетом на основе уплаты единого земельного налога и распространяется на деятельность крестьянских или фермерских хозяйств по производству сельскохозяйственной продукции и ее реализации, переработке сельскохозяйственной продукции собственного производства, реализации продуктов такой переработки, за исключением деятельности по производству, переработке и реализации подакцизных товаров.
4. Налоговым периодом для применения специального налогового режима является календарный год.
Сноска. Статья 702 с изменениями, внесенными законами РК от 28.12.2018 № 210-VI (вводится в действие с 01.01.2019); от 27.12.2019 № 291-VІ (вводится в действие по истечении десяти календарных дней после дня его первого официального опубликования); от 10.12.2020 № 382-VI (вводится в действие с 01.01.2021); от 21.12.2022 № 165-VII (вводится в действие с 01.01.2023); от 20.03.2023 № 213-VII (вводится в действие с 01.01.2023).
Статья 703.Объект обложения
1. Объектом налогообложения для налогоплательщика, применяющего специальный налоговый режим для крестьянских или фермерских хозяйств, является полученный за налоговый период доход от реализации сельскохозяйственной продукции, продуктов переработки сельскохозяйственной продукции собственного производства, за исключением деятельности по производству, переработке и реализации подакцизных товаров.
2. Доход, определяемый для целей пункта 1 настоящей статьи, состоит из доходов, полученных (подлежащих получению) в Республике Казахстан и за ее пределами (с учетом корректировок, производимых в соответствии с пунктом 6 настоящей статьи).
3. Доход, определяемый для целей пункта 1 настоящей статьи, включает:
1) доход от списания обязательств;
2) доход в виде безвозмездно полученного имущества (кроме благотворительной помощи), предназначенного для использования в деятельности, указанной в пункте 1 настоящей статьи.
Размер доходов, указанных в пункте 2 настоящей статьи, при применении специального налогового режима для крестьянских или фермерских хозяйств определяется в соответствии со статьями 226 – 240 настоящего Кодекса и пунктами 5, 6 и 7 настоящей статьи.
4. При получении доходов от видов деятельности, на которые в соответствии с пунктом 3 статьи 702 настоящего Кодекса не распространяется действие специального налогового режима для крестьянских или фермерских хозяйств, налогоплательщики производят исчисление, уплату соответствующих налогов и представление налоговой отчетности по ним в одном из следующих режимов налогообложения при соответствии условиям их применения, установленным настоящим Кодексом:
1) в специальных налоговых режимах для субъектов малого бизнеса – при соответствии условиям применения таких режимов налогообложения, установленным настоящим Кодексом.
При этом в размер доходов для целей применения ограничения по размеру предельного дохода для таких режимов не включаются доходы от осуществления видов деятельности, на которые распространяется действие специального налогового режима для крестьянских или фермерских хозяйств;
2) в общеустановленном порядке.
5. В целях налогообложения в качестве дохода налогоплательщика, применяющего специальный налоговый режим для крестьянских или фермерских хозяйств, не рассматриваются:
1) стоимость безвозмездно переданного имущества – для налогоплательщика, передающего такое имущество;
2) реализация активов, выкупаемых для государственных нужд в соответствии с законами Республики Казахстан.
6. Для целей настоящей главы корректировкой признается увеличение размера дохода отчетного налогового периода или уменьшение размера дохода отчетного налогового периода в пределах суммы ранее признанного дохода.
Доходы, указанные в пункте 2 настоящей статьи, подлежат корректировке в случаях:
1) полного или частичного возврата товаров;
2) изменения условий сделки;
3) изменения цены, компенсации за реализованные или приобретенные товары, выполненные работы, оказанные услуги;
4) скидки с цены, скидки с продаж;
5) изменения суммы, подлежащей оплате в национальной валюте за реализованные или приобретенные товары, выполненные работы, оказанные услуги исходя из условий договора;
6) списания требования с юридического лица, индивидуального предпринимателя, юридического лица-нерезидента, осуществляющего деятельность в Республике Казахстан через постоянное учреждение, по требованиям, относящимся к деятельности такого постоянного учреждения, а также с филиала, представительства юридического лица-нерезидента, осуществляющего деятельность в Республике Казахстан через филиал, представительство, которая не привела к образованию постоянного учреждения.
Корректировка дохода, предусмотренная настоящим подпунктом, осуществляется в сторону уменьшения в случаях:
невостребования налогоплательщиком-кредитором требования при ликвидации налогоплательщика-дебитора на день утверждения его ликвидационного баланса;
списания налогоплательщиком требования по вступившему в законную силу решению суда.
Корректировка, предусмотренная абзацем третьим части второй настоящего подпункта, производится в пределах суммы списанного требования и ранее признанного дохода по такому требованию при наличии первичных документов, подтверждающих возникновение требования.
Корректировка, предусмотренная подпунктами 1) – 5) части второй настоящего пункта, производится при наличии первичных документов, подтверждающих наступление случаев для осуществления такой корректировки.
Корректировка доходов производится в том налоговом периоде, в котором наступили случаи, указанные в настоящей статье.
В случае отсутствия дохода или недостаточности его размера для осуществления корректировки в сторону уменьшения в том периоде, в котором наступили случаи, указанные в настоящей статье, корректировка производится в том налоговом периоде, в котором ранее был признан подлежащий корректировке доход.
7. В случае, если одни и те же доходы могут быть отражены в нескольких статьях доходов, указанные доходы включаются в доход один раз.
Дата признания дохода для целей налогообложения определяется в соответствии с положениями настоящей главы.
Статья 704. Порядок исчисления единого земельного налога
Исчисление единого земельного налога производится налогоплательщиком самостоятельно путем применения к объекту налогообложения за отчетный налоговый период ставки в размере 0,5 процента.
Статья 705. Особенности применения специального налогового режима
1. Плательщики единого земельного налога не являются плательщиками следующих видов налогов и платежей в бюджет:
1) индивидуального подоходного налога с доходов от деятельности крестьянского или фермерского хозяйства, в том числе доходов в виде сумм, полученных из средств государственного бюджета на покрытие затрат (расходов), связанных с деятельностью, на которую распространяется данный специальный налоговый режим;
2) земельного налога и (или) платы за пользование земельными участками – по земельным участкам, используемым в деятельности, на которую распространяется данный специальный налоговый режим, за исключением земельных участков, используемых с нарушением законодательства Республики Казахстан;
3) налога на транспортные средства – по объектам налогообложения, указанным в подпунктах 1) и 2) пункта 3 статьи 490 настоящего Кодекса;
4) налога на имущество – по объектам налогообложения, указанным в подпункте 1) пункта 3 статьи 517 настоящего Кодекса;
5) социального налога – по деятельности крестьянского или фермерского хозяйства, на которую распространяется данный специальный налоговый режим;
6) платы за негативное воздействие на окружающую среду – по деятельности крестьянского или фермерского хозяйства, на которую распространяется данный специальный налоговый режим.
2. Исчисление, уплата налогов и платежей в бюджет, не указанных в пункте 1 настоящей статьи, представление налоговой отчетности по таким налогам и платежам в бюджет, а также уплата (перечисление) социальных платежей производятся в общеустановленном порядке либо в порядке, предусмотренном главой 89-1 настоящего Кодекса.
Сноска. Статья 705 с изменениями, внесенными законами РК от 02.01.2021 № 402-VI (вводится в действие с 01.01.2022); от 21.12.2022 № 165-VII (вводится в действие с 01.01.2023).
Статья 706. Сроки уплаты отдельных видов налогов и платежей в бюджет
1. Уплата единого земельного налога, платы за пользование водными ресурсами поверхностных источников производятся в следующем порядке:
1) суммы, исчисленные с 1 января до 1 октября налогового периода, – в срок не позднее 10 ноября текущего налогового периода;
2) суммы, исчисленные с 1 октября по 31 декабря налогового периода, – в срок не позднее 10 апреля налогового периода, следующего за отчетным налоговым периодом.
2. Уплата единого земельного налога производится в бюджет по месту нахождения земельного участка.
Статья 707. Сроки представления налоговой декларации для плательщиков единого земельного налога
1. В декларации для плательщиков единого земельного налога отражаются исчисленные суммы единого земельного налога, индивидуального подоходного налога, удерживаемого у источника выплаты, платы за пользование водными ресурсами поверхностных источников, социальных платежей и (или) единого платежа.
2. Декларация для плательщиков единого земельного налога представляется не позднее 31 марта налогового периода, следующего за отчетным налоговым периодом, в налоговые органы по месту нахождения земельного участка.
Сноска. Статья 707 с изменением, внесенным Законом РК от 21.12.2022 № 165-VII (вводится в действие с 01.01.2023).
РАЗДЕЛ 21. Налогообложение лиц, осуществляющих деятельность на территориях специальных экономических зон, управляющих компаний экономических и индустриальных зон, организаций, реализующих инвестиционные приоритетные проекты, лиц, заключивших соглашение об инвестициях, соглашение об инвестиционных обязательствах
Сноска. Заголовок раздела 21 — в редакции Закона РК от 20.12.2021 № 85-VII (вводится в действие с 01.01.2022).
Глава 79. НАЛОГООБЛОЖЕНИЕ ЛИЦ, ОСУЩЕСТВЛЯЮЩИХ ДЕЯТЕЛЬНОСТЬ НА ТЕРРИТОРИЯХ СПЕЦИАЛЬНЫХ ЭКОНОМИЧЕСКИХ ЗОН, УПРАВЛЯЮЩИХ КОМПАНИЙ СПЕЦИАЛЬНЫХ ЭКОНОМИЧЕСКИХ И ИНДУСТРИАЛЬНЫХ ЗОН
Сноска. Заголовок главы 79 с изменением, внесенным Законом РК от 03.04.2019 № 243-VI (вводится в действие по истечении десяти календарных дней после дня его первого официального опубликования).
Статья 708. Общие положения
1. Для целей применения настоящего Кодекса организацией, осуществляющей деятельность на территории специальной экономической зоны, является юридическое лицо, соответствующее одновременно следующим условиям:
1) является участником специальной экономической зоны в соответствии с законодательством Республики Казахстан о специальных экономических и индустриальных зонах;
2) зарегистрировано в качестве налогоплательщика по месту нахождения в налоговом органе на территории специальной экономической зоны или в территориальном подразделении налогового органа, к компетенции которого относится территория специальной экономической зоны;
3) при наличии на территории специальной экономической зоны необходимой инфраструктуры и объектов, предназначенных для осуществления приоритетных видов деятельности, юридическое лицо не вправе иметь за пределами территории специальной экономической зоны филиалы и иные обособленные структурные подразделения, за исключением представительств;
4) осуществляет на территории специальной экономической зоны приоритетный вид деятельности, соответствующий целям создания специальной экономической зоны.
Определение приоритетных видов деятельности осуществляется в соответствии с общим классификатором видов экономической деятельности, утвержденным уполномоченным государственным органом, осуществляющим государственное регулирование в области технического регулирования.
Положения настоящего пункта не распространяются на лиц, указанных в пунктах 2 и 3 настоящей статьи.
2. Для целей применения настоящего Кодекса организацией, осуществляющей деятельность на территории специальной экономической зоны, также признается юридическое лицо, соответствующее одновременно следующим условиям:
1) является участником специальной экономической зоны «Парк инновационных технологий» в соответствии с законодательством Республики Казахстан о специальных экономических и индустриальных зонах;
2) зарегистрировано в качестве налогоплательщика по месту нахождения;
3) не имеет филиалов и иных обособленных структурных подразделений, за исключением представительств;
4) осуществляет приоритетный вид деятельности, соответствующий целям создания специальной экономической зоны «Парк инновационных технологий».
3. Для целей применения настоящего Кодекса организацией или индивидуальным предпринимателем, осуществляющими деятельность на территории специальной экономической зоны, признается лицо, соответствующее одновременно следующим условиям:
1) является участником специальной экономической зоны, пределы которой полностью или частично совпадают с участками таможенной границы Евразийского экономического союза, в соответствии с законодательством Республики Казахстан о специальных экономических и индустриальных зонах;
2) зарегистрировано в качестве налогоплательщика по месту нахождения в налоговом органе на территории специальной экономической зоны, пределы которой полностью или частично совпадают с участками таможенной границы Евразийского экономического союза, или в территориальном подразделении налогового органа, к компетенции которого относится территория специальной экономической зоны, пределы которой полностью или частично совпадают с участками таможенной границы Евразийского экономического союза;
3) не имеет филиалов и иных обособленных структурных подразделений, за исключением представительств;
4) осуществляет на территории специальной экономической зоны приоритетный вид деятельности, соответствующий целям создания специальной экономической зоны, пределы которой полностью или частично совпадают с участками таможенной границы Евразийского экономического союза.
4. К организациям и индивидуальным предпринимателям, осуществляющим деятельность на территориях специальных экономических зон, не относятся:
1) недропользователи;
2) организации, производящие подакцизные товары, за исключением организаций, осуществляющих производство, сборку (комплектацию) подакцизных товаров, предусмотренных подпунктом 6) статьи 462 настоящего Кодекса;
3) организации и индивидуальные предприниматели, применяющие специальные налоговые режимы;
4) организации, применяющие инвестиционные налоговые преференции, – по незавершенным контрактам, заключенным с уполномоченным государственным органом по инвестициям до 1 января 2009 года;
5) организации, реализующие (реализовавшие) инвестиционный приоритетный проект или инвестиционный стратегический проект в соответствии с законодательством Республики Казахстан об инвестициях;
6) организации, осуществляющие деятельность в сфере игорного бизнеса.
При этом в отношении специальной экономической зоны, пределы которой полностью или частично совпадают с участками таможенной границы Евразийского экономического союза, к заявителям также не относятся иностранные физические и юридические лица.
В случае заключения с организацией, осуществляющей деятельность на территории специальной экономической зоны, соглашения об инвестициях в соответствии с Предпринимательским кодексом Республики Казахстан такой налогоплательщик признается в целях применения положений настоящего Кодекса лицом, заключившим соглашение об инвестициях, и применяет положения главы 80-1 настоящего Кодекса.
5. Обложение налогом на добавленную стоимость товаров, реализуемых на территорию специальной экономической зоны, а также порядок возврата превышения налога на добавленную стоимость по оборотам, облагаемым по нулевой ставке, производятся в порядке, определенном настоящим Кодексом, с учетом особенностей, предусмотренных настоящим разделом и статьями 389 и 391 настоящего Кодекса.
6. В случае внесения изменений и дополнений в налоговое законодательство Республики Казахстан после даты заключения договора об осуществлении деятельности в качестве участника специальной экономической зоны такая организация или индивидуальный предприниматель применяют положения настоящей главы, действовавшие на дату заключения такого договора, если такие изменения и дополнения предусматривают исключение и (или) изменение размеров уменьшения, применяемых при исчислении корпоративного подоходного налога, индивидуального подоходного налога, земельного налога, налога на имущество и платы за пользование земельными участками.
Положения части первой настоящего пункта применяются в течение срока действия договора об осуществлении деятельности в качестве участника специальной экономической зоны, заключенного в соответствии с законодательством Республики Казахстан о специальных экономических и индустриальных зонах, но не более десяти лет со дня вступления в действие первого такого изменения и (или) дополнения.
Положения части первой настоящего пункта не применяются в случае расторжения органом управления специальной экономической зоны договора об осуществлении деятельности в качестве участника специальной экономической зоны в одностороннем порядке в соответствии с законодательством Республики Казахстан о специальных экономических и индустриальных зонах.
Сноска. Статья 708 с изменениями, внесенными законами РК от 03.04.2019 № 243-VI (вводится в действие по истечении десяти календарных дней после дня его первого официального опубликования); от 10.12.2020 № 382-VI (вводится в действие с 01.01.2021); от 21.12.2022 № 165-VII (вводится в действие с 01.01.2023); от 12.12.2023 № 45-VIII (вводится в действие с 01.01.2024).
Статья 709. Налогообложение организаций и индивидуальных предпринимателей, осуществляющих деятельность на территории специальной экономической зоны, и управляющих компаний специальных экономических и индустриальных зон
Сноска. Заголовок статьи 709 с изменением, внесенным Законом РК от 03.04.2019 № 243-VI (вводится в действие по истечении десяти календарных дней после дня его первого официального опубликования).
1. Организация или индивидуальный предприниматель, осуществляющие деятельность на территории специальной экономической зоны, при определении суммы земельного налога, налога на имущество и платы за пользование земельными участками, подлежащей уплате в бюджет, по объектам налогообложения (объектам обложения), расположенным на территории специальной экономической зоны и используемым при осуществлении приоритетных видов деятельности, уменьшают суммы исчисленного налога и (или) платы на 100 процентов.
В целях настоящей главы уменьшение, предусмотренное частью первой настоящего пункта, является преференцией по налогам и плате.
Преференции по налогам и плате применяются:
по земельному налогу – с 1 числа месяца, в котором заключен договор об осуществлении деятельности в качестве участника специальной экономической зоны;
по налогу на имущество – с даты возникновения объекта налогообложения, но не ранее даты заключения договора об осуществлении деятельности в качестве участника специальной экономической зоны;
по плате за пользование земельными участками – с первого числа месяца, в котором заключен договор об осуществлении деятельности в качестве участника специальной экономической зоны, до окончания срока действия договора временного возмездного землепользования (аренды), но не более срока действия специальной экономической зоны.
2. В случае использования объектов налогообложения (объекта обложения), расположенных на территории специальной экономической зоны, как при осуществлении приоритетных видов деятельности, так и при осуществлении иных видов деятельности сумма налога или платы, к которым применяются положения части первой пункта 1 настоящей статьи, определяется пропорционально удельному весу доходов от приоритетных видов деятельности к совокупному годовому доходу.
3. В случае расторжения управляющей компанией специальной экономической зоны договора об осуществлении деятельности в качестве участника специальной экономической зоны в соответствии с законодательством Республики Казахстан о специальных экономических и индустриальных зонах преференции по налогам и плате аннулируются с даты начала налогового периода, в котором допущено нарушение, являющееся причиной для расторжения договора.
Управляющая компания специальной экономической зоны в срок не позднее тридцати календарных дней с даты расторжения договора представляет сведения об участниках специальной экономической зоны, с которыми расторгнуты договора, с указанием даты нарушения, являвшегося причиной для расторжения договора, в налоговые органы по месту нахождения таких участников.
При этом налогоплательщик обязан не позднее тридцати календарных дней с даты расторжения договора представить дополнительную налоговую отчетность за налоговый период, в котором допущено нарушение, являвшееся причиной для расторжения договора.
4. Организация, осуществляющая деятельность на территории специальной экономической зоны, при определении суммы корпоративного подоходного налога, подлежащей уплате в бюджет, уменьшает сумму исчисленного в соответствии со статьей 302 настоящего Кодекса корпоративного подоходного налога на 100 процентов по доходам, полученным от реализации товаров, работ, услуг, являющихся результатом осуществления приоритетных видов деятельности, если иное не предусмотрено настоящим пунктом.
При этом положение части первой настоящего пункта не применяется по доходам от реализации следующих объектов строительства, за исключением случаев, когда такая реализация входит в перечень приоритетных видов деятельности на территории специальной экономической зоны, пределы которой полностью или частично совпадают с участками таможенной границы Евразийского экономического союза:
больниц, поликлиник, школ, детских садов, музеев, театров, высших и средних учебных заведений, библиотек, дворцов школьников, спортивных комплексов в соответствии с проектно-сметной документацией;
инфраструктуры, административного и жилого комплексов в соответствии с проектно-сметной документацией.
Порядок определения дохода от объектов интеллектуальной собственности и оказания услуг в сфере информатизации, к которому применяется уменьшение суммы исчисленного корпоративного подоходного налога на 100 процентов, определяется уполномоченным органом по согласованию с уполномоченным органом в сфере информатизации.
5. Индивидуальный предприниматель, осуществляющий деятельность на территории специальной экономической зоны, пределы которой полностью или частично совпадают с участками таможенной границы Евразийского экономического союза, при определении суммы индивидуального подоходного налога, подлежащей уплате в бюджет, уменьшает сумму исчисленного индивидуального подоходного налога на 100 процентов. Положение настоящего пункта распространяется на индивидуальных предпринимателей, осуществляющих деятельность в общеустановленном порядке.
6. Организация или индивидуальный предприниматель, осуществляющие деятельность на территории специальной экономической зоны, ведут раздельный налоговый учет объектов налогообложения и (или) объектов, связанных с налогообложением, в целях исчисления налоговых обязательств по соответствующему приоритетному виду деятельности и иным видам деятельности.
7. Доходы организации или индивидуального предпринимателя, осуществляющих деятельность на территории специальной экономической зоны, от осуществления иных видов деятельности, не относящихся к приоритетным, подлежат обложению корпоративным подоходным налогом или индивидуальным подоходным налогом в общеустановленном порядке.
8. Организация, осуществляющая деятельность на территории специальной экономической зоны, не вправе применять другие положения настоящего Кодекса, предусматривающие уменьшение корпоративного подоходного налога, исчисленного в соответствии со статьей 302 настоящего Кодекса, на 100 процентов.
9. Организация, осуществляющая деятельность на территории специальной экономической зоны «Парк инновационных технологий», уменьшает на 100 процентов сумму исчисленного социального налога, подлежащую уплате в бюджет по расходам работодателя, выплачиваемым в виде доходов работникам, занятым в осуществлении приоритетных видов деятельности, при условии, что такие расходы за налоговый период составляют не менее 70 процентов от общей суммы расходов такой организации по бухгалтерскому учету. Расходы, указанные в настоящем пункте, определяются в соответствии с законодательством Республики Казахстан о бухгалтерском учете и финансовой отчетности.
Срок применения настоящего пункта начинается с 1 числа месяца, в котором юридическое лицо заключило договор об осуществлении деятельности в качестве участника специальной экономической зоны в соответствии с законодательством Республики Казахстан о специальных экономических и индустриальных зонах.
10. Управляющие компании специальных экономических и индустриальных зон при определении суммы земельного налога, налога на имущество и платы за пользование земельными участками, подлежащей уплате в бюджет, по объектам налогообложения (объектам обложения), используемым (планируемым к использованию) для обслуживания специальных экономических и индустриальных зон, уменьшают суммы исчисленного налога и платы на 100 процентов.
11. Срок применения уменьшений сумм налогов и (или) платы на 100 процентов, предусмотренных пунктами 1, 4, 5 и 9 настоящей статьи, осуществляется в зависимости от категорий, установленных законодательством Республики Казахстан о специальных экономических и индустриальных зонах, но не более срока действия договора об осуществлении деятельности и срока функционирования специальной экономической зоны:
категории А – в течение 7 лет;
категории В – в течение 15 лет;
категории С – в течение 25 лет.
Положения части первой настоящего пункта применяются организацией и индивидуальным предпринимателем, осуществляющим деятельность на территории специальной экономической зоны, при заключении договора об осуществлении деятельности после 1 января 2024 года в соответствии с законодательством Республики Казахстан о специальных экономических и индустриальных зонах.
Сноска. Статья 709 с изменениями, внесенными законами РК от 03.04.2019 № 243-VI (вводится в действие по истечении десяти календарных дней после дня его первого официального опубликования); от 20.12.2021 № 85-VII (вводятся в действие 01.01.2023); от 12.12.2023 № 45-VIII (вводится в действие с 01.01.2024).
Статья 710. Налоговый период и налоговая отчетность
Налоговый период, порядок и сроки представления налоговой отчетности по налогам и платежам в бюджет определяются в соответствии с настоящим Кодексом.
Глава 80. НАЛОГООБЛОЖЕНИЕ ОРГАНИЗАЦИЙ, РЕАЛИЗУЮЩИХ ИНВЕСТИЦИОННЫЕ ПРИОРИТЕТНЫЕ ПРОЕКТЫ
Статья 711.Общие положения
1. Для целей настоящего Кодекса организацией, реализующей инвестиционный приоритетный проект, является юридическое лицо, соответствующее одновременно следующим условиям:
1) заключившее инвестиционный контракт в соответствии с Предпринимательским кодексом Республики Казахстан, предусматривающий реализацию инвестиционного приоритетного проекта и предоставление преференций по налогам;
2) осуществляет виды деятельности, соответствующие перечню приоритетных видов деятельности, определенных для реализации инвестиционного приоритетного проекта;
3) не применяет специальные налоговые режимы.
Перечень приоритетных видов деятельности для реализации инвестиционного приоритетного проекта определяется Правительством Республики Казахстан.
2. Если изменения и (или) дополнения налогового законодательства Республики Казахстан предусматривают увеличение коэффициентов и (или) ставок, применяемых при исчислении земельного налога и (или) налога на имущество, либо изменение размера уменьшения при исчислении корпоративного подоходного налога организация, заключившая инвестиционный контракт на реализацию инвестиционного приоритетного проекта, определяет налоговые обязательства по деятельности, связанной с реализацией инвестиционного приоритетного проекта, с применением коэффициентов и (или) по ставкам, а также применяет размер уменьшения при исчислении корпоративного подоходного налога, которые действовали на дату заключения данного инвестиционного контракта.
Положения части первой настоящего пункта применяются в срок, установленный пунктом 2 статьи 712 настоящего Кодекса.
3. В случае досрочного прекращения действия инвестиционного контракта на реализацию инвестиционного приоритетного проекта в соответствии с Предпринимательским кодексом Республики Казахстан, преференции по налогам и гарантия стабильности налогового законодательства Республики Казахстан аннулируются с даты его заключения.
При досрочном прекращении действия инвестиционного контракта налогоплательщик обязан не позднее тридцати календарных дней с даты расторжения инвестиционного контракта представить дополнительную налоговую отчетность, предусматривающую увеличение сумм налогов, подлежащих уплате в бюджет за налоговые периоды, начиная с даты заключения данного инвестиционного контракта по дату его расторжения включительно.
Статья 712. Налогообложение организаций, реализующих инвестиционные приоритетные проекты
1. Организация, реализующая инвестиционный приоритетный проект по созданию новых производств и (или) по расширению, обновлению действующих производств:
1) уменьшает корпоративный подоходный налог, исчисленный в соответствии со статьей 302 настоящего Кодекса, на 100 процентов по доходам, полученным от осуществления приоритетных видов деятельности посредством эксплуатации фиксированных активов, которые были введены как новые производства, расширены или обновлены в рамках инвестиционного приоритетного проекта.
Доходы организации, реализующей инвестиционный приоритетный проект, от осуществления иных видов деятельности, не относящихся к приоритетным, подлежат обложению корпоративным подоходным налогом в общеустановленном порядке.
Организация, реализующая инвестиционный приоритетный проект, ведет раздельный налоговый учет объектов налогообложения и (или) объектов, связанных с налогообложением, в целях исчисления налоговых обязательств.
В случае если положениями инвестиционного контракта на реализацию инвестиционного приоритетного проекта по расширению и (или) обновлению действующих производств предусматривается поэтапный ввод фиксированных активов, выпускающих продукцию, то раздельный налоговый учет ведется по каждому фиксированному активу, выпускающему продукцию, согласно налоговой учетной политике.
Организация, реализующая инвестиционный приоритетный проект, не вправе применять по такому проекту другие положения настоящего Кодекса, предусматривающие уменьшение корпоративного подоходного налога на 100 процентов;
2) определяет амортизационные отчисления по стоимостным балансам групп (подгрупп) фиксированных активов, введенных в эксплуатацию в рамках инвестиционного приоритетного проекта, путем применения норм амортизации, установленных пунктом 2 статьи 271 настоящего Кодекса, к таким стоимостным балансам групп (подгрупп) на конец налогового периода.
2. Предельный срок применения пункта 1 настоящей статьи по инвестиционным контрактам на реализацию инвестиционного приоритетного проекта:
1) по созданию новых производств:
начинается с 1 января года, в котором заключен инвестиционный контракт на реализацию инвестиционного приоритетного проекта;
заканчивается не позднее десяти последовательных лет, которые исчисляются начиная с 1 января года, следующего за годом, в котором заключен инвестиционный контракт на реализацию инвестиционного приоритетного проекта;
2) по расширению и (или) обновлению действующих производств, кроме случаев, указанных в подпункте 3) настоящего пункта:
начинается с 1 января года, следующего за годом, в котором произведен ввод в эксплуатацию последнего фиксированного актива, выпускающего продукцию, в рамках инвестиционного контракта на реализацию инвестиционного приоритетного проекта;
заканчивается не позднее трех последовательных лет, которые исчисляются начиная с 1 января года, следующего за годом, в котором произведен ввод последнего фиксированного актива, выпускающего продукцию, в рамках инвестиционного контракта на реализацию инвестиционного приоритетного проекта;
3) по расширению и (или) обновлению действующих производств при поэтапном вводе фиксированных активов, выпускающих продукцию, предусмотренном инвестиционным контрактом на реализацию инвестиционного приоритетного проекта:
начинается с 1 января года, следующего за годом, в котором произведен ввод в эксплуатацию фиксированного актива, выпускающего продукцию, в рамках инвестиционного контракта;
заканчивается не позднее трех последовательных лет, которые исчисляются начиная с 1 января года, следующего за годом, в котором произведен ввод фиксированного актива, выпускающего продукцию, введенного в эксплуатацию в рамках инвестиционного контракта.
Предельный срок применяется в отношении каждого фиксированного актива, выпускающего продукцию и предусмотренного в инвестиционном контракте на реализацию инвестиционного приоритетного проекта по расширению и (или) обновлению действующих производств.
3. Организация, реализующая инвестиционный приоритетный проект по созданию новых производств, при исчислении земельного налога по земельным участкам, используемым для реализации инвестиционного приоритетного проекта, к соответствующим ставкам земельного налога применяет коэффициент 0.
Предельный срок применения части первой настоящего пункта:
1) начинается с 1 числа месяца, в котором заключен инвестиционный контракт на реализацию инвестиционного приоритетного проекта по созданию новых производств;
2) заканчивается не позднее десяти последовательных лет, которые исчисляются начиная с 1 января года, следующего за годом, в котором заключен инвестиционный контракт на реализацию инвестиционного приоритетного проекта по созданию новых производств.
Положения части первой настоящего пункта не применяются в случаях сдачи в имущественный наем (аренду), в пользование на иных основаниях земельного участка, используемого для реализации инвестиционного приоритетного проекта, или его части (вместе с находящимися на нем зданиями, строениями, сооружениями либо без них).
4. Организация, реализующая инвестиционный приоритетный проект по созданию новых производств, по объектам, впервые введенным в эксплуатацию на территории Республики Казахстан, исчисляет налог на имущество по ставке 0 процента к налоговой базе.
Положения части первой настоящего пункта действуют в отношении активов, учитываемых в составе основных средств в соответствии с международными стандартами финансовой отчетности и (или) требованиями законодательства Республики Казахстан о бухгалтерском учете и финансовой отчетности и предусмотренных в рабочей программе, являющейся приложением к инвестиционному контракту, заключенному в соответствии с законодательством Республики Казахстан в сфере предпринимательства.
Предельный срок применения части первой настоящего пункта:
1) начинается с 1 числа месяца, в котором первый актив учтен в составе основных средств в соответствии с международными стандартами финансовой отчетности и (или) требованиями законодательства Республики Казахстан о бухгалтерском учете и финансовой отчетности;
2) заканчивается не позднее восьми последовательных лет, которые исчисляются, начиная с 1 января года, следующего за годом, в котором первый актив учтен в составе основных средств в соответствии с международными стандартами финансовой отчетности и (или) требованиями законодательства Республики Казахстан о бухгалтерском учете и финансовой отчетности.
Положения части первой настоящего пункта не применяются в случаях передачи объектов налогообложения в пользование, доверительное управление или аренду.
5. Положения настоящей статьи применяются в случае, если инвестиционным контрактом на реализацию инвестиционного приоритетного проекта по созданию новых производств предусмотрено применение:
уменьшения корпоративного подоходного налога, исчисленного в соответствии со статьей 302 настоящего Кодекса, на 100 процентов;
коэффициента 0 к ставкам земельного налога;
ставки 0 процента к налоговой базе при исчислении налога на имущество.
Сноска. Статья 712 с изменениями, внесенными законами РК от 10.12.2020 № 382-VI (вводится в действие с 01.01.2018); от 20.12.2021 № 85-VII (вводится в действие с 01.01.2022).
Глава 80-1. НАЛОГООБЛОЖЕНИЕ ЛИЦ, ЗАКЛЮЧИВШИХ СОГЛАШЕНИЕ ОБ ИНВЕСТИЦИЯХ
Сноска. Закон дополнен главой 80-1 в соответствии с Законом РК от 10.12.2020 № 382-VI (вводится в действие с 01.01.2021).
Статья 712-1. Общие положения
1. Для целей настоящего Кодекса лицом, заключившим соглашение об инвестициях, является юридическое лицо, соответствующее одновременно следующим условиям:
1) заключено в соответствии с Предпринимательским кодексом Республики Казахстан соглашение об инвестициях с государственным органом, уполномоченным Правительством Республики Казахстан на заключение такого соглашения, предусматривающее преференции по налогам;
2) реализует инвестиционный проект по виду деятельности, предусмотренному в соглашении об инвестициях;
3) не является лицом, осуществляющим:
деятельность, связанную с оборотом наркотических средств, психотропных веществ и прекурсоров;
производство и (или) оптовую реализацию подакцизной продукции;
проведение лотереи;
деятельность в сфере игорного бизнеса;
деятельность, связанную с оборотом радиоактивных материалов;
банковскую деятельность (либо отдельные виды банковских операций) и деятельность на страховом рынке (кроме деятельности страхового агента);
аудиторскую деятельность;
профессиональную деятельность на рынке ценных бумаг;
деятельность в сфере цифрового майнинга;
деятельность кредитных бюро;
охранную деятельность;
деятельность, связанную с оборотом гражданского и служебного оружия и патронов к нему;
деятельность в сфере недропользования, в том числе деятельность старателей;
реализацию полезных ископаемых, в том числе деятельность трейдеров, деятельность по реализации угля, нефти;
4) не применяет специальные налоговые режимы.
2. Если изменения и (или) дополнения налогового законодательства Республики Казахстан предусматривают увеличение коэффициентов и (или) ставок, применяемых при исчислении земельного налога и (или) налога на имущество, либо изменение размера уменьшения при исчислении корпоративного подоходного налога, лицо, заключившее соглашение об инвестициях, определяет налоговые обязательства по деятельности в рамках инвестиционного проекта с применением коэффициентов и (или) по ставкам, а также применяет размер уменьшения при исчислении корпоративного подоходного налога, которые действовали на дату заключения соглашения об инвестициях.
При внесении изменений и (или) дополнений в настоящий Кодекс, предусматривающих отмену освобождения импорта на территорию специальной экономической зоны или оборотов по реализации товаров, работ, услуг от налога на добавленную стоимость на территории специальной экономической зоны, такое освобождение применяется лицом, заключившим соглашение об инвестициях, до окончания срока соглашения об инвестициях.
3. При досрочном прекращении действия соглашения об инвестициях преференции по налогам и гарантия стабильности налогового законодательства Республики Казахстан аннулируются с даты его заключения.
В случае, указанном в части первой настоящего пункта, налогоплательщик обязан не позднее тридцати календарных дней с даты расторжения соглашения об инвестициях представить дополнительную налоговую отчетность за налоговые периоды, начиная с даты заключения данного соглашения до даты его расторжения включительно.
4. В случае осуществления деятельности лицом, заключившим соглашение об инвестициях, на территории специальной экономической зоны при упразднении специальной экономической зоны налогоплательщик применяет преференции по налогам до окончания срока соглашения об инвестициях.
Сноска. Статья 712-1 с изменениями, внесенными Законом РК от 21.12.2022 № 165-VII (вводится в действие с 01.01.2023).
Статья 712-2. Налогообложение лиц, заключивших соглашение об инвестициях
1. Соглашение об инвестициях при соблюдении условий, предусмотренных статьей 712-1 настоящего Кодекса, может предусматривать следующие преференции:
1) уменьшение корпоративного подоходного налога, исчисленного в соответствии со статьей 302 настоящего Кодекса, на 100 процентов по доходам от реализации инвестиционного проекта по видам деятельности, определенным соглашением об инвестициях, полученным посредством эксплуатации фиксированных активов, которые были введены как новые производства, расширены или обновлены в рамках соглашения об инвестициях;
2) применение коэффициента 0 при исчислении земельного налога по земельным участкам, используемым для реализации инвестиционного проекта;
3) применение ставки 0 процента к налоговой базе при исчислении налога на имущество по объектам, используемым для реализации инвестиционного проекта;
4) освобождение оборотов по реализации товаров, работ, услуг от налога на добавленную стоимость в соответствии с подпунктами 39), 43-1) и 47) статьи 394 настоящего Кодекса при осуществлении деятельности лицом, заключившим соглашение об инвестициях, на территории специальной экономической зоны;
5) уменьшение налоговых обязательств, рассчитанное от суммы фактических расходов налогоплательщика, в соответствии со статьей 712-3 настоящего Кодекса.
2. Предельный срок применения подпункта 1) пункта 1 настоящей статьи в рамках соглашения об инвестициях начинается с 1 января года, в котором заключено такое соглашение, и заканчивается не позднее десяти последовательных лет, которые исчисляются начиная с 1 января года, следующего за годом, в котором заключено соглашение.
3. Предельный срок применения подпункта 2) пункта 1 настоящей статьи в рамках соглашения об инвестициях начинается с 1 числа месяца, в котором заключено соглашение, и заканчивается не позднее десяти последовательных лет, которые исчисляются начиная с 1 января года, следующего за годом, в котором заключено такое соглашение.
4. Предельный срок применения подпункта 3) пункта 1 настоящей статьи в рамках соглашения об инвестициях начинается с 1 числа месяца, в котором первый актив учтен в составе основных средств в соответствии с международными стандартами финансовой отчетности и требованиями законодательства Республики Казахстан о бухгалтерском учете и финансовой отчетности, и (или) заканчивается не позднее восьми последовательных лет, которые исчисляются начиная с 1 января года, следующего за годом, в котором первый актив учтен в составе основных средств в соответствии с международными стандартами финансовой отчетности и (или) требованиями законодательства Республики Казахстан о бухгалтерском учете и финансовой отчетности.
5. Лицо, заключившее соглашение об инвестициях, не вправе применять другие положения настоящего Кодекса, предусматривающие уменьшение корпоративного подоходного налога, применение пониженных ставок и коэффициентов при исчислении налога на имущество и земельного налога.
6. Лицо, заключившее соглашение об инвестициях, ведет раздельный налоговый учет объектов налогообложения и (или) объектов, связанных с налогообложением, в целях исчисления налоговых обязательств.
Сноска. Статья 712-2 с изменениями, внесенными законами РК от 20.12.2021 № 85-VII (вводится в действие с 01.01.2022).
Статья 712-3. Порядок уменьшения налоговых обязательств от суммы фактических затрат налогоплательщика
1. Уменьшение налоговых обязательств лица, заключившего соглашение об инвестициях, на сумму фактических расходов по инвестиционному проекту производится, если в соглашении об инвестициях предусмотрено такое уменьшение.
Соглашение об инвестициях может предусматривать такое уменьшение налоговых обязательств только при осуществлении инвестиций в рамках инвестиционного проекта в сумме не менее пятнадцатимиллионнократного размера месячного расчетного показателя, установленного законом о республиканском бюджете и действовавшего на начало финансового года, в котором заключено такое соглашение.
Положения настоящего пункта не применяются к лицам, заключившим соглашение об инвестициях, при осуществлении ими деятельности на территории специальной экономической зоны.
2. Государственный уполномоченный орган при заключении с налогоплательщиком соглашения об инвестициях производит расчет преференций по налогам с учетом того, что действие преференций по корпоративному подоходному налогу, земельному налогу и налогу на имущество и уменьшения налоговых обязательств по указанным налогам не превысит сумму фактических расходов налогоплательщика в пределах осуществленных инвестиций.
3. Уменьшение налоговых обязательств налогоплательщика по корпоративному подоходному налогу, земельному налогу и налогу на имущество на сумму фактических расходов по инвестиционному проекту применяется после истечения десяти лет применения преференций по указанным налогам в пределах срока действия соглашения об инвестициях, не превышающего двадцати пяти лет. Уменьшение налоговых обязательств налогоплательщика производится в размере не более двадцати процентов от фактических расходов, осуществленных в период реализации инвестиционного проекта.
Срок, указанный в части первой настоящего пункта, применяется с учетом положений статьи 712-2 настоящего Кодекса.
Глава 80-2. Налогообложение лиц, заключивших соглашение об инвестиционных обязательствах
Сноска. Раздел 21 дополнен главой 80-2 в соответствии с Законом РК от 20.12.2021 № 85-VII (вводится в действие с 01.01.2022).
Статья 712-4. Общие положения
1. Для целей настоящего Кодекса лицом, заключившим соглашение об инвестиционных обязательствах, является юридическое лицо, соответствующее одновременно следующим условиям:
1) в соответствии с Предпринимательским кодексом Республики Казахстан заключено соглашение об инвестиционных обязательствах с Правительством Республики Казахстан;
2) является товаропроизводителем, за исключением недропользователей, добывающих углеводородные полезные ископаемые, и производителей нефтепродуктов. Под товаропроизводителем для целей настоящей главы понимается юридическое лицо, у которого не менее семидесяти процентов в совокупном годовом доходе за год, предшествовавший году подачи заявки на заключение соглашения об инвестиционных обязательствах, составляет доход от реализации товаров собственного производства либо от реализации добытых таким лицом полезных ископаемых и (или) продукции, полученной в результате переработки таким лицом полезных ископаемых;
3) является субъектом крупного или среднего предпринимательства в соответствии с Предпринимательским кодексом Республики Казахстан;
4) не осуществляет деятельность по производству подакцизных товаров;
5) не применяет специальные налоговые режимы.
2. При досрочном прекращении действия соглашения об инвестиционных обязательствах гарантия стабильности налогового законодательства Республики Казахстан, предусмотренная статьей 712-5 настоящего Кодекса, аннулируется с даты его заключения, за исключением случая, предусмотренного частью третьей настоящего пункта.
В случае, указанном в части первой настоящего пункта, налогоплательщик обязан не позднее тридцати календарных дней с даты расторжения соглашения об инвестиционных обязательствах представить дополнительную налоговую отчетность за налоговые периоды, начиная с даты заключения данного соглашения до даты его расторжения включительно.
В случае, если на момент прекращения действия соглашения об инвестиционных обязательствах профинансировано не менее девяноста процентов суммы, предусмотренной Предпринимательским кодексом Республики Казахстан для таких соглашений, гарантия стабильности налогового законодательства Республики Казахстан, предусмотренная статьей 712-5 настоящего Кодекса, аннулируется с 1 января года, в котором прекращено действие соглашения об инвестиционных обязательствах.
Сноска. Статья 712-4 с изменениями, внесенными Законом РК от 21.12.2022 № 165-VII (вводится в действие с 01.01.2023).
Статья 712-5. Налогообложение лиц, заключивших соглашение об инвестиционных обязательствах
1. Если иное не установлено пунктом 2 настоящей статьи, исчисление налогов и платежей в бюджет налогоплательщиками, заключившими соглашение об инвестиционных обязательствах в соответствии с Предпринимательским кодексом Республики Казахстан, осуществляется в соответствии с налоговым режимом, действующим на момент заключения указанного соглашения, в течение десяти лет начиная с 1 января года, в котором заключено такое соглашение (гарантия стабильности налогового законодательства Республики Казахстан).
2. Налогоплательщик (налоговый агент), заключивший соглашение об инвестиционных обязательствах в соответствии с Предпринимательским кодексом Республики Казахстан, осуществляет исчисление налогового обязательства в соответствии с налоговым режимом, действующим на момент возникновения такого обязательства, по следующим налогам и платежам в бюджет:
налогу на добавленную стоимость;
акцизу;
плате за эмиссии в окружающую среду;
индивидуальному подоходному налогу;
корпоративному подоходному налогу, удерживаемому у источника выплаты.
3. В случае отмены отдельных видов налогов и платежей в бюджет, действовавших на момент заключения соглашения об инвестиционных обязательствах, налогоплательщик продолжает производить их уплату в бюджет в порядке и размерах, предусмотренных налоговым законодательством Республики Казахстан, действовавшим на момент заключения такого соглашения.
РАЗДЕЛ 22. РЕНТНЫЙ НАЛОГ НА ЭКСПОРТ
Глава 81. РЕНТНЫЙ НАЛОГ НА ЭКСПОРТ
Статья 713. Плательщики
Плательщиками рентного налога на экспорт являются физические и юридические лица, реализующие на экспорт нефть сырую и нефтепродукты сырые, за исключением объемов экспорта сырой нефти и газового конденсата, добытых:
недропользователями в рамках контрактов, указанных в пункте 1 статьи 722 настоящего Кодекса;
недропользователями, являющимися плательщиками альтернативного налога на недропользование.
Для целей настоящего раздела нефтью сырой и нефтепродуктами сырыми признаются товары, классифицируемые в субпозиции 2709 00 единой Товарной номенклатуры внешнеэкономической деятельности Евразийского экономического союза.
2) исключен Законом РК от 10.12.2020 № 382-VI (вводится в действие с 01.01.2021).
Сноска. Статья 713 с изменениями, внесенными законами РК от 10.12.2020 № 382-VI (вводится в действие с 01.01.2021); от 21.12.2022 № 165-VII (вводится в действие с 01.01.2023).
Статья 714. Объект обложения
Объектом обложения рентным налогом на экспорт является объем нефти сырой и нефтепродуктов сырых, реализуемых на экспорт, за исключением объемов реализуемых на экспорт полезных ископаемых, переданных недропользователем в счет исполнения налогового обязательства в натуральной форме и реализуемых получателем от имени государства или лицом, уполномоченным получателем от имени государства на такую реализацию. Для целей настоящего раздела и раздела 23 настоящего Кодекса под экспортом понимаются:
1) вывоз товаров с территории Республики Казахстан, осуществляемый в таможенной процедуре экспорта в соответствии с таможенным законодательством Евразийского экономического союза и (или) таможенным законодательством Республики Казахстан;
2) вывоз товаров с территории Республики Казахстан на территорию другого государства-члена Евразийского экономического союза;
3) реализация на территории другого государства-члена Евразийского экономического союза продуктов переработки давальческого сырья, ранее вывезенного с территории Республики Казахстан на территорию государства-члена Евразийского экономического союза для переработки.
Для исчисления рентного налога на экспорт объем нефти сырой и нефтепродуктов сырых определяется в следующем порядке:
при реализации на экспорт нефти сырой и нефтепродуктов сырых за пределы таможенной территории Евразийского экономического союза – как объем нефти сырой и нефтепродуктов сырых, указанный в графе 35 полной декларации на товары, используемый для исчисления сумм таможенных пошлин, иных платежей, взимание которых возложено на таможенные органы, либо иных таможенных целей в соответствии с таможенным законодательством Евразийского экономического союза и (или) таможенным законодательством Республики Казахстан;
при реализации на экспорт нефти сырой и нефтепродуктов сырых на территорию другого государства-члена Евразийского экономического союза – как объем нефти сырой и нефтепродуктов сырых, указанный в акте приема-сдачи товаров транспортной организации на территории Республики Казахстан в начале экспортного маршрута поставки таких нефти сырой и нефтепродуктов сырых на экспорт.
Сноска. Статья 714 с изменениями, внесенными Законом РК от 10.12.2020 № 382-VI (вводится в действие с 01.01.2021)
Статья 715. Порядок исчисления
1. Налоговой базой для исчисления рентного налога на экспорт по нефти сырой и нефтепродуктам сырым является стоимость экспортируемых нефти сырой и нефтепродуктов сырых, исчисленная исходя из фактически реализуемого на экспорт объема нефти сырой и нефтепродуктов сырых и мировой цены, рассчитанной в порядке, определенном пунктом 3 статьи 741 настоящего Кодекса. При этом для нефти сырой и нефтепродуктов сырых мировая цена определяется исходя из мировой цены сырой нефти.
Для определения мировой цены сырой нефти в целях исчисления рентного налога на экспорт перевод единиц измерения из барреля в метрическую тонну осуществляется на основе средневзвешенного коэффициента баррелизации по следующей формуле:
К барр. ср. = (V1 х К барр.1 + V2 х К барр.2… + Vn х К барр.n)/V общ. реализации, где:
К барр. ср. – средневзвешенный коэффициент баррелизации, рассчитываемый с точностью до четырех знаков после запятой;
V1, V2, … Vn – объемы каждой партии нефти сырой и нефтепродуктов сырых, реализуемых на экспорт за налоговый период;
К барр.1, К барр.2 … + К барр.n – коэффициенты баррелизации, указанные в паспорте качества по каждой соответствующей партии, оформленной на основании данных прибора учета пункта сдачи и приема нефти сырой и нефтепродуктов сырых транспортной организации в начале экспортного маршрута на территории Республики Казахстан. При этом коэффициенты баррелизации устанавливаются с учетом фактической плотности и температуры экспортируемых нефти сырой и нефтепродуктов сырых, приведенных к стандартным условиям измерения в соответствии с национальным стандартом, утвержденным уполномоченным органом в сфере стандартизации;
n – количество партий, реализованных на экспорт нефти сырой и нефтепродуктов сырых в налоговом периоде;
V общ. реализации – общий объем реализации на экспорт нефти сырой и нефтепродуктов сырых за налоговый период.
2. Денежная форма уплаты рентного налога на экспорт по сырой нефти, газовому конденсату по решению Правительства Республики Казахстан может быть заменена натуральной формой в порядке, определенном дополнительным соглашением, заключаемым между уполномоченным государственным органом и налогоплательщиком.
Порядок уплаты рентного налога на экспорт по сырой нефти, газовому конденсату в натуральной форме установлен статьей 773 настоящего Кодекса.
Сноска. Статья 715 с изменениями, внесенными законами РК от 05.10.2018 № 184-VI (вводится в действие по истечении десяти календарных дней после дня его первого официального опубликования); от 10.12.2020 № 382-VI (вводится в действие с 01.01.2021).
Статья 716. Ставки рентного налога на экспорт
При экспорте нефти сырой и нефтепродуктов сырых рентный налог на экспорт исчисляется по следующим ставкам:
|
№ |
Мировая цена |
Ставка, в % |
|
1 |
2 |
3 |
|
1. |
До 20 долларов США за баррель включительно |
0 |
|
2. |
До 30 долларов США за баррель включительно |
0 |
|
3. |
До 40 долларов США за баррель включительно |
0 |
|
4. |
До 50 долларов США за баррель включительно |
7 |
|
5. |
До 60 долларов США за баррель включительно |
11 |
|
6. |
До 70 долларов США за баррель включительно |
14 |
|
7. |
До 80 долларов США за баррель включительно |
16 |
|
8. |
До 90 долларов США за баррель включительно |
17 |
|
9. |
До 100 долларов США за баррель включительно |
19 |
|
10. |
До 110 долларов США за баррель включительно |
21 |
|
11. |
До 120 долларов США за баррель включительно |
22 |
|
12. |
До 130 долларов США за баррель включительно |
23 |
|
13. |
До 140 долларов США за баррель включительно |
25 |
|
14. |
До 150 долларов США за баррель включительно |
26 |
|
15. |
До 160 долларов США за баррель включительно |
27 |
|
16. |
До 170 долларов США за баррель включительно |
29 |
|
17. |
До 180 долларов США за баррель включительно |
30 |
|
18. |
До 190 долларов США за баррель включительно |
32 |
|
19. |
До 200 долларов США за баррель и выше |
32 |
Сноска. Статья 716 с изменением, внесенным Законом РК от 10.12.2020 № 382-VI (вводится в действие с 01.01.2021).
Статья 717. Налоговый период
Налоговым периодом по рентному налогу на экспорт является календарный квартал.
Если даты оформления временной и полной таможенных деклараций на товары приходятся на разные налоговые периоды, то обязательства по уплате рентного налога на экспорт возникают в налоговом периоде, на который приходится период времени, указанный во временной и полной декларациях на товары, в течение которого осуществляется поставка нефти сырой и нефтепродуктов сырых в рамках таможенной процедуры экспорта в соответствии с таможенным законодательством Евразийского экономического союза и (или) таможенным законодательством Республики Казахстан.
Статья 718. Сроки уплаты
Налогоплательщик обязан уплатить в бюджет исчисленную сумму налога не позднее 25 числа второго месяца, следующего за налоговым периодом.
Статья 719. Налоговая декларация
Декларация по рентному налогу на экспорт представляется в налоговый орган по месту нахождения налогоплательщика не позднее 15 числа второго месяца, следующего за налоговым периодом.
РАЗДЕЛ 23. НАЛОГООБЛОЖЕНИЕ НЕДРОПОЛЬЗОВАТЕЛЕЙ
Глава 82. ОБЩИЕ ПОЛОЖЕНИЯ
Статья 720. Отношения, регулируемые настоящим разделом
1. При проведении операций по недропользованию в рамках контрактов на недропользование, заключенных в порядке, определенном законодательством Республики Казахстан, недропользователи уплачивают все налоги и платежи в бюджет, установленные настоящим Кодексом.
2. Настоящий раздел устанавливает порядок исполнения налоговых обязательств по специальным платежам и налогам недропользователей, а также особенности исполнения налоговых обязательств по деятельности, осуществляемой в рамках соглашения (контракта) о разделе продукции.
3. Специальные платежи и налоги недропользователей включают:
1) подписной бонус;
2) платеж по возмещению исторических затрат;
3) альтернативный налог на недропользование;
4) роялти;
5) долю Республики Казахстан по разделу продукции;
6) налог на добычу полезных ископаемых;
7) налог на сверхприбыль.
4. Порядок отнесения месторождения (группы месторождений, части месторождения) углеводородов к категории низкорентабельных, высоковязких, обводненных, малодебитных и выработанных, их перечень и порядок налогообложения в части налога на добычу полезных ископаемых определяются Правительством Республики Казахстан.
Критерии отнесения месторождения (группы месторождений по одному контракту на недропользование, части месторождения) твердых видов полезных ископаемых к категории низкорентабельных, а также порядок определения уровня рентабельности и уровня внутренней нормы рентабельности определяются Правительством Республики Казахстан.
5. Исполнение налоговых обязательств по контрактам на добычу или разведку и добычу углеводородов на участке (участках) недр, полностью расположенном (расположенных) в казахстанском секторе Каспийского моря, и (или) участках недр с глубиной верхней точки залежей углеводородов, указанной в горном отводе или контракте на добычу или разведку и добычу углеводородов при отсутствии горного отвода, не выше 4500 метров и нижней точки залежей углеводородов, указанной в горном отводе или контракте на добычу или разведку и добычу углеводородов при отсутствии горного отвода, 5000 метров и ниже может осуществляться путем исчисления и уплаты альтернативного налога на недропользование взамен платежа по возмещению исторических затрат, налога на добычу полезных ископаемых и налога на сверхприбыль.
Сноска. Статья 720 с изменениями, внесенными законами РК от 10.12.2020 № 382-VI (вводится в действие с 01.01.2021); от 11.07.2022 № 135-VII (вводится в действие с 01.01.2023); от 21.12.2022 № 165-VII (вводится в действие с 01.01.2023).
Статья 721. Особенности исполнения налогового обязательства недропользователями
1. Исчисление налоговых обязательств по налогам и платежам в бюджет по деятельности, осуществляемой в рамках контракта на недропользование, производится в соответствии с налоговым законодательством Республики Казахстан, действующим на момент возникновения обязательств по их уплате, за исключением случаев, указанных в пункте 1 статьи 722 и статье 722-1 настоящего Кодекса.
2. Недропользователь-нерезидент, осуществляющий деятельность по контракту на недропользование, дополнительно подлежит налогообложению в соответствии со статьями 651 – 653 настоящего Кодекса.
3. Исполнение налоговых обязательств по деятельности, осуществляемой в рамках контракта на недропользование, не освобождает недропользователя от исполнения налогового обязательства по осуществлению деятельности, выходящей за рамки контракта на недропользование, в соответствии с налоговым законодательством Республики Казахстан, действующим на дату возникновения налогового обязательства.
4. Физические лица, имеющие право недропользования, исполняют налоговые обязательства по деятельности, осуществляемой в рамках такого права, по специальным платежам и налогам недропользователей и ведению раздельного учета в порядке, определенном для недропользователей-юридических лиц.
Сноска. Статья 721 с изменением, внесенным Законом РК от 21.12.2022 № 165-VII (вводится в действие с 01.01.2023).
Статья 722. Особенности исполнения налогового обязательства отдельными недропользователями
1. Налоговый режим, определенный в соглашении (контракте) о разделе продукции, заключенном между Правительством Республики Казахстан или компетентным органом и недропользователем до 1 января 2009 года и прошедшем обязательную налоговую экспертизу, а также в контракте на недропользование, утвержденном Президентом Республики Казахстан, сохраняется для налогов и платежей в бюджет, в отношении которых в соответствии с положениями такого соглашения (контракта) прямо предусмотрена стабильность налогового режима, действует исключительно в отношении сторон такого соглашения (контракта), а также в отношении операторов в течение всего установленного срока его действия, не распространяется на лиц, не являющихся сторонами такого соглашения (контракта) или операторами, и может быть изменен по взаимному соглашению сторон.
Исполнение налогового обязательства по налогам, подлежащим удержанию у источника выплаты, в отношении которых недропользователь выступает в качестве налогового агента, производится в соответствии с налоговым законодательством Республики Казахстан, действующим на момент возникновения обязательства по их уплате, независимо от наличия в соглашении (контракте) о разделе продукции, заключенном между Правительством Республики Казахстан или компетентным органом и недропользователем до 1 января 2009 года и прошедшем обязательную налоговую экспертизу, и контракте на недропользование, утвержденном Президентом Республики Казахстан, положений, регулирующих порядок обложения налогами, удерживаемыми у источника выплаты.
В случае отмены отдельных видов налогов и платежей в бюджет, предусмотренных налоговым режимом соглашения (контракта) о разделе продукции, заключенного между Правительством Республики Казахстан или компетентным органом и недропользователем до 1 января 2009 года и прошедшего обязательную налоговую экспертизу, а также налоговым режимом контракта на недропользование, утвержденного Президентом Республики Казахстан, недропользователь продолжает производить их уплату в бюджет в порядке и размерах, которые установлены соглашением (контрактом) о разделе продукции и (или) контрактом на недропользование, до окончания срока их действия или внесения соответствующих изменений и дополнений в порядке, определенном законодательством Республики Казахстан.
2. Если определение оператора предусмотрено положениями соглашения (контракта) о разделе продукции, заключенного между Правительством Республики Казахстан или компетентным органом и недропользователем до 1 января 2009 года и прошедшего обязательную налоговую экспертизу, и исполнение налогового обязательства по данному соглашению (контракту) осуществляется оператором, то такой оператор исполняет налоговое обязательство по указанному соглашению (контракту) согласно налоговому режиму, действующему в отношении сторон данного соглашения (контракта) в соответствии с пунктом 1 настоящей статьи.
3. Исполнение налогового обязательства участников простого товарищества (консорциума) в рамках соглашения (контракта) о разделе продукции может быть осуществлено одним из нижеуказанных способов:
1) исполнение налогового обязательства участником простого товарищества (консорциума) осуществляется самостоятельно или оператором от имени и по поручению такого участника только в части обязательства, приходящегося на долю указанного участника. При этом в налоговых формах в качестве налогоплательщика указываются реквизиты участника простого товарищества (консорциума), в качестве уполномоченного представителя – реквизиты оператора;
2) исполнение налогового обязательства участников простого товарищества (консорциума) осуществляется оператором сводно по деятельности, осуществляемой в рамках соглашения (контракта) о разделе продукции, если это предусмотрено положениями соглашения (контракта) о разделе продукции. При этом составление и представление (отзыв) налоговых форм осуществляется оператором в порядке, определенном главой 8 настоящего Кодекса, с указанием в качестве реквизитов налогоплательщика реквизитов оператора.
4. Если в ходе выполнения операций по недропользованию у оператора возникают налоговые обязательства как у налогоплательщика (налогового агента) в соответствии с требованиями налогового законодательства Республики Казахстан, то такие налоговые обязательства исполняются оператором самостоятельно.
Статья 722-1. Особенности исполнения налогового обязательства по контрактам на разведку и добычу или добычу углеводородов по сложным проектам
1. По контрактам на разведку и добычу или добычу углеводородов по сложным проектам положения пункта 6 статьи 258, пункта 2-1 статьи 268, пункта 7-1 статьи 271, пункта 4-4 статьи 293, подпункта 5) части первой пункта 3 статьи 517, части второй пункта 2 статьи 767 и части второй статьи 768 настоящего Кодекса применяются в соответствии с налоговым законодательством Республики Казахстан, действующим на дату подписания соответствующего контракта на недропользование.
2. В случае отмены налогов, платежей в бюджет, по которым исполнение налоговых обязательств осуществляется в соответствии с пунктом 1 настоящей статьи, недропользователи по контрактам на разведку и добычу или добычу углеводородов по сложным проектам (за исключением газовых проектов на суше) продолжают исполнять налоговые обязательства по соответствующим налогам и платежам в соответствии с налоговым законодательством Республики Казахстан, действующим на дату подписания соответствующего контракта, до окончания срока действия такого контракта или внесения в него соответствующих изменений и дополнений по соглашению сторон.
3. В случае прекращения (в том числе в случае досрочного расторжения) контракта на разведку и добычу или добычу углеводородов по сложным проектам (за исключением газовых проектов на суше) применяются последствия, установленные соответствующим контрактом. При этом недропользователь по таким контрактам не уплачивает суммы налогов, платежей, не уплаченных в бюджет вследствие предоставленных по контракту освобождений, льгот или иных изъятий. После прекращения (в том числе в случае досрочного расторжения) контракта на разведку и добычу или добычу углеводородов по сложным проектам исполнение налоговых обязательств осуществляется в соответствии с налоговым законодательством Республики Казахстан, действующим на дату возникновения налогового обязательства, начиная с налогового периода, следующего за датой прекращения действия такого контракта.
4. Положения подпункта 1) части первой пункта 2 и пункта 6 статьи 258, пункта 2-1 статьи 268, пункта 7-1 статьи 271, пункта 4-4 статьи 293 и подпункта 5) части первой пункта 3 статьи 517, части второй пункта 2 статьи 767 и части второй статьи 768 настоящего Кодекса применяются недропользователем с даты регистрации контракта на разведку и добычу или добычу углеводородов по сложным проектам, а по контрактам на недропользование, заключенным до 31 декабря 2022 года, – с даты регистрации дополнения к контракту на разведку и добычу или добычу углеводородов, предусматривающего изложение такого контракта в новой редакции в соответствии с типовым контрактом на разведку и добычу или добычу углеводородов по сложным проектам, до истечения двадцати календарных лет с даты начала экспорта полезных ископаемых, добытых в рамках соответствующего контракта на недропользование.
Сноска. Глава 82 дополнена статьей 722-1 в соответствии с Законом РК от 21.12.2022 № 165-VII (вводится в действие с 01.01.2023).
Статья 723. Особенности налогового учета операций по недропользованию
1. Недропользователь обязан вести раздельный налоговый учет для исчисления налогового обязательства по деятельности, осуществляемой в рамках каждого заключенного контракта на недропользование, а также при разработке низкорентабельного, высоковязкого, обводненного, малодебитного или выработанного месторождения (группы месторождений, части месторождения при условии осуществления деятельности по такой группе месторождений, части месторождения в рамках одного контракта) в случае исчисления по такому месторождению (группе месторождений, части месторождения при условии осуществления деятельности по такой группе месторождений, части месторождения в рамках одного контракта) налогов и платежей в бюджет в порядке и по ставкам, которые отличаются от установленных настоящим Кодексом.
2. Положения настоящей статьи о ведении раздельного налогового учета не распространяются на контракты по разведке и (или) добыче общераспространенных полезных ископаемых, нерудных твердых полезных ископаемых, указанных в строке 13 таблицы статьи 746 настоящего Кодекса, подземных вод, лечебных грязей, а также на строительство и (или) эксплуатацию подземных сооружений, не связанных с разведкой и (или) добычей, за исключением требований по ведению раздельного налогового учета по исчислению и исполнению налогового обязательства по налогу на добычу полезных ископаемых по данным контрактам.
Операции по контрактам на недропользование, указанным в части первой настоящего пункта, являющиеся частью деятельности по контрактам на разведку и (или) добычу углеводородов или твердых полезных ископаемых, подлежат отражению в налоговом учете по соответствующему контракту на разведку и (или) добычу углеводородов или твердых полезных ископаемых с учетом раздельного налогового учета недропользователя. При этом недропользователь обязан отразить в налоговой учетной политике порядок распределения расходов по таким операциям на соответствующие контракты и (или) на внеконтрактную деятельность.
3. Раздельный налоговый учет объектов налогообложения и (или) объектов, связанных с налогообложением, ведется недропользователем на основании данных учетной документации в соответствии с утвержденной налоговой учетной политикой и с учетом положений, установленных настоящей статьей.
Порядок ведения раздельного налогового учета разрабатывается недропользователем самостоятельно и утверждается в налоговой учетной политике (разделе учетной политики).
В случае отсутствия в налоговой учетной политике порядка ведения раздельного налогового учета и (или) несоответствия такого порядка принципам налогообложения налоговые органы в ходе осуществления налогового контроля определяют налоговые обязательства налогоплательщика в соответствии с подпунктом 1) пункта 11 настоящей статьи.
Положения настоящего пункта применяются также в отношении уполномоченного представителя участников простого товарищества (консорциума), ответственного за ведение сводного налогового учета в соответствии с пунктом 2 статьи 200 настоящего Кодекса.
4. По контрактной деятельности раздельный налоговый учет ведется по следующим налогам и платежам в бюджет:
1) корпоративному подоходному налогу;
2) подписному бонусу;
3) платежу по возмещению исторических затрат;
4) налогу на добычу полезных ископаемых;
5) налогу на сверхприбыль;
6) альтернативному налогу на недропользование;
7) иным налогам и платежам в бюджет, которые исчисляются в порядке, отличающемся от установленного настоящим Кодексом, на основании налогового режима контрактов на недропользование, определенных пунктом 1 статьи 722 настоящего Кодекса.
5. При ведении раздельного налогового учета для исчисления налогового обязательства недропользователь обязан обеспечить:
1) отражение в налоговом учете объектов налогообложения и (или) объектов, связанных с налогообложением, для исчисления налогов и платежей в бюджет, указанных в пункте 4 настоящей статьи, – по каждому контракту на недропользование отдельно от внеконтрактной деятельности;
2) исчисление налогов и платежей в бюджет, не указанных в пункте 4 настоящей статьи, а также корпоративного подоходного налога – в целом по всей деятельности недропользователя;
3) представление налоговой отчетности по налогам и платежам в бюджет, указанным в пункте 4 настоящей статьи, за исключением налоговой отчетности по корпоративному подоходному налогу, – по каждому контракту на недропользование;
4) представление единой декларации по корпоративному подоходному налогу в целом по деятельности недропользователя и соответствующих приложений к ней – по каждому контракту на недропользование;
5) представление налоговой отчетности по налогам и платежам в бюджет, не указанным в пункте 4 настоящей статьи, – в целом по всей деятельности недропользователя.
6. При исчислении корпоративного подоходного налога в целом по деятельности недропользователя не учитываются убытки, понесенные по конкретному контракту на недропользование, которые недропользователь имеет право компенсировать только за счет доходов, полученных от деятельности по такому конкретному контракту на недропользование, в последующие налоговые периоды с учетом положений статьи 300 настоящего Кодекса.
7. В целях ведения раздельного налогового учета доходом по контрактной деятельности является в том числе доход от списания стратегическим партнером обязательства национальной компании по недропользованию или юридического лица, акции (доли участия) которого прямо или косвенно принадлежат такой национальной компании по недропользованию, по инвестиционному финансированию (в том числе по вознаграждению) в соответствии с законодательством Республики Казахстан о недрах и недропользовании.
8. Для целей настоящего раздела следующие понятия означают:
1) прямые доходы и расходы – доходы и расходы недропользователя отчетного налогового периода, включая доходы и расходы по фиксированным активам, которые имеют прямую причинно-следственную связь с конкретным контрактом на недропользование или внеконтрактной деятельностью;
2) косвенные доходы и расходы – доходы и расходы недропользователя отчетного налогового периода, в том числе доходы и расходы по фиксированным активам, которые имеют прямую причинно-следственную связь с несколькими контрактами на недропользование и подлежат распределению только между такими контрактами на недропользование по соответствующей доле;
3) общие доходы и расходы – доходы и расходы недропользователя отчетного налогового периода, включая доходы и расходы по общим фиксированным активам, которые связаны с осуществлением контрактной и внеконтрактной деятельности и не имеют прямой причинно-следственной связи с конкретным контрактом на недропользование и (или) внеконтрактной деятельностью и требуют распределения между ними по соответствующей доле;
4) общие фиксированные активы – фиксированные активы, которые связаны с осуществлением контрактной и внеконтрактной деятельности и в силу специфики их использования не имеют прямой причинно-следственной связи с конкретным контрактом на недропользование и (или) внеконтрактной деятельностью;
5) косвенные фиксированные активы – фиксированные активы, которые в силу специфики их использования имеют прямую причинно-следственную связь только с контрактами на недропользование;
6) производственная себестоимость добычи, первичной переработки минерального сырья, подготовки углеводородов – затраты на производство, определяемые в соответствии с международными стандартами финансовой отчетности и требованиями законодательства Республики Казахстан о бухгалтерском учете и финансовой отчетности, непосредственно связанные с добычей, первичной переработкой минерального сырья, подготовкой углеводородов, за исключением:
затрат по хранению, транспортировке, реализации полезных ископаемых;
прочих затрат, не связанных непосредственно с добычей, первичной переработкой минерального сырья, подготовкой углеводородов;
общеадминистративных расходов, не подлежащих включению в себестоимость запасов в соответствии с международными стандартами финансовой отчетности и требованиями законодательства Республики Казахстан о бухгалтерском учете и финансовой отчетности;
затрат по займам.
9. В целях ведения раздельного налогового учета объектов налогообложения и (или) объектов, связанных с налогообложением, все доходы и расходы недропользователя распределяются на прямые, косвенные и общие.
Классификация доходов и расходов на прямые, косвенные и общие осуществляется недропользователем самостоятельно исходя из специфики деятельности.
Прямые доходы и расходы должны быть отнесены в полном объеме только к той контрактной или внеконтрактной деятельности, с которой они имеют прямую причинно-следственную связь.
Общие доходы и расходы подлежат распределению между контрактной и внеконтрактной деятельностью и в соответствующей доле относятся к доходам и расходам того контракта и внеконтрактной деятельности, с которыми они имеют причинно-следственную связь.
Косвенные доходы и расходы подлежат распределению только между контрактами на недропользование и в соответствующей доле относятся к доходам и расходам того контракта, с которым они имеют причинно-следственную связь.
Распределение общих и косвенных доходов и расходов осуществляется в соответствии с методами, установленными пунктом 11 настоящей статьи, и с учетом положений пункта 10 настоящей статьи.
10. По общим и косвенным фиксированным активам распределению между контрактом (контрактами) на недропользование и внеконтрактной деятельностью подлежат расходы, понесенные недропользователем по данным фиксированным активам, в том числе расходы по амортизации и последующие расходы.
По общим и косвенным расходам по вознаграждениям распределению подлежит общая сумма вычета по таким вознаграждениям, определенная в соответствии со статьей 246 настоящего Кодекса.
Если курсовая разница не может быть отнесена по прямой причинно-следственной связи к контрактной и (или) внеконтрактной деятельности недропользователя, по курсовой разнице распределению подлежит полученный за налоговый период итоговый (сальдированный) результат в виде превышения суммы положительной курсовой разницы над суммой отрицательной курсовой разницы или превышения суммы отрицательной курсовой разницы над суммой положительной курсовой разницы.
Налоги, подлежащие отнесению на вычеты по общим и косвенным объектам налогообложения и (или) объектам, связанным с налогообложением, подлежат распределению в соответствии с методами, установленными пунктом 11 настоящей статьи, без соответствующего распределения самих объектов налогообложения и (или) объектов, связанных с налогообложением.
11. Распределение общих и косвенных доходов и расходов для каждой контрактной деятельности производится недропользователем самостоятельно с учетом специфики деятельности или проведения операций по недропользованию на основании принятых недропользователем в налоговой учетной политике одного или нескольких методов ведения раздельного налогового учета, в том числе:
1) по удельному весу прямых доходов, приходящихся на каждый конкретный контракт на недропользование и внеконтрактную деятельность, в общей сумме прямых доходов, полученных недропользователем за налоговый период;
2) по удельному весу объемов добычи полезных ископаемых по каждому конкретному контракту на недропользование в общем объеме добычи полезных ископаемых по всем контрактам на недропользование налогоплательщика;
3) по удельному весу прямых расходов, приходящихся на каждый конкретный контракт на недропользование и внеконтрактную деятельность, в общей сумме прямых расходов, произведенных недропользователем за налоговый период;
4) по удельному весу расходов, понесенных по одной из следующих статей: прямые производственные расходы, фонд оплаты труда или стоимость фиксированных активов, приходящихся на каждый конкретный контракт на недропользование и внеконтрактную деятельность, в общей сумме расходов по данной статье, произведенных недропользователем за налоговый период;
5) по удельному весу среднесписочной численности работников, участвующих в контрактной деятельности, к общей среднесписочной численности работников недропользователя;
6) иных методов.
В отношении разных видов общих и косвенных доходов и расходов могут применяться различные методы их распределения, установленные настоящим пунктом.
По окончании соответствующего налогового периода примененные методы распределения общих и косвенных доходов и расходов не подлежат изменению за указанный налоговый период.
Для более точного распределения общих и (или) косвенных доходов и расходов значение удельного веса, полученное в результате применения одного из вышеуказанных методов, определяется недропользователем в процентах до одной сотой доли (0,01%).
12. Если иное не установлено настоящим пунктом, для целей ведения раздельного налогового учета при исчислении корпоративного подоходного налога недропользователем по контрактной деятельности по каждому отдельному контракту на недропользование доход от реализации добытых углеводородов и (или) минерального сырья, прошедшего только первичную переработку (обогащение), определяется исходя из цены их реализации с учетом соблюдения законодательства Республики Казахстан о трансфертном ценообразовании, но не ниже производственной себестоимости добытых углеводородов (включая подготовку углеводородов), минерального сырья и (или) товарной продукции, полученной в результате подготовки углеводородов или первичной переработки (обогащения) минерального сырья, определяемой в соответствии с международными стандартами финансовой отчетности и требованиями законодательства Республики Казахстан о бухгалтерском учете и финансовой отчетности.
В случае если в соответствии с законодательством Республики Казахстан о газе и газоснабжении сырой газ, в том числе прошедший переработку, приобретается национальным оператором в рамках преимущественного права государства, то доход от реализации такого сырого газа, в том числе прошедшего переработку, определяется недропользователем в соответствии со статьей 227 настоящего Кодекса.
При реализации недропользователем добытой нефти на экспорт в случае если мировая цена нефти на дату реализации такой нефти ниже производственной себестоимости добычи такой нефти, то доход от реализации такой нефти определяется в соответствии со статьей 227 настоящего Кодекса.
В случае передачи добытых углеводородов и (или) минерального сырья, прошедшего первичную переработку (обогащение), для последующей переработки другому юридическому лицу (без перехода права собственности) и (или) структурному или иному технологическому подразделению в рамках одного юридического лица или использования на собственные производственные нужды недропользователь определяет доход по такой операции по фактической производственной себестоимости добычи, включая подготовку углеводородов или первичную переработку (обогащение) минерального сырья, определяемой в соответствии с международными стандартами финансовой отчетности и требованиями законодательства Республики Казахстан о бухгалтерском учете и финансовой отчетности, увеличенной на 20 процентов.
Если сырой газ добывается попутно с нефтью, производственная себестоимость добычи такого сырого газа определяется по следующей формуле:
CP – производственная себестоимость добычи сырого газа, добываемого попутно с нефтью, в рамках контракта на недропользование в текущем налоговом периоде в тенге за тысячу кубических метров;
СF – производственная себестоимость добычи углеводородов, определяемая в соответствии с международными стандартами финансовой отчетности и требованиями законодательства Республики Казахстан о бухгалтерском учете и финансовой отчетности, в рамках контракта на недропользование в текущем налоговом периоде в тенге;
GP1 – объем добычи сырого газа, добываемого попутно с нефтью, в рамках контракта на недропользование в текущем налоговом периоде, по которому международные стандарты финансовой отчетности и требования законодательства Республики Казахстан о бухгалтерском учете и финансовой отчетности предусматривают определение себестоимости в тысячах кубических метрах;
OP – объем добычи нефти в рамках контракта на недропользование в текущем налоговом периоде в тоннах;
0,857 – коэффициент перевода тысячи кубических метров сырого газа, добываемого попутно с нефтью, в тонны;
r – стоимостный коэффициент, определяемый по формуле:
GP2 – объем добычи сырого газа, добываемого попутно с нефтью, в рамках контракта на недропользование в текущем налоговом периоде в тысячах кубических метрах;
OP – объем добычи нефти в рамках контракта на недропользование в текущем налоговом периоде в тоннах;
AEPG – средневзвешенная экспортная цена товарного газа на границе Республики Казахстан за соответствующий налоговый период, рассчитываемая по данным уполномоченных органов по ведению таможенной статистики внешней торговли и статистики взаимной торговли, за вычетом расходов по транспортировке товарного газа от недропользователя до границы Республики Казахстан, определяемых на основании тарифов в тенге за тысячу кубических метров;
AEPO – средневзвешенная экспортная цена нефти на границе Республики Казахстан за соответствующий налоговый период, рассчитываемая по данным уполномоченных органов по ведению таможенной статистики внешней торговли и статистики взаимной торговли, за вычетом расходов по транспортировке нефти от недропользователя до границы Республики Казахстан, определяемых на основании тарифов в тенге за тонну.
При этом в совокупный годовой доход по внеконтрактной деятельности недропользователя подлежит включению сумма, равная разнице между фактически полученным доходом от реализации продукции, полученной в результате такой последующей переработки, и суммой дохода, включаемого в совокупный годовой доход по контрактной деятельности недропользователя, исчисленной в соответствии с настоящим пунктом.
Для целей настоящего раздела иным технологическим подразделением юридического лица признается обогатительная фабрика, перерабатывающий, производственный или металлургический цех (завод).
Сноска. Статья 723 с изменениями, внесенными законами РК от 02.04.2019 № 241-VI (порядок введения в действие см. ст. 2); от 10.12.2020 № 382-VI (вводится в действие с 01.01.2021).
Статья 723-1. Особенности налогового учета при переоформлении права недропользования на лицензионный режим недропользования
1. В случае переоформления права недропользования с контракта на недропользование на лицензионный режим недропользования в соответствии с законодательством Республики Казахстан о недрах и недропользовании переоформленный контракт на недропользование и полученная взамен его лицензия на недропользование совокупно в целях ведения раздельного налогового учета в налоговом периоде, в котором произошло переоформление контракта на недропользование, рассматриваются как единый контракт на недропользование, а деятельность недропользователя по переоформленному контракту на недропользование и указанного недропользователя в рамках полученной лицензии на недропользование рассматривается как единая контрактная деятельность, по которой ведется единый раздельный налоговый учет.
Если при переоформлении права недропользования взамен контракта на недропользование недропользователю предоставляется две и более лицензий на недропользование, под контрактом на недропользование для налогового периода, в котором произошло переоформление контракта на недропользование, понимаются совокупно часть переоформленного контракта на недропользование, соответствующая перераспределенным в соответствии с пунктами 2 – 7 настоящей статьи на лицензию объектам налогообложения и (или) объектам, связанным с налогообложением, и указанная лицензия на недропользование. Соответственно, деятельность недропользователя в рамках каждой полученной лицензии на недропользование и соответствующая ей часть деятельности указанного недропользователя по переоформленному контракту на недропользование в налоговом периоде, в котором произошло переоформление контракта на недропользование, совокупно рассматриваются как отдельная единая контрактная деятельность, по которой ведется раздельный налоговый учет.
2. При переоформлении права недропользования с контракта на недропользование на лицензионный режим недропользования в соответствии с законодательством Республики Казахстан о недрах и недропользовании объекты налогообложения и (или) объекты, связанные с налогообложением, по переоформленному контракту признаются объектами налогообложения и (или) объектами, связанными с налогообложением, по лицензии, полученной взамен переоформленного контракта, с начала налогового периода, в котором произведено указанное переоформление права недропользования.
Если при переоформлении права недропользования взамен контракта на недропользование недропользователю предоставляется две и более лицензий на недропользование, учитываемые в налоговом учете по переоформляемому контракту на недропользование объекты налогообложения и (или) объекты, связанные с налогообложением, подлежат распределению на полученные лицензии в соответствии с пунктом 3 настоящей статьи с начала налогового периода, в котором произведено указанное переоформление права недропользования, и в дальнейшем учитываются при ведении раздельного налогового учета соответственно по деятельности в рамках каждой лицензии на недропользование.
3. Распределение общих и косвенных доходов и расходов, понесенных недропользователем с начала соответствующего налогового периода до даты переоформления контракта на недропользование на лицензионный режим, осуществляется в соответствии с пунктами 8, 9, 10 и 11 статьи 723 настоящего Кодекса.
При этом налогоплательщик уведомляет налоговый орган не позднее 31 марта года, следующего за годом, в котором произошло переоформление права недропользования, о выбранных методах распределения, в соответствии с пунктом 11 статьи 723 настоящего Кодекса, которые не подлежат пересмотру и изменению.
В случае отсутствия такого уведомления в сроки, указанные в части первой пункта 7 настоящей статьи, в целях распределения применяется метод, указанный в подпункте 1) части первой пункта 11 статьи 723 настоящего Кодекса.
4. Распределение стоимостного баланса подгруппы (группы I), группы амортизируемых активов, образованного по переоформляемому контракту на недропользование, а также отдельной группы амортизируемых активов, указанной в статье 258 настоящего Кодекса, осуществляется по состоянию на 1 января года, в котором произведено переоформление права недропользования. При этом амортизируемые активы, включенные в указанный стоимостной баланс подгруппы (группы I), группы амортизируемых активов, должны быть классифицированы на прямые, косвенные и общие в соответствии с пунктами 8 и 11 статьи 723 настоящего Кодекса.
5. Накопленные по состоянию на 1 января года, в котором произведено переоформление права недропользования, средства ликвидационного фонда подлежат распределению на лицензии в соответствии с пунктом 11 статьи 723 настоящего Кодекса и включаются в совокупный годовой доход таких лицензий в году, в котором произведено переоформление такого права недропользования.
6. В случае наличия на начало налогового периода, в котором произведено переоформление контракта на недропользование на лицензионный режим недропользования, накопленных с предыдущих налоговых периодов убытков в рамках переоформляемого контракта на недропользование, указанные убытки учитываются в следующем порядке:
в случае получения недропользователем одной лицензии на недропользование – учитываются в налоговом периоде, в котором произведено переоформление контракта на недропользование, и в случае их неполного использования переносятся для погашения за счет налогооблагаемого дохода, полученного от деятельности в рамках указанной лицензии в пределах срока, определяемого в соответствии со статьей 300 настоящего Кодекса;
в случае получения двух и более лицензий на недропользование – распределяются по состоянию на 1 января года, в котором произведено переоформление контракта на недропользование, с учетом положений пункта 11 статьи 723 настоящего Кодекса, и налоговой учетной политики недропользователя на полученные лицензии, учитываются в указанном налоговом периоде в соответствующей части по каждой лицензии и переносятся для их дальнейшего погашения за счет налогооблагаемого дохода, полученного от деятельности в рамках соответствующей лицензии в пределах срока, определяемого в соответствии со статьей 300 настоящего Кодекса.
7. Распределение общих и косвенных стоимостных балансов подгрупп (группы I), групп, указанных в пункте 4 настоящей статьи, накопленных средств в ликвидационном фонде, указанных в пункте 5 настоящей статьи, а также убытков, указанных в пункте 6 настоящей статьи, осуществляется по одному и тому же методу распределения, самостоятельно выбранному недропользователем из методов, предусмотренных в подпунктах 1) – 5) пункта 11 статьи 723 настоящего Кодекса, о котором налогоплательщик уведомляет налоговый орган не позднее 31 марта года, следующего за годом, в котором произошло переоформление права недропользования, и который не подлежит пересмотру и изменению.
В случае отсутствия такого уведомления в сроки, указанные в части первой настоящего пункта, в целях распределения применяется метод, указанный в подпункте 1) части первой пункта 11 статьи 723 настоящего Кодекса.
Сноска. Глава 82 дополненва статьей 723-1 в соответствии с Законом РК от 10.12.2020 № 382-VI (вводится в действие с 01.01.2021).
Глава 83. ПОДПИСНОЙ БОНУС
Статья 724. Общие положения
Подписной бонус является разовым фиксированным платежом недропользователя за приобретение права недропользования на контрактной территории (участке недр), а также при расширении контрактной территории (участка недр) в порядке, определенном законодательством Республики Казахстан.
Статья 725. Плательщики
Плательщиком подписного бонуса является физическое или юридическое лицо, ставшее победителем конкурса на получение права недропользования или получившее право недропользования на основе прямых переговоров по предоставлению права недропользования в соответствии с законодательством Республики Казахстан о недрах и недропользовании, а также заключившее (получившее) в порядке, определенном законодательством Республики Казахстан, один из следующих контрактов на недропользование:
1) контракт на разведку;
2) контракт на добычу полезных ископаемых;
3) контракт на совмещенную разведку и добычу;
4) лицензию на геологическое изучение;
5) лицензию на использование пространства недр;
6) лицензию на старательство.
Положение подпункта 2) части первой настоящей статьи не распространяется на недропользователей, заключивших контракт на основании исключительного права на получение права на добычу в связи с коммерческим обнаружением в рамках контракта на разведку на соответствующей контрактной территории (участке недр).
Для целей настоящего раздела понятие «конкурс», проводимый в соответствии с законодательством Республики Казахстан о недрах и недропользовании, идентично понятию «аукцион», проводимому в соответствии с данным законодательством.
Статья 726. Порядок исчисления подписного бонуса
1. Стартовый размер подписного бонуса устанавливается отдельно для каждого заключаемого контракта на недропользование в следующих размерах:
1) для контрактов на разведку:
на территории, на которой отсутствуют утвержденные запасы полезных ископаемых, по:
углеводородам – 2 800-кратный размер месячного расчетного показателя, установленного законом о республиканском бюджете и действующего на дату опубликования условий конкурса или дату подписания протокола прямых переговоров по предоставлению права недропользования в соответствии с законодательством Республики Казахстан о недрах и недропользовании;
твердым полезным ископаемым, за исключением лицензий на разведку твердых полезных ископаемых, старательство и контрактов на разработку техногенных минеральных образований, – 280-кратный размер месячного расчетного показателя, установленного законом о республиканском бюджете и действующего на дату опубликования условий конкурса или дату подписания протокола прямых переговоров по предоставлению права недропользования в соответствии с законодательством Республики Казахстан о недрах и недропользовании;
общераспространенным полезным ископаемым, подземным водам и лечебным грязям – 40-кратный размер месячного расчетного показателя, установленного законом о республиканском бюджете и действующего на дату опубликования условий конкурса или дату подписания протокола прямых переговоров по предоставлению права недропользования в соответствии с законодательством Республики Казахстан о недрах и недропользовании;
на территории, на которой имеются утвержденные запасы полезных ископаемых, – в порядке, определенном подпунктом 2) настоящего пункта для определения стартового размера подписного бонуса для контрактов на добычу, совмещенную разведку и добычу соответствующих полезных ископаемых, по которым запасы утверждены;
2) для контрактов на добычу, совмещенную разведку и добычу:
углеводородов:
если запасы не утверждены, – 3 000-кратный размер месячного расчетного показателя, установленного законом о республиканском бюджете и действующего на дату опубликования условий конкурса или дату подписания протокола прямых переговоров по предоставлению права недропользования в соответствии с законодательством Республики Казахстан о недрах и недропользовании. При этом в случае если право недропользования предоставляется на участок недр, территория которого разделена на блоки в соответствии с законодательством Республики Казахстан о недрах и недропользовании, то стартовый размер подписного бонуса увеличивается за каждый блок, следующий за трехсотым, на 10-кратный размер месячного расчетного показателя, установленного законом о республиканском бюджете и действующего на дату опубликования условий конкурса или дату подписания протокола прямых переговоров по предоставлению права недропользования в соответствии с законодательством Республики Казахстан о недрах и недропользовании;
если запасы утверждены, – по формуле (С х 0,04%) + (Сп х 0,01%), но не менее 10 000-кратного размера месячного расчетного показателя, установленного законом о республиканском бюджете и действующего на дату опубликования условий конкурса или дату подписания протокола прямых переговоров по предоставлению права недропользования в соответствии с законодательством Республики Казахстан о недрах и недропользовании, где:
С – стоимость суммарных запасов углеводородов, утвержденных Государственной комиссией по запасам полезных ископаемых Республики Казахстан, по промышленным категориям А, В, С1;
Сп – суммарная стоимость предварительно оцененных запасов углеводородов категории С2, утвержденных Государственной комиссией по запасам полезных ископаемых Республики Казахстан и (или) принятых к сведению в заключении указанной комиссии для оперативного подсчета запасов потенциально коммерческого объекта и прогнозных ресурсов категории С3.
При этом в случае если право недропользования предоставляется на участок недр, территория которого разделена на блоки в соответствии с законодательством Республики Казахстан о недрах и недропользовании, то стартовый размер подписного бонуса увеличивается за каждый блок, следующий за трехсотым блоком, на 10-кратный размер месячного расчетного показателя, установленного законом о республиканском бюджете и действующего на дату опубликования условий конкурса или дату подписания протокола прямых переговоров по предоставлению права недропользования в соответствии с законодательством Республики Казахстан о недрах и недропользовании;
если право недропользования предоставляется на участок недр, территория которого разделена на блоки, на которых одновременно имеются утвержденные и не утвержденные запасы углеводородов, то стартовый размер подписного бонуса определяется в порядке, определенном настоящим подпунктом для утвержденных и не утвержденных запасов углеводородов соответственно. При этом общая сумма стартового размера подписного бонуса не должна быть менее 10 000-кратного размера месячного расчетного показателя, установленного законом о республиканском бюджете и действующего на дату опубликования условий конкурса или дату подписания протокола прямых переговоров по предоставлению права недропользования в соответствии с законодательством Республики Казахстан о недрах и недропользовании;
для контрактов на добычу минерального сырья и на совмещенную разведку и добычу, за исключением контрактов на разработку техногенных минеральных образований и лицензий на добычу твердых полезных ископаемых, старательство:
если запасы не утверждены, – 500-кратный размер месячного расчетного показателя, установленного законом о республиканском бюджете и действующего на дату опубликования условий конкурса или дату подписания протокола прямых переговоров по предоставлению права недропользования в соответствии с законодательством Республики Казахстан о недрах и недропользовании;
если запасы утверждены, – по формуле (С х 0,01%) + (Сп х 0,005%), но не менее 500-кратного размера месячного расчетного показателя, установленного законом о республиканском бюджете и действующего на дату опубликования условий конкурса или дату подписания протокола прямых переговоров по предоставлению права недропользования в соответствии с законодательством Республики Казахстан о недрах и недропользовании, где:
С – стоимость суммарных запасов минерального сырья по промышленным категориям А, В, С1, утвержденных Государственной комиссией по запасам полезных ископаемых Республики Казахстан;
Сп – суммарная стоимость предварительно оцененных запасов минерального сырья категории С2, утвержденных Государственной комиссией по запасам полезных ископаемых Республики Казахстан и (или) принятых к сведению в заключении указанной комиссии для оперативного подсчета запасов потенциально коммерческого объекта и прогнозных ресурсов;
для контрактов на общераспространенные полезные ископаемые, подземные воды и лечебные грязи – по формуле (С х 0,01%), но не менее 120-кратного размера месячного расчетного показателя, установленного законом о республиканском бюджете и действующего на дату опубликования условий конкурса или дату подписания протокола прямых переговоров по предоставлению права недропользования в соответствии с законодательством Республики Казахстан о недрах и недропользовании;
3) для контрактов на переработку техногенных минеральных образований – по формуле (С1 х 0,01%), но не менее 300-кратного размера месячного расчетного показателя, установленного законом о республиканском бюджете и действующего на дату опубликования условий конкурса или дату подписания протокола прямых переговоров по предоставлению права недропользования в соответствии с законодательством Республики Казахстан о недрах и недропользовании;
4) для контрактов на разведку недр для сброса сточных вод, а также строительство и (или) эксплуатацию подземных сооружений, не связанных с разведкой и (или) добычей (использование пространства недр), – 400-кратный размер месячного расчетного показателя, установленного законом о республиканском бюджете и действующего на дату опубликования условий конкурса или дату подписания протокола прямых переговоров по предоставлению права недропользования в соответствии с законодательством Республики Казахстан о недрах и недропользовании.
2. Стоимость запасов полезных ископаемых определяется:
1) для углеводородов, за исключением сырого газа, указанного в подпункте 2) настоящего пункта, – исходя из среднеарифметического значения котировок цены углеводородов в иностранной валюте в соответствии со статьей 741 настоящего Кодекса на день, предшествующий дню опубликования условий конкурса или дню подписания протокола прямых переговоров по предоставлению права недропользования в соответствии с законодательством Республики Казахстан о недрах и недропользовании, с применением рыночного курса обмена валюты, определенного в последний рабочий день, предшествующий дате уплаты подписного бонуса. При этом для определения стоимости запасов углеводородов, утвержденных уполномоченным для этих целей государственным органом Республики Казахстан, используется среднеарифметическое значение котировок цены стандартного сорта нефти, указанного в пункте 3 статьи 741 настоящего Кодекса, значение которых на указанную дату является максимальным;
2) для сырого газа по контракту на недропользование, которым предусмотрены обязательства недропользователя о минимальном объеме поставки добытого сырого газа на внутренний рынок Республики Казахстан по цене, определяемой Правительством Республики Казахстан, – по следующей формуле:
С = V1 х Ц1 + V2 х Ц2, где:
V1 – объем запасов сырого газа по промышленным категориям А, В, С1, утвержденных Государственной комиссией по запасам полезных ископаемых Республики Казахстан, подлежащих реализации на внутреннем рынке Республики Казахстан;
V2 – объем запасов сырого газа по промышленным категориям А, В, С1, за исключением V1, утвержденных Государственной комиссией по запасам полезных ископаемых Республики Казахстан;
Ц1 – цена, определяемая Правительством Республики Казахстан;
Ц2 – среднеарифметическое значение котировок цены сырого газа, определяемое в соответствии с подпунктом 1) настоящего пункта;
СП = V1 х Ц1 + V2 х Ц2, где:
V1 – объем запасов сырого газа категории С2, утвержденных Государственной комиссией по запасам полезных ископаемых Республики Казахстан и (или) принятых к сведению в заключении указанной комиссии для оперативного подсчета запасов потенциально коммерческого объекта и прогнозных ресурсов категории С3, подлежащих реализации на внутреннем рынке Республики Казахстан;
V2 – объем запасов сырого газа категории С2, утвержденных Государственной комиссией по запасам полезных ископаемых Республики Казахстан и (или) принятых к сведению в заключении указанной комиссии для оперативного подсчета запасов потенциально коммерческого объекта и прогнозных ресурсов категории С3, за исключением V1;
Ц1 – цена, определяемая Правительством Республики Казахстан;
Ц2 – среднеарифметическое значение котировок цены сырого газа, определяемое в соответствии с подпунктом 1) настоящего пункта;
3) для полезных ископаемых, указанных в подпунктах 1) и 2) пункта 2 статьи 745 настоящего Кодекса, – исходя из среднеарифметического значения котировок цены полезного ископаемого в иностранной валюте в соответствии со статьей 745 настоящего Кодекса на день, предшествующий дню опубликования условий конкурса или дню подписания протокола прямых переговоров по предоставлению права недропользования в соответствии с законодательством Республики Казахстан о недрах и недропользовании, с применением рыночного курса обмена валюты, определенного в последний рабочий день, предшествующий дате уплаты подписного бонуса.
В случае, когда за день, предшествующий дню опубликования условий конкурса или дню подписания протокола прямых переговоров, не опубликованы официальные котировки цен на соответствующие виды полезных ископаемых, используются официальные котировки цен последнего дня, за который ранее были опубликованы такие котировки цен.
В случае, если на полезные ископаемые не установлена биржевая цена, стартовый размер подписного бонуса для контрактов на добычу соответствующих видов полезных ископаемых устанавливается в минимальных размерах, установленных подпунктами 2) и 3) пункта 1 настоящей статьи.
3. Стартовый размер подписного бонуса до проведения конкурса на получение права недропользования может быть увеличен по решению конкурсной комиссии компетентного органа.
4. Окончательный размер подписного бонуса в сумме не ниже стартового устанавливается решением конкурсной комиссии по результатам проведенного конкурса на получение права недропользования или компетентным органом по результатам проведения прямых переговоров с недропользователем и включается в контракт на недропользование.
5. При расширении контрактной территории (участка недр) размер подписного бонуса определяется в следующем порядке:
1) если на расширяемой контрактной территории (участке недр) утверждены запасы полезных ископаемых, – в зависимости от вида полезного ископаемого в порядке, определенном пунктами 1 и 2 настоящей статьи в отношении объемов таких запасов;
2) если на расширяемой контрактной территории (участке недр) не утверждены запасы полезных ископаемых:
для контрактов по углеводородам – как произведение коэффициента расширения контрактной территории (участка недр) и первоначальной суммы подписного бонуса по данному контракту. Коэффициент расширения контрактной территории (участка недр) рассчитывается с точностью до четырех знаков после запятой как отношение размера площади, на которую расширяется контрактная территория (участок недр), к первоначальному размеру площади контрактной территории (участка недр).
При этом в случае, если значение коэффициента расширения контрактной территории (участка недр) превышает 0,1 независимо от количества случаев ее расширения, к размеру подписного бонуса, приходящемуся на такое превышение, применяется коэффициент 3;
для контрактов по минеральному сырью, общераспространенным полезным ископаемым, подземным водам и лечебным грязям – в минимальных размерах, установленных подпунктами 2) и 3) пункта 1 настоящей статьи для соответствующих видов полезных ископаемых.
6. Порядок исчисления подписного бонуса, установленный настоящей статьей, применяется к лицензиям на разведку или добычу твердых полезных ископаемых, выдаваемым по результатам аукциона.
Статья 727. Особенности исчисления подписного бонуса по лицензиям на недропользование, за исключением лицензий, выдаваемых по результатам аукциона
Сумма подписного бонуса по лицензии на недропользование, за исключением лицензии, выдаваемой по результатам аукциона, исчисляется исходя из ставки, выраженной в размере месячного расчетного показателя, установленного законом о республиканском бюджете и действующего на дату уплаты подписного бонуса:
|
№ п/п |
Наименование |
Ставка в МРП |
|
1 |
2 |
3 |
|
1. |
Лицензия на разведку |
100 |
|
2. |
Лицензия на добычу |
200 |
|
3. |
Лицензия на старательство: |
|
|
3.1. |
при площади предоставленной территории до 17 000 м2 |
9 |
|
3.2. |
при площади предоставленной территории от 17 000 м2 до 33 000 м2 |
12 |
|
3.3. |
при площади предоставленной территории от 33 000 м2 до 50 000 м2 |
15 |
|
4. |
Лицензия на геологическое изучение |
50 |
|
5. |
Лицензия на использование пространства недр |
400 |
Сноска. Статья 727 в редакции Закона РК от 10.12.2020 № 382-VI (вводится в действие с 01.01.2021).
Статья 728. Налоговый период
Налоговым периодом по подписному бонусу является календарный квартал, в котором наступил срок уплаты подписного бонуса.
Статья 729. Сроки уплаты подписного бонуса
1. Если иное не установлено настоящей статьей, подписной бонус уплачивается в бюджет по месту нахождения налогоплательщика не позднее двадцати рабочих дней с даты объявления налогоплательщика победителем конкурса или даты подписания протокола прямых переговоров по предоставлению права недропользования в соответствии с законодательством Республики Казахстан о недрах и недропользовании.
2. Подписной бонус по лицензиям на недропользование уплачивается в бюджет по месту нахождения налогоплательщика не позднее десяти рабочих дней со дня выдачи такой лицензии.
3. При расширении контрактной территории (участка недр) подписной бонус уплачивается в бюджет по месту нахождения налогоплательщика не позднее тридцати календарных дней с даты внесения изменений в контракт на недропользование о таком расширении в порядке, определенном законодательством Республики Казахстан.
4. При получении письменного разрешения на право недропользования на разведку или добычу общераспространенных полезных ископаемых, используемых при строительстве (реконструкции) и ремонте автомобильных дорог общего пользования, железных дорог и гидросооружений, подписной бонус уплачивается в бюджет по месту нахождения налогоплательщика не позднее тридцати календарных дней с даты получения такого разрешения в соответствии с законодательством Республики Казахстан о недрах и недропользовании.
Сноска. Статья 729 с изменением, внесенным Законом РК от 10.12.2020 № 382-VI (вводится в действие с 01.01.2021).
Статья 730. Налоговая декларация
Декларация по подписному бонусу представляется недропользователем в налоговый орган по месту нахождения до 15 числа второго месяца, следующего за налоговым периодом.
Глава 84. ПЛАТЕЖ ПО ВОЗМЕЩЕНИЮ ИСТОРИЧЕСКИХ ЗАТРАТ
Статья 731. Общие положения
Платеж по возмещению исторических затрат является фиксированным платежом недропользователя по возмещению суммарных затрат, понесенных государством на геологическое изучение контрактной территории (участка недр) и разведку месторождений до заключения контракта на недропользование.
Статья 732. Плательщики
1. Если иное не установлено пунктом 2 настоящей статьи, плательщиками платежа по возмещению исторических затрат являются недропользователи, осуществляющие деятельность в рамках контракта на недропользование, по месторождениям полезных ископаемых, по которым государство понесло затраты на геологическое изучение контрактной территории (участка недр) и разведку месторождений до заключения контракта на недропользование.
2. Не является плательщиком платежа по возмещению исторических затрат недропользователь, осуществляющий деятельность в рамках лицензии на разведку или добычу твердых полезных ископаемых, при одновременном соблюдении следующих условий:
лицензия на разведку или добычу твердых полезных ископаемых выдана после 31 декабря 2017 года в соответствии с законодательством Республики Казахстан о недрах и недропользовании;
территория, на которую предоставлена лицензия на разведку или добычу твердых полезных ископаемых, не относится к территории, на которую до 1 января 2018 года предоставлялось право недропользования по контрактам на недропользование в соответствии с законодательством Республики Казахстан о недрах и недропользовании.
Статья 733. Порядок установления платежа по возмещению исторических затрат
1. Сумма исторических затрат, понесенных государством на геологическое изучение контрактной территории (участка недр) и разведку месторождений, рассчитывается уполномоченным для этих целей государственным органом Республики Казахстан в порядке, определенном законодательством Республики Казахстан, и подлежит уплате в бюджет:
1) в виде платежа по возмещению исторических затрат в размере, установленном соглашением о конфиденциальности, за минусом платы за приобретение геологической информации, находящейся в государственной собственности;
2) в виде платы за приобретение геологической информации, находящейся в государственной собственности, в размере, установленном соглашением о конфиденциальности.
2. Обязательство по платежу по возмещению исторических затрат возникает с даты заключения соглашения о конфиденциальности между недропользователем и уполномоченным органом по изучению и использованию недр, а по контрактам на недропользование, включая соглашения о разделе продукции, заключенным до 1 января 2009 года, по которым по состоянию на 1 января 2009 года не заключены соответствующие соглашения о конфиденциальности, но должны быть заключены по условиям контракта на недропользование, – с даты заключения соглашения о конфиденциальности с уполномоченным органом по изучению и использованию недр.
Статья 734. Порядок и сроки уплаты
1. Платеж по возмещению исторических затрат уплачивается недропользователем с начала добычи на контрактной территории (участке) и наступления наиболее ранней из следующих дат:
объявление коммерческого обнаружения;
переход на период (этап) добычи в соответствии с законодательством Республики Казахстан о недрах и недропользовании;
выдача лицензии на добычу полезных ископаемых;
заключение контракта на добычу полезных ископаемых.
Уплата платежа по возмещению исторических затрат осуществляется в бюджет по месту нахождения недропользователя в следующем порядке:
1) если общий размер платежа по возмещению исторических затрат, понесенных государством на геологическое изучение контрактной территории (участка недр) и разведку месторождений, составляет сумму, равную или менее 10000-кратного размера месячного расчетного показателя, установленного законом о республиканском бюджете и действующего на дату заключения соглашения о конфиденциальности, платеж по возмещению исторических затрат уплачивается не позднее 10 апреля года, следующего за годом, в котором недропользователь приступил к добыче полезных ископаемых;
2) если общий размер платежа по возмещению исторических затрат, понесенных государством на геологическое изучение контрактной территории (участка недр) и разведку месторождений, составляет сумму, превышающую 10000-кратный размер месячного расчетного показателя, установленного законом о республиканском бюджете и действующего на дату заключения соглашения о конфиденциальности, платеж по возмещению исторических затрат уплачивается недропользователем ежеквартально, не позднее 25 числа второго месяца, следующего за отчетным кварталом, равными долями в течение периода продолжительностью, не превышающей срок действия контракта на недропользование, но не более десяти лет в сумме, эквивалентной сумме не менее 2500-кратного размера месячного расчетного показателя, установленного законом о республиканском бюджете и действующего на дату заключения соглашения о конфиденциальности, за исключением суммы последней доли, которая может быть менее суммы, эквивалентной сумме 2500-кратного размера месячного расчетного показателя, установленного законом о республиканском бюджете и действующего на дату заключения соглашения о конфиденциальности.
По контрактам на недропользование, заключенным до 1 января 2009 года, по которым недропользователь приступил к добыче полезных ископаемых до 1 января 2009 года, если не возмещенная в бюджет по состоянию на 1 января 2009 года сумма исторических затрат составляет сумму, превышающую 10 000-кратный размер месячного расчетного показателя, установленный на 1 января 2009 года законом о республиканском бюджете, платеж по возмещению исторических затрат уплачивается недропользователем ежеквартально, не позднее 25 числа второго месяца, следующего за отчетным кварталом, равными долями в течение периода продолжительностью, не превышающей срок действия контракта на недропользование, но не более десяти лет в сумме, эквивалентной сумме не менее 2 500-кратного размера месячного расчетного показателя, установленного на 1 января 2009 года законом о республиканском бюджете, за исключением суммы последней доли, которая может быть менее суммы, эквивалентной сумме 2 500-кратного размера месячного расчетного показателя, установленного на 1 января 2009 года законом о республиканском бюджете.
2. Если сумма исторических затрат, понесенных государством на геологическое изучение контрактной территории (участка недр) и разведку месторождений, установлена уполномоченным для этих целей государственным органом Республики Казахстан в иностранной валюте, то:
1) в целях определения общего размера платежа в тенге для установления порядка уплаты платежа в соответствии с настоящей статьей сумма исторических затрат, рассчитанная уполномоченным для этих целей государственным органом Республики Казахстан, пересчитывается в тенге по рыночному курсу обмена валюты, определенному в последний рабочий день, предшествующий 1 числу отчетного квартала, в котором недропользователем была начата добыча после коммерческого обнаружения, а по контрактам на недропользование, заключенным до 1 января 2009 года, по которым недропользователь приступил к добыче полезных ископаемых до 1 января 2009 года, – не возмещенная в бюджет по состоянию на 1 января 2009 года сумма исторических затрат пересчитывается в тенге по рыночному курсу обмена валюты, определенному в последний рабочий день, предшествующий 1 января 2009 года;
2) в целях равномерного распределения не возмещенной в бюджет суммы исторических затрат в иностранной валюте на суммы ежеквартальных платежей, подлежащие уплате в соответствии с подпунктом 2) части первой пункта 1 настоящей статьи, указанная сумма исторических затрат пересчитывается на начало каждого календарного года в тенге по рыночному курсу обмена валюты, определенному в последний рабочий день, предшествующий 1 января такого календарного года.
3. По контрактам на недропользование на проведение разведки месторождений полезных ископаемых, не предусматривающим последующей их добычи, платеж по возмещению исторических затрат не уплачивается.
Сноска. Статья 734 с изменениями, внесенными Законом РК от 10.12.2020 № 382-VI (вводится в действие с 01.01.2021).
Статья 735. Налоговая декларация
1. Если общий размер платежа по возмещению исторических затрат, понесенных государством на геологическое изучение контрактной территории (участка недр) и разведку месторождений, составляет сумму, равную или менее 10 000-кратного размера месячного расчетного показателя, установленного законом о республиканском бюджете и действующего на дату заключения соглашения о конфиденциальности, то декларация представляется недропользователем в налоговый орган по месту нахождения не позднее 31 марта года, следующего за годом, в котором недропользователь приступил к добыче полезных ископаемых.
2. Если общий размер платежа по возмещению исторических затрат, понесенных государством на геологическое изучение контрактной территории (участка недр) и разведку месторождений, составляет сумму, превышающую 10 000-кратный размер месячного расчетного показателя, установленного законом о республиканском бюджете и действующего на дату заключения соглашения о конфиденциальности, то декларация представляется недропользователем в налоговый орган по месту нахождения ежеквартально, не позднее 15 числа второго месяца, следующего за отчетным кварталом.
По контрактам на недропользование, заключенным до 1 января 2009 года, по которым недропользователь приступил к добыче полезных ископаемых до 1 января 2009 года, если не возмещенная в бюджет по состоянию на 1 января 2009 года сумма исторических затрат составляет сумму, превышающую 10 000-кратный размер месячного расчетного показателя, установленный на 1 января 2009 года законом о республиканском бюджете, то декларация представляется недропользователем в налоговый орган по месту нахождения ежеквартально, не позднее 15 числа второго месяца, следующего за отчетным кварталом.
Глава 85. НАЛОГ НА ДОБЫЧУ ПОЛЕЗНЫХ ИСКОПАЕМЫХ
Статья 736. Общие положения
1. Налог на добычу полезных ископаемых уплачивается недропользователем отдельно по каждому виду добываемых на территории Республики Казахстан минерального сырья, углеводородов, подземных вод и лечебных грязей.
2. Налог на добычу полезных ископаемых по всем видам добываемых минерального сырья, углеводородов, подземных вод и лечебных грязей вне зависимости от вида проводимой добычи уплачивается по ставкам и в порядке, которые установлены настоящей главой.
3. Если иное не установлено настоящим пунктом, в целях исчисления налога на добычу полезных ископаемых из общего объема добытых за налоговый период углеводородов, минерального сырья, подземных вод и лечебных грязей подлежит исключению объем углеводородов, минерального сырья, подземных вод и лечебных грязей, переданных для проведения технологического опробования и исследований. Объем углеводородов, минерального сырья, подземных вод и лечебных грязей, передаваемых для технологического опробования и исследований, ограничивается минимальной массой технологических проб, указанных в национальных стандартах для соответствующих видов (сортов) углеводородов, минерального сырья, подземных вод и лечебных грязей.
При этом исключение объема углеводородов, минерального сырья, подземных вод и лечебных грязей, переданных для проведения технологического опробования и исследований, из вышеуказанного общего объема добычи не производится в случае их реализации, в том числе после первичной переработки (обогащения), а также при их переработке.
Сноска. Статья 736 с изменением, внесенным Законом РК от 21.12.2022 № 165-VII (вводится в действие с 01.01.2024).
Статья 737. Особенности уплаты
1. Налог на добычу полезных ископаемых уплачивается в денежной форме, за исключением случая, предусмотренного пунктом 2 настоящей статьи.
2. В ходе осуществления деятельности по контракту на недропользование денежная форма выплаты налога на добычу полезных ископаемых по решению Правительства Республики Казахстан может быть заменена натуральной формой в порядке, определенном дополнительным соглашением, заключаемым между уполномоченным государственным органом и недропользователем.
Порядок уплаты в натуральной форме налога на добычу полезных ископаемых, установленного настоящим Кодексом, а также роялти и доли Республики Казахстан по разделу продукции, установленных контрактами на недропользование, указанными в пункте 1 статьи 722 настоящего Кодекса, установлен главой 88 настоящего Кодекса.
Статья 738. Плательщики
Плательщиками налога на добычу полезных ископаемых являются недропользователи, осуществляющие добычу углеводородов, минерального сырья, подземных вод и лечебных грязей, включая извлечение полезных ископаемых из техногенных минеральных образований, по которым не уплачен налог на добычу полезных ископаемых и (или) роялти, в рамках каждого отдельного заключенного контракта на недропользование, за исключением недропользователей, осуществляющих деятельность исключительно в рамках лицензии на старательство.
Параграф 1. Налог на добычу полезных ископаемых на углеводороды
Статья 739. Объект обложения
1. Объектом обложения налогом на добычу полезных ископаемых является физический объем добытых недропользователем за налоговый период углеводородов.
2. В целях исчисления налога на добычу полезных ископаемых общий объем добытых недропользователем за налоговый период углеводородов подразделяется на:
1) нефть, реализованную для переработки на нефтеперерабатывающий завод, расположенный на территории Республики Казахстан, – объем нефти, добытой недропользователем в рамках каждого отдельного контракта на недропользование за налоговый период и реализованной недропользователем на нефтеперерабатывающий завод, расположенный на территории Республики Казахстан, либо третьему лицу для последующей реализации на нефтеперерабатывающий завод, расположенный на территории Республики Казахстан;
2) нефть, переданную для переработки в качестве давальческого сырья на нефтеперерабатывающий завод, расположенный на территории Республики Казахстан, – объем нефти, добытой недропользователем в рамках каждого отдельного контракта на недропользование за налоговый период и переданной недропользователем в качестве давальческого сырья для переработки на нефтеперерабатывающий завод, расположенный на территории Республики Казахстан, либо реализованной третьему лицу для последующей передачи в качестве давальческого сырья для переработки на нефтеперерабатывающий завод, расположенный на территории Республики Казахстан;
3) нефть, использованную недропользователем на собственные производственные нужды, – объем нефти, добытой недропользователем в рамках каждого отдельного контракта на недропользование за налоговый период, использованной на собственные производственные нужды в течение налогового периода;
4) нефть, переданную недропользователем в натуральной форме в счет уплаты налога на добычу полезных ископаемых, рентного налога на экспорт, роялти и доли Республики Казахстан по разделу продукции получателю от имени государства в соответствии с главой 88 настоящего Кодекса;
5) сырой газ, реализованный на внутреннем рынке Республики Казахстан и (или) использованный на собственные производственные нужды.
Для целей настоящей главы сырым газом также признается сырой газ, использованный для производства товарного газа:
реализованного на внутреннем рынке Республики Казахстан;
использованного недропользователем – субъектом промышленно-инновационной деятельности, осуществление которой предусмотрено Законом Республики Казахстан «О промышленной политике».
Если иное не установлено настоящим подпунктом, в целях настоящего раздела сырым газом, использованным на собственные производственные нужды, признается сырой газ, в том числе прошедший переработку, добытый недропользователем в рамках контракта на недропользование и использованный в рамках данного контракта в соответствии с утвержденными уполномоченным органом в сфере углеводородов документами:
при проведении операций по недропользованию в качестве топлива при подготовке углеводородов;
для технологических и коммунально-бытовых нужд;
для подогрева нефти на устье скважин и при транспортировке нефти от места добычи и хранения до места перевалки в магистральный трубопровод и (или) на другой вид транспорта в соответствии с утвержденными проектными документами;
для выработки электроэнергии, используемой при проведении операций по недропользованию;
для обратной закачки в недра в объеме, предусмотренном утвержденными проектными документами, за исключением случаев обратной закачки в недра, предусмотренных пунктом 5 настоящей статьи;
в целях газлифтного (механизированного) способа эксплуатации добывающих нефтяных скважин в объемах, предусмотренных утвержденными уполномоченным органом в области углеводородов проектными документами.
Сырым газом, использованным на собственные производственные нужды, признается также сырой газ, добытый недропользователем в рамках контракта на недропользование и использованный для обратной закачки в недра в целях поддержания пластового давления в нефтегазовых зонах в рамках другого контракта на недропользование данного недропользователя в объеме, предусмотренном утвержденными проектными документами;
6) попутный газ, использованный для производства сжиженного нефтяного газа в объеме, приходящемся на сжиженный нефтяной газ, реализованный на внутреннем рынке Республики Казахстан. При этом такой объем сжиженного нефтяного газа утверждается уполномоченным органом в области углеводородов и является обязательным для реализации на внутреннем рынке Республики Казахстан в соответствии с законодательством Республики Казахстан в сфере газа и газоснабжения;
7) сырой газ, использованный недропользователем-субъектом индустриально-инновационной деятельности, осуществление которой предусмотрено Предпринимательским кодексом Республики Казахстан;
8) товарные углеводороды – общий объем добытых недропользователем за налоговый период в рамках каждого отдельного контракта на недропользование углеводородов за вычетом объемов нефти, сырого газа и попутного газа, указанных в подпунктах 1) – 7) настоящего пункта, если иное не установлено настоящей статьей.
3. Объемом сырого газа, использованного на собственные производственные нужды, и (или) попутного газа, использованного для производства сжиженного нефтяного газа, в соответствии с подпунктами 5) и 6) пункта 2 настоящей статьи признается фактический объем такого использованного природного и (или) попутного газа в пределах объемов, указанных в утвержденных уполномоченным органом в области углеводородов документах.
4. Для подтверждения указанных в подпункте 1) пункта 2 настоящей статьи реализации на нефтеперерабатывающий завод, расположенный на территории Республики Казахстан, либо третьему лицу для последующей реализации на нефтеперерабатывающий завод, расположенный на территории Республики Казахстан, и подпункте 2) пункта 2 настоящей статьи передачи в качестве давальческого сырья для переработки на нефтеперерабатывающий завод, расположенный на территории Республики Казахстан, либо реализации третьему лицу для последующей передачи в качестве давальческого сырья для переработки на нефтеперерабатывающий завод, расположенный на территории Республики Казахстан, недропользователь обязан иметь оригиналы коммерческих и товаросопроводительных документов или их нотариально засвидетельствованные копии, подтверждающие физический объем и факт приемки нефтеперерабатывающим заводом, расположенным на территории Республики Казахстан, соответствующего объема нефти, а для подтверждения указанной в подпункте 1) пункта 2 настоящей статьи реализации на нефтеперерабатывающий завод, расположенный на территории Республики Казахстан, либо третьему лицу для последующей реализации на нефтеперерабатывающий завод, расположенный на территории Республики Казахстан, – также оригиналы документов или их нотариально засвидетельствованные копии, подтверждающие фактическую покупную цену нефтеперерабатывающего завода, расположенного на территории Республики Казахстан, для соответствующего объема.
При отсутствии таких оригиналов документов или их нотариально засвидетельствованных копий соответствующий объем нефти рассматривается для целей исчисления налога на добычу полезных ископаемых как товарные углеводороды.
5. Налог на добычу полезных ископаемых не уплачивается по сырому газу в объеме, закачиваемом обратно в недра с целью увеличения коэффициента извлекаемости нефти, предусмотренном утвержденными проектными документами.
Сноска. Статья 739 с изменениями, внесенными Законом РК от 15.07.2025 № 208-VIII (вводится в действие с 01.01.2018).
Статья 740. Налоговая база
Налоговой базой для исчисления налога на добычу полезных ископаемых является стоимость объема добытых за налоговый период углеводородов.
Статья 741. Порядок определения стоимости углеводородов
1. В целях исчисления налога на добычу полезных ископаемых
стоимость добытой за налоговый период нефти определяется в следующем порядке:
1) при реализации недропользователем на нефтеперерабатывающий завод, расположенный на территории Республики Казахстан, либо третьему лицу для последующей реализации на нефтеперерабатывающий завод, расположенный на территории Республики Казахстан, – как произведение фактического объема реализованной недропользователем на нефтеперерабатывающий завод, расположенный на территории Республики Казахстан, либо третьему лицу для последующей реализации на нефтеперерабатывающий завод, расположенный на территории Республики Казахстан, нефти и фактической покупной цены нефтеперерабатывающего завода, расположенного на территории Республики Казахстан, за единицу продукции;
2) при передаче недропользователем в качестве давальческого сырья для переработки на нефтеперерабатывающий завод, расположенный на территории Республики Казахстан, либо реализации третьему лицу для последующей передачи в качестве давальческого сырья для переработки на нефтеперерабатывающий завод, расположенный на территории Республики Казахстан, и (или) использовании недропользователем на собственные производственные нужды – как произведение фактического объема переданной недропользователем в качестве давальческого сырья для переработки на нефтеперерабатывающий завод, расположенный на территории Республики Казахстан, либо реализованной третьему лицу для последующей передачи в качестве давальческого сырья на нефтеперерабатывающий завод, расположенный на территории Республики Казахстан, и (или) использованной недропользователем на собственные производственные нужды нефти и производственной себестоимости добычи, включая подготовку, единицы продукции, определяемой в соответствии с международными стандартами финансовой отчетности и требованиями законодательства Республики Казахстан о бухгалтерском учете и финансовой отчетности, увеличенной на 20 процентов;
3) при передаче недропользователем нефти в натуральной форме в счет уплаты налога на добычу полезных ископаемых, рентного налога на экспорт, роялти и доли Республики Казахстан по разделу продукции получателю от имени государства – как произведение фактического объема переданной недропользователем нефти в натуральной форме в счет уплаты налога на добычу полезных ископаемых, рентного налога на экспорт, роялти и доли Республики Казахстан по разделу продукции получателю от имени государства в соответствии с главой 88 настоящего Кодекса и цены передачи, установленной в порядке, определенном Правительством Республики Казахстан.
2. Стоимость товарных углеводородов, добытых недропользователем в рамках каждого отдельного контракта на недропользование за налоговый период, определяется как произведение объема добытых товарных углеводородов и мировой цены за единицу продукции, рассчитанной за налоговый период в порядке, определенном пунктами 3 и 4 настоящей статьи.
3. Мировая цена нефти определяется как произведение среднеарифметического значения ежедневных котировок цен за налоговый период и среднеарифметического рыночного курса обмена валюты за соответствующий налоговый период по нижеприведенной формуле.
Для целей настоящего пункта котировка цены означает котировку цены нефти в иностранной валюте каждого в отдельности стандартного сорта нефти «Юралс Средиземноморье» (Urals Med) или «Датированный Брент» (Brent Dtd) в налоговом периоде на основании информации, публикуемой в источнике «Platts Crude Oil Marketwire» компании «The Mcgraw-Нill Companies Inc».
При отсутствии информации о ценах на указанные стандартные сорта сырой нефти в данном источнике используются цены на указанные стандартные сорта сырой нефти:
по данным источника «Argus Crude» компании «Argus Media Ltd»;
при отсутствии информации о ценах на указанные стандартные сорта сырой нефти в вышеуказанных источниках – по данным других источников, определяемых законодательством Республики Казахстан о трансфертном ценообразовании.
Для определения мировой цены нефти перевод единиц измерения из барреля в метрическую тонну с учетом фактической плотности и температуры добытой нефти, приведенных к стандартным условиям измерения и указанных в паспорте качества нефти, производится в соответствии с национальным стандартом, утвержденным уполномоченным органом в сфере стандартизации.
При этом для целей исчисления налога на добычу полезных ископаемых перевод единиц измерения из метрической тонны в баррель осуществляется на основе средневзвешенного коэффициента баррелизации по следующей формуле:
К барр. ср.взв. = (V тонн 1 х К барр.1 + V тонн 2… х К барр.2… + V тонн n х К барр.n) / V тонн S, где:
К барр. ср.взв. – средневзвешенный коэффициент баррелизации, рассчитываемый с точностью до четырех знаков после запятой;
V тонн – объемы каждой добытой партии нефти;
К барр.1, К барр.2 … + К барр.n – коэффициенты баррелизации, указанные в паспорте качества по каждой соответствующей партии добытой нефти;
V тонн S – общий объем добытой за налоговый период нефти, выраженный в метрических тоннах.
Мировая цена нефти определяется по следующей формуле:
где:
S – мировая цена нефти за налоговый период;
P1, P2 …, Рn – ежедневная среднеарифметическая котировка цен в дни, за которые опубликованы котировки цен в течение налогового периода;
Е – среднеарифметический рыночный курс обмена валюты за соответствующий налоговый период;
n – количество дней в налоговом периоде, за которые опубликованы котировки цен.
Ежедневная среднеарифметическая котировка цен определяется по формуле:
где:
Pn – ежедневная среднеарифметическая котировка цен;
Сn1 – низшее значение (min) ежедневной котировки цены стандартного сорта сырой нефти «Юралс Средиземноморье» (Urals Med) или «Датированный Брент» (Brent Dtd);
Сn2 – высшее значение (max) ежедневной котировки цены стандартного сорта сырой нефти «Юралс Средиземноморье» (Urals Med) или «Датированный Брент» (Brent Dtd).
Отнесение нефти к определенному стандартному сорту нефти «Юралс Средиземноморье» (Urals Med) или «Датированный Брент» (Brent Dtd) производится недропользователем на основании договоров на поставку нефти. В случае, когда в договоре на поставку не указан стандартный сорт нефти или указан сорт нефти, не относящийся к вышеуказанным стандартным сортам, недропользователь обязан отнести объем нефти, поставленной по такому договору, к тому сорту нефти, средняя мировая цена по которому за налоговый период является максимальной.
4. Мировая цена на сырой газ определяется как произведение среднеарифметического значения ежедневных котировок цен в иностранной валюте за налоговый период с учетом перевода международных единиц измерения в кубический метр в соответствии с утвержденным коэффициентом и среднеарифметического рыночного курса обмена валюты за соответствующий налоговый период по нижеприведенной формуле.
Для целей настоящего пункта котировка цены означает котировку цены природного газа «Zeebrugge Day-Ahead» в иностранной валюте в налоговом периоде на основании информации, публикуемой в источнике «Platts European Gas Daily» компании «The Mcgraw-Hill Companies Inc».
При отсутствии информации о цене на природный газ «Zeebrugge Day-Ahead» в данном источнике используется цена на природный газ «Zeebrugge Day-Ahead»:
1) по данным источника «Argus European Natural Gas» компании «Argus Media Ltd»;
2) при отсутствии информации о цене на природный газ «Zeebrugge Day-Ahead» в вышеуказанных источниках – по данным других источников, определяемых законодательством Республики Казахстан о трансфертном ценообразовании.
Мировая цена сырого газа определяется по следующей формуле:
где:
S – мировая цена сырого газа за налоговый период;
P1, P2…, Pn – ежедневная среднеарифметическая котировка цен в дни, за которые опубликованы котировки цен в течение налогового периода;
Е – среднеарифметический рыночный курс обмена валюты за соответствующий налоговый период;
n – количество дней в налоговом периоде, за которые опубликованы котировки цен.
Ежедневная среднеарифметическая котировка цен определяется по формуле:
где:
Рn – ежедневная среднеарифметическая котировка цен;
Сn1 – низшее значение (min) ежедневной котировки цены природного газа «Zeebrugge Day-Ahead»;
Сn2 – высшее значение (max) ежедневной котировки цены природного газа «Zeebrugge Day-Ahead».
5. В целях исчисления налога на добычу полезных ископаемых стоимость сырого газа, реализованного недропользователем на внутреннем рынке Республики Казахстан и (или) использованного на собственные производственные нужды, попутного газа, использованного для производства сжиженного нефтяного газа, а также сырого газа, использованного недропользователем – субъектом индустриально-инновационной деятельности, определяется в следующем порядке:
1) при реализации недропользователем добытого сырого газа на внутреннем рынке Республики Казахстан – исходя из средневзвешенной цены реализации, сложившейся за налоговый период, определяемой в соответствии с пунктом 7 статьи 745 настоящего Кодекса;
2) при использовании добытого попутного газа для производства сжиженного нефтяного газа в соответствии с условиями, указанными в подпункте 6) пункта 2 статьи 739 настоящего Кодекса, и (или) использовании добытого сырого газа на собственные производственные нужды – как произведение фактического объема:
попутного газа, использованного для производства сжиженного нефтяного газа, и производственной себестоимости добычи, включая подготовку, единицы продукции, определяемой в соответствии с международными стандартами финансовой отчетности и требованиями законодательства Республики Казахстан о бухгалтерском учете и финансовой отчетности, увеличенной на 20 процентов;
сырого газа, использованного недропользователем на собственные производственные нужды, и производственной себестоимости добычи, включая подготовку, единицы продукции, определяемой в соответствии с международными стандартами финансовой отчетности и требованиями законодательства Республики Казахстан о бухгалтерском учете и финансовой отчетности, увеличенной на 20 процентов.
Если сырой газ добывается попутно с нефтью, производственная себестоимость добычи сырого газа определяется на основании производственной себестоимости добычи, включая подготовку, нефти в соотношении:
одна тысяча кубических метров сырого газа соответствует 0,857 тонны нефти;
3) при использовании добытого сырого газа недропользователем –субъектом индустриально-инновационной деятельности в соответствии с условиями, указанными в подпункте 7) пункта 2 статьи 739 настоящего Кодекса, – как произведение фактического объема сырого газа, использованного недропользователем – субъектом индустриально-инновационной деятельности, и производственной себестоимости добычи, включая подготовку, единицы продукции, определяемой в соответствии с международными стандартами финансовой отчетности и требованиями законодательства Республики Казахстан о бухгалтерском учете и финансовой отчетности, увеличенной на 20 процентов.
6. Мировая цена стандартных сортов углеводородов определяется по каждому налоговому периоду уполномоченным органом в порядке, определенном настоящим Кодексом, и подлежит опубликованию в средствах массовой информации не позднее 10 числа месяца, следующего за отчетным налоговым периодом.
Сноска. Статья 741 с изменениями, внесенными законами РК от 05.10.2018 № 184-VI (вводится в действие по истечении десяти календарных дней после дня его первого официального опубликования); от 10.12.2020 № 382-VI (вводится в действие с 01.01.2021).
Статья 742. Порядок исчисления налога
1. Сумма налога на добычу полезных ископаемых, подлежащая уплате в бюджет, определяется исходя из объекта налогообложения, налоговой базы и ставки.
2. Для исчисления налога на добычу полезных ископаемых недропользователь в течение календарного года применяет ставку, соответствующую планируемому объему добычи на текущий налоговый год по каждому отдельному контракту на недропользование, в соответствии со шкалой, приведенной в статье 743 настоящего Кодекса.
При этом в случае передачи (перехода) права недропользования в рамках одного контракта на недропользование применяется ставка налога на добычу полезных ископаемых, соответствующая заявленному общему годовому объему добычи по такому контракту на недропользование, независимо от факта передачи (перехода) права недропользования.
В целях обеспечения правильности исчисления и полноты уплаты в бюджет налога на добычу полезных ископаемых уполномоченный орган в области углеводородов до 20 января текущего календарного года представляет в налоговый орган сведения о планируемых объемах добычи углеводородов в разрезе недропользователей на предстоящий год по каждому отдельному контракту на недропользование.
3. Если по итогам отчетного календарного года фактический объем добытых углеводородов по контракту на недропользование не соответствует запланированному объему по такому контракту и приводит к изменению ставки налога на добычу полезных ископаемых, недропользователь обязан произвести корректировку исчисленной за отчетный год суммы налога на добычу полезных ископаемых.
Корректировка суммы налога на добычу полезных ископаемых производится в декларации за последний налоговый период отчетного налогового года путем применения ставки налога на добычу полезных ископаемых, соответствующей фактическому объему добытых углеводородов, определяемой в соответствии со статьей 743 настоящего Кодекса, к налоговой базе, исчисленной в декларациях по налогу на добычу полезных ископаемых за 1 – 3 кварталы отчетного налогового года.
Сумма налога на добычу полезных ископаемых, учитывающая произведенную корректировку, является налоговым обязательством по налогу на добычу полезных ископаемых за последний налоговый период отчетного года.
Статья 743. Ставки налога на добычу полезных ископаемых
1. Если иное не установлено пунктом 2 настоящей статьи, ставки налога на добычу полезных ископаемых на нефть устанавливаются в фиксированном выражении по следующей шкале:
|
№ п/п |
Объем годовой добычи |
Ставки, в % |
|
1 |
2 |
3 |
|
1. |
до 250 000 тонн включительно |
5 |
|
2. |
до 500 000 тонн включительно |
7 |
|
3. |
до 1 000 000 тонн включительно |
8 |
|
4. |
до 2 000 000 тонн включительно |
9 |
|
5. |
до 3 000 000 тонн включительно |
10 |
|
6. |
до 4 000 000 тонн включительно |
11 |
|
7. |
до 5 000 000 тонн включительно |
12 |
|
8. |
до 7 000 000 тонн включительно |
13 |
|
9. |
до 10 000 000 тонн включительно |
15 |
|
10. |
свыше 10 000 000 тонн |
18 |
В случае реализации и (или) передачи нефти на внутреннем рынке Республики Казахстан, в том числе в натуральной форме в счет уплаты налога на добычу полезных ископаемых, рентного налога на экспорт, роялти и доли Республики Казахстан по разделу продукции получателю от имени государства или использования на собственные производственные нужды в порядке, определенном подпунктами 1), 2), 3) и 4) пункта 2 статьи 739 настоящего Кодекса, к установленным ставкам применяется понижающий коэффициент 0,5.
Ставка налога на добычу полезных ископаемых на сырой газ составляет 10 процентов.
При реализации сырого газа на внутреннем рынке налог на добычу полезных ископаемых уплачивается по следующим ставкам в зависимости от объема годовой добычи:
|
№ |
Объем годовой добычи |
Ставки, в % |
|
1 |
2 |
3 |
|
1. |
до 1,0 млрд. куб. м включительно |
0,5 |
|
2. |
до 2,0 млрд. куб. м включительно |
1,0 |
|
3. |
свыше 2,0 млрд. куб. м |
1,5 |
2. Ставки налога на добычу полезных ископаемых на нефть для месторождений (группы месторождений, части месторождения), отнесенных к категории низкорентабельных, высоковязких, обводненных, малодебитных, выработанных, по контракту на добычу углеводородов устанавливаются Правительством Республики Казахстан.
Параграф 2. Налог на добычу полезных ископаемых на минеральное сырье, за исключением общераспространенных полезных ископаемых
Статья 744. Объект обложения
Объектом обложения является физический объем добытых недропользователем за налоговый период минерального сырья или твердых полезных ископаемых с учетом объема фактических потерь в недрах за налоговый период, превышающего пределы нормируемых потерь в недрах, установленных техническим проектом разработки месторождения, утвержденным уполномоченным для этих целей государственным органом Республики Казахстан (облагаемый объем полезных ископаемых).
При этом недропользователь передает сведения о физическом объеме добытых недропользователем минерального сырья или твердых полезных ископаемых за истекший (отчетный) календарный год в уполномоченный орган по изучению и использованию недр не позднее 30 апреля года, следующего за отчетным, по форме, установленной таким уполномоченным органом.
Для целей определения объекта обложения добытые минеральное сырье и (или) твердые полезные ископаемые определяются в рамках государственного баланса, действующего по состоянию на день, предшествующий дню перехода к учету запасов по Казахстанскому кодексу публичной отчетности о результатах геологоразведочных работ, минеральных ресурсах и минеральных запасах (далее – Кодекс KAZRC), а также с учетом минерального сырья, добываемого из состава списанных запасов (возврат потерь) на месторождении.
По минеральному сырью и (или) твердым полезным ископаемым, которые ранее не были утверждены Государственной комиссией по запасам полезных ископаемых, добытое минеральное сырье и (или) полезные ископаемые определяются в рамках запасов полезных ископаемых согласно Кодексу KAZRC.
Для целей определения облагаемого объема полезных ископаемых применяются единицы измерения, используемые в отчетных и сводных балансах запасов минерального сырья и (или) твердых полезных ископаемых, представляемых уполномоченному органу по изучению и использованию недр.
Не является объектом обложения объем урана, возвращенный в недра в рамках добычи методом подземного скважинного выщелачивания.
Сноска. Статья 744 — в редакции Закона РК от 21.12.2022 № 165-VII (вводится в действие с 01.01.2024).
Статья 745. Налоговая база
1. Налоговой базой для исчисления налога на добычу полезных ископаемых является стоимость облагаемого объема полезных ископаемых за налоговый период.
2. В целях исчисления налога на добычу полезных ископаемых минеральное сырье подразделяется на:
1) минеральное сырье, содержащее только те полезные ископаемые, которые указаны в пункте 4 настоящей статьи;
2) минеральное сырье, содержащее одновременно полезные ископаемые, указанные в пункте 4 настоящей статьи, и другие виды полезных ископаемых;
3) минеральное сырье, содержащее полезные ископаемые, за исключением полезных ископаемых, указанных в пункте 4 настоящей статьи;
4) исключен Законом РК от 21.12.2022 № 165-VII (вводится в действие с 01.01.2024).
5) исключен Законом РК от 21.12.2022 № 165-VII (вводится в действие с 01.01.2024).
3. В целях исчисления налога на добычу полезных ископаемых стоимость облагаемого объема полезных ископаемых за налоговый период определяется:
1) по твердым полезным ископаемым, содержащимся в добытом минеральном сырье, указанном в подпункте 1) пункта 2 настоящей статьи, – исходя из средней биржевой цены на такие полезные ископаемые за налоговый период.
Средняя биржевая цена, если иное не установлено настоящей статьей, определяется как произведение среднеарифметического значения ежедневных усредненных котировок цен за налоговый период и среднеарифметического рыночного курса обмена валюты за соответствующий налоговый период по нижеприведенной формуле.
Для целей настоящей статьи котировка цены означает котировку цены на полезное ископаемое в иностранной валюте, зафиксированную на Лондонской бирже металлов или Лондонской ассоциации рынка драгоценных металлов и публикуемую в журнале «MetalBulletin» издательства «MetalBulletinJournalsLimited», журнале «Metal-pages» издательства «Metal-pagesLimited».
Средняя биржевая цена, если иное не установлено настоящей статьей, определяется по следующей формуле:
где:
S – средняя биржевая цена на полезное ископаемое за налоговый период;
Р1, P2, …, Pn – ежедневная усредненная котировка цен в дни, за которые опубликованы котировки цен на Лондонской бирже металлов в течение налогового периода;
Е – среднеарифметический рыночный курс обмена валюты за соответствующий налоговый период;
n – количество дней в налоговом периоде, за которые опубликованы котировки цен.
Ежедневная усредненная котировка цен на полезное ископаемое определяется по формуле:
где:
Рn – ежедневная усредненная котировка цен;
Сn1 – ежедневная котировка цены Cash на полезное ископаемое;
Сn2 – ежедневная котировка цены Cash Settlement на полезное ископаемое.
Средняя биржевая цена на золото, платину, палладий определяется как произведение среднеарифметического значения ежедневных усредненных котировок цен за налоговый период и среднеарифметического рыночного курса обмена валюты за соответствующий налоговый период по следующей формуле:
где:
S – средняя биржевая цена на золото, платину, палладий за налоговый период;
Р1, P2,…, Pn – ежедневная усредненная котировка цен на золото, платину, палладий в дни, за которые были объявлены и опубликованы котировки цен Лондонской ассоциацией рынка драгоценных металлов в течение налогового периода;
Е – среднеарифметический рыночный курс обмена валюты за соответствующий налоговый период;
n – количество дней в налоговом периоде, за которые опубликованы котировки цен.
Ежедневная усредненная котировка цен на золото, платину, палладий определяется по формуле:
где:
Рn – ежедневная усредненная котировка цен;
Сn1 – ежедневная котировка цен a.m. (утренний фиксинг) на золото, платину, палладий;
Сn2 – ежедневная котировка цен p.m. (вечерний фиксинг) на золото, платину, палладий.
Средняя биржевая цена на серебро определяется как произведение среднеарифметического значения ежедневных котировок цен на серебро за налоговый период и среднеарифметического рыночного курса обмена валюты за соответствующий налоговый период по следующей формуле:
где:
S – средняя биржевая цена на серебро за налоговый период;
Р1, P2,…, Pn – ежедневная котировка цен на серебро в дни, за которые объявлены и опубликованы котировки цен Лондонской ассоциацией рынка драгоценных металлов в течение налогового периода;
Е – среднеарифметический рыночный курс обмена валюты за соответствующий налоговый период;
n – количество дней в налоговом периоде, за которые были опубликованы котировки цен.
Средняя биржевая цена на полезное ископаемое применяется ко всему объему каждого вида твердого полезного ископаемого, указанного в пункте 4 настоящей статьи, содержащегося в добытом минеральном сырье, в том числе к объему, переданному другим юридическим лицам и (или) структурному подразделению в рамках одного юридического лица для последующей переработки и (или) использования на собственные производственные нужды;
2) по твердым полезным ископаемым, содержащимся в добытом минеральном сырье, указанном в подпункте 2) пункта 2 настоящей статьи:
по твердым полезным ископаемым, указанным в пункте 4 настоящей статьи, – в порядке, определенном подпунктом 1) настоящего пункта;
по другим видам добытых твердых полезных ископаемых, содержащихся в добытом минеральном сырье, – исходя из средневзвешенной цены их реализации, а в случае передачи другим юридическим лицам и (или) структурному подразделению в рамках одного юридического лица для последующей переработки и (или) использования на собственные производственные нужды – исходя из фактической производственной себестоимости добычи и первичной переработки (обогащения), приходящейся на такие виды полезных ископаемых, определяемой в соответствии с международными стандартами финансовой отчетности и требованиями законодательства Республики Казахстан о бухгалтерском учете и финансовой отчетности, увеличенной на 20 процентов;
3) по минеральному сырью, указанному в подпункте 3) пункта 2 настоящей статьи, – исходя из средневзвешенной цены реализации минерального сырья и (или) твердого полезного ископаемого, в том числе прошедших только первичную переработку (обогащение).
4. Положения подпункта 1) пункта 2 настоящей статьи применяются в отношении тех видов твердых полезных ископаемых, по которым в отчетном налоговом периоде имеются официальные котировки цен, зафиксированные на Лондонской бирже металлов или Лондонской ассоциацией рынка драгоценных металлов.
5. В случае отсутствия реализации минерального сырья и (или) твердого полезного ископаемого, в том числе прошедших только первичную переработку, стоимость облагаемого объема полезных ископаемых определяется исходя из средневзвешенной цены реализации последнего налогового периода, в котором имела место такая реализация.
Положения настоящего пункта не применяются в отношении минерального сырья, указанного в пункте 4 настоящей статьи.
6. При полном отсутствии реализации минерального сырья и (или) твердого полезного ископаемого, в том числе прошедших только первичную переработку (обогащение), с начала действия контракта стоимость облагаемого объема полезных ископаемых определяется:
1) по твердым полезным ископаемым, указанным в пункте 4 настоящей статьи, – в порядке, определенном подпунктом 1) пункта 3 настоящей статьи;
2) по другим видам твердых полезных ископаемых, указанным в подпункте 2) пункта 2 настоящей статьи, – исходя из фактической производственной себестоимости добычи и первичной переработки (обогащения), приходящейся на такие виды твердых полезных ископаемых, определяемой в соответствии с международными стандартами финансовой отчетности и требованиями законодательства Республики Казахстан о бухгалтерском учете и финансовой отчетности, увеличенной на 20 процентов;
3) по минеральному сырью и (или) твердым полезным ископаемым, указанным в подпункте 3) пункта 2 настоящей статьи, за исключением указанного в подпункте 4) части первой настоящего пункта, – исходя из фактической производственной себестоимости добычи и первичной переработки (обогащения), приходящейся на такие виды полезных ископаемых, определяемой в соответствии с международными стандартами финансовой отчетности и требованиями законодательства Республики Казахстан о бухгалтерском учете и финансовой отчетности, увеличенной на 20 процентов.
В случае последующей реализации минерального сырья и (или) твердого полезного ископаемого, в том числе прошедших только первичную переработку, кроме полезных ископаемых, указанных в пункте 4 настоящей статьи, недропользователь обязан произвести корректировку сумм исчисленного налога на добычу полезных ископаемых с учетом фактической средневзвешенной цены реализации в налоговом периоде, в котором имела место первая реализация.
4) урана, извлеченного из продуктивных растворов, – исходя из средневзвешенной цены за килограмм урана в форме концентрата природного урана (U3O8), определяемой как произведение среднеарифметического значения месячных котировок цен за фунт урана в форме концентрата природного урана (U3O8) в иностранной валюте за каждый месяц налогового периода с учетом перевода фунтов в килограммы в соответствии с утвержденным коэффициентом и среднеарифметического рыночного курса обмена валюты за соответствующий налоговый период по нижеприведенной формуле.
Для целей части первой настоящего подпункта котировка цены за фунт урана в форме концентрата природного урана (U3O8) означает месячный индикатор спотовой цены за фунт концентрата природного урана (U3O8), действующий на последний день месяца в иностранной валюте на основании информации, публикуемой в источниках «Ux Weekly» компании «Ux Consulting LLC» (США) и «The Nuclear Market Review» компании «TradeTech LLC» (США). В случае отсутствия информации о котировке цены на уран в форме концентрата природного урана (U3O8) в одном из указанных источников применяется цена другого указанного источника, в котором имеется такая котировка.
При отсутствии информации о котировке цены на уран в форме концентрата природного урана (U3O8) в источниках, указанных в части второй настоящего подпункта, применяется цена по данным других источников, определяемых законодательством Республики Казахстан о трансфертном ценообразовании.
Средневзвешенная цена за килограмм урана в форме концентрата природного урана определяется по следующей формуле:
где:
S – средневзвешенная цена за килограмм урана в форме концентрата природного урана за налоговый период;
P1, P2, Р3 – среднеарифметическая месячная котировка цен из источников за каждый месяц в течение налогового периода;
среднеарифметическая месячная котировка цен определяется по формуле:
где:
Рn – среднеарифметическая котировка цен;
Cn – значение месячной котировки цены за фунт урана в форме концентрата природного урана (U3O8) на последний день соответствующего месяца отчетного периода из источника «Ux Weekly» компании «Ux Consulting LLC» (США);
Dn – значение месячной котировки цены за фунт урана в форме концентрата природного урана (U3O8) (Exchange Value) на последний день соответствующего месяца отчетного периода из источника «The Nuclear Market Review» компании «TradeTech LLC» (США);
К – коэффициент перевода фунтов в килограммы, установленный в размере 2,59978;
Е – среднеарифметический рыночный курс обмена иностранной валюты за соответствующий налоговый период.
В случае последующей реализации минерального сырья, в том числе прошедшего только первичную переработку (обогащение), и полезных ископаемых, содержащихся в облагаемых объемах погашенных запасов минерального сырья, указанных в подпункте 2) пункта 2 настоящей статьи, кроме полезных ископаемых, указанных в пункте 4 настоящей статьи, недропользователь обязан произвести корректировку сумм исчисленного налога на добычу полезных ископаемых с учетом фактической средневзвешенной цены реализации в налоговом периоде, в котором имела место первая реализация.
Корректировка исчисленных сумм налога на добычу полезных ископаемых производится недропользователем за двенадцатимесячный период, предшествующий налоговому периоду, в котором произошла первая реализация. При этом сумма корректировки является налоговым обязательством текущего налогового периода.
7. В целях настоящей статьи средневзвешенная цена реализации за налоговый период определяется по следующей формуле:
Ц ср. = (V1 р.п. × Ц1 р. + V2 р.п. × Ц2 р….+ Vnp.п. × Цn p.)/V общ. реализации,
где:
V1 р.п., V2 р.п., Vnp.п. – объемы каждой партии минерального сырья и (или) твердого полезного ископаемого, реализуемых за налоговый период;
Ц1 р., Ц2 р…, Цn р. – фактические цены реализации минерального сырья и (или) твердого полезного ископаемого по каждой партии в налоговом периоде;
n – количество партий реализованных минерального сырья и (или) твердого полезного ископаемого в налоговом периоде;
V общ. реализации – общий объем реализации минерального сырья и (или) твердого полезного ископаемого за налоговый период.
При этом в случае если средневзвешенная цена реализации минерального сырья и (или) твердого полезного ископаемого ниже их производственной себестоимости, увеличенной на 20 процентов, определяемой в соответствии с международными стандартами финансовой отчетности и требованиями законодательства Республики Казахстан о бухгалтерском учете и финансовой отчетности, то средневзвешенная цена реализации за налоговый период определяется исходя из такой производственной себестоимости, увеличенной на 20 процентов.
Средневзвешенная цена реализации применяется недропользователем ко всему облагаемому объему полезных ископаемых, в том числе к объемам, переданным по производственной себестоимости добычи структурному подразделению в рамках одного юридического лица для последующей переработки и (или) использованным на собственные производственные нужды недропользователя, включая использование в качестве исходного сырья для производства товарной продукции.
8. В случае если цена реализации полезного ископаемого установлена в иностранной валюте, то такая цена по операциям по реализации, совершенным после 1 января 2020 года, в целях пункта 7 настоящей статьи пересчитывается в тенге с применением рыночного курса обмена валюты, определенного на дату перехода права собственности на реализуемое минеральное сырье, в том числе прошедшее только первичную переработку (обогащение), согласно договору (контракту).
Сноска. Статья 745 с изменениями, внесенными законами РК от 02.04.2019 № 241-VI (вводится в действие с 01.01.2018); от 10.12.2020 № 382-VI (вводится в действие с 01.01.2020); от 11.07.2022 № 135-VII (вводится в действие с 01.01.2023); от 21.12.2022 № 165-VII (вводится в действие с 01.01.2024).
Статья 746. Ставки налога на добычу полезных ископаемых
Примечание ИЗПИ!
Пункт 1 предусмотрен в редакции Закона РК от 01.07.2024 № 105-VIII (вводится в действие с 01.01.2026).
1. Если иное не предусмотрено настоящей статьей, ставки налога на добычу полезных ископаемых устанавливаются в следующих размерах:
|
№ |
Наименование полезных ископаемых, минерального сырья, в том числе прошедшего только первичную переработку |
Ставки, в процентах |
|
|
1 |
2 |
3 |
4 |
|
Строка 1. Таблицы действует с 01.01.2025 до 01.01.2026 в соответствии с Законом РК от 25.12.2017 № 121-VI. (вводится в действие с 01.01.2025). |
|||
|
1. |
Руды черных, цветных и радиоактивных металлов |
Хромовая руда (концентрат) |
21,06 % |
|
Марганцевая, железо-марганцевая руда (концентрат) |
3,25 % |
||
|
Железная руда (концентрат) |
3,64 % |
||
|
Уран (извлеченный из продуктивных растворов, шахтный метод) |
9 % |
||
|
2. |
Металлы |
Медь |
8,55 % |
|
Цинк |
10,5 % |
||
|
Свинец |
10,4 % |
||
|
Золото, серебро |
7,5 % |
||
|
Платина, палладий |
6,5 % |
||
|
Алюминий |
0,38 % |
||
|
Олово |
3,9 % |
||
|
Никель |
7,8 % |
||
|
3. |
Минеральное сырье, содержащее металлы |
Ванадий |
5,2 % |
|
Хром, титан, магний, кобальт, вольфрам, висмут, сурьма, ртуть, мышьяк и другие |
7,8 % |
||
|
4. |
Минеральное сырье, содержащее редкие металлы |
Ниобий, лантан, церий, цирконий |
7,7 % |
|
Галлий |
1,0 % |
||
|
5. |
Минеральное сырье, содержащее рассеянные металлы |
Селен, теллур, молибден |
7,0 % |
|
Скандий, германий, рубидий, цезий, кадмий, индий, талий, гафний, рений, осмий |
6,0 % |
||
|
6. |
Минеральное сырье, содержащее радиоактивные металлы |
Радий, торий |
5,0 % |
|
7. |
Минеральное сырье, содержащее редкие металлы |
Литий, бериллий, тантал, стронций |
7,7% |
|
8. |
Минеральное сырье, содержащее редкоземельные металлы |
Празеодим, неодим, прометий, самарий, европий, гадолиний, тербий, диспрозий, гольмий, эрбий, тулий, иттербий, лютений, иттрий |
6,0% |
|
Минеральное сырье, содержащее нерудные твердые полезные ископаемые |
|||
|
9. |
Горючее, химическое и агрономическое минеральное сырье |
Уголь каменный коксующийся, антрацит |
4,05 % |
|
Уголь каменный (кроме коксующегося и антрацита), бурый уголь, горючие сланцы |
2,7 % |
||
|
Фосфориты |
4,0 % |
||
|
Бораты, в том числе борный ангидрит |
3,5 % |
||
|
Калийные и калийно-магниевые соли |
6,0 % |
||
|
Барит |
4,5 % |
||
|
Тальк |
2,0 % |
||
|
Гипс |
5,6 % |
||
|
Сера |
6,0 % |
||
|
Флюориты |
3,0 % |
||
|
Воластанит |
3,5 % |
||
|
Шунгит |
2,0 % |
||
|
Графит и др. |
3,5 % |
||
|
Камнесамоцветное сырье |
|||
|
10. |
Минеральное сырье, содержащее драгоценные камни |
Алмаз, рубин, сапфир, изумруд, гранат, александрит, красная (благородная) шпинель, эвклаз, топаз, аквамарин и другие |
12,0% |
|
11. |
Минеральное сырье, содержащее поделочные камни |
Нефрит, яшма, жадеит, лазурит, радонит, малахит, авантюрин, агат, горный хрусталь, розовый кварц, бирюза, диоптаз, халцедон и другие |
3,5% |
|
12. |
Минеральное сырье, содержащее технические камни |
Алмазы технические, агат, корунд, циркон, яшма, серпентинит, асбест, слюда и другие |
2,0% |
|
13. |
Прочее |
Прочее нерудное минеральное сырье, не являющееся общераспространенным полезным ископаемым |
4,7%, но не менее 0,02 МРП за единицу объема |
При этом к ставке налога на добычу полезных ископаемых на добытый уголь каменный (кроме коксующегося и антрацита), бурый уголь, горючие сланцы, установленной настоящей статьей, применяется коэффициент 0,01 в случаях:
1) использования недропользователем, являющимся субъектом естественной монополии, такого добытого угля каменного, бурого угля, горючих сланцев для предоставления услуг по передаче электрической энергии, производству, передаче, распределению и (или) снабжению тепловой энергией, водоснабжения и (или) водоотведения в соответствии с законодательством Республики Казахстан о естественных монополиях;
2) реализации недропользователем добытого угля каменного, бурого угля, горючих сланцев субъекту естественных монополий, оказывающему услуги, предусмотренные подпунктом 1) части второй настоящей статьи;
3) реализации недропользователем добытого угля каменного, бурого угля, горючих сланцев организациям образования, здравоохранения;
4) использования добытого угля каменного, бурого угля, горючих сланцев при эксплуатации объектов социальной сферы, определенных статьей 239 настоящего Кодекса;
5) реализации недропользователем добытого угля каменного, бурого угля, горючих сланцев получателям адресной социальной помощи;
6) переработки недропользователем добытого угля каменного, бурого угля, горючих сланцев и (или) их использования на собственные производственные нужды;
7) использования недропользователем, являющимся энергопроизводящей организацией, добытого угля каменного, бурого угля, горючих сланцев для производства электрической и (или) тепловой энергии для собственных нужд и (или) реализации в соответствии с законодательством Республики Казахстан об электроэнергетике;
8) реализации недропользователем добытого угля каменного, бурого угля, горючих сланцев энергопроизводящей организации для производства электрической и (или) тепловой энергии для собственных нужд и (или) реализации в соответствии с законодательством Республики Казахстан об электроэнергетике;
9) реализации недропользователем добытого угля каменного, бурого угля, горючих сланцев организациям, осуществляющим их переработку и (или) использование при производстве товаров.
Если иное не установлено настоящей статьей, налог на добычу полезных ископаемых на все виды твердых полезных ископаемых и минерального сырья, добываемых из состава забалансовых запасов по месторождению, уплачивается по ставке 0 процента.
В целях настоящей главы к забалансовым запасам относятся:
твердые полезные ископаемые и минеральное сырье, которые по состоянию на день, предшествующий переходу к учету запасов по Кодексу KAZRC, относились к забалансовым запасам по месторождению на основании утверждения их таковыми Государственной комиссией по запасам полезных ископаемых;
в случае осуществления добычи твердых полезных ископаемых на основании лицензий на недропользование, полученных после перехода к учету запасов по Кодексу KAZRC, к забалансовым запасам относятся твердые полезные ископаемые, содержащиеся в минеральном сырье, объемы которых включены в категорию предполагаемых минеральных ресурсов и не являются доказанными или вероятными минеральными запасами за соответствующий налоговый период.
При этом ставка налога на добычу полезных ископаемых в размере 0 процента не применяется в случае реализации минерального сырья и (или) твердых полезных ископаемых, добываемых из состава забалансовых запасов.
2. В случае, если уровень рентабельности по месторождению (группе месторождений по одному контракту на недропользование, части месторождения), соответствующему критериям, определенным Правительством Республики Казахстан в соответствии с частью второй пункта 4 статьи 720 настоящего Кодекса, составляет 5 процентов и менее, недропользователь по добытым на таком месторождении (группе месторождений по одному контракту на недропользование, части месторождения) полезным ископаемым вправе применять ставки налога на добычу полезных ископаемых, установленные настоящим Кодексом по состоянию на 31 декабря 2022 года.
При фактическом несоответствии месторождения (группы месторождения по одному контракту на недропользование, части месторождения) критериям низкорентабельности, определенным в соответствии с частью первой настоящего пункта, недропользователь производит в срок не позднее 15 числа второго месяца, следующего за четвертым кварталом соответствующего календарного года, перерасчет налоговых обязательств по налогу на добычу полезных ископаемых на основании ставок, установленных пунктом 1 настоящей статьи, за весь год, в котором такие критерии были не соблюдены, и отражает полученные значения в дополнительной декларации по налогу на добычу полезных ископаемых за четвертый квартал. Сумма налога на добычу полезных ископаемых, отраженная в такой декларации, является налоговым обязательством четвертого квартала и подлежит уплате в общеустановленном порядке в бюджет.
Положения настоящего пункта распространяются также на месторождения (группу месторождений по одному контракту на недропользование, часть месторождения), по которым осуществлено переоформление права недропользования (переход на лицензионный режим недропользования) либо преобразование участков недр, предоставленных для разведки или добычи твердых полезных ископаемых (выделение участка недр).
3. Налог на добычу полезных ископаемых исчисляется по месторождению (группе месторождений по одному контракту на недропользование, части месторождения) по ставке 0 процента в течение шестидесяти месяцев с момента начала промышленной добычи при одновременном соблюдении следующих условий:
1) промышленная добыча минерального сырья на месторождении (группе месторождений по одному контракту на недропользование, части месторождения) начата после 31 декабря 2022 года;
2) уровень внутренней нормы рентабельности по месторождению (группе месторождений по одному контракту на недропользование, части месторождения) не превышает 15 процентов;
3) право недропользования по месторождению, по которому применялась ставка налога на добычу полезных ископаемых, указанная в части первой настоящего пункта, не подлежит отчуждению в течение периода применения положений настоящего пункта, за исключением отчуждения в пользу взаимосвязанной стороны.
В целях настоящего пункта уровень внутренней нормы рентабельности по месторождению (группе месторождений по одному контракту на недропользование, части месторождения) определяется в соответствии с порядком, указанным в части второй пункта 4 статьи 720 настоящего Кодекса.
При несоблюдении условий, установленных подпунктами 1) и 3) части первой настоящего пункта, налог на добычу полезных ископаемых уплачивается по ставкам, установленным в соответствии с пунктом 1 или 2 настоящей статьи, за весь период применения положений настоящего пункта.
При достижении уровня внутренней нормы рентабельности по месторождению (группе месторождений по одному контракту на недропользование, части месторождения) показателя, установленного подпунктом 2) настоящего пункта, налогоплательщик производит перерасчет налоговых обязательств по налогу на добычу полезных ископаемых в срок не позднее 15 числа второго месяца, следующего за четвертым кварталом соответствующего календарного года. Указанный перерасчет налоговых обязательств по налогу на добычу полезных ископаемых осуществляется с применением ставок налога на добычу полезных ископаемых, указанных в пункте 1 или 2 настоящей статьи, за весь год, в котором уровень внутренней нормы рентабельности превысил пятнадцать процентов, и отражается в дополнительной декларации по налогу на добычу полезных ископаемых за четвертый квартал такого года. Сумма налога на добычу полезных ископаемых, отраженная в такой декларации, является налоговым обязательством четвертого квартала и подлежит уплате в общеустановленном порядке в бюджет.
В случае, если в последующие периоды после перерасчета налоговых обязательств по налогу на добычу полезных ископаемых уровень внутренней нормы рентабельности снижается ниже пятнадцати процентов, налогоплательщик не вправе применять положения настоящего пункта для этих последующих периодов.
Сноска. Статья 746 с изменениями, внесенными законами РК от 10.12.2020 № 382-VI (вводится в действие с 01.01.2021); от 11.07.2022 № 135-VII (вводится в действие с 01.01.2023); от 21.12.2022 № 165-VII (вводится в действие с 01.01.2024).
Параграф 3. Налог на добычу полезных ископаемых на общераспространенные полезные ископаемые, подземные воды и лечебные грязи
Статья 747. Объект обложения
Объектом обложения является физический объем добытых недропользователем за налоговый период общераспространенных полезных ископаемых, подземных вод и лечебных грязей.
Для целей определения объекта обложения применяются единицы измерения, используемые в отчетных и сводных балансах запасов минерального сырья, предоставляемых уполномоченному органу по изучению и использованию недр.
Для целей настоящей главы единицей объема добытого общераспространенного полезного ископаемого и лечебной грязи признается один кубический метр или одна тонна.
Налог на добычу полезных ископаемых не уплачивается в следующих случаях:
1) при обратной закачке подземных вод, в том числе в виде выработанного из них пара, в недра (откачке техногенной воды) для поддержания пластового давления;
1-1) при утилизации подземных вод, добытых попутно с углеводородами и представляющих угрозу здоровью населения и окружающей среде, в соответствии с водным законодательством Республики Казахстан;
2) при сбросе подземных вод (шахтных, карьерных, рудничных), попутно добытых (попутно забранных, откачанных) при разведке и (или) добыче твердых полезных ископаемых;
3) физическим лицом, осуществляющим добычу подземных вод на земельном участке, принадлежащем ему на праве собственности, праве землепользования и иных правах на землю, при условии, что добытые подземные воды не используются при осуществлении предпринимательской деятельности;
4) по подземным водам, добываемым государственными учреждениями для собственных хозяйственных нужд.
Сноска. Статья 747 с изменениями, внесенными законами РК от 02.04.2019 № 241-VI (вводится в действие с 01.01.2018); от 10.12.2020 № 382-VI (порядок введения в действие см. ст. 2).
Статья 748. Ставки налога на добычу полезных ископаемых
1. Ставки налога на добычу полезных ископаемых на общераспространенные полезные ископаемые и лечебные грязи исчисляются за единицу объема добытого общераспространенного полезного ископаемого и лечебной грязи исходя из размера месячного расчетного показателя, установленного законом о республиканском бюджете и действующего на 1 января соответствующего финансового года, и составляют:
|
№ п/п |
Наименование полезных ископаемых |
Ставки, в МРП |
|
1 |
2 |
3 |
|
1. |
Метаморфические породы, в том числе мрамор, кварцит, кварцево-полевошпатовые породы |
0,02 |
|
2. |
Магматические горные породы, в том числе гранит, сиенит, диорит, габбро, риолит (липарит), андезит, диабаз, базальт, вулканические туфы, шлаки, пемзы, вулканические стекла и стекловидные породы (перлит, обсидиан) |
0,02 |
|
3. |
Осадочные горные породы, в том числе галечники и гравий, гравийно-песчаная (песчано-гравийная) смесь, пески и песчаники, глины и глинистые породы (суглинки, алевролиты, аргиллиты, глинистые сланцы), соль поваренная, гипсовые породы, мергели, известняки, в том числе ракушечники, меловые породы, доломиты, известняково-доломитовые породы, кремнистые породы (трепел, опока, диатомит), природные пигменты, торф |
0,015 |
|
4. |
Лечебные грязи |
0,02 |
2. Ставки налога на добычу полезных ископаемых на подземные воды исчисляются за 1 кубический метр добытой подземной воды исходя из размера месячного расчетного показателя, установленного законом о республиканском бюджете и действующего на 1 января соответствующего финансового года, и составляют:
|
№ п/п |
Наименование полезных ископаемых |
Ставки, в МРП |
|
1 |
2 |
3 |
|
1. |
Подземная вода, добытая недропользователем, за исключением подземных вод, указанных в строках 2-5 настоящей таблицы |
0,003 |
|
2. |
Подземная вода, добытая недропользователем для осуществления деятельности, регулируемой законодательством Республики Казахстан о естественных монополиях, и (или) последующей реализации субъекту естественной монополии для осуществления деятельности, регулируемой законодательством Республики Казахстан о естественных монополиях |
0,001 |
|
3. |
Минеральная подземная вода, хозяйственно-питьевая подземная вода, добытая недропользователем и использованная им для производства алкогольной продукции, безалкогольных напитков и (или) пищевой продукции (за исключением производства сельскохозяйственной продукции и (или) ее переработки) |
0,250 |
|
4. |
Фактические потери хозяйственно-питьевой подземной воды при осуществлении деятельности, регулируемой законодательством Республики Казахстан о естественных монополиях, и (или) последующей реализации субъекту естественной монополии для осуществления деятельности, регулируемой законодательством Республики Казахстан о естественных монополиях |
0,005 |
|
5. |
Фактические потери минеральной подземной воды, хозяйственно-питьевой подземной воды, добытой недропользователем, за исключением подземных вод, указанных в строке 4 настоящей таблицы |
1,000 |
3. В случае отсутствия раздельного учета добытой подземной воды в целях применения ставок налога на добычу полезных ископаемых на подземные воды, установленных пунктом 2 настоящей статьи, применяется наибольший размер ставки.
Сноска. Статья 748 с изменениями, внесенными законами РК от 02.04.2019 № 241-VI (вводится в действие с 01.01.2018); от 10.12.2020 № 382-VI (вводится в действие с 01.01.2018).
Статья 749. Налоговый период
Налоговым периодом по налогу на добычу полезных ископаемых является календарный квартал.
Статья 750. Сроки уплаты
Налогоплательщик обязан уплатить в бюджет по месту нахождения исчисленную сумму налога не позднее 25 числа второго месяца, следующего за налоговым периодом.
Статья 751. Налоговая декларация
Декларация по налогу на добычу полезных ископаемых представляется недропользователем в налоговый орган по месту нахождения не позднее 15 числа второго месяца, следующего за налоговым периодом.
Глава 86. НАЛОГ НА СВЕРХПРИБЫЛЬ
Статья 752. Общие положения
1. Налог на сверхприбыль исчисляется за налоговый период по каждому отдельному контракту на недропользование, по которому недропользователь является плательщиком налога на сверхприбыль в соответствии со статьей 753 настоящего Кодекса.
2. Для целей исчисления налога на сверхприбыль недропользователь определяет объект обложения, а также следующие объекты, связанные с налогообложением, по каждому отдельному контракту на недропользование в соответствии с порядком, установленным в настоящей главе:
1) чистый доход для целей исчисления налога на сверхприбыль;
2) налогооблагаемый доход для целей исчисления налога на сверхприбыль;
3) валовый годовой доход по контракту на недропользование;
4) вычеты для целей исчисления налога на сверхприбыль;
5) корпоративный подоходный налог по контракту на недропользование;
6) расчетную сумму налога на чистый доход постоянного учреждения нерезидента по контракту на недропользование.
Статья 753. Плательщики
1. Плательщиками налога на сверхприбыль являются недропользователи по деятельности, осуществляемой по каждому отдельному контракту на недропользование, за исключением контрактов на недропользование, указанных в пункте 2 настоящей статьи.
2. Не являются плательщиками налога на сверхприбыль, установленного настоящей главой, недропользователи по деятельности, осуществляемой на основании следующих контрактов на недропользование:
1) указанных в пункте 1 статьи 722 настоящего Кодекса;
2) на разведку и (или) добычу твердых полезных ископаемых, в том числе общераспространенных полезных ископаемых, подземных вод и (или) лечебных грязей при условии, что данные контракты не предусматривают добычу других групп полезных ископаемых;
3) на строительство и эксплуатацию подземных сооружений, не связанных с разведкой и добычей.
Сноска. Статья 753 с изменением, внесенным Законом РК от 10.12.2020 № 382-VI (вводится в действие с 01.01.2021).
Статья 754. Объект обложения
Объектом обложения налогом на сверхприбыль является часть чистого дохода недропользователя, определенного для целей исчисления налога на сверхприбыль в соответствии со статьей 755 настоящего Кодекса по каждому отдельному контракту на недропользование за налоговый период, превышающая сумму, равную 25 процентам от суммы вычетов недропользователя для целей исчисления налога на сверхприбыль, определенных в соответствии со статьей 758 настоящего Кодекса.
Статья 755. Чистый доход для целей исчисления налога на сверхприбыль
1. Чистый доход для целей исчисления налога на сверхприбыль определяется как разница между налогооблагаемым доходом для целей исчисления налога на сверхприбыль, определенным в соответствии со статьей 756 настоящего Кодекса, и корпоративным подоходным налогом по контракту на недропользование, исчисленным в соответствии со статьей 759 настоящего Кодекса.
2. Для нерезидентов, осуществляющих деятельность по недропользованию в Республике Казахстан через постоянное учреждение, чистый доход для целей исчисления налога на сверхприбыль дополнительно уменьшается на расчетную сумму налога на чистый доход постоянного учреждения по соответствующему контракту на недропользование, исчисленного в соответствии со статьей 760 настоящего Кодекса.
Статья 756. Налогооблагаемый доход для целей исчисления налога на сверхприбыль
1. Налогооблагаемый доход в целях настоящей главы определяется как разница между валовым годовым доходом для целей исчисления налога на сверхприбыль по контракту на недропользование, определенным в соответствии со статьей 757 настоящего Кодекса, и вычетами для целей исчисления налога на сверхприбыль, определенными в соответствии со статьей 758 настоящего Кодекса, с учетом уменьшения на суммы доходов и расходов, предусмотренных статьей 288 настоящего Кодекса.
2. Превышение вычетов для целей исчисления налога на сверхприбыль над суммой валового годового дохода за налоговый период переносится для погашения за счет налогооблагаемого дохода для целей исчисления налога на сверхприбыль последующих последовательных налоговых периодов.
Статья 757. Валовый годовой доход по контракту на недропользование для целей исчисления налога на сверхприбыль
1. Валовый годовой доход для целей исчисления налога на сверхприбыль определяется недропользователем по контрактной деятельности по каждому отдельному контракту на недропользование в порядке, определенном настоящим Кодексом для определения совокупного годового дохода, за исключением доходов, предусмотренных статьями 228, 234 и 235 настоящего Кодекса, определяемых в соответствии с пунктом 2 настоящей статьи.
2. В целях исчисления налога на сверхприбыль доходы, предусмотренные статьями 234 и 235 настоящего Кодекса, определяются в размере полной стоимости реализации, передачи и выбытия активов, указанной в статьях 258, 259 и 270 настоящего Кодекса.
Доходы, предусмотренные статьей 228 настоящего Кодекса, определяются в размере полной стоимости реализации, передачи и выбытия активов, указанной в статьях 258, 259 и 270 настоящего Кодекса, в случае отнесения стоимости указанных активов на вычеты в целях исчисления налога на сверхприбыль.
Размер доходов от реализации активов, указанных в статье 228 настоящего Кодекса, стоимость которых не подлежит отнесению на вычеты в целях исчисления налога на сверхприбыль, определяется в соответствии со статьей 228 настоящего Кодекса.
Статья 758. Вычеты для целей исчисления налога на сверхприбыль
1. Для целей исчисления налога на сверхприбыль вычеты по каждому отдельному контракту на недропользование определяются как сумма:
1) расходов, подлежащих отнесению в отчетном налоговом периоде на вычеты в целях исчисления корпоративного подоходного налога по контрактной деятельности в соответствии со статьями 242 – 248, 252 – 257, 261 – 263 и 272 настоящего Кодекса;
2) фактически понесенных в течение налогового периода затрат, подлежащих включению в:
стоимостные балансы групп (подгрупп) фиксированных активов;
в отдельные группы амортизируемых активов, образованных в соответствии со статьями 258, 259 и 260 настоящего Кодекса.
При этом затраты по приобретению общих и (или) косвенных фиксированных активов для целей исчисления налога на сверхприбыль подлежат отнесению на вычеты по удельному весу прямых расходов, приходящихся на каждый конкретный контракт на недропользование и внеконтрактную деятельность, в общей сумме прямых расходов, произведенных недропользователем за налоговый период.
2. В целях исчисления налога на сверхприбыль за налоговый период 2018 года производится единовременный вычет суммы накопленных в целях исчисления налога на сверхприбыль затрат, подлежавшей отнесению, но не отнесенной на вычеты для целей исчисления налога на сверхприбыль с 1 января 2009 года до 1 января 2018 года.
3. В случае, если одни и те же виды расходов предусмотрены в нескольких видах вычетов, установленных настоящей статьей, то при расчете налогооблагаемого дохода указанные расходы вычитаются только один раз.
Статья 759. Корпоративный подоходный налог по контракту на недропользование
Корпоративный подоходный налог по контракту на недропользование определяется за налоговый период по контрактной деятельности по каждому отдельному контракту на недропользование как произведение ставки, установленной пунктом 1 статьи 313 настоящего Кодекса, и налогооблагаемого дохода, исчисленного по такому контракту на недропользование в порядке, определенном статьей 302 настоящего Кодекса, уменьшенного на суммы доходов и расходов, предусмотренных статьей 288 настоящего Кодекса, а также на сумму убытков по контракту на недропользование, переносимых в соответствии со статьями 299 и 300 настоящего Кодекса.
Статья 760. Расчетная сумма налога на чистый доход постоянного учреждения нерезидента по контракту на недропользование
Расчетная сумма налога на чистый доход постоянного учреждения нерезидента по контракту на недропользование для целей настоящей главы определяется за налоговый период как произведение ставки налога на чистый доход постоянного учреждения нерезидента, установленной пунктом 3 статьи 313 настоящего Кодекса, и объекта обложения налога на чистый доход постоянного учреждения нерезидента, исчисленного по контракту на недропользование в порядке, определенном статьей 652 настоящего Кодекса.
Статья 761. Порядок исчисления
1. Исчисление налога на сверхприбыль за налоговый период производится посредством применения каждой соответствующей ставки по каждому уровню, установленному статьей 762 настоящего Кодекса, к каждой части объекта обложения налога на сверхприбыль, относящейся к такому уровню, с последующим суммированием исчисленных сумм налога на сверхприбыль по всем уровням.
2. Для применения положений пункта 1 настоящей статьи недропользователь:
1) определяет объект обложения, а также объекты, связанные с обложением налогом на сверхприбыль по контракту на недропользование;
2) определяет предельные суммы распределения чистого дохода для целей исчисления налога на сверхприбыль по каждому уровню, установленному статьей 762 настоящего Кодекса, в следующем порядке:
для уровней 1, 2, 3, 4, 5 и 6 – как произведение процента для каждого уровня, установленного в графе 3 таблицы, приведенной в статье 762 настоящего Кодекса, и суммы вычетов для целей исчисления налога на сверхприбыль;
для уровня 7:
в случае, если сумма чистого дохода для целей исчисления налога на сверхприбыль больше суммы, равной 70 процентам от суммы вычетов для целей исчисления налога на сверхприбыль, – как разница между чистым доходом для целей исчисления налога на сверхприбыль и суммой, равной 70 процентам от суммы вычетов для целей исчисления налога на сверхприбыль;
в случае, если сумма чистого дохода для целей исчисления налога на сверхприбыль меньше или равна сумме, равной 70 процентам от суммы вычетов для целей исчисления налога на сверхприбыль, – как ноль;
3) распределяет фактически полученный в налоговом периоде чистый доход для целей исчисления налога на сверхприбыль по уровням, предусмотренным статьей 762 настоящего Кодекса, в следующем порядке:
для уровня 1:
если сумма чистого дохода для целей исчисления налога на сверхприбыль за налоговый период превышает предельную сумму распределения чистого дохода для первого уровня, то распределенная часть чистого дохода для первого уровня равна предельной сумме распределения чистого дохода для первого уровня;
если сумма чистого дохода для целей исчисления налога на сверхприбыль за налоговый период меньше предельной суммы распределения чистого дохода для первого уровня, то распределенная часть чистого дохода для первого уровня равна сумме чистого дохода для целей исчисления налога на сверхприбыль за налоговый период. При этом для следующих уровней распределение чистого дохода для целей исчисления налога на сверхприбыль не производится;
для уровней 2, 3, 4, 5, 6 и 7:
если разница между чистым доходом для целей исчисления налога на сверхприбыль за налоговый период и общей суммой распределенных частей чистого дохода по предыдущим уровням превышает или равна предельной сумме распределения чистого дохода для соответствующего уровня, то распределенная часть чистого дохода для этого уровня равна предельной сумме распределения чистого дохода для этого соответствующего уровня;
если разница между чистым доходом для целей исчисления налога на сверхприбыль за налоговый период и общей суммой распределенных частей чистого дохода по предыдущим уровням меньше предельной суммы распределения чистого дохода для соответствующего уровня, то распределенная часть чистого дохода для этого уровня равна такой разнице.
При этом для следующих уровней распределение чистого дохода для целей исчисления налога на сверхприбыль не производится.
Общая сумма распределенных по уровням частей чистого дохода должна быть равна общей сумме чистого дохода для целей исчисления налога на сверхприбыль за налоговый период;
4) применяет соответствующую ставку налога на сверхприбыль к каждой распределенной по уровням части чистого дохода в соответствии со статьей 762 настоящего Кодекса;
5) определяет сумму налога на сверхприбыль за налоговый период суммированием рассчитанных сумм налога на сверхприбыль по всем уровням, предусмотренным статьей 762 настоящего Кодекса.
Статья 762. Ставки налога на сверхприбыль, уровни и размеры процентов для расчета предельной суммы распределения чистого дохода для целей исчисления налога на сверхприбыль
Налог на сверхприбыль уплачивается недропользователем по скользящей шкале ставок, определяемых в следующем порядке:
|
№ уровня |
Шкала распределения чистого дохода по уровням для целей исчисления налога на сверхприбыль, процент от суммы вычетов |
Процент для расчета предельной суммы распределения чистого дохода для целей исчисления налога на сверхприбыль |
Ставка (в %) |
|
1 |
2 |
3 |
4 |
|
1. |
меньшее или равное 25 процентам |
25 |
Не устанавливается |
|
2. |
от 25 процентов до 30 процентов включительно |
5 |
10 |
|
3. |
от 30 процентов до 40 процентов включительно |
10 |
20 |
|
4. |
от 40 процентов до 50 процентов включительно |
10 |
30 |
|
5. |
от 50 процентов до 60 процентов включительно |
10 |
40 |
|
6. |
от 60 процентов до 70 процентов включительно |
10 |
50 |
|
7. |
свыше 70 процентов |
в соответствии с подпунктом 2) пункта 2 статьи 761 настоящего Кодекса |
60 |
Статья 763. Налоговый период
1. Для налога на сверхприбыль налоговым периодом является календарный год с 1 января по 31 декабря.
2. Если контракт на недропользование был заключен в течение календарного года, первым налоговым периодом для исчисления налога на сверхприбыль по такому контракту является период времени со дня вступления контракта на недропользование в силу и до окончания календарного года.
3. Если действие контракта на недропользование истекло до конца календарного года, последним налоговым периодом для исчисления налога на сверхприбыль по такому контракту является период времени с начала календарного года до дня завершения действия контракта на недропользование.
4. Если действие контракта на недропользование, вступившего в силу после начала календарного года, истекло до окончания этого календарного года, налоговым периодом для исчисления налога на сверхприбыль по такому контракту является период времени со дня вступления контракта на недропользование в силу до дня завершения действия контракта на недропользование.
Статья 764. Срок уплаты налога
Налог на сверхприбыль уплачивается в бюджет по месту нахождения налогоплательщика не позднее десяти календарных дней после срока, установленного для сдачи декларации.
Статья 765. Налоговая декларация
Декларация по налогу на сверхприбыль представляется налогоплательщиком в налоговый орган по месту нахождения не позднее 31 марта года, следующего за отчетным налоговым периодом.
Глава 87. АЛЬТЕРНАТИВНЫЙ НАЛОГ НА НЕДРОПОЛЬЗОВАНИЕ
Статья 766. Общие положения
1. Если иное не установлено пунктом 4 настоящей статьи, альтернативный налог на недропользование вправе применить взамен платежа по возмещению исторических затрат, налога на добычу полезных ископаемых, налога на сверхприбыль юридические лица – недропользователи, заключившие в соответствии с законодательством Республики Казахстан о недрах и недропользовании:
1) контракт на добычу и (или) совмещенную разведку и добычу углеводородов на участке (участках) недр, полностью расположенном (расположенных) в казахстанском секторе Каспийского моря;
2) контракт на добычу и (или) разведку и добычу углеводородов по участку (участкам) недр с глубиной верхней точки залежей углеводородов, указанной в горном отводе или контракте на добычу или разведку и добычу углеводородов при отсутствии горного отвода, не выше 4500 метров и нижней точки залежей углеводородов, указанной в горном отводе или контракте на добычу или разведку и добычу углеводородов при отсутствии горного отвода, 5000 метров и ниже.
Данное право применяется в период с даты заключения данных контрактов на недропользование до даты окончания действия соответствующего контракта на недропользование и не подлежит изменению.
Уведомление о применении данного права направляется налогоплательщиком в налоговый орган по месту нахождения не позднее тридцати календарных дней с даты регистрации соответствующего контракта на недропользование.
2. Право применения с 1 января 2018 года альтернативного порядка исполнения налогового обязательства по специальным платежам и налогам недропользователей по контрактам, указанным в пункте 1 настоящей статьи, заключенным до 1 января 2018 года, производится на весь оставшийся период действия контракта на недропользование и не подлежит изменению, о чем налогоплательщик направляет уведомление в налоговый орган по месту нахождения не позднее 1 марта 2018 года.
3. В случае непредставления в установленные сроки уведомлений, предусмотренных пунктами 1 и 2 настоящей статьи, исполнение налогового обязательства по платежу по возмещению исторических затрат, налогу на добычу полезных ископаемых и налогу на сверхприбыль осуществляется в порядке, определенном главами 84, 85 и 86 настоящего Кодекса.
4. Альтернативный налог на недропользование применяют взамен платежа по возмещению исторических затрат, налога на добычу полезных ископаемых, налога на сверхприбыль юридические лица – недропользователи, заключившие в соответствии с законодательством Республики Казахстан о недрах и недропользовании контракт на разведку и добычу или добычу углеводородов по сложным проектам, в силу соответствующего контракта с даты его регистрации. Указанные недропользователи не направляют уведомление, указанное в пункте 1 настоящей статьи.
При этом для целей настоящей главы контрактом на разведку и добычу или добычу углеводородов по сложным проектам также признается контракт на разведку и добычу или добычу углеводородов, изложенный в новой редакции в соответствии с типовым контрактом на разведку и добычу или добычу углеводородов по сложным проектам в соответствии с законодательством Республики Казахстан о недрах и недропользовании. В таком случае положения части первой настоящего пункта применяются с даты регистрации дополнения к ранее заключенному контракту на недропользование.
Сноска. Статья 766 в редакции Закона РК от 10.12.2020 № 382-VI (вводится в действие с 01.01.2021); с изменениями, внесенными Законом РК от 21.12.2022 № 165-VII (вводится в действие с 01.01.2023).
Статья 767. Порядок исчисления альтернативного налога на недропользование
1. Альтернативный налог на недропользование определяется за налоговый период по контрактной деятельности по каждому отдельному контракту на недропользование.
2. Объект обложения альтернативным налогом на недропользование определяется как разница между совокупным годовым доходом для целей исчисления альтернативного налога на недропользование и вычетами для целей альтернативного налога на недропользование с учетом корректировок, предусмотренных статьей 287 настоящего Кодекса.
С учетом особенностей, предусмотренных пунктом 4 статьи 722-1 настоящего Кодекса, для недропользователя по контракту на разведку и добычу или добычу углеводородов по сложным морским проектам превышение вычетов для целей исчисления альтернативного налога на недропользование над суммой исчисленного для целей альтернативного налога на недропользование совокупного годового дохода за налоговый период переносится на последующие десять лет включительно для погашения за счет исчисленного для целей альтернативного налога на недропользование налогооблагаемого дохода данных последующих налоговых периодов.
3. Совокупный годовой доход для целей исчисления альтернативного налога на недропользование определяется в соответствии с порядком, определенным настоящим Кодексом для целей исчисления корпоративного подоходного налога, за исключением превышения суммы положительной курсовой разницы над суммой отрицательной курсовой разницы, не подлежащего включению в совокупный годовой доход в целях исчисления альтернативного налога на недропользование и без учета корректировки совокупного годового дохода, предусмотренной статьей 241 настоящего Кодекса.
В целях настоящего пункта в качестве дохода не рассматривается превышение суммы положительной курсовой разницы над суммой отрицательной курсовой разницы, возникшее при списании до коммерческого обнаружения в период разведки стратегическим партнером обязательства национальной компании по недропользованию или юридического лица, акции (доли участия в уставном капитале) которого прямо или косвенно принадлежат такой национальной компании по недропользованию.
4. Вычеты для целей исчисления альтернативного налога на недропользование определяются в соответствии с порядком, определенным настоящим Кодексом для целей исчисления корпоративного подоходного налога, с учетом нижеследующего:
не подлежат вычету вознаграждения, в том числе относимые на вычеты согласно статье 246 настоящего Кодекса или подлежащие учету в качестве капитальных затрат;
не подлежит вычету превышение суммы отрицательной курсовой разницы над суммой положительной курсовой разницы, в том числе в составе расходов, относимых на вычеты в соответствии со статьей 258 настоящего Кодекса;
не подлежит вычету сумма исчисленного (начисленного) корпоративного подоходного налога.
5. В случае, если одни и те же расходы (затраты) предусмотрены в нескольких видах расходов (затрат), установленных пунктом 4 настоящей статьи, то при исчислении альтернативного налога на недропользование указанные расходы (затраты) вычитаются только один раз.
6. Альтернативный налог на недропользование исчисляется как произведение объекта обложения таким налогом на недропользование и ставки, установленной статьей 768 настоящего Кодекса.
Сноска. Статья 767 с изменением, внесенным Законом РК от 21.12.2022 № 165-VII (вводится в действие с 01.01.2023).
Статья 768. Ставка налога
Если иное не предусмотрено настоящей статьей, альтернативный налог на недропользование исчисляется по следующим ставкам исходя из мировой цены нефти, рассчитанной в порядке, определенном пунктом 3 статьи 741 настоящего Кодекса:
|
№ п/п |
Мировая цена |
Ставка, в % |
|
1 |
2 |
3 |
|
1. |
До 50 долларов США за баррель включительно |
0 |
|
2. |
До 60 долларов США за баррель включительно |
6 |
|
3. |
До 70 долларов США за баррель включительно |
12 |
|
4. |
До 80 долларов США за баррель включительно |
18 |
|
5. |
До 90 долларов США за баррель включительно |
24 |
|
6. |
До 100 долларов США за баррель включительно |
30 |
|
7. |
До 110 долларов США за баррель включительно |
32 |
|
8. |
До 120 долларов США за баррель включительно |
34 |
|
9. |
До 130 долларов США за баррель включительно |
36 |
|
10. |
До 140 долларов США за баррель включительно |
38 |
|
11. |
До 150 долларов США за баррель включительно |
40 |
|
12. |
Свыше 150 долларов США за баррель |
42 |
С учетом особенностей, предусмотренных пунктом 4 статьи 722-1 настоящего Кодекса, по контрактам на разведку и добычу или добычу углеводородов по сложным морским проектам в соответствии с законодательством Республики Казахстан о недрах и недропользовании альтернативный налог на недропользование исчисляется по следующим ставкам исходя из мировой цены нефти, рассчитанной в порядке, определенном пунктом 3 статьи 741 настоящего Кодекса:
|
№ п/п |
Мировая цена |
Ставка, в % |
|
1 |
2 |
3 |
|
1. |
До 50 долларов США за баррель включительно |
0 |
|
2. |
До 60 долларов США за баррель включительно |
2 |
|
3. |
До 70 долларов США за баррель включительно |
4 |
|
4. |
До 80 долларов США за баррель включительно |
6 |
|
5. |
До 90 долларов США за баррель включительно |
8 |
|
6. |
До 100 долларов США за баррель включительно |
10 |
|
7. |
До 110 долларов США за баррель включительно |
10,7 |
|
8. |
До 120 долларов США за баррель включительно |
11,3 |
|
9. |
До 130 долларов США за баррель включительно |
12,0 |
|
10. |
До 140 долларов США за баррель включительно |
12,7 |
|
11. |
До 150 долларов США за баррель включительно |
13,3 |
|
12. |
Свыше 150 долларов США за баррель |
14,0 |
Сноска. Статья 768 – в редакции Закона РК от 21.12.2022 № 165-VII (вводится в действие с 01.01.2023).
Статья 769. Налоговый период
1. Для альтернативного налога на недропользование налоговым периодом является календарный год.
2. Если контракт на недропользование был заключен в течение календарного года, первым налоговым периодом для исчисления альтернативного налога на недропользование по такому контракту является период времени со дня вступления контракта на недропользование в силу и до конца календарного года.
3. Если действие контракта на недропользование истекло до конца календарного года, последним налоговым периодом для исчисления альтернативного налога на недропользование по такому контракту является период времени с начала календарного года до дня завершения действия контракта на недропользование.
4. Если действие контракта на недропользование, вступившего в силу после начала календарного года, истекло до конца этого календарного года, налоговым периодом для исчисления альтернативного налога на недропользование по такому контракту является период времени со дня вступления контракта на недропользование в силу до дня завершения действия контракта на недропользование.
Статья 770. Срок уплаты налога
Альтернативный налог на недропользование подлежит уплате в бюджет по месту нахождения налогоплательщика не позднее десяти календарных дней после срока, установленного для сдачи декларации.
Статья 771. Налоговая декларация
Декларация по альтернативному налогу на недропользование представляется налогоплательщиком в налоговый орган по месту нахождения не позднее 31 марта года, следующего за отчетным налоговым периодом.
Глава 88. ПОРЯДОК ИСПОЛНЕНИЯ НАЛОГОВЫХ ОБЯЗАТЕЛЬСТВ ПО НАЛОГУ НА ДОБЫЧУ ПОЛЕЗНЫХ ИСКОПАЕМЫХ, РЕНТНОМУ НАЛОГУ НА ЭКСПОРТ ПО УГЛЕВОДОРОДАМ, РОЯЛТИ И ДОЛЕ РЕСПУБЛИКИ КАЗАХСТАН ПО РАЗДЕЛУ ПРОДУКЦИИ В НАТУРАЛЬНОЙ ФОРМЕ
Статья 772. Порядок исполнения налогового обязательства по роялти и доле Республики Казахстан по разделу продукции в натуральной форме
1. Исполнение налогового обязательства по уплате роялти и доли Республики Казахстан по разделу продукции в денежной форме может быть заменено на натуральную форму временно, полностью или частично при одновременном соблюдении следующих условий:
1) соглашениями (контрактами) о разделе продукции, контрактом на недропользование, утвержденным Президентом Республики Казахстан, указанными в статье 722 настоящего Кодекса, предусмотрена передача полезных ископаемых в счет исполнения недропользователем налогового обязательства по уплате роялти и (или) доли Республики Казахстан по разделу продукции в натуральной форме;
2) решением Правительства Республики Казахстан определен получатель от имени государства полезных ископаемых, переданных недропользователем в счет исполнения налогового обязательства в натуральной форме.
2. Во исполнение налогового обязательства в натуральной форме:
1) недропользователь передает полезные ископаемые получателю от имени государства в порядке и сроки, которые установлены соглашением (контрактом) о разделе продукции и (или) контрактом на недропользование, утвержденным Президентом Республики Казахстан, указанными в статье 722 настоящего Кодекса, либо иным документом, предусмотренным таким соглашением и (или) контрактом;
2) получатель от имени государства реализует полезные ископаемые самостоятельно или через лицо, уполномоченное получателем от имени государства на осуществление такой реализации, с учетом соблюдения законодательства Республики Казахстан о трансфертном ценообразовании.
Реализация полезных ископаемых, полученных в счет исполнения недропользователем обязательства в натуральной форме, осуществляется с соблюдением следующих принципов:
законности;
прозрачности;
определенности;
добросовестности;
справедливости;
извлечения максимальной выгоды;
минимизации сопутствующих расходов;
3) получатель от имени государства или лицо, уполномоченное получателем от имени государства на осуществление такой реализации, определяет и перечисляет в бюджет текущие платежи в размере, исчисленном в соответствии с порядком исполнения обязательства в натуральной форме, определенным Правительством Республики Казахстан;
4) недропользователь, получатель от имени государства представляют в налоговые органы по месту нахождения декларацию (расчет текущих платежей) по исполнению налогового обязательства в натуральной форме в порядке, определенном настоящим Кодексом, и по форме, установленной уполномоченным органом.
3. Налоговым периодом для исполнения недропользователем налогового обязательства по налогам в натуральной форме является календарный квартал.
Налоговым периодом для получателя от имени государства в части уплаты денег, полученных от фактической реализации полезных ископаемых, передаваемых недропользователем в счет исполнения налогового обязательства по налогам в натуральной форме, является календарный год.
4. Определение объема полезных ископаемых, передаваемых в счет исполнения налогового обязательства в натуральной форме, исчисление его в денежном выражении, а также их реализация осуществляются в порядке исполнения обязательства в натуральной форме, определенным Правительством Республики Казахстан.
5. Недропользователь представляет в налоговый орган по месту нахождения декларацию об исполнении налогового обязательства в натуральной форме не позднее 15 числа второго месяца, следующего за налоговым периодом.
6. Получатель от имени государства представляет в налоговый орган по месту нахождения:
1) расчет текущих платежей по исполнению налогового обязательства в натуральной форме не позднее 15 числа второго месяца, следующего за налоговым периодом.
За исключением случаев, предусмотренных пунктом 3 статьи 210 настоящего Кодекса, представление расчета текущих платежей по исполнению налогового обязательства в натуральной форме, внесение изменений и дополнений в него, а также его отзыв после срока, установленного для представления декларации, указанной в подпункте 2) настоящего пункта, не допускаются;
2) декларацию об исполнении налогового обязательства в натуральной форме за календарный год не позднее 31 марта года, следующего за отчетным календарным годом.
Получатель от имени государства не представляет декларации по корпоративному подоходному налогу и налогу на добавленную стоимость в отношении деятельности, связанной с исполнением налогового обязательства в натуральной форме.
7. В течение налогового периода получатель от имени государства ежеквартально определяет текущие платежи в счет уплаты налогов в натуральной форме и перечисляет их в бюджет не позднее 25 числа второго месяца, следующего за налоговым периодом, за исключением текущих платежей, указанных в части второй настоящего пункта.
Текущие платежи по реализованным в первом квартале полезным ископаемым, полученным за предыдущие налоговые периоды, подлежат отражению в дополнительном расчете текущих платежей в натуральной форме за четвертый квартал предыдущего календарного года и перечисляются в бюджет в срок, установленный пунктом 8 настоящей статьи.
Текущие платежи перечисляются в бюджет в размере денег, полученных в соответствующем налоговом периоде от реализации полезных ископаемых, за минусом расходов по такой реализации, подлежащих возмещению в соответствии с порядком исполнения обязательства в натуральной форме, определенным Правительством Республики Казахстан.
8. В срок не позднее десяти календарных дней после срока, установленного для представления декларации об исполнении налогового обязательства в натуральной форме, получатель от имени государства осуществляет уплату денег, полученных от реализации полезных ископаемых, переданных в течение предыдущего календарного года недропользователем в счет исполнения налогового обязательства в натуральной форме. Такая уплата осуществляется в валюте, предусмотренной соответствующим соглашением (контрактом) о разделе продукции и (или) контрактом на недропользование, утвержденным Президентом Республики Казахстан, указанными в статье 722 настоящего Кодекса.
Размер налогового обязательства в натуральной форме за календарный год определяется в соответствии с порядком исполнения обязательства в натуральной форме, определенным Правительством Республики Казахстан.
9. При уплате (перечислении) в платежных документах указываются в том числе наименование и идентификационный номер получателя от имени государства.
10. Не исполненное в срок налоговое обязательство определяется в размере физического объема полезных ископаемых по не исполненному в срок налоговому обязательству в переводе в денежное выражение.
11. Физический объем полезных ископаемых по не исполненному в срок налоговому обязательству для недропользователя определяется как разница между физическим объемом полезных ископаемых, подлежащих передаче за налоговый период, и физическим объемом полезных ископаемых, фактически переданных за налоговый период.
Физический объем полезных ископаемых переводится в денежное выражение с применением условных цен, определенных в соответствии с соглашениями (контрактами) о разделе продукции, контрактом на недропользование, утвержденным Президентом Республики Казахстан, предусмотренными статьей 722 настоящего Кодекса.
В случае отсутствия порядка определения условных цен в соглашениях (контрактах) о разделе продукции, контракте на недропользование, утвержденном Президентом Республики Казахстан, предусмотренных статьей 722 настоящего Кодекса, такие условные цены определяются в соответствии с порядком исполнения обязательства в натуральной форме, определенным Правительством Республики Казахстан.
12. Физический объем полезных ископаемых по не исполненному в срок налоговому обязательству по календарному году для получателя от имени государства определяется как разница между физическим объемом подлежащих реализации за отчетный календарный год полезных ископаемых, полученных в счет исполнения налогового обязательства в натуральной форме, рассчитываемым в соответствии с порядком исполнения обязательства в натуральной форме, определенным Правительством Республики Казахстан, и физическим объемом полезных ископаемых, фактически реализованных в отчетном календарном году.
Физический объем полезных ископаемых по не исполненному в срок налоговому обязательству по календарному году для получателя от имени государства переводится в денежное выражение с применением средневзвешенной фактической цены за отчетный календарный год, но не ниже средневзвешенной условной цены, предусмотренной пунктом 11 настоящей статьи.
Статья 773. Порядок уплаты налога на добычу полезных ископаемых, рентного налога на экспорт по углеводородам в натуральной форме
1. В случаях, установленных пунктом 2 статьи 715 и пунктом 2 статьи 737 настоящего Кодекса, налогоплательщик обязан производить передачу Республике Казахстан в натуральной форме полезных ископаемых в счет уплаты налога на добычу полезных ископаемых, рентного налога на экспорт по углеводородам.
2. Замена денежной формы уплаты налога на добычу полезных ископаемых и рентного налога на экспорт по углеводородам, установленных настоящим Кодексом, может быть произведена временно, полностью или частично.
3. Размер налога на добычу полезных ископаемых и рентного налога на экспорт по углеводородам, установленных настоящим Кодексом, уплачиваемых в натуральной форме, должен быть эквивалентен сумме данных налогов и платежей, исчисленных в денежном выражении в порядке и размерах, которые установлены настоящим Кодексом.
Определение объема полезных ископаемых, передаваемых недропользователем в счет исполнения налогового обязательства в натуральной форме, исчисление его в денежном выражении, а также реализация таких полезных ископаемых осуществляются в порядке исполнения обязательства в натуральной форме, определенном Правительством Республики Казахстан.
4. При заключении дополнительного соглашения, предусматривающего уплату налогоплательщиком в натуральной форме налога на добычу полезных ископаемых и рентного налога на экспорт по углеводородам, установленных настоящим Кодексом, в нем обязательно указываются:
1) получатель от имени государства объемов полезных ископаемых, передаваемых налогоплательщиком Республике Казахстан в виде налога на добычу полезных ископаемых, рентного налога на экспорт по углеводородам в натуральной форме;
2) пункт, условия и сроки поставки объемов полезных ископаемых в виде налога на добычу полезных ископаемых, рентного налога на экспорт по углеводородам, передаваемых налогоплательщиком Республике Казахстан в натуральной форме.
5. Сроки передачи налогоплательщиком полезных ископаемых, передаваемых в натуральной форме в счет уплаты налога на добычу полезных ископаемых и рентного налога на экспорт по углеводородам, установленных настоящим Кодексом, должны соответствовать срокам уплаты указанных налогов и платежей в бюджет в денежной форме, установленным настоящим Кодексом.
6. Получатель от имени государства перечисляет в бюджет причитающуюся сумму налога на добычу полезных ископаемых, рентного налога на экспорт по углеводородам в денежной форме в сроки уплаты указанных налогов и платежей, установленные настоящим Кодексом.
7. Получатель от имени государства самостоятельно осуществляет контроль за своевременностью и полнотой передачи ему налогоплательщиком соответствующего объема полезных ископаемых.
Ответственность за полноту и своевременность перечисления в бюджет налога на добычу полезных ископаемых и рентного налога на экспорт по углеводородам, установленных настоящим Кодексом, передаваемых налогоплательщиком Республике Казахстан в натуральной форме, с даты фактической отгрузки налогоплательщиком соответствующих объемов полезных ископаемых несет получатель от имени государства.
8. Налогоплательщик и получатель от имени государства представляют в налоговые органы по месту нахождения отчетность о размерах и сроках уплаты (передачи) налога на добычу полезных ископаемых и рентного налога на экспорт по сырой нефти, газовому конденсату, установленных настоящим Кодексом, в натуральной форме в сроки, установленные настоящим Кодексом, и по формам, утвержденным уполномоченным органом.
РАЗДЕЛ 24. ЕДИНЫЙ СОВОКУПНЫЙ ПЛАТЕЖ
Сноска. Кодекс дополнен разделом 24 в соответствии с Законом РК от 26.12.2018 № 203-VI (вводится в действие с 01.01.2019); действовал до 01.01.2024 в соответствии с Законом РК от 26.12.2018 № 203-VI.
Раздел 24-1. Единый платеж
Сноска. Закон дополнен разделом 24-1 в соответствии с Законом РК от 21.12.2022 № 165-VII (вводится в действие с 01.01.2023).
Глава 89-1. Единый платеж
Статья 776-1. Общие положения
1. Налоговый агент в соответствующей декларации самостоятельно определяет единый порядок обложения доходов работников, подлежащих обложению у источника выплаты, в соответствии с положениями настоящей главы или в соответствии с положениями раздела 8 настоящего Кодекса.
2. Налоговыми агентами в целях настоящей главы признаются индивидуальные предприниматели и юридические лица, являющиеся субъектами микро- и малого предпринимательства, применяющие специальные налоговые режимы, предусмотренные параграфом 3 главы 77, главами 77-2 и 78 настоящего Кодекса, выплачивающие доход физическому лицу, за исключением физического лица – нерезидента, в виде заработной платы и выбравшие исполнение обязательств по исчислению, удержанию и перечислению индивидуального подоходного налога с таких доходов в составе единого платежа.
3. В единый платеж включаются подлежащие уплате суммы индивидуального подоходного налога с доходов, подлежащих обложению у источника выплаты, обязательные пенсионные взносы и обязательные пенсионные взносы работодателя, социальные отчисления, уплачиваемые в соответствии с Социальным кодексом Республики Казахстан, взносы и отчисления на обязательное социальное медицинское страхование, уплачиваемые в соответствии с Законом Республики Казахстан «Об обязательном социальном медицинском страховании».
4. Выбранный порядок обложения доходов работников, подлежащих обложению у источника выплаты в первоначальной или очередной декларации, не подлежит изменению в течение налогового периода.
Сноска. Статья 776-1 с изменениями, внесенными законами РК от 20.03.2023 № 213-VII (вводится в действие с 01.01.2023); от 12.12.2023 № 45-VIII (вводится в действие с 01.07.2023).
Статья 776-2. Объект обложения единым платежом
Объектом обложения единым платежом является доход работника, за исключением работника-нерезидента, предусмотренный статьей 322 настоящего Кодекса, начисленный работодателем, являющимся субъектом микро- и малого предпринимательства, применяющим специальные налоговые режимы, предусмотренные параграфом 3 главы 77, главами 77-2 и 78 настоящего Кодекса.
Сноска. Статья 776-2 – в редакции Закона РК от 20.03.2023 № 213-VII (вводится в действие с 01.01.2023).
Статья 776-3. Ставка единого платежа и доля в нем индивидуального подоходного налога с доходов, облагаемых у источника выплаты
1. Ставка единого платежа, применяемая к объекту обложения, составляет:
с 1 января 2023 года – 20,0 процента;
с 1 января 2024 года – 21,5 процента;
с 1 января 2025 года – 23,8 процента;
с 1 января 2026 года – 24,8 процента;
с 1 января 2027 года – 25,8 процента;
с 1 января 2028 года – 26,3 процента.
При этом за работников, освобожденных от уплаты социальных платежей (за исключением обязательных профессиональных пенсионных взносов) в соответствии с Социальным кодексом Республики Казахстан и Законом Республики Казахстан «Об обязательном социальном медицинском страховании», а также за работников, за которых в соответствии с подпунктами 1), 7), 8), 9), 11), 12) и 13) пункта 1 статьи 26 Закона Республики Казахстан «Об обязательном социальном медицинском страховании» взносы на обязательное социальное медицинское страхование уплачиваются государством, ставка единого платежа снижается на соответствующую долю социальных платежей (за исключением обязательных профессиональных пенсионных взносов).
2. Доля индивидуального подоходного налога плательщика единого платежа от ставки единого платежа составляет:
с 1 января 2023 года – 9,0 процента;
с 1 января 2024 года – 8,4 процента;
с 1 января 2025 года – 7,6 процента;
с 1 января 2026 года – 7,3 процента;
с 1 января 2027 года – 7,0 процента;
с 1 января 2028 года – 6,9 процента.
Статья 776-4. Порядок исчисления, уплаты единого платежа и отражения обязательств по нему в соответствующей налоговой отчетности
1. Исчисление, удержание соответствующих долей единого платежа и его перечисление, а также отражение обязательств по нему в соответствующей налоговой отчетности производятся налоговым агентом в порядке и сроки, которые установлены настоящей главой.
2. Исчисление единого платежа производится налоговым агентом при начислении объекта обложения.
3. Удержание сумм соответствующих долей единого платежа, причитающихся на индивидуальный подоходный налог, обязательные пенсионные взносы, взносы на обязательное социальное медицинское страхование, производится налоговым агентом не позднее дня выплаты дохода, подлежащего обложению у источника выплаты.
4. Обязательные пенсионные взносы работодателя, социальные отчисления и отчисления на обязательное социальное медицинское страхование осуществляются налоговыми агентами за счет собственных средств в пользу работников.
5. Налоговый агент перечисляет единый платеж по начисленным доходам ежемесячно не позднее 25 числа месяца, следующего за отчетным, общей суммой через банки второго уровня или организации, осуществляющие отдельные виды банковских операций, на банковский счет Государственной корпорации «Правительство для граждан» с указанием месяца, за который перечисляется такой единый платеж.
6. Уплата, перечисление единого платежа, пени по единому платежу и распределение их в виде индивидуального подоходного налога и социальных платежей (за исключением обязательных профессиональных пенсионных взносов), пени, а также их возврат осуществляются в порядке, определяемом уполномоченным государственным органом в области социального обеспечения по согласованию с Национальным Банком Республики Казахстан, уполномоченным органом, а также уполномоченными государственными органами по государственному планированию, в области здравоохранения и области цифрового развития.
7. Суммы единого платежа отражаются в соответствующих декларациях в порядке, предусмотренном статьями 358, 688 и 707 настоящего Кодекса.
Сноска. Статья 776-4 с изменением, внесенным Законом РК от 20.03.2023 № 213-VII (вводится в действие с 01.01.2023).
Статья 776-5. Налоговый период
Налоговым периодом для исчисления налоговыми агентами единого платежа является календарный месяц.
Статья 776-6. Компетенция Государственной корпорации
«Правительство для граждан» в рамках единого платежа
1. Государственная корпорация «Правительство для граждан» в рамках единого платежа осуществляет следующие виды деятельности, относящиеся к государственной монополии:
1) ведет персонифицированный учет плательщиков единого платежа на базе индивидуального идентификационного номера;
2) актуализирует персонифицированный учет плательщиков единого платежа;
3) распределяет и перечисляет сумму единого платежа в Государственный фонд социального страхования, фонд социального медицинского страхования, единый накопительный пенсионный фонд и соответствующий бюджет по месту нахождения налогового агента;
4) осуществляет возврат ошибочно (излишне) уплаченных сумм единого платежа в порядке, определяемом уполномоченным государственным органом в области социального обеспечения по согласованию с Национальным банком Республики Казахстан, уполномоченным органом, а также уполномоченными государственными органами по государственному планированию, в области здравоохранения и области цифрового развития.
2. Цены на работы, услуги, производимые и (или) реализуемые Государственной корпорацией «Правительство для граждан», устанавливаются уполномоченным органом, определяемым решением Правительства Республики Казахстан из числа центральных государственных органов, по согласованию с антимонопольным органом и уполномоченным органом.
Раздел 25. Особенности налогообложения иностранных компаний при осуществлении электронной торговли товарами, оказании услуг в электронной форме физическим лицам
Сноска. Кодекс дополнен разделом 25 в соответствии с Законом РК от 10.12.2020 № 382-VI (вводится в действие с 01.01.2022).
Глава 90. Особенности налогообложения иностранной компании при осуществлении электронной торговли товарами, оказании услуг в электронной форме физическим лицам
Статья 777. Основные понятия, используемые в настоящем разделе
1. Основные понятия, используемые в настоящем разделе:
1) интернет-площадка – информационная система, размещенная в Интернете, для организации электронной торговли товарами;
2) мерчент ID – уникальный набор символов, идентифицирующих иностранную компанию как получателя платежа и (или) перевода денег с использованием платежных систем;
3) электронная торговля товарами – предпринимательская деятельность по реализации товаров физическим лицам, осуществляемая через интернет-площадку;
4) иностранная компания – юридическое лицо-нерезидент или иная форма иностранной организации предпринимательской деятельности без образования юридического лица;
5) услуги в электронной форме – услуги, оказываемые физическим лицам через сеть телекоммуникаций и Интернет.
Сноска. Статья 777 с изменениями, внесенными Законом РК от 20.12.2021 № 85-VII (вводится в действие с 01.01.2022).
Статья 778. Условная регистрация иностранной компании
1. Для условной регистрации в качестве налогоплательщика, иностранная компания направляет письмо-подтверждение по почте на бумажном носителе в налоговый орган с указанием:
1) полного наименования иностранной компании;
2) номера налоговой регистрации (или его аналога), при наличии такого номера в стране инкорпорации или стране резидентства нерезидента;
3) номера государственной регистрации (или его аналога) в стране инкорпорации нерезидента или стране резидентства нерезидента;
4) банковских реквизитов, с которых будет производиться уплата налога на добавленную стоимость при осуществлении электронной торговли товарами, оказании услуг в электронной форме физическим лицам;
4-1) перечня реквизитов, в том числе данных мерчент ID, применяемых для приема платежей и (или) переводов денег;
5) почтовых реквизитов (официальный электронный адрес, адрес места нахождения в стране инкорпорации или стране резидентства нерезидента).
В целях настоящего раздела на иностранную компанию не распространяется положение главы 9 настоящего Кодекса.
Сноска. Статья 778 с изменением, внесенным Законом РК от 20.12.2021 № 85-VII (вводится в действие с 01.01.2022).
Статья 779. Общие положения
1. Плательщиком налога на добавленную стоимость признается иностранная компания:
через интернет-площадку которой осуществляется электронная торговля товарами;
оказывающая услуги в электронной форме.
В целях настоящего пункта к иностранной компании не относится лицо, по которому произведена постановка на регистрационный учет по налогу на добавленную стоимость в соответствии со статьями 82 и 83 настоящего Кодекса.
2. Плательщик налога на добавленную стоимость исчисляет налог на добавленную стоимость при осуществлении электронной торговли товарами, оказании услуг в электронной форме физическим лицам в порядке, установленном настоящим разделом, если выполняется одно из следующих условий:
местом жительства физического лица-покупателя является Республика Казахстан;
местом нахождения банка, в котором открыт банковский счет, используемый физическим лицом-покупателем для оплаты услуг, или оператора электронных денег, через которого физическим лицом-покупателем осуществляется оплата услуг, является территория Республики Казахстан;
сетевой адрес физического лица-покупателя, использованный при приобретении услуг, зарегистрирован в Республике Казахстан;
международный код страны телефонного номера (в том числе мобильного), используемого для приобретения или оплаты услуг, присвоен Республикой Казахстан.
3. Выписка счетов-фактур плательщиком налога на добавленную стоимость по реализованным товарам, оказанным услугам физическим лицам в электронной форме не требуется.
4. Налог на добавленную стоимость при осуществлении электронной торговли товарами, оказании услуг в электронной форме физическим лицам не подлежит исчислению и уплате в следующих случаях:
1) в части превышения стоимостной и (или) весовой нормы, определяемой в соответствии с таможенным законодательством Евразийского экономического союза и (или) таможенным законодательством Республики Казахстан, по которой таможенные пошлины, налоги уплачены в Республике Казахстан в виде совокупного таможенного платежа и не подлежат возврату;
2) если стоимость таких товаров, услуг включена в размер облагаемого импорта, определяемый в соответствии со статьей 444 настоящего Кодекса, по которому налог на добавленную стоимость на ввозимые товары из государств – членов Евразийского экономического союза уплачен в бюджет Республики Казахстан и не подлежит возврату в соответствии с главой 50 настоящего Кодекса.
Сноска. Статья 779 с изменением, внесенным Законом РК от 20.12.2021 № 85-VII (вводится в действие с 01.01.2022).
Статья 780. Порядок исчисления и уплаты налога на добавленную стоимость при осуществлении электронной торговли товарами, оказании услуг в электронной форме физическим лицам
1. Налог на добавленную стоимость при осуществлении электронной торговли товарами, оказании услуг в электронной форме физическим лицам исчисляется путем применения ставки налога, установленной пунктом 1 статьи 422 настоящего Кодекса к стоимости реализованных в электронной форме товаров, услуг.
Стоимость реализованных в электронной форме товаров, оказанных услуг физическим лицам в иностранной валюте пересчитывается в тенге с применением рыночного курса обмена валют, определенного в последний рабочий день, предшествующий дате уплаты налога.
Иностранная компания обязана уплатить исчисленный налог на добавленную стоимость при осуществлении электронной торговли товарами, оказании услуг в электронной форме физическим лицам в бюджет, за каждый квартал не позднее 25 числа второго месяца, следующего за кварталом, в котором осуществлена реализация товаров, оказание услуг.
2. Для целей настоящего раздела датой совершения оборота по электронной торговле товарами и (или) оказанию услуг в электронной форме физическим лицам является дата осуществления платежа покупателем товара и (или) услуг.
3. Уплаченные суммы налога на добавленную стоимость в соответствии с настоящей статьей возврату не подлежат.
Сноска. Статья 780 с изменениями, внесенными Законом РК от 21.12.2022 № 165-VII (вводится в действие с 01.01.2023).
Раздел 26. Переходные положения
Сноска. Кодекс дополнен разделом 26 в соответствии с Законом РК от 15.07.2025 № 208-VIII (порядок введения в действие см. ст. 2.).
Статья 781. Переходные положения по исчислению, удержанию и уплате индивидуального подоходного налога с 1 января 2025 года
1. Настоящая статья устанавливает переходные положения по исчислению, удержанию и уплате индивидуального подоходного налога с облагаемого дохода у источника выплаты и облагаемого дохода лиц, занимающихся частной практикой, за период с 1 января 2025 года по последнее число месяца, в котором введен в действие Закон Республики Казахстан «О внесении изменений и дополнений в Кодекс Республики Казахстан «О налогах и других обязательных платежах в бюджет» (Налоговый кодекс) и законы Республики Казахстан по вопросам введения его в действие» (далее для целей настоящей статьи – Закон).
2. Налоговый агент вправе применить по заявлению физического лица о применении налоговых вычетов предварительную сумму прочих вычетов, начиная с любого календарного месяца 2025 года в пределах календарного года.
3. Лицо, занимающееся частной практикой, осуществляет уплату индивидуального подоходного налога, исчисленного с облагаемого дохода за период с 1 января 2025 года по последнее число месяца, в котором введен в действие Закон, не позднее 5 числа месяца, следующего за месяцем введения в действие Закона.
Статья 782.
Установить, что положения пунктов 3 и 5 статьи 3 настоящего Кодекса с 1 января 2025 года до 1 января 2026 года не распространяются на налогоплательщиков при применении ими пункта 1 статьи 302, статей 223 и 313 настоящего Кодекса.
Статья 783.
Приостановить с 1 января 2025 года до 1 января 2026 года:
1) действие статьи 223 настоящего Кодекса, установив, что в период приостановления данная статья действует в следующей редакции:
«Статья 223. Объекты налогообложения
Объектами обложения корпоративным подоходным налогом являются:
1) налогооблагаемый доход;
2) доход, облагаемый у источника выплаты;
3) чистый доход юридического лица – нерезидента, осуществляющего деятельность в Республике Казахстан через постоянное учреждение;
4) облагаемый доход контролируемых иностранных компаний и постоянных учреждений контролируемых иностранных компаний, за исключением зарегистрированных в государствах с льготным налогообложением;
5) облагаемый доход контролируемых иностранных компаний и постоянных учреждений контролируемых иностранных компаний, зарегистрированных в государствах с льготным налогообложением;
6) доход, определяемый в виде суммы следующих доходов за 2025 год по:
приросту стоимости при реализации государственных эмиссионных ценных бумаг (уменьшенных на убытки от реализации государственных эмиссионных ценных бумаг),
доходам по своп-операциям с валютой и обменом процентных ставок, заключенным на срок до одного года (уменьшенных на сумму убытков по своп-операциям с валютой и обменом процентных ставок, заключенным на срок до одного года), определенных в соответствии со статьей 279 настоящего Кодекса,
вознаграждениям по операциям репо, заключенным на срок до одного года (уменьшенных на сумму расходов в виде вознаграждения по операциям репо, заключенным на срок до одного года);
вознаграждениям по государственным эмиссионным ценным бумагам;
вознаграждениям по вкладам (депозитам), размещенным в Национальном Банке Республики Казахстан на срок до одного года.»;
2) действие пункта 1 статьи 302 Налогового кодекса, установив, что в период приостановления данный пункт действует в следующей редакции:
«1. Корпоративный подоходный налог, за исключением корпоративного подоходного налога на чистый доход и корпоративного подоходного налога, удерживаемого у источника выплаты, исчисляется за налоговый период в следующем порядке:
произведение ставки, установленной пунктом 1 или 2 статьи 313 настоящего Кодекса, и налогооблагаемого дохода, уменьшенного на сумму доходов и расходов, предусмотренных статьей 288 настоящего Кодекса, а также уменьшенного на сумму убытков, переносимых в соответствии со статьей 300 настоящего Кодекса,
плюс
произведение ставки, установленной пунктом 1-1 статьи 313 настоящего Кодекса, и объекта налогообложения, определенного подпунктом 4) статьи 223 настоящего Кодекса, уменьшенной на сумму убытков, переносимых в соответствии с частью второй пункта 1 статьи 300 настоящего Кодекса,
плюс
произведение ставки, установленной пунктом 1-1 статьи 313 настоящего Кодекса, и объекта налогообложения, определенного подпунктом 5) статьи 223 настоящего Кодекса,
плюс
произведение ставки, установленной пунктом 1-2 статьи 313 настоящего Кодекса, и объекта налогообложения, определенного подпунктом 6) статьи 223 настоящего Кодекса,
минус
сумма корпоративного подоходного налога, на которую осуществляется зачет в соответствии со статьей 303 настоящего Кодекса,
минус
сумма корпоративного подоходного налога, удержанного в налоговом периоде у источника выплаты с дохода в виде выигрыша, на которую осуществляется уменьшение в соответствии с пунктом 2 настоящей статьи,
минус
сумма корпоративного подоходного налога, удержанного у источника выплаты с дохода в виде вознаграждения, дивидендов, перенесенная из предыдущих налоговых периодов в соответствии с пунктом 3 настоящей статьи,
минус
сумма корпоративного подоходного налога, удержанного в налоговом периоде у источника выплаты с дохода в виде вознаграждения, дивидендов, на которую осуществляется уменьшение в соответствии с пунктом 2 настоящей статьи.»;
3) действие статьи 313 настоящего Кодекса, установив, что в период приостановления данная статья действует в следующей редакции:
«Статья 313. Ставки налога
1. Налогооблагаемый доход налогоплательщика, уменьшенный на сумму доходов и расходов, предусмотренных статьей 288 настоящего Кодекса, и на сумму убытков, переносимых в порядке, определенном статьей 300 настоящего Кодекса, подлежит обложению налогом по ставке 20 процентов, если иное не установлено пунктом 2 настоящей статьи.
1-1. Объекты налогообложения, определенные подпунктами 4) и 5) статьи 223 настоящего Кодекса, подлежат обложению налогом по ставке 20 процентов.
1-2. Объекты налогообложения, определенные подпунктом 6) статьи 223 настоящего Кодекса, подлежат обложению налогом по ставке 10 процентов.
2. Налогооблагаемый доход юридических лиц – производителей сельскохозяйственной продукции, продукции аквакультуры (рыбоводства), уменьшенный на сумму доходов и расходов, предусмотренных статьей 288 настоящего Кодекса, и на сумму убытков, переносимых в порядке, определенном статьей 300 настоящего Кодекса, подлежит обложению налогом по ставке 10 процентов в случае, если такой доход получен от осуществления деятельности по производству сельскохозяйственной продукции, продукции аквакультуры (рыбоводства), переработке и реализации указанной продукции собственного производства, а также продуктов такой переработки.
Для целей настоящего Кодекса доходом, полученным от осуществления деятельности, указанной в части первой настоящего пункта, признаются в том числе бюджетные субсидии, предоставленные производителям сельскохозяйственной продукции, по следующим направлениям:
1) удешевление для субъектов агропромышленного комплекса ставок вознаграждения по лизингу сельскохозяйственной техники, технологического оборудования, а также по кредитам на технологическое оборудование;
2) сохранение и развитие генофонда высокоценных сортов растений и пород сельскохозяйственных животных, птиц и рыб;
3) развитие семеноводства;
4) повышение продуктивности и качества продукции животноводства;
5) повышение продуктивности и качества продукции аквакультуры (рыбоводства);
6) повышение урожайности и качества продукции растениеводства, удешевление стоимости горюче-смазочных материалов и других товарно-материальных ценностей, необходимых для проведения весенне-полевых и уборочных работ, путем субсидирования производства приоритетных культур;
7) удешевление отечественным сельскохозяйственным товаропроизводителям стоимости удобрений (за исключением органических);
8) удешевление сельскохозяйственным товаропроизводителям стоимости гербицидов, биоагентов (энтомофагов) и биопрепаратов, предназначенных для обработки сельскохозяйственных культур в целях защиты растений;
9) развитие племенного животноводства;
10) закладка и выращивание (в том числе восстановление) многолетних насаждений плодово-ягодных культур и винограда;
11) возделывание сельскохозяйственных культур в защищенном грунте;
12) удешевление стоимости затрат на транспортные расходы при экспорте сельскохозяйственной продукции;
13) возмещение части расходов, понесенных субъектом агропромышленного комплекса при инвестиционных вложениях, направленных на создание новых или расширение действующих производственных мощностей для производства сельскохозяйственной продукции.
3. Доходы, облагаемые у источника выплаты, за исключением доходов нерезидентов из источников в Республике Казахстан, подлежат налогообложению у источника выплаты по ставке 15 процентов.
4. Доходы нерезидентов из источников в Республике Казахстан, определяемые подпунктами 1) – 9), 11) – 34) пункта 1 статьи 644 настоящего Кодекса, не связанные с постоянным учреждением таких нерезидентов, а также доходы, указанные в подпункте 10) пункта 1 статьи 644 настоящего Кодекса, облагаются по ставкам, установленным статьей 646 настоящего Кодекса.
5. Чистый доход юридического лица – нерезидента, осуществляющего деятельность в Республике Казахстан через постоянное учреждение, подлежит обложению корпоративным подоходным налогом по ставке и в порядке, которые установлены статьей 652 настоящего Кодекса.».
Статья 784.
Установить, что со дня введения в действие Закона Республики Казахстан «О внесении изменений и дополнений в некоторые законодательные акты Республики Казахстан по вопросам совершенствования системы государственной поддержки отрасли инновационной деятельности и государственной статистики», деятельность международного технологического парка «Астана Хаб» и его участников, а также деятельность участников инновационного кластера «Парк инновационных технологий» считать как деятельность автономного кластерного фонда «Астана Хаб», инновационного кластера «Астана Хаб» и его участников.».
| Президент Республики Казахстан |
Н. НАЗАРБАЕВ |














